ЖЭТФ, 2021, том 160, вып. 3 (9), стр. 307-326
© 2021
ЗАКОНЫ ДИСПЕРСИИ ПОЛЯРИТОННОГО ТИПА ДЛЯ
ЧЕТЫРЕХУРОВНЕВЫХ АТОМОВ С НЕЭКВИДИСТАНТНЫМ
ЭНЕРГЕТИЧЕСКИМ СПЕКТРОМ, ВЗАИМОДЕЙСТВУЮЩИХ
С ТРЕМЯ ИМПУЛЬСАМИ ЛАЗЕРНОГО ИЗЛУЧЕНИЯ
О. В. Коровай*
Приднестровский государственный университет им. Т. Г. Шевченко
МD-3300, Тирасполь, Молдова
Поступила в редакцию 19 апреля 2021 г.,
после переработки 19 апреля 2021 г.
Принята к публикации 20 апреля 2021 г.
Изучены особенности поляритонных законов дисперсии четырехуровневых атомов, взаимодействующих
с тремя импульсами когерентного лазерного излучения с частотами, находящимися в резонансе с оп-
тически-разрешенными однофотонными переходами 1 ⇆ 2, 2 ⇆ 3 и 3 ⇆ 4, с учетом двухфотонных
переходов 1 ⇆ 3, 2 ⇆ 4, а также прямого трехфотонного перехода 1 ⇆ 4. Используется приближение
заданной плотности фотонов трех импульсов. Показано, что закон дисперсии состоит из четырех ветвей,
положение и форма которых определяется частотами Раби указанных переходов и плотностями фотонов
трех импульсов. Непосредственный учет всех шести оптических переходов приводит к зависимости зако-
на дисперсии атомных поляритонов от квантовых параметров — разностей фаз между частотами Раби
рассматриваемых переходов. Найдены значения параметров, при которых возможны пересечения ветвей
закона дисперсии.
DOI: 10.31857/S0044451021090017
ческих квантовых ямах смешиваются с оптической
модой микрорезонатора, что приводит к взаимодей-
1. ВВЕДЕНИЕ
ствию этих экситонов между собой и образованию
связанных гибридных поляритонов.
В последнее время повышенное внимание уделя-
ется взаимодействию лазерного излучения с вещест-
Нелинейно-оптические явления в четырех- и
вом в размерно-ограниченных системах. В рабо-
многоуровневых атомных системах исследовались
тах [1-5] изучены обусловленные сильной связью
в работах [8-11]. При этом учитывались однофо-
фотонов с атомными системами явления бозе-эйн-
тонные индуцированные переходы между последо-
штейновской конденсации и сверхтекучести в систе-
вательными парами соседних уровней под действи-
ме экситон-поляритонов в микрорезонаторах. При
ем света, как это представлено в теории каскад-
этом большой интерес представляет установление
ных лазеров. Вместе с тем, в атомных четырехуров-
общности или различий между такими понятиями,
невых системах возможны двухфотонные переходы
как частота нутации либо частота осцилляций Ра-
между первым и третьим уровнями, вторым и чет-
би в системе экситонов Ванье - Мотта и вакуумного
вертым уровнями и трехфотонный переход между
раби-расщепления ансамблем изолированных двух-
первым и четвертым уровнями. В работе [12] ис-
уровневых атомов либо системой экситонов Френ-
следуется когерентное управление нелинейным по-
келя в условиях сильной связи фотонов с матери-
глощением интенсивных лазерных полей в четы-
альными возбуждениями. В работах [6,7] исследова-
рехуровневых атомных лестничных системах. По-
ны поляритонные состояния в микрорезонаторе, где
ле связи создает электромагнитно-индуцированную
энергии экситонов Френкеля в органических кван-
прозрачность с дублетом Аутлера - Таунса для зон-
товых ямах и экситонов Ванье - Мотта в неоргани-
дирующего поля, в то время как управляющее по-
ле отсутствует. При включении управляющего по-
* E-mail: olesya-korovai@mail.ru
ля появляется большой резонансный пик поглоще-
307
О. В. Коровай
ЖЭТФ, том 160, вып. 3 (9), 2021
ния, который приводит к оптическому переключе-
рехуровневой системе продемонстрировано в рабо-
нию. Теоретическое исследование природы интерфе-
те [20].
ренции между пиками Аутлера - Таунса (или одеты-
В ряде работ изучалось влияние многофо-
ми состояниями) в общей многоуровневой системе
тонных процессов в системах лестничного типа
представлено в работе [13]. Показано, что в четы-
на различные оптические явления. В работе [21]
рехуровневой системе характер взаимовлияния двух
численно исследуются эффекты трехфотонной
крайних пиков Aутлера - Таунса может быть как
когерентности ридберговского состояния в допле-
конструктивным, так и деструктивным в зависимо-
ровской расширенной четырехуровневой лестнич-
сти от мощности управляющего лазера. Динамика
ной атомной системе атомов Rb-85 с резонансным
экситонно-светового поля плоского ансамбля кван-
микроволновым полем. С двух точек зрения
товых точек, встроенных в фотонный резонатор, в
анализируются спектральные характеристики
режиме сильной квантовой связи исследована экспе-
ридберговской трехфотонной когерентности: рас-
риментально [14]. Показано, что при возбуждении
щепление Аутлера - Таунса, ридберговская элект-
коротким лазерным импульсом в резонаторе обна-
ро-индуцированной прозрачность и трехфотонное
руживаются экситон-поляритонное поведение при
электромагнитно-индуцированное поглощение. В
слабом возбуждении и колебания Раби при силь-
работе [22] показано экспериментальное различие
ном возбуждении с резким переходом между этими
наблюдаемого расщепления Аутлера - Таунса от
режимами, что демонстрирует сильную связь меж-
электромагнитно-индуцированной
прозрачности
ду светом и «одетыми» дублетными и триплетными
при учете двухфотонного резонанса.
возбужденными состояниями. При низком уровне
Теоретическая схема достижения сильной фо-
возбуждения наблюдаются обычная верхняя и ниж-
тонной блокады одиночного атома в резонаторе
няя поляритонные ветви закона дисперсии. Однако
представлена в работе [23]. Показано, что взаимо-
при увеличении уровня накачки появляется снача-
действие между квантовой интерференцией и уси-
ла одна, а затем две дополнительные поляритонные
ленным вакуумным расщеплением Раби приводит
ветви.
к сильной фотонной блокаде, которая увеличива-
В работе [15] изучались оптические свойства свя-
ет расщепление одетого состояния между верхней
занных тримеров и тетрамеров. Методом накач-
и нижней поляритонными ветвями. Исследование
ки-зондирования [15, 16] изучены свойства экси-
двухфотонной резонансной флуоресценции на мик-
тон-поляритонов при изменении уровня возбужде-
роволновых частотах с использованием сверхпро-
ния кристалла. Показано, что наблюдается возник-
водящего искусственного атома с энергетическим
новение дополнительных поляритонных ветвей, обу-
спектром лестничного типа, трансмона, сильно свя-
словленных образованием биэкситонных и триэкси-
занного с волноводом, представлено в работе [24].
тонных состояний в кристалле. В работе [17] тео-
Рассматривается мощный двухфотонный переход
ретически и экспериментально исследован спектр
между основным и вторым возбужденными состоя-
пропускания оптического резонатора, связанного
ниями и наблюдается пик резонансной флуоресцен-
с ансамблем холодных четырехуровневых атомов
ции, интенсивность которого становится сравнимой
Rb-85. Получены четыре пика вследствие расщеп-
с однофотонным излучением.
ления нормальных мод пропускания резонатора в
Известно, что в экситонной области спектра име-
режиме сильной связи из-за коллективного увели-
ют место индуцированные светом однофотонные пе-
чения силы связи атом-резонатор ансамблем холод-
реходы из основного состояния кристалла в экси-
ных атомов. При этом закон дисперсии состоит из
тонное и из экситонного в биэкситонное, а также
четырех поляритонных ветвей. Когерентное трех-
прямой двухфотонный переход из основного состо-
фотонное лазерное возбуждение четырехуровневой
яния кристалла на биэкситонный уровень [25]. При
системы ридберговских атомов также изучено тео-
этом однофотонный оптический переход из экситон-
ретически и экспериментально [18]. Показано появ-
ного в биэкситонное состояние и двухфотонный пе-
ление дополнительного спектрального уширения и
реход из основного состояния кристалла в биэкси-
возникновение колебаний Раби на крыльях трехфо-
тонное характеризуются гигантскими силами осцил-
тонных резонансов. Влияние атомной когерентности
лятора по сравнению со случаем экситонного пе-
на поглощение в четырехуровневой атомной систе-
рехода. Отметим, что в работе [26] представлены
ме лестничного типа при учете однофотонных пере-
предварительные результаты исследования двухим-
ходов теоретически исследовано в работе [19]. Фор-
пульсного взаимодействия с экситонами и биэксито-
мирование поляритонов темного состояния в четы-
нами. Показано, что в условиях мощной накачки в
308
ЖЭТФ, том 160, вып. 3 (9), 2021
Законы дисперсии поляритонного типа для четырехуровневых атомов.. .
области M-полосы люминесценции закон дисперсии
модействующих с тремя импульсами резонансного
несущей волны имеет три ветви. Были найдены зна-
лазерного излучения. При этом учитываются одно-
чения параметров, при которых может наблюдать-
фотонные переходы между уровнями 1 ⇆ 2, 2 ⇆ 3
ся пересечение ветвей закона дисперсии. В работах
и 3 ⇆ 4, двухфотонные переходы между уровнями
[27, 28] представлены результаты исследования за-
1 и 3, 2 и 4, а также прямой трехфотонный переход
конов дисперсии поляритонного типа для трехуров-
между уровнями 1 и 4 (рис. 1). Гамильтониан взаи-
невого атома с эквидистантым и неэквидистантным
модействия атома и фотонов трех импульсов можно
энергетическими спектрами при учете двухфотон-
записать в виде
ного перехода. Были найдены значения частот Раби
и разности фаз, при которых наблюдается пересече-
1
Ĥint = -g12â†1ĉ†1â2 - g∗12â†2ĉ1â1 - g23â†2ĉ†2â3 -
ние ветвей законов дисперсии. Влияние двухфотон-
ℏ
ных процессов на поглощение в системе экситонов
-g∗23â†3ĉ2â2 - g34â†3ĉ†3â4 - g∗34â†4ĉ3â3-
и биэкситонов при двухимпульсном взаимодействии
-g13â†1ĉ†1ĉ†2â3 - g∗13â†3ĉ1ĉ2â1 - g24â†2ĉ†2ĉ†3â4-
изучено в работе [29]. Показано, что учет двухфо-
тонных процессов приводит к возможности наблю-
-g∗24â†4ĉ2ĉ3â2 - g14â†1ĉ†1ĉ†2ĉ†3â4 - g∗14â†4ĉ1ĉ2ĉ3â1,
(1)
дения несимметричного расщепления Аутлера - Та-
унса, а учет процессов квантовой интерференции —
где âj (j = 1-4) — оператор уничтожения атома, на-
к исчезновению эффекта Аутлера - Таунса при опре-
ходящегося на уровне j; ĉ1, ĉ2 и ĉ3 — операторы
деленных значениях полей падающих импульсов.
