Письма в ЖЭТФ, том 109, вып. 4, с. 209 - 218
© 2019 г. 25 февраля
Первое наблюдение эффекта осцилляций в эксперименте
Нейтрино-4 по поиску стерильного нейтрино
А. П. Серебров+1), В. Г. Ивочкин+, Р. М. Самойлов+, А. К. Фомин+, А. О. Полюшкин+, В. Г. Зиновьев+,
П.В.Неустроев+, В.Л.Головцов+, А.В.Черный+, О.М.Жеребцов+, М.Е.Чайковский+,
В.П.Мартемьянов∗, В.Г.Тарасенков∗, В.И.Алешин∗, А.Л.Петелин×, А.Л.Ижутов×, А.А.Тузов×,
С. А. Сазонтов×, М. О. Громов×, В. В. Афанасьев×, М. Е. Зайцев+◦, А. А. Герасимов+, Д. К. Рязанов◦
+Национальный исследовательский центр “Курчатовский институт” Петербургский институт ядерной физики,
188300 Гатчина, Россия
∗Национальный исследовательский центр “Курчатовский институт”, 123182 Москва, Россия
×ОАО Государственный научный центр Научно-исследовательский институт атомных реакторов,
433510 Димитровград, Россия
◦Димитровградский инженерно-технологический институт
(филиал Национального исследовательского ядерного университета “МИФИ”), 433511 Димитровград, Россия
Поступила в редакцию 12 июля 2018 г.
После переработки 3 декабря 2018 г.
Принята к публикации 6 декабря 2018 г.
Эксперимент Нейтрино-4 представляет результаты измерений зависимости потока и энергетическо-
го спектра реакторных антинейтрино от расстояния в диапазоне 6-12 м от центра реактора. Подгонка
экспериментальной зависимости законом 1/L2, где L - расстояние от центра реактора дает удовле-
творительный результат с критерием согласия 81 %. Однако, обнаружено отличие экспериментального
спектра антинейтринных сигналов от расчетного спектра. Использование экспериментального спектра
позволяет провести безмодельный анализ ограничений на параметры осцилляций Δm214 и sin2 2θ14. Ре-
зультатами такого анализа область реакторной и галлиевой аномалии оказывается исключенной с ве-
роятностью больше 99.7 % (> 3σ) для значений Δm214 < 3 эВ2 и sin2 2θ14 > 0.1. Однако в области зна-
чений Δm214 ≈ 7.3 эВ2, sin2 2θ14 ≈ 0.39 наблюдается эффект осцилляций на уровне достоверности 2.8σ.
Предложен метод когерентного сложения результатов измерений, позволяющий продемонстрировать
прямым образом эффект осцилляций. В целом складывается впечатление, что подтверждается эффект,
предсказанный в галлиевом и реакторном экспериментах, но при достаточно больших значениях Δm214.
Обсуждаются перспективы эксперимента.
DOI: 10.1134/S0370274X19040015
В настоящее время широко обсуждается гипотеза
потока от реактора с ожидаемым рассчитанным зна-
существования стерильного нейтрино. Можно пред-
чением требует точной оценки потока антинейтрино
положить, что из-за перехода реакторных антиней-
от реактора и эффективности нейтринного детекто-
трино в стерильное состояние будет наблюдаться эф-
ра. Это метод абсолютных измерений.
фект осцилляций на коротких расстояниях от реак-
Гипотеза осцилляций в стерильное состояние мо-
тора [1,2]. Кроме того, стерильное нейтрино рассмат-
жет быть проверена прямым измерением зависимо-
ривается как кандидат в темную материю.
сти нейтринного потока и нейтринного спектра на
Отношение наблюдаемого антинейтринного пото-
различных расстояниях в диапазоне 6-12 м. Это ме-
ка к предсказанному потоку в различных реактор-
тод относительных измерений, который может быть
ных экспериментах оценивается как 0.934 ± 0.024 [3].
более точным. Для этого детектор должен быть пере-
Эффект составляет 3 стандартных отклонения. Это-
движным и спектрально чувствительным. Наш экс-
го недостаточно, чтобы с уверенностью утверждать о
перимент нацелен на подтверждение возможного су-
реакторной антинейтринной аномалии. Важно отме-
ществования стерильного нейтрино с определенным
тить, что метод сравнения измеренного нейтринного
уровнем достоверности или же на опровержение этой
гипотезы. Для наблюдения осцилляций в стерильное
1)e-mail: serebrov_ap@pnpi.nrcki.ru
состояние необходимо зарегистрировать отклонение
5
Письма в ЖЭТФ том 109 вып. 3 - 4
2019
209
210
А. П. Серебров, В. Г. Ивочкин, Р. М. Самойлов и др.
