ЖЭТФ, 2020, том 158, вып. 4 (10), стр. 693-705
© 2020
ПЕРЕМАГНИЧИВАНИЕ ФЕРРОМАГНИТНЫХ ПЛЕНОК CoFeB И
ГЕТЕРОСТРУКТУР CoFeB/Ta/CoFeB ПОД ДЕЙСТВИЕМ ПОЛЯ
РАССЕЯНИЯ НАНОЧАСТИЦ Fe/Fe3O4
О. В. Коплакa, Е. И. Куницынаa, Р. С. Аллаяровa,
С. Манженb*, Н. В. Грановскийc, Р. Б. Моргуновa,c**
a Институт проблем химической физики Российской академии наук
142432, Черноголовка, Московская обл., Россия
b Institut Jean Lamour, UMR 7198 CNRS, Université de Lorraine
54601, France
c Первый Московский государственный медицинский университет им. И. М. Сеченова
119991, Москва, Россия
Поступила в редакцию 6 апреля 2020 г.,
после переработки 30 апреля 2020 г.
Принята к публикации 1 мая 2020 г.
Экспериментально обнаружено перемагничивание гетероструктур MgO/CoFeB/Ta/CoFeB/MgO/Ta/
GaAs и ультратонких пленок MgO/CoFeB/MgO/Ta/GaAs с перпендикулярной анизотропией под дейст-
вием магнитного поля кластеров наночастиц Fe/Fe3O4. Магнитное поле рассеяния наночастиц Fe/Fe3O4
увеличивает поле переключения намагниченности спиновых вентилей и монослойных платформ. Метода-
ми атомно-силовой и магнитно-силовой микроскопии получены зависимости размера области перемагни-
чивания ферромагнитной платформы под наночастицами Fe/Fe3O4 от размера кластеров. Обнаружено
превышение размеров области перемагничивания над размером кластера частиц, вызванное действием
рассеивающего поля кластера наночастиц Fe/Fe3O4. С помощью микромагнитного моделирования опре-
делены ориентации локальных намагниченностей в слоях CoFeB под кластерами наночастиц и диаметр
перемагниченной области в зависимости от магнитного момента и размера кластера.
DOI: 10.31857/S0044451020100120
ниевых интегральных систем и подходят для ин-
теграции в систему «лаборатория на кристалле».
У GMR-технологий есть ряд преимуществ по срав-
1. ВВЕДЕНИЕ
нению с магнитным биодетектированием на осно-
В последнее время появилось большое число ра-
ве сверхпроводящего квантового интерферометра
(СКВИД) [6, 7]. Биосенсоры на основе GMR мо-
бот в области технологии магнитного маркирова-
гут быть интегрированы в индивидуально адрес-
ния и разделения биологических объектов на ос-
ную матрицу очень высокой плотности, подобную
нове датчиков гигантского магнитосопротивления
устройствам магнитной памяти с произвольным до-
(GMR). Технология заключается в маркировке кле-
ток или биомолекул магнитными частицами микро-
ступом (MRAM). Такая матрица сенсоров необходи-
ма для обнаружения и разделения нескольких типов
и нанометрового размеров и в детектировании маг-
нитных полей частиц датчиками GMR после их
магнитно-меченных биологических объектов [8, 9].
захвата биомолекулой [1-5]. Биосенсоры на осно-
Имеется ряд нерешенных вопросов, связанных с
ве датчиков GMR являются перспективными для
локальным перемагничиванием платформ GMR под
чувствительной биомолекулярной идентификации.
влиянием размагничивающего поля одиночной на-
Они совместимы со стандартной технологией крем-
ночастицы. Отсутствуют экспериментальные рабо-
* S. Mangin
ты по прямым измерениям перемагниченных облас-
** E-mail: morgunov2005@yandex.ru
тей поверхности пленки, однако детально разра-
693
О. В. Коплак, Е. И. Куницына, Р. С. Аллаяров и др.
ЖЭТФ, том 158, вып. 4 (10), 2020
ботаны теоретические подходы и методы модели-
рования областей неколлинеарной намагниченности
нано- и микромасштабов [10, 11]. В нашей статье
представлены как экспериментальные результаты
измерения перемагниченных областей тонкопленоч-
ных структур MgO/CoFeB/MgO/Ta/GaAs и MgO/
CoFeB/Ta/CoFeB/MgO/Ta/GaAs с перпендикуляр-
ной магнитной анизотропией, так и их моделирова-
ние. Ранее нами было показано, что псевдоспиновые
вентили MgO/CoFeB/Ta/CoFeB/MgO/Ta/GaAs об-
ладают достаточно высоким магнитосопротивлени-
ем на уровне 50 % [12] и поэтому пригодны для ис-
пользования в качестве GMR-платформ. В работе
[13] было продемонстрировано изменение полей пе-
реключения этих платформ под действием класте-
ров наночастиц α-Fe2O3.
В этой работе в качестве наночастиц мы ис-
пользовали наночастицы Fe в оболочке Fe3O4 с
обменным смещением петель гистерезиса. Такие
частицы обладают температурной стабильностью
намагниченности и фиксированной начальной на-
магниченностью [14, 15]. Наночастицы системы яд-
ро/оболочка перспективны для применения в биоло-
гии из-за низкой химической активности оксидной
оболочки и, следовательно, высокой биологической
совместимости [16,17].
Целями данной работы являются анализ ло-
кального перемагничивания тонкопленочных струк-
тур MgO/CoFeB/MgO/Ta/GaAs и MgO/CoFeB/Ta/
CoFeB/MgO/Ta/GaAs с перпендикулярной магнит-
ной анизотропией под действием дипольного маг-
нитного поля рассеяния наночастиц Fe/Fe3O4 и их
Рис. 1. Схемы платформы I CoFeB (а) и платформы II
кластеров, нанесенных на поверхность структур, а
CoFeB/Ta/CoFeB (б) и одиночная наночастица Fe/Fe3O4.
также моделирование областей перемагничивания
Синими стрелками указаны направления намагниченности
одиночной пленки и двуслойной платформы.