фотонов, индуцирующих переходы между уровня-
Предсказана возможность управления спектром по-
ми соответственно 1 ⇆ 2, 2 ⇆ 3 и 3 ⇆ 4; gij —
глощения при помощи изменения интенсивности по-
константы оптической конверсии атома с уровня i
лей и расстроек резонанса.
на уровень j. Собственные энергии атомов на уров-
Таким образом, можно сделать вывод, что ни в
нях 2, 3 и 4 равны соответственно ℏω0, ℏω03 и ℏω04
одной из упомянутых выше работ не исследуется си-
(рис. 1). Отсчет энергии атома на возбужденных
стема четырехуровневых атомов с одновременным
уровнях начинается с первого уровня (основного со-
учетом однофотонных, двухфотонных и трехфотон-
стояния атома). Фотоны падающих импульсов, опи-
ных переходов.
сываемые операторами ĉ1, ĉ2 и ĉ3, имеют частоты
соответственно ω1, ω2 и ω3. Фотоны первого (вто-
рого) импульса с энергией ℏω1 (ℏω2) возбуждают
2. ПОСТАНОВКА ЗАДАЧИ.
атом с уровня 1 (2) на уровень 2 (3), фотоны второ-
ДИСПЕРСИОННОЕ УРАВНЕНИЕ
го (третьего) импульса с энергией ℏω3 возбуждают
Ниже представлены результаты исследований
атом с уровня 3 на уровень 4. Эти переходы явля-
закона дисперсии четырехуровневых атомов, взаи-
ются оптически-разрешенными однофотонными пе-
реходами. Кроме того, в атомной системе возможны
также оптически-разрешенные двухфотонные пере-
ходы с уровня 1 на уровень 3 (и обратно) под дей-
ствием импульсов с энергиями ℏω1 + ℏω2, с уровня
2 на уровень 4 (и обратно) под действием импуль-
сов с энергиями ℏω2 + ℏω3. Наряду с двумя двух-
фотонными переходами в данной системе разрешен
также оптический трехфотонный переход с уровня
1 на уровень 4 (и обратно) под действием тех же са-
мых фотонов с энергиями ℏω1, ℏω2, ℏω3, что отраже-
но последними двумя слагаемыми в выражении (1).
Предполагаем, что три импульса электромагнитно-
го излучения действуют в течение времени, меньше-
го времени релаксации атомов. В этом случае про-
цессами релаксации можно пренебречь.
Используя гамильтониан (1), легко получить
Рис. 1. Схема энергетического спектра четырехуровневого
гейзенберговские уравнения движения для операто-
атома, взаимодействующего с фотонами с частотами ω1,
ров âj и ĉj , после усреднения которых в прибли-
ω2 и ω3
жении среднего поля приходим к системе нелиней-
309
О. В. Коровай
ЖЭТФ, том 160, вып. 3 (9), 2021
ных эволюционных уравнений для амплитуд aj =
i(c∗2c∗3a4)· = (ω04 - ω3 - ω2)c∗2c∗3a4 + g∗23a2a∗3c∗3a4 +
= 〈âj〉 (j = 1, 2, 3, 4) и cj = 〈ĉj〉 (j = 1, 2, 3):
+g∗13a1c1a∗3c∗3a4 + g∗24a2c3a∗4c∗3a4+
+g∗14a1c2c3a∗4c∗3a4 + g∗34a3a4a∗4c∗2+
+g∗24a2c2a4a∗4c∗2 + g∗14a1c1c2a∗4a4c∗2-
ia1 = -g12c∗1a2 - g13c∗1c∗2a3 - g14c∗1c∗2c∗3a4,
-g∗34a3c3c∗3c∗2 - g∗24a2c2c3c∗2c∗3-
ia2 =ω0a2 -g∗12a1c1 -g23c∗2a3 -g24c∗2c∗3a4,
-g∗14a1c1c2c3c∗2c∗3.
ia3 =ω03a3 -g∗23a2c2 -g34c∗3a4 -g∗13a1c1c2,
ia4 = ω04a4-g∗34a3c3-g∗24a2c2c3-g∗14a1c1c2c3,
(2)
Далее будем считать, что амплитуды фотонов
намного превосходят амплитуды атомов на соответ-
iċ1 = ω1c1-g12a∗1a2-g14a∗1c∗2c∗3a4-g13a∗1c∗2a3,
ствующих уровнях (c1, c2, c3 ≫ a1, a2, a3, a4) — при-
iċ2 = ω2c2-g23a∗2a3-g14a∗1c∗2c∗3a4-g13a∗1c∗2a3 -
ближение заданной плотности фотонов. Тогда ре-
-g24a∗2c∗3a4,
шение этих уравнений будем искать в виде ci =
iċ3 = ω3c3-g34a∗3a4-g24a∗2c∗2a4-g14a∗1c∗1c∗2a4.
= c0i exp(-iωit), где c0i — начальные значения амп-
литуд фотонов. Огибающая функции ci(t) в прибли-
жении заданной плотности фотонов не изменяется
со временем: |ci|2 = |c0i|2 ≡ fi0 = const. Пренебре-
Найдем дисперсионное уравнение системы в
гая исчезающе малыми слагаемыми в уравнениях
окрестности частоты второго уровня атома. Ис-
(3), получаем следующую систему уравнений:
пользуя уравнение для
a2, видим, что скорость
изменения амплитуды a2 определяется выражения-
ia2 = ω0a2-g∗12(a1c1)-g23(c∗2a3)-g24(c∗2c∗3a4),
ми a1c1, c∗2a3 и c∗2c∗3a4. Слагаемое с a1c1 описывает
i(a1c1)· = ω1(a1c1)-g12c1c∗1a2-g13c∗1c1c∗2a3 -
вклад в скорость изменения амплитуды a2 за счет
-g14c1c∗1c∗2c∗3a4,
гибели атома на уровне a1 и фотона с энергией
ℏω1, в результате чего атом переходит на уровень 2.
i(a3c∗2)· = (ω03-ω2)(c∗2a3)-g∗23a2c∗2c2 -
(4)
Слагаемое c∗2a3 описывает процессы гибели атома
-g34c∗3c∗2a4 - g∗13a1c1c2c∗2,
на уровне 3 с образованием фотона на частоте ω2,
i(c∗2c∗3a4)· = (ω04-ω3-ω2)(c∗2c∗3a4)-g∗34a3c3c∗3c∗2 -
в результате чего атом переходит на уровень 2.
-g∗24a2c2c3c∗2c∗3 - g∗14a1c1c2c3c∗2c∗3.
Аналогично, слагаемое с c∗2c∗3a4 описывает процесс
гибели атома на уровне
4
с образованием двух
В приближении заданной плотности фотонов систе-
фотонов с частотами ω2 и ω3 и переходом атома на
ма уравнений (4) является линейной. Решения си-
уровень 2. Соответствующие им операторы â1ĉ1,
стемы (4) будем искать в виде
ĉ†2â3 и ĉ†2ĉ†3â4 описывают состояния с квазиэнерги-
a2, a1c1, a3c∗2, c∗2c∗3a4 ∝ e-iωt,
ями ℏω1, ℏ(ω03 - ω2) и ℏ(ω04 - ω3 - ω2), равными
энергии ℏω0 атома на втором уровне. Следователь-
где ω — искомая собственная частота атомных по-
но, состояние атома на уровне 2, а также реплика
ляритонов. Тогда для стационарных амплитуд по-
возбужденного состояния
3, сдвинутая вниз на
лучаем алгебраическую систему уравнений
энергию фотона ℏω2, и реплика возбужденного со-
стояния 4, сдвинутая вниз на энергию двух фотонов
(ω - ω0)a2 + g∗12(a1c1) +
ℏω2 + ℏω3, вырождены по энергии.
+g23(c∗2a3) + g24(c∗2c∗3a4) = 0,
Используя выражение (2), получаем для ампли-
(ω - ω1)(a1c1) + g12c1c∗1a2 + g13c∗1c1c∗2a3 +
туд a1c1, c∗2a3 и c∗2c∗3a4 следующие уравнения:
+g14c1c∗1c∗2c∗3a4 = 0,
(5)
(ω-ω03+ω2)(c∗2a3)+g∗23a2c∗2c2+g34c∗3c∗2a4 +
+g∗13a1c1c2c∗2 = 0,
i(a1c1)· = ω1a1c1-g12c1c∗1a2-g14c∗1c∗2c∗3c1a4 -
(ω - ω04 + ω3 + ω2)(c∗2c∗3a4) + g∗34a3c3c∗3c∗2 +
- g13c∗1c1c∗2a3-g12a1a∗1a2-g13a∗1c∗2a3a1 -
+g∗24a2c2c3c∗2c∗3 + g∗14a1c1c2c3c∗2c∗3 = 0,
-g14a∗1c∗2c∗3a4a1,
i(a3c∗2)· = (ω03-ω2)c∗2a3-g∗23a2c∗2c2-g34c∗3c∗2a4 -
детерминант которой представляет собой закон
- g∗13a1c1c2c∗2+g∗24a2c3a∗4a3+g∗23a2a∗3a3 +
дисперсии взаимодействующих атомов с неэквиди-
стантным энергетическим спектром в окрестности
+g∗13a1c2a∗3a3 + g∗24a2c3a∗4c∗2+
частоты ω0 самого низкого возбужденного уровня
+g∗14a1c1c3c∗2a∗4,
(3)
атома:
310
ЖЭТФ, том 160, вып. 3 (9), 2021
Законы дисперсии поляритонного типа для четырехуровневых атомов.. .
