ЖЭТФ, 2023, том 164, вып. 3 (9), стр. 349-364
© 2023
ОДНОЭЛЕКТРОННАЯ ПЕРЕЗАРЯДКА ПРИ СТОЛКНОВЕНИЯХ
БЫСТРЫХ ИОНОВ С МОЛЕКУЛЯРНЫМ ВОДОРОДОМ В
ПРЕДСТАВЛЕНИИ ПАРАМЕТРА УДАРА
Ф.Ф. Горяевa*
a Физический институт им. П.Н. Лебедева Российской академии наук
119991, Москва, Россия
Поступила в редакцию 15 марта 2023 г.,
после переработки 15 марта 2023 г.
Принята к публикации 21 марта 2023 г.
Представлен теоретический метод для расчета сечений одноэлектронной перезарядки при столкнове-
ниях быстрых ионов с молекулой H2 в основном состоянии. Задача рассеяния при ион-молекулярных
столкновениях формулируется в представлении параметра удара с использованием связи между кван-
товомеханической и квазиклассической амплитудами перезарядки. Амплитуды перезарядки и соответ-
ствующие вероятности захвата электрона в состояния (nlm) налетающего иона получены в приближении
Бринкмана-Крамерса. Выведены общие аналитические выражения для амплитуд вероятности одноэлек-
тронной перезарядки в n-состояния, просуммированные по квантовым числам l и m, из которых затем
вычисляются соответствующие вероятности перезарядки с использованием процедуры многоканальной
нормировки. Для столкновений H+ + H2 рассмотрена зависимость дифференциальных сечений переза-
рядки, проинтегрированных по параметру удара налетающего иона, от ориентации молекулы H2 и даны
сравнения с измерениями и другими расчетами. Вычислены полные сечения одноэлектронной перезаряд-
ки, проинтегрированные по ориентациям молекулы H2 и просуммированные по n-состояниям, для ряда
голых ядер и многозарядных ионов, и представлено их сравнение с имеющимися экспериментальными
данными и результатами расчетов с помощью других теоретических методов.
DOI: 10.31857/S0044451023090043
тельным в случае процессов обдирки (т.е. ионизации
EDN: KCHXFJ
налетающих частиц молекулами) и захвата электро-
нов мишени (процесс перезарядки) для большин-
ства молекулярных мишеней, тогда как для про-
1. ВВЕДЕНИЕ
стейшей молекулы H2 ситуация оказывается слож-
нее и правило Брэгга нарушается. В частности, в
работе [1] на основе экспериментальных данных бы-
Процессы переноса заряда при столкновениях
ло исследовано отношение сечений одноэлектрон-
ионов с молекулярными мишенями представляют
ной перезарядки многозарядных ионов на молеку-
большой интерес в фундаментальных и приклад-
лярном и атомарном водороде. В [1] было уста-
ных исследованиях, таких как астрофизика, физи-
новлено, что это отношение изменяется в преде-
ка плазмы, термоядерный синтез, физика ускорите-
лах 0.76 ≤ σEC (H2)/σEC (H) ≤ 3.84 (EC - electron
лей, химия, и др. В расчетах сечений процессов при
capture) и оказывается примерно равным 2 для ска-
ион-молекулярных столкновениях часто пользуют-
лированных энергий E(кэВ/нуклон)/q4/7 ≈ 50 (q
ся правилом аддитивности Брэгга для интепретации
заряд налетающего иона).
экспериментальных данных. Согласно этому прави-
лу эффективное сечение взаимодействия налетаю-
Сечения перезарядки при столкновениях быст-
щей частицы с молекулой определяется как сумма
рых ионов с мишенями H2 требуются для опреде-
сечений взаимодействия со всеми атомами молеку-
ления времен жизни ионных пучков в ускорителях
лы. Этот подход является достаточно удовлетвори-
и накопительных кольцах (см., например, [2] и при-
водимые там ссылки). Молекулярный водород, ис-
* E-mail: goryaev_farid@mail.ru
пользуемый в качестве газовой мишени для быст-
349
Ф.Ф. Горяев
ЖЭТФ, том 164, вып. 3 (9), 2023
рых ионных пучков, широко применяется для полу-
ческих подходов ограничивались рассмотрением за-
чения высокозарядных и узких зарядовых распреде-
хвата электрона в состояния с n = 1 и 2 (см., напри-
лений ионов [3]. В недавней работе [4] были выпол-
мер, [8, 13, 14]), что является более или менее адек-
нены измерения зарядовых распределений тяжелых
ватным приемом при интепретации эксперименталь-
ионов с энергиями 0.74 и 1.4 МэВ/нуклон, проходя-
ных данных только для ионов H+ и He2+. При уве-
щих через различные газы, и было установлено, что
личении заряда q налетающего иона становится су-
молекулы H2 являются одними из лучших газовых
щественным (а при определенных условиях даже до-
мишеней для обдирки налетающих ионов. Поэтому
минирующим) захват в возбужденные состояния с
знание сечений перезарядки при ион-молекулярных
большими значениями n. Для того чтобы учесть за-
столкновениях оказывается важным как для тео-
хват во все конечные состояния налетающего иона,
ретических предсказаний, так и для планирования
в работах [19, 20], в которых использовался метод
экспериментов.
искаженных кулоновских волн (CDW Continuum
Distorted Wave), авторы вычисляли полные сечения
Сечения одноэлектронной перезарядки при ион-
перезарядки
∑
молекулярных столкновениях также важны для
σtot =
σn
проблемы детектирования сверхтяжелых элементов
n
(СТЭ) с атомным номером Z > 92, когда использу-
для голых ядер H+, He2+ и Li3+, суммируя сече-
ются газонаполненные сепараторы с газом H2 или
ния для n = 1 - 3 и применяя экстраполяцию n-3
He (или их смесью) [5, 6]. После прохождения через
для захвата в состояния с n > 3. Этот экстраполя-
газовую камеру устанавливается равновесное рас-
ционный закон, являясь достаточно пригодным для
пределение ионных фракций со средним зарядом q,
определения полных сечений при высоких энергиях
с помощью которого можно оценить требуемую для
и небольших зарядах q, оказывается не вполне на-
детектирования СТЭ величину магнитного поля B.
дежным для вычисления парциальных сечений σn
Один из способов определить средний заряд q со-
при больших q, когда становится существенным за-
стоит в решении уравнений баланса для зарядовых
хват в состояния с n ∼ q. Более того, когда в про-
фракций, в которые входят в качестве коэффици-
цессе (1) участвуют многозарядные ионы, у которых
ентов рассчитанные сечения обдирки и перезарядки
основному состоянию образующегося иона X(q-1)+
[2]. В работе [7] такие расчеты были выполнены для
соответсвует главное квантовое число n > 1, рас-
элементов с Z = 80 - 120, проходящих через газ He.
четы сечений перезарядки в состояния с высокими
В настоящее время используется несколько тео-
n без использования экстраполяции n-3 становятся
ретических подходов к рассмотрению процесса за-
критически необходимыми.
хвата электрона быстрым ионом у молекулярного
В настоящей работе представлен теоретический
водорода в реакции переноса заряда
метод для получения сечений одноэлектронной пе-
резарядки при столкновениях быстрых ионов с мо-
Xq+ + H2 → X(q-1)+ + H+2 ,
(1)
лекулярным водородом для средних и больших
энергий столкновения. Процесс (1) рассматривает-
где Xq+ обозначает налетающий ион с зарядом q:
ся в IP-представлении, которое является обобще-
квантовомеханический подход (см., например, [8-
нием на ион-молекулярные столкновения подхода,
12]), квазиклассический метод параметра удара (IP
разработанного в [21, 22] для ион-атомных столкно-
impact parameter) (см., например, [13-15]) и ме-
вений. В этом подходе для процесса (1) в прибли-
тод классических траекторий Монте-Карло (CTMC
жении Бринкмана-Крамерса (БК) выводится со-
Classical Trajectory Monte Carlo) [16-18].
отношение, связывающее квантовомеханическую и
Следует заметить, что большинство работ, по-
квазиклассическую амплитуды перезарядки. Затем
священных исследованию реакции (1), в основном
применяется процедура многоканальной нормиров-
рассматривали захват электрона голыми ядрами
ки для вычисления вероятностей перезарядки и на
и главным образом для столкновений H+ + H2 и
их основе парциальных сечений перезарядки σn.
He2+ + H2. Теоретические расчеты для голых ядер
Приводятся сравнения с экспериментальными дан-
с зарядом q > 2 немногочисленны (см., например,
ными и другими теоретическими расчетами, для че-
[16-18]) или, в частности для налетающих ионов с
го также используется база данных [23] для сечений
электронной оболочкой (далее везде для них исполь-
перезарядки в ион-атомных столкновениях. В ста-
зуется термин ¾многозарядные ионы¿), практиче-
тье всюду используются атомные единицы, если не
ски отсутствуют. Кроме того, большинство теорети-
оговорено противное.
350
ЖЭТФ, том 164, вып. 3 (9), 2023
Одноэлектронная перезарядка при столкновениях быстрых ионов. . .