в ферромагнитных слоях CoFeB, находящихся под дейст-
вием рассеивающего магнитного поля наночастицы
2. МАТЕРИАЛЫ И МЕТОДИКА
В этом исследовании использовались образ-
Наночастицы Fe, покрытые оксидной оболоч-
цы двух типов, проявляющих перпендикулярную
кой Fe3O4, были получены путем разложения пред-
магнитную анизотропию: однослойная гетерострук-
варительно приготовленного комплекса олеата же-
тура MgO(2.5 нм)/CoFeB(0.8 нм)/MgO(2.5 нм)/
леза при высокой температуре в сквалене. Со-
Ta(5 нм) (платформа I) и двухслойная гетерострук-
гласно литературным данным [20], наночастицы
тура MgO(2.5 нм)/CoFeB(0.8 нм)/Ta(0.75 нм)/
Fe/Fe3O4 являются суперпарамагнитными при ком-
CoFeB(1.1 нм)/MgO(2.5 нм)/Ta(5 нм) (платформа
натной температуре с намагниченностью насыще-
II). Обе системы были выращены на подложке
ния MS = 101 A· м/кг при T = 5 К, MS = 95 A·м/кг
GaAs методом магнетронного распыления. Дета-
при T = 300 К и константой магнитной анизотро-
ли роста и данные о структурных и магнитных
пии Keff = 1.6 · 105 Дж/м3 при T = 5 К. Типичная
свойствах можно найти в работах [18, 19]. Образ-
толщина оксидной оболочки составляет около 3 нм.
цы представляли собой пластины с размерами
При T = 5 К коэрцитивная сила наночастиц равна
3 × 4.5 × 0.1 мм3.
HC = 440 Э.
694
ЖЭТФ, том 158, вып. 4 (10), 2020
Перемагничивание ферромагнитных пленок. ..
Частицы растворялись в циклогексане и раз-
градусах, совпадали. Такой подход применим, если
делялись в ультразвуковой ванне. На поверхность
рабочий участок амплитудно-частотной и фазо-
платформы помещалась жидкость (около 0.1 мл),
во-частотной характеристики системы зонд-образец
содержащая кластеры наночастиц. В качестве плат-
не меняет наклона в экспериментах. Это условие
форм использовались поверхности кремниевой пла-
было специально проверено в отдельной серии
стины (в качестве контрольного образца), а так-
опытов.
же ферромагнитные платформы I или II (рис. 1).
Размер магнитного изображения оказывается
После высыхания поверхности обеспечивалась от-
понятием условным, зависящим от расстояния меж-
носительно надежная адгезия частицы к поверх-
ду кантилевером и частицей
[21, 22]. Чем ближе
ности образца, которая позволяла крепить образец
кантилевер к частице, тем больше область, в кото-
в СКВИД-магнитометр без потери частиц. Поле-
рой чувствительности прибора хватает для обнару-
вые и температурные зависимости магнитного мо-
жения градиента силы, и тем больше МСМ-изобра-
мента образцов были получены на магнитометре
жение частицы. Поэтому в наших экспериментах ве-
SQUID MPMS 5XL Quantum Design при темпера-
личина этого расстояния 50 нм была подобрана так,
турах 2-300 К. Внешнее магнитное поле в магнито-
чтобы размер частицы МСМ на кремниевой под-
метре было направлено перпендикулярно плоскости
ложке совпадал с ее размером АСМ (см. методику
пленки вдоль оси z (рис. 1).
в [23]). Это было удобно, потому что любые изме-
Морфология поверхности и распределение гра-
нения в намагниченности системы пленка-частица
диента магнитных сил на поверхности образцов
будут при такой настройке восприниматься как от-
исследовались методами соответственно атомно-си-
клонение от нулевого уровня, задаваемого частицей,
ловой (АСМ) и магнитно-силовой микроскопии
не взаимодействующей с подложкой.
(МСМ). Изображения магнитного рельефа в
В работах [21, 22] показано, что контраст маг-
исследуемых образцах были получены на атомно-
нитно-силового изображения для низкокоэрцитив-
силовом микроскопе Aura Integra (NT MDT) в
ных ферромагнитных и суперпарамагнитных нано-
отсутствие магнитного поля. Использовался стан-
частиц может зависеть от перемагничивания час-
дартный кремниевый кантилевер серии MFM_LM,
тицы полем кантилевера (зонда). Это существен-
покрытый тонкой пленкой CoCr с коэрцитивной
но усложняет анализ и интерпретацию измерения
силой около 400 Э. Режим сканирования во всех
MСM. Чтобы минимизировать этот эффект, мы под-
экспериментах был полуконтактый («tapping-lift»).
бирали зонд с низким магнитным моментом нако-
Силовая константа и резонансная частота кан-
нечника. Разумеется, это не позволяло полностью
тилевера были равны соответственно
5
Н/м и
исключить влияния перемагничивания частицы на
63 кГц. На первом проходе кантилевер работал в
ее размеры при измерениях МСМ, однако мы по-
полуконтактном режиме при постоянной ампли-
лагали, что этот эффект был одинаковым в опы-
туде и определял физические размеры частицы
тах с кремниевой и магнитной платформами. Посто-
с точностью до радиуса Ван дер Ваальса, т. е.
янство параметров настройки силового микроско-
расстояние между кантилевером и зондом было
па в контрольных опытах на кремнии и опытах на
близко к амплитуде колебаний кантилевера. На
магнитных платформах давало возможность расце-
втором проходе зонд был отведен от поверхности
нивать отклонения МСМ-профиля от контрольного
платформы на расстояние h = 50 нм и измерял
значения как свидетельство перемагничивания об-
значение сдвига фазы при постоянной амплитуде,
ласти пленки вокруг частицы.
прямо пропорциональное градиенту магнитной
дипольной силы между частицей и зондом. Для по-
Измерения МСМ проводились в нулевом магнит-
лучения профиля частицы в режимах АСМ и МСМ
ном поле. Дополнительное магнитное поле H∗, ко-
в одних и тех же единицах (чтобы впоследствии
торое могло бы стабилизировать магнитный момент
можно было сравнивать размеры соответствующих
частицы [21], при измерениях МСМ не приклады-
профилей) было проведено калибровочное измере-
валось, поскольку размер частиц, используемых в
ние, в котором размер частицы в режиме АСМ (в
измерениях, превышал 100 нм. При таких размерах
нм) был привязан к фазовому контрасту в этом
потенциальный барьер перемагничивания для этой
же режиме (в градусах). В результате был получен
группы частиц был выше энергии дипольного взаи-
переходный коэффициент, который был выбран так,
модействия частицы с зондом, и вклад перемагни-
чтобы в отсутствие магнитной подложки АСМ- и
чивания в профиль МСМ ожидался небольшим и
МСМ-размеры фазовых контрастов, выраженные в
всегда одинаковым.
