ЖЭТФ, 2023, том 164, вып. 3 (9), стр. 406-412
© 2023
МАГНИТНЫЙ ОТКЛИК ЭЛЕКТРОНОВ ПРОВОДИМОСТИ В
НЕМАГНИТНЫХ ГЕКСАБОРИДАХ YB6, LaB6 И YbB6 С
ЭЛЕКТРОННОЙ И СТРУКТУРНОЙ НЕУСТОЙЧИВОСТЬЮ
Н. Е. Случанкоa*, А. В. Кузнецовb, А. Н. Азаревичa, А. В. Богачa, Н. Ю. Шицеваловаc,
С. Е. Половецc, В. Б. Филиповc, А. Ю. Цветковd, C. Ю. Гаврилкинd
a Институт общей физики им. А.М. Прохорова Российской академии наук
119991, Москва, Россия
b Национальный исследовательский ядерный университет (МИФИ)
115409, Москва, Россия
c Институт проблем материаловедения им. И.Н. Францевича, Национальной академии наук Украины
03142, Киев, Украина
d Физический институт им. П. Н. Лебедева Российской академии наук
119991, Москва, Россия
Поступила в редакцию 14 марта 2023 г.,
после переработки 28 марта 2023 г.
Принята к публикации 28 марта 2023 г.
Выполнены детальные исследования и предложена процедура разделения вкладов в намагниченность
монокристаллов немагнитных гексаборидов YB6, LaB6 и YbB6. Показано, что малые отрицательные
значения электронной восприимчивости χe(T ) в металлах YB6, LaB6 определяются, по-видимому, ма-
лым значением эффективной массы зонных носителей m∗ ∼ 0.5m0, что приводит к взаимной компен-
сации паулиевской компоненты и диамагнетизма Ландау. Обнаружены изменения χe(T ) в интервалах
T < T∗ ∼ 50K и T > 150K, которые связываются с переходом порядок-беспорядок ниже T∗ и вкладом
носителей, обусловленным ян-теллеровской структурной неустойчивостью борного каркаса.
DOI: 10.31857/S0044451023090092
проводимости. Недавно было обнаружено, что
EDN: KCWOAN
в гексаборидах GdxLa1-xB6 и YB6 с редкозе-
мельными (РЗ) и переходными ионами развитие
1. ВВЕДЕНИЕ
ян-теллеровской (ЯТ) неустойчивости в кластерах
Исследование магнитных свойств электронов
B6 приводит к появлению коллективных возбуж-
проводимости в металлах и полупроводниках
дений в инфракрасном (ИК) диапазоне спектра
представляет значительный интерес, поскольку
проводимости [12-14]. Эти коллективные ЯТ-моды
позволяет получить необходимую информацию
в интервале 200-1500 см-1, в свою очередь, обуслов-
о плотности электронных состояний g(εF ) на
ливают возникновение квазилокальных колебаний
уровне Ферми εF , перенормировке g(εF ) вследствие
РЗ-ионов на частотах порядка 100-200 см-1, при-
электрон-электронных взаимодействий различной
водя к периодическому изменению гибридизации
природы [1, 2], разупорядочении [3, 4], особенностях
состояний 4d/5d (переходный/РЗ-ион) и 2p (бор),
перехода в сверхпроводящее состояние в традици-
формирующих зону проводимости [15], и в резуль-
онных и нетрадиционных сверхпроводниках [5-7],
тате к модуляции g(εF ) [16]. Было показано, что
характере перехода металл-изолятор в квазиод-
в коллективные возбуждения в спектрах оптиче-
номерных и двумерных проводниках [8-11] и др.
