ЖЭТФ, 2023, том 164, вып. 3 (9), стр. 420-431
© 2023
ВЛИЯНИЕ ПРИМЕСЕЙ НА АДГЕЗИЮ НА ГРАНИЦЕ РАЗДЕЛА
TiAl/Al2O3
А. В. Бакулинa*, А. С. Кульковb, С. Е. Кульковаa,b
a Институт физики прочности и материаловедения Сибирского отделения Российской академии наук
634055, Томск, Россия
b Национальный исследовательский Томский государственный университет
634050, Томск, Россия
Поступила в редакцию 21 марта 2023 г.,
после переработки 4 мая 2023 г.
Принята к публикации 4 мая 2023 г.
Методом проекционных присоединенных волн в рамках теории функционала плотности изучено влияние
примесей замещения на адгезию на границе раздела TiAl(111)/Al2O3(0001) с кислородным окончани-
ем оксида. Показано, что переходные металлы и некоторые s,p-элементы, замещающие интерфейсный
атом титана, приводят к уменьшению адгезии, тогда как элементы VB и VIB групп на Al-подрешетке
незначительно усиливают химическую связь на границе раздела. Рассчитанные локальные плотности
электронных состояний, распределения зарядовой плотности, заселенности перекрывания для связей
интерфейсных атомов и другие электронные характеристики позволили выявить ключевые факторы,
влияющие на адгезию на границе раздела сплав-оксид. Установлена корреляция между влиянием при-
меси на энергию связи на внутренней и внешней границах раздела. Сопоставление результатов с данны-
ми для границы раздела с обогащенным титаном сплавом Ti3Al показывает, что прочность интерфейса
ослабевает с понижением содержания Ti в сплаве.
DOI: 10.31857/S0044451023090110
торых легирующих элементов, наиболее подходящи-
EDN: KDVKJB
ми для повышения стойкости сплава к окислению
считаются Nb, Ta, W и Si [5]. В то же время пробле-
ма целенаправленного выбора легирующих добавок
1. ВВЕДЕНИЕ
или их комбинаций остается до конца не решенной.
Отметим, что модификация поверхности сплава, а
Сплавы на основе интерметаллида γ-TiAl широ-
также защитные покрытия также используются для
ко применяются в аэрокосмической, авиационной,
повышения коррозионной стойкости [6-11]. Напри-
морской, автомобильной, химической промышлен-
мер, для сплава γ-TiAl были предложены диффузи-
ности благодаря их хорошим механическим свой-
онные покрытия на основе кремния и обогащенных
ствам и, в частности, низкой плотности и высоко-
алюминием слоев [11, 12] и ссылки в них.
му сопротивлению ползучести [1, 2]. В то же время
недостаточная стойкость к окислению при темпе-
Для понимания путей повышения стойкости
сплавов TiAl к окислению необходимо изучение
ратурах выше 800◦C ограничивает технологическое
механизмов окисления поверхности и диффузии
применение γ-TiAl. Основной причиной, как показа-
кислорода. Изучение адсорбции кислорода на
но в ряде экспериментальных работ [1-4], является
поверхности сплавов TiAl проводилось в работах
рост смешанных оксидных слоев TiO2 и Al2O3. Для
[13-21], а диффузия кислорода исследовалась в
повышения стойкости сплава γ-TiAl к окислению
[22-28] с использованием нескольких подходов
используются разные методики, в том числе легиро-
вание одним или даже несколькими элементами. Хо-
(статистического и метода Ландмана) для оценки
температурного коэффициента диффузии. Проч-
тя результаты, полученные в разных работах, явля-
ются противоречивыми относительно влияния неко-
ность и стабильность интерфейсов TiAl/оксид
рассматривалась в работах [29-35]. Например, в
* E-mail: bakulin@ispms.tsc.ru
работе
[29] рассчитывалась адгезия на границе
420
ЖЭТФ, том 164, вып. 3 (9), 2023
Влияние примесей на адгезию. . .
раздела TiAl(110)Al/TiO2(110)O в зависимости от
10.43
Дж/м2 (TiAl/Al2O3(0001)) были получены
конфигурации контакта. Были получены значения
в работах [33, 34]. Таким образом, наблюдается
адгезии 0.580-1.644 Дж/м2 для пяти конфигураций
противоположная тенденция в изменении адгезии с
интерфейса. Наименьшие значения были рассчита-
понижением содержания титана в сплаве, к тому же
ны для двух конфигураций границы раздела между
отрицательное значение адгезии указывает на неста-
оксидом и сплавом, оканчивающимся алюминием.
бильность интерфейса Ti3Al/Al2O3(0001). Необхо-
В то же время в случае трех других конфигураций
димо подчеркнуть, что значения 8.75-9.73 Дж/м2
атомы кислорода располагаются ниже интерфейс-
были получены для Al(111)/Al2O3(0001) в
[36].
ного слоя алюминия. В этой связи неясно, для
В случае интерфейса TiAl/Al2O3(0001) предпо-
какой плоскости разрыва проводились расчеты
чтительность fcc-конфигурации металлической
адгезии в [29]. Кроме того, авторы данной работы
пленки на поверхности оксида не изменяется, но
продемонстрировали, что Ti-вакансия приводит к
повышается прочность границы раздела. Значение
ослаблению прочности на интерфейсе, тогда как
адгезии, равное 1.19 Дж/м2 [34], полученное для
легирование Nb способствует взаимодействию O-
TiAl(111)/Al2O3(0001)Al, находится в хорошем
Al, что может улучшить стойкость к окислению. В
согласии со значением порядка 1.05 Дж/м2 [31].
работе [30] проводилось изучение влияния легиру-
В целом причина резкого снижения адгезии на
ющих элементов на адгезионные свойства границы
TiAl/Al2O3(0001)Al по сравнению с границей раз-
раздела TiAl(110)Ti/TiO2(110)O. Существенно
дела с кислородным окончанием оксида связана
большее значение, равное 4.996 Дж/м2, было по-
с ослаблением связей O-Al, уменьшением числа
лучено для данной границы раздела. Авторы [30]
связей O-Ti и, как следствие, со снижением ионного
установили, что Y, Nb и Pd из всех рассмотренных
вклада в химическую связь. Адгезия на границе
примесей являются наиболее подходящими для уси-
Ti3Al(0001)/Al2O3(0001)Al
(1.78
Дж/м2 [33]) так-
ления химической связи между оксидом и сплавом
же несколько выше, чем на границе раздела со
TiAl.
