Письма в ЖЭТФ, том 118, вып. 9, с. 629 - 636
© 2023 г. 10 ноября
Поиск резонансов в спектре масс двухфотонных событий,
образующихся в π+A-взаимодействиях, в эксперименте Гиперон-М
на ускорительном комплексе У-70
А. М. Горин+, С. В. Евдокимов+1), А. А. Зайцев, В. И. Изучеев+, Б. В. Полищук+, К. А. Романишин+,
В.И.Рыкалин+, С.А.Садовский+, Ю.В.Харлов+, А.А.Шангараев+
+НИЦ “Курчатовский институт” - ИФВЭ, 142281 Протвино, Россия
Объединенный институт ядерных исследований, 141980 Дубна, Россия
Поступила в редакцию 21 сентября 2023 г.
После переработки 28 сентября 2023 г.
Принята к публикации 29 сентября 2023 г.
Исследования на Нуклотроне в ОИЯИ указывают на наличие ранее неизвестной резонансо-подобной
структуры в двухфотонном спектре масс в области 300-400 МэВ/c2, наблюдаемой в ядро-ядерных вза-
имодействиях. Целью данной работы является поиск таких структур в двухфотонном спектре масс в
мезон-ядерных взаимодействиях при импульсе 7 ГэВ/c на установке Гиперон-М ускорительного комплек-
са У-70. Установлено ограничение сверху на отношение сечения образования неизвестных резонансных
структур к сечению рождения η-мезона ρ(R→2γ→2γ ) < 3.2 × 10-3 на уровне достоверности 95 %.
DOI: 10.31857/S1234567823210012, EDN: prgiqb
Введение. Несмотря на то, что спектры масс в
Скалярные дипионные резонансо-подобные со-
области легких мезонов хорошо изучены, особенно-
стояния могут проявляться и в двухфотонных распа-
сти динамики взаимодействий частиц в поле ядра
дах. В работе [10] в двухфотонном спектре масс на-
могут приводить к появлению резонансо-подобных
блюдалось состояние R360 в околопороговой области
структур в наблюдаемом спектре масс. Так, впер-
2π-систем (MR ≈ 380 МэВ/c2, ΓR ≈ 60 МэВ/c2) в ре-
вые о наблюдении аномалии двухпионного спектра
акции d+C → 2γ+X на Нуклотроне в Дубне при им-
масс в области 315 МэВ/c2 в реакции p + d
пульсе пучка 2.75 АГэВ/c. При этом, однако, подоб-
3He + 2π сообщили Abashian, Booth и Crowe в ра-
ная структура отсутствует в реакции p + C → 2γ + X
ботах [1, 2]. Эта аномалия получила название ABC-
при импульсе протона 5.5 ГэВ/c. Поиск легких бо-
эффект. Позднее о наблюдении ABC-эффекта бы-
зонов в распадах на два фотона в последнее время
ло сообщено во многих работах, см., например, [3-6].
приобрел новый интерес в связи с указанием на су-
Наличие резонансо-подобной структуры в двухпион-
ществование состояний X17 [11, 12] и E38 [13-15]
ном спектре масс, скорее всего, не связано с реальной
которые могут быть интерпретированы как КЭД-
частицей, но может быть интерпретировано, напри-
мезоны, представляющие собой пару легких квар-
мер, как следствие резонансного дибарионного ΔΔ-
ков qq в состоянии конфайнмента в открытой струне,
взаимодействия [7], приводящего к образованию воз-
описывающейся в (1+1)D абелевом U(1) калибровоч-
бужденного состояния дейтрона d(2370), который
ном квантово-электродинамическом (КЭД) взаимо-
наблюдался в эксперименте WASA@COSY [8]. В де-
действии [16]. Эта модель описывает R360 как моле-
тальном обзоре [9] по рождению легких мезонов и
кулярное состояние двух пионов и двух E38 состоя-
мезонных состояний во взаимодействиях легких ядер
ний, объединяя в себе различные аномальные бозон-
обсуждаются экспериментальные указания на нали-
ные состояния, включая R360, ABC эффект и КЭД-
чие резонансо-подобных особенностей двухпионного
мезоны X17, E38. Дальнейшие исследования этих со-
спектра масс в области 455, 550 и 750 МэВ/c2. Ос-
стояний и их взаимосвязей представляют большой
новным выводом обзора при этом является необхо-
интерес, см. [16].
