ЖЭТФ, 2023, том 164, вып. 3 (9), стр. 467-477
© 2023
ДИНАМИКА ЯН-ТЕЛЛЕРОВСКОГО УПОРЯДОЧЕНИЯ В
ПАРАЭЛЕКТРИЧЕСКОЙ ФАЗЕ BiMn7O12: ЗОНДОВАЯ
МЕССБАУЭРОВСКАЯ ДИАГНОСТИКА НА ЯДРАХ57Fe
А. В. Соболевa, В. И. Ниценкоa, А. А. Беликb, Я. С. Глазковаa*, М. С. Кондратьеваc,
И. А. Пресняковa,c
a Московский государственный университет им. М. В. Ломоносова
119991, Москва, Россия
b Research Center for Materials Nanoarchitectonics (MANA),
National Institute for Materials Science (NIMS)
Tsukuba 305-0044, Ibaraki, Japan
c Shenzhen MSU-BIT University
Shenzhen 518115, Guangdong province, China
Поступила в редакцию 27 апреля 2023 г.,
после переработки 27 апреля 2023 г.
Принята к публикации 2 мая 2023 г.
Представлены результаты мессбауэровского исследования электрических сверхтонких взаимодействий
зондовых ядер57Fe, стабилизированных в структуре манганита BiMn7O12. Измерения спектров про-
водились в параэлектрической области температур, включающей структурные фазовые переходы
I 2/m ↔ Im3 (T1 ≈ 600 K) и Im ↔ I2/m (T2 ≈ 450 K). Расчет параметров тензора градиента электриче-
ского поля с учетом дипольных вкладов от катионов Bi3+ в области первого фазового перехода позволил
подтвердить случайную ориентацию дипольных моментов pBi в кубической фазе манганита (Im3). На
основании анализа мессбауэровских спектров при T2 < T < T1 в рамках релаксационной двухуровневой
модели рассмотрены различные сценарии проявления динамического эффекта Яна-Теллера, приводя-
щего к ¾плавлению¿ орбитального порядка в подрешетке марганца.
DOI: 10.31857/S0044451023090158
тионы Mn3+(d4) в идеальном октаэдрическом ани-
EDN: KENEEI
онном окружении имеют двукратно вырожденную
конфигурацию e1g, для которой характерно не толь-
ко локальное искажение полиэдров MnO6, сохра-
1. ВВЕДЕНИЕ
няющее их центр симметрии, но и кооперативное
взаимодействие самих ян-теллеровских центров, ко-
Повышенный интерес исследователей к двой-
торое часто приводит к орбитальному упорядоче-
ному манганиту висмута BiMn7O12 [1-4] и соеди-
нию [7, 8, 11, 12]. Именно с орбитальным упорядо-
нениям на его основе, например, BiMn7-xCuxO12
чением часто связано образование при низких тем-
(0 < x ≤ 1) [5, 6] связан с большим числом проявляе-
пературах необычных типов магнитного упорядоче-
мых этими перовскитоподобными системами струк-
ния катионов Mn3+ [2, 6, 13, 14]. В случае легко поля-
турных и магнитных фазовых переходов. Предпола-
ризуемых катионов Bi3+(6s2), имеющих стереохими-
гается, что подобное разнообразие разных по своей
чески активную неподеленную 6s2-электронную па-
природе переходов во многом связано с входящими
ру, индуцируемые искажения кристаллической ре-
в состав этих оксидов двух ¾активных¿, с точки зре-
шетки приводят к исчезновению центросимметрич-
ния структурной неустойчивости, катионов Mn3+
ных позиций. В большинстве случаев с этими типа-
и Bi3+ [7-10]. Высокоспиновые ян-теллеровские ка-
ми искажений связаны переходы кристаллов в фер-
роэлектрическое состояние [15, 16]. Сосуществова-
* E-mail: janglaz@bk.ru
ние в одном соединении магнитного порядка и элек-
467
А. В. Соболев, В. И. Ниценко, А. А. Белик и др.
ЖЭТФ, том 164, вып. 3 (9), 2023
трической поляризации является характерной осо-
в интервале 2θ от 3 до 60◦ с шагом 0.003◦. Использо-
бенностью ¾собственных¿ мультиферроиков, имею-
вали монохроматическое излучение с длиной волны
щих большое фундаментальное и практическое зна-
λ = 0.65298Å. Интерпретация диффрактограмм и
чение [17].
уточнение параметров кристаллической решетки
В последнее время для исследования рассмат-
проводились методом Ритвельда с помощью пакета
риваемых манганитов и схожих классов соеди-
RIETAN-2000 [26].
нений все чаще применяются локальные ядерно-
Кривые дифференциальной сканирующей кало-
резонансные методы диагностики [18-24]. Получа-
риметрии (ДСК) измеряли в алюминевых капсулах
емые с помощью этих методов температурные зави-
с помощью калориметра Mettler Toledo DSC1 STARe
симости сверхтонких магнитных полей Bhf и глав-
при скорости нагрева/охлаждения 10 К/мин в токе
ных компонент Vii тензора градиента электриче-
азота и температурном диапазоне от 140 до 673 К.
ского поля (ГЭП) отражают аналогичные зависи-
мости спонтанных намагниченности и электриче-
Мессбауэровские спектры измерялись на спек-
ской поляризации [9, 18-24]. Ранее нами уже были
трометре электродинамического типа MS-1104Em,
опубликованы результаты исследования BiMn7O12
работающем в режиме постоянного ускорения. В
методом зондовой мессбауэровской спектроскопии
качестве источника мессбауэровского γ-излучения
ядер57Fe в температурных областях со спонтан-
использовали
57Co(Rh). Значения изомерных
ной электрической поляризацией TN < T < T2 (где
сдвигов приводятся относительно α-Fe
(298
К).