сплавом TiAl. Кроме того, в [33] показано, что все
Характеристики
связи
на
интерфейсе
рассмотренные примеси 4d-периода, занимающие
TiAl(111)/Al2O3(0001) изучались в
[31]. Полу-
Ti- или Al-подрешетку, в основном приводят к
ченные результаты показали, что
адгезия на
снижению адгезии. Повышение адгезии обнару-
интерфейсе между сплавом и оксидом с Al-
жено только для элементов групп IVB-VIB на
окончанием значительно ниже (1.05 Дж/м2), чем с
Al-подрешетке, однако последние предпочитают за-
О-окончанием (4.04 Дж/м2). В [31] было указано,
мещать титан. Мы надеемся, что подобное влияние
что образование ионных связей на границе раздела
примесей остается справедливым и для интерфейса
является ключевым фактором для повышения ад-
TiAl(111)/Al2O3(0001). Поскольку в работе
[32]
гезии. Поскольку легирование может эффективно
использовалась структура интерфейса с боль-
улучшить химическую связь между Al2O3 и спла-
шим несоответствием параметров поверхностных
вами TiAl и, следовательно, повысить стойкость
структур, то необходимы дополнительные расчеты
последних к окислению, то влияние переходных
атомной структуры легированного интерфейса в
металлов VB и VIB групп на адгезионные свойства
рамках более корректной модели. Таким образом,
γ-TiAl и α2-Ti3Al с Al2O3 было недавно изучено в
цель настоящей работы состоит в систематическом
[32]. Была выявлена тесная связь между стабильно-
изучении влияния примесей на атомную и элек-
стью, адгезией и электронными свойствами границ
тронную структуры легированной границы раздела
раздела TiAl/Al2O3. Авторы [32] установили, что
TiAl(111)/Al2O3(0001) методом ab initio в рамках
лишь Nb повышает адгезию на TiAl/Al2O3, тогда
теории функционала плотности (DFT).
как все VB элементы оказывают одинаковое влия-
ние на адгезию на Ti3Al/Al2O3. Однако значения
адгезии, приведенные в [32] для идеальных гра-
2. ВЫЧИСЛИТЕЛЬНЫЕ ДЕТАЛИ
ниц раздела TiAl/Al2O3 с O-окончанием оксида
(-0.16 Дж/м2 (Ti3Al) и 3.68 Дж/м2 (TiAl) [32]),
Для расчета атомной и электронной структуры
значительно ниже, чем полученные в работах
интерфейса TiAl(0001)/Al2O3(111) использовался
[33, 34], и значений
4.29
Дж/м2 и 5.01 Дж/м2,
метод проекционных присоединенных волн (PAW)
рассчитанных в [32] для этих же границ раздела
в плоско-волновом базисе [37, 38] с обобщенным
с более толстой оксидной пленкой. В то же вре-
градиентным приближением (GGA-PBE) для
мя значения 11.02 Дж/м2 (Ti3Al/Al2O3(0001)) и
обменно-корреляционного функционала [39]. Тео-
421
А. В. Бакулин, А. С. Кульков, С. Е. Кулькова
ЖЭТФ, том 164, вып. 3 (9), 2023
а
TiAl(111)-(√3×√3)R30° || Al O (0001)-(2×2)23
б
Al
I+1
O
I
T
i
Al
I
×
Ti
Al
I-1
×
Ti
Al
I-2
[112]
|| [1120]
TiAl
Al O23
√
√
Рис. 1. Атомная структура fcc-конфигурации интерфейса между пленками TiAl(111)-(
3×
3)R30◦ и Al2O3(0001)O-
(2 × 2): вид сверху (а); вид сбоку (б) в плоскости (1100). Символы I, I ± 1 и I - 2 означают атомы интерфейсного,
второго и третьего от интерфейса слоев. Положения примесных атомов на Ti- и на Al-подрешетке в интерфейсном слое
показаны крестиками
ΔWsep, Дж/м2
ΔWsep, Дж/м2
Ti-подрешетка
0.8
Ti-подрешетка
0.2
а
б
Al-подрешетка
Al-подрешетка
0.4
[32]
0.0
0.0
-0.2
-0.4
-0.8
-0.4
-1.2
-0.6
-1.6
Рис. 2. Изменение работы отрыва для легированного интерфейса TiAl(111)/Al2 O3(0001)O по сравнению с идеальным в
зависимости от типа примеси: 4d-переходные металлы (а); металлические вакансии и антисайты в интерфейсном слое,
а также изоэлектронные элементы групп VB и VIB, IIIA и IVA (б)
ретические параметры решетки Al2O3 (a = 4.808Å,
из 124 атомов в случае кислородного окончания
c
= 13.118
Å) и сплава TiAl (a
= 3.977
Å,
оксида. Структура пленки Al2O3 была подробно
c = 4.081
Å) хорошо согласуются с эксперимен-
описана в многочисленных работах
[32-34, 36].
тальными [40,41]. Для построения границы раздела
Интегрирование по зоне Бриллюэна проводилось по
совмещались поверхностные ячейки Al2O3(0001)-
Γ-центрированной сетке k-точек 3 × 3 × 1. В разло-
√
√
(2 × 2) и TiAl(111)-(
3×
3)R30◦, как и в работе
жении электронных волновых функций были взяты
[34]. В результате различие параметров поверхност-
плоские волны с кинетическими энергиями до
ных решеток (9.616 и 9.826
Å) составляет менее
550 эВ. Сходимость электронной структуры дости-
2.2%. В расчетах использовался параметр решетки
галась, когда разница полных энергий между двумя
оксида, а параметр решетки сплава уменьшался
итерациями была менее 10-5 эВ. Релаксация по-
в плоскости границы раздела, но увеличивался в
ложений атомов интерфейсных слоев проводилась
перпендикулярном направлении. Каждый атомный
до достижения сил на атомах, не превышаю-
слой пленки сплава имеет стехиометрический со-
щих 0.01 эВ/Å. Для получения дополнительной
став и образован шестью атомами титана и шестью
информации об интерфейсных электронных харак-
атомами алюминия. Расчетная ячейка состоит
теристиках, таких как заселенность перекрывания
422
ЖЭТФ, том 164, вып. 3 (9), 2023
Влияние примесей на адгезию. . .
орбиталей и зарядовые состояния интерфейсных
турных дефектов. На рис. 2б видно, что металлы
атомов, был использован метод DDEC6 [42-44].
