Письма в ЖЭТФ, том 110, вып. 11, с. 741 - 747
© 2019 г. 10 декабря
Топология электронного спектра и гигантские особенности
плотности состояний в кубических решетках1)
П.А.Игошев2), В.Ю.Ирхин
Институт физики металлов им. М. Н. Михеева Уральского отделения РАН, 620108 Екатеринбург, Россия
Уральский федеральный университет, 620002 Екатеринбург, Россия
Поступила в редакцию 8 октября 2019 г.
После переработки 22 октября 2019 г.
Принята к публикации 22 октября 2019 г.
Детально исследована топология изоэнергетических поверхностей в обратном пространстве для про-
стой (ПК), объемноцентрированной (ОЦК) и гранецентрированной (ГЦК) кубических решеток в при-
ближении сильной связи с учетом интегралов переноса между ближайшими и следующими соседями t
и t′. Показано, что при значениях τ = t′/t = τ∗, соответствующих изменению топологии поверхностей,
могут формироваться линии и поверхности k-точек ван Хова. При малом отклонении τ от этих особых
значений спектр в окрестности линии (поверхности) ван Хова заменяется на слабую зависимость от k
в окрестности нескольких точек ван Хова, имеющих гигантскую массу, пропорциональную |τ - τ∗|-1.
Рассматриваются сингулярные вклады в плотность состояний вблизи особых значений τ ; получены ана-
литические выражения для плотности состояний в терминах эллиптических интегралов. Показано, что в
ряде случаев максимальное значение плотности состояний достигается при энергиях, соответствующих
не k-точкам на грани зоны Бриллюэна, а ее внутренним k-точкам на высокосимметричных направ-
лениях. Обсуждаются соответствующие вклады в электронные и магнитные свойства, в том числе в
применении к слабым зонным магнетикам.
DOI: 10.1134/S0370274X1923005X
1. Введение. Как известно, ван-хововские осо-
ет сильные магнитные свойства никеля (“магнетика
бенности электронного спектра и, в частности, плот-
ван Хова”) и поведение его восприимчивости выше
ности состояний (density of states, DOS) ρ(ǫ) как
температуры Кюри [5].
функции энергии ǫ приводят к особенностям ряда
Сильные особенности DOS как функции энер-
электронных и магнитных свойств; соответствующие
гии возникают от окрестности близко расположен-
сингулярные вклады в термодинамические величи-
ных k-точек ван Хова (структур ван Хова). Влияние
ны способствуют возникновению структурных и маг-
таких структур на электронные и решеточные свой-
нитных фазовых переходов [1]. Геометрическое про-
ства, включая многоэлектронные аномалии экрани-
исхождение электронных пиков DOS было детально
рования, рассмотрено в работах [1, 6, 7]. Формиро-
исследовано в [1, 2]. Простыми примерами являются
вание узких ван-хововских пиков DOS приводит к
ОЦК-фаза Ca и ГЦК-фаза Sr, где слабодисперсион-
локализации электронных состояний и увеличению
ные одномерные многообразия (линии ван Хова) на
роли корреляционных эффектов.
гранях зоны Бриллюэна расположены вблизи уров-
Целью данной работы является детальный топо-
ня Ферми. В ОЦК Ca им приближенно соответству-
логический анализ изоэнергетических поверхностей
ют части линий P-N и N-H, а в ГЦК Sr - X-U, U-L,
для кубических решеток при учете линий и поверх-
L-K, K-U, K-W. Анализ [1] показывает, что линия D
ностей ван Хова с дальнейшим применением к об-
ОЦК-решетки обычно выглядит как линия ван Хова
суждению физических свойств.
в Li, V, Cr, Fe, Ba [3, 4].
