ЖЭТФ, 2022, том 161, вып. 1, стр. 126-136
© 2022
МОДУЛЯЦИЯ ЭНЕРГЕТИЧЕСКОЙ ЗАПРЕЩЕННОЙ ЗОНЫ
В ТОЧКЕ ДИРАКА В АНТИФЕРРОМАГНИТНОМ
ТОПОЛОГИЧЕСКОМ ИЗОЛЯТОРЕ MnBi2Te4 КАК РЕЗУЛЬТАТ
ИЗМЕНЕНИЙ ПОВЕРХНОСТНОГО ГРАДИЕНТА ПОТЕНЦИАЛА
А. M. Шикинa*, Д. А. Естюнинa, Н. Л. Зайцевb, Д. А. Глазковаa**,
И. И. Климовскихa, С. О. Фильновa, А. Г. Рыбкинa, К. А. Кохc,a,
О. Е. Терещенкоd,e,a, К. А. Звездинf,g, А. К. Звездинf,g
a Санкт-Петербургский государственный университет, 198504, Санкт-Петербург, Россия
b Институт физики молекул и кристаллов Уфимского федерального исследовательского центра Российской академии наук
450075, Уфа, Россия
c Институт геологии и минералогии им. В. С. Соболева Сибирского отделения Российской академии наук
630090, Новосибирск, Россия
d Институт физики полупроводников им. А. В. Ржанова Сибирского отделения Российской академии наук
630090, Новосибирск, Россия
e Новосибирский государственный университет, 630090, Новосибирск, Россия
f Институт общей физики им. А. М. Прохорова Российской академии наук, 119991, Москва, Россия
g Российский квантовый центр, 143025, Сколково, Россия
Поступила в редакцию 29 июля 2021 г.,
после переработки 14 августа 2021 г.
Принята к публикации 19 августа 2021 г.
Методами фотоэлектронной спектроскопии с угловым разрешением показана возможность существенно-
го различия величин энергетической запрещенной зоны в точке Дирака в диапазоне от 15 до 55 мэВ для
различных образцов антиферромагнитного топологического изолятора MnBi2Te4. Методом теории функ-
ционала плотности проведен анализ взаимосвязи величины запрещенной зоны в точке Дирака со значе-
нием градиента поверхностного потенциала, изменение которого моделировалось приложением внешнего
электрического поля перпендикулярно поверхности (0001) MnBi2Te4. Показана возможность как умень-
шения, так и увеличения размеров запрещенной зоны в диапазоне от 5 до 89 мэВ при приложении поля
относительно исходного значения 81 мэВ. При приложении поля наблюдалось изменение локализации
топологических поверхностных состояний и магнитных моментов поверхностных атомов. Проведенный
анализ показывает возможность искусственной модуляции величины запрещенной зоны в точке Дирака
в широком энергетическом диапазоне, что может быть использовано для модуляции магнитоэлектричес-
ких свойств систем на основе MnBi2Te4 в прикладных исследованиях и задачах.
DOI: 10.31857/S0044451022010114
свойств, а также основных факторов, ответственных
за свойства таких систем является одной из наибо-
1. ВВЕДЕНИЕ
лее важных и актуальных научных проблем совре-
менной физики конденсированных сред. Одними из
Поиск и изучение эффектов и систем с уни-
наиболее ярких представителей подобных эффектов
кальным сочетанием топологических и магнитных
являются квантовый аномальный эффект Холла
(КАЭХ) и топологический квантовый магнитоэлек-
* E-mail: ashikin@inbox.ru
** E-mail: daria.a.glazkova@gmail.com
трический (МЭ) эффект, которые основаны на кван-
126
ЖЭТФ, том 161, вып. 1, 2022
Модуляция энергетической запрещенной зоны. . .
товании холловской проводимости и МЭ-отклика со-
нитный (AФM) ТИ со стехиометрией MnBi2Te4
ответственно (см., например, статьи [1-5]). Интен-
[20-28]. Структура данного материала характеризу-
сивное изучение данных эффектов началось с от-
ется однородным и упорядоченным расположением
крытия топологических изоляторов (ТИ), легиро-
атомов магнитного металла (Mn), что способствует
ванных атомами магнитных металлов [1-17].
открытию большой запрещенной зоны в точке Дира-
Комбинация симметрии обращения времени и
ка: до 85-88 мэВ согласно теоретическим расчетам
большого спин-орбитального взаимодействия в ТИ
и 60-70 мэВ согласно экспериментальным исследо-
приводит к изменению топологии системы и появ-
ваниям [20,22,24,29,30].
лению защищенных топологических поверхностных
Структура АФМ ТИ MnBi2Te4 вдоль направ-
состояний (ТПС) с дисперсионной зависимостью в
ления (0001) формируется из семислойных блоков,
виде конуса Дирака. Для данных состояний харак-
разделенных ван-дер-ваальсовыми промежутками.
терна геликоидальная спиновая структура, т.е. со-
Каждый блок состоит из последовательности атом-
стояния оказываются поляризованными по спину,
ных слоев (Te-Bi-Te-Mn-Te-Bi-Te) (см. рис. 1).
за исключением вершины конуса — точки Дирака.