ω-ω0
g∗12
g23
g24
g12f10
ω-ω1
g13f10
g14f10
= 0,
(6)
g∗23f20
g∗13f20
ω-ω03 +ω2
g34
g∗
f20f30
g∗14f20f30
g∗34f30
ω-ω04 +ω3 +ω2
24
где f10, f20 и f30 — (заданные) плотности фото-
момента перехода между уровнями 1 и 4 и произве-
нов действующих импульсов. Раскрывая детерми-
дению всех трех плотностей фотонов. Таким обра-
нант (6) и полагая константы
зом, по аналогии с двухуровневыми атомами, взаи-
модействующими с полем электромагнитной волны,
gnk = |gnk| exp(iϕnk), n = 1-3, k = 1-4,
используемые выражения для частот Раби совпада-
получаем уравнение четвертой степени для опреде-
ют с ранее введенными [27,28]. Выражения (9) опи-
ления частот ω атомных поляритонов:
сывают разности фаз Θi, i = 1-4.
Из уравнения (7) видно, что закон дисперсии
(ω - ω0)(ω - ω1)(ω - ω03 + ω2)(ω - ω04 + ω3 + ω2) -
атомных поляритонов может иметь четыре действи-
- Ω212(ω - ω03 - ω2)(ω - ω04 + ω3 + ω2)-
тельных корня, которые описывают четыре диспер-
- Ω223(ω - ω1)(ω - ω04 + ω3 + ω2)-
сионные ветви в зависимости от частоты фотонов
- Ω234(ω-ω0)(ω-ω1)-Ω213(ω-ω0)(ω-ω04+ω3+ω2)-
ω1 = ck1, где k1 — волновой вектор. Форма и распо-
-Ω224(ω-ω1)(ω-ω03+ω2)-Ω214(ω-ω1)(ω-ω03+ω2)+
ложение ветвей закона дисперсии определяются ча-
стотами Раби, квадраты которых, в свою очередь,
+Ω212Ω234 + Ω223Ω214 + Ω213Ω224+
определяются плотностями фотонов f10, f20 и f30
+ 2Ω13Ω34Ω14(ω - ω0)cosΘ1 +
трех импульсов.
+ 2Ω12Ω23Ω13(ω - ω04 + ω3 + ω2)cosΘ2 +
Второе, третье и четвертое слагаемые в уравне-
+ 2Ω12Ω14Ω24(ω - ω03 + ω2)cosΘ4 +
нии (7) описывают последовательные независимые
+ 2Ω23Ω34Ω24(ω - ω1)cosΘ3 -
вклады каждого из однофотонных переходов в дис-
- 2Ω12Ω23Ω13Ω14 cos(Θ1 + Θ2)-
персионном уравнении. При этом знаки (либо фа-
зы) соответствующих констант взаимодействия по
- 2Ω12Ω13Ω23Ω34 cos(Θ1 - Θ4)-
отношению к другим константам взаимодействия
- 2Ω23Ω14Ω13Ω24 cos(Θ1 - Θ2) = 0,
(7)
не играют роли. Пятое и шестое слагаемые в урав-
где
нении (7) описывают последовательные независи-
мые вклады каждого из двухфотонных переходов
Ω212 = g212f10, Ω223 = g223f20,
(между уровнями соответственно 1 ⇆ 3 и 2 ⇆ 4).
Ω234 = g234f30, Ω213 = g213f10f20,
(8)
Седьмое слагаемое описывает вклад прямого трех-
Ω224 = g224f20f30, Ω214 = g2
14
f10f20f30
фотонного перехода между уровнями 1 ⇆ 4. Слагае-
мые с восьмого по десятое определяют вклады, обу-
и
словленные корреляцией между однофотонными и
Θ1 = ϕ12 + ϕ24 - ϕ14, Θ2 = ϕ12 + ϕ23 - ϕ13,
(9)
многофотонными процессами. Слагаемые с одинна-
Θ3 = ϕ23 + ϕ34 - ϕ24, Θ4 = ϕ13 + ϕ34 - ϕ14.
дцатого по четырнадцатое пропорциональны произ-
Из соотношений (8) видно, что квадраты частот
ведениям трех частот Раби (трех констант взаимо-
Раби Ω212, Ω223, Ω234 однофотонных переходов меж-
действия). Их появление обусловлено одновремен-
ду соседними уровнями пропорциональны квадра-
ным действием (квантовой интерференцией) трех
там матричных элементов g2nk дипольных моментов
процессов. При этом учет знаков между константа-
переходов и плотностям фотонов соответствующих
ми взаимодействия (фазовых соотношений) играет
импульсов. Квадраты частот Раби Ω213, Ω224 двух-
важную роль, так как закон дисперсии зависит еще
фотонных переходов пропорциональны квадратам
и от разностей фаз между константами соответству-
ющих оптических процессов. Вклад этих слагаемых
матричных элементов g213, g224 дипольных моментов
переходов между уровнями 1 ⇆ 3, 2 ⇆ 4 и произ-
зависит не только от значений частот Раби, но и от
значений разностей фаз, введенных ранее. Послед-
ведению плотностей фотонов соответствующих им-
пульсов. Квадрат частоты Раби Ω214 трехфотонно-
ние три слагаемых учитывают вклад в дисперсион-
го оптически-разрешенного перехода пропорциона-
ное соотношение квантовой интерференции четырех
лен квадрату матричного элемента g214 дипольного
процессов. Здесь играют роль корреляции между
311
О. В. Коровай
ЖЭТФ, том 160, вып. 3 (9), 2021
четырьмя константами взаимодействия, обуслов-
F (Δ)
δ1(Δ) = Δ -
,
(12)
ленные четырехчастотными процессами. Слагаемые
G(Δ)
с разностью фаз в уравнении (7) являются следстви-
где
ем когерентности процессов взаимодействия фото-
нов с атомами. По этой причине экспериментальное
F (Δ) = Δ2(ω214 - ω213 - 1) +
установление особенностей поведения закона дис-
+ Δ(δ2(ω214 - ω213 - 2) - δ3(ω213 + 1) +
персии при одновременном учете всех оптических
переходов может способствовать установлению фа-
+ 2ω14ω24 cosΘ1 + 2ω23ω13 cosΘ2)+
зовых соотношений между различными константа-
+ 2δ2ω14ω24 cosΘ1 + 2(δ2 + δ3)ω23ω13 cosΘ2 +
ми взаимодействия.
-
+ω223ω214 + ω224ω213 + ω234
3. ЗАКОН ДИСПЕРСИИ
ЧЕТЫРЕХУРОВНЕВОГО АТОМА С
- 2ω34ω24ω13 cos(Θ1 - Θ4)-
НЕЭКВИДИСТАНТНЫМ
- 2ω14ω23ω34 cos(Θ2 + Θ4)-
ЭНЕРГЕТИЧЕСКИМ СПЕКТРОМ
- 2ω14ω23ω24ω13 cos(Θ1 - Θ2),
(13a)
Обсудим поведение ветвей закона дисперсии
атомных поляритонов четырехуровневого атома.
Будем считать, что частота фотонов первого им-
G(Δ) = Δ3 + (2δ2 + δ3)Δ2 +
пульса, ω1 = ck1, действующего между уровнями 1
+ (δ22 + δ2δ3 - (ω223 + ω234 + ω224))Δ +
и 2, непрерывно изменяется, тогда как частоты ω2 и
+ 2ω23ω34ω24 cosΘ3 - δ2(ω223 + ω224) - δ3ω234.
(13b)
ω3 фотонов второго и третьего импульсов являются
фиксированными параметрами. Используя уравне-
Видно, что поведение функции δ1(Δ) существен-
ние (7), можно получить явные решения уравнения
но определяется корнями уравнения для G(Δ), ко-
четвертой степени в виде зависимости ω(ω1). Вве-
торое представляет собой каноническое кубическое
дем в рассмотрение расстройки резонансов Δ, δ1,
уравнение G(Δ) = 0 относительно Δ. При этом кор-
δ2, δ3, нормированные на частоту Раби Ω12:
ни будут являться полюсами функции δ1(Δ), поло-
ω - ω0 = Ω12Δ, ω2 - ω03 + ω0 = Ω12δ2,
жение которых изменяется в зависимости от значе-
(10)
ω1 - ω0 = Ω12δ1, ω3 + ω03 - ω04 = Ω12δ3.
ний параметров системы.
Рассмотрим случай точного резонанса δ2 = 0,
Для анализа поведения кривых законов диспер-
δ3 = 0, тогда выражения (13) можно записать в виде
сии более удобным является рассмотрение решения
уравнения δ1(Δ) с учетом расстроек резонансов δi
(i = 1, 2, 3). Дисперсионное уравнение (7) примет
Δ2(ω214 - ω213 - 1)+
вид
+Δ(2ω14ω24 cos Θ1 + 2ω23ω13 cos Θ2) +
Δ(Δ-δ1)(Δ+δ2)(Δ+δ2+δ3)-(Δ+δ2)(Δ+δ2+δ3) -
+ω223ω214 + ω224ω213 + ω234 -
- ω223(Δ - δ1)(Δ + δ2 + δ3) - ω234Δ(Δ - δ1)-
-ω213Δ(Δ+δ2+δ3)-ω224(Δ-δ1)(Δ+δ2)-ω214Δ(Δ+δ2)+
-2ω34ω24ω13 cos(Θ1 - Θ4)-
+ ω234 + ω223ω214 + ω213ω224 + 2ω13ω34ω14ΔcosΘ4 +
-2ω14ω23ω34 cos(Θ2 + Θ4)-
+2ω23ω13(Δ+δ2+δ3)cosΘ2+2ω14ω24(Δ+δ2)cosΘ1 +
-2ω14ω23ω24ω13 cos(Θ1 - Θ2) = 0,
(14a)
+2ω23ω34ω24(Δ-δ1)cosΘ3-2ω23ω34ω14 cos(Θ2+Θ4)-
Δ3 - (ω223 + ω234+ω224
)Δ +
- 2ω13ω24ω34 cos(Θ1 - Θ4)-
+2ω23ω34ω24 cos(Θ3) = 0.
(14b)
- 2ω23ω14ω13ω24 cos(Θ1 - Θ2) = 0,
(11)
где
Второе слагаемое в (14b) описывает взаимодействие
Ω23
Ω34
Ω13
импульса на частоте ω2 с атомами с квазиэнергией
ω23 =
,
ω34 =
,
ω13 =
,
Ω12
Ω12
Ω12
ℏ(ω03 - ω2) и с частотой Раби ω23 (переход 2 ⇆ 3),
Ω24
Ω14
третье слагаемое в (14b) — взаимодействие импульса
ω24 =
,
ω14 =
Ω12
Ω12
на частоте ω3 с атомами с квазиэнергией ℏ(ω04 - ω3)
— нормированные на Ω12 частоты Раби. Соответ-
на переходе 3 ⇆ 4 с частотой Раби ω34, четвер-
ственно, уравнение для расстройки резонанса мож-
тое слагаемое в (14b) описывает взаимодействие им-
но записать в виде
пульсов на частотах ω2 и ω3 с атомами с квазиэнер-
312
ЖЭТФ, том 160, вып. 3 (9), 2021
Законы дисперсии поляритонного типа для четырехуровневых атомов.. .