2. Анализ особенностей ван Хова. Существу-
Точка L на грани зоны Бриллюэна, которой со-
ет общая связь особенностей плотности состояний
ответствует большая эффективная масса (для спек-
(DOS) и топологических свойств спектра возбужде-
тра, вычисленного в парамагнитной фазе), определя-
ний t(k) [8]. k называется точкой ван Хова, если ско-
рость возбуждений v(k) = ∂t(k)/∂k = 0. Уровни
энергии ǫ = t(k), соответствующие точкам ван Хова,
1)См. дополнительные материалы к данной статье на сайте
нашего журнала.
и только они соответствуют особенностям ρ(ǫ) как
2)e-mail: igoshev_pa@imp.uran.ru
функции ǫ. Тип этой особенности, соответствующей
Письма в ЖЭТФ том 110 вып. 11 - 12
2019
741
742
П.А.Игошев, В.Ю.Ирхин
изолированной точке ван Хова k, задается сигнату-
τ = τsc∗ линия ван Хова Δ распадается на три близко-
рой квадратичной формы с матрицей ∂2t(k)/∂ki∂kj
лежащих точки ван Хова Γ, Σ∗/ + 1/, Λ∗/ - 1/. Кри-
(индекс в косых скобках), определяющей поведение
вая ρ(ǫ, τ) при τ > τsc∗ образует квазисимметричное
спектра в окрестности этой точки (см. дополнитель-
плато между энергиями wscΣ∗, wscΛ∗ с высотой порядка
ный материал).
(τ -τsc∗)-1/2, шириной вершины 4(τ -τsc∗)2/τ и с уни-
Таким образом, особенно важный вклад в DOS
версальной зависимостью от относительного положе-
происходит от точек ван Хова с гигантской массой
ния уровня энергии на этом плато (см. рис. S2a, S3a в
или от слияния k-точек ван Хова, которое, как бу-
дополнительном материале). Изменение DOS на вер-
дет видно из дальнейшего анализа, тесно связано с
шине плато довольно слабо - это связано с тем, что
увеличением одной или нескольких масс.
для обеих k-точек Σ∗ и Λ∗ все три массы расходятся
Если спектр, полученный в рамках первоприн-
одинаково быстро. Cправа от плато имеется резкое
ципных расчетов, является слабодисперсионным
падение ρ(ǫ, τ) между уровнями wscΛ∗ и wscΓ. Впрочем,
на некотором участке в каком-то направлении
разница между последними уровнями существенно
k-пространства, то в окрестности этого участка
больше, чем ширина плато. При τ > τsc∗ максималь-
имеется или точка с большой массой, или пара
ное значение DOS достигается при ǫ = wscΣ∗ или
таких точек.
wscΛ∗ (см. рис.S3a в дополнительном материале), со-
Мы предполагаем, что имеется перенос только
ответствующих внутренним k-точкам ван Хова зоны
между первыми (интеграл t) и вторыми (t′ = τt)
Бриллюэна.
координационными сферами: t(k; τ). Учитывая, что
При τ = τsc∗ плато полностью исчезает и форми-
для бипартитных решеток ρ(-ǫ; -τ) = ρ(ǫ; τ), ниже
руется гигантская сингулярность ван Хова, происхо-
мы полагаем t = 1, τ ≥ 0.
дящая от долин глобального минимума, образован-
Аналитические выражения для DOS и решеточ-
ных линией Δ,
√
ных функций Грина были получены для ряда трех-
ρsc(-3 + δǫ, τsc∗) = Asc/4
δǫ + o(1),
(1)
мерных решеток в приближении ближайших сосе-
√
2
дей, что дает симметричную функцию энергии ρ(ǫ, 0)
где Asc =
Γ(5/4)/Γ3(3/4) = 0.222.
π
для бипартитных решеток (ПК, ОЦК) [9, 10]. Од-
Для ОЦК решетки топология электронного спек-
нако для ряда проблем современной физики кон-
тра меняется при τbcc∗ = 1, см. рис. S1b и табл. 2 в
денсированного состояния решающее значение имеет
дополнительном материале. При 0 < τ < τbcc∗ име-
влияние асимметрии и переноса между следующими
ются две k-точки локального минимума Γ и P, точка
за ближайшими соседями (например, электронный
максимума H и две седловых точки Λ∗/+1/ и N/-1/.