групп VB и VIB и антисайты Ti на Al-подрешетке
Идеальная энергия адгезии или работа отрыва
приводят к увеличению работы отрыва, тогда как
(Wsep) на границе раздела сплав-оксид, оценива-
антисайты алюминия и элементы групп IIIA и IVA
лась как
уменьшают ее. Титановые вакансии также приводят
к незначительному снижению Wsep, а Al-вакансия,
напротив, к увеличению прочности интерфейса на
Wsep = [E(TiAl) + E(Al2O3) - E(TiAl/Al2O3)] /S,
0.1 Дж/м2. Необходимо подчеркнуть, что настоя-
(1)
щие результаты находятся в качественном согласии
где E(TiAl/Al2O3)
полная энергия суперячей-
с результатами работы [32]. Как видно на рис. 2б,
ки, содержащей пленки оксида и сплава, E(TiAl)
рассмотренные в [32] примеси приводят к снижению
и E(Al2O3) полные энергии той же суперячейки,
интерфейсной прочности, за исключением Nb, кото-
содержащей одну пленку сплава или оксида соот-
рый увеличивает адгезию примерно на 0.8 Дж/м2.
ветственно, а S
площадь интерфейса. Большие
Максимальное понижение адгезии наблюдается для
положительные значения Wsep, согласно (1), озна-
V и Cr в [32], тогда как настоящие расчеты указыва-
чают более сильную адгезию на границе раздела.
ют на противоположную тенденцию. Отметим так-
же, что элементы VB группы в случае интерфейса
со сплавом Ti3Al [32] приводят к одинаковому изме-
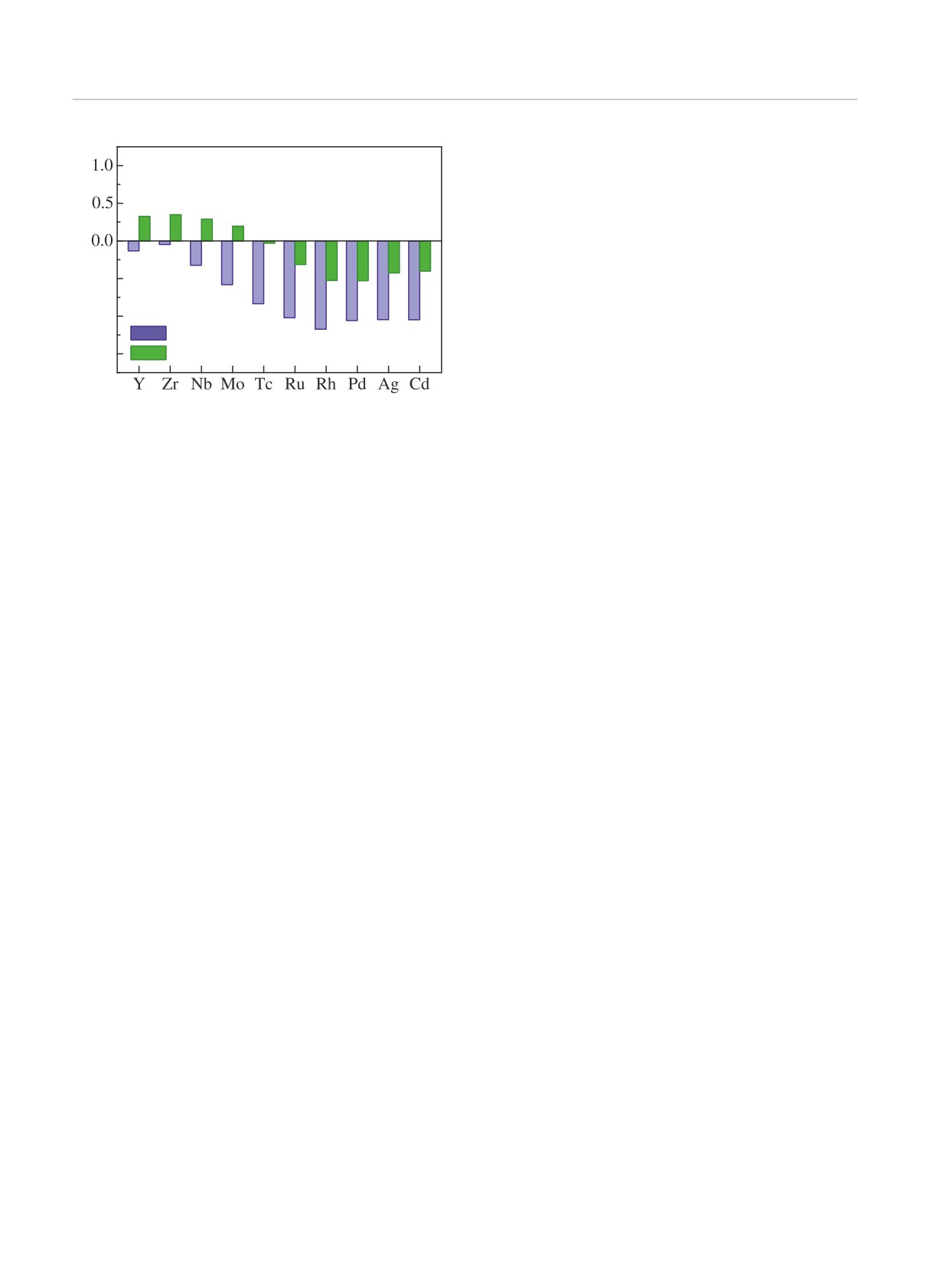
3. РЕЗУЛЬТАТЫ И ОБСУЖДЕНИЕ
нению адгезии. Напомним, что для идеальной гра-
2
ницы раздела TiAl/Al2O3 адгезия равна 3.68 Дж/м
3.1. Влияние примеси на адгезию
[32], что значительно меньше, чем значения, рассчи-
Для интерфейса TiAl(111)/Al2O3(0001) в нашей
танные нами для разных конфигураций металличе-
ранней работе [34] рассматривались три конфигу-
ской пленки (9.97-10.43 Дж/м2 [34]). Таким обра-
рации (top, hcp и fcc) контактов с Al-, Al2- и O-
зом, настоящие расчеты показывают, что Nb и Zr
окончанием поверхности Al2O3(0001). Конфигура-
(рис. 2а) являются элементами, влияние которых на
ция fcc, схематически представленная на рис. 1,
адгезионные свойства интерфейса выражено суще-
является наиболее энергетически предпочтительной
ственно слабее, чем в случае других рассмотренных
для границы раздела сплава с кислородным окон-
примесей на Ti-подрешетке. Чтобы понять микро-
чанием оксида алюминия. На рис. 1а крестиками
скопический характер влияния примеси на работу
показаны положения примесных атомов, замещаю-
отрыва, ниже проведем анализ некоторых электрон-
щих Ti или Al в интерфейсном слое сплава. Мы бу-
ных характеристик.