2. ТЕОРЕТИЧЕСКАЯ МОДЕЛЬ И
1 относительно начала координат, который связан с
ОСНОВНЫЕ ФОРМУЛЫ
r1 и r′1 следующим образом:
2.1. Формулировка проблемы
r1 = r + R/2 - ρ/2 ,
(5)
r′1 = r - R/2 .
(6)
Рассмотрим ион, налетающий на покоящуюся
молекулу H2 с фиксированной ориентацией. Для
Зависящий от скорости фазовый фактор в уравне-
описания геометрии столкновения, соответсвующей
ниях (3) и (4) является трансляционным фактором,
процессу (1), далее испольуются обозначения из ра-
учитывающим переносное движение захватываемо-
боты [8], которая была первой теоретической мо-
го электрона относительно выбранного начала ко-
делью для рассмотрения одноэлектронной переза-
ординат. Волновые функции молекулы H2, ΦM , и
рядки при столкновениях протонов с молекулами
молекулярного иона H+2, ΦI , имеют вид
водорода. Два электрона с номерами 1 и 2 харак-
теризуются векторами r1 и r2 относительно про-
{
ΦM (r1, r2, ρ) = NM um(r1)um(r2) +
тонов A и B в молекуле H2, соответсвенно, кото-
[
рые разделены межъядерным расстоянием, связан-
+ um(|r2 - ρ|)um(|r1 + ρ|) + c
um(r1)um(|r2 - ρ|) +
ным с вектором ρ = BA. Налетающий ион P на-
]}
+ um(r2)um(|r1 + ρ|)
,
(7)
ходится на расстоянии R относительно центра масс
(ЦМ) молекулярной мишени, а активный электрон
1 (т.е. электрон, захватываемый ионом) характери-
ΦI(r2, ρ) = N±I [ui(|r2 - ρ|) ± ui(r2)] ,
(8)
зуется вектором r′1 относительно иона P. Для быст-
где нормировочные коэффициенты NM и N±I равны
рых столкновений колебательным и вращательным
{
[
]}1/2
движениями молекулы можно пренебречь, тогда мо-
NM = 1/
2
(1 + c2)(1 + Δ2M ) + 4cΔM
,
лекулярная мишень остается фиксированной в тече-
(
)
1
ние быстрого столкновения. Ориентация молекулы
ΔM =
1+ZMρ+
Z2Mρ2
e-ZMρ ,
3
H2, связанная с вектором ρ, определяется тогда по-
лярным и азимутальным углами (θρ,φρ) относитель-
и
но оси z вдоль скорости v налетающего иона.
N±I = 1/ [2(1 ± ΔI)]1/2 ,
В IP-приближении относительное движение на-
(
)
летающей частицы и мишени описывается прямо-
1
ΔI =
1+ZIρ+
Z2Iρ2
e-ZI ρ .
линейной траекторией с постоянной скоростью v и
3
параметром удара b. В этом случае вектор R(t),
В уравнениях (7) и (8) um и ui являются водородо-
характеризующий положение иона P относительно
подобными волновыми функциями основного состо-
ЦМ, дается выражением
яния с эффективными зарядами ZM молекулы H2 и
ZI иона H+2 соответственно, а c вариационный па-
R(t) = b + vt, b · v = 0 ,
(2)
раметр. Знаки (±) в (8) и далее обозначают четное
где значение b = 0 в момент времени t = 0 соответ-
(2Σ+g) и нечетное (2Σ+u) основные состояния иона H+2
ствует прохождению через ЦМ молекулы.
соответственно.
Амплитуда вероятности перезарядки для про-
Чтобы установить выражение для амплитуды за-
цесса (1) определяется следующим выражением:
хвата, соответсвующей процессу (1), возьмем для
простоты начало координат в центре вектора R. Это
∫
можно сделать, так как конечный результат не за-
a(b, v) =
dt eiωt〈Ψf |Vi|Ψi〉 ,
(9)
висит от этого выбора (см., например, [24] для дета-
−∞
лей). Согласно [25], начальное и конечное состояния
полной системы можно записать в виде
где Vi является так называемым ¾prior¿ взаимодей-
ствием (см. ниже); ω = IM -IX дефект резонанса
Ψi = ΦM (r1, r2, ρ)e-i2v·r-i8 v2t ,
(3)
реакции (1) (IM и IX энергии связи захватывае-
Ψf = ΦI(r2, ρ)u(r′1)ei2 v·r-i8 v2t ,
(4)
мого электрона в молекуле H2 и образующемся ионе
X(q-1)+ соответственно); матричный элемент в фор-
где ΦM , ΦI и u(r′1) волновые функции молекулы
муле (9) имеет вид
H2, молекулярного иона H+2 и иона X(q-1)+ соответ-
ственно; r вектор положения активного электрона
〈Ψf |Vi|Ψi〉 =
351
Ф.Ф. Горяев
ЖЭТФ, том 164, вып. 3 (9), 2023
∫
∫
= Φ∗I(r2, ρ)u∗(r′1)ViΦM(r1, r2, ρ)e-iv·rdrdr2.
I1P(B) = (2π)-6 gm(q)g∗(p)×
(10)
× eiq·(r+R/2+ρ/2)-ip·(r-R/2)-iv·rdrdpdq.
(16)
Prior-взаимодействие Vi далее рассматривается
Интегрируя последовательно по переменным r и t в
как взаимодействие между налетающим ионом и
уравнениях (14)
(16) и используя дельта-функции
активным электроном 1, что соответствует БК-
δ(q - p - v) и δ(qv + ω - v2/2), появляющиеся в про-
приближению (т.е. Vi = V (r′1)). Используя далее
цессе интегрирования, получим окончательно общее
волновые функции (7) и (8) и интегрируя по r2,
выражение для амплитуды вероятности перезаряд-
приводим матричный элемент (10) к виду
ки:
〈Ψf |Vi|Ψi〉 = N±t[I1P (A) ± I1P (B)] ,
(11)
∫
a(b, v) = N±t[a(B-)e-iqz ρz /2 ± a(B+)eiqz ρz /2] ,
(17)
I1P (A) = u∗(r′1)V (r′1)um(r1)e-iv·rdr,
где
∫
∫
I1P (B) = u∗(r′1)V (r′1)um(|ρ + r1|)e-iv·rdr,
1
a(B∓) =
f (q, v)eiq⊥·B∓ d2q ,
(18)
(2π)2v
P
где член I1P (A) соответствует захватываемому элек-
f (q, v) = gm(q) g∗(q - v) ,
(19)
трону, связанному с протоном A, а I1P (B) тому же
электрону, связанному с протоном B; коэффициент
q - p = v, p2 - q2 = 2ω .
(20)
N±t выражается формулой
Интегрирование в (18) проводится по плоскости
N±t = NM N±I(1 ± c)(ΔIM ± χIM ),
(12)
P = {qv + ω - v2/2 = 0};
где
qz
= v/2 - ω/v, ρz
= ρcosθρ, q⊥
поперечная
3/2
8(ZI ZM )
компонента вектора q; векторы B∓
= b ∓ ρ⊥/2
ΔIM =
,
(ZI + ZM )3
характеризуют положение траектории налетающего
3/2
иона относительно двух ядерных центров молекулы
8(ZI ZM )
χIM =
[ZI (ρµ - 4ZM )e-ZMρ+
H2 (ρ⊥ поперечная компонента вектора ρ). Про-
ρµ3
изведение фурье-компонент (19) является кванто-
+ ZM(ρµ + 4ZI)e-ZIρ],
вомеханической амплитудой в БК-приближении, а
µ=Z2I -Z2M .
соотношение (18) связывает квазиклассическую IP-
амплитуду перезарядки с квантовомеханической.
Далее, используя преобразования Фурье
Вычисление интеграла (18) выполняется анало-
∫
гично процедуре, использованной в [21,22] для ион-
u∗(r′1)V (r′1) = (2π)-3 g∗(p)e-ip·r1 dp ,
атомных столкновений. Для интегрирования в (18)
∫
по плоскости P следует перейти от трехмерных век-
um(r1) = (2π)-3 gm(q)eiq·r1 dq,
(13)
торов p и q к их поперечной компоненте k (k·v = 0):
∫
v(v
ω)
v(v
ω)
um(|ρ + r1|) = (2π)-3 gm(q)eiq·(ρ+r1)dq
q=k+
-
,
p=k-
+
(21)
v
2
v
v
2
v
и соотношения (5) и (6), амплитуду захвата (9) мож-
Фурье-компонента gm(q) в (19) легко вычисляется:
но представить в виде
23 (πZ5M)1/2
∫
gm(q) =
(22)
(Z2M + q2)2
a(b, v) = N±t
dt eiωt[I1P (A) ± I1P (B)] ,
(14)
−∞
Факторизуя затем угловую и радиальную части
фурье-преобразования g∗(p) в (19) для перехода в
∫
состояние (nlm) образующегося иона X(q-1)+, полу-
I1P (A) = (2π)-6 gm(q)g∗(p)×
чим амплитуду вероятности в виде
× eiq·(r+R/2-ρ/2)-ip·(r-R/2)-iv·rdrdpdq,
(15)
5/2
8ZM
Clm
a(B∓) =
×
v
352
ЖЭТФ, том 164, вып. 3 (9), 2023
Одноэлектронная перезарядка при столкновениях быстрых ионов. . .