Внутри каждого семислойного блока атомы Mn свя-
При этом влияние магнитных примесей с ориента-
заны ферромагнитно (ФМ). При этом взаимодейст-
цией магнитного момента перпендикулярно поверх-
вие между соседними семислойными блоками и со-
ности приводит к нарушению симметрии обращения
ответствующими магнитными марганцевыми сло-
времени, снятию вырождения по спину и открытию
ями имеет АФМ-характер [20, 21]. Упорядоченная
энергетической запрещенной зоны в точке Дирака.
структура магнитных атомов в данном материа-
В результате в данных системах может наблюдать-
ле также приводит к высокой температуре Нееля
ся формирование взаимосвязи между приложенным
TN = 24.5 К (температуре объемного перехода из
и наведенным магнитным и электрическим полями
АФМ-состояния в парамагнитное). Таким образом,
путем МЭ-отклика (с универсальным коэффициен-
наличие большой запрещенной зоны в точке Дира-
том, зависящим от постоянной тонкой структуры),
ка предполагает возможность более детального ана-
который определяет реализацию отмеченных выше
лиза магнитных и электрических взаимодействий,
квантовых топологических эффектов [1-10].
формирующихся в магнитных ТИ, и того, как дан-
В настоящее время магнитные ТИ являются
ные взаимодействия могут проявляться в модуля-
наиболее интенсивно используемой платформой
ции величины запрещенной зоны, открываемой в
для изучения КАЭХ [5]. При этом, если КАЭХ в
точке Дирака. Комбинация большой запрещенной
магнитных ТИ уже довольно хорошо исследован
зоны с высокой TN (в сравнении с магнитно-ле-
[1, 2, 5, 6, 11-14], то МЭ-эффект и условия его реа-
гированными ТИ) позволяет наблюдать переход в
лизации (МЭ-отклик) до сих пор практически не
состоянии КАЭХ при более высокой температуре.
изучены. Поэтому изучение и анализ МЭ-отклика в
Недавно была показана возможность реализации
магнитных ТИ является важной научной задачей.
КАЭХ в тонких слоях MnBi2Te4 при температуре
Как было сказано выше, наличие эффективно-
вплоть до 6.5 K [7].
го магнитного поля в ТИ с ориентацией перпен-
Однако в последних работах было показано, что
дикулярно поверхности приводит к открытию за-
величина запрещенной зоны в точке Дирака для
прещенной зоны в структуре ТПС в точке Дира-
MnBi2Te4 может существенно отличатся от теоре-
ка. Изменение магнитного поля соответственно бу-
тически предсказанной. В ряде работ была показа-
дет приводить к изменению запрещенной зоны. Так,
на возможность «бесщелевой» дисперсии ТПС, из-
для магнитно-легированных ТИ увеличение концен-
меренной для MnBi2Te4 методом фотоэлектронной
трации атомов магнитной примеси приводит к рос-
спектроскопии с угловым разрешением (ФЭСУР)
ту эффективного магнитного поля в области ло-
[26-28]. Отсутствие запрещенной зоны в дисперси-
кализации ТПС, что сопровождается увеличени-
онных зависимостях ТПС связывалось с модифика-
ем размеров запрещенной зоны [4, 15, 16, 18, 19].
цией магнитного порядка в верхнем слое. Также в
Однако большим недостатком данных магнитных
работе [30] было показано, что величина запрещен-
ТИ является неоднородность распределения маг-
ной зоны в точке Дирака может быть изменена за
нитных примесей, что приводит к значительной ва-
счет поверхностной релаксации ван-дер-ваальсовых
риации величины запрещенной зоны по поверхно-
расстояний между первым и вторым семислойны-
сти образца. Этот недостаток отсутствует в недав-
ми блоками, сопровождающейся изменением лока-
но представленном магнитном ТИ нового типа: соб-
лизации ТПС (при сохранении общего магнитного
ственный магнитно-упорядоченный антиферромаг-
порядка в верхнем слое [30]). Это, в свою очередь,
127
А. M. Шикин, Д. А. Естюнин, Н. Л. Зайцев и др.
ЖЭТФ, том 161, вып. 1, 2022
Рис. 1. (В цвете онлайн) а) Схематическое изображение расположения атомов Mn (синий), Bi (фиолетовый) и Te (цвета
хаки) в расчетной ячейке для поверхности (0001) АФМ ТИ MnBi2Te4 (границы ячейки показаны сплошной линией).
Вдоль оси z, начинающейся с верхней границы ячейки, показаны первые два поверхностных семислойных блока. Здесь
же указаны направления и величины магнитных моментов атомов M. б и в) Спин-разрешенная зонная структура для
состояний со спиновой ориентацией соответственно вдоль (in-plane) и перпендикулярно (out-of-plane) поверхности. Си-
ние и красные линии отвечают противоположным направлениям спина, размер кружков соответствует проекции спина
на состояния верхнего блока. Серым цветом обозначены проекции объемных состояний
ведет к изменению эффективного магнитного поля,
ной зоны в точке Дирака, на перераспределение в
действующего на ТПС, и соответствующей модуля-
локализации ТПС и изменение магнитных момен-
ции величины запрещенной зоны в точке Дирака.
тов на поверхностных атомах. Также будет показана
Таким образом, изменение запрещенной зоны в до-
корреляция между изменениями запрещенной зоны
статочно широком диапазоне в магнитных ТИ, в
в точке Дирака при изменении СО-взаимодействия,
частности в MnBi2Te4, может быть связано с рядом
а также градиента поверхностного потенциала.
дополнительных эффектов, которые не обязательно
определяются магнитным взаимодействием.
