ЖЭТФ, 2023, том 164, вып. 3 (9), стр. 315-327
© 2023
О ВОЗМОЖНОСТИ РЕГУЛИРОВАНИЯ ИЗЛУЧЕНИЯ ВТОРОЙ
ГАРМОНИКИ ЛАЗЕРА НА СВОБОДНЫХ ЭЛЕКТРОНАХ С
ПОМОЩЬЮ ВТОРОЙ ГАРМОНИКИ ПОЛЯ ОНДУЛЯТОРА
K. В. Жуковский*
Московский государственный университет имени М. В. Ломоносова, физический факультет
119991, Москва, Россия
Поступила в редакцию 14 февраля 2023 г.,
после переработки 10 марта 2023 г.
Принята к публикации 13 марта 2023 г.
Исследуется излучение второй гармоники однопроходного лазера на свободных электронах (ЛСЭ) и его
зависимость от второй гармоники поля ондулятора. При исследовании свойств материалов важным эф-
фектом является нелинейная генерация второй гармоники как отклик на облучение. В этом контексте
генерация второй гармоники собственно источника излучения, ЛСЭ, является нежелательной, так как
она маскирует исследуемый сигнал. В других случаях напротив излучение второй гармоники ЛСЭ может
быть востребовано как более высокочастотное. Нами исследуется возможность подавления или напротив
усиления мощности второй гармоники ЛСЭ в зависимости от фазы и напряженности второй гармоники
поля ондулятора ЛСЭ. Предложенный подход в принципе не зависит от частоты излучения. Рассмотре-
ны примеры LCLS, PAL-XFEL в рентгеновском, SPARC и LEUTL в видимом диапазонах. Показано более
эффективное влияние гармоники поля ондулятора при работе с узкими пучками электронов
DOI: 10.31857/S0044451023090018
ходимости получить высокочастотное излучение от
EDN: KBPZMV
ЛСЭ, использование гармоник излучения является,
пожалуй, наиболее простым способом кратно повы-
сить частоту [6]. Принцип ЛСЭ с высоким усилени-
1. ВВЕДЕНИЕ
ем высших гармоник (high gain harmonic generation,
HGHG) был предложен в [7-9], и реализован на уста-
Генерация второй гармоники (SHG) является ин-
новках [10, 11]; использование гармоник ЛСЭ поз-
тересным нелинейным эффектом как в источниках
воляет уменьшить энергию электронов и размеры
излучения так и при исследовании отклика веще-
установки по сравнению с теми, которые требуют-
ства на его облучение извне. В современных иссле-
ся при использованием основного тона той же час-
дованиях все чаще используют лазеры на свобод-
тоты [12-14]. Генерация второй гармоники в XUV
ных электронах (ЛСЭ) и когерентное ондулятор-
диапазоне [15] наблюдалась при облучении Ti M2,3
ное излучение в диапазонах от видимого до рент-
лазером на свободных электронах. Генерация вто-
геновского. При этом в основном в ЛСЭ использу-
рой гармоники при облучении ЛСЭ используются
ют плоские или спиральные ондуляторы, где вторая
при исследовании материалов [16-18] и поверхно-
гармоника на оси в идеале не излучается, а в ре-
стей [19], включаю органические соединения [20,21].
альности излучается относительно слабо в зависи-
Ниже мы рассмотрим и теоретически изучим влия-
мости от характеристик пучка электронов. Излуче-
ние второй гармоники поля ондулятора на излуче-
ние второй гармоники источника может быть неже-
ние гармоник ЛСЭ с целью получить возможность
лательным при исследовании материалов [1-4], так
регулировать излучение его четных гармоник. Нели-
как вторая гармоника излучения маскирует нели-
нейная генерация четных гармоник основного то-
нейный отклик исследуемого образца и затрудня-
на видимого света [2, 3] при исследовании физико-
ет его изучение [5]. С другой стороны, при необ-
химических свойств молекул, пленок и поверхностей
может указывать на нарушение внутренней симмет-
* E-mail: zhukovsk@physics.msu.ru
315
K. В. Жуковский
ЖЭТФ, том 164, вып. 3 (9), 2023
рии исследуемых образцов [4, 21]; в рентгеновском
формулы, например, из работ [29-31]. Так, длина
диапазоне отклик второй гармоники используется
волны λn = 2πc/ωn гармоники n ОИ определяется
также при исследовании ядерного резонанса. По
следующим выражением:
сравнению с мощностью облучения образца, мощ-
(
)
ность генерируемых в нем гармоник мала; поэтому
λu
k2eff
λn =
1+
+ (γθ)2
,
содержание второй гармоники собственно источни-
2nγ2
2
ка излучения нужно по возможности уменьшить.
k2eff = k2̟,
̟ = 1 + (d/h)2,
(1)
Вторая гармоника ЛСЭ экспериментально за-
фиксирована в излучении в диапазоне от видимо-
где эффективный параметр keff определяется обыч-
го (LEUTL, см. [22,23]) до жесткого рентгеновского
ным ондуляторным параметром k и относительной
(LCLS см. [24-27]). Вторая гармоника ондуляторно-
амплитудой d гармоники поля с номером h; излуче-
го излучения (ОИ) появляется в спектре вследствие
ние рассматривается под нормированным углом γθ
неотъемлемых в реальных устройствах угловых и
к оси, где γ релятивистский фактор электронов.
бетатронных эффектов; последние в свою очередь
В идеале для плоского ондулятора с единственной
имеют место во всех реальных пучках конечного се-
гармоникой поля, d = 0, в дальней (волновой) зоне
чения. Отметим, что только в идеально узком пуч-
в случае бесконечно узкого пучка электронов на оси
ке электронов строго на оси длинного плоского он-
излучаются только нечетные гармоники, а для спи-
дулятора, излучение второй гармоники в принципе
рального ондулятора, d = h = 1, на оси в этом слу-
отсутствует, так как оно приходит в противофазе с
чае излучается только основной тон. В реальности
соседних периодов ондулятора. Гармонику поля он-
картина излучения и само поле ондулятора значи-
дулятора можно получить в двоякопериодическом
тельно более сложные: в поле всегда присутствуют
гармоническом поле; ее амплитуда может достигать
гармоники, чтобы удовлетворить уравнениям Макс-
порядка 10-15% основного поля ондулятора. Вли-
велла во всем магнитом зазоре ондулятора, а в пуч-
яние третьей гармоники поля на ОИ изучалось во
ке конечной ширины возникают бетатронные коле-
многих предыдущих работах (см., например, [28-31].
бания (см., например, [45]). Излучаются при этом
Излучение гармоник ЛСЭ, в том числе четных, тео-
все гармоники ОИ с различной интенсивностью, но
ретически исследовалось в [32-36]; механизм генера-
в узких релятивистских пучках электронов влияние
ции четных гармоник исследовался в особенности в
бетатронных колебаний на мощность четных гармо-
[37-41]; анализ поляризаций излучения проводился
ник ОИ оказывается малым. Тогда определяющим
в [42-44] и других работах.
фактором для излучения четных гармоник стано-
В настоящей работе используется аналитический
вятся угловые эффекты. Это касается в первую оче-
подход, выявляющий физические причины возник-
редь рентгеновских ЛСЭ; как было показано в [37-
новения четных гармоник ОИ и ЛСЭ, и предлага-
39], на оси и вблизи нее в узком пучке с сечени-
ется возможность ослабить излучение второй гар-
ем σx,,y ∼10-50 мкм вклад бетатронных колебаний в
моники приблизительно на 1-2 порядка наложени-
мощность четных гармоник излучения существенно
ем второй гармоники поля ондулятора с амплитудой
меньше по сравнению с вкладом от эффективного
∼ 10% основного поля; конструктивно это возможно
угла
θ≈ σx,y/Lg, под которым электроны взаимо-
в ондуляторах с двумя параллельными гребенками
действуют с излучение на длине усиления ЛСЭ (Lg).