)
(√
∫∞Pml(cosθp)Rnl
k2 + (v/2 + ω/v)2
2.2. Голые ядра
×
×
(Z2M + k2 + (v/2 - ω/v)2)2
Рассмотрим случай, когда налетающее голое яд-
0
ро с зарядом Z захватывает электрон у молекулы
× Jm (k|B∓|) kdk ,
(23)
водорода
Z + H2 → HZ(nlm) + H+2
,
(29)
Clm = [(2l + 1)(l - m)!/(l + m)!]1/2 ,
где HZ атом водорода или водородоподобный ион.
v/2 + ω/v
В различных приложениях часто требуется знать
cosθp =
√
,
вероятности захвата и сечения перезарядки для ре-
k2 + (v/2 + ω/v)2
акции
Pml присоединенный полином Лежандра, Jm
Z + H2 → HZ(n) + H+2 ,
(30)
функция Бесселя и
т.е. просуммированные по квантовым числам (lm).
Чтобы получить замкнутую аналитическую форму-
(
)1/2
|B∓| =
b2 + ρ2⊥/4 ∓ bρ⊥ cos(φb - φρ)
(24)
лу для IP-амплитуды перезарядки
∑
|an|2 =
|anlm|2,
с азимутальным углом φb параметра удара b.
lm
Функция
Rnl является радиальной частью фурье-
преобразования g∗(p):
соответствующей реакции (30), в настоящей работе
применялся подход, аналогичный использовавшему-
∫∞
ся в работе [22] для случая ион-атомных столкнове-
Rnl(p) = Rnl(r)jl(pr)V (r)r2 dr ,
(25)
ний. С этой целью применялось правило суммы [26]
0
для фурье-преобразований водородоподобных вол-
новых функций, чтобы получить фурье-компоненту
где jl(x) сферическая функция Бесселя.
gn(p) (см. уравнения (13) и (19)), усредненную по l
Используя уравнения (17) и (18), получаем веро-
и m:
ятность перезарядки
∑
24πZ5
|gn(p)|2 =
|gnlm(p)|2 =
=
n3(p2 + Z2/n2)2
lm
P (b, v) = |a(b, v)|2 =
5
24πZ
= (N±t)2[|a1|2 + |a2|2 ± 2a1a2 cos(qz ρz)] ,
(26)
=
(31)
n3(q2 + 2IM )2
где a1 = a(B-), a2 = a(B+). Последний член в
Предполагая, что дефект резонанса ω реакции (30) в
квадратных скобках справа в формуле (26) опреде-
приближении водородоподобных функций слабо за-
ляет интерференцию между амплитудами a1 и a2
висит от квантовых чисел l и m и подставляя ам-
при рассеянии на двух центрах в молекуле H2. Пар-
плитуды |gn(p)| из формулы (31) и gm(q) из форму-
циальное сечение одноэлектронной перезарядки для
лы (22) в (18), окончательно получаем IP-амплитуду
фиксированной ориентации молекулы H2 получает-
перезарядки для реакции (30):
ся путем интегрирования вероятности захвата (26)
24(ZM Z)5/2
по полярным координатам (b, φb) вектора b:
an(B∓) =
×
v n3/2(Z2M - 2IM)2
∫
]
[ (Z2M - 2IM ) |B∓| K1(x∓)
σ(θρ, φρ) = 2 P (b, v) d2b , d2b = b db dφb ,
(27)
×
+ K0(x∓) - K0(y∓)
,
2 (q2z + Z2M)1/2
(32)
где множитель 2 связан с тем фактом, что любой
из двух электронов молекулы может быть захвачен.
x∓ = |B∓| (q2z + Z2M )1/2 ,
Наконец, парциальное сечение перезарядки, усред-
y∓ = |B∓| (q2z + 2IM )1/2 ,
ненное по всем ориентациям молекулы, вычисляется
где K0 и K1 функции Макдональда нулевого и
по формуле
первого порядков соответственно. Используя фор-
∫
1
мулу (32) в выражениях (26)
(28), можно найти
σ(v) =
σ(θρ, φρ)dΩρ ,
(28)
вероятности захвата Pn(b, v) и парциальные сече-
4π
ния перезарядки σn(θρ, φρ) (уравнение (27)) и σn(v)
где dΩρ = sin θρ dθρ dφρ.
(уравнение (28)) для процесса (30).
353
Ф.Ф. Горяев
ЖЭТФ, том 164, вып. 3 (9), 2023
2.3. Нормированные вероятности
сываем в виде
перезарядки и асимптотика при больших
1
энергиях
Pn(b, v)
3
P(N)n(b, v) =
(34)
∑
1
1+
Pk(b, v)
3
Поскольку выражение (18) для амплитуды пе-
k=n0
резарядки выведено в первом порядке теории воз-
Используя нормированные вероятности переза-
мущений, соответствующие вероятности и сечения
рядки (34) для вычисления парциальных сечений
перезарядки часто оказываются значительно завы-
σn(θρ, φρ) и σn(v) в соответствии с уравнениями (27)
шенными по сравнению с экспериментом, особенно в
√
и (28), можно затем получить полные сечения пере-
области малых относительных скоростей v ≲
2 |ω|.
зарядки σtot(v), суммируя парциальные сечения по
В этом случае вероятности переходов становятся
n:
больше 1 из-за нарушения условия унитарности в за-
∑
даче рассеяния. Для преодоления этой проблемы в
σtot(v) =
σn(v).
(35)
настоящей работе применяется метод многоканаль-
n=n0
ной нормировки для вероятности перезарядки (26),
ранее также использовавшийся в [22] для рассмотре-
ния ион-атомных столкновений. Нормированные ве-
2.4. Многозарядные ионы
роятности перезарядки P(N)(b, v) вычисляются сле-
Для налетающих ионов с электронной оболочкой
дующим образом:
(будем называть их многозарядными ионами) ради-
альные функции Rnl(r) оптического (или захвачен-
Pn(b, v)
ного) электрона в уравнении (25) рассматриваются
P(N)n(b, v) =
,
(33)
∑
в настоящей работе как водородоподобные, т.е.
1+
Pk(b, v)
k=n0
(r) = (Z∗)3/2RHnl(Z∗r) ,
(36)
l
где Pn(b, v) ненормированная вероятность одно-
где RHnl(r) являются радиальными функциями ато-
электронной перезарядки в состояние n налетаю-
ма водорода, а Z∗ эффективный заряд, в кото-
щего иона; сумма в знаменателе распространяется
ром движется оптический электрон в образовавшем-
на все конечные состояния k образующегося иона
ся ионе X(q-1)+ (см. также [22] для деталей). Име-
X(q-1)+; n0 минимальное главное квантовое чис-
ются две существенные причины для использования
ло, соответствующее нижней электронной оболочке
водородоподобных волновых функций. Во-первых,
иона X(q-1)+; nmax максимальное главное кванто-
захват электрона в высоковозбужденные (водородо-
вое число, учитываемое в расчетах. Процедура нор-
подобные) состояния многозарядных ионов вносит
мировки играет роль при низких и средних относи-
заметный вклад (для n ∼ q) в полные сечения пе-
тельных скоростях (v/q1/2 ≲ 1 - 2).
резарядки. Во-вторых, численные расчеты сечений
Другой важный момент, который учитывается
перезарядки в этом случае существенно упрощают-
в настоящей работе, касается асимптотического по-
ся (см. разд. 2.2).
ведения сечений одноэлектронной перезарядки при
Эффективный заряд Z∗ в водородоподобном
больших относительных скоростях сталкивающихся
приближении берется в виде
частиц (v/q1/2 ≫ 1). В работе [27] на примере столк-
√
новения H+ + H было показано, что в пределе боль-
Z∗ = n
2In ,
(37)
ших скоростей сечение перезарядки, вычисленное с
учетом второго порядка борновского приближения,
где In усредненная по электронной оболочке с но-
составляет около 1/3 от сечения, рассчитанного в
мером n энергия связи захваченного электрона в ко-
БК-приближении. Аналогичный результат был по-
нечном состоянии n образовавшегося иона X(q-1)+.
лучен в [28] для реакций, связанных с столкнове-
Когда n растет, Z∗ асимптотически приближается
ниями H+ + H и H+ + He. Реакция H+ + H2 была
к значению заряда q налетающего иона Xq+. Обыч-
исследована во втором порядке приближения Борна
но достаточно найти энергии связи In для несколь-
в работе [29], где было показано, что коэффициент,
ких (≈ 4-7) первых оболочек, начиная с нижней
равный примерно 1/3, также сохраняется. Основы-
электронной оболочки n0, чтобы получить условие
ваясь на этих результатах, выражение (33) перепи-
Z∗ ≃ q с хорошей точностью.
354
ЖЭТФ, том 164, вып. 3 (9), 2023
Одноэлектронная перезарядка при столкновениях быстрых ионов. . .