Рис. 1. (Цветной онлайн) Общая схема экспериментальной установки: 1 - детектор реакторных антинейтрино; 2 - внут-
ренняя активная защита; 3 - внешняя активная защита (зонтик); 4 - борированный полиэтилен пассивной защиты;
5 - стальная и свинцовая пассивная защита; 6 - передвижная платформа; 7 - винт подачи; 8 - шаговый двигатель,
9 - защита от быстрых нейтронов из железной дроби
зависимости нейтринного потока от расстояния от
Схема детектора с пассивной и активной защи-
закона 1/L2. Если процесс осцилляций в стерильное
той показана на рис.1. Полномасштабный детектор
состояние действительно имеет место, он может быть
имеет объем жидкого сцинтиллятора 1.8 м3 (5 × 10
описан на коротких расстояниях следующей форму-
секций с размерами 0.225 × 0.225 × 0.85 м3, запол-
лой:
ненных сцинтилятором на высоту 0.70 м). Детектор
(
)
с сцинтиллятором с добавкой гадолиния концентра-
Δm214[eV2L[m]
P(νe → νe) = 1 - sin2 2θ14 sin2
1.27
,
цией 0.1 % предназначен для регистрации процессов
Eν[МэВ]
обратного бета-распада ν+p → e+ +n (ОБР). Mетод
(1)
где Eν - энергия антинейтрино, и Δm214, sin2 2θ14 -
регистрации антинейтрино состоит в выделении кор-
релированной пары сигналов: мгновенного сигнала
неизвестные параметры осцилляций.
В ходе эксперимента необходимо проводить из-
от позитрона и задержанного сигнала после захвата
мерения потока и спектра антинейтрино как можно
нейтрона гадолинием.
ближе к практически точечному источнику антиней-
Активная защита детектора состоит из внешней и
трино.
внутренней части по отношению к пассивной защи-
Мы рассмотрели возможности проведения новых
те. Внутренняя активная защита расположена над
экспериментов на исследовательских реакторах в
детектором и под ним. Детектор имеет 50 секций -
России. Именно исследовательские реакторы жела-
10 рядов по 5 секций в каждом ряду. Первый и по-
тельно использовать для проведения подобного ро-
следний ряд детектора используется в качестве ак-
да экспериментов, так как они обладают компактной
тивной защиты и в то же время в качестве пассив-
активной зоной, и нейтринный детектор может быть
ной защиты от быстрых нейтронов. Таким образом,
расположен на коротком расстоянии от нее. К со-
объем сцинтиллятора, использующийся для измере-
жалению, помещения исследовательских реакторов,
ний, составляет 1.42 м3. Детектор имеет многосекци-
как правило, подвержены значительному влиянию
онную структуру. Для производства измерений де-
нейтронного и гамма фонов, что затрудняет их ис-
тектор может перемещаться в различные позиции на
пользование в качестве площадок для низкофоновых
расстояние, кратное размеру секции. В результате
экспериментов. Благодаря некоторым конструктив-
разные секции проходят через одинаковые расстоя-
ным особенностям реактор СМ-3 обеспечивает наи-
ния от реактора за исключением краевых ситуаций
более подходящие условия для экспериментов по по-