В настоящей работе представлены и проанали-
2. ЭКСПЕРИМЕНТАЛЬНЫЕ РЕЗУЛЬТАТЫ
зированы экспериментальные изменения в величине
запрещенной зоны в точке Дирака, полученные ме-
На рис. 2 показаны дисперсионные зависимости
тодом ФЭСУР для различных образцов АФМ ТИ
ТПС, измеренные методом ФЭСУР для различных
MnBi2Te4. Предложены основные факторы, кото-
образцов MnBi2Te4 в области запрещенной зоны, от-
рые могут обусловливать подобные изменения ве-
крываемой в точке Дирака. Представлены диспер-
личины запрещенной зоны. Для выявления дан-
сионные зависимости ТПС для случаев трех раз-
ных факторов будут использованы расчеты зон-
личных величин запрещенной зоны для различных
ных структур MnBi2Te4 методом теории функци-
образцов MnBi2Te4. Спектры были измерены с ис-
онала плотности при приложении электрического
пользованием лазерного излучения с энергией фо-
поля перпендикулярно поверхности, которое моде-
тонов 6.3 эВ для фотовозбуждения при температу-
лирует изменение поверхностного градиента потен-
рах ниже TN , т. е. когда измеряемые системы ха-
циала, или при изменении спин-орбитального (СО)
рактеризуются магнитным упорядочением. В левой
взаимодействия для поверхностных атомов Te и Bi.
колонке (рис. 2а) представлены ФЭСУР-спектры,
На основе данных расчетов будут представлены тео-
показывающие изменения интенсивности измеряе-
ретические оценки влияния различного градиента
мого фотосигнала для разных значений волнового
поверхностного потенциала на величину запрещен-
вектора k||. Данные спектры демонстрируют пове-
128
ЖЭТФ, том 161, вып. 1, 2022
Модуляция энергетической запрещенной зоны. . .
Рис. 2. (В цвете онлайн) a, б) Дисперсионные зависимости топологических поверхностных состояний (ТПС) в форме
соответственно N(E) и d2N/dE2, измеренные для разных образцов MnBi2Te4 и характеризующиеся различной вели-
чиной запрещенной зоны, открываемой в точке Дирака. в) Соответствующие профили электронных состояний (ПЭС),
представленные в области точки Дирака (при k|| = 0), с разложением на спектральные составляющие (черные сплошные
пики — состояния конуса Дирака, серые штриховые пики — состояния валентной зоны и зоны проводимости). Сплошная
черная кривая — сумма всех компонент разложения, синие и зеленые символы — ПЭС, измеренные при положительных и
отрицательных k|| (см. вертикальные линии соответствующего цвета на рис. 2а). г) Изменения величины энергетического
расщепления Δ между состояниями верхней и нижней частей дираковского конуса как функция от k||
дение дисперсионных зависимостей ТПС вдоль на-
сравнения представлены ПЭС, измеренные по обе
правления, проходящего через Г-точку. На рис. 2б
стороны от Г-точки (при положительном и отрица-
данные дисперсионные зависимости представлены в
тельном значениях k||), которые показаны синими и
форме второй производной интенсивности по энер-
зелеными символами (на рис. 2а данные значения k||
гии (d2N/dE2) для лучшей визуализации изменений
отмечены вертикальным линиям соответствующего
размеров запрещенной зоны. На рис. 2в красными
цвета). На рис. 2в представлено разложение изме-
символами показаны соответствующие распределе-
ренных ПЭС на спектральные составляющие (ком-
ния плотности электронных состояний (ПЭС), из-
поненты), черной кривой отмечена сумма всех пи-
меренные непосредственно в Г-точке. Здесь же для
ков разложения. Энергетические положения пиков,
129
9
ЖЭТФ, вып. 1
А. M. Шикин, Д. А. Естюнин, Н. Л. Зайцев и др.
ЖЭТФ, том 161, вып. 1, 2022
отмеченных черными линиями, соответствуют кра-
Следует отметить, что в семислойном блоке
ям запрещенной зоны, открываемой в точке Дирака,
MnBi2Te4
можно выделить две подсистемы, об-
и показывают ее величину Δ(k|| = 0) для различ-
ладающие определенным магнитным порядком и
ных образцов. Рисунок 2г показывает зависимость
нечетные относительно обращения времени. Пер-
энергетического расщепления Δ(k||) между состоя-
вой является система d-ионов Mn, заполняющих
ниями верхнего и нижнего конусов ТПС (получен-
центральный слой в семислойном блоке MnBi2Te4.
ного из аналогичных разложений на спектральные
Магнитные моменты ионов Mn описываются до-
составляющие) при изменении величины и знака k||
статочно локализованными волновыми функциями
относительно Г-точки. Точки соответствуют экспе-
d-оболочек и характеризуются сильным обменным
риментальным значениям, полученным из разложе-
ФМ-взаимодействием внутри Mn-слоя и значитель-
ний экспериментальных ПЭС. Экспериментальные
но более слабым АФМ-взаимодействием между сло-
точки аппроксимируются модельной кривой вида
ями в соседних семислойных блоках. Вторая под-
√
система — это система атомов Bi, Te, которая ста-
E(k) ∼
α2k2 + Δ2,
новится магнитной при взаимодействии с соседни-
где Δ соответствует размеру запрещенной зоны в
ми d-ионами Mn в структуре MnBi2Te4, а также
точке Дирака, величина α пропорциональна hνF .