дем рассматривать влияние примеси только в слу-
чае данной fcc-конфигурации, которая характеризу-
3.2. Электронные свойства
ется наибольшим значением работы отрыва.
Отметим, что примеси рассматривались на обе-
Рассмотрим влияние нескольких репрезентатив-
их подрешетках в интерфейсном слое сплава из-за
ных примесей на ряд электронных характеристик.
возможности их сегрегации к границе раздела. На
Результаты расчета заселенности перекрывания
рис. 2а видно, что переходные 4d металлы (ПМ) и
связей интерфейсных атомов (θ) и их зарядов (Q)
элементы IIIA и IVA групп, замещающие титан, при-
приведены в табл. 1. Известно, что заселенность
водят к уменьшению работы отрыва, однако умень-
перекрывания связи коррелирует с гибридизаци-
шение Wsep менее выражено для Zr, Nb и Mo. Как и
онным вкладом в химическую связь на границе
в случае границы раздела Ti3Al/Al2O3(0001)O [33],
раздела. Из табл.
1
следует, что такие приме-
работа отрыва уменьшается с заполнением d-зоны
си, как Nb, Rh и Pd, увеличивают заселенность
примесного элемента 4d-периода. Исключением яв-
перекрывания связей O-Ti на границе раздела,
ляется Y, для которого уменьшение Wsep больше,
если они замещают Ti-позицию. Взаимодействие
чем для Zr, Nb и Mo, но меньше, чем для дру-
O-Al усиливается в ряду Nb-Rh-Pd. Однако в
гих элементов 4d-периода. Примеси, замещающие
случае Nb заселенность перекрывания ближай-
алюминий, влияют на Wsep так же, как и в случае
шей к примеси O-Al связи меньше, чем в случае
Ti3Al/Al2O3(0001)O [33] только Zr, Nb и Mo незна-
идеальной границы раздела. Противоположная
чительно повышают прочность интерфейса.
тенденция была получена нами для легированного
Несколько слов следует сказать о влиянии изо-
интерфейса Ti3Al/Al2O3 [33]. Поскольку атом Rh
электронных металлов групп VB и VIB и антиструк-
смещается от границы раздела дальше (на 0.6
Å),
423
А. В. Бакулин, А. С. Кульков, С. Е. Кулькова
ЖЭТФ, том 164, вып. 3 (9), 2023
Таблица 1. Электронные характеристики, такие как заряд атомов (Q), их электроотрицательность (χ) и усред-
ненная заселенность перекрывания для пар атомов на легированной границе раздела TiAl(111)/Al2 O3(0001)O в
сравнении с идеальной
Подрешетка Примесь Q, e χ, эВ-1/2
[45] Заселенность перекрывания связей (θ), e
O-Me O-Ti O-Al Me-Ti Me-Al
Ti
Ti
+0.40
1.54
0.316
0.316
0.341
0.305
0.273
Nb
+0.01
1.60
0.389
0.353
0.286
0.403
0.363
Rh
-0.90
2.28
0.152
0.343
0.361
0.601
0.557
Pd
-0.40
2.20
0.141
0.350
0.370
0.431
0.468
Ga
-0.14
1.81
0.251
0.341
0.330
0.410
0.325
Si
-0.38
1.90
0.301
0.340
0.306
0.455
0.384
Al
Al
+0.62
1.61
0.341
0.316
0.341
0.273
0.171
Ga
-0.28
1.81
0.238
0.341
0.303
0.348
0.339
Si
-0.51
1.90
0.295
0.334
0.284
0.414
0.405
идеальный
а
Nb/Ti
б
Rh/Ti
в
Pd/Ti
г
O
O
O
O
O
O
O
O
O
O
O
O
O
O
O
O
Ti
Al
Nb
Al
Al
Al
Rh
Pd
Al
Ti
Ti
Ti
Al
Al
Al
Ti
идеальный
д
Ga/Al
е
Si/Al
ж
Si/Ti
з
1.0
O
O
O
O
O
O
O
O
0.9
0.8
0.7
O
O
O
O
O
O
O
O
0.6
0.5
Al
Al
Ti
Ti
Ti
Si
0.4
Ga
Si
0.3
0.2
Al
Ti
Al
Ti
Al
Ti
Al
Ti
0.1
0.0
Рис. 3. Распределение полной зарядовой плотности на легированной границе раздела TiAl(111)/Al2 O3(0001)O с Nb, Rh,
Pd и Si на Ti-подрешетке и с Ga и Si на Al-подрешетке в сравнении с идеальной границей раздела. Изолинии показаны с
интервалом 0.1 e/Å3
чем другие примеси, увеличение заселенности
заряда от Nb к O примерно на 0.4e меньше, чем
перекрывания связей O-Ti и O-Al связано с ком-
от Ti. Следует отметить, что имеющиеся подходы
пенсацией ослабления взаимодействия O-Rh, что
к оценке заряда дают разные результаты из-за
способствует стабилизации интерфейса. Из табл. 1
сильной зависимости от выбора сферы или объема,
следует, что взаимодействие O-Me сильно зависит
в котором рассчитывается этот заряд. В случае Rh
от электронной структуры примесного атома (Ме)
и Pd прочность связи О-Ме значительно снижается
и возрастает для Nb по сравнению с Ti. Таким
по сравнению с Nb (табл. 1). Кроме того, элементы
образом, гибридизационный вклад в интерфейсную
второй половины d-периода отдают меньший заряд
прочность увеличивается, если Nb замещает Ti.
кислороду, чем даже Nb. Этим объясняется боль-
Однако ионный вклад становится меньше, чем
шее уменьшение работы отрыва в случае данных
для идеального интерфейса, поскольку перенос
примесей.
424
ЖЭТФ, том 164, вып. 3 (9), 2023
Влияние примесей на адгезию. . .
Согласно расчетам, s,p-элементы могут занимать
от такового для идеального интерфейса (рис. 3д,е).