спектр сверхпроводящих купратов, переход металл-
При τ = 0 точка Λ∗ совпадает c P, а уровни wbccN, wbccP
изолятор в антиферромагнитной фазе [11]); соответ-
сливаются - образуется линия k-точек ван Хова D =
ствующие результаты для DOS приведены в допол-
= {(π/2, π/2, kz), -π/2 < kz < π/2}, производящая
нительном материале.
особенность DOS в центре зоны ρbcc(ǫ, τ
= 0) =
Для ПК решетки топология электронного спек-
= (4/π3)[ln2(64/|ǫ|)-π2/16]+o(ǫ) [10]. Причина такой
тра существенно меняется при увеличении τ выше
зависимости в том, что обратные поперечные массы
значения τsc∗ = 1/4 (при этом значении k точки фор-
m-1D(kz) = ±8 coskz на линии D линейно обращают-
мируют целую линию ван Хова Δ; точка Γ меняет
ся в нуль в точке P. При отклонении τ от нуля линия
свой тип с минимума на максимум, а точка X - с
ван Хова D распадается на структуру ван Хова, об-
седловой точки на локальный минимум), см. рис.S1a
разованную тремя точками: P(минимум), Λ∗/ + 1/ и
и табл. 1 в дополнительном материале. При τ < τsc∗
N/ - 1/, причем wscΛ∗ - wscP ≪ wscN - wscΛ∗ , причем в
имеется 4 точки ван Хова: точка минимума Γ, точка
пределе τ → 0 для точек Λ∗ и P расходятся три мас-
максимума R и две седловые точки с противополож-
сы, а для N - только одна. На узком интервале (wscP,
ными сигнатурами X/ + 1/ и M/ - 1/ соответственно.
wscΛ∗ ) DOS резко спадает, а на интервале (wscΛ∗ , wscN)
Между ними график ρsc(ǫ, τ) как функции ǫ образует
DOS образует асимметричное плато с существенно
широкое плато. При τ > τsc∗ от точки Γ отщепляются
большим значением DOS при ǫ = wscΛ∗.
две дополнительные k-точки ван Хова, лежащие на
При увеличении τ k-точка ван Хова Λ∗ смещает-
линиях Σ и Λ (см. табл. 1 в дополнительном матери-
ся от точки P к точке Γ вдоль линии Λ. При τ > 2/3
але); обозначим эти точки как Σ∗, Λ∗. При дальней-
точки P и Γ меняются ролями. Когда τ достигает
шем увеличении τ эти точки удаляются от точки Γ.
τ = τbcc∗, уровни wbccN и wbccΓ сливаются - образуется
Для каждой из этих точек все три массы расходят-
линия k-точек ван Хова Σ. При τ ≲ τbcc∗ формирует-
ся как |τ - τsc∗|-1 при τ → τsc∗. Таким образом, при
ся трехточечная структура, полностью аналогичная
Письма в ЖЭТФ том 110 вып. 11 - 12
2019
Топология электронного спектра. . .
743
эна для ПК и ОЦК решеток приведены на рис. S1 в
дополнительном материале.
При τ = τbcc∗ DOS имеет асимптотику
ρbcc(-2 + δǫ, 1) =
{
√
5
Bbcc/4
-δǫ,
δǫ < 0
√
+ o(1),
(2)
= -2π2 +
Abcc/4
δǫ,
δǫ > 0
∫
√
3
где Abcc
=
dtK(1 - t2)/
t
= 0.333, Bbcc =
2π3
+1
∫
√
=1π3
dtK(-t2)/
t = 0.314, K - полный эллипти-
0
ческий интеграл первого рода, см. дополнительный
материал.