695
О. В. Коплак, Е. И. Куницына, Р. С. Аллаяров и др.
ЖЭТФ, том 158, вып. 4 (10), 2020
3. ЭКСПЕРИМЕНТАЛЬНЫЕ РЕЗУЛЬТАТЫ
ченности на направление внешнего поля, m — сред-
—
ний магнитный момент одной наночастицы, kB
Гистерезисы магнитного момента наночастиц,
постоянная Больцмана, T — температура, CPM —
нанесенных на кремниевую платформу, были запи-
парамагнитная восприимчивость подложки Si с при-
саны при температурах 300 К, 100 К и 2 К (рис. 2).
месями. Из аппроксимации полевой зависимости
При температуре 2 К мы наблюдаем смещение пет-
M (H) уравнением (1) был определен средний маг-
ли гистерезиса Hb. Сдвиг гистерезиса связан с нали-
нитный момент одной частицы m = 2.87·10-16 A · м2
чием обменного взаимодействия на границе разде-
(см. сплошную линию на вставке на рис. 2).
ла ферро/ферримагнетик (ядро/оболочка) [24]. На-
Полевые зависимости магнитных моментов
правление обменного смещения для такой системы
M (H) платформы CoFeB и платформы CoFeB/Ta/
является отрицательным, потому что при охлажде-
CoFeB (черные символы на рис. 3) были записаны
нии системы от температуры, большей температу-
в СКВИД-магнитометре при трех температурах,
ры Нееля оксида железа, ориентация спинов в фер-
300 К, 100 К и 2 К, сначала до осаждения частиц.
ромагнетике Fe вблизи интерфейса фиксируется об-
Затем в тех же условиях были измерены полевые
менным взаимодействием с ферримагнетиком Fe3O4
зависимости платформы I и платформы II с на-
в направлении, противоположном намагниченности
ночастицами (синие символы на рис. 3). На рис. 3
ферромагнетика.
видны четыре горизонтальных уровня магнитного
Полевая зависимость магнитного момента исход-
момента в структуре CoFeB/Ta/CoFeB, которые
ных наночастиц представляет собой классический
отвечают четырем магнитным состояниям с разным
вариант суперпарамагнитного массива магнитных
взаимным направлением магнитных моментов сло-
моментов, который описывается в литературе с по-
ев CoFeB. Переключение между этими состояниями
мощью функции Ланжевена. В изотропном трех-
определяется соотношением между энергиями меж-
мерном случае предполагается, что все направления
слойного обменного взаимодействия, анизотропии
одинаково вероятны (вставка на рис. 2) [25]:
и энергией Зеемана каждого слоя. Эти энергии
были ранее определены из температурных зависи-
M (H) = MSPMS [cth (x) + (x)-1] + CPM H,
(1)
мостей параметров магнитного гистерезиса в тех
же образцах [18, 26]. В отличие от монослоя CoFeB,
где x = (μ0mH)/(kBT ), μ0 — магнитная проницае-
обладающего двумя стабильными магнитными
мость вакуума, MSPMS — средняя проекция намагни-
состояниями, в псевдоспиновом вентиле имеются
два стабильных «параллельных» состояния (P+,
P-) и два «антипараллельных» (AP+ и AP-) состо-
яния. Они соответствуют четырем горизонтальным
фрагментам зависимостей M(H). Состояние P+
соответствует параллельным намагничиваниям
толстого и тонкого слоев вдоль внешнего магнит-
ного поля (↑↑), состояние P- соответствует обоим
слоям, намагниченным против поля (↓↓), а два
состояния AP+ и AP- соответствуют взаимно про-
тивоположным направлениям магнитных моментов
слоев (↑↓) и (↓↑).
При аддитивном вкладе в полевую зависимость
M (H) от невзаимодействующих частиц и платформ
CoFeB и CoFeB/Ta/CoFeB получаются зависимости,
показанные на рис. 3 сплошными красными лини-
ями. При температурах 300 К наблюдалось разли-
Рис. 2. (В цвете онлайн) Гистерезисы магнитного мо-
чие экспериментально измеренной и аддитивно по-
мента наночастиц Fe/Fe3O4 при температурах 300 К (1),
добранной зависимостей. Гистерезисы показывают,
100 К (2) и 2 К (3). На вставке показана полевая зави-
что магнитные моменты в четырех стабильных со-
симость намагниченности наночастиц Fe/Fe3O4 при тем-
стояниях (P+, AP+, AP-, P-) нисходящей и вос-
пературе 300 К и ее аппроксимация функцией Ланжевена
ходящей ветвей гистерезиса совпадают, в отличие
(сплошная красная линия). Вертикальной штриховой ли-
нией показан центр петли гистерезиса при T = 2 К
от случая аддитивного вклада частиц и платформ
в магнитный момент (рис. 3б). Отклонение экспе-
696
ЖЭТФ, том 158, вып. 4 (10), 2020
Перемагничивание ферромагнитных пленок. ..
Рис. 3. (В цвете онлайн) Гистерезисы магнитного момента образцов CoFeB (а,в,д) и CoFeB/Ta/CoFeB (б,г,е) с на-
несенными на поверхность наночастицами Fe/Fe3O4, при температурах 300 К (а,б), 100 К (в,г) и 2 К (д,е). Черными
символами показаны гистерезисы для платформ без наночастиц на поверхности. Сплошными линиями показаны суммы
гистерезисов, измеренных по-отдельности для наночастиц на кремнии и для платформ
697
О. В. Коплак, Е. И. Куницына, Р. С. Аллаяров и др.
ЖЭТФ, том 158, вып. 4 (10), 2020
ния Hb (рис. 5) при температуре 2 К. Значения по-
ля переключения, полученные из сложения вкладов
от наночастиц и ферромагнитной подложки, лежат
ниже экспериментальной зависимости для платфор-
мы с частицами. Вклады наночастиц на кремниевой
подложке и ненагруженной наночастицами плат-
формы были определены в отдельных измерени-
ях. Следовательно, наблюдаемые температурные за-
висимости коэрцитивной силы частиц и обменного
смещения невозможно объяснить аддитивным сло-
жением магнитных моментов этих систем. Это сви-
детельствует о влиянии магнитного дипольного вза-
имодействия частицы с платформой на величину по-
ля переключения между состояниями AP+ и P-.