характеризуется наличием значительной плотности
Такой подход позволяет уменьшить ошибку при
топологических состояний (для поверхностных се-
оценке величины запрещенной зоны в точке Дирака
мислойных блоков). Таким образом, именно намаг-
(с погрешностью около 5 мэВ). Минимальное энер-
ниченность второй подсистемы, несмотря на мень-
гетическое расщепление соответствует величине за-
ший магнитный момент (см. рис. 1а) в сравнении
прещенной зоны в точке Дирака.
с первой, обусловливает формирование и величину
В ходе измерений по серии образцов было выяв-
запрещенной зоны в точке Дирака для ТПС. Поэто-
лено, что разные образцы характеризуются различ-
му можно ожидать, что именно изменения магнит-
ными значениями запрещенной зоны в точке Дира-
ных моментов поверхностных атомов второй подси-
ка, величины которых концентрировались в энер-
стемы (Bi, Te) будет оказывать заметное влияние на
гетических диапазонах 50-55 мэВ, 28-33 мэВ и
модификацию запрещенной зоны. Структура распо-
15-20 мэВ. Каждая из дисперсионных зависимос-
ложения атомов Mn, Bi и Te в первых двух поверх-
тей, представленных на рис. 2, попадает в один из
ностных семислойных блоках с представлением ве-
трех энергетических диапазонов, формируемых за-
личин и направлений магнитных моментов на дан-
прещенной зоной.
ных атомах показаны схематично на рис. 1а.
Расчеты в рамках теории функционала плотнос-
ти, проведенные в данной работе для идеального
3. ТЕОРЕТИЧЕСКИЕ ОЦЕНКИ И
кристалла MnBi2Te4, показывают величину запре-
ОБСУЖДЕНИЕ РЕЗУЛЬТАТОВ
щенной зоны, открываемой в точке Дирака, рав-
Ниже, используя расчеты в рамках теории функ-
ную 81 мэВ (при нулевом приложенном внешнем
ционала плотности, проанализируем влияние ва-
электрическом поле). Данная оценка согласуется с
рьируемого внешнего электрического поля, прило-
результатами оценки величины запрещенной зоны
женного перпендикулярно поверхности АФМ ТИ
для АФМ ТИ MnBi2Te4 в работе [20]. Рассчитанные
MnBi2Te4, на модуляцию величины запрещенной
спин-зависимые дисперсионные зависимости ТПС
зоны, открываемой в точке Дирака. Приложени-
в области точки Дирака для состояний со спино-
ем электрического поля возможно изменять гради-
вой проекцией вдоль (in-plane) и перпендикуляр-
ент поверхностного потенциала, который будем рас-
но (out-of-plane) поверхности представлены соответ-
сматривать в качестве обобщенного параметра, свя-
ственно на рис. 1б и 1в. Данные зависимости имеют
занного с влиянием различного типа заряженных
ярко выраженную геликоидальную спиновую струк-
поверхностных дефектов. При этом будет сдела-
туру вдоль поверхности и спиновую структуру, по-
на попытка проанализировать факторы, определяю-
добную «ежу» (hedgehog spin structure), перпенди-
щие поверхностный МЭ-отклик системы, при вари-
кулярно поверхности, что является характерным
ации знака и напряженности приложенного внешне-
для магнитных ТИ [15].
го электрического поля. Кроме того, будет рассмот-
Известно, что на поверхности кристалла вследст-
рено влияние изменения СО-взаимодействия припо-
вие обрыва периодической решетки возникает по-
верхностных атомов на структуру ТПС и запрещен-
верхностный потенциал ΦS и соответствующее ему
ной зоны в точке Дирака.
электрическое поле ES(rS), проникающее в глубь
130
ЖЭТФ, том 161, вып. 1, 2022
Модуляция энергетической запрещенной зоны. . .
Рис. 3. (В цвете онлайн) Рассчитанная зонная структура поверхности (0001) MnBi2Te4 при приложении внешнего элек-
трического поля перпендикулярно поверхности напряженностью -0.4, -0.2, 0.2 и 0.4 В/Å (верхний ряд рисунков), а также
для различных величин СО-взаимодействия поверхностных атомов Te и Bi (нижний ряд). Исходная величина взаимо-
действия соответствует 1. Запрещенная зона Δ в точке Дирака ТПС отмечена серыми прямоугольниками. Размер синих
кружков показывает величину проекции на состояния первого блока. Приведены значения напряженности приложенного
электрического поля, результирующие величины Δ и коэффициенты СО-взаимодействия kSOC
кристалла. При этом величина градиента возник-
влияния приложенного электрического поля (и со-
шего поверхностного потенциала может зависеть от
ответствующего градиента поверхностного потенци-
локальной работы выхода системы, определяемой,
ала) на электронную структуру ТПС для MnBi2Te4
в том числе, дефектностью поверхности и припо-
и соответствующее изменение величины запрещен-
верхностной области, а также локальным поверх-
ной зоны в точке Дирака. На рис.