ской проводимости гексаборидов RB6 включена
Одним из интересных и малоизученных вопро-
значительная часть зонных носителей (более 70%
сов является влияние динамической структурной
в LaB6 [12, 13] и до 90% в YB6 [14]). Кроме то-
неустойчивости на магнитный отклик электронов
го, в гексабориде YB6 при T∗ ∼ 50 К в [17] был
обнаружен переход порядок-беспорядок в фазу
* E-mail: nes@lt.gpi.ru
406
ЖЭТФ, том 164, вып. 3 (9), 2023
Магнитный отклик электронов проводимости...
a
b
c
Рис. 1. Полевые зависимости намагниченности образцов YB6 #4 (a) и YB6 #1 (b), измеренные при разных температу-
рах. (c) Скейлинг намагниченности образца YB6 #1 mL = m(H,T)-χ0(T)H. Кривые, расположенные на панели c ниже
горизонтальной линии, отвечают интервалу T ≥ 10 K
каркасного стекла. Насколько нам известно, маг-
вкладов на монокристаллах немагнитного гексабо-
нитный вклад электронов проводимости в металлах
рида YB6, различающихся (i) изотоп-составом по
со структурной ян-теллеровской неустойчивостью и
бору, (ii) концентрацией вакансий в подрешетках
коллективными оптическими модами к настоящему
бора и иттрия и (iii) разупорядочением подреше-
времени практически не исследовался. Результаты
ток металла и бора, индуцированным примесями
недавних ЯМР-измерений YB6 свидетельствуют об
замещения циркония и углерода соответственно.
отсутствии сдвига Найта KS на ядрах бора11B и
Дополнительную информацию может дать со-
сравнительно небольшой величине KS ∼ -200 ppm
поставление результатов, полученных для этого
на ядрах иттрия89Y [18]. Поскольку обычно в
металла, находящегося на границе структурной
металлах между KS и спиновой восприимчивостью
неустойчивости ряда RB6 [17, 21], с магнитными
носителей существует линейная связь, отсутствие
свойствами других немагнитных металлов (LaB6) и
магнитного отклика от 2p-компоненты электронов
полупроводников (YbB6) в семействе гексаборидов.
проводимости, составляющих около 40% зонных
состояний, гибридизованных с
4d-состояниями
2. ЭКСПЕРИМЕНТАЛЬНЫЕ МЕТОДЫ
ионов Y3+
[15], представляется необычным. Ре-
зультаты предварительных измерений статической
В работе исследовались высококачественные мо-
восприимчивости, выполненных нами на порош-
нокристаллы YB6 с природным (18.9%10B и 81.1%
ковых образцах YB6
[18], оставляют вопросы в
11B) и изотопически чистым (99.5%11B) бором с
силу большого количества сложных для анализа
различной концентрацией вакансий Y и B (образ-
магнитных вкладов, включая ферромагнитную
цы #1, #3 и #4 с температурой сверхпроводяще-
компоненту от поверхности гексаборидов, наблю-
го перехода Tс ≃ 7.4 К, 6.2 К и 4.2 К соответствен-
давшуюся ранее в [19, 20]. Учитывая изложенное
но, см. [17]), а также твердые растворы замеще-
выше, представляет интерес исследовать магнит-
ния Y0.99Zr0.01B6 и YB5.95C0.05, выращенные мето-
ную восприимчивость и провести анализ магнитных
дом вертикальной бестигельной индукционной зон-
407
Н.Е. Случанко, А.В. Кузнецов, А.Н. Азаревич, А.В. Богач, Н.Ю. Шицевалова и др.ЖЭТФ, том 164, вып.3 (9), 2023
ной плавки в атмосфере аргона [21,22]. Для сравне-
ния были измерены монокристаллы металла LaB6 и
немагнитного полупроводника YbB6. Характериза-
ция кристаллов проводилась с использованием рент-
геноструктурного, оптического спектрального ана-
лиза и микроанализа, а также при измерениях со-
противления и эффекта Холла. Магнитные измере-
ния были выполнены в ИОФРАН и ЦКП ФИАН на
установках MPMS-5 (Quantum Design) в интервале
температур 2-400 К в магнитном поле до 50 кЭ.