гией ℏ(ω04-ω3-ω2) на переходе 2 ⇆ 4 с частотой Ра-
На рис. 2г,д видно, что если исключить двухфо-
би ω24, пятое слагаемое представляет собой кванто-
тонный переход 2 ⇆ 4, т.е. ω24 = 0, то увеличе-
вую интерференцию трех процессов. При этом вто-
ние значения частоты Раби ω23 приводит к сим-
рое и третье слагаемые описывают однофотонные
метричному смещению корней уравнения друг от-
переходы, тогда как четвертое слагаемое — это след-
носительно друга при увеличении значения частоты
ствие учета двухфотонного перехода 2 ⇆ 4. Корни
ω34 (рис. 2д,е). При ω24 = 0 возникает перестройка
уравнения (14b) являются аналогами поперечных
энергетического спектра четырехуровневого атома
частот теории экситон-поляритонов, т. е. расщепле-
(рис. 2е), корни уравнения (14b) при условии ω23 =
ние первого возбужденного уровня атома опреде-
= ω34 = ω24 принимают значения Δ1,2 = ω23, Δ3 =
ляется тремя частотами Раби и разностью фаз Θ3.
= -2ω23 и возникает пересечение кривых в длин-
Очевидно, что если одна из этих частот Раби рав-
новолновой области Δ < 0 (рис. 2ж) при Θ3 = π,
на нулю либо разность фаз Θ3 = π/2, то слагаемое,
обусловленное вырождением корней Δ1 и Δ2 куби-
описывающее квантовую интерференцию трех про-
ческого уравнения, или корней Δ1 и Δ3 в коротко-
цессов, равно нулю.
волновой области Δ > 0 в случае Θ3 = π (рис. 2з).
Изучим поведение корней уравнения (14b) при
Наличие вырождения можно увидеть, исследуя дис-
различных значениях частот Раби и разности фаз
криминант уравнения (14b)
Θ3. При Θ3 = π/2 уравнение имеет три различных
D = -108ω223ω224ω234 cos2 Θ3 - 4(-ω223 - ω224 - ω234)3.
корня:
√
Видно, что дискриминант и, следовательно, корни
Δ1 = 0, Δ2,3 = ± ω223 + ω234 + ω224,
уравнения (14b) определяются частотами Раби и
разностью фаз Θ3, входящей в интерференционное
положение которых определяется значениями всех
слагаемое всех трех процессов. Анализ дискрими-
частот Раби, входящих в уравнение. На рис. 2а-в
нанта уравнения позволяет увидеть, что D = 0 при
представлены зависимости Δ(ω23) при различных
|cos2 Θ3| = 1 и ω23 = ω34 = ω24 и, следователь-
значениях частот Раби ω24 и ω34. Видно, что кор-
но, уравнение (14b) имеет один двукратно вырож-
ни Δ2,3 при увеличении частот Раби ω24 и ω34 сим-
денный корень и один отличный от него. Отсюда
метрично удаляются от корня Δ1 = 0 (рис. 2б), что
следует, что при учете процесса прямого двухфо-
свидетельствует об увеличении расщепления перво-
тонного возбуждения атома с уровня 2 на уровень
го возбужденного уровня атома и о симметричном
4 возникает вырождение корней уравнения (14b), а
смещении расщепленных квазиуровней друг отно-
это, в свою очередь, приводит к пересечению кривых
сительно друга (рис. 2в). В случае ω23 = ω34 = ω24
Δ(ω23) при Θ3 = 0, π (рис. 2ж,з). Эти особенности
положение корней Δ2,3 определяется только одной
поведения корней уравнения (14b) и кривых функ-
частотой Раби. При Θ3 = 0, π уравнение (14b) имеет
ции Δ(ω23) в зависимости от значений частот Раби
три различных корня при условии ω23 = ω34 = ω24.
и разности фаз должны проявиться и в поведении
Решение кубического уравнения (14b) в общем слу-
ветвей закона дисперсии Δ(δ1). В условиях точного
чае можно представить в виде [30]
резонанса второго и третьего импульсов выражение
√
(11) примет вид
a
p
(α)
Δ1 = -
+2
-
cos
,
3
3
3
√
(15)
Δ4 - Δ3δ1 - Δ2(1 + ω223 + ω234 + ω213 + ω224 + ω214)+
a
p
(α±π)
Δ2,3 = -
+2
-
cos
,
+ Δ(δ1(ω223 + ω234 + ω224) + 2ω23ω13 cos Θ2 +
3
3
3
+ 2ω14ω24 cosΘ1 + 2ω13ω34ω14 cosΘ3 +
где
+ 2ω23ω34ω24 cosΘ4) + ω234 + ω223ω214 + ω213ω224 -
q
cosα = -
√
,
- 2δ1ω23ω34ω24 cosΘ4 - 2ω14ω23ω34 cos(Θ1 + Θ4)-
2
-(p/3)3
- 2ω23ω34ω14 cos(Θ2 + Θ4)-
1
2
1
p=-
a2 + b, q =
a3 -
ab + c,
- 2ω23ω14ω13ω24 cos(Θ1 + Θ2) = 0.
(16)
3
27
3
а коэффициенты в условиях точного резонанса име-
Изучим решения уравнения четвертой степени
ют вид
(16) как функцию Δ(δ1) при постоянных значени-
ях параметров ω14, ω24, ω34, ω23, ω13 и Θi (i = 1-4).
a = 1, b = ω223 + ω234 + ω224, c = 2ω23ω34ω24 cosΘ3.
Для оценки и анализа природы корней уравнения
313
О. В. Коровай
ЖЭТФ, том 160, вып. 3 (9), 2021
Рис. 2. Зависимости корней уравнения Δi(ω23) при δ2 = δ3 = 0: разность фаз Θ3 = π/2 и ω24 = ω34 = 0 (а), ω24 = 0,
ω34 = 1 (б), ω24 = ω34 = 1 (в); разность фаз Θ3 = 0 и ω24 = ω34 = 0 (г), ω24 = 0, ω34 = 1 (д), ω24 = 0.5, ω34 = 1 (е),
ω24 = ω34 = 1 (ж); разность фаз Θ3 = π и ω24 = ω34 = 1 (з)
√
√
используем подход, развитый в работе [31], из ко-
D21 - 4D30
торого следует, что все четыре корня Δi (i = 1-4)
Q=3 D1 +
,
2
являются действительными и определяются выра-
жениями [32]
D0 = c2 - 3bd + 12ae,
√
b
1
q
Δ1,2 = -
-S±
-4S2 - 2p +
,
D1 = 2c3 - 9bcd + 27b2e + 27ad2 - 72ace,
4a
2
S
√
(17)
b
1
q
а a, b, c, d, e — коэффициенты из уравнения (16).
Δ3,4 = -
+S±
-4S2 - 2p -
,
4a
2
S
Результаты анализа дискриминанта уравнения (16)
где
(см. Приложение) позволяют объяснить особенно-
2
сти поведения ветвей закона дисперсии. Например,
8ac - 3b
b3 - 4abc + 8a2d
p=
,
q=
,
равенство дискриминанта нулю соответствует вы-
8a2
8a3
√
рождению корней уравнения, а это, в условиях на-
(
)
1
2
1
D0
шей задачи, выражается в пересечении ветвей зако-
S =
-
p+
Q+
,
2
3
3a
Q
на дисперсии.
314
ЖЭТФ, том 160, вып. 3 (9), 2021
Законы дисперсии поляритонного типа для четырехуровневых атомов.. .
храняя свою форму. В случае, когда ω13 = ω24 = 0,
а ω14 ≥ 0 (рис. 4в), при увеличении параметра ω14
наблюдается сближение верхней и средней ветвей в
коротковолновой области Δ > 0 и нижней и сред-
ней ветвей в длинноволновой области Δ < 0. Ветви
сближаются при росте частоты Раби ω14 и одновре-
менно пересекаются при ω14 = 1. Таким образом,
возникают пересечения верхней и средней ветвей за-
кона дисперсии в коротковолновой области Δ > 0 и
нижней и средней ветвей в длинноволновой области
Δ < 0; средние ветви при этом представляют собой
прямые и не зависят от расстройки резонанса δ1.
Дальнейшее увеличение частоты Раби ω14 приводит
к исчезновению пересечений, при этом наблюдается
сближение средних ветвей и симметричное смеще-
ние верхней и нижней ветвей закона дисперсии.