разные подрешетки в сплаве TiAl. Как следует из
Смещение примесного атома от кислорода приво-
табл. 1, заселенность перекрывания связей Me-Ti и
дит к его взаимодействию с титаном. Этот эффект
Me-Al увеличивается по сравнению с Ti-Ti и Ti-
наиболее выражен в случае Si на Al-подрешетке
Al на идеальном интерфейсе. Усиление этих взаи-
(рис. 3ж). Накопление заряда наблюдается вбли-
модействий в пленке сплава и приводит к уменьше-
зи Si, что коррелирует с увеличением связи меж-
нию работы отрыва на границе раздела. Из табл. 1
ду ним и ближайшими атомами в сплавах. Такое
следует, что заселенность перекрывания связи O-Si
поведение остается справедливым, если кремний за-
(0.295e) выше, чем O-Ga (0.238e), если примесные
мещает титан (рис. 3з). Фактически распределение
атомы занимают Al-позицию, как и в случае этих
полной зарядовой плотности подтверждает тенден-
примесей на Ti-позиции. Видно, что прочность свя-
ции, установленные на основе анализа заселенности
зи O-Si слабо зависит от положения Si в интерфейс-
перекрывания связей. Области накопления заряда
ном слое. Заселенность перекрывания связи Si-Ti
вблизи как Ga, так и Si указывают на меньший ион-
выше, чем Al-Ti. В результате более сильного вза-
ный вклад в химическую связь на границе разде-
имодействия с титаном наблюдается смещение Si от
ла, что и приводит к уменьшению работы отрыва.
границы раздела, что приводит к большему сниже-
Кроме того, усиление связей примесей с атомами Ti
нию Wsep, чем в случае сплава, легированного Ga.
и Al интерфейсного слоя также является причиной
Кроме того, более высокая электроотрицательность
уменьшения Wsep. Из табл. 1 следует, что связи Ti-
Ga и Si по сравнению с Al приводит к накоплению
Me и Al-Me увеличиваются в ряду Al-Ga-Si.
заряда на атомах Ga и Si (табл. 1), что обуслав-
ливает кулоновское отталкивание между O и эти-
3.4. Плотность электронных состояний
ми s,p-элементами. Этот фактор также способствует
уменьшению Wsep.
На рис. 4а показаны локальные плотности элек-
тронных состояний (ПЭС) некоторых атомов ин-
терфейсных слоев в случае Nb на Ti-подрешетке.
3.3. Распределение зарядовой плотности
Видно, что резкий пик ПЭС Nb, показанный стрел-
На рис. 3 приведено распределение полной за-
кой, сдвинут примерно на 0.2 эВ ниже уровня Фер-
рядовой плотности на идеальной и легированной
ми (EF ) по сравнению с пиком Ti. Это обусловле-
границах раздела. Видно, что в случае Nb на Ti-
но большим числом электронов в заполненной ча-
подрешетке количество изолиний в области меж-
сти валентной зоны Nb. Пики при той же энергии
ду атомами O и Nb увеличивается по сравнению
видны на локальных ПЭС других интерфейсных
с идеальной границей (рис. 3а,б). В соответствии с
атомов, что отражает взаимодействие между ними.
анализом заселенности перекрывания связей такое
Низколежащие состояния металла в области от -9.5
распределение плотности заряда подтверждает уве-
до -3.0 эВ индуцируются взаимодействием с 2p-
личение гибридизационного вклада в химическую
зоной кислорода. В случае интерфейсов, легирован-
связь O-Nb. В то же время изолинии на связях O-
ных Rh и Pd (рис. 4б,в), их валентная зона состоит
Rh и O-Pd отсутствуют (рис. 3в,г), что также кор-
из нескольких пиков, высота которых увеличивается
релирует с уменьшением заселенности их перекры-
с увеличением числа электронов в примесной d-зоне.
вания. Рисунок 3в,г демонстрирует также смещение
На рис. 4б видно, что для легированного Rh интер-
атомов Rh и Pd от границы раздела и область низ-
фейса наблюдается двойной пик О 2p-состояний при
кой электронной плотности между этими атомами и
энергии -2.0 эВ, который значительно выше для ин-
кислородом. Кроме того, Rh и Pd имеют более вы-
терфейса, легированного Pd (рис. 4в). Кроме того,
сокую электроотрицательность (χ), чем Ti (табл. 1),
наблюдается больший сдвиг данного пика под уро-
что указывает на уменьшение ионного вклада в хи-
вень Ферми. В целом тонкая структура примесной
мическую связь. Поскольку атомы Ti расположены
4d-зоны хорошо совпадает с положением пиков в 2p-
в другой плоскости, рис. 3б-г не позволяют увидеть
зоне O, что отражает их взаимодействие. Смещение
незначительное усиление связей O-Ti, на которое
примесной зоны в сторону энергий, где расположе-
указывает увеличение θ. Все эти особенности приво-
на 2p-зона O, также свидетельствует об увеличении
дят к большему понижению Wsep в случае примесей
гибридизации p-орбиталей О и примесных состоя-
второй половины 4d-периода по сравнению с Nb.
ний. Однако, как было показано в работе [21], дан-
В случае замещения Al атомом Ga распреде-
ные примесные состояния могут иметь разрыхляю-
ление плотности заряда незначительно отличается
щий характер, вследствие чего химическая связь на
425
8
ЖЭТФ, вып. 3 (9)
А. В. Бакулин, А. С. Кульков, С. Е. Кулькова
ЖЭТФ, том 164, вып. 3 (9), 2023
легированном интерфейсе ослабляется. Поскольку
ПЭС кислорода по сравнению с идеальной границей
Pd имеет практически заполненную валентную зо-
раздела указывает на более сильное взаимодействие
ну, его химическая активность понижается по срав-
примесь-кислород, чем в предыдущем случае. Дей-
нению с металлами начала 4d-периода. Как следует
ствительно, заселенность перекрывания для связи
из табл. 1, заселенность перекрывания связей O-Me
O-Si выше, чем для O-Ga (табл. 1). Кроме того, за-
действительно свидетельствует об ослаблении свя-
селенность перекрывания связи Si-Ti на 0.141e боль-
зей O-Rh и O-Pd по сравнению с O-Ti и O-Nb. По-
ше, чем связи Al-Ti (табл. 1). В результате кремний
скольку перенос заряда с примесных элементов вто-
сильнее взаимодействует с ближайшими атомами Ti
рой половины 4d-периода к кислороду понижается,
следующего от интерфейса слоя сплава, что видно
то и Wsep значительно уменьшается для легирован-
на нижней панели рис. 5б. Кроме того, ПЭС Al, бли-
ных интерфейсов Rh и Pd.
жайшего к Si, смещается также в сторону отрица-
На рис. 4 (верхняя панель) видно, что число со-
тельных энергий. Это подтверждает более сильное
стояний Al в оксиде значительно уменьшается при
взаимодействие Si-Al по сравнению с Ga-Al. В це-
энергии порядка -9 эВ. Это результат непрямого
лом для легированного Si интерфейса наблюдает-
взаимодействия Al с атомами примеси через кис-
ся большее уменьшение Wsep по сравнению с интер-
лород. Изменение ПЭС Al в сплаве, показанное на
фейсом, легированным Ga. Для сравнения локаль-
рис. 4а (нижняя панель), в случае Nb выражено в
ные плотности состояний интерфейсных атомов в
меньшей степени, чем для Rh и Pd (рис. 4б,в). На-
случае Si на Ti-подрешетке приведены на рис. 5в.