3. РЕЗУЛЬТАТЫ
Рис. 2. Температурные зависимости магнитной восприим-
На рис.1 представлены полевые зависимости на-
чивости χ0(T ) образцов YB6 #1 и YB6 #4, полученные
магниченности образцов YB6 #1 и YB6 #4 (см. [17]),
из полевых (крупные символы) и температурных (мелкие
измеренные при температурах в интервале 2-280 К в
символы) зависимостей намагниченности, измеренных в
поле, приложенном вдоль кристаллического направ-
полях H = 2 кЭ и 50 кЭ
ления 〈110〉. Вертикальные линии на рис. 1a соответ-
ствуют переходу в сверхпроводящее состояние, на-
линг намагниченности был выполнен для образца
блюдающемуся в YB6 при низких температурах в
YB6 #4. Полученные зависимости χ0(T ) для кри-
малых полях [17]. На рис. 1b аналогичные перехо-
сталлов YB6 #1 и YB6 #4 показаны крупными сим-
ды не показаны, чтобы не загромождать его несу-
волами на рис.2.
щественной информацией. Как видно на рис.1, экс-
С целью выяснения вида кривых электронной
периментальные кривые m(H, T ) нелинейны и при
восприимчивости χe(T) для всех исследованных мо-
низких температурах в полях до 50 кЭ далеки от на-
нокристаллов YB6 в полях H
= 2кЭ и 50кЭ и
сыщения, причем вид кривых указывает на наличие
интервале температур 2-400 К измерялись темпера-
нескольких магнитных вкладов различных знаков.
турные зависимости намагниченности m(T). Для со-
Нелинейное поведение намагниченности, а также
поставления в работе были измерены также зависи-
кюри-вейссовская температурная зависимость па-
мости m(T ) монокристаллов LaB6 и YbB6. По срав-
рамагнитного вклада (см. рис. 3 ниже) обусловле-
нению с другими гексаборидами парамагнитный
ны присутствием локальных магнитных моментов
вклад в намагниченность m(T ) соединения Yb2+B6
(ЛММ), которые, согласно анализу [17], следует свя-
имеет кюри-вейссовский вид с очень малой парамаг-
зать с комплексами вакансий бора в матрице гекса-
нитной температурой Θp ∼ -0.5 K и характеризует-
боридов. Полученные из эксперимента в [17] оцен-
ся существенно большей амплитудой, что объясня-
ки величины магнитных моментов µeff = 2.8-4.3µB
ется присутствием в образцах малой концентрации
(µB
магнетон Бора), находятся в хорошем со-
магнитных ионов Yb3+ [24]. Для примера на рис. 3a
гласии с результатом расчетов µeff
= 2.36µB для
показано семейство кривых m(T )/H, полученное в
кластеров, содержащих вакансии бора в матрице
поле H = 50 кЭ.
RB6 [23].
С учетом слабой нелинейности кривых
Для разделения магнитных вкладов в настоя-
mL(µBH/kBT) в интервале температур T ≥ 10 K
щей работе был выполнен скейлинг намагниченно-
(см., например, рис. 1c) анализ намагниченности
сти mL = m - χ0H, где mL(µBH/kBT) намаг-
проводился с использованием разложения в ряд
ниченность локальных магнитных моментов, kB
по степеням H/T с сохранением ввиду нечетно-
постоянная Больцмана, а χ0(T ) = χe + χi не свя-
сти функции mL(H) = -mL(-H) лишь членов с
занная с ЛММ восприимчивость, состоящая из диа-
нечетными степенями. Оставляя первые два члена
магнитного вклада ионов решетки χi = const и ис-
разложения, имеем mL = C · H/T + a · (H/T )3. В
комой магнитной восприимчивости электронов про-
используемом приближении, как и при анализе по-
водимости χe(T ). Полагая величину ЛММ не зави-
левых кривых, мы полагаем, что ЛММ не меняются
сящей от температуры и принимая аргументом от-
с температурой, т.е. C = NAµ2/3kB = const (NA
ношение µB H/kBT , мы использовали χ0(T ) в ка-
число Авогадро). При этом для полной намагничен-
честве подгоночного параметра и построили кри-
ности в фиксированном магнитном поле выполняет-
вую mL(µBH/kBT) (см. рис.1c). Аналогичный скей-
ся соотношение m = C · H/T + a · (H/T )3 + χ0H, и в
408
ЖЭТФ, том 164, вып. 3 (9), 2023
Магнитный отклик электронов проводимости...