димость проведения дальнейших экспериментов для
В данной работе представлены результаты по-
прояснения природы этих аномалий.
иска аномальных резонансных бозонных состояний
в диапазоне масс от 200 до 1000 МэВ/c2, проведен-
1)e-mail: Sergey.Evdokimov@ihep.ru
ные на основе данных эксперимента Гиперон-М на
Письма в ЖЭТФ том 118 вып. 9 - 10
2023
629
630
А. М. Горин, С. В. Евдокимов, А. А. Зайцев и др.
ускорительном комплексе У-70. Гиперон-М прово-
дит систематические исследования взаимодействий
адронов с ядрами, в том числе положительных пи-
онов с ядрами9Be и12C. Суммарная статистика
2γ-событий в π+-пучке, набранная за период рабо-
ты с 2008 по 2018 гг., позволяет осуществить поиск
резонансо-подобных структур в спектре масс пар фо-
тонов вплоть до массы η-мезона и выше с достаточ-
но высокой статистической обеспеченностью. Это,
безусловно, представляет интерес в связи с физи-
Рис. 1. Схема экспериментальной установки Гиперон-
кой резонансных мезонных состояний, образующих-
М: S1, S2, S4 - пучковые сцинтилляционные счетчи-
ки; C1-3 - черенковские счетчики; T - мишень; SA -
ся в адрон- и ион-ядерных столкновениях при энер-
триггерный сцинтилляционный антисчетчик; LGD2
гиях до нескольких ГэВ на адронную пару. В ра-
черенковский электромагнитный спектрометр с ради-
боте представлены результаты исследования спек-
аторами из свинцового стекла
тра масс пар фотонов, образующихся в реакциях
π +(Be,C) → 2γ +X при импульсе 7ГэВ/c в области
масс от 200 до 1000 МэВ/c2, и получены ограниче-
2. Данные эксперимента и Монте-Карло
ния на вклады резонансо-подобных состояний в эти
моделирования. Для физического анализа двух-
спектры.
фотонных систем использовались события, в кото-
1. Эксперимент Гиперон-М. Эксперименталь-
рых было зарегистрировано 2 фотона в детекторе
ная установка Гиперон-М состоит из пучкового теле-
LGD2. События с 3 и 4 фотонами были использо-
скопа сцинтилляционных счетчиков {S1, S2, S4}, че-
ваны для идентификации вкладов от многофотон-
ренковских пороговых счетчиков C1, C2, C3, ядерной
ных распадов нейтральных мезонов в двухфотон-
мишени T , триггерного сцинтилляционного счетчика
ный спектр масс и их учета при анализе. При этом
антисовпадений SA и электромагнитного калоримет-
требовалось наличие сигнала в пороговых черенков-
ра LDG2. Пучок вторичных положительно заряжен-
ских счетчиках C1 и C2 для отбора событий с π+-
ных частиц с импульсом 7 ГэВ/c детектируется пуч-
мезонами в пучке. Порог счетчика C1 был установ-
ковым телескопом. Черенковские пороговые счетчи-
лен таким образом, чтобы регистрировать пионы с
ки используются для выделения в пучке пионов, до-
импульсом 7 ГэВ/c, а C2 - для регистрации пионов
ля которых достигает 50 % от общего количества час-
и каонов с импульсом 7 ГэВ/c. Для подавления шу-
тиц в пучке. Пучок попадает на ядерную мишень T ,
мящих каналов в калориметре использовался отбор
n
на которой рождаются в том числе фотоны, детек-
по суммарной энергии фотонов
Ei > 1000 МэВ,
i=1
тируемые калориметром LGD2. Для выделения ис-
зарегистрированных в LGD2.