3. РЕЗУЛЬТАТЫ И ОБСУЖДЕНИЕ
Зависимость вероятности P(b) от ориентации моле-
кулы H2 иллюстрируется на примере реакции пере-
Для расчетов вероятностей и сечений перезаряд-
носа заряда
ки можно использовать разные волновые функции
мишени ΦM и ΦI в зависимости от значений пара-
H+ + H2 → H(1s) + H+2 .
(38)
метров c, ZM и ZI . Для эффективного заряда моле-
На рис. 1 вероятности перезарядки P(b) представ-
кулярного иона использовалось значение ZI = 1.4.
лены как функции параметра удара для энергий
В случае волновой функции молекулы H2 в расче-
столкновения 100 кэВ и 1 МэВ при фиксирован-
тах обычно используют три набора параметров c и
ных ориентациях молекулярной оси, соответствую-
ZM : для волновой функции, соответствующей пре-
щих углам θρ и φρ, равным 0, 45◦ и 90◦.
дельным атомным орбиталям, c = 0, ZM = 1.166
На рис. 1 видно, что величина P(b) слабо зави-
[30]; для промежуточной волновой функции Вайн-
сит от азимутального угла φρ для средней энергии
баума c = 0.256, ZM = 1.193 [31]; для предельных
столкновения 100 кэВ и полярных углов θρ = 45◦ и
молекулярных орбиталей c = 1, ZM = 1.193. Отли-
90◦. Этот вывод находится в согласии с результата-
чия в расчетах при использовании указанных трех
ми работы [13]. Зависимость вероятности перезаряд-
наборов параметров для волновой функции молеку-
ки от угла φρ для большой энергии 1 МэВ становит-
лы H2 в столкновении H+ + H2 обсуждались в ра-
ся более существенной. Далее, как видно на рис. 1,
ботах [8, 10], в которых авторы получили незначи-
процедура нормировки заметно уменьшает вероят-
тельные расхождения в результатах. В настоящей
ности перезарядки при 100 кэВ, тогда как для энер-
работе представлены результаты расчетов, выпол-
гии 1 МэВ нормированные вероятности P (b) прак-
ненные с волновой функцией Вайнбаума [31]; эта
тически совпадают с ненормированными. Числен-
функция также использовалась во многих исследо-
ные расчеты показывают, что нормировка вероятно-
ваниях (см., например, [8, 10,11, 14]) и считается в
стей играет существенную роль для энергий столк-
целом наилучшей волновой функцией молекулы H2
новения ∼ 10-100 кэВ, а при энергиях ≳ 200 кэВ
из указанных выше. Также, в соответствии с прин-
ее влияние становится незначительным. Расчеты ве-
ципом Франка-Кондона, межъядерное расстояние ρ
роятностей перезарядки, выполненные в настоящей
между протонами в молекуле H2 в расчетах прини-
работе для энергии столкновения 1 МэВ, хорошо со-
малось равным ρ = 1.4 ат.ед. до и после столкнове-
гласуются с результатами [14], которые также были
ния.
получены для процесса (38) в IP-приближении.
Далее, переходы в нечетное (ungerade) состояние
иона H+2 в расчетах не учитывались. Расчеты, вы-
3.2. Зависимость сечений перезарядки от
полненные в настоящей работе, показали, что вклад
в нечетное состояние пренебрежимо мал в сравне-
ориентации молекулы
нии с вкладом для перехода в четное (gerade) состя-
Интерференция между амплитудами рассеяния
ние иона H+2. В случае волновой функции Вайнбау-
от двух ядерных центров мишени H2 приводит к
ма разница для переходов в четное и нечетное состо-
ориентационным эффектам в сечениях перезаряд-
яния составляет приблизительно порядок величины.
ки. Процесс переноса возбуждения в столкновениях
Аналогичные выводы о переходах в нечетное состо-
быстрых протонов (0.3, 0.7, 1.0 и 1.3 МэВ) с моле-
яние и его незначительном вкладе в сечения переза-
кулами H2 был экспериментально исследован в ра-
рядки в сравнении с четным состоянием были также
ботах [32,33], где соответствующие дифференциаль-
получены в работах [8, 10, 14].
ные сечения измерялись как функции полярного уг-
ла θρ между осью молекулы и траекторией налета-
ющего иона. Эти измерения выявили существенную
3.1. Зависимость вероятностей перезарядки
угловую зависимость от ориентации молекул из-за
P (b) от ориентации молекулы
интерференционных эффектов, связанных с нали-
Рассмотрим сначала зависимость вероятности
чием двух атомных центров в молекуле H2.
перезарядки P (b) (см. уравнение (26)) как функции
Метод, представленный в настоящей работе, так-
параметра удара b от различных ориентаций моле-
же применяется к расчетам дифференциальных се-
кулярной оси. Плоскость рассеяния при этом пред-
чений одноэлектронной перезарядки в столкновени-
полагается фиксированной при азимутальном угле
ях H+ + H2 и сравнивается с экспериментальными
φb = 0 параметра удара b и рассматривается также
данными [32, 33] и с результатами других теорети-
как базисная плоскость для ориентации молекулы.
ческих расчетов. Значения дифференциальных се-
355
Ф.Ф. Горяев
ЖЭТФ, том 164, вып. 3 (9), 2023
H+ + H
: E = 100 keV
H+ + H
: E = 1 MeV
2
2
x 10-5
2.5
0.25
2
θ
= 0°
0.2
ρ
θ
= 0°
ρ
1.5
0.15
1
0.1
0.5
0.05
0
0
0
0.5
1
1.5
2
2.5
3
3.5
4
0
0.5
1
1.5
2
2.5
3
3.5
4
x 10-5
1.2
0.25
1
°
0.2
θ
= 45
0.8
θ
= 45°
ρ
ρ
0.15
0.6
0.1
0.4
0.05
0.2
0
0
0
0.5
1
1.5
2
2.5
3
3.5
4
0
0.5
1
1.5
2
2.5
3
3.5
4
x 10-5
2
0.25
0.2
1.5
θ
= 90°
θ
= 90°
ρ
ρ
0.15
1
0.1
0.5
0.05
0
0
0
0.5
1
1.5
2
2.5
3
3.5
4
0
0.5
1
1.5
2
2.5
3
3.5
4
Impact parameter b(a.u.)
Impact parameter b(a.u.)
+
Рис. 1. Вероятность перезарядки P (b) для реакции H+ +H2 → H(1s)+H
2
как функция параметра удара b при энергиях
100 кэВ (левая колонка) и 1 МэВ (правая колонка) для разных ориентаций молекулы H2. Сплошные кривые соответ-
ствуют ненормированным, а штриховые кривые нормированным вероятностям (в правой колонке, при энергии 1 МэВ,
сплошные и шриховые кривые практически совпадают). Цветные кривые маркируют разные азимутальные углы: φρ = 0
(черный), φρ = 45◦ (красный), φρ = 90◦ (синий). При энергии 1 МэВ и для ориентации θρ = 45◦ и φρ = 90◦, P (b)
пренебрежимо мало, но имеет максимум при b = 0
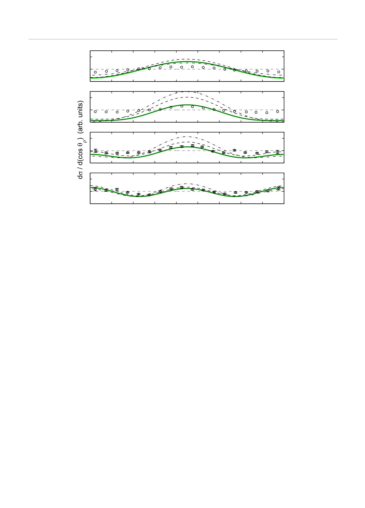
чений получаются путем интегрирования по поляр-
тате, интегрирование в уравнении (27) по углу φb
ным координатам (b, φb) параметра удара b в урав-
снимает зависимость от угла φρ и приводит к диф-
нении (27), где плоскость рассеяния берется фикси-
ференциальному сечению dσ/d(cosθρ) как функции
рованной при угле φb = 0 и является базисной плос-
полярного угла θρ.
костью для обоих азимутальных углов φb и φρ. Веро-
На рис. 2 представлены кривые зависимостей
ятность перезарядки P (b, v) содержит угол φρ в ви-
дифференциальных сечений перезарядки для реак-
де разности (φb - φρ) (см. уравнение (24)). В резуль-
ции H+ + H2 → H(n) + H+2 для энергий столкнове-
356
ЖЭТФ, том 164, вып. 3 (9), 2023
Одноэлектронная перезарядка при столкновениях быстрых ионов. . .
ния 0.3, 0.7, 1.0 и 1.3 МэВ. Расчеты сравниваются с
товым числам n конечных состояний налетающе-
измерениями [32, 33] для относительных дифферен-
го иона. Ниже рассчитанные в настоящей работе
циальных сечений. На рис. 2 показаны два расчета,
полные сечения одноэлектронной перезарядки (см.
полученных в настоящей работе: (i) одноэлектрон-
уравнение (35)) для нескольких налетающих ионов,
ная перезарядка в состояние 1s налетающего иона
являющихся голыми ядрами, сравниваются с экс-
(сплошная зеленая кривая) и (ii) сумма дифферен-
периментальными данными и результатами других
циальных сечений по состояниям n = 1-100 (сплош-
расчетов.