TN ≈ 60 К и T2 ≈ 450 K) [25]. На основании полу-
Расшифровка экспериментальных мессбауэров-
ченных экспериментальных данных и разработан-
ских спектров осуществлялась с использованием
ных модельных подходов впервые были построены
программного пакета SpectrRelax
[27]. Расчет
температурные зависимости электрической поляри-
параметров тензора ГЭП проводился с помощью
зации PS(T), по которым удалось установить приро-
программы GradientNCMS, разработанной в НИЛ
ду наблюдаемых структурных фазовых переходов.
ядерно-химического материаловедения химического
В настоящей работе зондовый вариант мессбауэ-
факультета МГУ.
ровской спектроскопии на ядрах57Fe применен для
исследования двух высокотемпературных областей,
в первой из которых (T > T1 ≈ 600 K) BiMn7O12
3. РЕЗУЛЬТАТЫ И ОБСУЖДЕНИЕ
находится в разупорядоченном параэлектрическом
состоянии, а во второй (T1 > T > T2 ≈ 450 K), как
3.1. Кристаллографические и
предполагается в некоторых работах [3, 5, 6], пере-
термодинамические данные
ходит в состояние с орбитальным упорядочением в
Дифрактограммы полученного манганита
подрешетке марганца. Цель настоящей работы со-
BiMn6.96Fe0.04O12 не выявили присутствия каких-
стоит в построении общей картины наблюдаемых
либо дополнительных рефлексов, которые могли
для манганита BiMn7O12 структурных и электри-
бы относиться к примесным фазам (рис. 1). При
ческих фазовых переходов, демонстрирующих вза-
T = 615 К все наблюдаемые рефлексы относятся
имосвязь между так называемыми орбитальными,
к кубической фазе (Im3) BiMn7O12, стабильной
зарядовыми и спиновыми степенями свободы в фа-
при T
> T1 (рис. 1а). При переходе в область
зах с сильной электронной корреляцией.
T2 < T < T1 происходит расщепление рефлексов,
соответствующее моноклинной сингонии I2/m
(рис.
1б) Дифрактограммы BiMn6.96Fe0.04O12
2. ЭКСПЕРИМЕНТАЛЬНАЯ ЧАСТЬ
практически не отличаются от недопированного
манганита BiMn7O12 при тех же температурах [3].
Методика синтеза легированного манганита
BiMn6.96Fe0.04O12 при высоких давлениях была
На кривых ДСК образца BiMn6.96Fe0.04O12
подробно описана в наших предыдущих публика-
(рис. 2) в области 350-650 К наблюдаются два
циях [3, 25]. Контроль однофазности полученных
фазовых перехода. Один из них (420-440 К) от-
образцов и структурные исследования проводились
вечает структурному превращению Im ↔ I2/m,
с помощью порошковой дифракции на синхро-
подробному описанию которого была посвящена
тронном источнике рентгеновского излучения в
наша предыдущая работа [25]. Интенсивные сиг-
температурном диапазоне 300-650 К в большой ка-
налы при более высоких температурах (580-600 К)
мере Дебая-Шеррера на линии BL15XU (SPring-8)
относятся к структурному переходу I2/m ↔ Im3,
468
ЖЭТФ, том 164, вып. 3 (9), 2023
Динамика ян-теллеровского упорядочения. . .
Рис. 1. (В цвете онлайн.) Рентгенограммы манганита BiMn6.9657Fe0.04O12, измеренные при T = 615 K (T > T1) (a) и
T = 480K (T2 < T < T1) (б). На вставках изображены структурные фрагменты кубической Im3 и моноклинной I2/m
модификаций двойного манганита BiMn7O12, устойчивых при соответствующих температурах [3]
AMn7O12 (A = Sr, Cd) [29] и, таким образом, может
служить косвенным подтверждением локализации
атомов57Fe в структуре исследуемого манганита.
3.2. Мессбауэровские данные для диапазона
T >T1
На рис.
3а представлен характерный месс-
бауэровский спектр ядер
57Fe в манганите
Рис.
2. (В цвете онлайн) ДСК-кривые манганита
BiMn6.96Fe0.04O12, измеренный в
¾высокотемпе-
BiMn6.9657Fe0.04O12, полученные в режимах нагревания и
ратурном¿ диапазоне T > T1 ≈ 600K. Для всего
охлаждения
указанного диапазона спектры представляют собой
уширенный дублет с небольшим и практически не
зависящим от температуры квадрупольным расщеп-
ранее наблюдавшемуся для незамещенного об-
лением Δ ≈ 0.26 мм/c (рис. 3в). Полученное нами
разца BiMn7O12 при T1 = 608 K [3]. Сравнение
среднее значение изоиерного сдвига 〈δ〉633К ≈ 0.17
кривых ДСК, измеренных в режимах охлаждения
мм/с соответствует катионам Fe3+ [30], изовалентно
и нагревания, демонстрирует гистерезис шириной
замещающим Mn3+ в октаэдрических позици-
ΔT ≈ 6 К, который сопоставим с соответствую-
ях. Несмотря на то, что при T
> T1 манганит
щей величиной для BiMn7O12 (около
18 К) [3].
BiMn6.96Fe0.04O12 обладает кубической структу-
Небольшое уменьшение величины точки фазового
рой (пр. гр. Im3), частные октаэдрические позиции
перехода T1 ≈ 590 K для BiMn6.96Fe0.04O12 по срав-
Mn2, в которых стабилизируются зондовые катионы
нению с незамещенным образцом BiMn7O12 ранее
Fe3+, имеют более низкую локальную симметрию,
наблюдалось для других манганитов BiMnO3 [28] и
что объясняет тем самым ненулевое значение ГЭП
469
А. В. Соболев, В. И. Ниценко, А. А. Белик и др.