магнитов со сдвигом относительно друг друга с обе-
В длинных ондуляторах LCLS и других рентгенов-
их сторон оси ондулятора.
ских ЛСЭ пучок может существенно отклоняться от
Рассмотрим двоякопериодическое ондуляторное
оси из-за неидеальности поля и внешних наводок.
поле со второй гармоникой (h = 2), с амплитудой
Угол отклонения при этом может быть сравним с
dH0 основного поля амплитуды H0:
углом
θ ≈ σx,y/Lg [24].
H = H0 sin2πz/λu, Hh,d = H0dsinh2πz/λu.
Здесь λu период ондулятора, ось ондулятора на-
2. ВЛИЯНИЕ ВТОРОЙ ГАРМОНИКИ ПОЛЯ
правлена по оси z. Параметр дипольности равен
НА СПЕКТР ОИ
k ≈ λu[см]H0[Тл]/1.07.
Коэффициенты Бесселя fn;x,,y для гармоники
Теория ОИ в мультипериодическом поле была пред-
излучения n определяют по сути нормированную
ставлена ранее во многих публикациях; опуская де-
интенсивность ОИ этой гармоники с поляризация-
тали, ниже мы используем готовые проверенные
ми x, y. Для плоского ондулятора со слабой второй
316
ЖЭТФ, том 164, вып. 3 (9), 2023
О возможности регулирования излучения...
гармоникой поля и с учетом угловых и бетатрон-
излучение имеет обе поляризации, хотя преоблада-
ных эффектов в пучке релятивистских электронов
ет перпендикулярная полю. Азимутальный угол θ
конечного сечения, коэффициенты Бесселя анали-
соответствует отклонению от оси; для разумных от-
тически записывается следующим образом (см., на-
клонений в пределах сечения пучка это практически
пример, [29, 39]):
не влияет на мощность нечетных гармоник, а глав-
ным образом влияет на мощность четных гармо-
∑
fn;x ≈
Jp|(Jnn+1 + Jnn-1)+
ник спонтанного ОИ. Вынужденное излучение ЛСЭ
p
определяется взаимодействием электронов с фото-
d
2
нами. Для гармоник ЛСЭ проявляется повышен-
+
(Jnn+h + Jnn-h) + Jn
γθcosϕ|,
(2)
h
n k
ная чувствительность электрон-фотонного взаимо-
действия на длинах волн гармоник к разного рода
потерям за счет разброса энергий электронов, уг-
∑(
2
ловых эффектов, эмиттанса, дифракции и др. Кро-
fn;y ≈
Jp|Jn
γθsinϕ|+
n k
p
ме того, нужно учесть, что определяющим углом в
√
(
))
коэффициентах Бесселя (2)-(5) для ЛСЭ становит-
2πy0
d
+Jn
Jp+1 -
Jp-1) +
Jp+h -
Jp-h)
ся не угол между осью и направлением на наблю-
n λu
h
дателя (излучение ЛСЭ рассматривается на оси), и
(3)
даже не расходимость пучка, а эффективный угол
где y0
расстояние от оси. Коэффициенты Бессе-
θ ≈ σx,y/Lg, под котором электроны взаимодейству-
ля fn;x,y выражаются в терминах обобщенных форм
ют с излучением на длине усиления ЛСЭ, а также
функций Бесселя:
возможное отклонение узкого пучка от оси на угол,
который в некоторых случаях сравним с
θ. Так на
∫π
dα
ЛСЭ LCLS юстировка пучка должна производиться
Jmn =
×
с точностью ∼ 5 мкм, при этом были зарегистри-
2π
рованы отклонения от оси на 10-15 мкм на длине
-π [ (
)]
mk2(ξ0 + ξ1 + ξ2 + ξ3 + ξ4 + ξ5)
∼ 1 м при сечении пучка ∼ 25 мкм [24], а пол-
× exp i nα +
,
ная длина ондуляторов LCLS порядка 100 м. Что
1 + γ2θ2 + (k2eff/2)
же касается полярного угла ϕ, то при повороте на
∫π
dα
ϕ ≈ 0 - π/2 происходит перераспределение мощно-
Jp =
exp[i(nα - κ sinα - η sin(2α))],
2π
сти излучения вокруг оси, но это не меняет полную
-π
мощность гармоник ЛСЭ, если пучок предполагает-
(4)
ся аксиально-симметричным. Асимметрия и дина-
мика в реальном времени в трехмерном случае мо-
аргументы ξ0,...,5 ≡ ξ0,...,5(α) которых зависят от па-
гут быть учтены при решении комплекса уравнений
раметров ондулятора и пучка:
в специализированных численных программах для
2dγθ cos ϕ sin(hα)
sin(2α)
расчета ЛСЭ, которые требуют значительных вы-
ξ0 =
,
ξ1 =
,
kh2
4
числительных мощностей и подготовленного персо-
dsin((h - 1)α)
dsin((h + 1)α)
нала. Аналитически учесть все детали выбранной
ξ2 =
,
ξ3 =
,
h(h - 1)
h(h + 1)
установки и параметры пучка по длине ондуляторов
(5)
практически невозможно. Даже простое интегриро-
d2 sin(2hα)
2
ξ4 =
,
ξ5 =
γθcosϕsinα,
вание коэффициентов Бесселя по углам θ должно
4h3
k
2
выполняться с соответствующим весом для распре-
4πθy0γ
π2γy20k
κ=
,
η=
√
деления электронной плотности в пространстве, не
λu(1 + (k2/2))
2λ2u(1 + (k2/2))
говоря уже об интегрировании по длине z. То же
Итак, коэффициенты Бесселя fn;x,y зависят от
касается и аксиальной асимметрии и интегрирова-
параметров установки сложным образом, явно и
нию по углу ϕ. В этом случае аналитическое вы-
неявно. Напомним, что магнитное поле и эффекты
числение выражений для интенсивности даже спон-
в одной плоскости, например, (x, z), порождают ОИ
танного излучения становится практически невоз-
с поляризацией в перпендикулярной ей плоскости
можным, а численное вычисление долгим. Деталь-
(y, z); в идеале в плоском ондуляторе излучение име-
ный точный расчет излучения ЛСЭ гораздо слож-
ет поляризацию, только перпендикулярную плоско-
нее и производится численно; однако, в отличие от
сти вектора магнитного поля и оси, но в реальности
численного, аналитический подход позволяет выде-
317
K. В. Жуковский
ЖЭТФ, том 164, вып. 3 (9), 2023
лить, проследить и понять влияние каждого физи-
ческого фактора на излучение.
