БИОХИМИЯ, 2023, том 88, вып. 7, с. 1173 - 1190
УДК 615.277.3;616-006.66
ФЛУОРЕСЦЕНТНЫЕ КОНЪЮГАТЫ НА ОСНОВЕ ЛИГАНДОВ
ПРОСТАТИЧЕСКОГО СПЕЦИФИЧЕСКОГО МЕМБРАННОГО
АНТИГЕНА КАК ЭФФЕКТИВНОЕ СРЕДСТВО ВИЗУАЛИЗАЦИИ
ОПУХОЛЕЙ ПРЕДСТАТЕЛЬНОЙ ЖЕЛЕЗЫ
Обзор
© 2023 А.А. Успенская1*, П.А. Красников1, А.Г. Мажуга1,2,3,
Е.К. Белоглазкина1, А.Э. Мачулкин1,4
1 Московский государственный университет имени М.В. Ломоносова, химический факультет,
119991 Москва, Россия; электронная почта: uspenskaya.n@gmail.com
2 Университет науки и технологий МИСИС, 119049 Москва, Россия
3 Российский химико-технологический университет имени Д.И. Менделеева, 125047 Москва, Россия
4 Российский университет дружбы народов, 117198 Москва, Россия
Поступила в редакцию 02.02.2023
После доработки 17.05.2023
Принята к публикации 19.05.2023
Флуоресцентные красители находят широкое применение в гистологических исследованиях и
в интраоперационной хирургии, в том числе против такого заболевания как рак предстательной
железы (РПЖ), который на сегодняшний день является одним из самых распространённых видов
онкологических новообразований среди мужчин. Адресная доставка флуоресцентных конъюгатов
позволяет в значительной степени повысить эффективность диагностики и своевременно поста-
вить правильный диагноз. В случае РПЖ белком-маркером является простатический специфиче-
ский мембранный антиген (ПСМА). На сегодняшний день большое количество диагностических
конъюгатов, направленных на ПСМА, создаётся на основе модифицированных мочевин. Обзор
посвящён узконаправленным конъюгатам, селективно связывающимся с ПСМА, и отвечает на
актуальные вопросы. Какие флуоресцентные красители уже используются в области РПЖ-диагно-
стики? Какие факторы влияют на соотношение структура-активность конечной молекулы? На что
стоит обратить внимание при выборе флуоресцентной метки для создания новых диагностических
конъюгатов? И что можно предложить в данной области на сегодняшний день?
КЛЮЧЕВЫЕ СЛОВА: рак предстательной железы, простатический специфический мембранный антиген,
ПСМА, флуоресцентные красители, адресная доставка.
DOI: 10.31857/S0320972523070084, EDN: FXJIKB
ВВЕДЕНИЕ
радиофармпрепаратов, гистологические иссле-
дования (биопсия), хирургическое вмешатель-
Несмотря на значительные успехи совре-
ство (трансплантация костного мозга, интра-
менной науки в борьбе с онкологическими
операционная хирургия) и т.д. Гистологиче-
заболеваниями, рак до сих пор является одной
ские исследования являются важнейшим ме-
из основных социально значимых проблем
тодом диагностики, который позволяет точно
здравоохранения. Разработана большая пали-
установить природу тех или иных тканей. За-
тра методов лечения и диагностики злокаче-
частую постановка диагноза осуществляется
ственных новообразований: химиотерапия (в
именно на основании данного типа исследова-
том числе адресно-направленная), иммуно-
ния. Разрабатывая эффективные, а главное до-
терапия, диагностика и терапия с помощью ступные препараты-красители онкологических
Принятые сокращения: РПЖ - рак предстательной железы; ПСМА - простатический специфический мембранный
антиген; DCL/ACUPA - N-[N-[(S)-1,3-дикарбоксипропил]карбамоил]-(S)-l-лизин; DOTA - додекантетрауксусная кис-
лота; DUPA - 2-[3-(1,3-дикарбоксипропил)уреидо]-пентадионовая кислота; MAG3 - меркаптоацетилтриглицин.
* Адресат для корреспонденции.
1173
1174
УСПЕНСКАЯ и др.
маркеров, мы можем ускорить и повысить
зона в биологической ткани, NIR-I) и 1000-
пропускную способность, точность и надеж-
1350 нм (второе окно прозрачности). К боль-
ность данного метода. Высокоселективные
шому сожалению, автофлуоресценция сильно
флуоресцентные конъюгаты имеют решающее
ограничивает область применения флуорес-
значение и для интраоперационной хирургии.
центных красителей, и если при гистологии и
При синтезе новых конъюгатов, направленных
исследованиях in vivo на мелких грызунах их
на простатический специфический мембран-
использование не вызывает сложностей, то
ный антиген (ПСМА), исследователю важно
ввиду значительного объёма человеческих тка-
понимать, какие флуоресцентные красители
ней диагностика пациентов на сегодняшний
уже были использованы для данной цели; что
день осуществляется, как правило, с использо-
важно учитывать с точки зрения фармакоки-
ванием радиофармпрепаратов.
нетики конъюгатов; на какие физико-хими-
Согласно современной статистике по он-
ческие свойства флуоресцентных меток стоит
кологическим заболеваниям среди мужчин,
обратить внимание и как они могут сказаться
рак предстательной железы (РПЖ) находится
на биологической активности всей молекулы;
на втором месте после рака лёгких [4]. Одним
какие синтетические подходы лучше всего
из белковых маркеров данного заболевания
себя зарекомендовали, а также какие новые
является ПСМА. Высокая экспрессия данного
актуальные направления можно предложить,
белка в злокачественных новообразованиях
опираясь на исследования последних 5 лет.
предстательной железы сделали его хорошей
Цель обзора - помочь исследователю ответить
мишенью для направленной доставки биоло-
на данные вопросы.
гически активных органических соединений.
В настоящее время существует два основ-
ных класса лигандов ПСМА: аналоги субстрата
ФЛУОРЕСЦЕНТНЫЕ КОНЪЮГАТЫ
и аналоги переходного состояния. Аналогами
НА ОСНОВЕ ЛИГАНДОВ
переходного состояния являются фосфиновые
ПРОСТАТИЧЕСКОГО СПЕЦИФИЧЕСКОГО
кислоты (например, 2-(фосфонометил)-пента-
МЕМБРАННОГО АНТИГЕНА
дионовая кислота (2-PMPA)) [5], и тиолы (на-
пример, 2-(3-меркаптопропил)-пентадионовая
В силу того, что современные методы оп-
кислота (2-MPPA)) [6]. Ожидаемо, что пер-
тической визуализации не позволяют в полной
вые диагностические конъюгаты с флуорес-
мере идентифицировать изменения в тканях
центными агентами представлены на осно-
из-за невысокой проникающей способности
ве лигандов-векторов различного типа: как
видимого излучения, при амбулаторной диа-
на основе аналогов переходного состояния,
гностике используется, как правило, ПЭТ/КТ
так и на основе аналогов субстрата. Послед-
с соответствующими контрастными реаген-
ние представляют собой различные типы
тами, содержащими радионуклидные метки.
мочевины, но наибольшее распространение
Однако использование радиофармпрепаратов
получили 2-[3-(1,3-дикарбоксипропил)уреидо]-
для интраоперационной хирургии представля-
пентадионовая кислота (DUPA) и N-[N-[(S)-
ет ряд сложностей. Они связаны с получением,
1,3-дикарбоксипропил]карбамоил]-(S)-l-лизин
хранением и временем жизни радионуклидов,
(DCL) [7, 8]. С дальнейшим развитием векто-
а также с продуктами их распада. Альтернатив-
ров на основе мочевины и доказательств того,
ным методом визуализации злокачественных
что такие лиганды обладают преимуществами
новообразований стало использование флуо-
перед лигандами-аналогами переходного со-
ресцентных красителей [1]. Преимуществами
стояния, стало синтезироваться большое ко-
данных соединений являются: длительность
личество конъюгатов на основе векторов ана-
хранения, скорость обнаружения, отсутствие
логов субстрата. Преимущества обусловлены
радиоактивности, и, следовательно, не проис-
в основном фармакокинетическим профилем
ходит облучения как пациента, так и персона-
в условиях in vivo. Применение конъюгатов на
ла [2]. Тем не менее при создании диагности-
основе аналогов переходного состояния требо-
ческих конъюгатов на основе флуоресцентных
вало, как правило, очень больших доз (в силу
красителей необходимо соблюдать диапазон
недостаточной селективности), что вызывало
окон прозрачности биологических тканей,
опасения относительно побочных эффектов, в
чтобы избежать влияния их автофлуоресцен-
том числе связанных с иммунной системой [9].
ции и поглощения самой тканью [3]. Опти-
DUPA и DCL стали самыми известными среди
мальными длинами волн как испускания, так и
аналогов субстрата благодаря своей высокой
поглощения являются 2 интервала: 700-900 нм
специфичности к ПСМА. Попытки оптимизи-
(первое окно ближнего инфракрасного диапа-
ровать структуру путём замены аминокислот,
БИОХИМИЯ том 88 вып. 7 2023
ФЛУОРЕСЦЕНТНЫЕ КОНЪЮГАТЫ НА ОСНОВЕ ЛИГАНДОВ ПСМА
1175
образующих мочевину, как правило, не приво-
мы был взят лиганд GPI (2-[((3-амино-3-кар-
дило к «сверхаффинности». Например, замена
боксипропил)(гидрокси)фосфинил)-метил]
лизина в структуре DCL на фрагмент диами-
пентан-1,5-дионовая кислота) с показателем
нопимелиновой кислоты приводит к резкому
Ki = 9 нМ. Авторы отмечают резкое возраста-
ухудшению показателей аффинности [10].
ние аффинности после конъюгирования инги-
Из большого разнообразия флуоресцент-
битора с флуоресцентной меткой до 0,4 нМ.
ных красителей для создания конъюгатов
Данный эффект следует объяснить следующим
против РПЖ чаще всего используются такие
образом: как только конъюгат попадает в целе-
классы, как карбоцианины (Cy5, Cy7 и др.),
вой белок, ингибитор GPI связывается с ним
флуоресцеины (FITC, FAM, FAM-5 и др.) и их
в активном центре. Флуоресцентная же часть,
аналоги. Главными требованиями к флуорес-
представленная IRDye78, остаётся и взаимо-
центным меткам являются: удобный диапазон
действует с субкарманами воронкообразного
детектирования (видимый спектр), метаболи-
туннеля, тем самым обеспечивая дополнитель-
ческая стабильность, отсутствие токсичности.