3
(верхний
ностным зарядом. В связи с этим величина градиен-
ряд) представлены результаты расчетов электрон-
та поверхностного потенциала может оказаться раз-
ной структуры MnBi2Te4 для различных напряжен-
личной для разных экспериментально измеряемых
ностей электрического поля, приложенного вдоль и
образцов или областей одного и того же образца. В
противоположно нормали к поверхности в пределах
свою очередь, изменения градиента поверхностного
от -0.5 В/Å до +0.5 В/Å. Представленные диспер-
потенциала будут влиять на электронную структу-
сионные зависимости ТПС демонстрируют измене-
ру кристалла вблизи поверхности. При этом можно
ния величины запрещенной зоны в точке Дирака
предположить, что это изменение будет оказывать
при вариации напряженности и знака приложенного
влияние на запрещенную зону в точке Дирака и при-
электрического поля. Соответствующие изменения
водить к тому, что ее величина будет существенно
в виде графика Δ(E) представлены на рис. 4а. При
различаться для различных образцов MnBi2Te4.
приложении электрического поля «отрицательной»
Для того чтобы проверить возможность данного
направленности (соответствующей увеличению от-
предположения в работе были проведены расчеты рицательного заряда на поверхности) величина за-
131
9*
А. M. Шикин, Д. А. Естюнин, Н. Л. Зайцев и др.
ЖЭТФ, том 161, вып. 1, 2022
Из анализа величин, представленных на
рис.
5а,б, видно, что состояния верхней части
дираковского конуса локализованы в основном
в поверхностном семислойном блоке, тогда как
локализация состояний нижней части конуса
распространяется значительно глубже, в область
второго, нижележащего блока. Это может быть
связано с их частичной гибридизацией с состояния-
ми валентной зоны, что может быть подтверждено
некоторым искажением дисперсионных зависимо-
стей для состояний нижней части дираковского
конуса по сравнению с идеальным конусом (см.
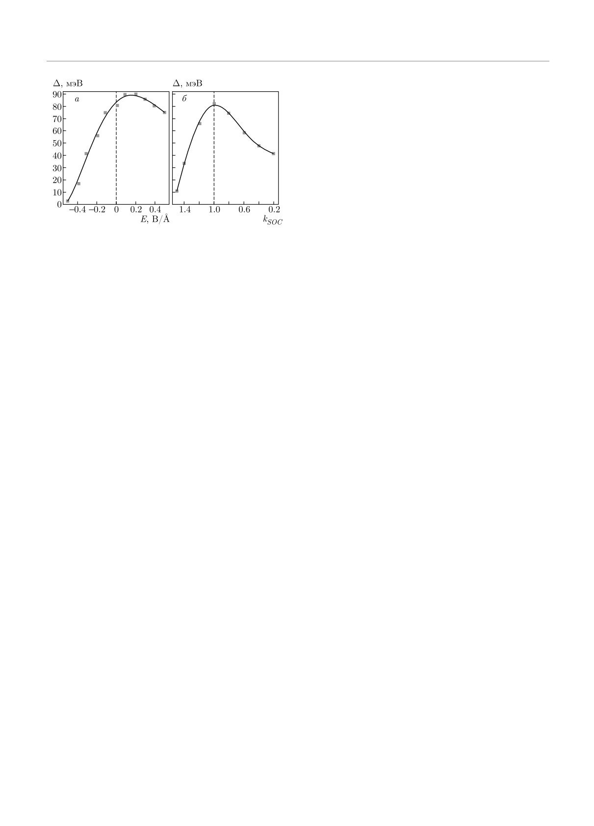
Рис. 4. а) Рассчитанное изменение величины запрещенной
рис. 3). Внешнее электрическое поле существенно
зоны, открываемой в точке Дирака, в зависимости от ве-
влияет на перераспределение локализации ТПС
личины и знака приложенного электрического поля (а) и
между первым и вторым блоками, причем по-раз-
при изменении величины СО-взаимодействия (б) для по-
ному для состояний верхней и нижней частей
верхностных атомов Te1 и Bi2. Аппроксимирующие кри-
дираковского конуса ТПС.
вые представлены для лучшей визуализации
Как видно на рис. 5а,б, при приложении элек-
трического поля «отрицательной» направленности
локализация ТПС нижней части дираковского кону-
прещенной зоны может уменьшаться практически
са сдвигается в сторону второго семислойного бло-
до нуля при напряженности электрического поля
ка с противоположным направлением магнитных
-0.5 В/Å. Для «положительного» направления при-
моментов относительно поверхностного блока. Как
ложенного электрического поля (соответствует уве-
было сказано, это может приводить к уменьшению
личению положительного заряда на поверхности)
эффективного поля, действующего на ТПС, и, как
величина запрещенной зоны сначала растет от 81
следствие, к уменьшению величины запрещенной
до 89 мэВ, а затем начинает уменьшаться, хотя го-
зоны в точке Дирака. При этом для электрическо-
раздо медленнее (рис. 4а). Аналогичные изменения
го поля «положительной» направленности тополо-
величины запрещенной зоны показывают расчеты
гические состояния обеих частей дираковского ко-
ее зависимости от величины поверхностного заря-
нуса локализованы в основном в области верхнего
да [31], определяемого концентрацией заряженных
блока. Компенсирующее влияние магнитных момен-
дефектов в приповерхностной области, что также
тов от второго блока в этом случае минимизируется,
может соответствовать вариации результирующего
что и обусловливает максимальную величину запре-
поверхностного градиента потенциала.
щенной зоны в точке Дирака. Однако изменения ло-
При этом важно понять, какими факторами мо-
кализации ТПС происходят существенно резче, чем
гут быть обусловлены представленные изменения
изменения величины запрещенной зоны в точке Ди-
величины запрещенной зоны в точке Дирака. С од-
рака.
