Письма в ЖЭТФ, том 109, вып. 3, с. 162 - 164
© 2019 г. 10 февраля
Высокотемпературная сверхпроводимость частиц графита
внедренного в полистирол
А. Н. Ионов+1), М. П. Волков+, М. Н. Николаева∗
+Физико-технический институт им. А.Ф.Иоффе, 194021 С.-Петербург, Россия
∗Институт высокомолекулярных соединений, 199004 С.-Петербург, Россия
Поступила в редакцию 23 ноября 2018 г.
После переработки 23 ноября 2018 г.
Принята к публикации 23 ноября 2018 г.
Для композита графит-полистирол исследованы зависимости магнитного момента от температуры
и магнитного поля. Показано, что для магнитного момента частиц графита наблюдается характерная
для сверхпроводников зависимость от магнитного поля, причем в том же температурном интервале, где
ранее в таком же композите наблюдалась джозефсоновская вольт-амперная характеристика.
DOI: 10.1134/S0370274X19030044
Одной из основных характеристик материалов,
нитного поля с целью обнаружения эффекта Мейс-
обладающих сверхпроводящими свойствами, являет-
снера, т.е. уменьшения магнитного момента компо-
ся джозефсоновский вид вольт-амперной характери-
зита при увеличении магнитного поля.
стики (ВАХ), что отличает их от нормальных метал-
Магнитные измерения образцов проводились
лов, где наблюдается омическая ВАХ. Ранее в [1, 2]
на вибрационном магнитометре комплекса PPMS-9
сообщалось, что в углерод/полимерном композите [3]
(Quantum Design) в интервале температур 2-400 K
наблюдается джозефсоновский вид ВАХ вплоть до
и магнитных полей 0 ÷ ±10 Тл. Измеряемый маг-
температур, превышающих комнатную.
нитометром магнитный момент композита Mcomp
Исследованный композит представлял собой мат-
состоит из 3 вкладов: 1) результирующего магнит-
рицу из полистирола, в которую были внедрены тон-
ного момента от всех частиц графита в композите
кие плоские частицы графита длиной несколько мик-
Mcarbon; 2) магнитного момента полистирола Mpol;
рон с концентрацией 3 весовых процента. Частицы
3) магнитного момента держателя образца Mhoder.
графита представляли собой сборку из многослойно-
Чтобы определить магнитный момент всех частиц
го графена, в которой, как известно, отдельные гра-
графита Mcarbon, надо из магнитного момента
феновые слои связаны друг с другом силами Ван-
композита Mcomp вычесть магнитный момент поли-
дер-Ваальса. Характерной особенностью композита
стирола Mpol и магнитный момент держателя. При
являлось то, что между графеновой сборкой, а имен-
отсутствии магнитных примесей частицы графита
но, между ее крайними графеновыми поверхностями
и полистирол должны быть диамагнетиками, как
и краями отдельных графеновых слоев были искус-
и держатель образцов, входящий в комплектацию
ственно созданы ковалентные связи с макромолеку-
магнитометра.
лами полимера (в нашем случае это был полисти-
На рисунке 1 представлены температурные зави-
рол) [3, 4]. Было сделано предположение, что сверх-
симости удельных магнитных моментов для:
проводимость в углерод/полимерном композите воз-
1) композита при H = 0 и H = 0.1 Tл;
никала из-за деформационных напряжений, кото-
рым подвергались многослойные графеновые части-
2) полистирола при H = 0.1 Tл;
цы (flakes) со стороны макромолекул полистирола
3) держателя образца при H = 0.1 Тл.
как следствие их разных термических коэффициен-
Как видно из рис.1: i) магнитный момент держа-
тов расширения [2].
теля образца Mhoder мал и не зависит от темпера-
В настоящей работе для композита, что исследо-
туры; ii) магнитный момент полистирола Mpol при
вался в работах [1,2], проведено измерение зависимо-
H = 0.1Tл положительный и также почти не зави-
стей магнитного момента (M) от температуры и маг-
сит от температуры; iii) магнитный момент компози-
та имеет отрицательное значение при всех темпера-
1)e-mail: ionov@tuch.ioffe.ru
турах. Здесь необходимо отметить, что отрицатель-
162
Письма в ЖЭТФ том 109 вып. 3 - 4
2019
Высокотемпературная сверхпроводимость частиц графита внедренного в полистирол
163
ное значение магнитного момента2), как известно, ха-
рактерно для сверхпроводников при охлаждении в
поле H < Hc и T < Tc.