Рассмотрим теперь поведение ветвей закона дис-
персии при ω14 = ω24 = 1 и ω13 ≥ 0 (рис. 4г). С рос-
том параметра ω13 средние ветви закона дисперсии
сближаются в окрестности точки δ1 = 0, при этом
верхняя и нижняя поляритонные ветви медленно
удаляются друг от друга, смещаясь в коротковолно-
вой и длинноволновой областях. При ω13 = 2 проис-
ходит пересечение средних ветвей закона дисперсии
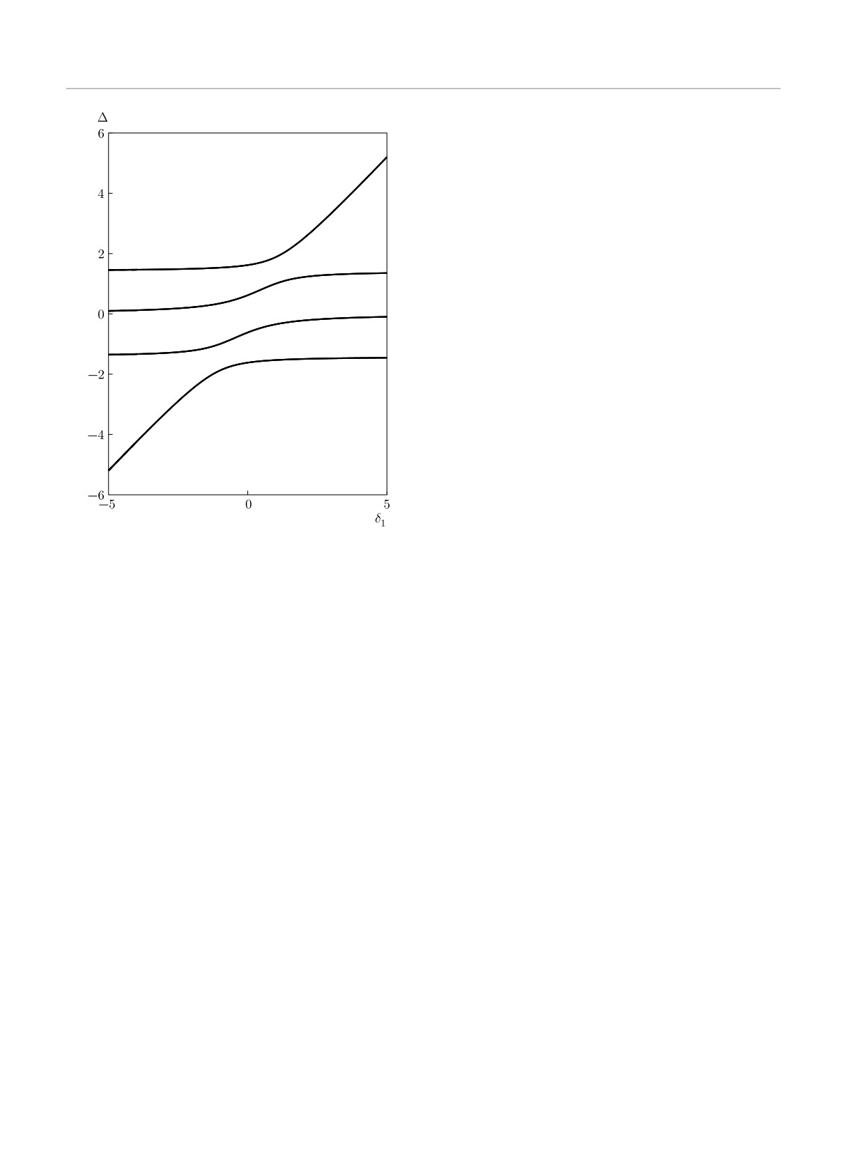
Рис. 3. Законы дисперсии Δ(δ1) при δ2 = δ3 = 0 и значе-
в точке δ1 = 0, при этом одна из ветвей представля-
ниях нормированных частот Раби ω23 = ω34 = ω12 = 1 без
ет собой прямую Δ = 0 и не зависит от δ1, тогда как
учета многофотонных переходов (ω14 = ω24 = ω13 = 0)
другая монотонно возрастает с ростом δ1. Дальней-
шее увеличение ω13 приводит к расщеплению сред-
Исследуя уравнение (16), рассмотрим поведе-
них ветвей и к симметричному смещению верхней и
ние кривых закона дисперсии атомных поляритонов
нижней ветвей закона дисперсии, при этом смеще-
(рис. 3). Видно, что закон дисперсии Δ(δ1) при δ2 =
ние средних ветвей друг относительно друга слабо
= 0, δ3 = 0 и без учета многофотонных переходов
зависят от ω13.
(ω14 = ω24 = ω13 = 0) представляет собой структу-
Зафиксируем ω14 = ω13 = 1, ω24 ≥ 0 (рис. 4д).
ру, состоящую из четырех восходящих с ростом δ1
Увеличение параметра ω24 приводит к симметрич-
ветвей, положение и форма которых определяется
ному удалению верхней и нижней ветвей, к одновре-
параметрами системы.
менному сближению средних ветвей закона диспер-
Анализ выражений (9) и (16) позволяют сделать
сии и к их пересечению при ω24 = 2 в точке δ1 = 0.
вывод, что разности фаз Θi (i = 1-4) могут быть все
При этом одна из ветвей представляет собой прямую
одновременно равны друг другу. Рассмотрим для
Δ = 0. Дальнейший рост параметра ω24 приводит к
начала случай Θi = π/2 (i = 1-4) и изучим влияние
расщеплению средних ветвей закона дисперсии, по-
многофотонных переходов на поведение ветвей за-
степенному расталкиванию средних ветвей друг от-
кона дисперсии Δ(δ1). При ω14 = ω24 = 0, а ω13 ≥ 0
носительно друга и к последующему симметрично-
(рис. 4а) с ростом ω13 наблюдается симметричное
му смещению всех четырех ветвей закона дисперсии.
удаление друг от друга верхней и нижней ветвей за-
Случай ω13 = ω24 = 1 и ω14 ≥ 0 представлен на
кона дисперсии и сильное сближение средних вет-
рис. 4е. При ω14 = 0 наблюдается пересечение двух
вей на всем диапазоне значений δ1 с изменением их
средних ветвей закона дисперсии в точке δ1 = 0.
формы. Если ω14 = ω13 = 0, а ω24 ≥ 0 (рис. 4б), то с
При этом одна из них носит восходящий с ростом
ростом ω24 верхняя и нижняя поляритонные ветви
δ1 характер, тогда как другая представляет собой
удаляются друг от друга (смещаясь соответственно
прямую Δ = 0. При увеличении параметра ω14 пе-
в длинноволновую Δ < 0 и коротковолновую Δ > 0
ресечение исчезает, возникает расщепление средних
области), тогда как средние ветви закона диспер-
ветвей в окрестности δ1 = 0, которое увеличивается
сии сильно сближаются в окрестности Δ = 0, со-
с ростом ω14, формируя две восходящие средние вет-
315
О. В. Коровай
ЖЭТФ, том 160, вып. 3 (9), 2021
Рис. 4. Законы дисперсии Δ(δ1), когда δ2 = δ3 = 0, разность фаз Θi = π/2 (i = 1-4) и нормированные частоты Раби
ω23 = ω34 = ω12 = 1: а — ω14 = ω24 = 0 и различные ω13; б — ω14 = ω13 = 0 и различные ω24; в — ω24 = ω13 = 0 и
различные ω14; г — ω14 = ω24 = 1 и различные ω13; д — ω14 = ω13 = 1 и различные ω24; е — ω24 = ω13 = 1 и различные
ω14. На всех рисунках тип линии соответствует следующим значениям нормированных изменяющихся частот Раби ω13,
ω24, ω14: 0 — сплошные; 1 — штриховые; 2 — штрихпунктирные; 3 — пунктирные
ви закона дисперсии, которые отталкиваются друг
ней ветвей в длинноволновой области спектра. За-
от друга. При этом увеличение ω14 также приводит
тем нижняя и средняя ветви расталкиваются, и про-
к симметричному смещению верхней и нижней по-
исходит дальнейшее сближение средней и верхней
ляритонных ветвей относительно Δ = 0.
ветвей. Дальнейший рост ω13 приводит к отталки-
ванию верхней и нижней ветвей и сближению сред-
Рассмотрим поведение ветвей закона дисперсии
них ветвей в области δ1 > 0. В случае ω14 = ω13 = 0,
Δ(δ1) и изучим влияние многофотонных переходов
а ω24 ≥ 0 на рис. 5б видно, что при ω24 = 1 сред-
в случае, когда разности фаз Θi = 0 (i = 1-4) при
няя ветвь закона дисперсии представляет собой пря-
ω14 = ω24 = 0, а ω13 ≥ 0 (рис. 5а). С ростом пара-
мую Δ = 1. Дальнейший рост параметра ω24 приво-
метра ω13 происходит сближение верхней и средней
дит к восстановлению восходящего характера сред-
поляритонных ветвей закона дисперсии в коротко-
ней ветви с ростом δ1, постепенному расталкиванию
волновой области спектра, а также средней и ниж-
средних ветвей и последующему смещению всех че-
316
ЖЭТФ, том 160, вып. 3 (9), 2021
Законы дисперсии поляритонного типа для четырехуровневых атомов.. .
Рис. 5. То же, что на рис. 4, но для разности фаз Θi = 0 (i = 1-4)
тырех ветвей закона дисперсии в длинноволновую
тогда как другая монотонно возрастает с ростом
и коротковолновую области. При ω13 = ω24 = 0, а
δ1. Увеличение параметра ω13 приводит к сильно-
ω14 ≥ 0 (рис. 5в) с ростом параметра ω14 наблюда-
му сближению верхней и обеих средних ветвей за-
ется сближение средних ветвей. При ω14 = 1 про-
кона дисперсии. При ω13 = 1 возникает пересечение
исходит пересечение в точке δ1 = 0, одна из ветвей
трех ветвей закона дисперсии в точке δ1 = 0, при
представляет собой прямую Δ = 0, тогда как дру-
этом происходит изменение структуры закона дис-
гая монотонно возрастает с ростом δ1. Дальнейший
персии — он состоит из трех ветвей, поскольку ко-
рост параметра приводит к смещению всех четырех
рень Δ = 1 уравнения (16) становится двукратно
ветвей закона дисперсии в длинноволновую и корот-
вырожденным. Дальнейшее увеличение параметра
коволновую области.
приводит к расталкиванию средних и верхней вет-
вей и последующему смещению всех четырех ветвей
При ω14 = ω24 = 1, а ω13 ≥ 0 закон диспер-
закона дисперсии в длинноволновую и коротковол-
сии (рис. 5г) состоит из четырех ветвей. Одна из
новую области, при этом средняя ветвь представля-
средних ветвей представляет собой прямую Δ = 1,
ет собой прямую Δ = 1.
317
О. В. Коровай
ЖЭТФ, том 160, вып. 3 (9), 2021
При ω14 = ω13 = 1, а ω24 ≥ 0 (рис. 5д) закон
При одновременном учете двухфотонных и трехфо-
дисперсии состоит из четырех ветвей, одна из сред-
тонных процессов (ω13 = ω24 = 1, ω14 = 2) и зна-
них ветвей представляет собой прямую Δ = 0, тогда
чениях разностей фаз Θi = 0 наблюдается вырож-
как другая монотонно возрастает с ростом δ1. При
дение средних ветвей в одну и пересечение с верх-
этом имеет место пересечение средних ветвей зако-
ней поляритонной ветвью в коротковолновой обла-
на дисперсии. С ростом параметра обе средние вет-
сти при условии равенства частот Раби Ω12, Ω13,
ви вырождаются в прямую Δ = 1 и по-прежнему
Ω24 и Ω14. Следовательно, если изменять плотно-
пересекают верхнюю ветвь. В данном случае нали-
сти второго f20 и третьего f30 импульсов, то часто-
чие точки пересечения свидетельствует о существо-
ты Раби становятся одинаковыми при определенных
вании только одной частоты нутации атомных поля-
значениях f20 и f30. Дальнейший рост плотностей
ритонов. Дальнейшее увеличение параметра приво-
f20 и f30 снимает пересечение ветвей закона дис-
дит к восстановлению структуры из четырех ветвей,
персии, и снова восстанавливается структура из че-
при этом наблюдается сильное смещение в коротко-
тырех непересекающихся ветвей. Сближение и уда-
волновую область средней ветви, которая представ-
ление поляритонных ветвей при изменении плотно-
ляет собой прямую. В этом случае существует точка
стей фотонов f20 и f30 соответствует изменению по-
пересечения между верхней и средней ветвями за-
ляритонных частот Раби и возникновению эффекта
кона дисперсии, тогда как нижняя ветвь смещается
индуцированной мощным полем первого импульса
незначительно.