Прямое исследование k-точек ван Хова для ГЦК
представлено в табл. 3 в дополнительном материа-
ле. Из рисунка 2 видно, что при выделенных зна-
Рис. 1. (Цветной онлайн) τ -зависимость уровней ван
Хова w. (a) - ПК решетка. (b) - ОЦК решетка. Сплош-
ная линия соответствует локальному максимуму, пунк-
тирная - локальному минимуму, короткий пунктир -
седловой точке
описанной выше с заменой P→ Γ (см. рис. 1b). В слу-
Рис. 2. (Цветной онлайн) τ -зависимость уровней ван
чае τ > τbcc∗ сигнатуры всех трех точек меняют знак,
Хова w для ГЦК решетки. Обозначения такие же, как
а роль точки Λ∗ играет точка Δ∗, отщепляющаяся от
и на рис. 1. Нижняя панель: зона Бриллюэна ГЦК ре-
Γ при τ = τbcc∗, которая при увеличении τ мигриру-
шетки с указанием стандартных обозначений высоко-
ет вдоль направления Δ, удаляясь от точки Γ. При
симметричных k-точек и линий
этом энергетические уровни ведут себя аналогично
случаям 0 < τ ≪ τbcc∗ и τ ≲ τbcc∗, рассмотренным вы-
чениях τ = -1, -1/2, 0, 1/2, 1 изоэнергетические по-
ше. Как и для точки Λ∗ при τ < τbcc∗, для точки Δ∗
верхности спектра испытывают топологические пе-
все три массы расходятся при τ → τbcc∗. Это означа-
реходы (смена типа точек ван Хова). При этом для
∗
на
τ = -1/2 формируется целая поверхность ван Хова,
графике ρbcc(ǫ, τ) формируется асимметричное пла-
задаваемая уравнением coskx + cosky + coskz = 0.
∗
,τ) много больше ρbcc(wbccN,τ),
Уровень энергии для этой поверхности соответству-
∗
и wbccΓ DOS резко
ет слиянию уровней точек W и L. При τ = 0 форми-
спадает. Максимальное значение DOS при τ < τbcc∗
руется линия ван Хова V , соответствующая слиянию
∗ ,
уровней энергии точек W и X (и соединяющая их).
соответствующих внутренним k-точкам ван Хова зо-
При τ = 1 формулируется линия ван Хова Λ,
ны Бриллюэна, см. рис. S3b в дополнительном мате-
соответствующая слиянию уровней точек Γ и L (и
риале. Таким образом, для ОЦК решетки линии ван
соединяющая эти точки). Переход τ через каждую
Хова D и Σ всегда распадаются на трехточечную
особую точку τ = -1/2, 0, 1 сопровождается расхо-
структуру ван Хова: широкое асимметричное плато
димостью одной или нескольких масс. Это означа-
и примыкающий к нему участок резкого спада DOS.
ет, что при отклонении τ от “критического” значе-
Примеры расчета электронного спектра для различ-
ния линия или поверхность ван Хова распадается на
ных τ в симметричных направлениях зоны Бриллю-
несколько точек ван Хова с большой массой. Так,
Письма в ЖЭТФ том 110 вып. 11 - 12
2019
744
П.А.Игошев, В.Ю.Ирхин
Рис. 3. (Цветной онлайн) Температурная зависимость теплоемкости C (левая ось, сплошные линии) и коэффициента
γ = C/T (правая ось, пунктир) при различных положениях уровня Ферми. (a) - ПК решетка (τ = 0.3): wscΣ∗ = -2.533,
wscΛ∗ = -2.500, wcenter = (1/2)(wscΣ∗ + wscΛ∗ ) = -2.517, wscleft = -2.550, wscright = -2.480. (b) - ОЦК решетка (τ = 1.1):
∗ =-1.436, wbccΓ =-1.400, w
enter
= -1.418, wbccleft = -1.470, wbccright = -1.370
при τ
≲ -1/2 формируются две точки ван Хова
Таким образом, поверхность ван Хова производит
W/ + 1/ и Σ∗/ - 1/, уровни энергии которых близки
на потолке зоны гигантскую “одномерную” сингуляр-
(wfc∗Σ (τ) - wfccW(τ) ∼ τ + 1/2), так что между этими
ность ρfcc(ǫ) ∼ (3 - ǫ)-1/2.