ной стороны, вследствие АФМ-характера магнитной
Кроме перераспределения ТПС, приложенное
связи между первым и вторым семислойными бло-
электрическое поле приводит к изменению магнит-
ками можно предположить, что отмеченные выше
ных моментов поверхностных атомов, что может мо-
изменения величины запрещенной зоны в точке Ди-
дулировать МЭ-отклик системы. На рис. 6 представ-
рака могут быть обусловлены изменением локали-
лены соответствующие рассчитанные изменения ве-
зации ТПС при приложении электрического поля.
личины магнитных моментов на атомах первых трех
Действительно, если плотность ТПС распределена
поверхностных семислойных блоков. Представлен-
равномерно в первом и втором семислойных блоках,
ные результаты расчетов показывают явное измене-
то эффективное магнитное поле, действующее на
ние магнитных моментов в приповерхностных атом-
ТПС, по причине АФМ-характера магнитной свя-
ных слоях Bi и Te. При этом изменения магнит-
зи между блоками будет взаимно компенсировать-
ных моментов на каждом из атомов пропорциональ-
ся [30]. Для проверки данного предположения были
ны величине приложенного электрического поля,
проведены расчеты перераспределения локализации
что является характерным для МЭ-отклика систе-
верхней и нижней частей дираковского конуса в за-
мы [1, 2]. Однако изменения магнитных моментов
висимости от приложенного электрического поля.
на противоположных концах поверхностного блока
132
ЖЭТФ, том 161, вып. 1, 2022
Модуляция энергетической запрещенной зоны. . .
Рис. 5. (В цвете онлайн) Изменение локализации квадрата волновой функции |Ψ|2 для нижней (a,в) и верхней (б,г)
частей дираковского конуса в области первых трех семислойных блоков при изменении градиента поверхностного потен-
циала от -0.5 В/Å до +0.5 В/Å (а,б) и при изменении величины СО-взаимодействия (в,г) для поверхностных атомов
Te и Bi. Расстояния z вдоль нормали к поверхности (0001) начинаются от верхнего края ячейки и возрастают вглубь.
Величина квадрата волновой функции показана цветом, диапазон изменения отмечен на цветовых шкалах
Рис. 6. (В цвете онлайн) Индуцированные изменения магнитных моментов на каждом из атомов в первых трех блоках
относительно E = 0 в зависимости от приложенного электрического поля. Изменения величин магнитных моментов
показаны цветом в диапазоне, представленном на цветовой шкале
имеют противоположные знаки, что в сумме может
моментов также оказываются достаточно малыми
приводить к частичному нивелированию эффекта
по сравнению со значениями магнитных моментов
от данного изменения магнитных моментов. Более
на данных атомах, см. рис. 1а. Таким образом, дан-
того, абсолютные величины изменений магнитных
ный эффект не может быть определяющим при из-
133
А. M. Шикин, Д. А. Естюнин, Н. Л. Зайцев и др.
ЖЭТФ, том 161, вып. 1, 2022
менении величины запрещенной зоны в точке Дира-
корреляция с поведением данных состояний от
ка, хотя и может модулировать МЭ-отклик системы.
приложенного поля.
С другой стороны, существенную роль в форми-
Обнаруженные корреляции между зависимостя-
ровании зонной структуры ТИ (магнитных ТИ) иг-
ми на рис. 4а и 4б, а также поведением локализа-
рает СО-взаимодействие [32]. Его изменение может
ции ТПС на рис. 5а,б и 5в,г показывают схожий ха-
приводить к модификации структуры ТПС и, как
рактер влияния изменения градиента поверхностно-
следствие, к вариации величины запрещенной зоны
го потенциала и модуляции СО-взаимодействия по-
в точке Дирака в случае магнитных ТИ. Можно так-
верхностных атомов на величину запрещенной зо-
же предположить, что существенное влияние будет
ны в точке Дирака. В свою очередь, это может сви-
оказывать изменение величины СО-взаимодействия
детельствовать о причинно-следственной связи дан-
в приповерхностном слое атомов (Te1 и Bi2 для
ных эффектов.
MnBi2Te4, см рис. 1а). В частности, подобное из-
менение может быть вызвано вариацией градиента
поверхностного потенциала (подобно зависимости
4. ВЫВОДЫ
атомного СО-взаимодействия от величины атом-
ного градиента потенциала) и/или наличием при-
В рамках работы методом ФЭСУР эксперимен-
месей (дефектов, вакансий) с меньшей величиной
тально была показана возможность существования
СО-взаимодействия в данных слоях [32].
различных величин запрещенной зоны в точке Ди-
Для проверки данного предположения бы-
рака для различных образцов АФМ ТИ MnBi2Te4.