ную аффинность к ПСМА (рис. 1, а). Чтобы
Их слабым местом, как и многих диагности-
проверить это, авторы статьи провели исследо-
ческих и терапевтических агентов, является
вание накопления немодифицированной мет-
специфичность на тот или иной тип ткани.
ки. Ki в данном случае составило 500 нМ, что
Попадая в кровоток, будучи немодифициро-
позволяет говорить о некотором неспецифиче-
ванными, такие вещества, как правило, либо
ском накоплении. Стоит понимать, что струк-
быстро вымываются почками, либо распре-
тура красителя при этом всё равно является
деляются по всему организму, не проявляя
достаточно разветвлённой и массивной, и то,
какой-либо специфичности. Конъюгирование
что в одном случае его молекула смогла про-
диагностических агентов с векторными моле-
никнуть в белок-мишень, не гарантирует, что
кулами, направленными на простатический
при незначительном изменении структуры
специфический мембранный антиген, даёт
будут достигнуты такие же высокие показате-
возможность получить эффективное средство
ли связывания. Действительно, при проверке
визуализации РПЖ, а также некоторых других
авторами других красителей наблюдалось сле-
видов онкологии и их метастазов.
дующее: чем меньше в структуре метки суль-
В данном обзоре термином «моноконъю-
фогрупп, тем больше падала активность. Это
гат» называются структуры, которые несут в
показывает, что флуоресцентный краситель
себе по одному лиганду ПСМА и диагности-
может выполнять две функции одновременно:
ческому агенту. Эти две основные части могут
обеспечивать визуализацию и повышать срод-
быть связаны между собой линкером, который,
ство конъюгата к ПСМА за счёт взаимодей-
однако, может и полностью отсутствовать [11].
ствия с ним.
Активный центр ПСМА представляет со-
Стоит отметить, что и немодифицирован-
бой два атома цинка, к которым ведёт ворон-
ные флуоресцентные лиганды показывают
кообразный туннель с различными гидро-
весьма средние значения аффинности. Хоро-
фобными или гидрофильными субкарманами.
шая селективность конъюгатов относительно
Если биологически активная молекула имеет
ПСМА-экспрессирующих клеток доказывает,
небольшой размер, то, будучи соединённой с
что связывание обеспечивается и за счёт актив-
вектором, она (в составе конъюгата) без про-
ной молекулы [14, 15]. Например, константа
блем войдёт в воронкообразную структуру бел-
ингибирования для Cys-C(O)-Glu составляет
ка, где дальше произойдёт связывание и по-
376 ± 195 нМ, а для 800CW-SCE она составляет
глощение конъюгата клеткой путём рецептор-
13,2 ± 2,35 нМ (рис. 1, б). Чем больше участков
опосредованного эндоцитоза. Однако если струк-
взаимодействия с активным центром ПСМА и
тура диагностической метки массивная и раз-
ведущим к нему туннелю, тем большую эффек-
ветвлённая, то при недостаточном расстоянии
тивность стоит ожидать от конъюгатов.
между ней и вектором возникнут стерические
Основываясь на данном наблюдении, бы-
затруднения, которые не позволят вектору
ли разработаны флуоресцентные красители,
достигнуть активного центра, и вместо погло-
чувствительные к своему молекулярному окру-
щения клеткой будет происходить вымывание
жению - молекулярные роторы [16, 17]. Такие
конъюгата из тканей.
структуры, будучи в несвязанном состоянии,
Чтобы лучше проследить динамику разви-
не являются флуорофорами. Взаимодействуя
тия рассматриваемых соединений, остановим-
с аминокислотными остатками, которые вы-
ся на более ранних конъюгатах, полученных с
стилают входную воронку ПСМА, меняется
использованием ингибиторов переходного со-
пространственное положение молекулярного
стояния [12, 13]. В качестве векторной систе-
ротора, что переводит его во флуоресцентную
БИОХИМИЯ том 88 вып. 7 2023
1176
УСПЕНСКАЯ и др.
Рис. 1. Примеры структур флуоресцентных конъюгатов. а - Структура конъюгата GPI-78; б - cтруктура конъюгата
800CW-SCE: лиганды ПСМА выделены чёрным цветом, линкеры - зелёным, флуоресцентные метки - синим
форму [18]. Такой пример мы можем видеть в
менять антитело на низкомолекулярный век-
недавней работе Zhang et al. [19], где в качестве
тор. Помимо хорошей устойчивости in vivo,
лиганда была взята мочевина DCL, а в качестве
низкомолекулярные лиганды обладают рядом
действующих агентов взяты метки ODAP-436,
других преимуществ. При сопоставимой с ан-
ODAP-490 и Glu-490 (рис. 2). Изучение внут-
тителами аффинности их проще получить син-
римолекулярных взаимодействий показало,
тетически, такие синтезы можно масштабиро-
что связывание лиганда мочевины с активным
вать, при этом производство таких препаратов
центром ПСМА происходит согласно изучен-
будет дешевле.
ному механизму и не подвергается влиянию со
Вообще, система активации флуоресцент-
стороны остальной части конъюгата. Актива-
ных меток непосредственно в опухолевых тка-
ция ротора (вращения связей флуорофора под
нях активно набирает популярность. Интерес
влиянием молекулярного окружения) проис-
представляет работа 2022 года по получению
ходит в непосредственной близости от актив-
флуоресцентных меток, производных родами-
ного центра, нитрильная группа ложится в
на, которые активируются УФ-излучением уже
глубокий карман, находящийся там, и отно-
непосредственно в опухолевых тканях [20].
сительно жёстко фиксирует молекулу во флуо-
Флуоресценция возникает в ходе радикального
ресцирующем состоянии.
механизма: флуоресцентно неактивный ксан-
Главным преимуществом таких конъюга-
тон преобразуется в четырёхчленный цикл.
тов является то, что флуоресценция активиру-
Донором радикалов выступает фрагмент ди-
ется только после связывания с белком-мише-
арилкетона, а акцептором - фрагмент стиро-
нью, и это даёт очень высокую контрастность
ла. Данные структуры позволяют проводить
визуализации за счёт увеличения разницы
многочисленные модификации, причём неко-
между фоновым накоплением метки в организ-
торые из них значительно улучшают фотохи-
ме и злокачественным новообразованием. По-
мические свойства. Например, для некоторых
мимо этого, соединения показывают очень вы-
соединений квантовый выход составляет 0,92.
сокую аффинность (63-118 пМ) на клеточных
В работе проведены значительные исследова-
линиях LNCaP (ПСМА ++) и 22Rv1 (ПСМА +).
ния визуализации, начиная с изучения накоп-
Однако имеются сложности в фармакологи-
ления в органеллах клетки (тубулиновые тру-
ческом профиле in vivo, так как основное на-
бочки, митохондрии и лизосомы), заканчивая
копление происходило в почках или печени.
конъюгированием с векторными молекулами
В настоящее время ведутся исследования по
для селективного накопления в определён-
решению данной проблемы. Трудности в био-
ных клеточных линиях. Например, проводи-
доступности конъюгатов на основе антител
ли исследование аффинности на клеточной
могут быть обусловлены их разложением под
линии U2OS (эпителиальные клетки остео-
действием различных протеаз, ответом иммун-
саркомы костей человека) конъюгатами ме-
ной системы и т.д. Возможно, авторам таких
ток PaX560 с самомаркирующимися белко-
роторных флуоресцентных меток следует по-
выми метками HaloTag. Результаты показали
БИОХИМИЯ том 88 вып. 7 2023
ФЛУОРЕСЦЕНТНЫЕ КОНЪЮГАТЫ НА ОСНОВЕ ЛИГАНДОВ ПСМА
1177
Рис. 2. Примеры флуоресцентных меток, способных переходить во флуоресцентное состояние под воздействием раз-
личных факторов. а - Схема работы молекулярных роторов при взаимодействии с ПСМА: 1 - конъюгат, не всту-
пивший во взаимодействие с белком-мишенью, флуоресценция отсутствует; 2 - конъюгат, связанный с белком-
мишенью, окружение белка меняет конфигурацию соединения, переводя его в состояние активной флуоресценции.
б - Схема перехода ксантона (PaX) в активную циклическую форму по радикальному механизму. Флуоресцирующие
формы выделены синим цветом
большую селективность и хорошее разреше-
Итак, мы видим, что конъюгирование мо-
ние получаемой визуализации. Такие флуорес-
жет привести как к так называемой «синергии»
центные фотоактивируемые метки очень инте-
со стороны биологической активности, так и к
ресны и имеют большой потенциал. Авторы
абсолютно обратному эффекту. В лучшем слу-
статьи синтезировали несколько NHS-эфи-
чае мы получим биологическую активность
ров PaX-производных, что даёт возможность
конъюгата, сопоставимую с немодифицирован-
сконъюгировать их с ПСМА-направленными
ным ингибитором. В худшем - мы можем полу-
мочевинами, чего не было проделано в данном
чить полностью биологически неактивную мо-
исследовании. Тем не менее создание конъю-
лекулу, несмотря на то что до конъюгирования
гатов PSMA-PaX является многообещающей
исходные составляющие показывали высокие
задачей. Опираясь на уже проведённые иссле-
показатели аффинности. В связи с этим другой
дования, стоит предположить, что введение
эффективной стратегией будет введение лин-
таких меток в структуру конъюгатов ПСМА
кера между векторной молекулой и красителем.
лучше осуществлять через пептидный линкер.
Доказано, что конъюгаты такой структуры дают
Так как структура флуорофора под действием
больше возможностей для применения и моди-
УФ-света изменяется, это может сильно ска-
фикаций. Получив высокоаффинный к белку-
заться на аффинность к белку, и если он уже
мишени тандем, векторная молекула-линкер,
внутри туннеля, то, возможно, эти изменения
можно легко менять биологически активную
приведут к изменению аффинности. Имеет
компоненту. И, например, после успешной ви-
смысл провести моделирование и расчёты
зуализации, создать конъюгат с такой же адрес-
перед синтезом, чтобы лучше спланировать
ной системой доставки, но уже с терапевтиче-
структуру таких конъюгатов. Так как на плат-
ским агентом. Безусловно, в фармакокинети-
форме ПСМА-векторов возможно создавать и
ческих свойствах между диагностическими и
бимодальные конъюгаты, с PaX-метками мож-
терапевтическими конъюгатами будут наблю-
но создавать двойные конъюгаты со стандарт-
даться некоторые отличия, тем не менее высо-
ными флуоресцентными красителями, имею-
коаффинная платформа намного ускорит полу-
щими сходные спектральные свойства. Таким
чение новой эффективной химиотерапии.