на ближнем и дальнем расстояниях.
иску нейтринных осцилляций на коротких расстоя-
Целью создания секционированного детектора
ниях [4, 5]. Но реактор СМ-3, как и другие исследова-
является использование дополнительных критериев
тельские реакторы, расположен на поверхности Зем-
для отбора нейтринных событий. Главной пробле-
ли, и поэтому космический фон является самой глав-
мой эксперимента на земной поверхности являются
ной трудностью в проведении данного эксперимента.
быстрые нейтроны от космического излучения. Рас-
Письма в ЖЭТФ том 109 вып. 3 - 4
2019
Первое наблюдение эффекта осцилляций в эксперименте Нейтрино-4 по поиску стерильного нейтрино
211
сеяние быстрых нейтронов легко имитирует реакцию
ОБР, в результате которой детектируется антиней-
трино. Регистрация первого (стартового или мгно-
венного) сигнала от протона отдачи имитирует реги-
страцию позитрона. Вторым (стоповым или задер-
жанным) сигналом в обоих случаях будет сигнал по-
сле захвата нейтрона гадолинием. Разница для мгно-
венных сигналов заключается в том, что позитрон,
рожденный в реакции ОБР, обязательно проанниги-
лирует с электроном, в результате чего появятся два
гамма-кванта с энергией 511 кэВ, которые разлетят-
ся в противоположных направлениях. Трек прото-
на отдачи с высокой вероятностью будет полностью
укладываться в одной секции, так как его длина про-
бега ∼ 1 мм. Длина свободного пробега позитрона в
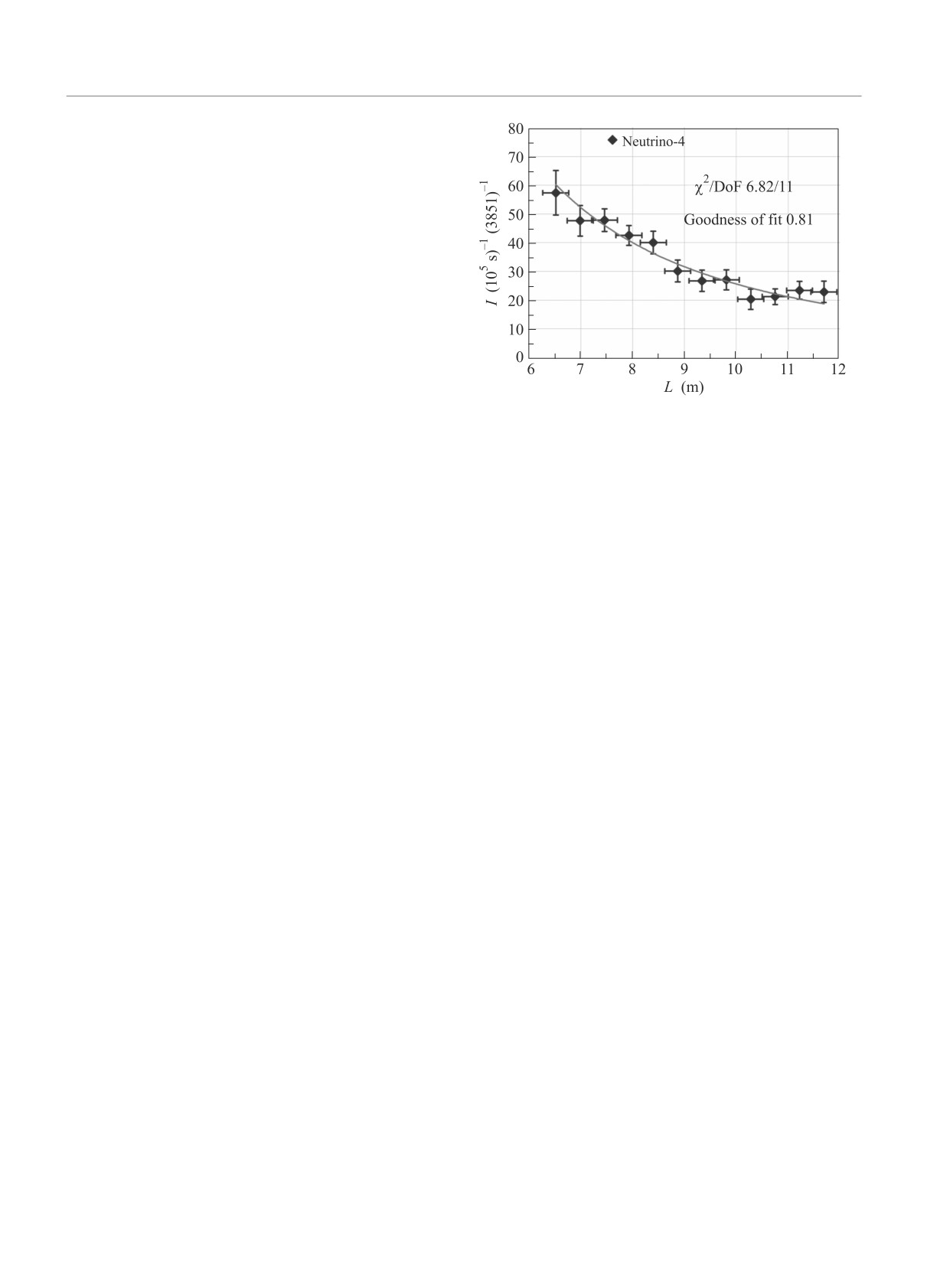
Рис. 2. (Цветной онлайн) Результаты эксперименталь-
органическом сцинтилляторе менее ∼ 5 см, и сигнал
ных данных для подгонки функцией A/L2
от него будет виден в одной секции, а гамма-кванты
с энергией 511 кэВ могут быть зарегистрированы в
соседних секциях.
рости счета нейтриноподобных событий для полно-
Монте-Карло расчеты показывают, что
63 %
масштабного детектора как зависимость потока ан-
мгновенных сигналов могут быть зарегистрированы
тинейтрино от расстояния до центра активной зоны
в одной секции и только 37 % мгновенных сигналов
реактора.
будут зарегистрированы в соседних секциях
[6].
Аппроксимация экспериментальной зависимости
В наших измерениях разностный сигнал (реактор
функцией A/L2 дает удовлетворительный резуль-
включен
- реактор выключен), суммированный
тат. Значимость подгонки функцией A/L2 составля-
по всем расстояниям составил (37 ± 4) % мульти
ет 81 %. Поправка на конечные размеры активной зо-
секционных событий и
(63 ± 7) % односекцион-
ны реактора и размеры детекторных секций являет-
ных событий. В рамках имеющейся точности это
ся незначительной - 0.3 %, а поправка на несовпа-
соотношение позволяет нам интерпретировать за-
дение оси перемещения детектора и направления на
писанные события как нейтринные. К сожалению,
центр активной зоны реактора также незначительна
более детальный анализ этого соотношения не
и составляет 0.6 %.