Проводя расчет интенсивности спонтанного из-
лучения на оси ондулятора длины Nλu по аналити-
ческий формуле
d2I
e2γ2N2k2
=
×
dωdΩ
c(1 + (k2eff /2) + (γθ)2)
(
(
∑
)) (
)
ω
×
n2sinc2
πnN
-1
f2n;x + f2n;y
,
ωn
n=-∞
(6)
с учетом расходимости пучка и его сечения в коэф-
фициентах Бесселя fn и учитывая разброс энергий
электронов,
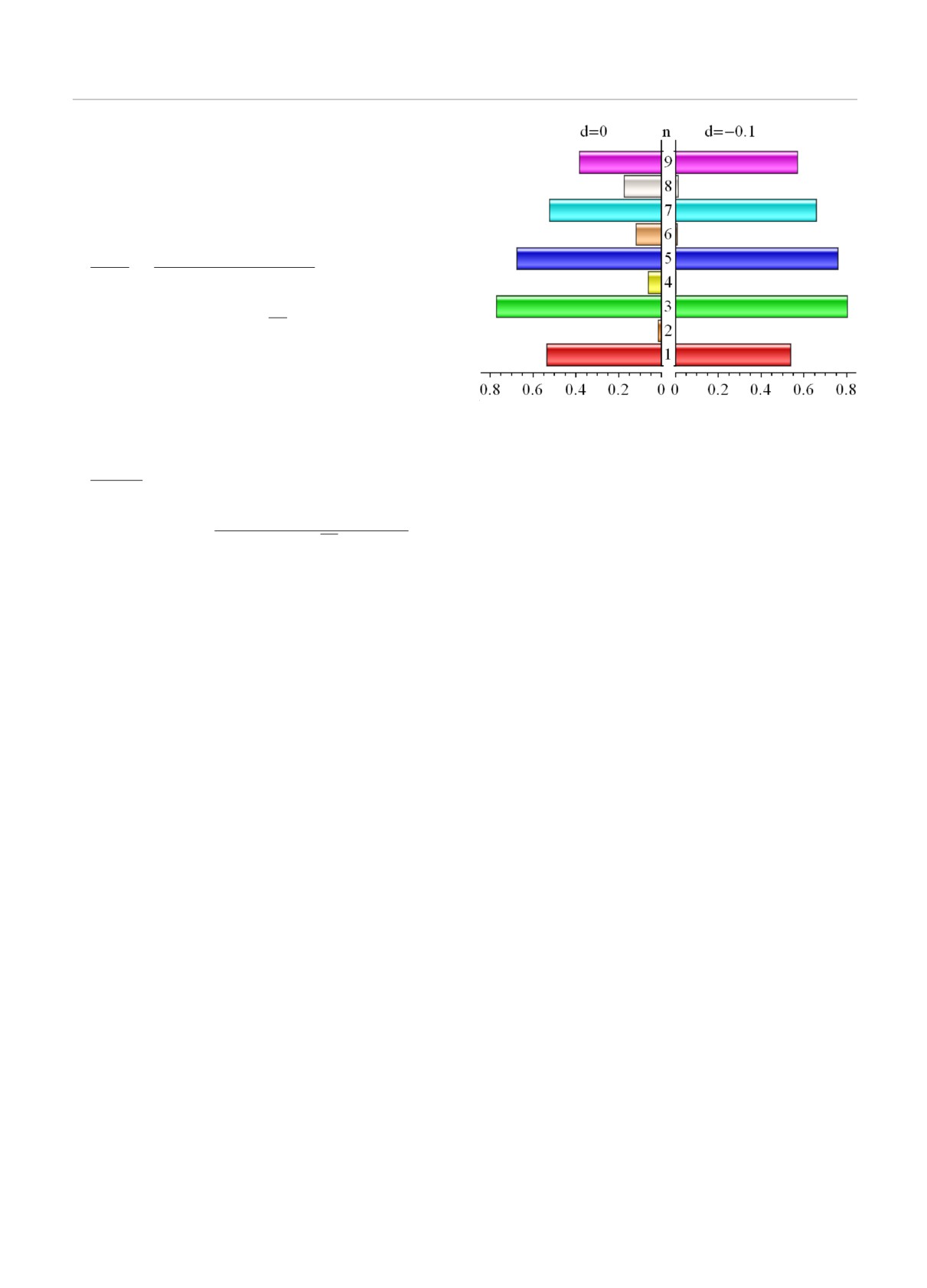
Рис. 1. Мощность гармоник ОИ LCLS под углом γθ ≈ 0.07
для стандартного ондулятора, d = 0, и для ондулятора со
d2I(σe)
второй гармоникой поля, h = 2, и противофазной ампли-
=
тудой d = -0.1
dωdΩ
∫
d2I(νn + 4πnNε)e-ε2/2σe dε
Отметим, что в (8) значения f2,4,... четных гармо-
√
,
(7)
dωdΩ
2πσ
e
ник по порядку близки к значениям f3,5 нечетных
-∞
гармоник. Для сравнения, для стандартного ондуля-
получаем интенсивности гармоник, близкие к полу-
тора LCLS без второй гармоники поля с эффектив-
ченным в результате точного численного счета, на-
ным углом γθ ≈ 0.07 коэффициенты Бесселя f2,4,...
пример, с помощью программы SPECTRA для боль-
меньше:
шинства установок; это было показано в работах
[29, 37, 46, 47]. В частности было показано соответ-
fh=d=0,n=1,2,3,4,5 ≈
ствие аналитических и численных результатов для
≈ {0.74, 0.08, 0.33, 0.08, 0.22}.
(9)
LCLS, в том числе для четных гармоник его спон-
танного ОИ; в ондуляторах ЛСЭ LCLS параметр ди-
Изменяя фазу второй гармоники поля с ¾+¿ на ¾-¿,
польности k = 3.5, период λu = 3 см, длина секции
получаем для ондулятора с d = -0.1, h = 2 c эф-
3.4 м, эмиттанс пучка γε = 0.4 мм× мрад, γ-фактор
фективным углом γθ ≈ 0.07 еще меньшие значения
f2,4,...:
γ = 8400. В ЛСЭ расходимость пучка обычно мень-
ше его отклонения от оси; в рентгеновских ЛСЭ
fh=2,d=-0.1,n=1,2,3,4,5 ≈
она существенно меньше угла
θ. Ранее было пока-
зано (см. [32-35,38-40]), что излучаемая мощность
≈ {0.74, 0.03, 0.34, 0.03, 0.23}.
(10)
четных гармоник всех основных действующих ЛСЭ
Аналитические результаты для интенсивности
объясняется, если учесть угол
θ ≈ σx,y/Lg.
спонтанного излучения гармоник LCLS на осно-
Рассмотрим ондуляторы LCLS и предположим,
ве расчета коэффициентов Бесселя fn подтвержда-
что они модифицированы с двоякопериодическим
ются численным счетом с помощью программы
полем с амплитудой второй гармоники 10% напря-
SPECTRA. Сравнительная интенсивность гармоник
женности основного поля. Тогда с учетом эффек-
ОИ с d = 0 и с h = 2, d = -0.1 показана на рис.1:
тивного угла γθ ≈ 0.07 - 0.08, получающегося для
вторая гармоника поля с d = -0.1 ослабляет чет-
LCLS с длиной волны λ = 1.5 нм, с учетом длины
ные гармоники излучения. При d = +0.1 получаем,
усиления, сечения пучка и его отклонения от оси на
наоборот, усиление высших четных гармоник. Отме-
∼ 10-15 мкм на длине 1-2 м [24-27], получаем из
тим, что представленный на рис. 1 результат должен
выражений (2)-(4) следующие значения коэффици-
рассматриваться в контексте ЛСЭ, так как выбран-
ентов Бесселя fn при d = +0.1, h = 2:
ный нами угол γ¯ ≈ 0.07 имеет смысл именно для
ЛСЭ LCLS.
fh=2,d=0.1,n=1,2,3,4,5 ≈
Для четных гармоник спонтанного ОИ на оси иг-
≈ {0.74, 0.11, 0.32, 0.13, 0.19}.
(8)
рают роль сечение и расходимость пучка, которые
318
ЖЭТФ, том 164, вып. 3 (9), 2023
О возможности регулирования излучения...