образом, можно достичь усиления сигнала
В синтетическом плане реализация таких
и снизить влияние обесцвечивания, которое
структур не представляет большой сложности.
происходит со «всегда активными» красите-
Многие флуоресцентные красители весьма
лями.
просто модифицировать алифатическими це-
БИОХИМИЯ том 88 вып. 7 2023
1178
УСПЕНСКАЯ и др.
Рис. 3. Примеры флуоресцентных конъюгатов. а - Структура конъюгата DCL-IRDye800CW. б - Структуры конъю-
гатов на основе векторной молекулы DUPA (чёрный) с флуоресцентными красителями IRDye800 и Cy5.5 (синий).
Лиганд ПСМА выделен чёрным цветом, флуоресцентная метка - синим
почками с различными функциональными груп-
фрагменты. Оптимальный баланс полярности
пами, удобными для последующих реакций
и растворимости является обязательным усло-
конъюгирования, например, путём клик-ре-
вием при создании новых биологически актив-
акций азид-алкинового циклоприсоединения,
ных агентов. В настоящий момент большая
реакций пептидного синтеза и др. При этом
палитра модифицированных для различных
модификации практически абсолютно не ска-
синтетических схем красителей является ком-
зываются на флуоресцентных характеристиках
мерчески доступной.
красителя (длина волны поглощения, длина
Рассматривая лиганды-векторы, направлен-
волны эмиссии, Стоксов сдвиг и др.), но не
ные на РПЖ, можно отметить, что здесь также
стоит забывать о физико-химических свойствах,
за последние 20 лет были достигнуты большие
например, водорастворимости. Она является
успехи. Синтетические подходы многогранны,
важнейшим критерием препаратов, потому
их можно разделить на классический синтез
что от неё зависит биодоступность веществ;
в растворе и методы твердофазного синтеза.
оптимальная концентрация, вводимая в кро-
Последний набирает всё большую и большую
воток и др. Чтобы проходить через клеточ-
популярность, так как позволяет значительно
ные мембраны, конъюгат должен быть отно-
экономить время, уменьшать количество по-
сительно неполярным, однако, чтобы хорошо
бочных продуктов, что немаловажно, учиты-
растворяться в воде, в то же время конъюгат
вая высокие требования к чистоте конъюгатов
должен содержать в своём составе полярные
для биологических испытаний.
БИОХИМИЯ том 88 вып. 7 2023
ФЛУОРЕСЦЕНТНЫЕ КОНЪЮГАТЫ НА ОСНОВЕ ЛИГАНДОВ ПСМА
1179
Тем не менее не стоит вычёркивать из
ном русле и тканях не превышал фоновых зна-
практики классический пептидный синтез в
чений.
растворе. К его преимуществам можно отнести
Тем не менее, опираясь на всё более по-
возможность контроля на промежуточных ста-
дробные данные о строении ПСМА, а также
диях синтеза, реактивы в этом методе расходу-
уже имея представление о том, что сами флуо-
ются меньше, при этом, как правило, являют-
ресцентные метки оказывают дополнительное
ся более коммерчески доступными. Помимо
взаимодействие, оставлять просто алифати-
этого, в данном случае намного легче провести
ческий фрагмент в воронкообразном участке
масштабирование синтеза.
ПСМА является нецелесообразным. Введение
Таким образом, можно подвести следую-
ароматических или отрицательно заряженных
щий итог относительно планирования синтеза
групп в туннель перед активным центром улуч-
ПСМА-лигандов. Если перед исследователем
шает аффинность, а значит имеет смысл вве-
стоит задача получить большую библиотеку,
сти их и в структуру линкера.
представляющую собой варьирование того или
В качестве хорошего примера стоит рас-
иного элемента структуры, то предпочтитель-
смотреть работу, в которой были получены
нее остановиться именно на твердофазных ме-
конъюгаты с метками IRDye800 (1) и Cy5.5 (2)
тодах синтеза. Это позволит получить целевые
(рис. 3, б). В основу лиганда легла мочевина
соединения быстро, эффективно и в доста-
DUPA, которую модифицировали циклогекси-
точном количестве для физико-химического
новым фрагментом с последующим введением
анализа и биологических испытаний. Если же
трипептидной цепочки [22].
цель заключается в масштабировании и нара-
Лучшую аффинность показал конъюгат 1 с
ботке нескольких заданных структур, то в этом
флуоресцентной меткой IRDye800, у которого
случае более целесообразно выбрать классиче-
значение IC50 составило 1,53 ± 0,14 нМ. Одна-
ский пептидный синтез в растворе.
ко и конъюгат 2 с меткой Cy5.5 показал высо-
В обоих случаях синтез превращается в
кую аффинность (IC50 = 2,07 ± 0,13 нМ). Это
своего рода «конструктор», позволяющий со-
показывает, что лиганд с трипептидным лин-
бирать довольно массивные молекулы. Напри-
кером хорошо связывается с активным цен-
мер, можно получить не просто направленную
тром ПСМА, и полученные конъюгаты могут
молекулу мочевины, а лиганд с уже присоеди-
быть взяты на испытания in vivo. Исследования
нённой линкерной структурой, которую мож-
проводились на мышах с привитыми ксено-
но менять и корректировать, ограничиваясь
графтами ПСМА положительных (PC-3-PIP)
только возможностями пептидного синтеза.
и отрицательных (PC-3-FLU) линий. Как
Первые линкеры в структурах ПСМА-ли-
конъюгат 1, так и конъюгат 2 показали отлич-
гандов представляли собой алифатические це-
ную селективность связывания с ПСМА-поло-
почки, которые выполняли исключительно
жительными опухолями PC-3-PIP с более чем
функцию «моста». Флуоресцентный конъюгат
10-кратной разницей накопления между опу-
с меткой IRD был получен в научно-исследо-
холями PC-3-PIP и PC-3-FLU. Из-за разницы
вательской группе Chen et al. [21] (рис. 3, а).
в полярности (IRDe800 содержит на 4 отри-
Конъюгат на основе ингибитора мочеви-
цательно заряженные сульфогруппы больше,
ны DCL и метки IRDye800CW получили клас-
чем Cy5.5) препараты имеют разный фармако-
сическим синтезом через NHS-эфиры.
кинетический профиль. Максимальная кон-
Исследование in vitro и in vivo (модели ксе-
центрация в опухоли PC-3-PIP конъюгата 1
нотрансплантантов на мышах) проводили на
достигается через 4 часа после введения, в то
2 клеточных линиях: PC-3-PIP (ПСМА +) и
время для конъюгата 2 - через 24 часа. Выведе-
PC-3 (ПСМА -). Высокое накопление флуо-
ние обоих конъюгатов происходит через почки.
ресцентного сигнала в почках свидетельствует
Конъюгат 1 с флуоресцентной меткой IRDye800
о выведении конъюгата через мочу. Также сто-
довольно быстро вымывался из опухоли - за
ит отметить, что большое влияние оказывает
24-120 часов. В отличие от этого, конъюгат 2
подбор дозирования в условиях in vivo. Пре-
с флуоресцентной меткой Cy5.5 остаётся свя-
вышение дозы может приводить к неспеци-
занным с опухолью довольно продолжитель-
фическому окрашиванию ввиду естественного
ное время и практически не изменяется в тече-
распределения препарата по кровяному руслу
ние 5 дней после введения. Связано это может
и тканям, в то время как доза должна быть по-
быть с различной липофильностью меток,
добрана так, чтобы сигнал от флуоресценции
обусловленной количеством сульфоксильных
накапливался исключительно в экспрессирую-
групп. Снижение липофильности в данном
щих тканях в достаточных для детектирования
случае улучшает фармакокинетический про-
количествах, а несвязанный препарат в кровя-
филь. Подтверждали высокую специфичность
БИОХИМИЯ том 88 вып. 7 2023
1180
УСПЕНСКАЯ и др.