ная черная кривая). На рис. 2 видно, что эти две
Рисунок 3 демонстрирует результаты расчетов
кривые практически не отличаются для всех при-
с помощью метода, представленного в настоящей
веденных энергий. Настоящие расчеты также срав-
работе, для процесса захвата электрона у моле-
ниваются с расчетами из [32] (штриховые кривые),
кулы H2
протоном H+ в диапазоне энергий 2-
основанными на IP-методе [14], и результатами [12]
8000 кэВ/нуклон, которые сравниваются с измере-
(штрихпунктирные кривые), основанными на пер-
ниями и другими расчетами. На рис. 3 приведены
вом борновском приближении с корректными гра-
расчеты, основанные на следующих теоретических
ничными условиями (B1B). Все расчеты, представ-
методах (с указанием диапазонов энергий, для ко-
ленные на рис. 2, учитывают только канал электрон-
торых соответсвующие расчеты были проведены):
ного захвата в общем процессе передачи возбужде-
(1) модель сильной связи с атомными орбиталями
ния и основываются на предположении, что осталь-
(AO atomic-orbital) [13], в которой волновая функ-
ное возбуждение не влияет на угловую зависимость
ция молекулярной мишени H2 записывается в виде
(см. [32]). Следует отметить, что эксперименталь-
линейной комбинации атомных орбиталей для двух
ные исследования [34] по перезарядке в столкнове-
атомов молекулы, а амплитуда перезарядки пред-
ниях H+ + H2 показали, что процессы диссоциации и
ставляется в первом порядке теории возмущений
ионизации не вносят заметного вклада в сравнении
(AO 1); (2) метод классичееских траекторий Монте-
с механизмами недиссоциативного переноса заряда.
Карло [16, 17] (CTMC 1) и тот же метод с неко-
Рисунок 2 показывает, что наблюдаемые вариа-
торыми модификациями [18] (CTMC 2); (3) моле-
ции численных и экспериментальных данных каче-
кулярная версия первого порядка борновского при-
ственно находятся в согласии, которое также улуч-
ближения с корректными граничными условиями
шается количественно с увеличением энергии столк-
(B1B) и приближение Оппенгеймера-Бринкмана-
новения. Это, очевидно, является следствием ис-
Крамерса (OBK) из [35]; (4) метод искаженных ку-
пользования первого порядка борновского прибли-
лоновских волн (CDW), представленный работами
жения, которое имеет тенденцию к улучшению чис-
[19] (CDW 1) и [20] (CDW 2). Большинство экспери-
ленных результатов с ростом энергии столкновения.
ментальных измерений на рис. 3 взяты из компили-
Результаты всех расчетов относительно близки для
рованных данных, собранных в [36], и несколько из-
энергий 0.3 и 1.3 МэВ, тогда как для 0.7 и 1.0 МэВ
мерений в области больших энергий 2-8 МэВ/н вос-
они заметно различаются. Настоящие расчеты и из-
произведены из [37]. Стоит отметить заметную дис-
мерения также имеют очень хорошее согласие в об-
персию в экспериментальных данных, представлен-
ласти значений полярных углов θρ ≈ 60◦-120◦ для
ных на рис.3. Рекомендованные данные [38], собран-
энергий 0.7, 1.0 и 1.3 МэВ.
ные и оцененные на основе опубликованных экспе-
риментальных и теоретических данных, также пред-
ставлены на рис.3 и в среднем хорошо описывают
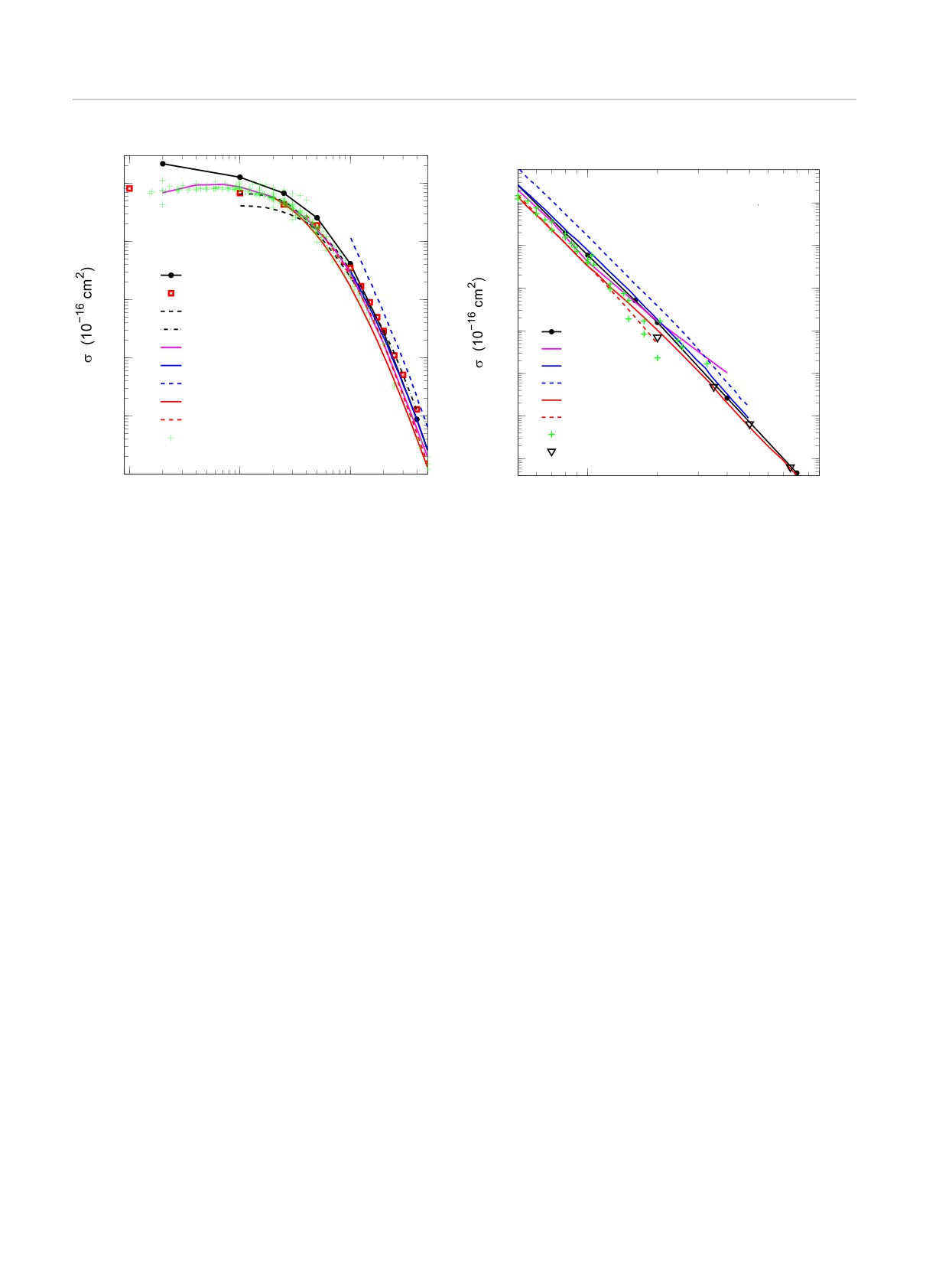
3.3. Полные сечения перезарядки:
измерения, собранные в [36].
налетающие голые ядра
Расчеты, представленные на рис. 3 и основанные
Эксперименты, связанные с измерениями сече-
на методах AO 1, B1B и OBK, соответствуют захва-
ний перезарядки в ион-молекулярных столкновени-
ту электрона только в состояние 1s атома H и по-
ях, обычно содержат информацию о столкновитель-
этому они недооценивают вклад перезарядки в со-
ных характеристиках, усредненных по всем моле-
стояния налетающего протона с n > 1. В то же вре-
кулярным ориентациям. Более того, в различных
мя, расчеты, основанные на приближениях CDW 1 и
приложениях часто требуются полные сечения пе-
CDW 2, учитывают электронный захват в состояния
резарядки как функции энергии (или относитель-
с n > 3 с помощью экстраполяции n-3 (см. разд. 1).
ной скорости) столкновения, усредненные по ори-
Результаты метода OBK [35] демонстрируют хорошо
ентациям молекулы и просуммированные по кван-
известную переоценку данных измерений фактора
357
Ф.Ф. Горяев
ЖЭТФ, том 164, вып. 3 (9), 2023
2
0.3 MeV
1
0
0
20
40
60
80
100
120
140
160
180
2
0.7 MeV
1
0
0
20
40
60
80
100
120
140
160
180
2
1 MeV
1
0
0
20
40
60
80
100
120
140
160
180
2
1.3 MeV
1
0
0
20
40
60
80
100
120
140
160
180
Orientation angle θ
(degree)
ρ
Рис. 2. Угловые распределения дифференциальных сечений одноэлектронной перезарядки для столкновения H+ +H2 при
энергиях 0.3, 0.7, 1.0 и 1.3 МэВ как функции полярного угла θρ. Кружки обозначают экспериментальные данные [32,33]
для процесса переноса возбуждения (интервал погрешностей для энергий 0.3 и 0.7 МэВ соответствует размеру кружков).