ЖЭТФ, том 164, вып. 3 (9), 2023
Рис. 3. (В цвете онлайн.) Характерные мессбауэровские спектры ядер57Fe в манганите BiMn6.9657Fe0.04O12, измеренные
в диапазонах T > T1 (а) и T2 < T < T1 (б). Справа на рис. а и б приведены распределения p(Δ) квадрупольных рас-
щеплений Δ. На рис. в приведены полученные экспериментальные (черные точки) и теоретические (цветные звездочки)
значения квадрупольных расщеплений Δ
и, как следствие, наблюдаемое квадрупольное
Как видно на рис. 4, основной вклад в VZZ для
расщепление дублета. Для подтверждения этого
кубической фазы дают катионы Bi3+ (VmonZZ > 0) и
предположения нами был проведен расчет радиаль-
Mn3+ (VmonZZ < 0). Однако из-за практически пол-
ной зависимости парциальных вкладов всех сортов
ной взаимной компенсации этих противоположных
ионов в главную компоненту VZZ тензора ГЭП. Рас-
по знаку вкладов решающее влияние на результи-
чет проводился в рамках ¾ионной модели¿ с учетом
рующее значение VZZ также могут оказывать ионы
только монопольных вкладов VmonZZ ионов, заряды
O2- (VmonZZ,O > 0). Несмотря на то, что проведенные
которых принимались равными их формальным
расчеты позволяют качественно объяснить проис-
степеням окисления (Bi3+, Mn3+ и O2-) (рис. 4).
хождение ГЭП в позициях Mn2 кубической фазы
Параметры кристаллической решетки были взяты
BiMn6.96Fe0.04O12, полученное теоретическое значе-
для нелегированного BiMn7O12 при T = 630 K [3].
ние Δtheor ∝ VZZ все же заметно отличается от экс-
470
ЖЭТФ, том 164, вып. 3 (9), 2023
Динамика ян-теллеровского упорядочения. . .
Рис. 5. (В цвете онлайн.) Зависимости квадрупольного
Рис. 4. Радиальные зависимости вкладов подрешеток вис-
расщепления Δtheor (черные точки) и дисперсии квадру-
мута, марганца и кислорода в манганите BiMn7O12 в глав-
польного расщепления Dtheorp (синие точки) от дипольного
ную составляющую ГЭП VZZ
момента pBi катионов Bi3+. Горизонтальные линии соот-
ветствуют экспериментальным значениям Δexp и Dexpp с
учетом погрешности
периментальной величины Δ ≈ 0.26 мм/c. Кроме то-
го, несмотря на эквивалентность всех позиций мар-
ганца Mn2, занимаемых зондовыми катионами Fe3+,
экспериментальные спектры не могут быть удовле-
творительно описаны в виде единственного квад-
рупольного дублета с неуширенными компонента-
ми, что свидетельствует о некотором распределении
p(VZZ )(∼ p(Δ)) значений VZZ (∼ Δ) на ядрах57Fe.
Мы предполагаем, что причина отмеченных вы-
ше расхождений может быть связана с необходимо-
стью учета при расчете параметров тензора ГЭП
не только монопольных VmonZZ, но и дипольных VdipZZ
вкладов от ионов, находящихся в нецентросиммет-
ричных позициях структуры. Точное решение этой
Рис. 6. Схема, поясняющая модель двухуровневой релак-
задачи невозможно из-за отсутствия надежных дан-
сации: Ei
энергии состояний ¾1¿ и ¾2¿; ni их за-
ных о значениях дипольных моментов ионов и их
селенности; Ωij частоты перехода между соответствую-
ориентации в кристалле. Однако в нашем случае
щими состояниями; EA энергия активации
основной вклад в VZZ связан только с катионами
Bi3+ (см. рис. 4), имеющими стереохимически ак-
чески полного совпадения теоретического и экспери-
тивную неподеленную 6s2-пару [1, 3]. Наличие такой
ментального значений квадрупольного расщепления
пары вызывает смещение катионов Bi3+ из центро-
(рис. 5). Полученная в расчетах величина электри-
симметричных позиций, что фактически равносиль-
ческого дипольного момента pBi ≈ 1.2 · 10-29 Кл · м
но индуцированию у них электрического дипольно-
попадает в диапазон соответствующих значений для
го момента pBi. Поэтому в дальнейших вычислениях
других оксидных соединений Bi(III) [10]. Наиболее
VZZ учитывались дипольные вклады VdipZZ,Bi только
важный результат вычислений состоит в том, что
от катионов Bi3+, при этом сами дипольные момен-
даже при случайной ориентации дипольных момен-
ты pBi выступали в качестве варьируемых парамет-
тов pBi позиции Mn2 становятся неэквивалентными
ров. Кроме того, поскольку при высоких темпера-
с точки зрения индуцируемого в них решеточного
турах T > T1 манганит BiMn7O12 является пара-
вклада в ГЭП. По сути, это и служит основной при-
электриком, мы предполагали, что дипольные мо-
чиной наблюдаемого уширения спектров, т. е. появ-
менты pBi случайным образом разориентированы в
ления распределения p(Δ) (см. рис. 3а). Используя
кубической решетке манганита [3]. Детали расчетов
рассчитанные теоретические значения Δtheor для
приведены в нашей работе [25].
каждой из позиций Mn2, различающихся лишь от-
Полученные результаты показали, что даже в
носительной ориентацией окружающих их моментов
рамках сделанных приближений учет дипольного
pBi, было смоделировано распределение ptheor(Δ),
вклада от катионов Bi3+ позволяет достичь практи-
дисперсия которого Dtheorp = 0.020 мм2/с2 оказалась
471
А. В. Соболев, В. И. Ниценко, А. А. Белик и др.