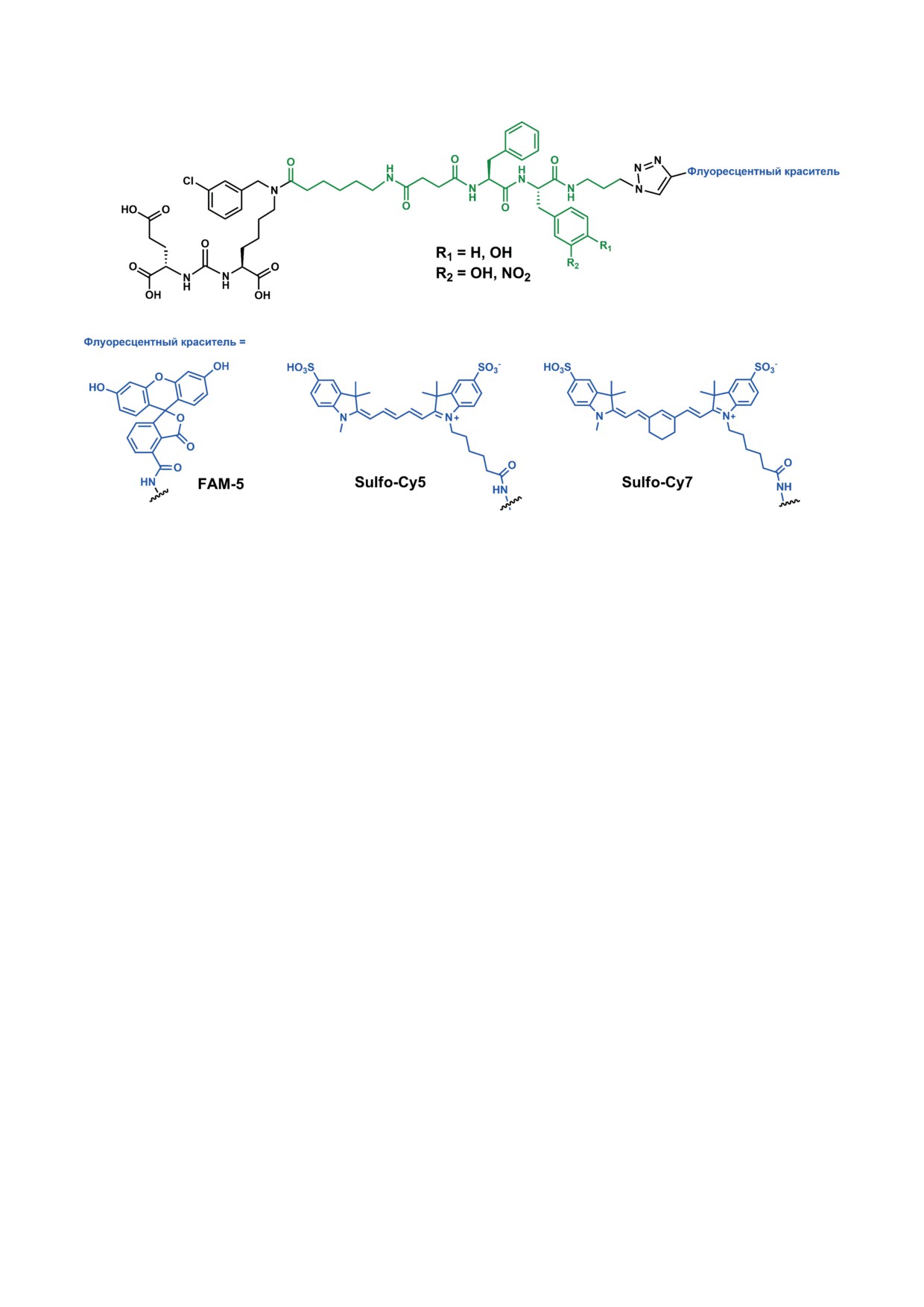
Рис. 4. Общая схема структуры флуоресцентных конъюгатов, полученных через реакцию азид-алкинового циклопри-
соединения на основе векторной молекулы DCL (чёрный), линкером (зелёный) и флуоресцентными красителями
FAM-5, Sulfo-Cy5, Sulfo-Cy7 (синий)
с помощью эксперимента с введением конъю-
Sulfo-Cy7 и FAM-5 (рис. 4). Чтобы улучшить
гатов и 100-кратной дозы высокоаффинно-
аффинность за счёт взаимодействия с ворон-
го конъюгата ПСМА ZJ-MCC-Ahx-YYYG [23].
кообразным туннелем, в структуру линкера
В результате в обоих случаях практически не
были введены дипептидные фрагменты на ос-
наблюдалось визуализации опухолевых тка-
нове фенилаланина и тирозина [26]. Без флуо-
ней, а основное накопление флуоресцентных
ресцентной нагрузки лиганды показывают на-
меток происходило в мочевом пузыре мышей.
номолярные значения активности в пределах
Мы видим, что для обеих структур значения
1-5 нМ [27]. Благодаря своим спектральным
IC50 сопоставимы и находятся в наномолярных
характеристикам (длины волн поглощения:
пределах.
λmax FAM-5 = 490 нм и λmax Sulfo-Cy5 = 646 нм)
Варьирование флуоресцентных меток име-
PSMA-SulfoCy5 имеет больший потенциал при
ет важное значение, оно помогает использо-
использовании в качестве визуализирующего
вать более широкую палитру красителей с раз-
агента. Обусловлено это ограничениями, воз-
личными физико-химическими свойствами, а,
никающими из-за прозрачности тканей для
соответственно, расширяется и область при-
видимого света. Sulfo-Cy5 имеет максимум по-
менения. В целом, подход, который заключа-
глощения при 646 нм и расположен на краю
ется в создании селективной к ПСМА базы с
окна NIR-I (первое окно ближнего инфра-
последующим применением разных флуорес-
красного диапазона в биологической ткани -
центных меток, можно видеть во многих дру-
700-900 нм) [28].
гих работах, что подтверждает его удобство.
Исследование проводили методом проточ-
Отдельное место здесь занимают клик-реак-
ной цитофлуориметрии на 3 клеточных ли-
ции. Реакция азид-алкинового циклоприсо-
ниях 22Rv1 (ПСМА +), LNCaP (ПСМА ++)
единения, катализируемая солями меди (I)
и PC-3 (ПСМА -). Для конъюгата L-Phe-L-
обладает рядом преимуществ, такими как:
Tyr-FAM-5 результаты были следующими:
высокая селективность затрагиваемых групп,
для клеточной линии LNCaP 83,8% клеток
простота в реализации, хорошие выходы ре-
несли флуоресцентный сигнал; 22Rv1 были
акций [24, 25].
окрашены на 14,4%; наименьшее количество
С помощью данного синтетического под-
флуоресцентного сигнала несли клетки PC-3 -
хода на основе модифицированной арома-
7,6%. Для того чтобы подтвердить, что низ-
тическим фрагментом при атоме азота ли-
кое накопление конъюгата на клеточной линии
зина мочевины была создана серия конъюга-
22Rv1 связано с низкой экспрессией ПСМА
тов с флуоресцентными метками Sulfo-Cy5,
в самих клетках, был проведён эксперимент по
БИОХИМИЯ том 88 вып. 7 2023
ФЛУОРЕСЦЕНТНЫЕ КОНЪЮГАТЫ НА ОСНОВЕ ЛИГАНДОВ ПСМА
1181
Рис. 5. Структура флуоресцентного конъюгата OTL7819, лиганд выделен чёрным цветом, линкер - зелёным, флуо-
ресцентный краситель - синим
методике «блокирования». Для этого клеточ-
конъюгат. Поглощение наблюдалось только
ные линии предварительно инкубировали в
в тканях, экспрессирующих ПСМА, в част-
течение часа с лигандом L-Phe-L-Tyr, на осно-
ности, в ксенотрансплантантах 22Rv1. В этой
ве которого были получены конъюгаты, но без
области увеличение интенсивности сигнала
флуоресцентной метки, с целью связать актив-
происходило более чем в 2 раза.
ные центры ПСМА. В результате накопление
Так как кожа и ткани активно поглощают
в клеточных линиях снизилось, особенно это
свет, что приводит к ослаблению сигнала, в
заметно на ПСМА-положительной линии с
связи с этим дополнительно было проведено
высокой экспрессией - LNCaP. Таким обра-
исследование ex vivo. Такие условия прибли-
зом, подтверждается, что окрашивание кле-
жены к условиям интраоперационной диагно-
ток происходит за счёт связывания конъюга-
стики при эксплоративной хирургии. Анализ
тов с ПСМА. Полученные конъюгаты не были
поглощения ex vivo показал ещё большую раз-
токсичны по отношению к клеточным лини-
ницу в накоплении сигнала. Среднее поглоще-
ям LNCaP и PC-3, за исключением конъюгата
ние конъюгата в опухолях 22Rv1 было в 14 ± 2
L-Phe-L-Tyr-Sulfo-Cy7, значения цитотоксич-
раза выше, чем в опухолях PC-3.
ности которого составили 12,2 мкМ и 18,7 мкМ
Кроме того, стоит отметить, что в срав-
соответственно.
нении с недавно опубликованными работами
Для визуализации накопления флуорес-
была продемонстрирована хорошая визуали-
центного сигнала полученных конъюгатов
зация на клеточной линии 22Rv1 с обоими
in vivo была выбрана модель ксенотрансплан-
конъюгатами при значительно меньшей дозе
тантов на мышах 22Rv1 и PC-3. В течение
введения - 5 нмоль в 100 мкл (для конъюга-
первого часа после введения препарата досто-
та OTL7819 доза введения составляет 10 нмоль
верных отличий между поглощением ПСМА-
в 100 мкл) (рис. 5) [29].
положительной и ПСМА-отрицательной опу-
Использование дипептидных цепочек на
холей не наблюдалось. Значительная разница
основе фенилаланина можно наблюдать и в
стала наблюдаться по истечении 24 часов. Так
других работах (рис. 6). На основе такого ли-
как после введения большая часть конъюгата
ганда была получена серия диагностических
находилась в кровотоке, в первые часы наблю-
конъюгатов на основе лиганда мочевины
далось увеличение фонового сигнала, который
DUPA и меток DyLight680, IR800CW и Alexa
постепенно снижался по мере накопления в
Fluor 647 [30].
тканях и выведения из организма почками с
Соединение DyLight680 показало аффин-
мочой. Таким образом, за 24 часа из организма
ность Ki = 33 нМ, Alexa Fluor - 4,5 нМ,
выводится весь неспецифически связанный
IR800CW - 12 нМ. Примечательным данное
БИОХИМИЯ том 88 вып. 7 2023
1182
УСПЕНСКАЯ и др.
Рис.
6. Структура конъюгатов на основе векторного фрагмента DUPA (чёрный) и красителей DyLight680,
Alexa Fluor 647 и IR800CW (синий) и полипептидного линкера (зелёный)
исследование делает то, что, помимо накоп-
маткарбоксипептидаза II (GCPII), и он при-
ления в ПСМА-экспрессирущих ксенограф-
сутствует и в здоровых клетках, отвечая за
тах, авторы провели эксперимент с изуче-
метаболизм фолиевой кислоты и гидролиз
нием метастазирования. Для этого мышам
N-ацетиласпартилглутамата. Также GCPII при-
внутрисердечно вводились опухолевые клетки
сутствует в мозге и ЦНС, и в этом случае обо-
22Rv1 (ПСМА +), после чего мыши жили 4 не-
значается как N-ацетил-L-аспартил-L-глута-
дели с зарождающимися опухолями. Затем про-
матпептидаза I (NAALADase I). Повышение
водили введение флуоресцентных конъюгатов,
уровня ПСМА при перечисленных выше типах
умерщвление и визуализацию. Лиганды пока-
онкологии, как правило, предвещает более
зали хорошее накопление в метастазах, значе-
неблагоприятный прогноз и тяжёлое протека-
ния аффинности практически не изменялись
ние болезни. В то же время ПСМА стано-
при переходе от метки к метке, что говорит о
вится ещё одним маркером, к которому раз-
том, что структура метки находится вне обла-
работано большое количество конъюгатов для
сти взаимодействия с белком-мишенью, и
визуализации и лечения, что может помочь
связывание хорошо обеспечивается вектор-
таким пациентам. На сегодняшний день по-
ной молекулой и линкером, а учитывая, что
пытки визуализации ПСМА при не проста-
количество сульфоксильных групп в метках
тическом раке были сделаны с применением
сопоставимо, нет большой разницы и в фар-
радиофармацевтических конъюгатов, таких как
макокинетическом профиле. Таким способом,
[18F]-DCFPyL, [68Ga]-PSMA-HBED-CC, и др.,
удалось визуализировать метастазы до 50 мкм
в силу возможности применения ПЭТ/КТ [31,
с помощью камер высокого разрешения.