оптической связи атома с излучением.
Рассмотрим теперь поведение ветвей закона дис-
Представленные на рис. 4, 5 результаты свиде-
персии, когда ω13 = ω24 = 1, ω14 ≥ 0 (рис. 5е). В этом
тельствуют о том, что нормированные частоты Раби
случае поведение ветвей закона дисперсии в точно-
двухфотонных ω13, ω24 и трехфотонного ω14 пере-
сти повторяет поведение ветвей при ω14 = ω24 = 1 и
ходов являются важными параметрами, определя-
ω13 ≥ 0 (см. рис. 5г), что свидетельствует об одина-
ющими особенности поведения ветвей закона дис-
ковом влиянии учета двухфотонного перехода 1 ⇆ 3
персии атомных поляритонов.
и трехфотонного перехода. В случае, когда разности
Будем считать, что частота ω2 = ck2 фотонов
фаз Θi = π (i = 1-4), поведение ветвей закона дис-
второго импульса, действующего между уровнями
персии будет аналогично описанному при Θi = 0 с
2 и 3, непрерывно изменяется, тогда как частоты ω1
сохранением характера изменений поведения ветвей
и ω3, фотонов первого и третьего импульсов являют-
в длинноволновой области Δ < 0.
ся фиксированными параметрами, δ1 = δ3 = const.
На рис. 4, 5 видно, что при учете процессов двух-
В условиях точного резонанса (δ1 = δ3 = 0) выра-
фотонного возбуждения атома в условиях точного
жение (11) примет вид
резонанса второго и третьего импульсов (δ2 = 0,
δ3 = 0) возникают эффекты пересечения верхней и
Δ4+2Δ3δ2-Δ2(1+ω213+ω214+ω223+ω224+ω234-δ22)+
средней ветвей в коротковолновой области спектра
+ Δ(2ω13ω34ω14 cos Θ4 + 2ω23ω34ω24 cos Θ3 +
при Θi = 0. При Θi = π/2 возникает эффект пе-
+ 2ω14ω24 cosΘ1 + 2ω23ω13 cosΘ2 -
ресечения средних ветвей закона дисперсии в точ-
ке δ1 = 0 при ω13 = 1, ω24 = 1, т. е. при условии
- δ2(ω213 + ω214 + ω223 + ω224 + 2))-
равенства частот Раби Ω12, Ω13 и Ω24. На рис. 4б
- 2ω23ω34ω14 cos(Θ2 + Θ4)-
видно, что учет трехфотонного процесса возбужде-
- 2ω13ω24ω34 cos(Θ1 - Θ4)-
ния атома при отсутствии двухфотонных процессов
- 2ω23ω14ω13ω24 cos(Θ1 - Θ2)+
(ω13 = 0, ω24 = 0) приводит к возникновению эф-
фекта пересечения верхней и средней ветвей в точке
+ 2ω23ω13δ2 cosΘ2 + 2ω14ω24δ2 cosΘ1 +
√
Δ =
2 и нижней и средней поляритонных ветвей
+ ω234 + ω223ω214 + ω213ω224 - δ32 = 0.
(18)
√
закона дисперсии в точке Δ = -
2 при Θi = π/2.
Это обусловлено преобразованием выражения (16)
Закон дисперсии атомных поляритонов пред-
в биквадратное уравнение вида ax4 + cx2 + e = 0
ставляет собой уравнение четвертой степени. Для
c действительными коэффициентами и a = 0 [33].
построения графиков Δ(δ2) и анализа корней урав-
Наличие точек пересечения в этом случае означает,
нения (18) воспользуемся подходом, развитым в ра-
что существует только одна частота нутации атом-
ботах [31,32]. Закон дисперсии атомных полярито-
ных поляритонов.
нов в зависимости от непрерывно изменяющейся
При Θi = 0 наблюдается пересечение средних
расстройки δ2 фотонов второго импульса, действую-
ветвей в точке δ1 = 0 при ω13 = ω24 = ω14 = 1.
щего между уровнями 2 и 3, представлен на рис. 6, 7.
318
ЖЭТФ, том 160, вып. 3 (9), 2021
Законы дисперсии поляритонного типа для четырехуровневых атомов.. .
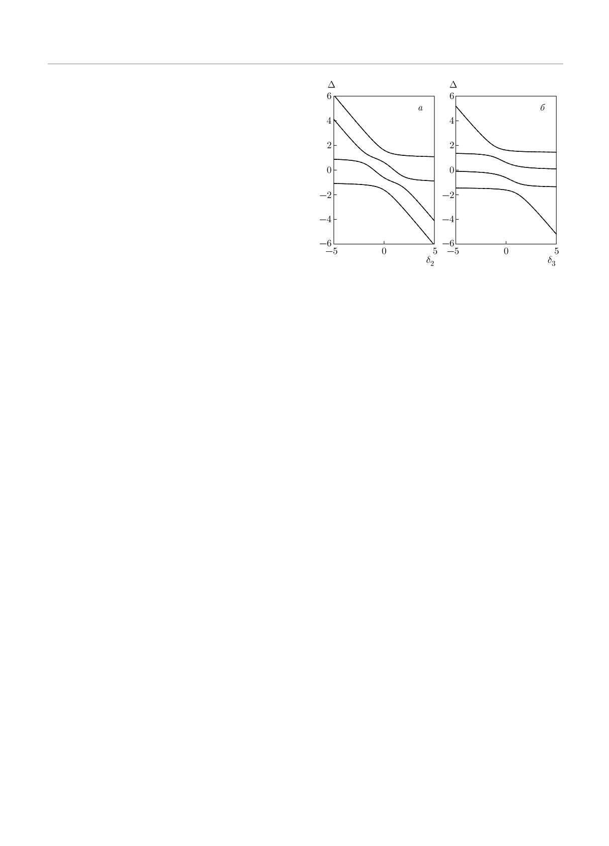
Рис. 6. Законы дисперсии Δ(δ2), когда δ1 = δ3 = 0, разность фаз Θi = π/2 и нормированные частоты Раби
ω23 = ω34 = ω12 = 1 (остальные обозначения, как на рис. 4)
Видно, что закон дисперсии Δ(δ2) в этом случае со-
точности повторяет рис. 6б, что позволяет сделать
стоит из четырех ниспадающих ветвей.
вывод об одинаковом влиянии учета двухфотонных
переходов на поведение ветвей закона дисперсии.
Рассмотрим поведение ветвей при Θi = π/2 (i =
= 1-4) и изучим влияние многофотонных переходов.
При ω13 = ω24 = 1, а ω14 ≥ 0 наблюдается
Если ω14 = ω24 = 0, а ω13 ≥ 0 (рис. 6а), то с ростом
сближение между верхней и средней ветвями в ко-
ω13 средние поляритонные ветви медленно сближа-
ротковолновой области Δ > 0 и между нижней и
ются, изменяя свою форму в окрестности δ2 = 0;
средней ветвями в длинноволновой области Δ < 0
при этом верхняя и нижняя поляритонные ветви
(рис. 6в). Ветви сближаются при росте частоты Ра-
симметрично удаляются друг от друга, смещаясь со-
би ω14, и при ω14 = 1 возникает пересечение ветвей
ответственно в коротковолновую и длинноволновую
закона дисперсии. Дальнейший рост ω14 приводит
области спектра. Если положить ω14 = ω13 = 0, а
к симметричному расталкиванию ветвей и восста-
ω24 ≥ 0 и увеличивать ω24, то закон дисперсии в
новлению структуры из четырех непересекающихся
319
О. В. Коровай
ЖЭТФ, том 160, вып. 3 (9), 2021
Рис. 7. То же, что на рис. 6, но для разности фаз Θi = 0 (i = 1-4)
нисходящих ветвей, которые постепенно смещают-
приводит к сближению средних ветвей закона дис-
ся — верхняя и средняя в коротковолновую область
персии в окрестности δ2 = 0, и при значении ω24 = 2
Δ > 0, а нижняя и средняя в длинноволновую об-
либо ω13 = 2 возникает пересечение средних ветвей
ласть Δ < 0 (рис. 6в).
в точке δ2 = 0. Дальнейшее увеличение параметров
приводит к восстановлению структуры из четырех
Если положить ω24 = ω14 = 1 и изменять ω13
ниспадающих ветвей.
либо положить ω13 = ω14 = 1 и изменять ω24, т. е.
если изучать влияние двухфотонных переходов на
Рассмотрим теперь поведение ветвей закона дис-
поведение ветвей закона дисперсии, то на рис. 6г,д
персии в случае, когда ω13 = ω24 = 1, а ω14 ≥ 0
видно, что поведение ветвей одинаково. При ω24 = 0
(рис. 6е). При ω14 = 0 наблюдается пересечение двух
либо ω13 = 0, т. е. при включенном одном из двух-
средних ветвей закона дисперсии, обе ветви прохо-
фотонных переходов, наблюдается сближение меж-
дят через точку δ2 = 0, при этом одна из них носит
ду верхней и средней и нижней и средней поляри-
нисходящий с ростом δ2 характер и представляет
тонными ветвями; увеличение одного из параметров
собой прямую. Увеличение параметра ω14 приводит
320
ЖЭТФ, том 160, вып. 3 (9), 2021
Законы дисперсии поляритонного типа для четырехуровневых атомов.. .
к симметричному расталкиванию средних ветвей и
ласть Δ > 0, а нижняя и средняя в длинноволновую
одновременному смещению верхней и средней вет-
область Δ < 0 (рис. 7г).
вей в коротковолновую область Δ > 0 и нижней и
На рис. 7д видно, что идентичное поведение вет-
средней ветвей в длинноволновую область Δ < 0
вей закона дисперсии можно наблюдать, если ω13 =
(рис. 6е).
= ω14 = 1 и изменяется частота двухфотонного пе-
Рассмотрим поведение ветвей закона дисперсии
рехода ω24, а также, если ω24 = ω13 = 1 и изменя-
Δ(δ2) и изучим влияние многофотонных переходов
ется частота трехфотонного перехода ω14 (рис. 7е).
в случае, если разности фаз Θi = 0 (i = 1-4). При
Наличие точки пересечения трех ветвей закона дис-
ω14 = ω24 = 0, а ω13 ≥ 0 (рис. 7а) при увеличе-
персии означает, что при данных значениях частот
нии ω13 происходит сближение верхней и средних
существует только одна частота нутации атомных
ветвей, при этом изменяется форма средних вет-
поляритонов, а учет одного из многофотонных пере-
вей закона дисперсии, и при ω13 = 1 одновремен-
ходов приводит к перестройке энергетического спек-
но возникают два пересечения средних ветвей в об-
тра четырехуровневого атома.