Поле переключения между состояниями спинового
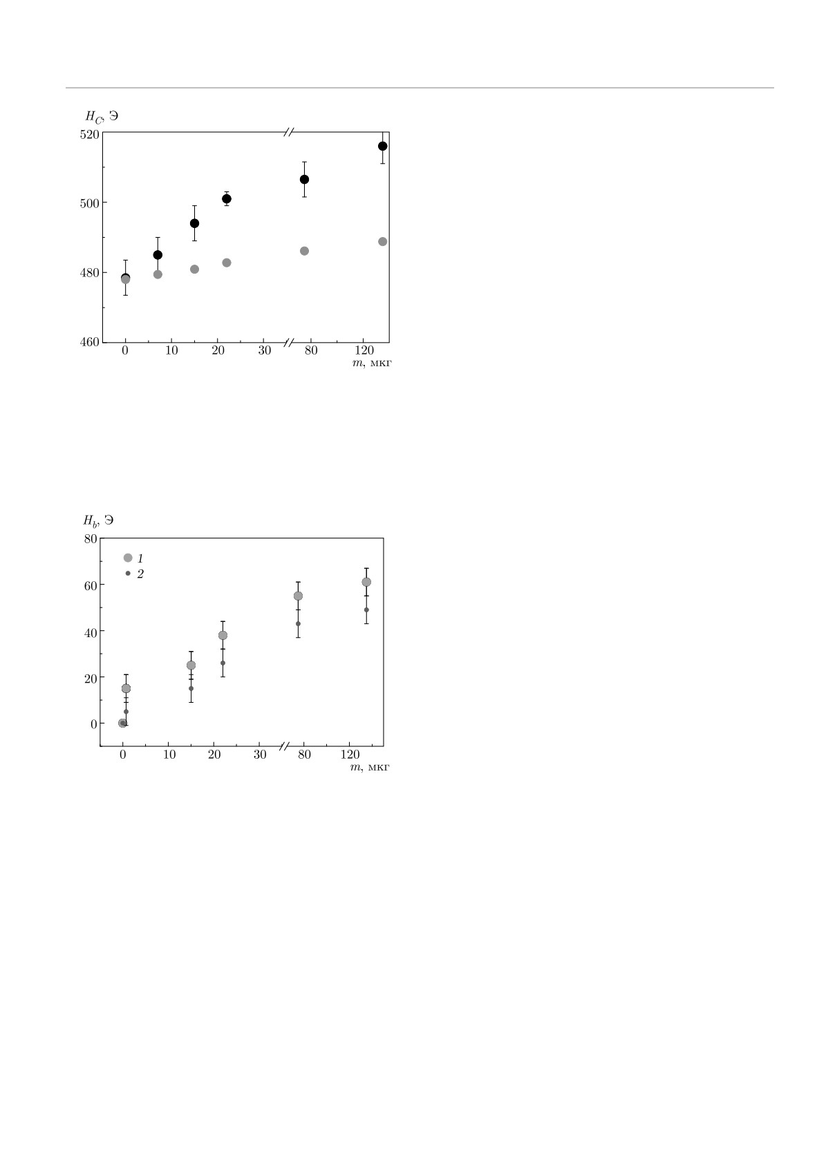
Рис. 4. (В цвете онлайн) Зависимость поля переключе-
вентиля определяется межслойным обменным вза-
ния между состояниями платформы HC от массы на-
имодействием, магнитной анизотропией и энергией
ночастиц, помещенных на поверхность платформы II
Зеемана двух слоев. Поскольку имеет место локаль-
(CoFeB/Ta/CoFeB), при T
= 2 К (черные символы).
ное перемагничивание пленки под кластером нано-
Красные символы — расчетное значение поля переключе-
частиц, очевидно, в результате диполь-дипольного
ния HC при аддитивном вкладе наночастиц
взаимодействия частицы и пленки изменяется энер-
гия Зеемана.
Мы наблюдали увеличение поля смещения Hb
петли гистерезиса на экспериментальной зависимос-
ти и уменьшение намагниченности насыщения об-
разцов при добавлении частиц на поверхность плат-
форм. Подобные эффекты были описаны и обсуж-
дены ранее [13] в опытах с частицами α-Fe2O3. Поле
смещения Hb (рис. 5) является характеристикой час-
тиц и определяется долей спинов на границе разде-
ла между оксидной оболочкой и ядром наночастицы
[15, 27]. В системе частица-пленка можно было бы
ожидать наведенного магнитно-дипольного смеще-
ния петли гистерезиса ферромагнитной пленки под
действием наночастиц на ее поверхности. Однако
сравнение поля смещения Hb, полученного из сложе-
ния вкладов от независимо измеренных наночастиц
Рис.
5. Зависимость поля смещения Hb от мас-
и ферромагнитной подложки, с экспериментальны-
сы наночастиц, помещенных на поверхность образца
ми данными для платформы с нанесенными на нее
CoFeB/Ta/CoFeB, при T = 2 К (1) и расчетное значение
частицами, показало, что различия между зависи-
поля смещения Hb при аддитивном вкладе наночастиц (2)
мостями Hb(m) находятся в пределах погрешности
(рис. 5). Следовательно, зависимость поля смеще-
ния от массы нанесенных частиц объясняется три-
риментальных данных от аддитивной зависимости
виальным эффектом усреднения аддитивных вкла-
наблюдается и при температуре 2 К (рис. 3д и 3е).
дов от петли гистерезиса платформы без смещения
Для исследования изменений петли гистерезиса
и петли гистерезиса самих частиц.
структуры CoFeB/Ta/CoFeB под действием наноча-
Еще одним методом изучения суперпарамагнит-
стиц гистерезисы были записаны при разной массе
ных наночастиц является исследование температу-
наночастиц на поверхности платформы. С увеличе-
ры блокировки TB, ниже которой термоактивиро-
нием массы наночастиц на поверхности платформы
ванное вращение моментов частиц «замораживает-
II наблюдалось увеличение поля переключения HC
ся». Определение TB проводится путем сравнения
между состояниями AP+ и P- (рис. 4) и поля смеще-
двух температурных зависимостей магнитного мо-
698
ЖЭТФ, том 158, вып. 4 (10), 2020
Перемагничивание ферромагнитных пленок. ..