уровнями формируется узкое плато DOS.
При τ
=
0
для линии ван Хова V
=
При -1/2 < τ < 0 k-точками формируется струк-
= {(0, π, kz), -π/2
< kz
< π/2} мы имеем для
тура ван Хова, соответствующая энергии в узком ин-
обратных поперечных масс m-1V(kz) = -4(1±coskz).
тервале (wfc∗Σ , wfccW) (его ширина не превышает 0.35).
Лишь одна из этих обратных масс обращается в
Пара этих уровней дает сильный перепад DOS с
нуль квадратично, так что среднее геометрическое
уровня максимума до уровня седловой точки с боль-
масс обращается в нуль линейно. Это означает,
шими массами. Заметим, что согласно табл. 3 в до-
что сингулярность ван Хова, происходящая от
полнительном материале, внутренняя точка ван Хо-
окрестности линии V , имеет вид
ва Δ∗ существует при |τ| > 1, а Σ∗ - при |τ - 1/2| >
ρfcc(ǫ; τ = 0) ≃ (3/8π2)ln[8/(4 - ǫ)].
(4)
> 1/2. Наименее интересный случай 0 < τ < 1 был
детально проанализирован в работе [12]. В этом слу-
При τ = 1 для линии Λ = {kx = ky = kz =
чае отсутствуют какие-либо внутренние точки ван
kλ, -π/2 < kλ < π/2} мы имеем совпадающие об-
Хова, а также линии и поверхности ван Хова. При
ратные поперечные массы m-1Λ(kΛ) = 12 sin2 kΛ, об-
τ ≳ +1 линия ван Хова Λ, имеющаяся при τ = +1,
ращающиеся в нуль квадратично при kΛ = 0. Таким
распадается на три точки ван Хова: Δ∗, Σ∗, Γ. При
образом, среднее геометрическое этих масс обраща-
этом уровни энергий первых двух точек образуют
ется в нуль уже квадратично, что приводит к тому,
типичное узкое плато (wfc∗Σ (τ) - wfc∗Δ (τ) ∼ (τ - 1)2)
что ρfcc(ǫ; τ = +1) ∼ [θ(ǫ - 6)(ǫ - 6)]-1/4 и дает новую
между уровнями седловых точек с противоположны-
гигантскую сингулярность ван Хова (θ(x) - функция
ми сигнатурами. Эти ситуация полностью аналогич-
Хевисайда).
на распаду Σ-линии ван Хова для ПК решетки, ко-
3. Электронные свойства. На рисунке 3 по-
торый производит узкое квазисимметричное плато и
казаны результаты для электронной теплоемкости
∫
участок резкого спада. Таким образом, мы можем
C(T ; EF)
= -1T
dǫρ(ǫ)(ǫ - EF)2f′(ǫ), для ПК и
сделать априорное заключение о существовании уз-
ОЦК решеток при низких температурах в прибли-
кого устойчивого плато на графике DOS при τ ≳ +1.
жении свободных электронов с точной плотностью
Исследуем характер сингулярностей DOS для
состояний, приведенной в дополнительном материа-
найденных поверхности и линий ван Хова. По-
ле; f(E) = (exp[(E -EF)/T ]+1)-1 - функция Ферми.
скольку при τ
= -1/2 tfcck(τ
= -1/2)
= 3 -
Были выбраны значения τ, близкие к соответствую-
− (1/2) (tsck (τ = 0))2 [13], мы получим
щим топологическим переходам, и уровнем Ферми
1
√
EF, находящимcя внутри или вблизи уровней струк-
ρfcc(ǫ; τ = -1/2) =
√
ρsc(
2(3 - ǫ); τ = 0).