ЖЭТФ, том 164, вып. 3 (9), 2023
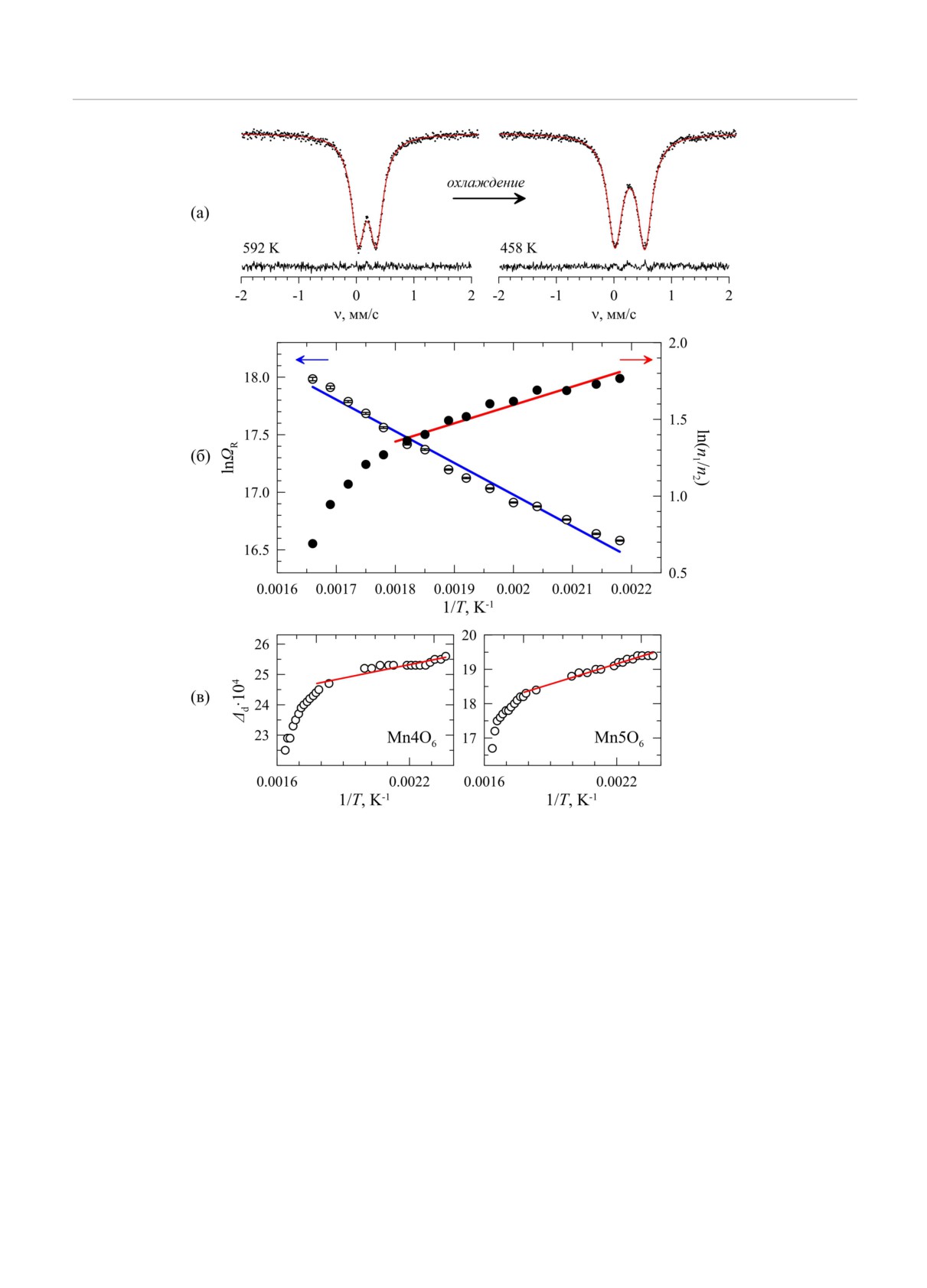
Рис. 7. (В цвете онлайн.) а) Мессбауэровские спектры BiMn6.9657Fe0.04O12 (T2 < T < T1), обработанные в рамках двух-
уровневой модели. б) Полученные зависимости логарифма lnΩR средней частоты релаксации и логарифма ln(n1/n2)
отношения заселенностей n1 и n2 от обратной температуры. в) Аналогичные зависимости параметров дисторсии Dd ок-
таэдров Mn4O6 и Mn5O6, рассчитанные с использованием структурных данных [3]. Линии красного цвета соответствуют
линейной аппроксимации в выбранных диапазонах
очень близкой к дисперсии Dexpp = 0.017(1)мм2/с2
ких температурах (T < T2) в антиферро- или ферро-
экспериментального распределения p(Δ) (рис. 5).
электрическое состояние будут сопровождаться упо-
рядочением диполей pBi, т. е. являются фазовыми
Таким образом, представленные выше мессбау-
переходами типа порядок-беспорядок [31] как аль-
эровские данные свидетельствуют о том, что в па-
тернатива фазовым переходам типа смещения [32].
раэлектрической кубической фазе BiMn6.96Fe0.04O12
В некоторых работах статические дипольные мо-
(при T > T1) катионы Bi3+, оставаясь в локально ис-
менты pBi связывают с наличием у катионов Bi3+
каженном кристаллическом окружении, сохраняют
неподеленной spx-гибридной электронной пары, на-
электрические дипольные моменты pBi, разориен-
правленной в противоположную сторону от направ-
трованные случайным образом в кубической решет-
ления смещения катиона висмута из его условной
ке. В этом случае фазовые переходы при более низ-
472
ЖЭТФ, том 164, вып. 3 (9), 2023
Динамика ян-теллеровского упорядочения. . .