мента M(T ), записанных при нагревании образца
в двух вариантах: 1) после предварительного охла-
ждения в приложенном магнитном поле 1 Tл (ре-
жим FC, Field Cooling) и 2) после предварительно-
го охлаждения в нулевом внешнем магнитном поле
(режим ZFC, Zero Field Cooling). Обе температур-
ные зависимости обычно измеряются в небольшом
магнитном поле по сравнению с полем охлаждения.
Мы использовали измерительное поле 30 Э.
Система наночастиц с распределением по разме-
рам может быть охарактеризована минимальной и
максимальной температурами блокировки намагни-
ченности (соответственно TB и Tirr). Принято назы-
вать температуру максимума ZFC-зависимости тем-
пературой блокировки TB, а температуру, где кри-
вые FC и ZFC сливаются, температурой необрати-
Рис. 6. Температурные зависимости магнитного момен-
мости Tirr. Физический смысл этих параметров хо-
та наночастиц Fe/Fe3O4 на Si (1 и 2), наночастиц на
платформе CoFeB (3 и 4) и наночастиц на платформе
рошо известен. В условиях ZFC-измерения магнит-
CoFeB/Ta/CoFeB (5 и 6), предварительно охлажденных
ный момент каждой частицы при низкой темпера-
без магнитного поля (1, 3, 5) и охлажденных в магнит-
туре ориентируется вдоль направления, которое ми-
ном поле H = 1000 Э (2, 4, 6). Измерительное поле 30 Э.
нимизирует общую энергию магнитной анизотропии
Штрихами показаны температуры необратимости наноча-
и зеемановской энергии частицы. При повышении
стиц на Si и на ферромагнитных платформах I и II
температуры тепловые флуктуации позволяют маг-
нитным моментам вращаться в направлении прило-
женного поля. Это приводит к увеличению суммар-
чение TB, далее будем обсуждать только величину
ного магнитного момента до максимального значе-
Tirr. Видна значительная разница между кривыми
ния при температуре TB. По мере дальнейшего по-
ZFC и FC ниже T = 200 К. Кривые ZFC показыва-
вышения температуры термические флуктуации на-
ют сходное поведение до и после помещения частиц
чинают конкурировать с ориентирующим эффектом
на ферромагнитную платформу. Кривые FC отли-
приложенного поля, что уменьшает суммарный маг-
чаются друг от друга для всех трех случаев час-
нитный момент. Эта конкуренция определяет тем-
тиц на немагнитной кремниевой подложке и на маг-
пературу блокировки TB (для частиц малых разме-
нитных платформах. Критическая температура Tirr
ров). В условиях FC-измерения магнитные моменты
для частиц на кремнии равна TSiirr = 340 К, для час-
«замораживаются» при низкой температуре, но они
тиц на платформе I — TIirr = 290 К и для частиц на
заранее ориентированы вдоль направления внешне-
платформе II — TIIirr = 210 К.
го поля. Поэтому суммарная намагниченность лишь
Изменение температуры Tirr при смене «немаг-
уменьшается в результате термических флуктуаций
нитной»» платформы Si на ферромагнитную плат-
при нагреве. Кривые FC и ZFC сливаются выше тем-
форму I или II связано с изменением суммарной
пературы необратимости Tirr, когда все магнитные
энергии системы частица-платформа за счет добав-
моменты частиц получают возможность вращать-
ления дипольного магнитного взаимодействия.
ся под действием термических флуктуаций, боль-
ших чем потенциальный барьер, разделяющий раз-
Для определения локальной намагниченности
ные ориентации намагниченности. Выше темпера-
платформы их свойства исследовались с помощью
туры Tirr все частицы в системе являются супер-
атомно-силовой микроскопии. По этим данным бы-
парамагнитными. Таким образом, Tirr представля-
ла построена гистограмма распределения частиц по
ет собой температуру блокировки наиболее крупных
размерам (рис. 7а). Средний размер частиц состав-
частиц в системе.
ляет 140 нм и отвечает не отдельным частицам, а их
На рис. 6 показано сравнение кривых FC и ZFC
кластерам.
для частиц на платформе Si, платформе I и плат-
Атомно-силовое и магнитно-силовое изображе-
форме II. Поскольку максимумы на зависимостях
ния наблюдались в одной и той же области поверх-
FC и ZFC были плавными и не позволяли аккурат-
ности. Изображения поверхности с наночастицами
но определить их положение и соответствующее зна-
обрабатывались с помощью программного обеспече-
699
О. В. Коплак, Е. И. Куницына, Р. С. Аллаяров и др.
ЖЭТФ, том 158, вып. 4 (10), 2020
Рис. 7. (В цвете онлайн) Гистограмма распределения по размерам частиц Fe/Fe3O4 (а). Профили фазовых контрастов,
записанные в режимах АСМ и МСМ для частиц Fe/Fe3O4, нанесенных на поверхность Si (б) и CoFeB/Ta/CoFeB (в). На
вставках показаны соответствующие изображения частиц Fe/Fe3O4, записанные в режиме МСМ. Изображения одной и
той же частицы Fe/Fe3O4 на одной и той же платформе CoFeB/Ta/CoFeB, записанные в режимах АСМ (г), МСМ (д) и
их разница (е)
ния Gwyddion. Секущие профили вдоль оси x бы-
По результатам определения размеров частиц на
ли получены для отдельного кластера наночастиц
основании АСМ- и МСМ-измерений строился гра-
в одной и той же точке изображений для АСМ- и
фик зависимости DAFM от DMFM (см. рис. 8а и
МСМ-измерений (рис. 7б и 7в). При этом выбира-
9а). Экспериментальные точки, отвечающие части-
лась отдельно лежащая частица, чтобы можно бы-
цам на кремнии, ложатся на прямую x = y (красная
ло точнее определить ее границы. Профили строи-
линия). Эта линия играет роль линии отчета, от-
лись в одних осях, и границы частицы отмечались
клонение от которой нужно интерпретировать как
для двух типов измерений (соответственно DAFM
превышение размеров области перемагничивания на
и DMFM). Для частиц на поверхности Si мы на-
пленке от размеров кластера частиц. Эксперимен-
блюдаем совпадение результатов АСМ- и МСМ-мик-
тальные точки для кластеров наночастиц на плат-
роскопии на рис. 7б. При нанесении же наноча-
форме II (рис. 8а) и платформе I (рис. 9а) лежат
стиц на поверхность синтетического антиферромаг-
выше этой оси (DMFM > DAFM ) и соответствуют
нетика CoFeB/Ta/CoFeB мы наблюдаем различие
перемагниченной области платформы под частицей
фазовых контрастов АСМ- и МСМ-изображений
и вне ее размеров.