2(3 - ǫ)
туры ван Хова, которая остается от распада линии
(3)
ван Хова Δ для ПК решетки и Σ для ОЦК решет-
Письма в ЖЭТФ том 110 вып. 11 - 12
2019
Топология электронного спектра. . .
745
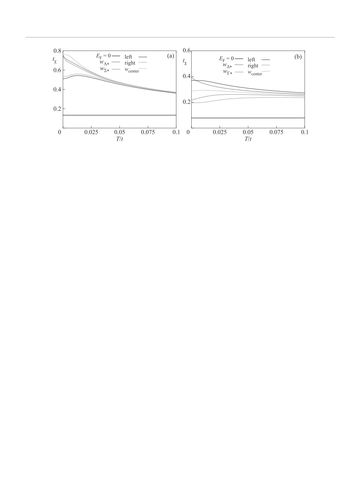
Рис. 4. (Цветной онлайн) Температурная зависимость магнитной восприимчивости χ при различных положениях уров-
ня Ферми. (a) - ПК решетка (τ = 0.3). (b) - ОЦК решетка (τ = 1.1)
ки, см. обсуждение выше. Для наглядности пока-
электронов в смысле поведения магнитной воспри-
зан также расчет для EF = 0, когда уровень Фер-
имчивости, близкого к кюри-вейссовскому. Если
ми удален от всех особенностей. В этом же прибли-
уровень Ферми находится на вершине плато, а τ
жении были вычислены магнитная восприимчивость
достаточно близко к τsc∗, величина DOS велика и
∫
(в единицах µ2B) χ(T ; EF) = -
dǫρ(ǫ)f′(ǫ) и тер-
практически не чувствительна к изменению уровня
моэлектродвижущая сила (термоЭДС) S(T ; EF) =
Ферми в пределах вершины плато. Это означает, что
∫
= -[1/Tσ(T; EF)]
dǫ(ǫ - EF)σc(ǫ)f′(ǫ), где прово-
ферромагнетизм будет достаточно стабилен, в том
∫
димость определена как σ(T ; EF) = -
dǫσc(ǫ)f′(ǫ),
числе по отношению к корреляционным эффектам
σc(ǫ) - функция проводимости, пропорциональная
(более высокая температура Кюри), в отличие от
плотности состояний [1].
ферромагнетизма, происходящего от точки ван Хова
Видно, что теплоемкость для ПК и ОЦК реше-
с высокой массой (см. обсуждение во Введении).
ток увеличена и сильно отклоняется от стандартной
Выход уровня Ферми за пределы плато приводит
линейной температурной зависимости (при EF = 0),
к максимуму χ(T ), а следовательно возможному
причем это поведение сохраняется далеко за преде-
формированию
температурно-индуцированного
лами температурного масштаба порядка ширины пи-
ферромагнетизма
[14]. Для ОЦК решетки тем-
ка T∗ ≈ 0.03. Если выбрать t ∼ 0.5 эВ, то T∗ ∼ 200 K.
пературная зависимость χ более слабая, хотя ее
Имеется также существенная зависимость от поло-
низкотемпературное значение существенно зависит
жения уровня Ферми в пределах структуры ван Хова
от EF.
при T ≪ T∗. Если EF находится на плато DOS ПК
Асимметрия плотности состояний относительно
решетки (см. рис. S2а дополнительного материала),
EF приводит к большой величине термоЭДС. Для
теплоемкость будет линейной (с гигантским коэффи-
обеих решеток она немонотонно зависит от темпера-
циентом γ) лишь в узком интервале низких темпера-
туры, причем характер этой зависимости существен-
тур; при отклонении EF влево или вправо от границ
но зависит от положения EF (рис. 5). Для ПК решет-
плато γ(T ) приобретает максимум. Для ОЦК решет-
ки получается температурная зависимость, симмет-
ки на поведение γ влияет наличие асимметричного
ричная по величине и антисимметричная по знаку
пика в энергетическом интервале (wb∗cΛ, wbccΓ) - в
по отношению к положению уровня Ферми, отсчи-
случае, когда EF = wb∗cΛ или левее, имеет место мо-
танного от центра плато.