представляется возможным из-за недостаточной
Для более детального анализа области парамет-
статистической точности. Однако, следует заметить,
ров Δm214 и sin2 2θ нужны спектральные измерения.
что до постановки детектора в пассивную защиту
Энергетическая калибровка для полномасштабного
были выполнены измерения фона быстрых нейтро-
детектора была проведена с источниками гамма и
нов и гамма-квантов в зависимости от расстояния и
нейтронного излучения (22Na по линиям 511 кэВ и
мощности реактора [6, 7]. Они показали отсутствие
1274 кэВ, по линии 2.2 МэВ от реакции np-dγ, по
значимой зависимости фона, как от мощности
гамма линии 4.4 МэВ от Pu-Be источника, а также
реактора, так и от расстояния. Это позволяет рас-
по суммарной энергии гамма квантов 8 МэВ при за-
считывать на то, что разностный сигнал (реактор
хвате нейтрона гадолинием) [7]. Результат показан
включен-реактор выключен) определяется в основ-
на рис. 3.
ном потоком антинейтрино при включении реактора.
Это позволило измерить спектр мгновенных сиг-
Данное предположение подтверждается указанным
налов, который регистрируется детектором. Он свя-
выше соотношением между односекционными и мно-
зан с энергией антинейтрино следующим соотноше-
госекционными мгновенными сигналами, которое
нием: Epromt = Eν - 1.8 МэВ + 2 · 0.511 МэВ, где Eν -
характерно именно для нейтринных событий.
энергия антинейтрино, соответствует энергии порога
Измерения с полномасштабном детектором бы-
реакции ОБР, а 2 · 0.511 МэВ соответствует энергии
ли начаты в июне 2016 г. Измерения с включенным
аннигиляции позитрона. Однако, в эксперименте сле-
реактором проводились в течение 480 дней, а с вы-
дует учитывать эффективность регистрации детек-
ключенным реактором в течение 278 дней. Всего ре-
тора и сравнивать его с ожидаемым спектром мгно-
актор был включен и выключен 58 раз. На рисун-
венных сигналов, рассчитанным по Монте-Карло мо-
ке 2 показаны результаты измерений разности ско-
дели детектора. Пример такого сравнения представ-
Письма в ЖЭТФ том 109 вып. 3 - 4
2019
5∗
212
А. П. Серебров, В. Г. Ивочкин, Р. М. Самойлов и др.
Рис. 3. (Цветной онлайн) Результаты калибровки
Рис. 5. (Цветной онлайн) (a) - Отношение эксперимен-
тальных спектров мгновенных сигналов к расчетным
спектрам из Монте-Карло вычислений для трех интер-
Рис. 4. (Цветной онлайн) Спектр мгновенных сигна-
валов (∼ 2 м) с центрами: 7.3, 9.3 и 11.1 м. (b) - Усред-
лов для всего цикла измерений, объединенный для
ненная по всем расстояниям кривая с подгонкой этой
всех расстояний (среднее расстояние 8.6 м), красной ги-
зависимости полиномом (красная кривая)
стограммой показан спектр, полученный в результате
Монте-Карло моделирования при использовании анти-
нейтринного спектра от осколков деления235U[1], так
тервалах (∼ 2 м) с центрами в точках 7.3, 9.3 и 11.1 м,
как реактор СМ-3 работает на высокообогащенном топ-
к расчетным спектрам из Монте-Карло вычислений
ливе
представлено на рис. 5a. На рисунке 5b представлена
усредненная по всем расстояниям кривая с подгон-
лен на рис. 4, где показан экспериментальный спектр
кой этой зависимости полиномом (красная кривая).
мгновенных сигналов, усредненный по всем рассто-
Следует заметить, что характер отклонений экспе-
яниям с целью улучшить статистическую точность,
риментального спектра от расчетного в рамках име-
а также Монте-Карло спектр мгновенных сигналов,
ющейся точности одинаковый для разных расстоя-
при расчете которого использовался спектр антиней-
ний. Во всяком случае, красная кривая одинаково
трино для235U [1] и учитывались энергетические по-
хорошо подходит для всех расстояний. Критерий со-
роги экспериментальных сигналов.
гласия подгонки составляет 77, 78 и 68 % для трех
Между расчетным и экспериментальным спек-
расстояний 7.3, 9.3 и 11.1 м, соответственно.
тром наблюдается расхождение в области 3МэВ.
Так называемый “бамп” в области 5 МэВ также
Нормировка сделана на экспериментальный спектр.
наблюдается, как и в других экспериментах [8-12],
Отношение спектров показано на рис.5.