пример, [48-54]). В режиме когерентного излучения
мощность растет экспоненциально по длине ондуля-
торов:
P (z) ∝ P0ez/Lg0 ,
в отличие от ОИ, где мощность пропорциональ-
√
3Γ обратно про-
на z2; длина усиления Lg0 = 1/
порциональна (безразмерному) параметру Пирса
ρ = λuΓ/4π, где Γ усиление. Для гармоники n
ЛСЭ, ее параметр Пирса ρn записывается через па-
раметры электронного пучка и ондулятора следую-
щим образом [55-57]:
ρn
ρ
˜
n =
,
κ
(
)1/3
1
J
Рис. 2. Мощность гармоник ОИ LCLS с учетом эмиттанса
(11)
ρn =
(λukeff |fn|)2/3,
пучка под углом γθdiv ∼ 0.02 для стандартного ондулято-
2γ
4πi
√
ра, d = 0, и для ондулятора со второй гармоникой поля,
κ=3
1 + λuλn/16πρnΣ,
h = 2, и синфазной амплитудой, d = +0.1
где коэффициент κ описывает дифракцию пучка,
малы для LCLS, γθdiv ≈0.02, что дает очень слабые
i = 4πε0mc3/e размерная постоянная тока Альф-
четные гармоники (см. рис. 2 слева, d = 0). В этом
вена, i ≈ 1.7045 · 104 [А], I0
электронный ток, а
случае в ондуляторе с синфазной второй гармони-
J = I0/Σ его плотность, Σ ≈2πσ2x,y поперечное
кой поля d = +0.1 возможно усиление четных гар-
сечение пучка электронов сечением σx,y. В терминах
моник ОИ, как показано на рис. 2. Сравнивая рис. 2
параметра Пирса ρ выражаются основные характе-
и рис. 1, можно увидеть, что ОИ обычного ондуля-
ристики излучения ЛСЭ. А именно, максимальная
тора под углом γθ ≈ 0.07 (рис.1 слева, d = 0) срав-
мощность гармоники n, не ограниченная насыщени-
нимо с ОИ ондулятора со второй гармоникой под
ем основного тона:
углом γθdiv ≈ 0.02 в фазе h = 2, d = +0.1 с уче-
√
том сечения (рис.2 справа, d = +0.1). Спектр ОИ
PF,n ≈
ρnPbeam,
обычного ондулятора под углом γθdiv ≈ 0.02 с уче-
где Pbeam
мощность электронного пучка, длина
том только сечения (рис.2 слева, d =0) сравним со
усиления гармоники:
спектром ОИ под углом электрон-фотонного взаи-
модействия γθ ∼ 0.07 со второй гармоникой поля
√
Ln,g ≈ λu/(4π
3n1/3 ρ˜n),
ондулятора в противофазе: h = 2, d = -0.1 (рис. 1
справа, d = -0.1).
а также длина насыщения ЛСЭ:
Таким образом, можно видеть, как угловые эф-
фекты в генерации гармоник спонтанного ОИ мо-
Ls ≈ λu/ρ ∼ (10 - 20)Lg.
гут быть скомпенсированы за счет второй гармони-
ки поля ондулятора с ее соответствующей фазой.
Для ЛСЭ с самоусилением спонтанного излучения
Отметим, что при больших углах и сечениях резуль-
(SASE) когерентное излучение и начальная мощ-
таты численного счет в SPECTRA отличаются от
ность зарождаются из случайных когерентных ос-
результатов, полцченных с помощью аналитических
цилляций шума электронного банча; оценка такова:
вычислений хотя бы потому, что мы используем эф-
фективное среднее значение углов, не проводя по
Pnoise ≈ 1.6ρ2e4πcPe/(I0λ),
ним интегрирование.
см. [55]. Для ЛСЭ в режиме усилителя, затравоч-
ная мощность дается из внешнего источника, в са-
мозатравочном ЛСЭ начальная мощность получа-
3. АНАЛИТИЧЕСКОЕ ОПИСАНИЕ
ется после фильтрации на монохроматоре излуче-
МОЩНОСТИ ГАРМОНИК ЛСЭ
ния предыдущих секций ЛСЭ SASE; также могут
Теория вынужденного излучения однопроходно-
использоваться гармоники самозатравочного или
го ЛСЭ широко представлена в литературе (см., на-
внешнего затравочного излучения. Разброс энергий
319
K. В. Жуковский
ЖЭТФ, том 164, вып. 3 (9), 2023
электронов σe и конечный эмиттанс пучка εx,y уве-
больше угла отклонения пучка от оси. Справедли-
личивают длину усиления Ln,g → Ln,gκΦn и умень-
вость такого подхода для всех ЛСЭ с доступными
шают мощность. С насыщением ЛСЭ прекращает-
документированными характеристиками была про-
ся рост мощности и начинаются ее осцилляции око-
верена в работах [32-35], где было показано соответ-
ло мощности насыщения Pn,F . Обычно полная мощ-
ствие аналитического расчета данным независимых
ность гармоник PF,n не достигается, Pn,F < PF,n,
измерений на ЛСЭ. Отметим, что в режиме нели-
так как рост мощности гармоник идет медленнее,
нейной генерации гармоник рост их мощности в кон-
чем основного тона, и ограничен его насыщени-
це ЛСЭ и в насыщении практически невозможно
ем. Длина усиления и мощность насыщения гармо-
точно описать аналитически. Сложный для моде-
ник в режиме нелинейной генерации однопроходно-
лирования процесс сопровождается осцилляциями,
го ЛСЭ, были аппроксимированы сложными поли-
скачками и приближенно описан формулой, калиб-
номами с дробными степенями в [58] с высокой точ-
рованной в среднем по данным многих ЛСЭ и чис-
ностью. С этим согласуется выражение, предложен-
ленным моделям [59]:
ное в [55-57]; его модификация с учетом осцилляций
мощности такова:
Pn,0enz/Lg
Qn(z) ≈
(
)
+
1+
enz/Lg - 1
Pn,0
Pn,F )
(
)2
ρ1ηn
fn
Pn,F = Pbeam
√
×
Pn,0enz/Lg
κ2
n nf1
+
(
)
(14)
(
1+
enz/Lg - 1
(Pn,0
Pn,F )
(z-Ls )).
× 1 + 0.3cos
(12)
1.3Ln,g
где начальные мощности ондуляторных каскадов
усиления
Коэффициенты в (12) феноменологические; зависи-
мость от µ,
Pn,0 ≈ cnb2nPn,F ,
Pn,0 ≈ dnb2nPF |ηn→ηn
Φn ∝ e0.034µn , µn ∝ 1/n1/3,
задаются банчингом
b2n ≈ (P0,1/Pe ρ1)n,
предложена в [56]; другие числа и зависимость от
ζ калиброваны нами по данным численных симуля-
параметры
ций и ЛСЭ:
ηn = ηn|Φ
n→Φn,
Φn ≈ (ζ
√n + 0.165µ2n)e0.034µn ,
Φn = Φn|µε,n→µε,n,
2σe
µn ≈
,
(13)
n1/3ρ˜n
µε,n ≈ nµ
ε,n
ηn ≈ 0.942(e-Φn(Φn-0.9) + 1.57(Φn - 0.9)/Φ3n).
описывают сильно нелинейный рост и скачок вбли-
зи насыщения, P0,1
начальная мощность основно-
Параметр ζ зависит от эмиттансов и параметров
го тона, а процесс осцилляций описан модуляциями
Твисса βx,y пучка и обычно для согласованного с
мощности
ондулятором пучка ζ ≈ 1-1.05, за исключением ред-
ких случаев очень большого эмиттанса и широкого
Pn,F ≈ Pn,F (z/Ls)n/2 - 0.
Pn,F
пучка, как в ЛСЭ LEUTL, где ζ ≈1.2-1.4; форму-
ла для ζ громоздкая (не приводим для краткости) и
и
представлена в [55 -57]. Длина усиления и мощность
Pn,F = Pn,F |η→η.