a
b
Рис.
3. Температурные зависимости восприимчивости m(T )/H, измеренные в поле H
= 50 кЭ (а) и кривые
χ = χ0(T) + C/T, построенные из анализа в рамках соотношения (1) двух зависимостей m(T)/H, измеренных в по-
лях H = 50 кЭ и 2 кЭ (b). Тонкими черными линиями на панели (b) показана аппроксимация кривых χ(T) функцией
C/T + χ∗0
результате из экспериментальной кривой можно вы-
Таблица 1. Параметры магнитных вкладов в RB6
делить температурную зависимость суммы вкладов
χ∗0 · 105,
χi · 105,
µ · 103,
χ0 + C/T = m(T)/H - aH2/T3. Используя две тем-
Samples
emu/mol emu/mol µB per f.u.
пературные кривые намагниченности, измеренные в
YbB6
-3.0
-2.12
15.5
полях 2 кЭ и 50 кЭ, и выражая параметр a/T3 из со-
LaB6
-7.5
-2.12
0.61
отношения m1/H1 -(a/T3)H21 = m2/H2 -(a/T3)H22,
YB6(#1)
-6.17
-1.32
1.5
получим искомую температурную зависимость в
виде
YB6(#3)
-5.82
-1.32
2.2
m1(T)
m2(T)
(H1)2
YB6(#4)
-5.35
-1.32
3.7
-
C
H1
H2
H2
Y(Zr)B6
-5.64
-1.32
1.7
χ0 +
=
(1)
T
1 - (H1/H2)2
YB(C)6
-5.83
-1.32
0.95
Вычитая из правой и левой частей (1) зави-
симость Кюри и известный диамагнитный вклад
очень слабая температурная зависимость электрон-
ионов решетки χi
= const (см. таблицу и рабо-
ной восприимчивости χe в интервале 50-150 К. При
ту [25]), получим магнитную восприимчивость элек-
этом компонента χe(Т), состоящая из паулиевского
тронов проводимости:
парамагнитного вклада и диамагнитной восприим-
3
чивости Ландау, в приближении эффективной мас-
m1(T) - m2(T)(H1/H2)
C
χe =
[
]
-
-χi.
(2)
сы может быть представлена в виде
H1
1 - (H1/H2)2
T
(
)
χe = g(εF )µ2B
1 - (1/3)(m0/m∗)2
,
(3)
Зависимости χ0 +C/T и χe(T), построенные для
YB6, YbB6 и LaB6, показаны на рис. 3b и 4 соответ-
где m0
масса электрона и m∗
эффективная
ственно. Как видно на рис.4a, электронные вклады
масса зонных носителей заряда. Представленные
в магнитную восприимчивость исследованных в на-
на рис. 3 и в таблице большие отрицательные зна-
стоящей работе кристаллов различаются, поэтому
чения χ0(Т) и χ∗0 свидетельствуют о том, что во
для удобства их сравнения между собой на рис. 4b
всех исследованных в работе немагнитных гекса-
показаны также кривые приведенной электронной
боридах для зонных носителей выполняется усло-
восприимчивости χe(T)/χe(100 K).