однако, его амплитуда больше, чем в экспериментах
Отношение экспериментальных спектров мгно-
на атомных станциях. Если он связан с235U, как
венных сигналов, усредненных по расстоянию в ин- предполагается в работах [13-15], то это может быть
Письма в ЖЭТФ том 109 вып. 3 - 4
2019
Первое наблюдение эффекта осцилляций в эксперименте Нейтрино-4 по поиску стерильного нейтрино
213
объяснено высоким содержанием235U (95 %) на ре-
оказывает влияния, так как в формуле (2) использу-
акторе СМ-3 в отличие от эффективного вклада235U
ется отношение. Результаты анализа на оптимальные
56 % [11] или 65 % [8,9,12] на различных атомных
параметры Δm214, sin2 2θ14 методом χ2 показаны на
станциях. Таким образом, одной из причин расхож-
рис. 6а.
дения могут быть реакторные расчеты, причем с уче-
Заметим, что, используя все 24 позиции по рас-
том дефицита 0.934 экспериментального потока ан-
стоянию вместо трех позиций, как ранее [7], мы уве-
тинейтрино по отношению к расчетному, обсуждать
личиваем чувствительность анализа к большим зна-
следует не “бамп” в области 5 МэВ, а “яму” в области
чениям Δm214. Усреднение данных для трех позиций
3 МэВ. Однако, нельзя исключить влияние осцилля-
(по 2 м каждая) не позволит обнаружить осцилляции
ций с большими значениями Δm214, так как был вы-
с периодом 2 м и меньше.
бран интервал усреднения 2 м. При таком усреднении
На рисунке 6а представлены результаты анализа
и значениях Δm214 > 5 эВ2 будет наблюдаться по-
экспериментальных данных в соответствии с уравне-
давление спектра с фактором 1-0.5 sin2 2θ14, причем
нием (2) с применение метода CLs. Область парамет-
оно начнется с малых энергий. Наконец, нельзя ис-
ров осцилляций, обозначенная розовым цветом, ис-
ключать возможность систематических ошибок при
ключает эти значения с вероятностью больше 99.73 %
калибровке энергетической шкалы, а также в Монте-
(> 3σ). Однако, в области Δm214 = (7.34 ± 0.1) эВ2,
Карло расчетах спектра мгновенных сигналов в об-
sin2 2θ14 = 0.39 ± 0.12 наблюдается эффект осцилля-
ласти малых энергий. Здесь есть трудность точной
ций на уровне достоверности 99 % (3σ), который со-
регистрации энергии квантов аннигиляции (511 кэВ)
провождается несколькими сателлитами. Минималь-
соседними секциями. Поэтому точка в спектре при
ное значение χ2 определяется при значении Δm214 ≈
энергии 1.5 МэВ является наиболее проблематичной.
≈ 7эВ2.
Таким образом, необходимо найти способ анализа
Появление сателлитов - это эффект гармониче-
экспериментальных данных на параметры осцилля-
ского анализа, в котором могут появляться кратные
ций, когда точное знание спектра не является кри-
и полукратные частоты при наличии шумов.
тичным. Можно сделать модельно независимый ана-
Результаты проведенного анализа могут быть
лиз, используя соотношение (2), где в числителе сто-
проверены на устойчивость. С этой целью экспери-
ит счет антинейтринных событий с коррекцией на
ментальные данные (Ni,k ± ΔNi,k) можно разыграть
геометрический фактор 1/L2, а в знаменателе его
по гауссову распределению вокруг значения Ni,k в
среднее значение по всему диапазону расстояний:
пределах ошибки ΔNi,k. Таким способом было на-
играно 60 условных экспериментов, которые могли
∑
бы состояться в пределах имеющейся эксперимен-
(Ni,k ± ΔNi,k)L2k/[K-1 (Ni,k ± ΔNi,k)L2k] =
тальной точности. Для этих условных эксперимен-
k
тов можно провести анализ, подобный указанному
выше анализу, и усреднить все распределения. Бы-
= [1 - sin2 2θ14 sin2(1.27Δm214Lk/Ei)]/
ло показано, что результат ограничений (розовая об-
∑
ласть на рис. 6а) воспроизводится, а область эффек-
[K-1
[1 - sin2 2θ14 sin2(1.27Δm214Lk/Ei)]].
(2)
та осцилляций сосредотачивается вокруг значения
k
Δm214 ≈ 7.3 эВ2.
Уравнение
(2) позволяет провести безмодельный
Наконец, можно симулировать распределение
анализ, так как в левой части содержатся только
экспериментальных данных, с такой же точно-
экспериментальные данные, k = 1, 2, . . . , K для всех
стью, но заведомо без эффекта осцилляций. Было
расстояний в диапазоне 6.5-11.7 м; i = 1, 2, . . . , 9, что
показано, что большой размах возмущений по
соответствует энергетическим интервалам по 500 кэВ
горизонтальной оси, т.е. для значений sin2 2θ14 про-
от 1.5 до 6.0 МэВ. В правой части стоит такое же
падает. Это указывает на то, что большой размах
отношение, ожидаемое при наличии осцилляций. В
возмущений на рис.6a свидетельствует о наличие
правой части уравнения энергетический спектр стро-
эффекта. Эти же симулированные распределения
го сокращается. В левой части уравнения произве-
экспериментальных данных, с такой же точностью,
дена нормировка на спектр, усредненный по всем
но заведомо без эффекта осцилляций позволяют
расстояниям, поэтому в знаменателе эффект осцил-
сделать оценку чувствительности эксперимента на
ляций усредняется в значительной степени, если ос-
уровне достоверности 95 % и 99 %. Полученные оцен-
цилляции достаточно частые для данного интервала
ки можно использовать для сравнения с другими
расстояний. Следует заметить, что форма спектра не
экспериментами.