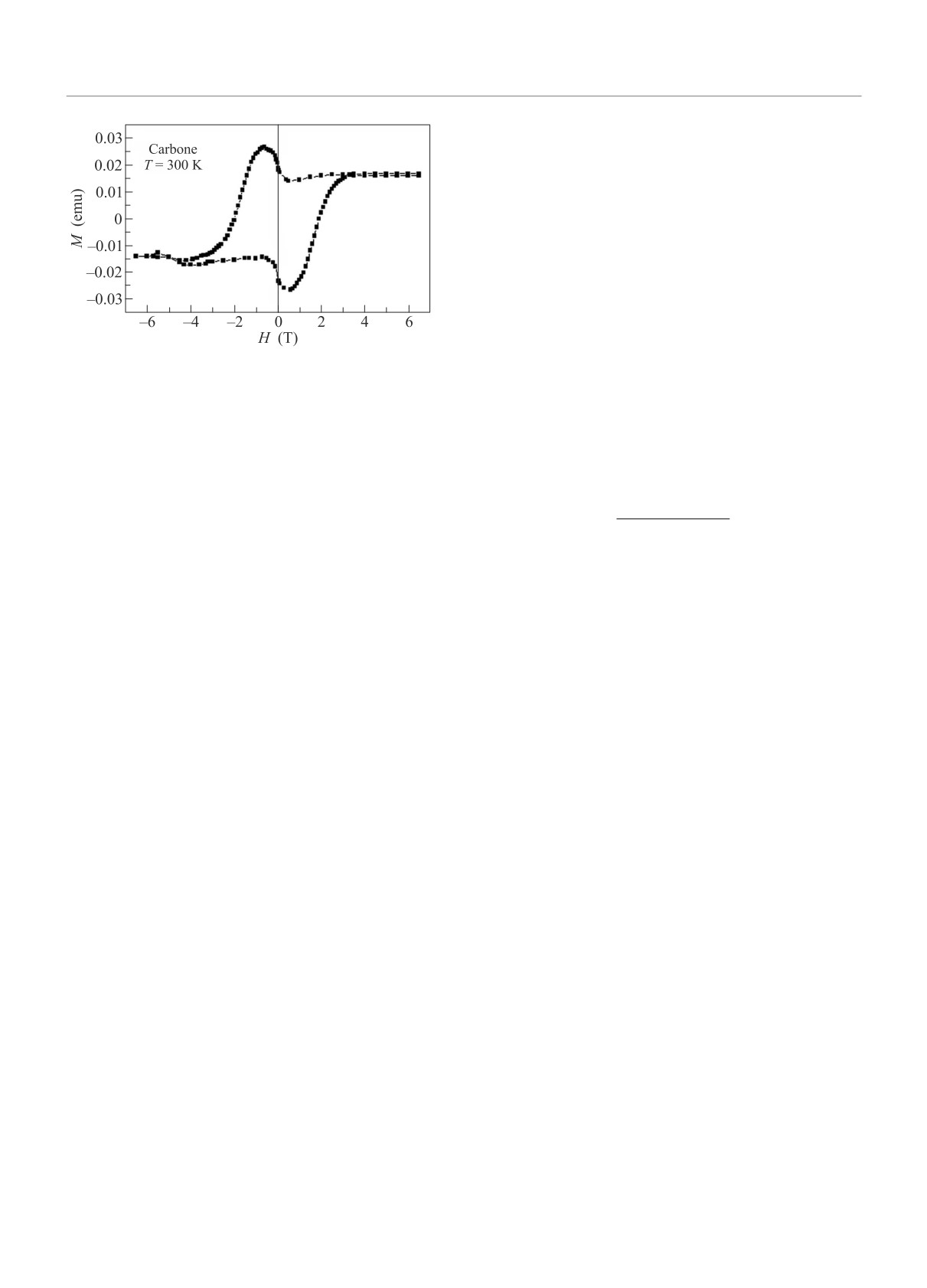
Рис. 2. Зависимость удельного магнитного момента от
магнитного поля для полимер-углеродного композита
при T = 300 K. Типичная зависимость для всего иссле-
дованного температурного интервала
Рис. 1. (Цветной онлайн) Температурные зависимости
удельного магнитного момента для: 1 - композита (чер-
ные квадраты H = 0 Тл; красная точка H = 0.1 Тл); 2 -
держателя образцов (синий перевернутый треугольник
H = 0.1Тл); 3 - полимера-полистирола (зеленый тре-
угольник)
В области температур T < 75 K уменьшение диа-
магнетизма, по-видимому, обусловлено ростом пара-
магнитного вклада от частиц графита, поскольку
магнитные моменты полистирола и держателя об-
разца, как это видно из рис. 1, от температуры не
зависят.