нотонное убывание γ с ростом температуры; когда
4. Заключение. Мы показали, что в приближе-
EF > wb∗cΛ, γ(T) приобретает пик при низких темпе-
нии ближайших и следующих за ближайшими со-
ратурах. При T ≳ T∗ нелинейное поведение теплоем-
седями изоэнергетические поверхности, находящие-
кости сохраняется, хотя зависимость от положения
ся в окрестности k-точки ван Хова, могут испыты-
уровня Ферми практически исчезает.
вать топологические переходы при изменении пара-
Магнитная восприимчивость χ (рис. 4) име-
метров электронного спектра. При таком переходе
ет непаулиевское поведение: возникает сильная
уровни энергии точек ван Хова сливаются, форми-
температурная зависимость. Для ПК решетки на-
руя линии (или поверхности) ван Хова, производя-
личие узкого плато в DOS приводит к локализации
щие гигантские (логарифмическую или степенную)
Письма в ЖЭТФ том 110 вып. 11 - 12
2019
746
П.А.Игошев, В.Ю.Ирхин
Рис. 5. (Цветной онлайн) Температурная зависимость термоЭДС S при различных положениях уровня Ферми. (a) -
ПК решетка (τ = 0.3). (b) - ОЦК решетка (τ = 1.1)
сингулярности в плотности состояний. Наличие этих
Большая масса в k-точке ван Хова R обеспечива-
сингулярностей может привести к новым неустойчи-
ет слабый ферромагнетизм (температура Кюри 41 K)
востям (магнитным, сверхпроводящей) и необычным
Ni3Al [16]. Слабый коллективизированный ферро-
температурным зависимостям наблюдаемых физиче-
магнетик Y2Ni7 демонстрирует низкую температуру
ских величин. Вблизи топологического перехода ли-
Кюри 58 K и малый момент насыщения 0.44 µB [17,
нии и поверхности ван Хова распадаются на трехто-
18]. Расчеты зонной структуры показывают спектр
чечные структуры ван Хова: либо узкое плато, при-
типа плоских зон в окрестности точки ван Хова Γ и
водящее к локализации части электронных состоя-
бездисперсионный спектр в P-Z-направлении ромбо-
ний (тогда термодинамические величины являются
эдрической зоны Бриллюэна (возможная линия ван
суммой двух вкладов - от локализованных и дело-
Хова или пара точек ван Хова с большой массой) [19].
кализованных электронных состояний), с примыка-
Проведенный нами анализ может быть полезен
ющим к нему более широкому участку резкого спа-
как дополнение вычислительных методов, использу-
да DOS, либо участок резкого спада DOS и при-
емых для расчета электронного спектра и свойств
мыкающему к нему участку асимметричного плато
реальных материалов. В частности, влияние точек
(что приводит к промежуточному “полулокализован-
ван Хова на величину плотности электронных состо-
ному” поведению соответствующего термодинамиче-
яний не может быть удовлетворительно исследовано
ского вклада).
в рамках метода тетраэдров [20]. В качестве альтер-
Соответствующие эффекты должны усиливать-
нативы может быть предложена аналитическая ап-
ся при учете корреляций [1]. Таким образом, по-
проксимация спектра в окрестности высокосиммет-
лученные результаты (в применении к спектру как
ричных точек, где спектр почти плоский (слабодис-
фермиевских, так и бозевских возбуждений) могут
персионный) [21].