ли проведены расчеты электронных структур
Используя расчеты методом теории функционала
MnBi2Te4 при искусственном изменении величины
плотности при различных приложенных электриче-
СО-взаимодействия для поверхностных атомов Те1
ских полях мы показали, что данные изменения в
и Bi2 в большую и меньшую стороны относительно
величинах запрещенной зоны могут быть связаны
исходного значения (СО-взаимодействие остальных
с изменениями локального градиента поверхностно-
атомов оставалось неизмененным, внешнее поле
го потенциала для разных образцов. Проведенные
не прикладывалось). Полученные расчетные дис-
расчеты показали возможность уменьшения вели-
персионные зависимости представлены выше на
чины запрещенной зоны в точке Дирака от 81 мэВ
рис. 3 (нижний ряд). Показана вводимая модуляция
до 5 мэВ при приложении внешнего электрического
СО-взаимодействия относительно исходной вели-
поля напряженностью E = -0.5 В/Å. Для элект-
чины, принятой за единицу. Эта величина имеет
рического поля противоположной направленности
смысл коэффициента СО-взаимодействия kSOC
величина запрещенной зоны первоначально увели-
(spin-orbit coupling factor, SOC factor). Расчеты
чивается до 89 мэВ при E ≈ 0.15 В/Å, а затем начи-
при обычном значении СО-взаимодействия для Te1
нает уменьшаться до 76 мэВ при E = 0.5 В/Å. Кро-
и Bi2 представлены, например, на рис. 1б,в. Как
ме того, наблюдались изменения локализации ТПС
видно на рис. 3, запрещенная зона, отмеченная се-
и магнитных моментов поверхностных атомов при
рыми прямоугольниками, может быть существенно
приложении поля, которые могут играть роль в из-
изменена за счет вводимой модуляции СО-взаи-
менении величины запрещенной зоны и модуляции
модействия. Более наглядно изменения величины
магнитоэлектрического отклика. С другой стороны,
запрещенной зоны от величины СО-взаимодействия
при помощи расчетов было показано, что вариация
представлены на рис. 4б. Видно, что максимальное
СО-взаимодействия приповерхностных атомов Te1
значение наблюдается при исходном (-1) значе-
и Bi2 также может приводить к подобным измене-
нии СО-взаимодействия. При его увеличении или
ниям запрещенной зоны и локализации ТПС. По-
уменьшении наблюдается уменьшение запрещенной
добие результатов при вариации градиента поверх-
зоны, хотя оно имеет немного разную динамику
ностного потенциала и СО-взаимодействия может
изменения относительно исходного значения. Видна
говорить о взаимосвязи данных эффектов.
качественная корреляция с зависимостью запре-
Проблема влияния приложенного электрическо-
щенной зоны от приложенного внешнего поля (или
го поля, изменения градиента поверхностного по-
градиента потенциала) на рис. 4а. Также на основе
тенциала или СО-взаимодействия на величину за-
расчетов были получены зависимости локализации
прещенной зоны в точке Дирака является сложной
состояний верхней и нижней частей конуса Дирака
проблемой и требует дальнейшего более детального
при изменении величины СО-взаимодействия
—
анализа. Однако при этом представленные резуль-
соответственно рис. 5в и 5г. Здесь также видна
таты теоретически предсказывают возможность ис-
134
ЖЭТФ, том 161, вып. 1, 2022
Модуляция энергетической запрещенной зоны. . .
кусственной модуляции величины запрещенной зо-
Между слэбами помещался вакуумный слой тол-
ны в точке Дирака приложенным электрическим по-
щиной 12Å, для предотвращения взаимодействия
лем, что может быть использовано для модуляции
между ними. Однородное внешнее электрическое
магнитно-электрических свойств систем на основе
поле пилообразной формы прикладывалось вдоль
MnBi2Te4 в прикладных исследованиях и задачах.
нормали к поверхности совместно с граничными
условиями «вакуум-слэб-вакуум» в рамках метода
эффективной экранирующей среды
[40], чтобы
5. МЕТОДЫ
избежать искусственного взаимодействия между
слэбами. Спиновые магнитные моменты атомов
Измерения дисперсионных зависимостей тополо-
рассчитывались исходя из разности населенностей
гических состояний проводились методом ФЭСУР
по Малликену.
на установке μ-Laser в ARPES-центре синхротрон-
ного излучения HiSOR (Хиросима, Япония) с улуч-
Финансирование. Работа выполнена в рам-
шенным угловым и энергетическим разрешением и
ках финансовой поддержки Министерства науки и
высоким пространственным разрешением лазерно-
высшего образования РФ (грант № 075-15-2020-797
го пучка (диаметр пятна около 5 мкм) при энергии
(13.1902.21.0024)).
излучения hν = 6.3 эВ.
Эксперимент проводился с использованием ана-
лизатора Scienta R4000 при угле падения лазерного
ЛИТЕРАТУРА
излучения 50◦ относительно нормали к поверхности.
Монокристаллы MnBi2Te4 были синтезированы
1.
X. L. Qi, T. L. Hughes, and S. C. Zhang, Phys. Rev.
вертикальным методом Бриджмена в Новосибирс-
B 78, 195424 (2008).
ком государственном университете.
2.
X. L. Qi and S. C. Zhang, Rev. Mod. Phys. 83, 1057
Чистые поверхности образцов получали сколом в
(2011).
сверхвысоком вакууме. Базовое давление в процессе
эксперимента было на уровне (1-2) · 10-11 мбар.
3.
C. X. Liu, S. C. Zhang, and X. L. Qi, Ann. Rev.
Расчеты электронной структуры были выпол-
Condens. Matter Phys. 7, 301 (2016).
нены в рамках релятивистской теории функциона-
4.
Y. Tokura, K. Yasuda, and A. Tsukazaki, Nature Rev.
ла плотности, реализованной в коде OpenMX, где
Phys. 1, 126 (2019).
базисные функции представлены локализованными
псевдоатомными орбиталями [33-35], а потенциал
5.
C. Z. Chang and M. Li, J. Phys.: Condens. Matter
заменен на сохраняющий норму псевдопотенциал
28, 123002 (2016).
[36]. В расчетах была использована обменно-кор-
6.