32]. Но для гистологических исследований и
Помимо метастазов, ПСМА экспрессиру-
интраоперационной хирургии здесь также бо-
ется и в некоторых других случаях онкологиче-
лее предпочтительны флуоресцентные конъю-
ских заболеваний, в том числе раке молочной
гаты, направленные на ПСМА.
железы, колоректальном раке, папиллярной
Итак, конъюгаты с флуоресцентными кра-
почечно-клеточной карциноме. Здесь стоит
сителями представляют собой большой пласт
сказать, что другое название ПСМА - глута-
диагностических препаратов для визуализации
БИОХИМИЯ том 88 вып. 7 2023
ФЛУОРЕСЦЕНТНЫЕ КОНЪЮГАТЫ НА ОСНОВЕ ЛИГАНДОВ ПСМА
1183
Рис. 7. Структуры разветвлённых двойных конъюгатов с флуоресцентной меткой IRDye800CW (синий) и хелатирую-
щими агентами DOTA и MAG3 (красный) на основе мочевины DCL (чёрный). Линкер выделен зелёным цветом
РПЖ и его метастазов. Они обладают преи-
значение квантового выхода должно стремить-
муществами относительно радиофармацевти-
ся к 1, однако данный параметр сильно зависит
ческих препаратов, незатруднительны в син-
от множества факторов: растворителя, темпе-
тетическом плане и являются перспективной
ратуры, pH, структуры молекулы. Конверсия
альтернативой конъюгатам с радионуклидами.
внутренних колебаний флуорофора зависит
На что ещё стоит обратить внимание при вы-
от структуры: чем жёстче структура, тем выше
боре флуоресцентного красителя?
квантовый выход. В качестве примера можно
Помимо аффинности к белку-мишени ли-
привести пару флуоресцеина (квантовый вы-
ганда-вектора, эффективность флуоресцент-
ход равен 0,79) и фенолфталеина (квантовый
ного конъюгата также определяется и другими
выход равен 0,15), где структура первого соеди-
физико-химическими показателями, например,
нения содержит на одну циклическую систему
квантовым выходом. Если данный параметр
больше [33]. На другие факторы (температура,
имеет высокое значение, то высокое накопле-
pH, растворители) в условиях биологических
ние сигнала можно достичь не только за счёт
систем повлиять значительно труднее. На-
связывания достаточного количества конъю-
пример, безызлучательные процессы можно
гата с белком. В идеализированных условиях
снизить за счёт перехода на дейтерированные
БИОХИМИЯ том 88 вып. 7 2023
1
184
УСПЕНСКАЯ и др.
растворители или увеличения их вязкости. Вы-
(радиоактивный выход составляет 93%) (N48
сокие квантовые выходы можно достичь при
и N50) и 99mTc - для конъюгатов с хелатором
экстремально низких температурах, при кото-
MAG3 (радиоактивный выход составляет 15-
рых уже не протекают биологические процес-
69%). Авторам удалось доказать стабильность
сы. Также биологическая среда сильно огра-
полученных конъюгатов в сыворотке крови че-
ничивает интервал допустимых значений pH.
ловека. Использование MAG3 также приводит
Таким образом, для увеличения показателей
к увеличению липофильности, что может ска-
конъюгатов в плане квантового выхода и фото-
заться на поглощении, и существенно затруд-
стабильности предпочтительнее брать флуо-
няет синтез.
ресцентные структуры с жёстким структурным
Наилучшую липофильность показали конъю-
скелетом, содержащим прочные связи и/или
гаты с дибензоциклооктеновой группой. Log D
несколько циклических систем.
[99mTc]-N49 составил -2,4 по сравнению с -3,5
Несколько слов стоит сказать о двойных
для его эквивалента на основе NHS 99mTc-N51
конъюгатах, которые позволяют объединить
(p < 0,01). Log D [111In]-N48 (SPAAC - реакция,
в одну молекулу несколько фрагментов, вы-
промотируемая напряжением) составил -3,2
полняющих разные функции. Использование
по сравнению с -4,4 для [111In]-PSMA-N50
конъюгатов двойного назначения в диагно-
(NHS) (p < 0,001).
стике признано обеспечить как радио-, так
Исследование in vitro проводили на кле-
и флуоресцентную визуализацию, что может
точных линиях LS174T-PSMA (PSMA +) и
быть очень полезным при таком методе тера-
LS174T-WT (PSMA -). Все четыре лиганда по-
пии, как интраоперационная хирургия. Ис-
казали специфическое связывание, доказан-
пользование бимодальных конъюгатов позво-
ное экспериментом с предварительной блоки-
ляет проводить контроль опухоли на этапе
ровкой ПСМА с помощью избытка 2-PMPA.
диагностики, во время хирургического вмеша-
Однако накопление конъюгатов N48 и N49
тельства, а также в постоперационный период.
(содержащих дибензоциклооктеновую группу)
Применение в этом случае одного и того же
было весьма невысоким в сравнении с конъю-
диагностического селективного агента позво-
гатами, полученными через NHS-эфиры: 3,9 ±
лит уменьшить количество побочных эффек-
± 0,5% - для [99mTc]-N49 и 8,9 ± 0,6% - для
тов, облегчить выбор врачом лекарственных
[111In]-N48, по сравнению с NHS-конъюгирован-
препаратов для диагностики. Использование
ными вариантами; 22,9 ± 1,6% - для [99mTc]-N51
двойных конъюгатов с хелатирующим агентом
и
17,2 ± 3,5%
- для
[111In]-N50. В качестве
и флуоресцентной меткой призвано помочь
конъюгата сравнения был использован [111In]-
определить нахождение ПСМА-экспрессирую-
PSMA-617, накопление которого составило
щих тканей после [18F]-ПЭТ.
13,4 ± 3,5%. Но стоит отметить, что при этом
Конструкция двойных конъюгатов, как
для всех четырёх лигандов не наблюдалось
правило, представлена двумя типами: развет-
неспецифического связывания. Тем не менее
влённые, где сочленение происходит за счёт
при конъюгировании с радиоактивной меткой
линкера с несколькими связующими участ-
стоит понимать, что свойства биологической
ками, и последовательные, в которых один из
активности могут поменяться. Более низкое
функциональных фрагментов выступает в ка-
сродство, чем у PSMA-617, авторы также свя-
честве элемента соединения для двух других,
зывают с более сложной структурой конъюга-
например, флуоресцентный краситель связан
тов, которая приводит к большей интернали-
с векторной системой с одной стороны, а с
зации, что, впрочем, может поспособствовать
другой - с биологически активной молекулой
увеличению времени удержания конъюгатов.
(например, хелатором). Как правило, такие
Результаты исследования in vivo также по-
конъюгаты представлены диагностическими
казывают специфическое поглощение ПСМА-
агентами двух типов: направленные как на ра-
положительными клеточными линиями, сопо-
диодетектирование, так и на флуоресцентное
ставимое с конъюгатами сравнения PSMA-617,
накопление [34]. Но встречаются сочетания
PSMA-I&T и PSMA-1007, о которых сообща-
флуоресцентного красителя и терапевтическо-
ется в литературе. Поглощение вышеперечис-
го препарата [11]. Флуоресцентный краситель
ленных молекул варьируются от 5 до 13% ID/g
в работе с диагностическими агентами двух
(LNCaP, ½ часа после введения). Опухолевое
типов представлен меткой IRDye800CW, хела-
поглощение N49 (9% ID/g) было в схожем ин-
тирование проводилось DOTA или меркапто-
тервале, а поглощение N48 (21% ID/g) было,
ацетилтриглицином (MAG3) (рис. 7).
возможно, даже выше (LS174T-PSMA, 2 часа
Радиомечение полученных лигандов про-
после введения). Стоит отметить, что в данной
водили 111In для конъюгатов с хелатором DOTA
работе авторы использовали клеточную линию
БИОХИМИЯ том 88 вып. 7 2023
ФЛУОРЕСЦЕНТНЫЕ КОНЪЮГАТЫ НА ОСНОВЕ ЛИГАНДОВ ПСМА
1185
Рис. 8. Структуры последовательных конъюгатов: а - лиганд мочевины DCL (чёрный) связан с хелатирующим аген-
том HBED-CC (красный) и флуоресцентными метками FITC, Alexa Fluor 488, IRDye800CW, DyLight800 (синий);
б - лиганд мочевины DCL (чёрный) связан с флуоресцентной меткой Cy3 (синий) и фторидной ловушкой (розовый).
Линкер выделен зелёным цветом
LS174T-PSMA, в отличие от описанных ранее
в которых активные вещества последовательно
в литературе для PSMA-617, PSMA-I&T и
соединены между собой. Опять же стоит отме-
PSMA-1007 LNCaP. Тем не менее прямое срав-
тить, что в данном случае флуоресцентная мет-
нение ксенотрансплантатов LNCaP и LS174T-
ка выступает ещё и в роли линкера, который
PSMA не выявило существенных различий в
может улучшать степень связывания конъю-
поглощении трассера PSMA-I&T между этими
гата с ПСМА. Однако можно сделать и наобо-
моделями, что убедительно свидетельствует о
рот: поставить хелатирующий агент в середине
том, что эффективность лигандов SPAAC на-
конъюгата, при этом он должен быть стериче-
ходится в том же диапазоне, что и у клиниче-
ски доступным для белка-мишени.
ски доступных лигандов.
Примеры таких конъюгатов получены в ра-
Разветвлённые конъюгаты представляют
боте Baranski et al. [35]. Лиганд-вектор в структу-
собой стерически весьма сложные структуры,
ре представлен мочевиной DCL, далее в струк-
что ввиду строения активного центра ПСМА
туру введён хелатирующий агент HBED-CC.