Сплошные кривые представляют результаты настоящей работы: толстые зеленые кривые соответствуют захвату элек-
трона в состояние 1s налетающего иона, а тонкие черные кривые представляют полные дифференциальные сечения,
просуммированные по состояниям n = 1 - 100. Штриховые кривые это расчеты [32], основанные на IP-формализме
[14]. Штрихпунктирные линии представляют расчеты [12] методом B1B (см. текст). Тонкие горизонтальные штриховые
линии сечения (приведенные к единице) без учета интерференционного члена при расчете сечений
3, который можно учесть во втором порядке прибли-
в пределах около 20% за исключением одной точки
жения Борна (см. разд. 2.3). Далее, на рис. 3a видно,
при 2 МэВ/н.
что при низких энергиях, E ≲ 25 кэВ/нуклон (от-
На рис. 4 представлены полные сечения одно-
носительная скорость v ≲ 1), результаты настоящей
электронной перезарядки для молекулярной мише-
работы заметно превышают другие расчеты и из-
ни H2 в столкновениях с ионами He2+. В дополнение
мерения, что связано с использованием основанно-
к численным расчетам, выполненным с помощью
го на теории возмущений приближения Борна. При
приведенных на рис. 3 методов, также представле-
низких энергиях столкновения преобладает квази-
ны расчеты, выполненные в [39] для одноэлектрон-
резонасный механизм захвата, который не учитыва-
ной перезарядки в области низких и средних энер-
ется в рамках борновского приближения. В области
гий (2-100 кэВ/нуклон) с помощью модели сильной
средних (v ∼ 1) и относительно высоких энергий
связи с атомными орбиталями (AO 2) с некоторы-
(E ≈ 100 - 500 кэВ/нуклон, v ≈ 2 - 4), настоящие
ми улучшениями и модификациями в сравнении с
расчеты превышают результаты методов CDW 1 и
методом AO 1 [13]. Расчеты методом AO 1 на рис.4
CDW 2, хорошо согласуются с расчетами B1B и в
включают только захват в состояния с n = 1 и n = 2
среднем находятся в согласии с измерениями в пре-
иона He+. Результаты B1B [40] получены расчетом
делах 30-50%. Рис. 3b показывает, что при больших
сечений перезарядки в состояния с n = 1 и 2, а со-
энергиях E ≈ 0.5-8 кэВ/нуклон результаты настоя-
стояния с n > 2 учтены с помощью экстраполяции
щей работы согласуются очень хорошо с расчетами
n-3. Экспериментальные данные на рис. 4 представ-
B1B и CDW 1 и лучше описывают измерения [37]
лены в основном компиляцией из [36], а также из-
358
ЖЭТФ, том 164, вып. 3 (9), 2023
Одноэлектронная перезарядка при столкновениях быстрых ионов. . .
+
H+ + H
→ H + H
2
2
+
H+ + H
→ H + H
2
2
101
(a)
10-4
(b)
100
10-5
Present
-6
10
AO 1
10-1
CTMC 1
CTMC 2
10-7
Present
Rec. data
Rec. data
10-2
B1B
B1B
10-8
OBK
OBK
CDW 1
CDW 1
-9
10-3
10
CDW 2
CDW 2
Exp. 1
Exp. 1
Exp. 2
10-10
10-4
100
101
102
103
104
E (keV/amu)
E (keV/amu)
Рис. 3. Полные сечения одноэлектронной перезарядки (уравнение (35)) в столкновениях H+ + H2 для энергий 2-
500 кэВ/нуклон (a) и 0.5-8 МэВ/н (b). Расчеты: сплошные черные кривые с закрашенными кружками настоящая
работа; красные квадратики
AO 1 [13] (1-400 кэВ/нуклон); штриховая черная кривая
CTMC 1 [16, 17] (10-
150 кэВ/нуклон); штрихпунктирная черная кривая CTMC 2 [18] (10-400 кэВ/нуклон); сплошные пурпурные кривые
рекомендованные данные [38] (2-4000 кэВ/нуклон); сплошные синие кривые B1B [35] (0.1-5 МэВ/н); штриховые синие
кривые OBK [35] (0.1-5 МэВ/н); сплошные красные кривые CDW 1 [19] (0.02-8 МэВ/н); штриховые красные кривые
CDW 2 [20] (40-2000 кэВ/нуклон). Эксперимент: зеленые крестики компилированные данные из [36]; перевернутые
треугольники
[37]
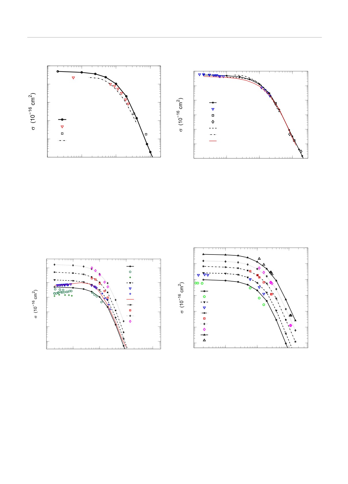
мерениями [41] и недавними данными [42]. Для об-
ты настоящей работы переоценивают эксперимен-
ласти энергий на рис. 4a можно сделать аналогич-
тальные данные [36] в пределах приблизительно
ные выводы, как и для рис. 3a: результаты насто-
50%. Недавние измерения [43] удовлетворительно
ящей работы демонстрируют превышение над дру-
согласуются с настоящими расчетами: при энергии
гими расчетами и измерениями при относительных
334 кэВ/нуклон согласие находится в пределах 30%,
скоростях v ≲ 1 и имеют хорошее согласие с реко-
а для энергии 752 кэВ/нуклон эксперимент превы-
мендованными и экспериментальными данными при
шает расчет приблизительно в 2 раза.
v ≈ 2 - 4. Также стоит отметить очень хорошее со-
гласие настоящих расчетов с недавними измерения-
Для иона C6+ результаты настоящей рабо-
ми [42] на рис. 4a и b, особенно для энергий около
ты сравниваются с расчетами CTMC 1 [16, 17] и
300-700 кэВ/нуклон, в пределах 20%.
CTMC 2 [18], а также с рекомендованными дан-
ными [44] и измерениями [36, 45, 46]. На рис. 5b
Рисунок 5 демонстрирует данные для полных се-
видно, что настоящие расчеты хорошо согласуются
чений перезарядки в столкновениях молекулы H2 с
с результатами CTMC 1 и CTMC 2 при средних
ионами B5+ (диаграмма a) и C6+ (диаграмма b).
(v
∼ 1) и больших энергиях столкнования и с
Для этих более тяжелых ионов имеющиеся расче-
рекомендованными данными при энергиях око-
ты и измерения не так многочисленны, как в случае
ло 100-1300 кэВ/нуклон. Далее, стоит заметить,
ионов H+ и He2+. Для иона B5+ настоящие расчеты
что наблюдается очень хорошее согласие между
сравниваются с расчетами CTMC 2 [18] и экспери-
настоящими результатами и компилированными
ментальными данными [36, 43]. При энергиях око-
экспериментальными данными [36] (включая даже
ло 100-200 кэВ/нуклон результаты CTMC 2 недо-
область низких энергий) в пределах около 30%.
оценивают измерения из [36], тогда как результа-
Кроме того, расчеты настоящей работы очень хо-
359
Ф.Ф. Горяев
ЖЭТФ, том 164, вып. 3 (9), 2023
2+
+
+
He
+ H
→ He+ + H
He2+ + H
→ He+ + H
2
2
2
2
10-2
(a)
(b)
101
10-3
10-4
100
Present
10-5
AO 1
AO 2
CTMC 1
10-1
CTMC 2
10-6
Present
Rec. data
Rec. data
B1B
B1B
OBK
CDW 1
10-7
OBK
CDW 2
CDW 1
10-2
Exp. 1
Exp. 1
Exp. 2
10-8
Exp. 3
Exp. 3
−9
10-3
10
100
101
102
103
104
E (keV/amu)
E (keV/amu)
унках
Рис. 4. То же, что на рис. 3 в столкновениях He2+ + H2 для энергий 2-500 кэВ/нуклон (a) and 0.5-8 МэВ/н (b).
Расчеты: сплошные черные кривые с закрашенными кружками настоящая работа; красные квадратики AO 1 [13]
(10-500 кэВ/нуклон); красные кружки AO 2 [39] (2-100 кэВ/нуклон); штриховая черная кривая CTMC 1 [16, 17]
(10-300 кэВ/нуклон); штрихпунктирная черная кривая CTMC 2 [18] (10-400 кэВ/нуклон); сплошные пурпурные кривые
рекомендованные данные [38] (2-1000 кэВ/нуклон); сплошные синие кривые B1B [40] (0.1-5 МэВ/н); штриховые
синие кривые OBK [40] (0.1-5 МэВ/н); сплошные красные кривые CDW 1 [19] (20-900 кэВ/нуклон); штриховые
красные кривые CDW 2 [20] (20-250 кэВ/нуклон). Эксперимент: зеленые крестики компилированные данные из [36];
перевернутые треугольники
[41]; закрашенные треугольники
[42]
Таблица 1. Полные сечения одноэлектронной перезарядки для столкновения O8+ + H2
E, кэВ/нуклон
500
625
781
1000
1250
σ, 10-16 см2
0.184
6.62·10-2
2.39·10-2
7.93·10-3
2.97·10-3
Данная работа
σ, 10-16 см2
0.56
0.18
7.2·10-2
2.2·10-2
9.6·10-3
[15]
рошо согласуются с измерениями [45] в пределах
щихся в расчетах сечений перезарядки, требуется
10%. Согласие с экспериментом [46] находится в
существенно больше экспериментальных данных.