(рис. 7в). Изображения АСМ и МСМ были по-
лучены на одном и том же участке платформы
4. МОДЕЛИРОВАНИЕ
CoFeB/Ta/CoFeB. Профиль для МСМ оказывается
шире, чем для АСМ. Аналогичные данные были по-
В этом разделе мы предлагаем модель для опи-
лучены для ультратонкой пленки CoFeB. Это может
сания перемагничивания платформ под действием
быть связано с перемагничиванием ферромагнетика
кластеров наночастиц и вводим некоторые упроще-
под действием поля рассеяния кластера наночасти-
ния. Введем систему координат с началом в точке 0,
цы.
соответствующей проекции центра частицы на плос-
700
ЖЭТФ, том 158, вып. 4 (10), 2020
Перемагничивание ферромагнитных пленок. ..
Рис. 8. (В цвете онлайн) Экспериментальные зависимости диаметров МСМ от АСМ для частиц Fe/Fe3O4 на кремниевой
подложке (серые символы) и на платформе II (черные символы). Красная сплошная линия — теоретическая зависимость
размера DAF M от диаметра частицы DMF M на кремниевой платформе. Линии 1, 2, 3, 4 соответствуют теоретическим
зависимостям на магнитной платформе II для областей с диаметрами Db1, Db2, Db3, Db4 (а). Распределение намагничен-
ности верхнего (б) и нижнего (в) слоев платформы II, находящейся под действием магнитного поля рассеяния частицы
диаметром 200 нм. Пунктирная линия соответствует проекции реального размера частицы на плоскость образца
Рис. 9. (В цвете онлайн) а) Зависимости диаметров МСМ от АСМ для наночастиц на кремниевой подложке (серые сим-
волы) и на платформе I (светлые символы). Красная линия — теоретическая зависимость размера DMF M от диаметра
частицы DAF M на кремниевой подложке. Линии 1, 2 и 3 соответствуют теоретическим зависимостям областей перемаг-
ничивания с диаметрами Dm1, Dm2 и Dm3. б) Распределение намагниченности слоя CoFeB платформы I, находящейся под
действием магнитного поля частицы Fe/Fe3O4 диаметром 250 нм. Пунктирная линия соответствует проекции реального
размера частицы на плоскость образца
701
О. В. Коплак, Е. И. Куницына, Р. С. Аллаяров и др.
ЖЭТФ, том 158, вып. 4 (10), 2020
кость платформы (рис. 1). Было выбрано приближе-
Локальная энергия площадки единичной площа-
ние, в котором наночастица представляет собой од-
ди платформы II в рамках теории макроспина мо-
нородно намагниченный шар, намагниченность ко-
жет быть задана как сумма энергий анизотропии
торого направлена против оси z (см. рис. 1). Мы рас-
Eanis, Зеемана EZeem и межслойной обменной энер-
сматриваем кластер близко расположенных частиц,
гии Eaf . Величины этих энергий принято записы-
как шар с диаметром, равным геометрическим раз-
вать в виде [19]:
мерам кластера, определенным в АСМ-методе. Поле
однородно намагниченного шара описывали форму-
Eanis(θt, Kst, θb, Ksb) =
лой точечного диполя
= -Kst cos(θt)2 - Ksb cos(θb)2,
(7)
]
1
[3(pm, r)r
pm
H(pm, r) =
-
,
(2)
4π
|r|5
|r|3
EZeem(tt, H, θt, θb, MstMsb) =
= -μ0H(ttMst cos(θt) + tbMsb cos(θb)),
(8)
где r — вектор, направленный из центра частицы
в рассматриваемую точку P на платформе, pm —
Eaf (Jaf , θt, θb) = -Jaf cos(θt - θb),
(9)
магнитный момент наночастицы (для примера на
рис. 1б точка взята в верхнем слое CoFeB). Обозна-
где Kst и Ksb — константы поверхностной магнит-
чим Rpart — радиус частицы, hadd — добавочная вы-
ной анизотропии верхнего и нижнего слоев плат-
сота поднятия наночастицы над поверхностью плат-
формы II, Jaf — константа межслойного обмена,
формы (складывается из толщины покровного слоя
Mst, Msb и tt, tb — намагниченности насыщения и
MgO и высоты органической прослойки циклогекса-
толщины верхнего и нижнего слоев соответственно,
на, отделяющей частицу от платформы, для упро-
θt и θb — углы между векторами намагниченнос-
щения положим последнюю равной нулю). Пусть
тей верхнего Mt и нижнего Mb слоев и плоскостью
r0 = (x, y, z) — радиус вектор рассматриваемой точ-
платформы II.
ки P на платформе, rpart = (xpart, ypart, zpart) — ко-
Микромагнитное моделирование перемагничива-
ординаты центра кластера в системе координат. То-
ния платформ под действием магнитных частиц
гда радиус-вектор, направленный из центра части-
Fe/Fe3O4 проводилось с помощью пакета OOMMF
цы в точку P , имеет координаты r = r0 - rpart =
(Object Oriented Micromagnetic Framework) [28]. Код
= (x - xpart, y - ypart, z - zpart). Магнитный момент
программы реализован на основе решения систе-
частицы имеет координаты pm = (0, 0, -m), где m —
мы дифференциальных уравнений Ландау - Лиф-
модуль магнитного момента. Получаем, что скаляр-
шица - Гильберта для спиновой релаксации с ис-
ное произведение pm и r равно:
пользованием быстрого преобразования Фурье для
вычисления магнитостатического (размагничиваю-
(pm · r) = -m(z - zpart).
(3)
щего) поля. Горизонтальные размеры платформы
задавались как 1000 × 1000 нм2. Это было сделано с
Подставляя (3) в (2), учитывая координатную за-
целью ускорения времени вычислений. Такое допу-
пись для момента pm и центра частицы rpart, мы
щение не искажает картину перемагничивания, так
можем получить выражения для проекций поля час-
как частицы и перемагниченные участки укладыва-
тицы на координатные оси:
ются в указанный диапазон. Поля размагничивания
для наших платформ мы не учитываем, посколь-
Hx(r, pm, x, z, Rpart, hadd) =
ку они локализованы на краю пластины. Для мо-
-3
делирования использовались элементарные ячейки
=
m(z - (Rpart + hadd)) x,
(4)
4π|r|5
5 нм×5 нм×0.4 нм, значительно меньшие минималь-
ного размера, разрешаемого силовой микроскопией.