помним, что оба элемента увеличивают взаимодей-
Видно, что имеет место небольшое уменьшение ги-
ствие O-Al в соответствии с оценкой заселенности
бридизационного вклада (Si-O) в химическую связь
перекрывания этой связи. Таким образом, измене-
по сравнению с идеальной границей раздела. Как и в
ния локальных ПЭС интерфейсных атомов также
предыдущем случае, взаимодействие Si-Al сильнее,
подтверждают эти оценки. Мы не показывали ПЭС
чем Ti-Al для идеального интерфейса.
атомов Ti и Al следующих от интерфейса слоев, по-
скольку их изменения в результате легирования пре-
3.5. Влияние примеси на энергию адсорбции
небрежимо малы.
кислорода на поверхности TiAl(111)
Изменение плотности электронных состояний в
случае Ga и Si на Al-позиции представлено на
Необходимо отметить, что в работе [33] была
рис. 5а,б. Поскольку валентная зона Ga аналогична
установлена корреляция между влиянием примеси
валентной зоне Al (различие связано с высотой неко-
на энергию адсорбции кислорода на поверхности
торых характерных пиков), влияние Ga на 2p-зону
Ti3Al(0001) и на работу отрыва на границе разде-
О менее выражено, чем в случае переходных метал-
ла Ti3Al/Al2O3(0001). Чтобы продемонстрировать,
лов. Однако заселенность перекрывания связи O-Ga
что аналогичная корреляция имеет место и в дан-
(0.238e) ниже, чем связи O-Al (0.341e) на идеальной
ном случае, были рассчитаны энергии адсорбции
границе раздела. Аналогичная тенденция обнаруже-
кислорода на легированной поверхности TiAl(111).
на и в случае интерфейса со сплавом Ti3Al [33]. Для
Отметим, что адсорбция кислорода на чистой по-
соответствующих связей были получены значения
верхности TiAl(111) изучалась в работах [14, 15],
0.233e и 0.343e. ПЭС Ti изменяется незначительно
однако влияние примесей ранее не оценивалось. В
по сравнению с идеальной границей раздела при за-
табл. 2 приведены имеющиеся теоретические ре-
мещении Al примесью Ga (рис. 5а). Небольшой рост
зультаты для чистой поверхности. Рассматривались
состояний титана вблизи уровня Ферми может сви-
четыре позиции адсорбции кислорода над треуголь-
детельствовать о более сильном взаимодействии O-
никами, образованными двумя атомами Ti(Al) и од-
Ti в присутствии Ga. Как следует из табл. 1, засе-
ним атомом Al(Ti), как и в [14, 15]. Адсорбционные
ленность перекрывания связи O-Ti действительно
позиции называются fcc, если О расположен в трех-
на 0.025e больше, чем для идеального интерфейса.
кратно центрированной ямочной позиции над ато-
На рис. 5а также видно, что состояния Al из оксида
мами Ti или Al третьего слоя от поверхности, и hcp,
не участвуют во взаимодействии с атомами сплава
если О находится в такой же позиции над соответ-
TiAl.
ствующими атомами второго слоя от поверхности.
В случае Si на Al-позиции наблюдается резкий
Наиболее предпочтительной позицией для кислоро-
пик s-состояний примерно при -10 эВ (рис. 5б), ко-
да является fcc (Ti2Al) с энергией 5.55 эВ (∼ 5.12 эВ
торый хорошо совпадает с отщепленным пиком p-
[15]). Различие в абсолютных значениях энергий ад-
состояний O при той же энергии. Кроме того, сдвиг
сорбции кислорода может быть связано с оценкой
426
ЖЭТФ, том 164, вып. 3 (9), 2023
Влияние примесей на адгезию. . .
N, эл./эВ
N, эл./эВ
N, эл./эВ
а
б
в
-8
-4
0
4
-8
-4
0
4
-8
-4
0
4
E, эВ
E, эВ
E, эВ
Рис.
4.
Плотности электронных состояний интерфейсных атомов для легированной границы раздела
TiAl(111)/Al2 O3(0001)O: Nb (а), Rh (б), Pd (в) (примеси на Ti-подрешетке). Локальные ПЭС соответствующих
атомов на идеальном интерфейсе показаны заливкой
N, эл./эВ
N, эл./эВ
N, эл./эВ
а
б
в
-8
-4
0
4
-8
-4
0
4
-8
-4
0
4
E, эВ
E, эВ
E, эВ
Рис.
5. Локальные плотности электронных состояний интерфейсных атомов для легированной границы раздела
TiAl(111)/Al2 O3(0001)O: Ga (а), Si на Al-подрешетке (б), Si на Ti-подрешетке (в). Заливка показывает локальные плот-
ности состояний, соответствующие атомам на идеальном интерфейсе
Таблица 2. Разница (в эВ) в энергии адсорбции кислорода для двух конфигураций на поверхности TiAl(111)
ΔEads
Настоящие результаты
[14]
[15]
fcc-hcp (Ti2Al)
0.06
0.10
0.09
fcc-hcp (TiAl2)
0.03
0.06
0.05
427
8*
А. В. Бакулин, А. С. Кульков, С. Е. Кулькова
ЖЭТФ, том 164, вып. 3 (9), 2023
ΔEads, эВ
составляет примерно 0.5Å. Отметим, что ковалент-
ный радиус родия (1.25Å) меньше, чем титана. На-
γ-TiAl(111)
против, на границе раздела TiAl/Al2O3(0001)O Rh
на Ti-подрешетке смещается примерно на 0.6
Å в
объем сплава. В целом влияние 4d-примесей на ад-
гезию на границе раздела TiAl/Al2O3(0001)O не пре-
вышает 0.6 Дж/м2 и незначительно больше в случае
-0.5
In и Sn. Уменьшение содержания Ti в сплаве TiAl
приводит к снижению интерфейсной прочности, но
-1.0
адгезия на границе раздела остается достаточно вы-
Ti-подрешетка
сокой.
-1.5
Al-подрешетка
3.6. Влияние концентрации титана в сплаве
на адгезию
Рис.