Письма в ЖЭТФ том 109 вып. 3 - 4
2019
214
А. П. Серебров, В. Г. Ивочкин, Р. М. Самойлов и др.
Поскольку эффект осцилляций зависит от отно-
шения L/E, как видно из формулы (1), то целесооб-
разно провести выборку экспериментальных резуль-
татов по этому параметру. Этот метод так называе-
мого когерентного сложения результатов измерений,
благодаря выборке данных по переменной L/E, дает
возможность прямого наблюдения антинейтринных
осцилляций.
С этой целью были использованы 24 точки по рас-
стоянию (по 22.5 см каждая) и 9 точек по энергии
(по 0.5 МэВ каждая). Такая выборка для левой части
уравнения (2) (с усреднением 216 точек по 8 точек)
представлена на рис. 7 синими треугольниками.
Здесь же представлена красными точками та-
кая же выборка для правой части уравнения (2)
при наиболее вероятном наборе параметров: Δm214 ≈
≈ 7.34 эВ2 и sin2 2θ14 ≈ 0.39. Для этих парамет-
ров получается лучшая подгонка с критерием со-
гласия 89 %, тогда как подгонка константой, рав-
ной единице (отсутствие осцилляций) дает крите-
рий согласия 31 %. Следует пояснить, что затуха-
ние синусоидального процесса для красной кривой
при L/E > 2.5 объясняется недостаточным энерге-
тическим разрешением, так как интервал по энер-
гии выбран 0.5 МэВ. Уменьшение этого интервала до
0.25 МэВ не продлевает процесс осцилляций для си-
них экспериментальных точек, так как недостаточ-
но энергетического разрешения детектора в области
малых энергий. Поэтому результаты при L/E > 2.5
не дают вклада в выделение процесса осцилляций
и могу быть исключены из анализа. Тогда при ана-
лизе данных, используя только первые 21 точку,
можно получить другие значения критериев χ2 и
GoF. Они представлены в нижней части графика на
рис. 7.
Чтобы провести проверку на возможные система-
тические эффекты, нужно выключить поток анти-
нейтрино (реактор) и провести такой же анализ дан-
ных, используя фон быстрых нейтронов от косми-
ческого излучения. Результат такой проверки, пред-
ставленный на рис. 8, показывает отсутствие осцил-
ляций в исследуемой области.
Рис. 6. (Цветной онлайн) (а) - Розовая область ис-
Фон коррелированных событий (быстрые нейтро-
ключает эти значения с вероятностью больше 99.73 %
ны космического фона) немного уменьшается с рас-
CL (> 3σ), желтая - область допустимых значений с
стоянием из-за различной массы бетонных элемен-
99.73 % CL (3σ), зеленая область допустимых зна-
тов здания, что отражается в линейном убывании
чений с 95.45 % CL(2σ) синяя область допустимых
значений с 68.30 % CL(1σ). (b) - Область вокруг цен-
(красная линия) на рис. 8a. Поэтому на плоскости
тральных значений в линейном масштабе и с большим
параметров Δm214, sin2 2θ14 появляется зеленая об-
увеличением. (c) - Центральная область с еще большим
ласть, не имеющая никакого отношения к осцилля-
увеличением
циям. Отклонение от линейной зависимости, пока-
занное на рис.8c, не может являться причиной на-
блюдения эффекта осцилляций. Таким образом, бы-
Письма в ЖЭТФ том 109 вып. 3 - 4
2019
Первое наблюдение эффекта осцилляций в эксперименте Нейтрино-4 по поиску стерильного нейтрино
215
Рис. 7. (Цветной онлайн) Когерентное сложение результатов измерений благодаря выборке данных по переменной L/E
с целью прямого наблюдения антинейтринных осцилляций. Сравнение левой (синие треугольники) и правой (красные
кружки, для оптимальных параметров осцилляций) частей уравнения (2)
ло показано отсутствие аппаратурных систематиче-
зультатов измерений на 9 % по отношению к стати-
ских эффектов.