ласти δ2 > 0 и средней и верхней ветвей в обла-
Будем считать, что частота ω3 = ck3 фотонов
сти δ2 < 0. Дальнейшее увеличение параметра ω13
третьего импульса, действующего между уровнями
приводит к восстановлению структуры из четырех
3 и 4, непрерывно изменяется, тогда как частоты ω1
непересекающихся нисходящих ветвей, которые по-
и ω2 фотонов первого и второго импульсов являют-
степенно смещаются — верхняя и средняя в корот-
ся фиксированными параметрами, δ1 = δ2 = const.
коволновую область Δ > 0, а нижняя и средняя в
В условиях точного резонанса (δ1 = δ2 = 0) выра-
длинноволновую область Δ < 0.
жение (11) примет вид
Если положить ω14 = ω13 = 0, а ω24 ≥ 0 и уве-
личивать ω24 (рис. 7б), то при увеличении ω24 про-
Δ4+Δ3δ3-Δ2(1+ω213+ω214+ω223+ω224+ω234)+
исходит сближение нижней и средней ветвей зако-
+ Δ(2ω13ω34ω14 cos Θ4 + 2ω23ω34ω24 cos Θ3 +
на дисперсии с изменением формы средних ветвей;
одновременно возникают два пересечения средних
+ 2ω14ω24 cosΘ1 + 2ω23ω13 cosΘ2 -
ветвей в области δ2 < 0 и средней и нижней ветвей
- δ3(ω213+ω223+1))-2ω23ω34ω14 cos(Θ2+Θ4)-
в области δ2 > 0. Дальнейшее увеличение параметра
- 2ω13ω24ω34 cos(Θ1 - Θ4)-
ω24 приводит к восстановлению структуры из четы-
- 2ω23ω14ω13ω24 cos(Θ1 - Θ2)+
рех непересекающихся ветвей.
+ 2ω23ω13δ3 cosΘ2+ω234+ω223ω214+ω213ω224 = 0.
(19)
При ω13 = ω24 = 0, а ω14 ≥ 0 (рис. 7в) сред-
ние ветви сближаются при росте частоты Раби ω14
и пересекаются при ω14 = 1. Дальнейший рост ω14
Закон дисперсии атомных поляритонов пред-
приводит к симметричному расталкиванию ветвей
ставляет собой уравнение четвертой степени. Для
закона дисперсии и восстановлению структуры из
построения графиков Δ(δ3) и анализа корней урав-
четырех непересекающихся нисходящих ветвей, ко-
нения (19) воспользуемся подходом, описанным вы-
торые постепенно смещаются — верхняя и средняя
ше. Закон дисперсии атомных поляритонов в зави-
в коротковолновую область Δ > 0, а нижняя и сред-
симости от непрерывно изменяющейся расстройки
няя в длинноволновую область Δ < 0 (рис. 7в).
δ3 фотонов третьего импульса, действующего меж-
Рассмотрим теперь поведение ветвей закона дис-
ду уровнями 3 и 4, представлен на рис. 8, 9. Видно,
персии в случае, когда ω24 = ω14 = 1 и изменя-
что закон дисперсии Δ(δ3) в этом случае состоит из
ется одна из частот двухфотонного перехода ω13
четырех ниспадающих ветвей.
(рис. 7г). При увеличении ω13 происходит сильное
Рассмотрим поведение ветвей закона дисперсии
сближение средних и верхней ветвей закона диспер-
Δ(δ3) при Θi = π/2 (i = 1-4) и изучим влияние
сии в окрестности δ2 = 0, затем при ω13 = 1 — пе-
многофотонных переходов. Если положить ω14 =
ресечение трех ветвей (двух средних и верхней) в
= ω24 = 0, а ω13 ≥ 0 и увеличивать ω13, то средние
коротковолновой области Δ > 0 в точке δ2 = 0; при
ветви закона дисперсии сближаются в окрестности
этом существенно изменяется форма верхней сред-
δ3 = 0 и одновременно возникают области сужения
ней и верхней ветвей — они представляют собой пря-
между средней и верхней ветвями в области δ3 < 0 и
мые (рис. 7г). Дальнейшее увеличение параметра
средней и нижней ветвями в области δ3 > 0 (рис. 8а).
приводит к восстановлению структуры из четырех
Если ω14 = ω13 = 0, а ω24 ≥ 0, (рис. 8б), то с рос-
непересекающихся ветвей, которые постепенно сме-
том ω24 происходит сближение средних ветвей за-
щаются — верхняя и средняя в коротковолновую об-
кона дисперсии и симметричное смещение верхней
321
2
ЖЭТФ, вып. 3 (9)
О. В. Коровай
ЖЭТФ, том 160, вып. 3 (9), 2021
Рис. 8. Законы дисперсии Δ(δ3), когда δ1 = δ2 = 0, разность фаз Θi = π/2 (i = 1-4) и нормированные частоты Раби
ω23 = ω34 = ω12 = 1 (остальные параметры такие же, как на рис. 4)
и нижней ветвей соответственно в коротковолновую
то с ростом ω13 происходит сближение средних вет-
область Δ > 0 и в длинноволновую область Δ < 0.
вей закона дисперсии в окрестности δ3 = 0 и одно-
временное смещение верхней и средней ветвей со-
При ω13 = ω24 = 0, а ω14 ≥ 0 пересечение верх-
ответственно в область Δ > 0 и в область Δ < 0.
ней и средней ветвей и нижней и средней ветвей
При ω13 = 2 возникает пересечение средних ветвей
наблюдается при ω14 = 1, при этом средние вет-
в точке δ3 = 0 (рис. 8г).
ви представляют собой прямые, не зависящие от δ3
(рис. 8в). Дальнейший рост ω14 приводит к восста-
Рассмотрим теперь поведение ветвей закона дис-
новлению структуры из четырех непересекающихся
персии в случае, когда ω13 = ω14 = 1 и ω24 ≥ 0
нисходящих ветвей с симметричным расталкивани-
(рис. 8д). При ω24 = 0 средние ветви закона дис-
ем ветвей и смещением в коротковолновую Δ > 0
персии пересекаются в точке δ3 = 0, причем од-
и длинноволновую Δ < 0 области (рис. 8в). В слу-
на из них представляет собой прямую Δ = 0, уве-
чае, если положить ω24 = ω14 = 1 и изменять ω13,
личение частоты Раби ω24 двухфотонного перехо-
322
ЖЭТФ, том 160, вып. 3 (9), 2021
Законы дисперсии поляритонного типа для четырехуровневых атомов.. .
Рис. 9. То же, что на рис. 7, но для разности фаз Θi = 0 (i = 1-4)
да приводит к симметричному расталкиванию сред-
новой области спектра, а затем сильное сближение
них ветвей и одновременному смещению верхней и
средних ветвей и одновременное смещение верхней
нижней ветвей соответственно в коротковолновую
и нижней ветвей друг относительно друга (рис. 9а).
область Δ > 0 и в длинноволновую область Δ < 0
При ω13 = 1 наблюдается изменение формы одной
(рис. 8д). Если положить ω13 = ω24 = 1 и изменять
из средних ветвей закона дисперсии — она представ-
ω14 (рис. 8е), то поведение ветвей закона дисперсии
ляет собой прямую Δ = 0, не зависящую от δ3. При
качественно повторяет рис. 8д.
ω14 = ω13 = 0, а ω24 ≥ 0 (рис. 9б) увеличение ω24
Рассмотрим поведение ветвей закона дисперсии
приводит к несимметричному сближению средних
Δ(δ3) и изучим влияние многофотонных переходов
ветвей и сближению средней и верхней ветвей за-
в случае, если разности фаз Θi = 0 (i = 1-4). При
кона дисперсии. Дальнейшее увеличение ω24 ведет
ω14 = ω24 = 0, а ω13 ≥ 0 с ростом параметра ω13 про-
к расталкиванию ветвей закона дисперсии и смеще-
исходит сильное сближение верхней и средней по-
нию в коротковолновую область Δ > 0 и в длинно-
ляритонных ветвей закона дисперсии в коротковол-
волновую область Δ < 0 (рис. 9б).
323
2*
О. В. Коровай
ЖЭТФ, том 160, вып. 3 (9), 2021
При ω24 = ω13 = 0, а ω14 ≥ 0 (рис. 9в) с ростом
параметра ω14 наблюдается сближение средних вет-
вей, при ω14 = 1 происходит их схлопывание с воз-
никновением пересечения в точке δ3 = 0; при этом
одна из ветвей представляет собой прямую Δ = 0 и
не зависит от δ3, тогда как другая монотонно возрас-
тает с ростом δ3. Дальнейший рост параметра при-
водит к восстановлению структуры ветвей закона
дисперсии и одновременному симметричному рас-
талкиванию средних ветвей и последующему сим-
метричному смещению всех четырех ветвей зако-
на дисперсии в длинноволновую и коротковолновую
области.
Рассмотрим теперь поведение ветвей закона дис-
персии в случае, когда ω24 = ω14 = 1, и будем изме-
нять значение параметра ω13 (рис. 9г). При ω13 = 0
Рис. 10. Законы дисперсии Δ(δ2) при δ1 = δ3 = 0 (а) и
Δ(δ3) при δ1 = δ2 = 0 (б) и значениях нормированных час-
можно наблюдать пересечение средних ветвей зако-
тот Раби ω23 = ω34 = ω12 = 1 без учета многофотонных
на дисперсии, одна из которых представляет собой
переходов (ω14 = ω24 = ω13 = 0)
прямую, не зависящую от δ3 в области δ3 < 0, и
сильное сближение нижней и средней ветвей в об-
ляритонов являются расстройка резонанса δ2 второ-
ласти δ3 = 0. С ростом ω13 происходит смещение
го импульса в области перехода между уровнями 2
пресечения средних ветвей в область меньших рас-
и 3 и расстройка резонанса δ3 третьего импульса в
строек резонанса δ3; при этом верхняя ветвь закона
области перехода между уровнями 3 и 4 (рис. 10).
дисперсии изменяет свою форму и пересекается со
Следует отметить, что если в уравнении (7) по-
средней ветвью, представляя собой прямую, не за-
ложить Ω13 = 0, Ω24 = 0, Ω14 = 0, т. е. пренебречь
висящую от δ3 и образуя пересечение в точке δ3 = 0
процессами двухфотонного и трехфотоннного воз-
(рис. 9г).