6. Энергия адсорбции кислорода в fcc-позиции
(Ti2Al) для легированной элементами 4d-периода поверх-
В заключении кратко обсудим изменение адге-
ности TiAl(111) по сравнению с нелегированной
зии на интерфейсе TiAl/Al2O3(0001)O в зависимо-
сти от концентрации титана в сплаве. Для коррект-
рассчиты-
ности сопоставления все значения Wsep
полной энергии молекулы кислорода. Для ее оцен-
вались в рамках одной модели, т.е. число атомных
ки необходим спин-поляризованный расчет, но он не
слоев сплава и оксида, площадь контакта сохраня-
всегда проводится.
лись без изменений, тогда как состав и структура из-
Изменение энергии адсорбции кислорода в наи-
менялись. На рис. 8 представлены полученные зна-
более предпочтительной fcc-позиции (Ti2Al) вслед-
чения адгезии для четырех рассмотренных интер-
ствие легирования примесями 4d-периода показано
фейсов. Видно, что в случае границы раздела с чи-
на рис. 6. Видно, что все рассмотренные примеси,
стым α-Ti в гексагональной фазе достигает значе-
замещающие Ti в поверхностном слое приводят к
ния 12.01 Дж/м2. Отметим, сплав α2-Ti3Al имеет
уменьшению энергии адсорбции, как это было об-
фактически такую же структуру, но часть узлов за-
наружено ранее в случае поверхности Ti3Al(0001)
нята атомами алюминия (три из двенадцати атомов
[21]. В то же время примеси начала 4d-периода (Y,
в каждом атомном слое (0001)). Такое изменение со-
Zr, Nb, Mo) на Al-подрешетке увеличивают энергию
става приводит к понижению адгезии примерно на
адсорбции на 0.20-0.35 эВ.
1 Дж/м2.
На рис. 7 видно, что изменение энергии адгезии
Атомная структура сплава γ-TiAl очень близ-
на границе раздела TiAl(111)/Al2O3(0001) за счет
ка к гранецентрированной кубической структуре,
легирования хорошо согласуется с изменением энер-
которую имеет чистый алюминий. Таким обра-
гии адсорбции кислорода на контактной поверхно-
зом, при переходе от Ti3Al к TiAl необходимо не
сти TiAl(111). Прямые линии на рис. 7 были полу-
только заменить треть атомов титана на алюми-
чены методом наименьших квадратов. Коэффици-
ний, но и изменить структуру пленки сплава. Рас-
ент корреляции равен 0.89 и 0.91 в случае примесей
четы показали, что дальнейшее уменьшение кон-
соответственно на Ti- и Al-подрешетках. Таким об-
центрации титана также приводит к понижению
разом, можно сделать вывод, что микроскопический
Wsep примерно на 0.6 Дж/м2 (рис. 8). Посколь-
механизм влияния примеси на характеристики свя-
ку сплав TiAl3 имеет тетрагональную структуру с
зи на внешней и внутренней границах раздела прак-
параметром c/a ∼ 2.2, построить границу разде-
тически одинаков. Наибольшее отклонение получе-
ла TiAl3/Al2O3(0001)O в рамках аналогичной мо-
но для Y, Rh, Cd, In, Sn на Ti-подрешетке и Y, V, Sn
дели не представляется возможным. Поэтому воз-
на Al-подрешетке, что может быть связано с боль-
можен только предельный случай, когда все ато-
шей деформацией атомной структуры поверхности
мы титана заменены на алюминий. Работа отрыва
или границы раздела этими примесями и, как след-
на границе раздела Al(111)/Al2O3(0001)O составля-
ствие, с увеличением механического вклада в хими-
ет 9.32 Дж/м2, что находится в согласии со значени-
ческую связь. Например, в случае замещения тита-
ями 8.75-9.73 Дж/м2 из ранней работы [36]. Таким
на на поверхности TiAl(111) родием кислород суще-
образом, становится очевидным, что именно взаи-
ственно смещается от примеси, причем этот сдвиг
модействие O-Ti является ключевым фактором в
428
ЖЭТФ, том 164, вып. 3 (9), 2023
Влияние примесей на адгезию. . .
ΔWsep, Дж/м2
ΔWsep, Дж/м2
Ti-подрешетка
Al-подрешетка
0.00
а
0.25
б
-0.25
0.00
-0.50
−0.25
-0.75
-0.50
-1.5
-1.0
-0.5
0.0
-1.0
-0.5
0.0
0.5
ΔEads, эВ
ΔEads, эВ
Рис. 7. Работа отрыва на границе раздела TiAl(111)/Al2 O3(0001)O в зависимости от энергии адсорбции кислорода на
TiAl(111) для разных примесей на подрешетках Ti (a) и Al (б)
Wsep, Дж/м2
ки сплава, приводят в основном к уменьшению ад-
гезии на легированном интерфейсе. Показано, что
только элементы групп IVB-VIB, замещающие Al,
лишь незначительно увеличивают адгезию. Выявле-
ны электронные факторы, ответственные за измене-
ние адгезии на легированном интерфейсе. Показано,
что перенос заряда к атому кислорода уменьшается
с заполнением валентной 4d-зоны, тогда как гибри-
дизационный вклад в химическую связь увеличива-
ется. В то же время появление разрыхляющих со-
стояний для некоторых примесей приводит к умень-
шению гибридизационного вклада и, как следствие,
адгезии на легированном интерфейсе. В целом эф-
фект примеси определяется конкуренцией ионного
Ti
Ti Al3
TiAl
Al
и гибридизационного вкладов в химическую связь
на интерфейсе. Расчеты указывают, что некоторые
Рис.
8.
Работа отрыва на границе раздела
примеси, в частности, Rh и Pd, могут способство-
Ti1-xAlx/Al2O3(0001)O в зависимости от концентра-
вать усилению взаимодействия O-Al на границе раз-
ции титана, значение x изменяется от
0
для чистого
дела.
титана до 1 в случае алюминия
Показано, что примеси, замещающие атом Ti в
поверхностном слое TiAl(111), приводят к уменьше-
повышении адгезии на интерфейсе с кислородным
нию энергии связи кислорода с поверхностью. Име-
окончанием поверхности Al2O3(0001).
ет место корреляция между адгезией на легирован-
ном интерфейсе TiAl(111)/Al2O3(0001)O и энергией
адсорбции кислорода на легированной поверхности
4. ЗАКЛЮЧЕНИЕ
TiAl(111). Это позволяет сделать вывод, что влия-
ние примесей на характеристики связи на внутрен-
Проведено теоретическое исследование атомной
ней и внешней границах раздела в случае сплава
и электронной структур легированного интерфейса
TiAl качественно одинаково. Таким образом, влия-
TiAl(111)/Al2O3(0001)O и его адгезионных свойств
ние примесей на адгезионные свойства можно оце-
методом проекционных присоединенных волн. Уста-
нить по их влиянию на энергию адсорбции кис-
новлено, что все рассмотренные 4d-металлы и эле-
лорода на контактных поверхностях, что требует
менты групп IIIA и IVA, занимающие обе подрешет-
429
А. В. Бакулин, А. С. Кульков, С. Е. Кулькова
ЖЭТФ, том 164, вып. 3 (9), 2023
меньших вычислительных затрат. В целом умень-
14.