насыщения, посчитанные по формулам выше, согла-
Калиброванные численные коэффициенты
суются с более аккуратными оценками по сложным
формулам, предложенным в работе [58]. Отметим,
cn ≈ [1, 1.3, 2, 5, 10], dn ≈ [1, 3, 8, 40, 120]
что коэффициенты Бесселя fn считаются по точным
формулам (2)-(4) и справедливы для всех гармо-
дают в формуле соответствие данным многих ЛСЭ
ник, включая четные. При этом учитывается конеч-
в среднем.
ный эмиттанс и угловые эффекты. Последние долж-
Независимый рост мощности проще и описыва-
ны включать также эффективный угол электрон-
ется экспонентой
фотонного взаимодействия
θ ≈ σx,y/Lgain, который
обычно значительно больше угла расходимости и
Sn(z) ∝ ez/Ln,g
320
ЖЭТФ, том 164, вып. 3 (9), 2023
О возможности регулирования излучения...
с выходом на насыщение [56,57]:
и это затрудняет расчет мощности. Результат [65]
можно переформулировать в терминах числа Фре-
P0,nSn(z)
PL,n(z) ≈
,
(15)
неля по аналогии с подходом в [63]:
1 + (P0,nSn(z)/Pn,F)
)2
Ξ
K
(Gb2
где экспоненциальная функция Sn представлена по-
PFresnel
=P1
,
Ξ=
(18)
Huang2
Γ
πN F b1
разному в разных работах, например, в [56, 57] она
имеет вид
В работе [65] также предложена простая формула
(
)
для третьей гармоники, мощность которой P3 выра-
√
π
3z
жается как
Sn(z)|z= z
≈
cosh z - ez cos
+
-
Ln,g
3
2
(
√
)
PHuang3 = ΘρPbeam(P1/ρPbeam)3,
(19)
π
3z
- e-2 cos
-
(16)
3
2
где Θ численный множитель, Θ ∼ 0.1. Теорети-
ческий результат (19), однако, превышает данные
Детали феноменологического описания эволю-
практически всех ЛСЭ на порядок. Согласие восста-
ции гармоник с помощью аналитических формул
навливается, если положить коэффициент Θ ∼ 0.01.
даны в [32, 33, 35 38] и др. работах. В них, а также
Для второй гармоники результат (18) близок к из-
в [60, 61] показано хорошее согласие с результатами
меренной мощности большинства ЛСЭ, расхожде-
численных моделей. Теоретические результаты так-
ние обычно находится в пределах одного порядка.
же согласуются с результатами численного модели-
Отметим, что формулы (17), (18) из независимых
рования, проведенного независимо от нас в [62] и
исследований [63-65] не учитывают гармоники поля
в др. работах. Теоретические результаты эволюции
и применимы только для ЛСЭ с обычным плоским
мощности гармоник по длине ондуляторов обычно
ондулятором.
воспроизводятся в экспериментах с точностью до
порядка величины. Для четных и высших гармо-
4. ВЛИЯНИЕ ВТОРОЙ ГАРМОНИКИ ПОЛЯ
ник это соответствие хуже. Хорошее приближение
НА СПЕКТР ЛСЭ
предложено в работах [63, 64] для мощности второй
гармоники P2, выраженной через P1 с учетом числа
Подробное описание экспериментов и работы
Френеля
ЛСЭ LCLS дано в [24-26]. Для определенности рас-
Γ = 4πσ2x,y/Nλuλ1,
смотрим излучение в мягком рентгеновском диапа-
где учтена длина волны λ, сечение пучка σx,y, и дли-
зоне, где были измерены первая, вторая (< 0.1%) и
на ондулятора Nλu:
третья (∼ 2-3%) гармоники в насыщении, а содер-
жание пятой гармоники оценено в 10% от третьей.
2
A2 + B
Длина волны излучения λ1 = 1.5 нм, энергия элек-
2
PGeloni
≈P1
×
450πKF2
тронов Е = 4.3 ГэВ, разброс энергий σe = 3 · 10-4,
ln(1 + 1/(4Γ2))
ток I0 = 1 кА, период ондулятора λu = 3 см, пара-
×
,
(17)
arctan(1/Γ) + (Γ/2)ln(Γ2/(1 + Γ2))
метр k = 3.5. На рис. 3 показана мощность гармоник
ЛСЭ в случае использования ондуляторов со второй
где
гармоникой поля, h = 2, и с амплитудой d = -0.1
A = 2KG + J1(K),
основного поля и без нее.
B = J1(K),
Результаты теоретического расчета мощности
F = J0(K/2) - J1(K/2),
излучения гармоник ЛСЭ по формулам (2)-(16)
для стандартных ондуляторов LCLS были пред-
G = J0(K) - J2(K),
ставлены ранее во многих работах (см., например,
Ji(K)
обычные функции Бесселя от аргумента
[32, 33, 38, 39]). Они дают характеристики излуче-
K = k2/(2 + k2) [63]. Мощность второй гармоники
ния, которые хорошо согласуются с эксперименталь-
P2 проанализирована также в работе [65]. Результат
ными данными. Отметим на рис. 3, что мощность
сформулирован в терминах обычных функций Бес-
второй гармоники ЛСЭ при наличии второй гармо-
селя и включает зависимость от сечения пучка σx,y
ники поля ондулятора (штрих-пунктирная оранже-
и параметров ондулятора, а также мощность излу-
вая линия на рис. 3) оказывается значительно, на
чения ЛСЭ P1 и коэффициенты группировки (бан-
два порядка, ниже, чем для стандартных ондулято-
чинги) b1,2. Значения банчинга не всегда известны,
ров LCLS (сплошная оранжевая линия). В послед-
321
K. В. Жуковский
ЖЭТФ, том 164, вып. 3 (9), 2023
Рис. 3. Мощность гармоник ЛСЭ LCLS по длине онду-
Рис. 4. Мощность гармоник PAL-XFEL, E
= 3 ГэВ,
ляторов; E
= 4.3 ГэВ, λ1 = 1.5 нм, σe = 0.3 · 10-3,
λ1
=
1.5
нм, σe
=
0.5
·
10-3, I0
=
2.2
кA,
I0
= 1кA, γεx,y = 0.4 мм·мрад, β = 10 м. Гармони-
γεx,y
= 0.55 мм·мрад, β = 25 м. Гармоники обозначены
ки обозначены линиями: n = 1
сплошная красная,
линиями: n = 1 сплошная красная, n = 3 штрихо-
n = 3
штриховая зеленая, n = 5
пунктирная си-
вая зеленая, n = 2 оранжевая сплошная для обычного
няя; n = 2 оранжевая, сплошная для обычного ондуля-
ондулятора, оранжевая штрих-пунктирная для ондулятора
тора, штрих-пунктирная для ондулятора со второй гармо-
со второй гармоникой поля, h = 2, d = -0.1; измеренные
никой поля, h = 2, d = -0.1; экспериментальные значе-
значения обозначены точками
ния в цветных диапазонах; мощности насыщения PHuang3
пунктирная зеленая, PHuang2 штриховая и сплошная
оранжевая,PGeloni2 пунктирная оранжевая
риодом и меньшим параметром дипольности k. Ра-
нее проделанное нами аналитическое моделирова-
нем случае отметим хорошее согласие с измерен-
ние PAL-XFEL в [33], а также независимое числен-
ными значениями. В то же время, вторая гармони-
ное моделирование в [70] и др. работах показывают
ка поля не приводит к существенным изменениям
гармоники n = 2 и n = 3, которые, однако, не были
мощности нечетных гармоник изучения. Итак, по-
измерены, хотя последняя и была зарегистрирована
казано, что ондулятор со слабой второй гармоникой
в экспериментах. На рис. 4 приведено сравнение ре-
поля с амплитудой 10% в противофазе основному
зультатов моделирования эволюции мощности гар-
полю может подавить излучение второй гармоники
моник PAL-XFEL с обычным ондулятором и с онду-
ЛСЭ LCLS на два порядка и более. Мы учли зна-
лятором со второй гармоникой поля. В отличие от
чение эффективного угла γθ ∼ 0.07-0.08 электрон-
ЛСЭ LCLS, в PAL-XFEL влияние второй гармони-
фотонного взаимодействия в ЛСЭ и коэффициен-
ки поля ондулятора на излучение второй гармоники
ты Бесселя (9) и (10). При учете только эмиттанса
ЛСЭ менее выражено.