J. Wang, B. Lian, X. L. Qi, and S. C. Zhang, Phys.
реляционная энергия в PBE-версии приближения
Rev. B 92, 081107 (2015).
обобщенного градиента [37]. Точность численного
интегрирования в реальном пространстве определя-
7.
Y. Deng, Y. Yu, M. Z. Shi et al., Science 367, 895
(2020).
лась энергией отсечки 200 Ry с критерием сходимос-
ти по полной энергии 3·10-5 эВ. Поверхностная зона
8.
A. M. Essin, J. E. Moore, and D. Vanderbilt, Phys.
Бриллюэна представлялась сеткой 7 × 7 k-точек.
Rev. Lett. 102, 146805 (2009).
Базисные функции задавались следующим обра-
9.
Z. Liu and J. Wang, Phys. Rev. B 101, 205130 (2020).
зом:
10.
S. Coh, D. Vanderbilt, A. Malashevich et al., Phys.
Bi8.0 - s3p3d2f2, Te7.0 - s3p3d2f1, Mn6.0 - s3p3d2.
Rev. B 83, 085108 (2011).
Данная нотация на примере атома висмута озна-
11.
D. Xiao, J. Jiang, J. H. Shin et al., Phys. Rev. Lett.
чает, что волновые функции задавались посредст-
120, 056801 (2018).
вом трех примитивных орбиталей для каждого s-
и p-каналов, двух орбиталей для d-каналов и одной
12.
S. Grauer, K. M. Fijalkowski, S. Schreyeck et al.,
орбитали для f-каналов радиусом 8.0 ат. ед. Метод
Phys. Rev. Lett. 118, 246801 (2017).
DFT+U [38] в схеме Дударева [39] использовался
13.
T. Morimoto, A. Furusaki, and N. Nagaosa, Phys.
для d-состояний Mn с параметром U = 5 эВ [20].
Rev. B 92, 085113 (2015).
Рассчитываемая система представляла собой
повторяющийся слэб (пластина образца), состоя-
14.
K. Nomura and N. Nagaosa, Phys. Rev. Lett. 106,
щий из шести семислойных блоков MnBi2Te4.
166802 (2011).
135
А. M. Шикин, Д. А. Естюнин, Н. Л. Зайцев и др.
ЖЭТФ, том 161, вып. 1, 2022
15.
S. Y. Xu, M. Neupane, C. Liu et al., Nature Phys. 8,
28.
P. Swatek, Y. Wu, L.-L. Wang et al., Phys. Rev.
616 (2012).
B 101, 161109 (2020).
16.
Y. L. Chen, J. H. Chu, J. G. Analytis et al., Science
29.
D. A. Estyunin, I. I. Klimovskikh, A. M. Shikin et
329, 659 (2010).
al., APL Mater. 8, 021105 (2020).
17.
J. Henk, M. Flieger, I. V. Maznichenko et al., Phys.
30.
A. M. Shikin, D. A. Estyunin, I. I. Klimovskikh et
Rev. Lett. 109, 076801 (2012).
al., Sci. Rep. 10, 13226 (2020).
18.
A. M. Shikin, A. A. Rybkina, D. A. Estyunin et al.,
31.
A. M. Shikin, D. A. Estyunin, N. L. Zaitsev et al.,
Phys. Rev. B 97, 245407 (2018).
Phys. Rev. B 104, 115168 (2021).
19.
A. M. Shikin, D. A. Estyunin, Yu. I. Surnin et al.,
32.
S. Y. Xu, Y. Xia, L. A. Wray et al., Science 332, 560
Sci. Rep. 18, 4813 (2019).
(2011).
20.
M. M. Otrokov, I. I. Klimovskikh, H. Bentmann et
33.
T. Ozaki, Phys. Rev. B 67, 155108 (2003).
al., Nature 576, 416 (2019).
34.
T. Ozaki and H. Kino, Phys. Rev. B 69, 195113
21.
D. Zhang, M. Shi, T. Zhu et al., Phys. Rev. Lett. 122,
(2004).
206401 (2019).
35.
T. Ozaki and H. Kino, Phys. Rev. B 72, 045121
22.
J. Li, Y. Li, S. Du et al., Sci. Adv. 5, eaaw5685 (2019).
(2005).
23.
Y. Gong, J. Guo, J. Li et al., Chinese Phys. Lett. 36,
36.
N. Troullier and J. L. Martins, Phys. Rev. B 43, 1993
076801 (2019).
(1991).
24.
S. H. Lee, Y. Zhu, Y. Wang et al., Phys. Rev. Res. 1,
37.
J. P. Perdew, K. Burke, and M. Ernzerhof, Phys. Rev.
012011 (2019).
Lett. 77, 3865 (1996).
25.
Z. S. Aliev, I. R. Amiraslanov, D. I. Nasonova et al.,
38.
M. J. Han, T. Ozaki, and J. Yu, Phys. Rev. B 73,
J. Alloys Comp. 789, 443 (2019).
045110 (2006).
26.
Y. J. Hao, P. Liu, Y. Feng et al., Phys. Rev. X 9,
39.
S. L. Dudarev, G. A. Botton, S. Y. Savrasov et al.,
041038 (2019).
Phys. Rev. B 57, 1505 (1998).
27.
Y. J. Chen, L. X. Xu, J. H. Li et al., Phys. Rev. X 9,
40.
M. Otani and O. Sugino, Phys. Rev. B 73, 111407
041040 (2019).
(2006).
136