может снизить проникновение таких конъю-
Присоединение происходит по карбоксильным
гатов в клетку. В отличие от лекарственных
группам со стороны ароматических колец. Да-
препаратов, где закрытие той или иной функ-
лее идёт конъюгирование с флуоресцентны-
циональной группы может привести к пол-
ми красителями различных типов: CC-FITC,
ной потере противоопухолевой активности,
Alexa Fluor 488, IRDye800CW (рис. 8, а). В ка-
хелатирующие и флуоресцентные агенты пере-
честве лиганда сравнения был взят PSMA-11.
носят модификации по свободным функцио-
Мечение проводили 68Ga, где радиоактивный
нальным группам без значительных изменений
выход для всех конъюгатов составил 99%.
спектральных свойств. Это открывает возмож-
Все конъюгаты показали сопоставимую
ность для получения «линейных» конъюгатов, аффинность с лигандом сравнения PSMA-11
10
БИОХИМИЯ том 88 вып. 7 2023
1186
УСПЕНСКАЯ и др.
в диапазоне 19-24 нМ. Это говорит о том, что
Второй метод подтверждает мембранное на-
хелатор HBED-CC не повышает аффинность
копление конъюгата во внеклеточном домене
конъюгата. Учитывая, что при мечении радио-
целевого белка. С помощью проточной цито-
нуклидом его структура претерпевает измене-
флуориметрии установлено сродство полу-
ния и становится более объёмной, то, что аф-
ченного конъюгата со значением EC50 = 6,74 ±
финность не ухудшается относительно лиганда
± 1,33 нМ.
сравнения, является очень хорошим результа-
Исследования на ксенотрансплантан-
том. Мечение 68Ga принципиально не повлия-
тах мышей PC3-PIP и PC-3 в условиях ex vivo
ло на биологическую активность соединений.
с помощью γ-сцинсцилляторного счётчика
Селективность in vitro проверялась на клеточ-
подтвердили относительную селективность в
ной линии LNCaP.
опухолевой ткани и позволили качественно
Высокое поглощение опухолью наблюда-
определить накопление в органах и тканях.
лось и на испытаниях in vivo. В сравнении с
Помимо этого, накопление и выведение веще-
ранее полученным конъюгатом, более высокое
ства из организма происходит через почки, а
поглощение показывают конъюгаты мечен-
также часть вещества остаётся в слюнных же-
ных 68Ga с FITC (10,86 ± 0,94% ID/g; фактор:
лезах и проксимальном отделе тонкой кишки,
2,2; p < 0,05), IRDye800CW (13,66 ± 3,73% ID/g;
что обусловлено наличием в их тканях ПСМА.
фактор: 2,8; p < 0,05) и DyLight800 (15,62 ±
Однако, несмотря на то что NAALADase I при-
± 5,52% ID/g; фактор: 3,2; p < 0,05) против
сутствует и в мозге, присутствия конъюгата
68Ga-PSMA-11 (4,89 ± 1,34% ID/g). В то же вре-
там не обнаружено, что говорит о том, что со-
мя конъюгаты [68Ga]-Glu-urea-Lys-HBED-CC-
единение не способно проходить через гемато-
Alexa Fluor 488 показал аналогичное поглоще-
энцефалический барьер. ПЭТ-детектирование
ние опухолью (9,12 ± 5,47% ID/g; фактор: 1,9;
флуоресценции также доказывает накопление
p > 0,05). Выведение препаратов происходит
сигнала в ПСМА-экспрессирующей клеточной
через почки, также стандартно конъюгаты на-
линии PC3-PIP. Сигнал здесь в 5,2 раза выше,
капливались в экспрессирующей ПСМА селе-
чем в ксенотрансплантанте PC-3 (на пред-
зёнке мышей. Благодаря своей флуоресценции
варительно вырезанной ткани). Устойчивое
в ближней инфракрасной области для даль-
окрашивание наблюдается даже спустя 24 часа
нейшего применения лучше всего подходят
после инъекции.
[68Ga]-Glu-urea-Lys-HBED-CC-IRDye800CW
Клинические испытания на людях про-
и
[68Ga]-Glu-urea-Lys-HBED-CC-DyLight800.
водились на группе мужчин 66 ± 7 лет. Введе-
Чуть лучшее соотношение опухоль-орган для
ние препарата не вызывало побочных реакций
соответствующих органов показывает конъюгат
со стороны нервной, пищеварительной, дыха-
с флуоресцентной меткой IRDye800CW ([68Ga]-
тельной и других систем. Селективное накоп-
Glu-urea-Lys-HBED-CC-IRDye800CW).
ление в клетках РПЖ было продемонстри-
Исходя из исследования накопления сиг-
ровано на разнообразной группе пациентов,
нала установлено, что с течением времени наи-
включая пациентов с метастазами, различ-
большее снижение уровня сигнала происходит
ным уровнем ПСА в крови, различным бал-
через 2 часа после инъекции с дальнейшим
лом по шкале Глисона. [18F]-BF3-Cy3-ACUPA
сохранением этого уровня до 6 часов, что гово-
показал высокую чувствительность к тканям
рит о стабилизации поглощения конъюгата
(ПСМА +) и позволил визуализировать как
опухолью.
диссеминированный, так и локализованный рак.
В другой работе были получены после-
Отдельно стоит отметить сохранение флуо-
довательные конъюгаты на основе мочевины
ресцентного сигнала в течение 24 часов после
DCL с флуоресцентными красителями Cy3 и
инъекции, что является большим преимуще-
c «фторидной ловушкой» (рис. 8, б) [36]. При-
ством [18F]-BF3-Cy3-ACUPA как диагностиче-
соединение проводилось через карбоксиль-
ского агента. Благодаря этому пациент может
ные группы флуоресцентной метки Sulfo-Cy3.
прийти на ПЭТ-визуализацию, после чего без
Особенностью данной работы является то, что
дополнительных инъекций получить возмож-
полученный конъюгат смог выйти на клиниче-
ность проведения интраоперационной флуо-
ские испытания на людях [37, 38].
ресцентной диагностики. Так как период полу-
Исследования на клеточных линиях PC3-
распада 18F составляет 108 минут, то к моменту
PIP (ПСМА +) и PC-3 (ПСМА -), проведён-
операции уже не будет происходить ионизи-
ные Kommidi et al. [36], показали высокое
рующего излучения, а не связанный конъюгат
сродство к простатическому специфическому
выведется из крови и мочи.
мембранному антигену методами проточной
Также стоит обратить внимание на рабо-
цитометрии и флуоресцентной микроскопии.
ту Derks et al. [39], в которой представлены
БИОХИМИЯ том 88 вып. 7 2023
ФЛУОРЕСЦЕНТНЫЕ КОНЪЮГАТЫ НА ОСНОВЕ ЛИГАНДОВ ПСМА
1187
двойные конъюгаты на основе мочевины,
исследований проведено с использованием
содержащие хелатор DOTA и сенсибилизатор
«стандартных» флуоресцентных красителей:
IRDye700DX, о котором стоит сказать несколь-
карбоцианинов, флуоресцеинов и др. На наш
ко слов. Данное соединение может выступать
взгляд, стоит обратить внимание на достиже-
как в качестве флуоресцентной метки, так и
ния последних лет в области флуоресцентных
в качестве фотосенсибилизатора. Фотодина-
молекул, меняющих свои физико-химические
мическая терапия предполагает селективное
свойства в зависимости от окружающих их
накопление сенсибилизатора в опухолевой
условий: молекулярные роторы, позволяю-
ткани, после чего происходит его возбуждение
щие значительно увеличить уровень сигнал/
пучком лазера, приближенного к максималь-
шум при визуализации; УФ-чувствительные
ной длине поглощения красителя. Благодаря
метки, которые можно применять как инди-
фотохимическим процессам происходит обра-
видуально, так и в сочетании со стандартными
зование активных форм кислорода, вызываю-
флуоресцентными метками и хелатирующими
щих гибель клеток. Таким образом, несмотря
агентами; фотосенсибилизаторы, некоторые
на то что конъюгат является бимодальным,
из которых, как было описано выше, можно
он при этом обладает тройным назначени-
применять как в диагностических, так и в те-
ем. Хелатирование DOTAG в данной работе
рапевтических целях.
производилось 111In и показало эффективную
Современные синтетические возможности
радиодиагностику. IRDye700DX, являясь фо-
позволяют эффективно оптимизировать время
тосенсибилизатором, также обладает и спек-
синтеза, затраты на реактивы и очистку со-
тральными характеристиками. Таким образом,
единений и др. Развитие твердофазных мето-
конъюгаты могут выполнять как диагности-
дов синтеза позволило значительно ускорить
ческую, так и терапевтическую роль. Данная
варьирование структур лигандов и установить
работа является продолжением более ранних
основные закономерности в соотношении струк-
наработок научной группы Derks. Изначально
тура-активность. Благодаря этому установ-
ими была получена библиотека конъюгатов,
лено, что оптимальными векторными молеку-
где векторная молекула представляла собой
лами являются модифицированные мочевины
мочевину DCL с присоединённым фрагмен-
на основе глутамата и лизина. Целесообразно
том аминокапроновой кислоты в качестве
между векторной молекулой и флуоресцент-
линкера. Далее производилось варьирование
ной меткой вводить отрицательно заряженные
структуры линкера различными полипеп-
функциональные группы (лизин, глутаминовая
тидными фрагментами. В результате авторы
кислота и др.) и ароматические системы (фраг-
статьи отмечают, что наилучшие результаты
менты фенилаланина, тирозина и др.). Стоит
аффинности показывает конъюгат с пептид-
учитывать, что, если молекула флуорофора
ной последовательностью D-Phe-Glu-Glu, что
достаточно небольшая и имеет, например, до-
хорошо согласуется с вышеприведённым нами
статочное количество сульфогрупп, она также
аргументом о том, что аффинность конъюгатов
может взаимодействовать с воронкообразным
может быть улучшена путём введения в струк-
туннелем ПСМА и тем самым повышать срод-
туру ароматических фрагментов и/или амино-
ство конъюгата. Также при выборе флуорес-
кислот, содержащих отрицательно заряженные
центного красителя следует обращать внима-
группы. В следующей работе за основу были
ние на такие параметры, как квантовый выход,
взяты уже зарекомендовавшие себя в иссле-
водорастворимость, длины волн поглощения
дованиях мочевины PSMA-1007 и PSMA-617.
и испускания (для того чтобы попасть в окно
Также здесь можно проследить развитие моди-
прозрачности биологических тканей).