получаем содержание второй гармоники обычного
При той же длине волны излучения гармоника
ондулятора на два порядка ниже измеренного зна-
поля с той же амплитудой 10% основного поля да-
чения ∼ 0.04-0.1%. Отметим, что спонтанное излу-
ет эффект подавления второй гармоники ЛСЭ PAL-
чение второй гармоники в ондуляторах LCLS под
XFEL на порядок или менее, в отличие от эффекта
углом γθ тоже удается скомпенсировать второй гар-
в два порядка и более в LCLS. Объяснение этому
моникой поля примерно до уровня излучения вто-
не очевидно. Вероятно, что причина в более широ-
рой гармоники обычного ондулятора LCLS на оси с
ком пучке электронов в PAL-XFEL. Отметим, что
учетом эмиттанса пучка.
в PAL-XFEL более слабый ондулятор. Однако ни-
В сравнении с ЛСЭ LCLS интересно проанали-
же мы рассмотрим пример другой пары ЛСЭ, где
зировать генерацию и излучение второй гармоники
в ЛСЭ с большим эмиттансом стоит более сильный
в ЛСЭ PAL-XFEL [65-69] на почти той же длине
ондулятор, и в таком ЛСЭ эффективность второй
волны, λ = 1.52 нм [65-69], что в LCLS. В отличие
гармоники поля понижена. Причины такой разни-
от LCLS, излучение на λ1 = 1.52 нм в PAL-XFEL
цы еще не до конца понятны; по-видимому, влияют
происходит от более широкого пучка электронов с
в основном сечение пучка и длина усиления ЛСЭ.
большим эмиттансом и меньшей энергией электро-
Действительно, параметры ондулятора вместе с уг-
нов E = 3 ГэВ в ондуляторе с более коротким пе-
ловом множителем γθ присутствуют перед функци-
322
ЖЭТФ, том 164, вып. 3 (9), 2023
О возможности регулирования излучения...
ей Jnn, а также в аргументе функций Бесселя,
2d
ξ0 ∼
γθ.
kh2
Угловой вклад отдельно входит в аргумент функции
Бесселя,
2
ξ5 ∼
γθ,
k
а гармоника поля ондулятора отдельно и независи-
мо от углов присутствует в аргументах ξ2,3,4. Сече-
ние пучка входит в аргументы бетатронных функ-
ций Бесселя
˜
J
p, вместе с углом в параметр
θ2πσx,y
Рис. 5. Зависимости длины усиления Lg
(сплошная синяя
κ≈
,
линия) и эффективного угла электрон-фотонного взаимо-
λ1
действия
θ ≈ σx,y/Lg (штриховая красная линии) от сече-
и отдельно от угла в параметр
ния пучка LEUTL, E = 217 МэВ, λ1 = 532 нм, σe = 1·10-3,
Σπk
I0
= 210 A
η≈
√
λuλ14
2γ
Учитывая, что наибольшим является угол
θ ≈ σx,y/Lg электрон-фотонного взаимодействия,
мы провели оценку для действующих ЛСЭ с излу-
чением в диапазонах от видимого до рентгеновского
с сечением пучков σ ∼ 25-250 мкм и выяснили, что
во всех рассмотренных установках κ на порядок
больше η: κ ∼ 10η. В аргументы κ и η не входят
параметры второй гармоники поля d, h, а входят
сечение и эффективный угол электрон-фотонного
взаимодействия γθ.
Рассмотрим теперь ЛСЭ LEUTL с длиной вол-
ны λ = 532 нм и энергией электронов E = 217 МэВ
Рис. 6. Зависимости мощности гармоник ЛСЭ LEUTL,
(см. [22, 23]). Сечение пучка этого ЛСЭ составля-
E = 217 МэВ, λ1 = 532 нм, σe = 1 · 10-3, I0 = 210 A
ло σx,y ∼ 0.25 мм, что на порядок больше, чем в
от сечения пучка. Гармоники обозначены линиями: n = 1
LCLS и в два раза больше, чем в SPARC с излуче-
сплошная красная, n = 3 штриховая зеленая, n = 2
штрих-пунктирная оранжевая
нием в видимом диапазоне на близкой длине волны
λ = 498нм, который мы тоже рассмотрим для срав-
нения. Мы рассчитали мощности гармоник по длине
рис. 5). Это происходит на фоне ослабления роста
ЛСЭ LEUTL с обычным ондулятором и со второй
θ и уменьшения общей мощности ЛСЭ (см. крас-
гармоникой поля, а также исследовали зависимости
ную сплошную линию на рис. 6) из-за уменьшения
мощности насыщения гармоник, длины усиления и
плотности тока, соответствующего уменьшения па-
угла
θ от сечения пучка (см. рис. 5 - 7).
раметра Пирса ρ и увеличения длины усиления Lg
С увеличением сечения уменьшаются плотность
(см. синюю сплошную линию на рис. 5). Мощность
тока и усиление ЛСЭ, увеличивается длина усиле-
в целом падает с увеличением сечения пучка, а чет-
ния Lg (синяя сплошная линия на рис. 5); в резуль-
ные гармоники сначала медленно растут; этот рост
тате угол
θ ≈ σx,y/Lg (красная штриховая линия
замедляется и прекращается с увеличением сечения
на рис. 5) растет медленнее, чем сечение. В отно-
при фиксированном токе (см. рис. 6).
шении мощности второй гармоники можно сказать,
Эволюция мощности гармоник по длине ондуля-
что два эффекта противодействуют друг другу: с
торов LEUTL показана на рис. 7. Исследованы слу-
увеличением сечения пучка мощность второй гар-
чаи ондуляторов LEUTL cо второй гармоникой по-
моники излучения сначала растет при малом сече-
ля, h = 2, d = -0.1 и обычного ондулятора. По срав-
нии (см. оранжевую штрих-пунктирную линию на
нению с излучением ЛСЭ с обычным ондулятором
рис. 6), что в основном определяется растущим уг-
с d = 0, подтвержденным экспериментальными дан-
лом
θ ≈ σx,y/Lg (см. красную штриховую линию на
ными [22], мощность второй гармоники излучения
323
K. В. Жуковский
ЖЭТФ, том 164, вып. 3 (9), 2023
тон вообще не меняется (красная линия на рис. 7).
Отметим, что для ЛСЭ LEUTL с пучком электронов
сечением σx,y ∼ 0.25 мм на длине усиления Lg ≈ 0.75
м имеем угол взаимодействия
θ≈ 0.35 мрад и, со-
ответственно, γθ ≈ 0.14. Для LEUTL с ондулятором
со второй гармоникой поля, h = 2, d = -0.1, коэф-
фициенты Бесселя равны
fe-γanglen=1,2,3,4 = {0.75, 0.12, 0.32, 0.13},
в то время как для LEUTL с обычным ондулятором
они равны
fn = {0.75, 0.18, 0.30, 0.18}.