Рассмотрим сначала двухслойную гетерострук-
Hy(r, pm, y, z, Rpart, hadd) =
туру CoFeB/Ta/CoFeB. Начальная конфигурация
-3
платформы соответствует антиферромагнитно-
=
m(z - (Rpart + hadd)) y,
(5)
4π|r|5
му взаимодействию слоев CoFeB
— состоянию
AP+ (рис. 1б). Параметры для моделирования:
= 2.5 · 10-3 эрг/см2,
Jaf
= -10-2 эрг/см2, Kst
Hz(r, pm, z, Rpart, hadd) =
Ksb = 4 · 10-3 эрг/см2, Mst = 952 ед.СГСМ/см3,
-m
Msb = 1040 ед. СГСМ/см3 взяты из работы [18]. При
=
(3(z - (Rpart + hadd))2 - r2).
(6)
4π|r|5
помощи пакета микромагнитного моделирования
702
ЖЭТФ, том 158, вып. 4 (10), 2020
Перемагничивание ферромагнитных пленок. ..
OOMMF построено распределение намагничен-
диаметры характерных областей с заданной ориен-
ности верхнего и нижнего слоев платформы под
тацией намагниченности на границе (рис. 1а и 9б):
действием наночастиц Fe/Fe3O4. Для верхнего слоя
Dm1 — диаметр круга, граница которого соответству-
платформы определим области разного диамет-
ет началу внешней области, где намагниченность
ра (рис. 1б и 8б): Db1 — диаметр круга, граница
укладывается в плоскость; Dm2 — диаметр круга,
которого соответствует области, где вектор намаг-
граница которого соответствует области, где вектор
ниченности начинает отклоняться от направления,
намагниченности начинает отклоняться от направ-
перпендикулярного плоскости слоя; Db2 — диаметр
ления, перпендикулярного плоскости слоя; Dm3 —
круга, за пределами которого перемагничивание
диаметр круга, за пределами которого перемагни-
верхнего слоя отсутствует.
чивание верхнего слоя под влиянием частицы не на-
Для нижнего слоя платформы II введем три об-
блюдается.
ласти перемагничивания (рис. 1б и 8в): Db3 — диа-
Построенные распределения намагниченности
метр круга, граница которого соответствует нача-
для кластеров наночастиц разного радиуса поз-
лу области, где вектор намагниченности становится
воляют построить зависимость DMFM (DAFM )
параллельным плоскости слоя (намагниченность в
в разных приближениях. Поскольку заранее не
плоскости); области нижнего слоя Db4 и Db5 — ана-
известно, какую именно область мы наблюдаем
логичны областям Db1 и Db2 для верхнего слоя, но
с помощью магнитного силового микроскопа, мы
намагниченность направлена вдоль оси z.
построили зависимости всех трех перечисленных
При помощи пакета микромагнитного модели-
выше диаметров Dmi от диаметра частицы, рав-
рования OOMMF построены распределения намаг-
ного диаметру DAFM . Это позволило выбрать из
ниченности верхнего и нижнего слоев платформы
теоретических зависимостей ту, которая ближе
под действием частиц Fe/Fe3O4 разного радиуса.
к экспериментальным данным, и таким образом
Построенные распределения намагниченности для
определить, границу какой области обнаруживает
частиц разного радиуса позволяют измерить вве-
магнитный силовой микроскоп.
денные расстояния. Результаты численного расчета
Результаты численного расчета представлены на
зависимостей Dbi(DAFM) представлены на рис. 8a
рис. 9a сплошными линиями (номера линий опре-
сплошными линиями (номера линий определяются
деляются индексами соответствующих областей пе-
индексами соответствующих областей перемагничи-
ремагничивания). Из анализа видно, что линия 1
вания). Из анализа видно, что зависимость 3 (соот-
(отвечает диаметру Dm1) больше соответствует экс-
ветствует диаметру Db3) проходит через эксперимен-
периментальным результатам, чем другие зависи-
тальные значения DMFM (DAFM ), а кривые 1, 2, 4
мости. Из этого можно сделать вывод, что при
(соответственно области Db1, Db2, Db4) лежат выше
МСМ-микроскопии платформы I с нанесенными
экспериментальных данных. Можно сделать вывод,
на нее частицами Fe/Fe3O4 мы видим область, на
что при МСМ-микроскопии платформы II с нане-
границе которой намагниченность укладывается в
сенными на нее частицами Fe/Fe3O4 мы видим об-
плоскость.
ласть диаметром Db3, на границе которой намагни-
Отклонение экспериментальных результатов
ченность укладывается в плоскость пленки.
от результатов моделирования может объясняться
Несовпадение размеров АСМ- и МСМ-изображе-
несколькими факторами. Мы рассматриваем кла-
ний наночастиц на ферромагнитной платформе мо-
стеры как одну частицу. Мы не учитываем, что
жет быть также продемонстрировано путем вычита-
высота поднятия частицы над поверхностью ферро-
ния указанных изображений друг из друга (рис. 7е).
магнитного слоя может быть больше толщины слоя
Разница демонстрирует замкнутую область вокруг
MgO, в случае если под частицей остались следы
кластера наночастиц с инверсной намагниченно-
растворителя (циклогексана), который может раз-
стью.
делять платформу и частицу. Не рассматривается
Рассмотрим теперь однослойную пленку CoFeB
перемагничивание частиц и платформ сканиру-
(эскиз на рис. 1а). Начальная конфигурация плат-
ющей иглой кантилевера, этот вопрос подробно
формы соответствует направлению намагниченно-
обсуждался в статье [10]. Несмотря на многочис-
сти слоя CoFeB в направлении оси z. В качестве кон-
ленные упрощения модели, она показывает, что
стант поверхностной анизотропии Ks, внутрислой-
превышение размеров магнитного изображения
ного обмена Jex и намагниченности насыщения Ms
на ферромагнитной пленке над размером части-
взяты значения для верхнего слоя платформы II.