Для дальнейшего анализа рассмотрим зависи-
мость магнитного момента композита от магнитного
Рис. 3. (Цветной онлайн) Зависимость удельного маг-
поля. На рисунке 2 показана зависимость Mcomp от
нитного момента от магнитного поля для: 1 - полимер-
H для T = 300 K, аналогичные зависимости наблю-
углеродного композита (красные точки); 2 - полисти-
даются во всем температурном интервале 5 ÷ 400 K.
рола (черные квадраты) при T = 300 K после вычита-
Как видно из рис.2, Mcomp состоит из диамагнит-
ния их соответствующих диамагнитных компонент
ной части и гистерезисной составляющей ферромаг-
нитного типа, которая возрастает с понижением T .
Удельный магнитный момент полистирола Mpol
Представляющая для нас интерес гистерезис-
имеет значительную величину в сравнении с Mcomp
ная часть Mcomp приведена на рис. 3 после вычи-
и его вклад необходимо вычитать при определении
тания диамагнитной составляющей, в которой име-
магнитного момента углерода Mcarbon в композите.
лись вклады как от Mholder, так и Mpol. Здесь необ-
Парамагнитная примесь в полистироле может быть
ходимо отметить, что при исследовании зависимо-
связана с общепринятым в промышленности спосо-
сти Mholder(H, T) нами наблюдался только диамаг-
бом получения стирола, где происходит высокотем-
нетизм, в то же время, аналогичные исследования
пературный контакт с металлическими (ферромаг-
удельного магнитного момента полистирола показа-
нитными) катализаторами.
ли, что помимо диамагнитной составляющей у него
На рисунке 4 показана зависимость Mcarbon от H
имеется и парамагнитный вклад, который показан
при температуре 300 K, вычисленная с учетом весо-
также на рис. 3 после вычитания соответствующей
вого вклада полистирола в композит (97 %):
диамагнитной части.
Mcarbon(emu) = Mcomp(emu × g-1) × Wcomp(g) -
2)Диамагнитный сигнал не может быть связан с остаточным
полем сверхпроводящего соленоида, так как оно менее 0.01 Тл.
- Mpol(emu × g-1) × 0.97Wcomp.
Письма в ЖЭТФ том 109 вып. 3 - 4
2019
2∗
164
А. Н. Ионов, М. П. Волков, М. Н. Николаева
лась в том, что плотность состояний для носителей
тока была на порядки меньше плотности состояний
классического сверхпроводника, имеющего такую
же Tc.
Кроме того, многочисленные наблюдения, сде-
ланные за многие годы, косвенно указывающие на
наличие сверхпроводящих свойств в пиролитическом
графите вплоть до комнатной температуры [13, 14],
могут быть объяснены неконтролируемыми и, следо-
вательно, плохо воспроизводимыми от образца к об-
разцу напряжениями. Например, за счет внутренних
дефектов [15], приводящих к сдвигу или повороту со-
Рис. 4. Зависимость результирующего магнитного мо-
седних графеновых слоев относительно друг друга.
мента для частиц графита от магнитного поля, полу-
ченная после вычитания из композита парамагнитного
В заключение также отметим, что гистерезис, на-
вклада от полистирола при T = 300 K с учетом весо-
блюдаемый в не допированных углеродных матери-
вого вклада полистирола в композит. Типичная зави-
алах в области высоких температур, может быть
симость для всего исследованного температурного ин-
обусловлен исключительно эффектом сверхпроводи-
тервала
мости, а не эффектом ферромагнитного упорядоче-
ния [16].