Рис. 7. Мощность гармоник ЛСЭ LEUTL, E = 217 МэВ,
λ1 = 532 нм, σe = 1·10-3, I0 = 210 A, γεx = 6.2πмм·мрад,
Разница значений fn=2,4 для ондулятора с гармо-
βx,y
= 1.5 м. Гармоники обозначены линиями: n = 1
никой поля и без нее не столь большая. Причина
сплошная красная, n = 3 штриховая зеленая, n = 2
этого, вероятно, в том, что угловой вклад γθ ≈ 0.14
оранжевая сплошная для обычного ондулятора, оранжевая
большой и для его компенсации недостаточно ам-
штрих-пунктирная для ондулятора со второй гармоникой
плитуды 10% второй гармоники поля. Отметим, что
поля, h = 2, d = -0.1; измеренные значения обозначены
в ОИ углы γθ > 0.1 вызывают существенное из-
точками
менение излучения и генерацию сильных четных
гармоник. Таким образом, рассмотренное значение
d = -0.1 второй гармоники поля ондулятора недо-
статочно для эффективного подавления второй гар-
моники излучения LEUTL.
Для сравнения рассмотрим ЛСЭ SPARC с по-
хожей длиной волны излучения, но более узким
Рис. 8. Мощность гармоник ЛСЭ SPARC, E = 152 МэВ,
λ1 = 498 нм, σe = 1 · 10-3, I0 = 53 A, βx,y = 1.5 м,
γεx = 2.8·10-6 мм·мрад. Гармоники обозначены линиями:
n = 1
сплошная красная, n = 3 штриховая зеленая,
n = 5
пунктирная синяя, n = 2 сплошная оранже-
вая для обычного ондулятора, штрих-пунктирная оранже-
вая для ондулятора со второй гармоникой поля, h = 2,
d = -0.1; измеренные значения в диапазонах между
точками
в присутствии второй гармоники поля уменьшились
всего в четыре-пять раз (ср. оранжевую сплошную и
оранжевую пунктирную линии на рис. 7) и осталась
Рис. 9. Мощность гармоник ЛСЭ SPARC (данные ЛСЭ та-
в пределах разброса измерений с обычным ондуля-
кие же, как на рис. 8) со второй гармоникой поля, h = 2,
тором (оранжевые точки на рис. 7). Третья гармо-
в зависимости от ее амплитуды d. Гармоники обозначе-
ника ЛСЭ почти не чувствует влияние второй гар-
ны цветными поверхностями: n = 1 красная, n = 3
моники поля (зеленая линия на рис. 7), а основной
зеленая, n = 2 оранжевая
324
ЖЭТФ, том 164, вып. 3 (9), 2023
О возможности регулирования излучения...
пучком электронов с в два раза меньшим сечени-
оно может подавить излучение второй гармоники
ем пучка: σx,y ∼ 0.12 мм, и значительно меньшим
ЛСЭ, практически не затрагивая излучение нечет-
эмиттансом. Теоретические результаты расчета эво-
ных гармоник. Эффективность влияния второй гар-
люции мощности гармоник ЛСЭ SPARC с обычным
моники ондулятора при этом зависит от ЛСЭ. По-
ондулятором и в присутствии второй гармоники по-
казано, что для ЛСЭ LCLS с узким хорошо цен-
ля ондулятора h = 2, d = -0.1, показаны на рис.
трированным пучком излучение второй гармоники
8.
ослабевает приблизительно на два порядка в при-
Отметим, что вторая гармоника поля ондулято-
сутствие второй гармоники в поле ондулятора с от-
ра SPARC с d = -0.1 уменьшает мощность излу-
рицательной фазой и амплитудой 10%; положитель-
чения второй гармоники ЛСЭ на порядок; это эф-
ная фаза этого поля может усилить вторую гармо-
фективнее ее влияния в ЛСЭ LEUTL со сравнимой
нику LCLS почти до 10 раз. Мы показали, что для
длиной волны излучения в видимом диапазоне и го-
PAL-XFEL на той же длине волны LCLS вторая гар-
раздо большим эмиттансом пучка. При этом ондуля-
моника излучения может быть ослаблена почти на
тор в SPARC слабее, чем в LEUTL. При сравнении
порядок при той же амплитуде 10% второй гармо-
рентгеновских ЛСЭ LCLS и PAL-XFEL оказалось,
ники поля; усиление второй гармоники PAL-XFEL
что разница в эффективности подавления второй
возможно почти в пять раз. При этом оба ЛСЭ из-
гармоники излучения в них также сопровождалась
лучают примерно на одной длине волны λ = 1.5 нм.
разницей их эмиттансов и сечений, но параметр он-
Для ЛСЭ SPARC на длине волны λ = 498 нм можно
дулятора k был наоборот сильнее у LCLS, где на-
ослабить излучение второй гармоники ЛСЭ на поря-
блюдалось большая эффективность второй гармо-
док, примерно как для PAL-XFEL. Для LEUTL на
ники поля в подавлении излучения второй гармони-
близкой к SPARC длине волны λ = 532 нм эффект
ки ЛСЭ. Мы проанализировали влияние амплитуды
второй гармоники поля с той же амплитудой, что и
d второй гармоники поля ондулятора на излучение
для других рассмотренных ЛСЭ, h = 2, d = -0.1,
гармоник ЛСЭ. Результат для SPARC приведен на
меньше: происходит уменьшение мощности второй
рис. 9. По сравнению с рис. 8, рис. 9 дает более об-
гармоники излучения примерно в пять раз.
щую картину и показывает возможность управлять
Эффективность изменения мощности второй
излучением второй гармоники ЛСЭ, усиливая или
гармоники ЛСЭ под влиянием гармоники поля непо-
ослабляя ее примерно на порядок в зависимости от
средственно связана со значением ее коэффициента
амплитуды и фазы второй гармоники поля.
Бесселя, который зависит в первую очередь от угло-
В то же время рис. 8 дает больше деталей в от-
вых эффектов, и компенсацией влияния последних
ношении эволюции гармоник по длине ондуляторов
второй гармоникой поля ондулятора. Установлено
и влияния на нее поля второй гармоники с заданной
уменьшение влияния второй гармоники поля на из-
амплитудой и фазой. Возможность управлять вто-
лучение ЛСЭ при использовании пучков с большим
рой гармоникой ЛСЭ LEUTL значительно меньше,
эмиттансом. Разница в эффективности для разных
чем на ЛСЭ SPARC, а в ЛСЭ LCLS полный диапа-
ЛСЭ может превышать один порядок, в зависимо-
зон изменения мощности второй гармоники излуче-
сти от ЛСЭ.
ния превышает два порядка ее величины.
В практических целях эффективное подавление
излучения второй гармоники ЛСЭ дает возмож-
ность использовать ЛСЭ для исследования и ана-
5. ВЫВОДЫ
лиза нелинейного отклика образца на его облучение
в виде генерации второй гармоники на фоне ослаб-
Продемонстрировано, что с увеличением сечения
ленного излучения ЛСЭ на той же частоте.
пучка электронов при фиксированном токе мощ-
ность насыщения второй гармоники ЛСЭ несколько
Финансирование. Работа выполнена при фи-
увеличивается при малых сечениях и потом остается
нансовой подджержке Минобрнауки РФ, грант 075-
в целом неизменной, а общая мощность ЛСЭ есте-
15-2021-1353.
ственно уменьшается в первую очередь из-за умень-
шения плотности тока.
Вторая гармоника поля ондулятора влияет на
ЛИТЕРАТУРА
излучение второй гармоники спонтанного ОИ и
ЛСЭ. Рассмотрено слабое поле (∼ 10% от основно-
1. L. Wu, S.Patankar, T.Morimoto et al., Nat. Phys. 13,
го) второй гармоники ондулятора и показано, что
350 (2016).
325
K. В. Жуковский
ЖЭТФ, том 164, вып. 3 (9), 2023
2.
G. Boyd, T.Bridges, and E.Burkhardt, IEEE
21.
P. J. Campagnola L. M. and Loew, Nat. Biotechnol.
J. Quantum Electron. 4, 515 (1968).
21, 1356 (2003).
3.