вие m∗ < 0.58m0, что согласуется как с оценкой
m∗ ∼ 0.5m0 для YB6 [14] и LaB6 [26], так и с ре-
4. ОБСУЖДЕНИЕ
зультатами m∗ ∼ 0.2m0 ARPES [27] и m∗ ∼ 0.27m0
Как видно на рис.4a, общим свойством всех
оптических исследований [14], полученными для по-
исследуемых в работе соединений RB6 является
лупроводника YbB6. В случае YbB6 большой отри-
409
7
ЖЭТФ, вып. 3 (9)
Н.Е. Случанко, А.В. Кузнецов, А.Н. Азаревич, А.В. Богач, Н.Ю. Шицевалова и др.ЖЭТФ, том 164, вып.3 (9), 2023
a
b
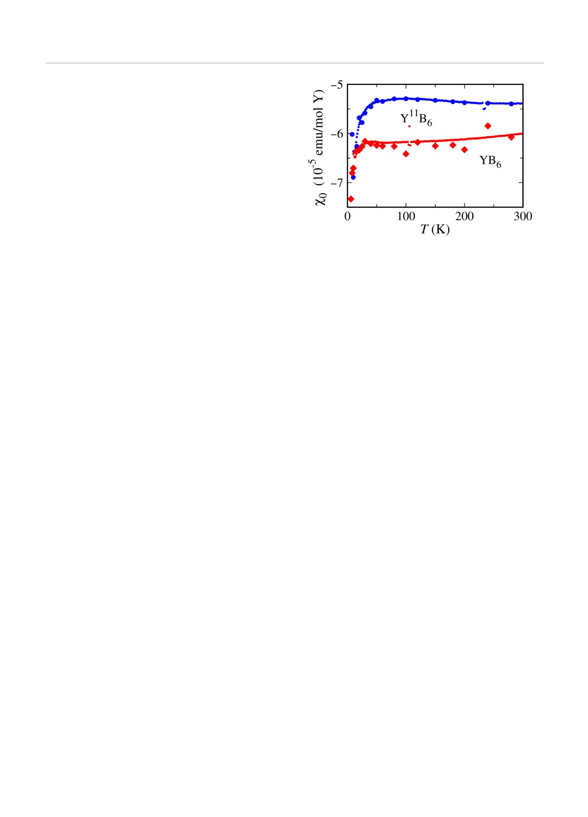
Рис. 4. Температурные зависимости электронной восприимчивости: χe(T ) (a) и χe(T )/χe(100 K) (b) различных моно-
кристаллов YB6, YbB6 и LaB6
цательный множитель в (3) компенсируется малыми
электронной компоненты, обусловленным развити-
значениями плотности состояний g(εF ) в этом леги-
ем ян-теллеровской структурной неустойчивости в
рованном полупроводнике с низкой концентрацией
RB6 и ее влиянием на систему делокализованных
носителей заряда [14].
электронов.