Для удобства графической иллюстрации вес (W )
композита был принят равным 1g.
1.
A. N. Ionov, Tech. Phys. Lett. 41(7), 651 (2015).
Уменьшение Mcarbon(emu) с увеличением магнит-
2.
A. N. Ionov, J. Low. Temp. Phys. 185, 515 (2016).
ного поля до критического значения Hc ≈ 0.5 Tл ука-
3.
M. N. Nikolaeva, A. N. Bugrov, T. D. Anan’eva, and
зывает на сверхпроводящие свойства частиц графи-
A. T. Dideikin, Russ. J. Appl. Chem. 87(8), 1151 (2014).
та, находящихся в ковалентной связи с полистиро-
4.
M. N. Nikolaeva, T. D. Anan’eva, A. N. Bugrov,
лом. При этом сверхпроводящие свойства наблюда-
A. T. Dideikin, and E. M. Ivankova, Nanosystems:
Physics, Chemistry, Mathematics 8(2), 266 (2017).
ются в том же температурном интервале, где ранее
5.
М. Саад, И. Ф. Гильмутдинов, А. Г. Киямов, Д. А. Та-
наблюдался джозефсоновский вид ВАХ [1, 2]. Здесь
юрский, С. И. Никитин, Р. В. Юсупов, Письма в
следует также отметить, что верхняя температура
ЖЭТФ 107(1), 4 (2018).
наблюдения эффекта сверхпроводимости Tc ∼ 400 K,
6.
R. Bistrtzer and A. H. MacDonald, Proc. Natl. Acad.
в нашем случае, близка к Tc, при которой наблюда-
Scie. U.S.A. 108(30), 12233 (2011).
лись незатухающие токи в тонкодисперсном пироли-
7.
N. B. Kopnin, T. T. Heikkilä, and G. E. Volovik, Phys.
тическом графите в результате захвата магнитного
Rev. B 83(1-4), 220503 (2011).
потока [5].
8.
T. Heikkilä, N. B. Kopnin, and G. Volovik, JETP Lett.
Причина возникновения сверхпроводимости
94, 233 (2011).
9.
P. D. Esquinazi, T. T. Heikkilä, Y. V. Lysogorskiy,
в частицах графита, который состоит из сборок
D. A. Tayurskii, and G. E. Volovik, Pis’ma v ZhETF
многослойного графена, может быть связана с
100(5), 374 (2014).
деформацией сдвига, поворота одного слоя гра-
10.
A. Bianconi and T. Jarlborg, Nov. Supercond. Mater.
фена относительно другого из-за сильной связи
1, 37 (2015).
с полистиролом, который, как известно, имеет
11.
G. E. Volovik, JETP Lett. 107, 516 (2018).
отличный от частиц графита коэффициент терми-
12.
Y. Cao, V. Fatemi, S. Fang, K. Watanabe, T. Taniguchi,
ческого расширения/сжатия. В результате этого в
E. Kaxiras, and P. Jarillo-Herrero, Nature 556,
43
области интерфейса между графеновыми слоями
(2018).
возникают плоские энергетические зоны, которые
13.
K. Antonowicz, Nature 247, 358 (1974).
могут приводить к высокотемпературной, комнат-
14.
P. D. Esquinazi, C. E. Precker, M. Stiller,
ной сверхпроводимости
[6-11]. Предположение о
T. R. S. Cordeiro, J. Barzola-Quiquia, A. Setzer,
and W. Böhlmann, Quantum Stud.: Math. Found. 5,
роли деформации в появлении сверхпроводимости
41 (2018).
согласуется и с результатами работы [12], в которой
15.
F. Arnold, J. Nyéki, and J. Saunders, JETP Lett.
наблюдался эффект не классической сверхпроводи-
107(9), 577 (2018).
мости с Tc = 1.7 K в сэндвиче из двух слоев графена,
16.
N. Kheirabadi, A. Shafiekhani, and M. Fathipour,
повернутых на некоторый угол относительно друг
Superlattices and Microstructures 74, 123 (2014).
друга. Необычность сверхпроводимости заключа-
Письма в ЖЭТФ том 109 вып. 3 - 4
2019