S. Y. Liu, J. X. Shang, F. H. Wang et al., Phys. Rev.
шение содержания Ti в сплавах Ti-Al приводит
B 79, 075419 (2009).
к снижению интерфейсной прочности примерно на
0.6 Дж/м2.
15.
H. Li, S. Wang, and H. Ye, J. Mater. Sci. Technol.
25, 569 (2009).
Финансирование. Работа выполнена в соответ-
ствии с государственным заданием Института физи-
16.
S. Y. Liu, J. X. Shang, F. H. Wang et al., J. Phys.:
Condens. Matter 21, 225005 (2009).
ки прочности и материаловедения Сибирского отде-
ления Российской академии наук (проект FWRW-
17.
Y. Song, J. H. Dai, and R. Yang, Surf. Sci. 606, 852
2022-0001). Численные расчеты проводились на су-
(2012).
перкомпьютере СКИФ Cyberia в Томском государ-
ственном университете.
18.
S. E. Kulkova, A. V. Bakulin, Q. M. Hu et al.,
Comput. Mater. Sci. 97, 55 (2015).
ЛИТЕРАТУРА
19.
L. Wang, J. X. Shang, F. H. Wang et al., Acta
Materialia 61, 1726 (2013).
1.
Z. Li and W. Gao, in Intermetallics Research
Progress, ed. by Y. N. Berdovsky, Nova Sci. Publ.,
20.
S. E. Kulkova, A. V. Bakulin, and S. S. Kulkov,
New York (2008), p. 1.
Comput. Mater. Sci. 170, 109136 (2019).
2.
J. Dai, J. Zhu, C. Chen et al., J. Alloys Compd. 685,
21.
A. V. Bakulin, S. Hocker, S. Schmauder et al., Appl.
784 (2016).
Surf. Sci. 487, 898 (2019).
3.
M. R. Shanabarger, Appl. Surf. Sci. 134, 179 (1998).
22.
Y. Koizumi, M. Kishimoto, Y. Minamino et al.,
Philos. Mag. A 88, 2991 (2008).
4.
V. Maurice, G. Despert, S. Zanna et al., Acta
Materialia 55, 3315 (2007).
23.
А. В. Бакулин, А. М. Латышев, С. Е. Kulkova,
ЖЭТФ 152, 164 (2017).
5.
T. Izumi, T. Yoshioka, S. Hayashi et al.,
Intermetallics 9, 547 (2001).
24.
S. E. Kulkova, A. V. Bakulin, and S. S. Kulkov, Latv.
J. Phys. Tech. Sci. 6, 20 (2018).
6.
L. Y. Kong, J. Z. Qi, B. Lu et al., Surf. Coat. Technol.
204, 2262 (2010).
25.
А. В. Бакулин, С. С. Кульков, С. Е. Кулькова,
ЖЭТФ 157, 688 (2020).
7.
T. Sasaki, T. Yagi, T. Watanabe et al., Surf. Coat.
26.
E. Epifano and G. Hug, Comput. Mater. Sci. 174,
Technol. 205, 3900 (2011).
109475 (2020).
8.
M. Sebastiani and E. Bemporad, Intermetallics 37,
27.
D. Connétable, A. Prillieux, C. Thenot et al., J.
76 (2013).
Phys.: Condens. Matter 32, 175702 (2020).
9.
J. Q. Wang, L. Y. Kong, T. F. Li et al., J. Therm.
28.
A. V. Bakulin, S. S. Kulkov, and S. E. Kulkova,
Spray Technol. 24, 467 (2015).
Intermetallics 137, 107281 (2021).
10.
J. Q. Wang, L. Y. Kong, T. F. Li et al., Appl. Surf.
29.
Y. Song, F. J. Xing, J. H. Dai et al., Intermetallics
Sci. 361, 90 (2016).
49, 1 (2014).
11.
J. Q. Wang, L. Y. Kong, J. Wu et al., Appl. Surf. Sci.
30.
J. H. Dai, Y. Song, and R. Yang, Intermetallics 85,
356, 827 (2015).
80 (2017).
12.
J. Huang, F. Zhao, X. Cui et al., Appl. Surf. Sci. 582,
31.
B. Wang, J. Dai, X. Wu et al., Intermetallics 60, 58
152444 (2022).
(2015).
13.
H. Li, L. Liu, S. Wang et al., Acta Metallurgica Sinica
32.
Y. Li, J. H. Dai, and Y. Song, Comput. Mater. Sci.
42, 897 (2006).
181, 109756 (2020).
430
ЖЭТФ, том 164, вып. 3 (9), 2023
Влияние примесей на адгезию. . .
33. A. V. Bakulin, S. S. Kulkov, and S. E. Kulkova, Appl.
40. M. Lucht, M. Lerche, H. C. Wille et al., J. Appl.
Surf. Sci. 536, 147639 (2021).
Cryst. 36, 1075 (2003).
34. А. В. Бакулин, С. С. Кульков, С. Е. Кулькова, Изв.
41. P. Villars and L. D. Calvert, Pearson’s Handbook of
вузов. Физика 63, 3 (2020).
Crystallographic Data for Intermetallic Phases, ASM,
Materials Park, OH (1991).
35. A. V. Bakulin, S. S. Kulkov, S. E. Kulkova et al.,
Metals 10, 1298 (2020).
42. T. A. Manz and N. G. Limas, RSC Adv. 6, 47771
(2016).
36. D. J. Siegel, L. G. Hector, Jr., and J. B. Adams, Phys.
Rev. B 65, 085415 (2002).
43. N. G. Limas and T. A. Manz, RSC Adv. 6, 45727
(2016).
37. P. E. Blöchl, Phys. Rev. B 50, 17953 (1994).
38. G. Kresse and J. Joubert, Phys. Rev. B 59, 1758
44. T. A. Manz, RSC Adv. 7, 45552 (2017).
(1999).
45. W. M. Haynes, CRC Handbook of Chemistry and
39. J. P. Perdew, K. Burke, and M. Ernzerhof, Phys. Rev.
Physics,
96th Edition, CRC Press/Taylor and
Lett. 77, 3865 (1996).
Francis, Boca Raton, FL (2015), p. 9.
431