Во всех исследованных гексаборидах в интервале
Отметим, что при условии m∗ ∼ m0 для но-
T > 150K (III) регистрируется небольшая перенор-
сителей, вовлеченных в коллективные ян-теллеров-
мировка χe(Т), которую, по-видимому, следует свя-
ские возбуждения, в рамках соотношения (3) сле-
зать с коллективными ян-теллеровскими возбужде-
дует ожидать парамагнитную паулиевскую воспри-
ниями. В соответствии с [12-14] в коллективные ян-
имчивость электронов проводимости, которая не на-
теллеровские моды с энергией EJT
∼ 25-200 мэВ
блюдается в эксперименте (см. рис. 4а). Среди воз-
(∼ 200-1500 см-1) вовлечены от 25% в YbB6 до 90%
можных механизмов, приводящих к формированию
в Y11B6 носителей заряда, и это, по-видимому, из-
немагнитного состояния носителей, участвующих в
меняет их свойства по сравнению с остальными зон-
коллективной моде, отметим так называемый ква-
ными электронами. Можно предположить, что для
зи-кондо-эффект, который был предсказан для ме-
этих носителей заряда сильное электрон-фононное
таллов с сильным электрон-фононным взаимодей-
рассеяние в ян-теллеровской моде приводит к изме-
ствием с квазилокальными модами [28,29], а также с
нению эффективной массы до значений m∗ ∼ m0
динамическим эффектом Яна - Теллера [30]. В выс-
вследствие малой длины свободного пробега и очень
ших боридах RB6 с динамическим кооперативным
низкой холловской подвижности (в монокристаллах
ЯТ-эффектом и квазилокальными колебаниями R-
YB6 µH
∼ 10-12 см2/(B · с) [14]). Как видно на
ионов в двуямном потенциале [12-15, 31], по-види-
рис. 4b, при повышении температуры по мере при-
мому, следует ожидать такой квази-кондо-эффект,
ближения к энергиям коллективных мод в спектрах
приводящий в рамках указанных выше сценариев к
оптической проводимости σ(ω) величина χe умень-
квази-кондо-компенсации. В этой связи следует от-
шается, причем для образца Y11B6, для которого
метить результат Легетта с соавторами [32], пока-
низкочастотный пик L1 в σ(ω) регистрируется вбли-
зывающий, что анизотропный кондо-гамильтониан
зи 200 см-1 [14], зависимость χe(T)/χe(100 K) прохо-
является частным случаем спин-бозонной модели с
дит через максимум вблизи 300 К. Отметим, что по-
диссипацией, в которой колебания в двуямном по-
добные относительные изменения электронной вос-
тенциале играют роль возбуждений спиновой плот-
приимчивости с максимумом вблизи 300 K наблюда-
ности в модели Кондо.
ются также в легированном полупроводнике YbB6
Заметное изменение χe(T) ниже T∗ ∼ 50 К (ин-
с шириной зоны около 150 мэВ (см. рис.4b), у ко-
тервал I) в YB6, по-видимому, обусловлено перехо-
торого коллективные моды обнаружены в низкоча-
дом порядок-беспорядок [17], в результате которо-
стотном интервале 100-700 см-1, а пику L1 соответ-
го в фазе каркасного стекла возникают случайные
ствует частота примерно 180 см-1 [14]. С учетом из-
смещения тяжелых ионов из центросимметричных
ложенного выше нам представляется, что измене-
позиций в полостях B24. Подобное влияние беспо-
ния χe в интервале (III) (рис. 4) являются свойством
рядка на спиновую восприимчивость в металле было
410
ЖЭТФ, том 164, вып. 3 (9), 2023
Магнитный отклик электронов проводимости...
предсказано ранее в [3, 4]. При этом в твердых рас-
ЛИТЕРАТУРА
творах замещения Y0.99Zr0.01B6 и YB5.95C0.05 уже
1.
А. А. Абрикосов, Основы теории металлов, Нау-
присутствующий беспорядок, связанный со случай-
ка, Москва (1987).
ным расположением ионов Y-Zr или B-C, приво-
дит к практически полному подавлению изменений
2.
D. Pines, P. Nozieres, The theory of quantum liquids,
χe(T) в интервале (I) (см. рис.4). Отметим, что, на-
Benjamin, New York (1996).
против, в LaB6 в пределах экспериментальной точ-
ности в интервале T < T∗ ∼50 K изменений элек-
3.
P. Fulde and A. Luther, Phys. Rev. 170, 170 (1968).
тронной восприимчивости не наблюдается.
4.
B. S. Shastry, E. Abrahams, Phys. Rev. Lett. 72, 1933
В заключение следует подчеркнуть, что в от-
(1994).
личие от аномалий в спектрах оптической прово-
димости высших боридов RB6 и RB12, для описа-
5.
M. Sigrist and K. Ueda, Rev. Mod. Phys. 63,
239
ния которых совсем недавно была предложена мо-
(1991).
дель, основанная на дипольном характере воздей-
6.