буждения атома, то закон дисперсии представляет-
Дальнейшее увеличение приводит к расщепле-
ся укороченным уравнением четвертой степени для
нию ветвей закона дисперсии; при этом средняя
определения собственных частот атомных поляри-
ветвь по-прежнему пресекается с верхней ветвью в
тонов:
области δ3 > 0. Если положить ω13 = ω14 = 1 и из-
(ω-ω0)(ω-ω1)(ω-ω03-ω2)(ω-ω04-ω3-ω2) -
менять ω24, то закон дисперсии представляет собой
структуру из четырех непересекающихся нисходя-
- Ω212(ω - ω03 - ω2)(ω - ω04 - ω3 - ω2)-
щих ветвей, одна из средних ветвей представляет
- Ω223(ω-ω1)(ω-ω04-ω3-ω2)-Ω234(ω-ω0)(ω-ω1)+
собой прямую Δ = 0 и не зависит от δ3 (рис. 9д).
+ Ω212Ω234 = 0.
(20)
При ω24 = 1 возникает сближение средней и верх-
ней ветвей закона дисперсии, ветви преобразуются
Видно, что в нем отсутствуют слагаемые с разно-
в прямую, не зависящую от δ3, и возникает пере-
стями фаз. Это означает, что процессы трех- и че-
сечение средней и верхней ветвей закона дисперсии
тырехчастичной когерентной интерференции исче-
в точке δ3 = 0. Дальнейшее увеличение ω24 приво-
зают. Используя анализ (см. Приложение), легко
дит к восстановлению структуры из четырех непе-
показать, что в этом случае при любых значениях
ресекающихся ветвей закона дисперсии и последую-
частот Раби однофотонных переходов корни урав-
щему симметричному смещению всех четырех вет-
нения (20) всегда действительны и различны. Сле-
вей в длинноволновую и коротковолновую области
довательно, пересечение ветвей закона дисперсии не
(рис. 9д). При ω13 = ω24 = 1 и ω14 ≥ 0 на рис. 9е
наблюдается. Наличие четырех неперекрывающих-
можно видеть, что поведение ветвей закона диспер-
ся областей свидетельствует о возникновении четы-
сии полностью повторяет случай, представленный
рех частот нутации атомных поляритонов при раз-
на рис. 9д.
личных значениях частот Раби. Отсюда можно сде-
Из анализа выражений (18), (19) и представлен-
лать вывод, что при одновременном учете одно-,
ных на рис. 6- 9 результатов можно сделать вывод,
двух- и трехфотонных оптических переходов воз-
что важным параметром, определяющим особенно-
никает существенная перестройка энергетического
сти поведения ветвей закона дисперсии атомных по-
спектра четырехуровневого атома.
324
ЖЭТФ, том 160, вып. 3 (9), 2021
Законы дисперсии поляритонного типа для четырехуровневых атомов.. .
4. ЗАКЛЮЧЕНИЕ
D0 = c2 - 3bd + 12ae,
D = 64a3e - 16a2c2 + 16ab2c - 16a2bd - 3b4.
В заключение отметим, что в настоящей рабо-
те представлены результаты исследования особен-
Возможные следующие разновидности корней.
ностей поведения закона дисперсии атомных поля-
1. Если Discr > 0, то все четыре корня уравнения
ритонов для четырехуровневых атомов, взаимодей-
действительны, если P < 0 и D < 0, то все четыре
ствующих с тремя импульсами когерентного лазер-
корня действительны и различны.
ного излучения с частотами фотонов, находящими-
2. Если Discr = 0, то тогда (и только тогда) мно-
ся в резонансе с оптически-разрешенными однофо-
гочлен имеет кратный корень:
тонными переходами между соседними уровнями, а
а) если P < 0, D < 0 и D0 = 0, то существуют
также с учетом прямых двухфотонных переходов и
действительный двойной корень и два веществен-
прямого трехфотонного перехода в приближении за-
ных простых корня;
данных плотностей фотонов трех импульсов. Пока-
б) если D0 = 0, D = 0, то существуют тройной
зано, что в такой системе закон дисперсии представ-
корень и простой корень, все действительные;
ляет собой структуру из четырех ветвей, положение
в) если P < 0, то есть два действительных двой-
и форма которых определяется частотами Раби ука-
ных корня;
занных шести оптических переходов, расстройками
г) если D0 = 0, то все четыре корня равны -b/4a.
резонанса и плотностями фотонов трех импульсов.
Непосредственный учет многофотонных переходов
(двух- и трехфотонного) приводит к зависимости
ЛИТЕРАТУРА
закона дисперсии атомных поляритонов от кванто-
1.
H. Deng, H. Haug, and Y. Yamamoto, Rev. Mod.
вых параметров — разностей фаз между констан-
Phys. 82, 1489 (2010).
тами взаимодействия, определяющими частоты Ра-
би соответствующих переходов. Найдены значения
2.
I. Carusotto and C. Ciuti, Rev. Mod. Phys. 85, 299
параметров системы, при которых наблюдается пе-
(2013).
ресечение ветвей закона дисперсии, что свидетель-
3.
Y. Kasprzak, M. Richard, S. Kindermann, A. Baas,
ствует о возможности влияния одновременного уче-
P. Jeambrun, J.M.J. Keeling, F. M. Marchetti,
та одно-, двух- и трехфотонных переходов на пере-
M. H. Szymanska, R. Andre, J. L. Staehli, V. Savona,
стройку энергетического спектра в окрестности вто-
P. B. Littlewоod, B. Deveaud, and L. S. Dang, Nature
рого уровня четырехуровневого атома.
443, 409 (2006).
4.
R. Balili, V. Hartwell, D. Snoke, L. Pfeiffer, and
K. West, Science 316, 1007 (2007).
ПРИЛОЖЕНИЕ
5.
A. Kogar, M. S. Rak, S. Vig, A. A. Husain, F. Fli-
Выражение (16) описывает кривую четвертой
cker, Y. I. Joe, L. Venema, G. J. MacDougall,
степени вида
T. C. Chiang, E. Fradkin, Y. van Vezel, and P. Abba-
monte, Science 358, 1314 (2017).
ax4 + bx3 + cx2 + dx + e = 0
6.
V. Agranovich, H. Benisty, and C. Weisbuch, Sol. St.
c действительными коэффициентами и a = 0. Ха-
Comm. 102, 631 (1997).
рактер корней выражения (16) определяется знаком
7.
O. A. Дубовский, В. М. Агранович, ФТТ 58, 1371
его дискриминанта
(2016).
8.
М. Л. Тер-Микаелян, УФН 167, 1249 (1997).
Discr = 256a3e3 - 192a2bde2 - 128a2c2e2 +
+ 144a2cd2e - 27a2d4 + 144ab2ce2 - 6ab2d2e -
9.
Э. Г. Канецян, Научные труды НУАСА III(5), 144
(2014).
- 80abc2de + 18abcd2 + 16ac4e - 4ac3d2 - 27b4e2 +
+ 18b3cde - 4b3d3 - 4b2c3e + b2c2d2.
10.
S. N. Sandhya, J. Phys. B 40, 837 (2007).
11.
G. Solookinejad, M. Jabbari, M. Nafar, E. Ahmadi
Введем вспомогательные многочлены
Sangachin, and S. H. Asadpour, Int. J. Theor. Phys.
58, 1359 (2019).
P = 8ac - 3b2,
12.
P. Kumar and Sh. Dasgupta, Phys. Rev. A 94,
R = b3 + 8da2 - 4abc,
023851, (2016).
325
О. В. Коровай
ЖЭТФ, том 160, вып. 3 (9), 2021
13. E. O. Nyakang’o, D. Shylla, K. Indumathi, and
23.
J. Tang, Yu. Deng, and C. Lee, Phys. Rev. Appl. 12,
K. Pandey, Eur. Phys. J. D 74(9), 187 (2020).
044065 (2019).
14. T. M. Autry, G. Nardin, C. L. Smallwood, K. Silver-
24.
S. Gasparinetti, J.-C. Besse, M. Pechal, R. D. Buijs,
man, D. Bajoni, A. Lemaˆıtre, S. Bouchoule, J. Bloch,
C. Eichler, H. J. Carmichael, and A. Wallraff, Phys.
Rev. A 100, 033802 (2019).
and S. Cundif, arXiv:2004.10845v1, 22 April 2020.
25.
П. И. Хаджи, Нелинейные оптические процессы в
15. E. D. Valle, S. Zippilli, F. P. Laussy, A. Gonzalez-Tu-
системе экситонов и биэкситонов в полупровод-
dela, G. Morigi, and C. Tejedor, Phys. Rev. B 81,
никах, Штиинца, Кишинев (1985), с. 209.
035302 (2010).
26.
П. И. Хаджи, Л. Ю. Надькин, Д. А. Марков, ФТТ
16. S. M. Yoshida, S. Endo, J. Levinsen, and M. M. Pa-
60, 660 (2018).
rish, Phys. Rev. X 8, 011024 (2018).
27.
П. И. Хаджи, О. В. Коровай, Л. Ю. Надькин,
17. Z. Tan, L. Wang, M. Liu, Y. Zhu, J. Wang, and
ЖЭТФ 155, 620 (2019).
M. Zhan, arXiv:1901.00127v1, 1 Jan 2019.
28.
П. И. Хаджи, О. В. Коровай, Л. Ю. Надькин,
18. Е. А. Якшина, Д. Б. Третьяков, В. М. Энтин,
Письма в ЖЭТФ 107, 623 (2018).
И. И. Бетеров, И. И. Рябцев, КЭ 48, 10, 886 (2018).
29.
Л. Ю. Надькин, О. В. Коровай, Д. А. Марков, Опт.
19. B. K. Dutta and P. Panchadhyayee, Laser Phys. 28,
и спектр. 3, 272 (2021).
045201 (2018).
30.
Г. А. Корн, Т. М. Корн Справочник по математи-
ке для научных работников и инженеров, Наука,
20. F. E. Zimmer, J. Otterbach, R. G. Unanyan,
Москва, (1978), с. 44.
B. W. Shore, and M. Fleischhauer, Phys. Rev. A 77,
063823 (2008).
31.
M. D. Yacoub and G. Fraidenraich, Math. Gazette
96(536), 271 (2012).
21. H. M. Kwak, T. Jeong, Y.-S. Lee, and H. S. Moon,
Opt. Comm. 380, 168 (2016).
32.
William F. Carpenter, Math. Magazine 39, 28 (1966).
22. S. K. Nath, V. Naik, A. Chakrabarti, and A. Ray, J.
33.
С. Арушанян, А. Меликян, С. Саакян, КЭ 41, 483
Opt. Soc. Amer. B 36, 2610 (2019).
(2011).
326