пределах около 50%, причем расчет переоценивает
В работе [15] расчеты полных сечений одноэлек-
измерение для энергии
833
кэВ/нуклон, тогда
тронной перезарядки в столкновениях O8+ +H2 так-
как при
1830
кэВ/нуклон настоящий результат
же рассматривались в IP-представлении для энер-
недооценивает эксперимент. Сравнение расчетов
гий 500, 625, 781, 1000 и 1250 кэВ/нуклон. Вклад в
и имеющихся измерений для налетающих ионов
полное сечение захвата электрона в состояния n > 1
B5+ и C6+ показывает, что для надежных выводов
в [15] учитывался путем использования водородо-
о точности теоретических методов, использую-
подобных волновых функций un(Z) = n u1s(Z/n)
360
ЖЭТФ, том 164, вып. 3 (9), 2023
Одноэлектронная перезарядка при столкновениях быстрых ионов. . .
+
B5+ + H
→ B4+ + H
2
2
+
C6+ + H
→ C5+ + H
102
2
2
102
(a)
101
101
(b)
100
100
Present
Exp. 1
10-1
Exp. 2
10-1
Present
Exp. 3
Exp. 1
CTMC 1
10-2
Exp. 2
CTMC 2
10-2
CTMC 2
Rec. data
10-3
10-3
10-4
100
101
102
103
100
101
102
103
E (keV/amu)
E (keV/amu)
Рис. 5. То же, что на рис. 3 в столкновениях B5+ + H2 для энергий 2-1000 кэВ/нуклон (a) и в столкновениях C6+ + H2
для энергий 2-2000 кэВ/нуклон (b). Расчеты: сплошные черные кривые с закрашенными кружками настоящая работа;
штриховая черная кривая CTMC 1 [16, 17] (10-500 кэВ/нуклон); штрихпунктирная черная кривая CTMC 2 [18]
(15-400 кэВ/нуклон); сплошная красная кривая на диаграмме (b) рекомендованные данные [44] (2-1300 кэВ/нуклон).
Эксперимент: перевернутые треугольники на диаграммах (a) и (b) компилированные данные из [36]; квадратики на
диаграмме (a) из [43]; квадратики на диаграмме (b) данные [45]; ромбики на диаграмме (b) данные [46]
103
102
102
N5+ - calc.
N5+ - exp.1
N5+ - MCC
101
101
O5+
- calc.
O5+ - exp.1
Fe5+
- calc.
O5+ - exp.2
100
100
Fe5+ - exp.
O5+ - rec.data
Fe6+
- calc.
Si5+ - calc.
-1
Fe6+ - exp.
10-1
Si5+ - exp.1
10
Fe9+ - calc.
Si6+ - calc.
Fe9+
- exp.
Si6+ - exp.1
Fe12+ - calc.
10-2
10-2
Fe12+ - exp.
Fe14+ - calc.
10-3
Fe14+ - exp.
10-3
3
100
101
102
103
104
100
101
102
10
E (keV/amu)
E (keV/amu)
Рис. 6. Полные сечения одноэлектронной перезарядки в столкновениях Xq+ +H2 для ионов Xq+ = {N5+, O5+, Si5+, Si6+}
(на левой диаграмме) и Xq+ = {Fe5+, Fe6+, Fe9+, Fe12+, Fe14+} (на правой диаграмме). Представленные данные для се-
чений масштабированы следующим образом: N5+ × 0.1, O5+ × 0.3, Si6+ × 3, Fe5+ × 0.2, Fe6+ × 0.5, Fe12+ × 2, Fe14+ × 5.
Расчеты: результаты настоящей работы обозначены как ¾calc.¿; зеленые крестики на левой диаграмме метод молеку-
лярной сильной связи (MCC molecular close-coupling) [48] для иона N5+; сплошная красная кривая на левой диаграмме
рекомендованные данные [44] для иона O5+. Эксперимент: данные, обозначенные как ¾exp.1¿ на левой диаграмме
и ¾exp.¿ на правой, из работы [36]; данные, обозначенные как ¾exp.2¿, из работы [49] для иона O5+. Для упрощения
зрительного восприятия кривые с результатами расчетов обозначаются теми же значками, что и соответствующие экс-
периментальные данные
361
4
ЖЭТФ, вып. 3 (9)
Ф.Ф. Горяев
ЖЭТФ, том 164, вып. 3 (9), 2023
(см., например, [47]) для конечных состояний иона.
мерно 2 кэВ/нуклон и областью средних энергий
В таблице приведено сравнение настоящих расчетов
60-160 кэВ/нуклон. При низких энергиях рассчи-
с данными [15]. Значения полных сечений из работы
танные полные сечения переоценивают эксперимент
[15] приблизительно в 3 раза превышают значения,
приблизительно на 70% для иона Fe5+ и 20% для
полученные в настоящей работе. Это различие свя-
иона Fe6+. Для энергий 60-160 кэВ/нуклон вы-
зано главным образом с асимптотикой сечений пе-
численные полные сечения начинают превышать
резарядки при больших энергиях, так как в [15] не
эксперимент с ростом энергии от примерно 30%
учитывалась поправка, связанная со вторым поряд-
до 2-2.5 раз. Измерения для иона Fe9+ покрыва-
ком борновского приближения (см. разд. 2.3).
ют область энергий 60-300 кэВ/нуклон: при энер-
гиях около 60-200 кэВ/нуклон расчеты и экспе-
римент согласуются хорошо в пределах 30%, то-
3.4. Полные сечения перезарядки:
гда как при E
> 200 кэВ/нуклон вычисленные
многозарядные ионы
полные сечения превышают эксперимент пример-
Результаты расчетов полных сечений одноэлек-
но в 1.5 раза. Наконец, экспериментальные дан-
тронной перезарядки для нескольких многозаряд-
ные для ионов Fe12+ и Fe14+ представлены обла-
ных ионов, относящихся к элементам N, O, Si и Fe,
стью энергий 116-1160 кэВ/нуклон. Для энергий
представлены на рис. 6. Вычисленные сечения пе-
E ≲ 300 кэВ/нуклон расчет и измерения имеют хо-
резарядки для всех ионов сравниваются с экспери-
рошее согласие в пределах примерно 30% (за исклю-
ментальными данными из [36]. Дополнительно, для
чением энергии 116 кэВ/нуклон в случае иона Fe14+,
целей сравнения приводятся также расчеты мето-
где отличие составляет примерно 50%). При боль-
дом молекулярной сильной связи (MCC molecular
ших энергиях около 1100 кэВ/нуклон рассчитанные
close-coupling) [48] при низких энергиях для иона
полные сечения превышают измерения примерно в
N5+, а также экспериментальные [49] и рекомендо-
2-2.5 раза.
ванные данные [44] для иона O5+. В случае ионов
Сравнение показывает в целом хорошее согласие
N5+, O5+, Si5+ и Si6+ захват электрона происходит
между расчетами и экспериментом для многозаряд-
в состояния с n ≥ 2, а для рассматриваемых ионов
ных ионов в области средних энергий столкновения,
элемента Fe в состояния с n ≥ 3.
что достигается благодаря процедуре нормировки
для вероятностей перезарядки (см. разд. 2.3). Замет-
На рис.
6
видно, что настоящие расчеты
для ионов N5+ и O5+ при низких энергиях
ные различия при более высоких энергиях могут
быть предположительно вызваны учетом поправки,
2-10
кэВ/нуклон завышены в сравнении с из-
мерениями в среднем приблизительно в
2
раза,
связанной со вторым порядком борновского прибли-
жения, в вероятностях перезарядки. Этот вопрос
а MCC расчеты для иона O5+ недооценивают
эксперимент примерно на 50%. Результаты насто-
следует прояснить и уточнить в случае электрон-
ящей работы для иона N5+ при средних энергиях
ного захвата в ионные состояния с n > 1. Эта про-
блема выходит за рамки данной работы и является
50-120 кэВ/нуклон согласуются с эксперименталь-
ными данными [36] в пределах 50%. Согласие с
предметом отдельного рассмотрения.