V. P. Mineev and K. V. Samokhin, Introduction
ствия согласованных колебаний решетки на элек-
to Unconventional Superconductivity, Gordon and
тронный транспорт [33], обнаруженные в работе осо-
Breach, London (1999).
бенности электронной восприимчивости этих немаг-
нитных металлов и полупроводников к настоящему
7.
K. V. Samokhin, Phys.Rev. B 103, 174505 (2021).
времени не получили подходящего объяснения.
8.
A. Camjayi, K. Haule, V. Dobrosavljevic, and G. Kot-
liar, Nat. Phys. 4, 932 (2008).
5. ЗАКЛЮЧЕНИЕ
9.
M. M. Radonjic, D. Tanaskovic, V. Dobrosavljevic,
В интервале температур
2-400 К в магнит-
K. Haule, and G. Kotliar, Phys. Rev.B 85, 085133
ном поле до 50 кЭ выполнены детальные измере-
(2012).
ния намагниченности монокристаллических образ-
цов немагнитных гексаборидов YB6, LaB6 и YbB6.
10.
V. M. Pudalov et al., Phys. Rev. B 98, 155109 (2018).
Предложена процедура разделения вкладов, поз-
11.
В. М. Пудалов, УФН 191, 3 (2021).
воляющая выделить электронную восприимчивость
χe(T). Показано, что малые отрицательные зна-
12.
E. S. Zhukova, B. P. Gorshunov, G. A. Komandin,
чения χe(T ) в металлах YB6, LaB6, по-видимому,
L. N. Alyabyeva, A. V. Muratov, Yu. A. Aleshchenko,
определяются малым значением эффективной мас-
M. A. Anisimov, N. Yu. Shitsevalova, S. E. Polovets,
сы m∗ ∼ 0.5m0, при котором наблюдается взаимная
V. B. Filipov, and N. E. Sluchanko, JETP Lett. 110,
компенсация паулиевской восприимчивости и диа-
79 (2019).
магнетизма Ландау от зонных электронов. В интер-
13.
E. S. Zhukova, B. P. Gorshunov, G. A. Komandin,
валах T < T∗ ∼ 50 K (I) и T > 150 K (III) для ис-
L. N. Alyabyeva, A. V. Muratov, Yu. A. Aleshchenko,
следованных гексаборидов обнаружены изменения
M. A. Anisimov, N. Yu. Shitsevalova, S. E. Polovets,
электронной восприимчивости, которые могут быть
V. B. Filipov, V. V. Voronov, and N. E. Sluchanko,
связаны c переходом в разупорядоченную фазу кар-
Phys. Rev. B 100, 104302 (2019).
касного стекла ниже T∗ и с ян-теллеровской струк-
турной неустойчивостью при высоких температурах
14.
Н. Е. Случанко, Е. С. Жукова, Л. Н. Алябьева,
соответственно. Обсуждается механизм квази-кон-
Б. П. Горшунов, А. В. Муратов, Ю. А. Алещенко,
до-компенсации, приводящий к изменению магнит-
А. Н. Азаревич, М. А. Анисимов, Н. Ю. Шицева-
лова, С. Е. Половец, В. Б. Филипов, ЖЭТФ 163,
ного состояния носителей, участвующих в коллек-
172 (2023).
тивных ян-теллеровских возбуждениях.
Благодарности.
Авторы
признательны
15.
J. A. Alarco, P. C. Talbot, and I. D. R. Mackinnon,
П.И. Арсееву, В.В. Глушкову и С.В. Демишеву за
Modeling and Numerical Simulation of Material
полезные дискуссии.
Science 4, 53 (2014).
Финансирование. Работа выполнена при под-
16.
A. P. Dudka,
O. N. Khrykina,
N. B. Bolotina,
держке Российского научного фонда в рамках про-
N. Yu. Shitsevalova, V.B. Filipov, M. A. Anisimov,
екта № 23-22-00297 с использованием оборудования
S. Gabani, K. Flachbart, and N.E. Sluchanko, Phys.
ЦКП ФИАН им. П.Н. Лебедева.