центросимметричной позиции. В рамках такого под-
же допустить, что катионы Fe3+ с равной вероят-
хода можно качественно объяснить отмеченный в
ностью замещают в октаэдрической подрешетке
работах [1, 3] для BiMn7O12 (T
> T1) аномально
изовалентные им катионы марганца, то в спектре
большой по объему эллипсоид тепловых колебаний
57Fe должны присутствовать две парциальные
катионов Bi3+. Можно предположить, что этот эл-
компоненты. Кроме того, учитывая, что основной
липсоид является результатом наложения разнона-
вклад в ГЭП на ядрах сферических катионов
правленных spx-гибридных электронных пар, вер-
Fe3+ обусловлен искажением их кристаллического
шины которых образуют сферу, ¾воспринимаемую¿
окружения (решеточный вклад), трудно объяснить
дифракционными методами как аномально объем-
наблюдаемое нами довольно резкое изменение с
ные позиции висмута. Следует однако отметить, что
температурой квадрупольного расщепления.
подобный подход, основанный на теории гибридиза-
В качестве второго этапа в анализе полученных
ции валентных 6s- и 6p-орбиталей катионов Bi3+,
мессбауэровских данных нами были проведены рас-
является наглядной, но все же очень упрощенной
четы параметров тензора ГЭП с учетом монополь-
моделью, которая для большинства известных ок-
ных вкладов от всех ионов (Bi3+, Mn3+ и O2-) и до-
сидных фаз Bi(III) не нашла теоретического и экс-
полнительных дипольных вкладов от катионов Bi3+
периментального подтверждения [33-35].
и анионов O2-. При этом дипольный момент для
Bi3+ (pBi ≈ 1.2·10-29 Кл·м) был взят из наших рас-
четов для высокотемпературной области (T > T1). В
3.3. Мессбауэровские данные для диапазона
расчетах использовались кристаллографические па-
T2 < T < T1
раметры для моноклинной решетки (пр. гр. I2/m)
При понижении температуры манганит
нелегированного манганита BiMn7O12 при разных
BiMn6.9657Fe0.04O12 претерпевает структурный
температурах [3].
переход при T1 ≈ 600 К, сопровождающийся по-
Согласно полученным данным, значения главной
нижением симметрии кристаллической решетки
компоненты ГЭП (VZZ ) для позиций Mn4 и Mn5 ока-
из кубической (пр. гр. Im3) в моноклинную (пр.
зываются очень близкими друг к другу (3.76 · 1020
гр. I2/m) сингонию. Выше на рис. 3б приведен
и 4.21·1020 В/м2 соответственно), что, по-видимому,
характерный мессбауэровский спектр зондовых
объясняет наличие в распределениях единственно-
ядер
57Fe в моноклинной структуре BiMn7O12,
го максимума (см. рис. 3б). Как этого следовало
представляющий собой уширенный симметричный
ожидать, значения параметров ГЭП для обеих по-
квадрупольный дублет. Модельное описание подоб-
зиций марганца практически не зависят от темпера-
ных спектров очень неоднозначно из-за сильной
туры. Наконец, было установлено, что рассчитанные
корреляции параметров составляющих их ком-
для Mn4 и Mn5 значения квадрупольных расщепле-
понент. Поэтому на первом этапе анализа было
ний ΔtheorMni ≈ eQFeVtheorZZ,Mni (где QFe квадруполь-
восстановлено распределение p(Δ) квадрупольных
ный момент ядра57Fe в возбужденном состоянии)
расщеплений Δ (см. рис. 3б ), линейно связанных
существенно превышают соответствующие экспери-
с величиной изомерного сдвига δ [27]. На рис. 3б
ментальные расщепления Δexp (см. рис. 3в).
видно, что, несмотря на понижение симметрии
Мы предполагаем, что отмеченное расхождение
кристаллической решетки манганита, полученные
рассчитанных и экспериментальных значений квад-
распределения p(Δ) содержат единственный мак-
рупольных расщеплений, Δtheor > Δexp, а также
симум, отвечающий квадрупольному расщеплению
аномально резкая зависимость от температуры ре-
Δ(T ), величина которого резко возрастает при
шеточного вклада в ГЭП на ядрах зондовых ка-
понижении температуры измерения спектров (см.
тионов Fe3+ могут быть связаны с проявлением в
рис. 3в). Данный результат кажется неожиданным,
данной области температур динамического эффек-
поскольку в моноклинной структуре BiMn7O12 име-
та Яна-Теллера (ЯТ) катионов Mn3+ [36]. Взаимо-
ются две неэквивалентные позиции (Mn4 и Mn5)
действие ян-теллеровских центров Mn3+ в струк-
катионов Mn3+ в октаэдрическом кислородном
туре BiMn7O12 приводит к так называемому орби-
окружении (см. рис. 1б ). Поскольку синтез ман-
тальному упорядочению (или кооперативному эф-
ганита BiMn6.9657Fe0.04O12 требует использования
фекту ЯТ), которое также наблюдалось для дру-
высоких температур (около 1300 K), представля-
гих перовскитоподобных оксидных систем Mn(III):
ется маловероятным, что зондовые катионы Fe3+
RMnO3 [37, 38]; R1-xAxMnO3 [11]; AMn7O12 [14, 23]
избирательно замещают катионы Mn3+ лишь в
(R редкоземельный элемент (РЗЭ), A = Ca, Sr,
одной из двух октаэдрических подрешеток. Если
Pb). Для этих соединений переход в область вы-
473
11
ЖЭТФ, вып. 3 (9)
А. В. Соболев, В. И. Ниценко, А. А. Белик и др.