стической, таким образом уровень достоверности на-
Схема работы реактора и перемещений детекто-
блюдения эффекта осцилляций составляет 2.8σ. В
ра показана на рис. 9 сверху. За период экспозиции
целом складывается впечатление, что подтвержда-
при одном положении детектора происходит и изме-
ется эффект, предсказанный в галлиевом и реак-
рение фона (OFF), и измерение при работающем ре-
торном экспериментах, но при достаточно больших
акторе (ON). Стабильность результатов измерений
значениях Δm214. Кроме того, параметр смешивания
характеризуется распределением нормированных на
sin2 2θ14 представляется достаточно большим в срав-
свои статистические ошибки флуктуаций разности
нение с существующими ограничениями из экспери-
ON- OFF для измерений в течение одного периода.
ментов Daya Bay и Bugey-3, которые дают ограниче-
Данное распределение представлено на рис.9 снизу.
ние на уровне 0.2 при CL 90 %, т.е. 0.20 ± 0.12. Тогда
Данное распределение имеет гауссову форму, но
как наш результат после учета поправки составляет
ширина его на 7 % больше единицы, что говорит о
sin2 2θ14 = 0.39 ± 0.14. Таким образом расхождение
дополнительном разбросе за счет колебаний косми-
между результатами составляет 0.19 ± 0.18, т.е. од-
ческого фона и невозможности его одновременного
но стандартное отклонение. Поэтому явного проти-
измерения вместе с эффектом. Поскольку в общую
воречия не наблюдается. Однако, уровень достовер-
статистику входят измерения фона во время еже-
ности нашего эксперимента пока недостаточен, тре-
годных плановых ремонтных работ, когда реактор
буется увеличение точности эксперимента и допол-
останавливается на 1 месяц, то общее уширение, обу-
нительный анализ возможных систематических оши-
словленное изменением фона, увеличивается до 9 %.
бок эксперимента.
Это рассматривается как систематическая поправка
Данный результат следует сравнить с другими ре-
к ошибке результатов измерений и приводит к тому,
зультатами, полученными в экспериментах на иссле-
что уровень достоверности результата, изображенно-
довательских реакторах и атомных станциях.
го на рис.6c снижается до 2.8σ.
Рисунок 10 иллюстрирует чувствительность экс-
Подводя итог представленному анализу, можно
периментов NEOS [12], DANSS [16], STEREO [17] и
сделать следующее заключение. Область реактор-
PROSPECT [18], а также эксперимента Нейтрино-4.
ной и галлиевой аномалии оказывается исключен-
Эксперимент Нейтрино-4 имеет преимущество в
ной с вероятностью больше, чем 99.7 % (> 3σ) для
чувствительности к большим значениям Δm214 бла-
Δm214 < 3 эВ2 и sin2 2θ14 > 0.1. Однако в области
годаря компактной зоне реактора, близкому мини-
Δm214 ∼ 7.3 эВ2, sin2 2θ14 ∼ 0.4 наблюдается эф-
мальному расстоянию детектора от активной зо-
фект осцилляций. После учета нестабильности кос-
ны реактора и большому диапазону расстояний для
мического фона мы должны увеличить ошибку ре-
перемещения детектора. Следующим по чувстви-
Письма в ЖЭТФ том 109 вып. 3 - 4
2019
216
А. П. Серебров, В. Г. Ивочкин, Р. М. Самойлов и др.
Рис. 8. (Цветной онлайн) Проверка на возможные систематические эффекты результатов измерений при выключенном
реакторе. (a) - Анализ данных методом когерентного сложения. (b) - Анализ результатов на плоскости параметров
осцилляций. (c) - Точками показано отклонение ожидаемого эффекта от единицы, треугольниками - отклонение фона
от линейного убывания на рис. 8a
тельности к большим Δm214 является эксперимент
более высокой концентрацией гадолиния вплоть до
PROSPECT. Пока его чувствительность приблизи-
0.5 %. Ожидается, что это даст подавление случай-
тельно в 2 раза ниже, но этот эксперимент недавно
ных совпадений в 3 раза, и позволит увеличить
начал набор статистики и имеет шансы на подтвер-
точность измерений вдвое. Кроме того, предпо-
ждение или опровержение нашего результата.
лагается улучшить антисовпаденческую защиту.
Теперь следует сделать заключение о перспекти-
Реализацию проекта планируется осуществлять
вах эксперимента Нейтрино-4. Точность эксперимен-
при участии коллег из ОИЯИ и коллаборации
та необходимо увеличивать. С этой целью планиру-
NEOS.
ется совершенствование текущего эксперимента и со-
Согласно предварительным оценкам, за 2 года на-
здание новой нейтринной лаборатории на реакторе
бора статистики в измерении потока антинейтрино
СМ-3 с новой детекторной системой.
от реактора, можно достигнуть уровня статистиче-
Для совершенствования текущего эксперимента,
ской точности 1-2 %. Таким образом, будет внесена
в первую очередь, необходимо заменить исполь-
ясность в вопрос о возможном существовании сте-
зуемый сцинтиллятор на более эффективный, т.е.
рильного нейтрино с параметрами в области Δm214 ≈
с разделением сигналов по форме импульса и с
≈ (0.5 ÷ 10) эВ2 и sin2(2θ14) > 0.05.