цы на ее поверхности вполне ожидаемо и может
Как и в случае с двухслойной структурой, введем
соответствовать областям нескольких типов.
703
О. В. Коплак, Е. И. Куницына, Р. С. Аллаяров и др.
ЖЭТФ, том 158, вып. 4 (10), 2020
5. ВЫВОДЫ
5.
G. Li, S. X. Wang, and S. Sun, IEEE Trans. Magn.
40, 3000 (2004).
1. Экспериментально обнаружено различие раз-
6.
K. Enpuku, T. Minotani, T. Gima et al., J. Appl.
меров фазовых контрастов АСМ и МСМ, индуциро-
Phys. Part 2 (Lett.) 38, L1102 (1999).
ванных на поверхности пленки CoFeB ее магнитным
дипольным взаимодействием с частицами Fe/Fe3O4.
7.
Y. R. Chemla, H. L. Crossman, Y. Poon et al., Proc.
Вычитание соответствующих фазовых контрастов
Natl. Acad. Sci. U.S.A. 97, 14268 (2000).
АСМ и МСМ позволило выявить локальную об-
8.
R. L. Edelstein, C. R. Tamanaha, P. E. Sheehan et
ласть, намагниченность которой была изменена маг-
al., Biosens. Bioelectron. 14, 805 (2000).
нитным полем рассеяния одиночной ферромагнит-
ной частицы. Превышение магнитного изображения
9.
M. M. Miller, P. E. Sheehan, R. L. Edelstein et al.,
частицы над ее реальным размером прямо пропор-
J. Magn. Magn. Mater. 225, 138 (2001).
ционально размеру частицы и может быть обнару-
10.
V. L. Mironov, A. A. Fraerman, B. A. Gribkov et al.,
жено для больших (более 100 нм) кластеров нано-
Phys. Met. Metallogr. 110, 708 (2010).
чаcтиц.
2. Осаждение частиц Fe/Fe3O4 на пленку CoFeB
11.
V. L. Mironov, O. L. Ermolaeva, S. A. Gusev et al.,
и бислой CoFeB/Ta/CoFeB приводит к увеличению
Phys. Rev. B 81, 094436 (2010).
поля переключения намагниченности пленки и би-
12.
R. Morgunov, G. L’vova, A. Talantsev et al., Appl.
слоя, а также к уменьшению температуры бло-
Phys. Lett. 110, 212403 (2017).
кировки частиц. Это происходит за счет измене-
ния магнитного дипольного взаимодействия между
13.
O. Koplak, O. Haziahmatova, L. Litvinova et al.,
Superlatt. Microstr. 121, 23 (2018).
пленкой и частицей.
3. Построено распределение намагниченности
14.
V. Skumryev, S. Stoyanov, Y. Zhang et al., Nature
бислойной гетероструктуры CoFeB/Ta/CoFeB и
423, 850 (2003).
ультратонкой пленки CoFeB под действием рассеи-
15.
Q. K. Ong, X.-M. Lin, and A. Wei, J. Phys. Chem.
вающего поля кластера наночастиц Fe/Fe3O4 при
C: Nanomater Interfaces 115(6), 2665 (2011).
помощи программного пакета OOMMF. Теоретичес-
кая зависимость размера магнитного изображения
16.
D. Chen, Q. Tang, X. Li et al., Int. J. Nanomedicine.
на пленке от размера частицы хорошо согласуется с
7, 4973 (2012).
экспериментальной. Область, наблюдаемая магнит-
17.
S. Demirer, A. C. Okurb, and S. Kizilel, J. Mater.
но-силовой микроскопией, соответствует кругу, на
Chem. B 3, 7831 (2015).
границе которого намагниченность укладывается в
плоскость пленки.
18.
O. Koplak, A. Talantsev, Y. Lu et al., J. Magn. Magn.
Mater. 433, 91 (2017).
Финансирование. Работа выполнена при под-
19.
T. Fache, H. S. Tarazona, J. Liu et al., Phys. Rev.
держке гранта Президента Российской Федерации
B 98, 064410 (2018).
для государственной поддержки ведущих научных
школ (грант № 2644.2020.2). Работа выполнена в
20.
J. Salado, M. Insausti, L. Lezama et al., Chem.
рамках программы Топ 5-100.
Mater. 23, 2879 (2011).
21.
V. L. Mironov, D. S. Nikitushkin, C. Bins, A. B. Shu-
bin, and P. A. Zhdan, IEEE Trans. on Magn. 43, 3961
ЛИТЕРАТУРА
(2007).
1. D. L. Graham, H. Ferreira, J. Bernardo et al., J. Appl.
22.
V. L. Mironov, B. A. Gribkov , D. S. Nikitushkin,
Phys. 91, 7786 (2002).
S. A. Gusev, S. V. Gaponov, A. B. Shubin,
P. A. Zhdan, and C. Binns, IEEE Trans. on Magn.
2. H. A. Ferreira, D. L. Graham, P. P. Freitas et al., J.
44, 2296 (2008).
Appl. Phys. 93, 7281 (2003).
23.
S. Sievers, K.-F. Braun, D. Eberbeck, S. Gustafsson,
3. J. Schotter, P. B. Kamp, A. Becker et al., IEEE Trans.
E. Olsson, H. W. Schumacher, and U. Siegner, Small
Magn. 38, 3365 (2002).
8(17), 2675 (2012).
4. J. C. Rife, M. M. Miller, P. E. Sheehan et al., Sens.
24.
M.-H. Phan, J. Alonso, H. Khurshid et al., Nanoma-
Actuators A Phys. 107, 209 (2003).
terials. 6(11), 221 (2016).
704
ЖЭТФ, том 158, вып. 4 (10), 2020
Перемагничивание ферромагнитных пленок. ..
25. D. C. Jiles, Introduction to Magnetism and Magnetic
27. Q. K. Ong, A. Wei, and X.-M. Lin, Phys. Rev. B 80,
Materials, 2nd ed. Chapman & Hall, London (1998),
134418 (2009).
p. 227.
28. M. J. Donahue and D. G. Porter, Interagency Report
26. A. Talantsev, Y. Lu, T. Fache et al., J. Phys.:
NISTIR 6376, National Institute of Standards and
Condens. Matter. 30, 135804 (2018).
Technology, Gaithersburg, MD. (1999).
705
9
ЖЭТФ, вып. 4 (10)