ЖЭТФ, том 164, вып. 3 (9), 2023
соких температур (T > TJT ) часто сопровождает-
ционным характером мессбауэровских спектров. В
ся структурным переходом с повышением симмет-
работах [44, 45] было показано, что в пределе ¾быст-
рии их кристаллической решетки, который связыва-
рой релаксации¿, т. е. при условии ΩR ≫ Ω0 (где
ют с динамическим эффектом ЯТ или, как говорят,
ΩR и Ω0
частоты релаксации окружения и квад-
плавлением кооперативного ян-теллеровского иска-
рупольной прецессии ядерного спина57Fe соответ-
жения [36].
ственно), мессбауэровские спектры могут быть опи-
Подобные переходы могут осуществляться либо
саны в рамках двухуровневой модели [45]. В этой
за счет постепенного повышения симметрии иска-
модели в качестве варьируемых параметров высту-
женных полиэдров Mn3+O6 до полного ¾выравни-
пают частоты прямого Ω12 и обратного Ω21 пере-
вания¿ заселенностей eg-орбиталей катионов Mn3+,
ходов из состояний ¾1¿ и ¾2¿ релаксирующей систе-
либо за счет ориентационного разупорядочения ис-
мы, связанные друг с другом в соответствии с прин-
каженных полиэдров Mn3+O6 с сохранением вплоть
ципом ¾детального равновесия¿ n1Ω12 = n2Ω21, где
до высоких температур (T ≫ TJT ) поляризации eg-
n1и n2
заселенности состояний (рис. 6) [45].
орбиталей [39]. В ряде работ отмечалось, что ло-
Спектры BiMn6.9657Fe0.04O12, обработанные в
кальное разупорядочение полиэдров Mn3+O6 может
рамках ДУМ, представлены на рис. 7а. На ос-
начинаться при температуре T∗, существенно мень-
новании полученных результатов можно сделать
шей, чем температура самого структурного фазо-
вывод о том, что средняя частота релаксации
вого перехода, TJT (≫ T∗) [40-42]. Предполагается,
ΩR = Ω12Ω21/(Ω12 + Ω21) ≈ (2 - 7) · 107 Гц в указан-
что переход в область ян-теллеровского разупоря-
ном диапазоне температур (рис. 7б ) значительно
дочения протекает через образование двухфазной
превышает частоту квадрупольной прецессии
области, в которой сосуществуют упорядоченная и
Ω0 ≈ 8.5 · 106 Гц ядерного спина57Fe. Увеличение
разупорядоченная фазы. Ширина ¾переходной об-
температуры приводит к постепенному выравнива-
ласти¿ T∗ < T < TJT в существенной степени зави-
нию заселенностей (n1 ≈ n2), что в пределе быстрой
сит от структурных факторов [39, 43]. В частности,
релаксации (ΩR ≫ Ω0) должно проявляться в виде
для семейства RMnO3 (R = РЗЭ) протяженность
резкого уменьшения видимого квадрупольного
данной области растет с уменьшением фактора то-
расщепления и лишь небольшого уширения ли-
лерантности τ Гольдшмидта [39]. Однако до сих пор
ний самого дублета [45]. Именно такой сценарий
отсутствуют надежные экспериментальные данные
полностью воспроизводит изменение всех экспери-
о том, какие структурные и электронные изменения
ментальных спектров при T2 < T < T1 (рис. 7а).
манганитов происходят в ¾переходной области¿ тем-
Из линейной аппроксимации температурной зави-
ператур.
симости ln(n1/n2) = f(1/T ) (рис. 7б ) была оценена
Известно, что при учете ангармонизма виброн-
средняя разница энергий ΔE = 69(2) мэВ двух со-
ных взаимодействий на поверхности адиабатическо-
стояний, между которыми происходит релаксация,
го потенциала возможных ядерных конфигураций
а энергия активации составила EА = 220(9) мэВ,
анионов O2-, образующих октаэдрические полиэд-
что коррелирует с другими перовскитоподобными
ры Mn3+O6, возникают локальные минимумы, ко-
манганитами Mn(III) [46]. Любые другие варианты
торым отвечают определенные орторомбические ис-
аппроксимации всей совокупности спектров при
кажения соответствующих полиэдров. При повыше-
T2 < T < T1 в предположении изотропной релак-
нии температуры кристаллическое окружение ян-
сации между вырожденными по энергии уровнями
теллеровских катионов Mn3+ стохастически релак-
адиабатического потенциала приводят к неудовле-
сирует между этими минимумами за счет туннель-
творительному описанию спектров и физически
ного эффекта или активационных возбуждений [44].
неразумному изменению параметров сверхтонких
Несмотря на то, что сами зондовые катионы Fe3+
взаимодействий.
не принимают участия в вибронных взаимодействи-
Необходимо отметить, что некоторое отклоне-
ях, из-за кооперативного характера эффекта ЯТ их
ние зависимостей средней частоты релаксации и
локальное кристаллическое окружение также будет
соотношения заселенностей (рис. 7б) может быть
испытывать динамические флуктуации.
связано с температурной эволюцией энергетическо-
Таким образом, можно предположить, что на-
го профиля релаксирующей системы вследствие
блюдаемое для диапазона T2 < T < T1 существенное
изменения значений параметров дисторсии Δd
занижение значений Δexp по сравнению с теорети-
полиэдров MnO6:
ческими расчетами может быть связано с релакса-
474
ЖЭТФ, том 164, вып. 3 (9), 2023
Динамика ян-теллеровского упорядочения. . .