Письма в ЖЭТФ том 109 вып. 3 - 4
2019
Первое наблюдение эффекта осцилляций в эксперименте Нейтрино-4 по поиску стерильного нейтрино
217
Рис. 9. (Цветной онлайн) Сверху - схема работы ре-
актора; снизу - распределение отклонений от средне-
го значения разностей счета коррелированных собы-
тий (ON-OFF), нормированных на свои статистиче-
ские ошибки
Авторы выражают благодарность Российскому
Фонду Фундаментальных Исследований (Договор
#14-22-03055-офи_м).
Авторы благодарны Ю.Г. Куденко, В.Б. Брудани-
ну, В.Г. Егорову, Ю.А. Камышкову и В.А. Щегель-
скому за полезные обсуждения результатов изме-
рений. Значительный вклад в данное исследование
Рис. 10. (Цветной онлайн) Сравнение результатов экс-
внесла поставка жидкого сцинтиллятора из лабора-
перимента Нейтрино-4 с результатами других экспе-
тории, возглавляемой профессором Джун Сяо (Ин-
риментов. (а) - Области чувствительности различных
ститут физики высоких энергий, Пекин, Китай).
экспериментов (масштаб логарифмический). (b) - Ли-
нейный масштаб, область эффекта
1. T. Mueller, D. Lhuillier, M. Fallot, A. Letourneau,
7. A. P. Serebrov, V. G. Ivochkin, R. M. Samoilov et. al.
S. Cormon, M. Fechner, L. Giot, T. Lasserre, J. Martino,
(Neutrino-4 Collaboration), arXiv:1708.00421
G. Mention, A. Porta, and F. Yermia, Phys. Rev. C 83,
8. S.-H. Seo (RENO Collaboration), Proceedings,
26th
054615 (2011).
International Conference on Neutrino Physics and
2. G. Mention, M. Fehner, Th. Lasserre, Th. A. Mueller,
Astrophysics (Neutrino 2014): Boston, Massachusetts,
D. Lhuillier, M. Cribier, and A. Letourneau, Phys. Rev.
United States, June 2-7, 2014, AIP Conf. Proc. 1666,
D 83, 073006 (2011).
080002 (2015); arXiv:1410.7987 [hep-ex].
3. S. Gariazzo, C. Giunti, M. Laveder, and Y. F. Lie, J.
9. J. H. Choi, W. Q. Choi, Y. Choi et al. (RENO
High Energ. Phys. 6, 135 (2017); arXiv:1703.00860.
Collaboration), Phys. Rev. Lett. 116, 211801 (2016);
4. A. P. Serebrov, V. G. Ivochkin, R. M. Samoilov et
arXiv:1511.05849 [hep-ex].
al. (Neutrino-4 Collaboration), Tech. Phys. 60, 1863
10. F. P. An, A. B. Balantekin, H. R. Band et al. (Daya Bay
(2015); arXiv:1501.04740
Collaboration), Phys. Rev. Lett. 116, 061801 (2016);
5. A. P. Serebrov, V. G. Ivochkin, R. M. Samoilov et al.
arXiv:1508.04233 [hep-ex].
(Neutrino-4 Collaboration), JETP 121,
578
(2015);
11. Y. Abe, S. Appel, T. Abrahao et al. (Double Chooz
arXiv:1501.04740.
Collaboration), JHEP 01, 163 (2016); arXiv:1510.08937
6. A. P. Serebrov, V. G. Ivochkin, R. M. Samoilov et al.
[hep-ex].
(Neutrino-4 Collaboration), Tech. Phys. 62, 322 (2017);
12. Y. J. Ko, B. R. Kim, J. Y. Kim et al. (NEOS
arXiv:1605.05909.
Collaboration), Phys. Rev. Lett. 118, 121802 (2017).
Письма в ЖЭТФ том 109 вып. 3 - 4
2019
218
А. П. Серебров, В. Г. Ивочкин, Р. М. Самойлов и др.
13. P. Huber, Phys. Rev. Lett.
118,
042502
(2017);
Collaboration), Phys. Lett. B
787,
56
(2018);
arXiv:1609.03910.
arXiv:1804.04046.
14. C. Giunti, Phys. Lett. B
764,
145
(2017);
17. H. Almazán, P. del Amo Sanchez, L. Bernard et al.
arXiv:1608.04096.
(STEREO Collaboration), Phys. Rev. Lett. 121, 161801
15. G. Bak, J. H. Choi, H. I. Jang et al. (RENO
(2018); arXiv:1806.02096.
Collaboration), arXiv:1806.00574.
18. J. Ashenfelter, A. B. Balantekin, C. Baldenegro et al.
16. I. Alekseev, V. Belov, V. Brudanin et al. (DANSS
(PROSPECT Collaboration), arXiv:1806.02784.
Письма в ЖЭТФ том 109 вып. 3 - 4
2019