Rev. B 100, 205103 (2019).
411
7*
Н.Е. Случанко, А.В. Кузнецов, А.Н. Азаревич, А.В. Богач, Н.Ю. Шицевалова и др.ЖЭТФ, том 164, вып.3 (9), 2023
17. N. Sluchanko, V. Glushkov, S. Demishev, A. Azare-
25. П. Селвуд, Магнетохимия, Издательство ино-
vich, M. Anisimov, A. Bogach, V. Voronov, S. Gav-
странной литературы, Москва (1958).
rilkin, K. Mitsen, A. Kuznetsov, I. Sannikov, N. Shi-
tsevalova, V. Filipov, M. Kondrin, S. Gabáni, and
26. Y. Ishizawa, T. Tanaka, E. Bannai, and S. Kawai,
K. Flachbart, Phys.Rev. B 96, 144501 (2017).
J. Phys. Soc. Jpn. 42, 112 (1977).
18. O. M. Vyaselev, N. E. Sluchanko, A. V. Bogach,
27. M. Xia J. Jiang, Z. R. Ye, Y. H. Wang, Y. Zhang,
N. Y. Shitsevalova, V. B. Filipov, and A.A. Gippius,
S. D. Chen, X. H. Niu, D. F. Xu, F. Chen, X. H. Chen,
J. Alloys and Compounds 921, 165627 (2022).
B. P. Xie, T. Zhang, and D. L. Feng, Sci. Rep. 4, 5999
(2014).
19. D. Young, D. Hall, M. Torelli, et al., Nature 397, 412
(1999).
28. S. Yotsuhashi, M. Kojima, H. Kusunose and K. Mi-
20. K. Matsubayashi, M. Maki, T. Tsuzuki, et al., Nature
yake, J. Phys. Soc. Jpn 74, 49 (2005).
420, 143 (2002).
29. H. Kusunose and K. Miyake, J. Phys. Soc. Jpn. 65,
21. N. Shitsevalova, Crystal chemistry and crystal growth
3032 (1996).
of rare-earth borides, in Rare-Earth Borides, ed. by
D. S. Inosov, Jenny Stanford Publishing, Singapore
30. T. Hotta, Phys. Rev. Lett. 96, 197201 (2006).
(2021), Chap. 1, p. 1.
31. K. Iwasa, R. Igarashi, K. Saito, C. Laulhé, T. Ori-
22. H. Werheit, V. Filipov, N. Shitsevalova, M. Armbrus-
hara, S. Kunii, K. Kuwahara, H. Nakao, Y. Muraka-
ter and U. Schwarz, J. Phys.: Condens. Matter 24,
mi, F. Iga, M. Sera, S. Tsutsui, H. Uchiyama, and
385405 (2012).
A. Q. R. Baron, Phys.Rev. B 84, 214308 (2011).
23. R. Monnier and B. Delley, Phys. Rev. Lett.
87,
32. A.J. Leggett, S. Chakravarty, A.T. Dorsey, M.P.A. Fi-
157204 (2001).
sher, A. Garg, and W. Zwerger, Rev. Mod. Phys. 59,
24. V. V. Glushkov, A. D. Bozhko, A. V. Bogach, S. V. De-
1 (1987).
mishev, A. V. Dukhnenko, V. B. Filipov, M. V. Kon-
drin, A. V. Kuznetsov, I. I. Sannikov, A. V. Semeno,
33. М. А. Макрушин, П. И. Арсеев, К. М. Красиков,
N. Yu. Shitsevalova, V. V. Voronov, and N. E. Slu-
Л. С. Кадыров, E. C. Жукова, Н. Е. Случанко,
chanko, Phys. Stat. Sol. RRL 10, 320 (2016).
Письма в ЖЭТФ 117, 450 (2023).
412