фикации линкеров, которое подробно обсуж-
Возможно, в дальнейшем будут разрабо-
далось в нашем предыдущем обзоре [40].
таны флуоресцентные камеры достаточной
мощности, которые позволят визуализировать
красители в тканях человека. Тогда мы сможем
ЗАКЛЮЧЕНИЕ
сократить облучение пациентов при использо-
вании радиофармпрепаратов и применять его
Итак, на сегодняшний день флуоресцент-
только в случае лечения. Причём, создавать
ные конъюгаты, направленные на простати-
терапевтические конъюгаты будет возможно
ческий специфический мембранный антиген,
на базе высокоселективных диагностических
представляют большой потенциал в области
конъюгатов путём замены активного веще-
гистологических исследований и интраопе-
ства. При создании новых молекул в первую
рационной хирургии, а также в области фото-
очередь стоит ориентироваться на цель, кото-
динамической терапии. Большое количество
рую закладывают в её разработку. Если целью
БИОХИМИЯ том 88 вып. 7 2023
10*
1188
УСПЕНСКАЯ и др.
является получение гистологического пре-
жуга А.Г. - руководство работой; Белоглазки-
парата, то имеет смысл разрабатывать моно-
на Е.К. - написание работы: рецензирование;
конъюгаты малых размеров, так как это сокра-
Мачулкин А.Э. - концепция, написание рабо-
тит синтетическую схему и ускорит наработку
ты: редактирование.
таких веществ. Если речь о препарате для па-
Финансирование. Исследование выполне-
циентов, то разработка многофункциональ-
но за счёт гранта Российского научного
ных соединений становится приоритетной, так
фонда № 23-23-00297, https://rscf.ru/project/
как позволит снизить количество введений и
23-23-00297/.
дозировку. Таким образом, химиотерапия для
Конфликт интересов. Авторы заявляют об
диагностики (контрастные реагенты) стано-
отсутствии конфликта интересов в финансо-
вится более эффективной и безопасной.
вой или какой-либо иной сфере.
Соблюдение этических норм. Настоящая
Вклад авторов. Успенская А.А. - концеп-
статья не содержит описания выполненных ав-
ция, написание работы: оригинальный текст;
торами исследований с участием людей или ис-
Красников П.А. - оформление работы; Ма-
пользованием животных в качестве объектов.
СПИСОК ЛИТЕРАТУРЫ
1.
Jones, A. D., and Wilton, J. C. (2017) Can intra-
Budesinsky, M., Motlova, L., Rojas, C., Slusher, B. S.,
operative fluorescence play a significant role in
Rokob, T. A., Rulíšek, L., and Tsukamoto, T. (2019)
hepatobiliary surgery? Eur. J. Surg. Oncol., 43, 1622-
Structural and computational basis for potent
1627, doi: 10.1016/j.ejso.2017.02.015.
inhibition of glutamate carboxypeptidase II by
2.
Fei, X., and Gu, Y. (2009) Progress in modifications
carbamate-based inhibitors, Bioorg. Med. Chem., 27,
and applications of fluorescent dye probe, Prog. Nat.
255-264, doi: 10.1016/j.bmc.2018.11.022.
Sci., 19, 1-7, doi: 10.1016/j.pnsc.2008.06.004.
9.
Barinka, C., Rojas, C., Slusher, B., and Pomper, M.
3.
Hemmer, E., Benayas, A., Légaré, F., and Vetrone, F.
(2012) Glutamate carboxypeptidase II in diagnosis
(2016) Exploiting the biological windows: current
and treatment of neurologic disorders and prostate
perspectives on fluorescent bioprobes emitting above
cancer, Curr. Med. Chem., 19, 856-870, doi: 10.2174/
1000 nm, Nanoscale Horizons, 1, 168-184, doi: 10.1039/
092986712799034888.
c5nh00073d.
10.
Cilibrizzi, A., Wang, J. T.-W., Memdouh, S.,
4.
Sung, H., Ferlay, J., Siegel, R. L., and Laversanne, M.
Iacovone, A., McElroy, K., Jaffar, N., Young, J. D.,
(2021) Global cancer statistics 2020: GLOBOCAN
Hider, R. C., Blower, P., Al-Jamal, K., and Abbate, V.
estimates of incidence and mortality worldwide for
(2022) PSMA-targeted NIR probes for image-guid-
36 cancers in 185 countries, CA Cancer J. Clin., 71,
ed detection of prostate cancer, Colloids Surf. B
209-249, doi: 10.3322/caac.21660.
Biointerfaces,
218,
112734, doi:
10.1016/j.colsurfb.
5.
Jackson, P. F., Cole, D. C., Slusher, B. S., Stetz, S. L.,
2022.112734.
Ross, L. E., Donzanti, B. F., and Trainor, D. A. (1996)
11.
Petrov, S. A., Machulkin, A. E., Uspenskaya, A. A.,
Design, synthesis, and biological activity of a potent
Zyk, N. Y., Nimenko, E. A., Garanina, A. S., Petrov,
inhibitor of the neuropeptidase N-acetylated α-linked
R. A., Polshakov, V. I., Grishin, Y. K., Roznyatovsky,
acidic dipeptidase, J. Med. Chem.,
39,
619-622,
V. A., Zyk, N. V., Majouga, A. G., and Beloglazkina,
doi: 10.1021/jm950801q.
E. K.
(2020) Polypeptide-based molecular plat-
6.
Kozela, E., Wrobel, M., Kos, T., Wojcikowski, J., Daniel,
form and its docetaxel/sulfo-Cy5-containing con-
W. A., Wozniak, K. M., Slusher, B. S., and Popik, P.
jugate for targeted delivery to prostate specific mem-
(2005) 2-MPPA, a selective glutamate carboxypepti-
brane antigen, Molecules, 25, 5784, doi: 10.3390/
dase II inhibitor, attenuates morphine tolerance but
molecules25245784.
not dependence in C57/Bl mice, Psychopharmacology
12.
Liu, T., Jabbes, M., Nedrow-Byers, J. R., Wu, L. Y.,
(Berl), 183, 275-284, doi: 10.1007/s00213-005-0182-5.
Bryan, J. N., and Berkman, C. E. (2011) Detection of
7.
Zhang, A. X., Murelli, R. P., Barinka, C., Michel, J.,
prostate-specific membrane antigen on HUVECs in
Cocleaza, A., Jorgensen, W. L., Lubkowski, J., and
response to breast tumor-conditioned medium, Int. J.
Spiegel, D. A. (2010) A remote arene-binding site on
Oncol., 38, 1349-1355, doi: 10.3892/ijo.2011.946.
prostate specific membrane antigen revealed by anti-
13.
Humblet, V., Lapidus, R., Williams, L. R.,
body-recruiting small molecules, J. Am. Chem. Soc.,
Tsukamoto, T., Rojas, C., Majer, P., Hin, B.,
132, 12711-12716, doi: 10.1021/ja104591m.
Ohnishi, S., De Grand, A. M., Zaheer, A., Renze,
8.
Barinka, C., Novakova, Z., Hin, N., Bíme, D., Ferraris,
J. T., Nakayama, A., Slusher, B. S., and Frangioni,
D. V., Duvall, B., Kabarriti, G., Tsukamoto, R.,
J. V. (2005) High-affinity near-infrared fluorescent
БИОХИМИЯ том 88 вып. 7 2023
ФЛУОРЕСЦЕНТНЫЕ КОНЪЮГАТЫ НА ОСНОВЕ ЛИГАНДОВ ПСМА
1189
small-molecule contrast agents for in vivo imaging of
24.
Tang, W., and Becker, M. L. (2014) “Click” reactions:
prostate-specific membrane antigen, Mol. Imaging, 4,
a versatile toolbox for the synthesis of peptide-conju-
448-462, doi: 10.2310/7290.2005.05163.
gates, Chem. Soc. Rev., 43, 7013-7039, doi: 10.1039/
14.
Jing, Y., Cai, M., Zhou, L., Jiang, J., Gao, J., and
c4cs00139g
Wang, H. (2020) Application of an inhibitor-based
25.
Ciuk, A. K., and Lindhorst, T. K. (2015) Synthesis
probe to reveal the distribution of membrane PSMA in
of carbohydrate-scaffolded thymine glycoconjugates
dSTORM imaging, Chem. Commun., 56, 13241-13244,
to organize multivalency, Beilstein J. Org. Chem., 11,
doi: 10.1039/D0CC04889E.
668-674, doi: 10.3762/bjoc.11.75.
15.
Matsuoka, D., Watanabe, H., Shimizu, Y., Kimura, H.,
26.
Machulkin, A. E., Uspenskaya, A. A., Ber, A. P.,
Ono, M., and Saji, H. (2021) Synthesis and evaluation
Petrov, S. A., Saltykova, I. V., Ivanenkov, Y. A.,
of a novel near-infrared fluorescent probe based on
Skvortsov, D. A., Erofeev, A. S., Gorelkin, P. V.,
succinimidyl-Cys-C(O)-Glu that targets prostate-
Beloglazkina, E. K., Belov, E. Iu., Khazanova, E. S.,
specific membrane antigen for optical imaging,
and Majouga, A. G. (2019) Peptide agent comprising
Bioorg. Med. Chem. Lett., 27, 4876-4880, doi: 10.1016/
a urea derivative based PSMA-binding ligand, a
j.bmcl.2017.09.037.
method for preparing the same, and use for producing
16.
Ye, S., Zhang, H., Fei, J., Wolstenholme, C. H., and
a conjugate with a drug and diagnostic agent, RF
Zhang, X. (2021) A general strategy to control viscosity
Patent 2697519.
sensitivity of molecular rotor-based fluorophores,
27.
Machulkin, A. E., Shafikov, R. R., Uspenskaya, A. A.,
Angew. Chem. Int Ed., 60, 1339-1346, doi: 10.1002/
Petrov, S. A., Ber, A. P., Skvortsov, D. A., Nimenko,
anie.202011108.
E. A., Zyk, N. U., Smirnova, G. B., Pokrovsky, V. S.,
17.
Karimi, A., Börner, R., Mata, G., and Luedtke, N. W.
Abakumov, M. A., Saltykova, I. V., Akhmirov, R. T.,
(2020) A highly fluorescent nucleobase molecular
Garanina, A. S., Polshakov, V. I., Saveliev, O. Y.,
rotor, J. Am. Chem. Soc.,
142,
14422-14426,
Ivanenkov, Y. A., Aladinskaya, A. V., Finko, A. V.,
doi: 10.1021/jacs.0c05180.