экспериментальными данными [36] при энергиях
50-80 кэВ/нуклон для иона O5+ очень хорошее в
4. ЗАКЛЮЧЕНИЕ
пределах 15%, тогда как согласие с эксперимен-
том [49] в области энергий 125-250 кэВ/нуклон
В настоящей работе рассмотрен процесс одно-
лучше при более низких энергиях в пределах
электронной перезарядки при столкновениях быст-
примерно 30% и становится хуже для более высо-
рых ионов с молекулярным водородом. Модельный
ких энергий около 50-80%. Измерения для ионов
подход, ранее использованный при рассмотрении
Si5+ и Si6+ представлены областью энергий 50-
ион-атомных столкновений в [21, 22], разработан и
200
кэВ/нуклон. Для этих ионов вычисленные
расширен на ион-молекулярные столкновения. Тео-
полные сечения перезарядки согласуются с экс-
ретический метод для расчета сечений одноэлек-
периментом при E ≲ 100 кэВ/нуклон в пределах
тронной перезарядки, соответсвующей процессу (1),
20%, а для энергий > 100 кэВ/нуклон различие
сформулирован в представлении параметра удара
составляет приблизительно 1.5-2 раза.
с использованием БК-приближения для амплитуды
перезарядки. Чтобы в задаче рассеяния учесть на-
Экспериментальные данные на рис. 6 для ионов
рушение условия унитарности в области низких и
Fe5+ и Fe6+ представлены низкими энергиями при-
362
ЖЭТФ, том 164, вып. 3 (9), 2023
Одноэлектронная перезарядка при столкновениях быстрых ионов. . .
средних энергий столкновения, применяется проце-
ЛИТЕРАТУРА
дура многоканальной нормировки вероятностей за-
1.
H. Knudsen, H. K. Haugen, and P. Hvelplund, Phys.
хвата, которые затем используются для вычисления
Rev. A 24, 2287 (1981).
сечений одноэлектронной перезарядки.
2.
I. Tolstikhina, M. Imai, N. Winckler, and V. Shevelko,
Basic Atomic Interactions of Accelerated Heavy Ions
Разработанный метод позволяет исследовать как
in Matter, Springer Series on Atomic, Optical, and
ориентационные эффекты при столкновениях быст-
Plasma Physics, Vol.
98, Springer-Verlag GmbH
рых ионов с молекулярными мишенями, так и вы-
(2018).
числять сечения одноэлектронной перезарядки. В
целом, получено хорошее согласие с измерениями
3.
V. P. Shevelko, P. Scharrer, C. E. Düllmann et al.,
и другими расчетами в области средних и высоких
NIMB 428, 56 (2018).
энергий столкновения молекулы H2 как с голыми
4.
P. Scharrer, C. E. Düllmann, W. Barth et al., Phys.
ядрами, так и с многозарядными ионами. Расче-
Rev. Acceler. Beams 20, 043503 (2017).
ты полных сечений перезарядки в настоящей рабо-
те очень хорошо согласуются с измерениями в слу-
5.
Y. T. Oganessian, V. K. Utyonkov, Y. V. Lobanov,
чае голых ядер, и это согласие составляет в сред-
et al., Phys. Rev. C 64, 064309 (2001).
нем около 20-50%. В случае многозарядных ионов,
6.
Y. T. Oganessian and V. K. Utyonkov, Rep. Progr.
рассмотренных в работе, наблюдается хорошее со-
Phys. 78, 036301 (2015).
гласие, около 30%, между расчетами и измерения-
ми в области средних энергий. Для высоких энер-
7.
J. Khuyagbaatar, V. P. Shevelko, A. Borschevsky, et
гий столкновения различия в случае многозарядных
al., Phys. Rev. A 88, 042703 (2013).
ионов достигают фактора 1.5-2.5, что предположи-
8.
T. F. Tuan and E. Gerjuoy, Phys. Rev. 117, 756
тельно связано с тем, что захват для этих ионов про-
(1960).
исходит в состояния с n > 1. В этом случае требует-
ся уточнение поправки, связанной с учетом второ-
9.
P. P. Ray and B. C. Saha, Phys. Lett. A 71, 415
го борновского приближения. Другая причина этих
(1979).
различий может быть связана с тем, что данные
10.
P. P. Ray and B. C. Saha, Phys. Rev. A 23, 1807
измерений для многозарядных ионов, связанные с
(1981).
процессом (1), немногочисленны (особенно для вы-
соких энергий), и для надежных выводов о точно-
11.
N. C. Deb, A. Jain, J. H. McGuire, Phys. Rev. A 38,
сти расчетов требуется больше экспериментальной
3769 (1988).
информации.
12.
E. G. Adivi, J. Phys. B 42, 095207 (2009).
13.
R. Shingal, C. D. Lin, Phys. Rev. A 40, 1302 (1989).
Результаты настоящей работы могут быть ис-
пользованы в разных приложениях, таких как физи-
14.
Y. D. Wang, J. H. McGuire, R. D. Rivarola, Phys.
ка плазмы, физика ускорителей, ядерная физика и
Rev. A 40, 3673 (1989).
др. Разработанный и использованный в этой работе
15.
Y. D. Wang and J. H. McGuire, Phys. Rev. A 44,
метод для водородной молекулярной мишени может
367 (1991).
быть расширен и применен к более сложным двух-
атомным гомоядерным молекулам, таким как N2,
16.
L. Meng, C. O. Reinhold, R. E. Olson, Phys. Rev. A
O2, и др. Дальнейшая работа по развитию представ-
40, 3637 (1989).
ленного метода связана с включением в настоящую
17.
L. Meng, C. O. Reinhold, R. E. Olson, Phys. Rev. A
модель первого порядка борновского приближения
42, 5286 (1990).
с корректными граничными условиями (B1B), ко-
торый был рассмотрен в [35,40] при столкновениях
18.
C. Illescas and A. Riera, Phys. Rev. A 60,
4546
ионов H+ и He2+ с мишенью H2.
(1999).
19.
H.F. Busnengo, S.E. Corchs, R.D. Rivarola, Phys.
Rev. A 57, 2701 (1998).
Благодарности. Автор хотел бы поблагодарить
В.П. Шевелько (ФИАН) за полезные дискусии и
20.
S. Halder, S. Samaddar, K. Purkait, et al., Indian J.
поддержку этой работы.
Phys. 94, 151 (2020).
363
4*
Ф.Ф. Горяев
ЖЭТФ, том 164, вып. 3 (9), 2023
21.
V. P. Shevelko, J. Phys. B 13, L319 (1980).
37.
W. Schwab, G. B. Baptista, E. Justiniano, et al., J.
Phys. B 20, 2825 (1987).
22.
V. P. Shevel’ko, J. Tech. Phys. 46, 1225 (2001).
38.
C. F. Barnett, H. T. Hunter, M. I. Fitzpatrick, et al.,
23.
Atomic data for fusion, Vol. 1 (1990).
24.
D. R. Bates and R. McCarroll, Proc. Royal Soc.
39.
W. Fritsch, Phys. Rev. A 46, 3910 (1992).
London A 245, 175 (1958).
25.
D. R. Bates, Proc. Royal Soc. London A 247, 294
40.
S. E. Corchs, R. D. Rivarola, J. H. McGuire, et al.,
(1958).
Physica Scripta 50, 469 (1994).
26.
R.M. May, Phys. Rev. 136, 669 (1964).
41.
M. E. Rudd, T. V. Goffe, A. Itoh, Phys. Rev. A 32,
2128 (1985).
27.
R. M. Drisko, Ph.D. thesis, Carnegie-Mellon
University (1955).
42.
M. M. Sant’anna, W. S. Melo, A. C. Santos, et al.,
Phys. Rev. A 61, 052717 (2000).
28.
A. M. Brodskiˇi, V. S. Potapov, V. V. Tolmachev,
Soviet JETP 31, 144 (1970).
43.
I. S. Dmitriev, Y. A. Teplova, Y. A. Belkova, et al.,
Soviet JETP 98, 918 (2004).
29.
V. S. Potapov, Soviet JETP 36, 228 (1973).
30.
S. C. Wang, Phys. Rev. 31, 579 (1928).
44.
R. Phaneuf, R. Janev, and M. Pindzola, Atomic data
for fusion, Vol. 5 (1987).
31.
S. Weinbaum, J. Chem. Phys. 1, 593 (1933).
45.
W. G. Graham, K. H. Berkner, R. V. Pyle, et al.,
32.
K. Støchkel, O. Eidem, H. Cederquist, et al., Phys.
Phys. Rev. A 30, 722 (1984).
Rev. A 72, 050703 (2005).
46.
R. Anholt, X. Y. Xu, C. Stoller, et al., Phys. Rev. A
33.
D. Fischer, M. Gudmundsson, K. Støchkel, et al., J.
37, 1105 (1988).
Phys. Conf. Series, Vol. 88, 012021 (2007).
47.
J. Eichler and F.T. Chan, Phys. Rev. A 20, 104
34.
M. B. Shah, P. McCallion, H. B. Gilbody, J. Phys. B
(1979).
22, 3983 (1989).
35.
S.E. Corchs, R.D. Rivarola, J.H. McGuire, et al.,
48.
L. F. Errea, L. Fernández, A. Mac´ıas, et al., Phys.
Phys. Rev. A 47, 201 (1993).
Rev. A 69, 012705 (2004).
36.
H. Tawara, T. Kato, and Y. Nakai, At. Data Nucl.
49.
E. C. Montenegro, G. M. Sigaud, and
Data Tables 32, 235 (1985).
W. E. Meyerhof, Phys. Rev. A 45, 1575 (1992).
364