структурным переходам типа смещения как альтер-
2
∑
нативы переходам типа порядок-беспорядок.
ln -1
ln
∑
6
1
n=1
Важно отметить, что описанные выше струк-
Δd =
=
турные изменения BiMn7O12 в области температур
6
∑
n=1
1
ln
6
ян-теллеровского перехода схожи со случаем изо-
n=1
структурной фазы LaMn7O12 [48], но принципиаль-
∑
но отличаются от ставших уже ¾классическими¿ пе-
1
=
[ln -lmed]2,
(1)
ровскитов RMnO3 (R = РЗЭ), для которых коопе-
6
lmed
n=1
ративный эффект ЯТ проходит по механизму ти-
где ln
длина n-й связи Mn-O(n), lmed
сред-
па порядок-беспорядок [31]. В случае этих окси-
нее значение длины соответствующих связей в по-
дов даже при температурах, заметно превышающих
лиэдре MnO6. Полученные зависимости этого пара-
TJT , полиэдры Mn3+O6 остаются искаженными, од-
метра для области T2 < T < T1 с использованием
нако направления этих искажений случайным об-
более ¾быстрого¿ метода рентгеновской дифрак-
разом разориентированы в кристалле, делая, таким
ции (рис. 7в), качественно согласуются с получен-
образом, структуру ¾макроскопически¿ более сим-
ными экспериментальными зависимостями релакса-
метричной, чем низкотемпературная орбитально-
ционных параметров.
упорядоченная фаза.
В моноклинной структуре BiMn7O12 искажение
полиэдров MnO6, соответствующее минимуму энер-
гии ε- адиабатического потенциала, описывается в
4. ВЫВОДЫ
виде ¾связывающей¿ Q(-) линейной комбинации ор-
торомбической Q2 и тетрагональной Q3 мод колеба-
Впервые методом мессбауэровской спектроско-
ний [47]. В этом случае искажению с большей энер-
пии на ядрах зондовых атомов57Fe исследована эво-
гией ε+ соответствует ¾разрыхляющая¿ мода коле-
люция локальной кристаллической структуры ман-
бания Q(+). В ¾локальном приближении¿ (т.е. с уче-
ганита BiMn6.96Fe0.04O12 в параэлектрической об-
том только ближайшего анионного окружения ме-
ласти температур T2 < T < T1. Установлено, что
талла) модам Q(-) и Q(+) соответствуют искажения
параметры электрических сверхтонких взаимодей-
с одинаковыми по величине, но противоположными
ствий ядер57Fe отражают особенности симметрии
по знаку компонентами VZZ тензора ГЭП на ядрах
кристаллического окружения катионов Mn3+ в этих
57Fe в позициях Mn43+ и Mn53+ [44]. Поэтому ¾вы-
позициях. Расчеты параметров тензора ГЭП с уче-
равнивание¿ при увеличении температуры заселен-
том монопольных и дипольных вкладов показали,
ностей двух уровней, ε+ и ε-, проявляется в месс-
что в параэлектрической кубической фазе мангани-
бауэровских спектрах зондовых ядер57Fe3+ в виде
та (при T > T2) катионы Bi3+, оставаясь в локаль-
резкого уменьшения их квадрупольного расщепле-
но искаженном кристаллическом окружении, сохра-
ния Δ(T ) ∝ 〈VZZ 〉 (где 〈VZZ 〉 усредненное по энер-
няют электрические дипольные моменты pBi, кото-
гетическим состояниям ε+ и ε- значение главной
рые разориентрованы случайным образом в куби-
компоненты тензора ГЭП) [44]. С другой стороны,
ческой решетке. Таким образом, фазовые перехо-
наблюдаемое монотонное уменьшение Δ(T ) вплоть
ды в ферроэлектрическое состояние будут сопро-
до точки T1 может свидетельствовать о постепенном
вождаться упорядочением диполей pBi, т. е. являют-
повышении симметрии полиэдров Fe3+O6 по мере
ся фазовыми переходами типа порядок-беспорядок.
приближения к температуре структурного фазового
Установлено, что наблюдаемое монотонное умень-
перехода Im3 ↔ I2/m (при T1). Данный вывод со-
шение квадрупольного расщепления Δ(T) вплоть
гласуется с дифракционными исследованиями неле-
до точки T1 может свидетельствовать о постепен-
гированного манганита BiMn7O12 с использованием
ном повышении симметрии полиэдров Fe3+O6 при
синхротронного излучения, которые также показы-
приближении к температуре структурного перехо-
вают постепенное уменьшение параметра дисторсии
да Im3 ↔ I2/m, что согласуется с синхротронными
Δd полиэдров Mn3+O6 по мере приближения тем-
дифракционными исследованиями нелегированного
пературы к T1 [3]. Подобное поведение, независимо
манганита BiMn7O12. Подобное поведение, незави-
проявляющееся в совершенно разных по своей фи-
симо проявляющееся в совершенно разных по своей
зической сути методах диагностики, свидетельству-
физической сути методах диагностики, свидетель-
ет о ян-теллеровском фазовом переходе второго ро-
ствует о ян-теллеровском фазовом переходе второго
да, механизм протекания которого можно отнести к
рода, механизм протекания которого можно отнести
475
11*
А. В. Соболев, В. И. Ниценко, А. А. Белик и др.
ЖЭТФ, том 164, вып. 3 (9), 2023
к структурным переходам типа смещения как аль-
17.
D. Khomskii, Physics 2, 20 (2009).
тернативы переходам типа порядок-беспорядок.
18.
E. Jo, S. Park, J. Lee et al., Sci. Rep. 7, 2178 (2017).
Финансирование. Исследование выполнено за
счет гранта Российского научного фонда (проект
19.
M. Prinz-Zwick, T. Gimpel, K. Geirhos et al., Phys.
№ 19-73-10034-П).
Rev. B 105, 014301 (2022).
20.
A. V. Zalessky, A. A. Frolov, T. A. Khimich et al.,
ЛИТЕРАТУРА
Europhys. Lett. 50, 547 (2000).