Yamansarov, E. U., Krasnovskaya, O. O., Erofeev, A. S.,
18.
Kopka, K., Benešová, M., Bařinka, C., Haberkorn, U.,
Gorelkin, P. V., Dontsova, O. A., Beloglazkina, E. K.,
and Babich, J. (2017) Glu-ureido-based inhibitors of
Zyk, N. V., Khazanova, E. S., and Majouga, A. G.
prostate-specific membrane antigen: Lessons learned
(2021) Synthesis and biological evaluation of PSMA
during the development of a novel class of low-
ligands with aromatic residues and fluorescent
molecular-weight theranostic radiotracers, J. Nucl.
conjugates based on them, J. Med. Chem., 64, 4532-
Med., 58, 17S-26S, doi: 10.2967/jnumed.116.186775.
4552, doi: 10.1021/acs.jmedchem.0c01935.
19.
Zhang, J., Rakhimbekova, A., Duan, X., Yin, Q., Foss,
28.
Weissleder, R. (2001) A clearer vision for in vivo
C. A., Fan, Y., Xu, Y., Li, X., Cai, X., Kutil, Z., Wang, P.,
imaging: progress continues in the development of
Yang, Z., Zhang, N., Pomper, M. G., Wang, Y.,
smaller, more penetrable probes for biological imaging,
Bařinka, C., and Yang, X. (2021) A prostate-specific
Nat. Biotechnol., 19, 316-317, doi: 10.1038/86684.
membrane antigen activated molecular rotor for real-
29.
Kularatne, S. A., Thomas, M., Myers, C. H.,
time fluorescence imaging, Nat Commun., 12, 5460,
Pravin, G., Kanduluru, A. K., Crian, C. J., and
doi: 10.1038/s41467-021-25746-6.
Cichocki, B. N. (2019) Evaluation of novel prostate-
20.
Lincoln, R., Bossi, M. L., Remmel, M., D’Este, E.,
specific membrane antigen-targeted near-infrared
Butkevich, A. N., and Hell, S. W. (2022) A general
imaging agent for fluorescence-guided surgery of
design of caging-group-free photoactivatable fluoro-
prostate cancer, Clin. Cancer Res.,
25,
177-187,
phores for live-cell nanoscopy, Nat. Chem., 14, 1013-
doi: 10.1158/1078-0432.CCR-18-0803.
1020, doi: 10.1038/s41557-022-00995-0.
30.
Kelderhouse, L. E., Chelvam, V., Wayua, C.,
21.
Chen, Y., Dhara, S., Banerjee, S. R., Byun, Y.,
Mahalingam, S., Poh, S., Kularatne, S. A., and
Pullambhatla, M., Mease, R. C., and Pomper, M. G.
Low, P. S. (2013) Development of tumor-targeted
(2009) A low molecular weight PSMA-based fluorescent
near infrared probes for fluorescence guided surgery,
imaging agent for cancer, Biochem. Biophys. Res. Com-
Bioconjug. Chem.,
24,
1075-1080, doi:
10.1021/
mun., 390, 624-629, doi: 10.1016/j.bbrc.2009.10.017.
bc400131a.
22.
Wang, X., Huang, S. S., Heston, W. D. W., Guo, H.,
31.
Raveenthiran, S., Esler, R., Yaxley, J., and Kyle, S.
Wang, B. C., and Basilion, J. P. (2014) Development
(2019) The use of 68Ga-PET/CT PSMA in the
of targeted near-infrared imaging agents for
staging of primary and suspected recurrent renal cell
prostate cancer, Mol. Cancer Ther., 13, 2595-2606,
carcinoma, Eur. J. Nucl. Med. Mol. Imaging, 46, 2280-
doi: 10.1158/1535-7163.MCT-14-0422.
2288, doi: 10.1007/s00259-019-04432-2.
23.
Huang, S. S., Wang, X., Zhang, Y., Doke, A.,
32.
Salas Fragomeni, R. A., Amir, T., Sheikhbahaei, S.,
Difilippo, F. P., and Heston, W. D. (2014) Improving
Harvey, S. C., Javadi, M. S., Solnes, M. B., Kiess,
the biodistribution of PSMA-targeting tracers with a
A. P., Allaf, M. E., Pomper, M. G., Gorin, M. A., and
highly negatively charged linker, Prostate, 74, 702-713,
Rowe, S. P. (2018) Imaging of nonprostate cancers
doi: 10.1002/pros.22789.
using PSMA-targeted radiotracers: rationale, current
БИОХИМИЯ том 88 вып. 7 2023
1
190
УСПЕНСКАЯ и др.
state of the field, and a call to arms, J. Nucl. Med., 59,
Yeyin, N., Kyprianou, N., Chen, N., Harmsen, S.,
871-877, doi: 10.2967/jnumed.117.203570.
Sonmezoglu, K., Lundon, D. J., Oklu, R., Ting, R.,
33. Kellogg, R. E., and Bennett, R. G. (1964) Radiationless
Tewari, A., Akin, O., and Sayman, H. B. (2021)
intermolecular energy transfer. III. Determination
Small molecule, multimodal, [18F]-PET and fluo-
of phosphorescence efficiencies, J. Chem. Phys., 41,
rescence imaging agent targeting prostate-specif-
3042-3045, doi: 10.1063/1.1725672.
ic membrane antigen: first-in-human study, Clin.
34. Derks, Y. H. W., Rijpkema, M., Amatdjais-Groenen,
Genitourin. Cancer, 19, 405-416, doi: 10.1016/j.clgc.
H. I. V., Loeff, C. C., Roode, K. E., Kip, A.,
2021.03.011.
Laverman, P., Lüthe, S., Heskamp, S., and Löwik,
38. Aras, O., Demirdag, C., Kommidi, H., Pavlova, I.,
D. W. P. M. (2022) Strain-promoted azide-alkyne
Boyko, V., Lundon, D. J., Ting, R., Tewari, A.,
cycloaddition-based PSMA-targeting ligands for
Akin, O., and Sayman, H. B. (2021) Simultaneous
multimodal intraoperative tumor detection of prostate
injection of 18F-BF3-Cy3-ACUPA and non-radioac-
cancer, Bioconjug. Chem., 33, 194-205, doi: 10.1021/
tive Cy7-ACUPA probes: a promising pre-biopsy PET
acs.bioconjchem.1c00537.
and ex vivo fluorescence imaging approach to evaluate
35. Baranski, A. C., Schäfer, M., Bauder-Wüst, U.,
prostate cancer, Eur. J. Nucl. Med. Mol. Imaging, 48,
Roscher, M., Schmidt, J., Stenau, E., Simpfendörfer, T.,
3732-3733, doi: 10.1007/s00259-021-05344-w.
Teber, D., Maier-Hein, L., Hadaschik, B., Haber-
39. Derks, Y. H. W., van Lith, S. A. M., Amatdjais-
korn, U., Eder, M., and Kopka, K. (2018) PSMA-11-
Groenen, H. I. V., Wouters, L. W. M., Kip, A.,
derived dual-labeled PSMA inhibitors for preoperative
Franssen, G. M., Laverman, P., Löwik, D. W. P. M.,
PET imaging and precise fluorescence-guided surgery
Heskamp, S., and Rijpkema, M. (2022) Theranos-
of prostate cancer, J. Nucl. Med.,
59,
639-645,
tic PSMA ligands with optimized backbones for
doi: 10.2967/jnumed.117.201293.
intraoperative multimodal imaging and photody-
36. Kommidi, H., Guo, H., Nurili, F., Vedvyas, Y., Jin,
namic therapy of prostate cancer, Eur. J. Nucl. Med.
M. M., McClure, T. D., Ehdaie, B., Sayman, H. B.,
Mol. Imaging, 49, 2425-2435, doi: 10.1007/s00259-
Akin, O., Aras, O., and Ting, R. (2018) 18F-Positron
022-05685-0.
emitting/trimethine cyanine-fluorescent contrast for im-
40. Uspenskaya, A. A., Nimenko, E. A., Machulkin,
age-guided prostate cancer management, J. Med. Chem.,
A. E., Beloglazkina, E. K., and Majouga, A. G.
61, 4256-4262, doi: 10.1021/acs.jmedchem.8b00240.
(2021) The importance of linkers in the structure
37. Aras, O., Demirdag, C., Kommidi, H., Guo, H., Pav-
of PSMA ligands, Curr. Med. Chem.,
28,
1-31,
lova, I., Aygun, A., Karayel, E., Pehlivanoglu, H.,
doi: 10.2174/0929867328666210804092200.
FLUORESCENT CONJUGATES BASED ON PROSTATIC SPECIFIC
MEMBRANE ANTIGEN LIGANDS AS AN EFFECTIVE
VISUALIZATION TOOL FOR PROSTATE CANCER
Review
A. A. Uspenskaia1*, P. A. Krasnikov1, A. G. Majouga1,2,3, E. K. Beloglazkina1,
and A. E. Machulkin1,4
1 Faculty of Chemistry, Lomonosov Moscow State University,
119991 Moscow, Russia ; e-mail: uspenskaya.n@gmail.com
2 National University of Science and Technology “MISiS”, 119049 Moscow, Russia
3 Dmitry Mendeleev University of Chemical Technology of Russia, 125047 Moscow, Russia
4 RUDN University, 117198 Moscow, Russia
Fluorescent dyes are widely used in histological studies and in intraoperative surgery, including against
prostate cancer (PC), which is one of the most common types of cancerous tumors among men today.
Targeted delivery of fluorescent conjugates greatly improves diagnostic efficiency and allows for timely
correct diagnosis. In the case of PC, the protein marker is prostate specific membrane antigen (PSMA).
To date, a large number of diagnostic conjugates targeting PSMA have been created based on modified urea.
The review focuses on narrowly targeted conjugates selectively binding to PSMA and answers the following
questions. Which fluorescent dyes are already in use in the field of PC diagnosis? What factors influence the
structure-activity ratio of the final molecule? What should be considered when selecting a fluorescent tag
to create new diagnostic conjugates? And what can be offered in this field to date?
Keywords: prostate cancer, fluorescent dyes, prostate-specific membrane antigen, PSMA, targeted drug delivery
БИОХИМИЯ том 88 вып. 7 2023