G. C. Bhar, S. Das, and K. L. Vodopyanov, Appl.
22.
S. G. Biedron et al., Nucl. Instrum. Meth. Phys. Res.
Phys. B 61, 187 (1995).
A 483, 94 (2002).
4.
M. Nuriya, S.Fukushima et al., Nat. Commun. 7,
23.
S.V. Milton, E.Gluskin, N. D. Arnold et.al., Science
11557 (2016).
292, 2037 (2000).
5.
T. Sumi, M. Horio, T. Senoo et al., E-J. Surf. Sci.
24.
P. Emma, R. Akre, J. Arthur et al., Nature, Photonics
Nanotech. 20, 31 (2021); DOI 10.1380/ejssnt.2022-
4, 641 (2010).
002
25.
P. Emma, Proc. of PAC09, Vancouver, BC, Canada,
(2009).
6.
K.-J. Kim, Z. Huang, and R. Lindberg, Synchrotron
Radiation and Free Electron Lasers; Principles of
Coherent X-Ray Radiation, Cambridge University
26.
D. Ratner, A. Brachmann, F. J. Decker et al., Phys.
Press, Cambridge CB2 8BS, United Kingdom (2017).
Rev. ST-AB 14, 060701 (2011).
27.
Z. Huang and S.Reiche, in: Proc. of the FEL 2004
7.
L.-H. Yu, Science 289, 932 (2000).
Conference, ed. by R. Bakker et al., Italy, Trieste
(2004), p. 201.
8.
T. Shaftan and Li H Yu, Phys. Rev. E 71, 046501
(2005).
28.
K. V. Zhukovsky and A. M. Kalitenko, Phys. Rus. J.
62, 354 (2019).
9.
K. C. Prince, E. Allaria, C. Callegari et al., Nat.
Photonics
10, 176 (2016).
29.
K. Zhukovsky and I. Fedorov, Symmetry 13, 135
(2021).
10.
E. Allaria, L. Badano, S. Bassanese et al.,
J. Synchrotron Radiat. 22, 485 (2015).
30.
K. Zhukovsky, Results in Physics 13, 102248 (2019).
11.
B. Faatz, M. Braune, O. Hensler et al., Appl. Sci.7,
31.
K. V. Zhukovsky, J. Synchrotron Rad. 26,
1481
1114 (2017).
(2019).
12.
K. Zhukovsky, Opt. Commun. 418, 57 (2018).
32.
K. Zhukovsky, Rad. Phys. Chem. 189, 109698 (2021).
13.
K. Zhukovsky, J. Appl. Phys. 122, 233103 (2017).
33.
K. Zhukovsky, Ann. der Physik 533, 2100091 (2021).
14.
K. Zhukovsky, EPL 119, 34002 (2017).
34.
К. В. Жуковский, ЖТФ 91, 495 (2021).
15.
T. Helk, E. Berger, S. Jamnuch et al., Sci. Adv. 7,
35.
K. V. Zhukovsky, Radiophys. Quantum Electronics
eabe2265 (2021).
65, 88 (2022).
16.
S. Shwartz, M. Fuchs, J. B. Hastings et al., Phys.
36.
K.V. Zhukovsky, Rus. Phys. J. 65, 1451 (2023).
Rev. Lett. 112, 163901 (2014).
37.
K. Zhukovsky and I. Fedorov, Mosc. Univ. Phys. Bull.
17.
S. Yamamoto, T. Omi, H. Akai et al., Phys. Rev. Lett.
77 (1), 11 (2022).
120, 223902 (2018).
38.
K. Zhukovsky, Physics Uspekhi 64, 304 (2021).
18.
E. Berger, S. Jamnuch, C. Uzundal et al.,
arXiv:2010.03134 (2020).
39.
K. Zhukovsky, Opt. Laser Technol. 143,
107296
(2021).
19.
R. K. Lam, S. L. Raj, T. A. Pascal et al., Phys. Rev.
Lett. 120, 023901 (2018).
40.
K. Zhukovsky, I.Fedorov, N.Gubina, Opt. Laser
Technol. 159, 108972 (2023).
20.
C. P. Schwartz, S. L. Raj, S. Jamnuch et al.,
arXiv:2005.01905 (2020).
41.
K. Zhukovsky, EPL 141, 45002 (2023).
326
ЖЭТФ, том 164, вып. 3 (9), 2023
О возможности регулирования излучения...
42.
D. K. V. Attwood, Soft X-Rays and Extreme
56.
G. Dattoli, L. Giannessi, P. L. Ottaviani, and
Ultraviolet Radiation, Cambridge University Press
C. Ronsivalle, J. Appl. Phys. 95, 3206 (2004).
(1999), Chap. 5.
57.
G. Dattoli, P. L. Ottaviani, and S. Pagnutti, J. Appl.
43.
H. Kitamura, Jpn. J. Appl. Phys. 19, L185 (1980).
Phys. 97, 113102 (2005).
44.
H. P. Freund and P. J. M. van der Slot, J. Phys.
58.
M. Xie, Nucl. Instrum. Methods Phys. Res. A 445,
Comm. 8, 085011 (2021).
59 (2000) .
45.
V. G. Bagrov, V. F. Zalmezh, M. M. Nikitin, and V.
59.
K.V. Zhukovsky, Mosc. Univ. Phys. Bull. 74 № 5 480
(2019).
Y. Epp, Nucl. Instr. Meth. A 261, 54 (1987).
60.
K. Zhukovsky, A. Kalitenko, J. Synchrotron Rad. 26,
46.
И. А.Федоров, К. В.Жуковский, ЖЭТФ 162, 181
159 (2019).
(2022).
61.
L. Gianessi, in Proc. of 28th Int. Free Electron Laser
47.
K. Zhukovsky, I. Fedorov, Symmetry 14, 1353 (2022).
Conf., Berlin, Germany, MOPPH026 (2006).
48.
B. W. J. McNeil, N. R. Thompson, Nature Photonics
62.
H. P. Freund and P. J. M. van der Slot, J. Phys.
4, 814 (2010).
Commun. 5, 085011 (2021).
49.
C. Pellegrini et al., Rev. Mod. Phys. 88, 015006
63.
G. Geloni et al., Opt. Comm. 271, 207 (2007).
(2016).
64.
E. Saldin, E. Schneidmiller, and M. Yurkov, Nucl.
50.
G. Margaritondo, Rivista del Nuovo Cimento 40, 411
Instr. and Meth. A 539, 499 (2005).
(2017).
65.
Z. Huang and K.-J. Kim, Nucl. Instrum. Meth. A.
51.
Z. Huang and K. J. Kim, Phys. Rev. ST-AB, 10,
475, 112 (2001).
034801 (2007).
66.
H.-S. Kang et.al., Nature Photonics 11, 708 (2017).
52.
Z. Huang, K.-J. Kim, Phys. Rev. E 62, 7295 (2000).
67.
H. Yang and H.-S. Kang, Nucl. Inst. Meth.Phys. Res.
53.
E. L.Saldin, E. A. Schneidmiller, and M. V. Yurkov,
A 911, 51 (2018).
The Physics of Free Electron Lasers, Berlin,
Heidelberg, Springer-Verlag (2000).
68.
J. Hong, J.-H. Han et al., High Power Laser Science
Eng. 3, 9 (2015).
54.
R. Bonifacio et al., Opt. Comm. 50, 373 (1984).
69.
I. S. Ko, H.-S. Kang, H. Heo et al., Appl. Sci. 7, 479
55.
L. Giannessi, in Synchrotron Light Sources and Free-
(2017).
Electron Lasers, ed. by E.J. Jaeschke et al., Springer
International Publishing, Switzerland (2016).
70.
A. M. Kalitenko, J. Synchrotron Rad. 28, 681 (2021).
327