быть использованы при исследовании магнитных и
Авторы
благодарят
М. И. Кацнельсона,
электронных свойств в различных микроскопиче-
А. О. Анохина, А. А. Катанина за ценные об-
ских многоэлектронных моделях, например моделях
суждения. Исследование проводилось в рам-
Гейзенберга, Кондо и Хаббарда.
ках госзадания Минобрнауки (тема
“Квант”
Взаимосвязь точек ван Хова высокой массы и
# AAAA-A18-118020190095-4) и при поддержке
появления ферромагнетизма может быть проиллю-
Программы
211
Правительства РФ, соглашение
стрирована на ряде примеров. ZnZn2 близок к пере-
02.A03.21.0006.
ходу И. М. Лифшица, проявляющемуся в изменении
топологии поверхности Ферми при смещении EF [15].
Причиной слабого ферромагнетизма ZrZn2, вероят-
1. С. В. Вонсовский, М. И. Кацнельсон, А. В. Трефилов,
ФММ 76(3), 3 (1993).
но, является вклад в плотность состояний, происхо-
дящий от точек ван Хова вблизи граней зоны Брил-
2. М. И. Кацнельсон, Г. В. Песчанских, А. В. Трефилов,
люэна (X, L и K). Большие, но конечные значения со-
ФТТ 32, 470 (1990).
ответствующих эффективных масс, вычисленные из
3. V. L. Moruzzy, J. P. Janak, and A. R. Williams,
первых принципов [15], приводят к обрезанию сингу-
Calculated Electronic Properties of Metals, Plenum
лярности плотности состояний вблизи EF.
Press, N.Y. (1978).
Письма в ЖЭТФ том 110 вып. 11 - 12
2019
Топология электронного спектра. . .
747
4. D. A. Papacostantopoulos, Handbook of Band Structure
14. S. V. Vonsovsky, Yu. P. Irkhin, V. Yu. Irkhin, and
of Elemental Solids, Plenum Press, N.Y. (1986).
M. I. Katsnelson, J. de Physique Colloques 49(C8), 253
5. A. Hausoel, M. Karolak, E. Sasioglu, A. Lichtenstein,
(1988).
K. Held, A. Katanin, A. Toschi, and G. Sangiovann,
15. G. Santi, S. B. Dugdale, and T. Jarlborg, Phys. Rev.
Nature Comm. 8, 16062 (2017).
Lett. 87, 247004 (2001).
6. М. И. Кацнельсон, А. В. Трефилов, Письма в ЖЭТФ
16. A. S. Hamid, A. Uedono, Zs. Major, T. D. Haynes,
40, 303 (1984).
J. Laverock, M. A. Alam, S. B. Dugdale, and D. Fort,
7. М. И. Кацнельсон, А. В. Трефилов, Письма в ЖЭТФ
Phys. Rev. B 84, 235107 (2011).
42, 393 (1985).
17. J. Inoue, Physica B 149, 376 (1988).
8. L. van Hove, Phys. Rev. 89, 1189 (1953).
18. Y. Nishihara and S. Ogawa, J. Phys. Soc. Jpn. 60, 300
9. R. J. Jelitto, J. Phys. Chem. Solids 30, 609 (1969).
(1991).
10. S. Katsura and T. Horiguchi, J. Math. Phys. 12, 230
(1971).
19. D. J. Singh, Phys. Rev. B 92, 174403 (2015).
11. П. А. Игошев, В. Ю. Ирхин, ЖЭТФ 155, 1072 (2019).
20. P. E. Blöchl, O. Jepsen, and O. K. Andersen, Phys. Rev.
12. R. H. Swendsen and H. Callen, Phys. Rev. B 6, 2860
B 49, 16223 (1994).
(1972).
21. А. А. Степаненко, Д. О. Волкова, П. А. Игошев,
13. M. Ulmke, Eur. Phys. J. B 1, 301 (1998).
А. А. Катанин, ЖЭТФ 152, 1034 (2017).
Письма в ЖЭТФ том 110 вып. 11 - 12
2019