1.
F. Mezzandri, G. Calestani, M. Calicchio et al., Phys.
21.
M. Pregelj, P. Jeglič, A. Zorko et al., Phys. Rev. B
Rev. B 79, 100106 (2009).
87, 144408 (2013).
2.
A. Gauzzi, G. Rousse, F. Mezzandri et al., J. Appl.
22.
A. M. L. Lopes, G. N. P. Oliveira, T. M. Mendonça,
Phys. 113, 043920 (2013).
Phys. Rev. B 84, 014434 (2011).
3.
A. A. Belik, Y. Matsushita, Y. Kumagai et al., Inorg.
23.
A. A. Belik, Y. S. Glazkova, Y. Katsuya et al., J.
Chem. 56, 12272 (2017).
Phys. Chem. C 120, 8278 (2016).
4.
W. A. Slawinski, H. Okamoto, and H. Fjellwag, Acta
24.
A. Sobolev, V. Rusakov, A. Moskvin et al., J. Phys.:
Cryst. 73, 313 (2017).
Condens. Matter 29, 275803 (2017).
5.
A. A. Belik, Y. Matsushita, and D. D. Khalyavin,
25.
В. И. Ниценко, А. В. Соболев, А. А. Белик и др.,
Angew. Chem. Int. Ed. 56, 10423 (2017).
ЖЭТФ 163, 698 (2023).
26.
F. Izumi, T. Ikeda, Mater. Sci. Forum 321-324, 198
6.
D. D. Khalyavin, R. D. Johnson, F. Orlandi et al.,
(2000).
Science 369, 680 (2020).
27.
M. E. Matsnev and V. S. Rusakov, AIP Conf. Proc.
7.
D. I. Khomskii, Transition Metal Compounds,
1489, 178 (2012).
Cambridge Univ. Press, Cambridge (2014).
28.
Я. С. Глазкова, А. А. Белик, А. В. Соболев и др.,
8.
C. В. Стрельцов, Д. И. Хомский, УФН 187, 1205
Неорг. материалы 52, 546 (2016).
(2017).
29.
Y. S. Glazkova, N. Terada, Y. Matsushita et al.,
9.
A. V. Sobolev, V. S. Rusakov, A. M. Gapochka et al.,
Inorg. Chem. 54, 9081 (2015).
Phys. Rev. B 101, 224409 (2020).
30.
D. P. E. Dickson and F. J. Berry, Mössbauer
10.
А. В. Соболев, А. В. Боков, В. И и др., ЖЭТФ
Spectroscopy, Cambridge Univ. Press, Cambridge
156, 972 (2019).
(1986).
11.
J. B. Goodenough, Phys. Rev. 100, 564 (1955).
31.
M. E. Lines and A. M. Glass, Principles and
Applications of Ferroelectrics and Related Materials,
12.
P. G. Radaelli, D. E. Cox, M. Marezio et al., Phys.
Oxford Univ. Press, Oxford (1977).
Rev. B. 55, 3015 (1997).
32.
B. A. Strukov and A. P. Levanyuk, Ferroelectric
13.
R. D. Johnson, D. D. Khalyavin, P. Manuel et al.,
Phenomena in Crystals, Springer, Berlin, Heidelberg
Phys. Rev. B 93, 180403 (2016).
(1998).
14.
R. D. Johnson, D. D. Khalyavin, P. Manuel et al.,
33.
S. Hussain, S. K. Hasanain, G. H. Jaffari et al.,
Phys. Rev. B 96, 054448 (2017).
J. Amer. Ceram. Soc. 96, 3141 (2013).
15.
А. П. Пятаков, А. К. Звездин, УФН 182, 593
34.
T. Lottermoser and D. Meier, Phys. Sci. Rev. 6,
(2012).
20200032 (2021).
16.
J. G. Park, M. D. Le, J. Jeong et al., J. Phys.:
35.
Z. C. Xia, L. X. Xiao, C. H. Fang et al., J. Magn.
Condens. Matter 26, 433202 (2014).
Magn. Mater. 297, 1 (2006).
476
ЖЭТФ, том 164, вып. 3 (9), 2023
Динамика ян-теллеровского упорядочения. . .
36. M. D. Kaplan and B. G. Vekhter, Cooperative
42. S. Schaile, H.-A. Krug von Nidda, J. Deisenhofer et
Phenomena in Jahn-Teller Crystals, Springer, New
al., Phys. Rev. B 90, 054424 (2014).
York (1995).
43. J. Rodr´ıguez-Carvajal, M. Hennion, F. Moussa et al.,
37. J. A. Alonso, M. J. Martinez-Lope, M. T. Casais et
Phys. Rev. B 57, R3189(R) (1998).
al., Inorg. Chem. 39, 917 (2000).
44. F. Ham, J. Phys. Colloq. 35, C6-121 (1974).
38. M. Tachibana, T. Shimoyama, H. Kawaji et al., Phys.
45. M. Blume and J. A. Tjon, Phys. Rev. 165, 446 (1968).
Rev. B 75, 144425 (2007).
46. M. Capone, D. Feinberg, and M. Grilli, AIP Conf.
39. T. Chatterjee, Indian J. Phys. 80, 665 (2006).
Proc. 554, 395 (2001).
40. L. Mart´ın-Carrón and A. de Andrés, Eur. Phys. J. B
47. I. Bersuker, The Jahn-Teller Effect, Cambridge Univ.
22, 11 (2001).
Press, Cambridge (2006).
41. A. Trokiner, S. Verkhovskii, A. Gerashenko et al.,
48. H. Okamoto, M. Karppinen, H. Yamauchi et al., Sol.
Phys. Rev. B 87, 125142 (2013).
St. Sci. 11, 1211 (2009).
477