ключительно событий рождения фотонов в апертуре
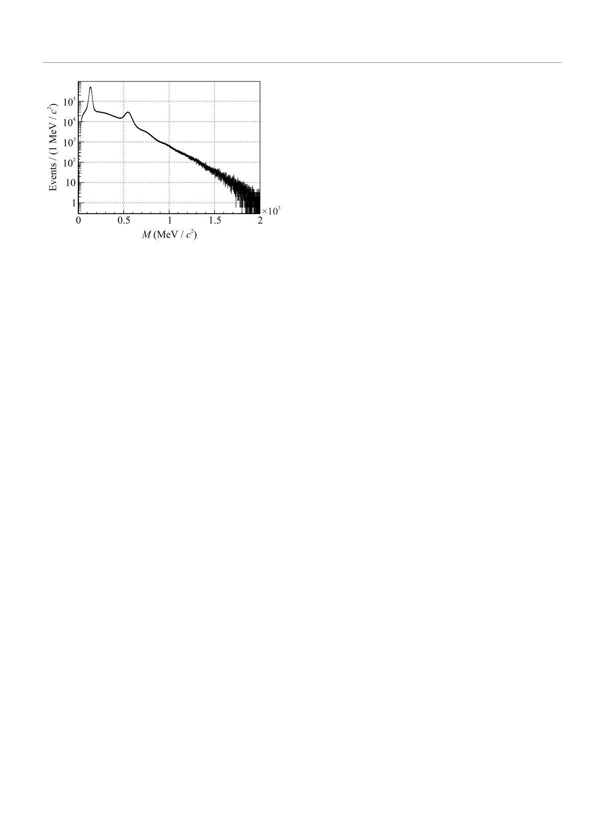
Двухфотонный спектр масс, полученный в экспо-
калориметра используется сцинтилляционный счет-
зиции на бериллиевой мишени, представлен на рис. 2.
чик SA, покрывающий телесный угол калориметра
В спектре хорошо видны пики от распадов π0 → 2γ
и включенный в схему антисовпадений с пучковым
и η → 2γ при массах ≈ 135МэВ/c2 и ≈ 547МэВ/c2,
телескопом. Схематически установка изображена на
соответственно. Также заметна особенность в обла-
рис. 1.
сти масс 700-800 МэВ/c2, связанная с наличием со-
Электромагнитный калориметр LGD2 представ-
бытий распада ω(782) → π0γ, где один из фотонов от
ляет собой матрицу 24 × 24 из блоков свинцового
распада π0-мезона не был зарегистрирован в LGD2.
стекла размером 85 × 85 × 350 мм3 с приклеенны-
Спектр, полученный на углеродной мишени, выгля-
ми к их торцевой поверхности фотоумножителями.
дит аналогично. Суммарная статистика соответству-
Передняя поверхность калориметра расположена на
ет 2.2×106 и 1.6×106 зарегистрированных распадов
расстоянии 370 см от мишени T .
η → 2γ на бериллиевой и углеродной ядерных мише-
Регистрируемые фотоны в калориметре исполь-
нях, соответственно.
зовались для физического анализа событий. Более
Для учета вклада от распада ω(782) → π0γ ис-
подробно установка, система сбора данных экспери-
пользовались события с тремя зарегистрированными
мента, алгоритмы калибровки детектора LGD2, ре-
фотонами в LGD2. При этом отобранные события
конструкции энергий и импульсов фотонов, а также
подвергались процедуре кинематического 1C-фита
программа Монте-Карло (МК), моделирования экс-
с гипотезой π0γ, и выбиралась лучшая комбинация
перимента описаны в работах [17-25].
фотонов по критерию χ0γ.Событиясχπ0γ<5.0ис-
Письма в ЖЭТФ том 118 вып. 9 - 10
2023
Поиск резонансов в спектре масс двухфотонных событий...
631
метре. Целью анализа является описание двухфотон-
ного спектра с помощью парциальных вкладов этих
процессов.
Анализ экспериментальных 2γ-спектров, рис. 2,
был проведен в области масс m > 200 МэВ/c2, т.е.
далеко за пределами доминирующего пика от распа-
да π0 → 2γ, который является источником значимого
физического фона в данном эксперименте.
Следующий по значимости физический фон обу-
словлен событиями нейтральных распадов η мезона.
Для параметризации вклада от распадов η → 2γ,
η → 3π0 было проведено МК моделирование рожде-
ния η мезона и его распадов по указанным каналам с
Рис. 2. Спектр масс двухфотонных событий в реакции
относительными вероятностями 39.36 и 32.57 % [26].
π+ + A → M0→nγ + X на бериллиевой мишени при им-
Всего было сгенерировано по 7.5 × 106 событий рас-
пульсе 7 ГэВ/c
падов на бериллиевой и углеродной мишенях. МК
спектр отобранных двухфотонных событий на берил-
пользовались для построения спектра инвариантных
лиевой мишени представлен на рис. 5. Для парамет-
масс π0γ-систем. На рисунке 3 слева приведен полу-
ризации спектра использовалась функция fη(m), ко-
ченный в эксперименте спектр масс π0γ-событий на
торая была подобрана эмпирически
{
бериллиевой мишени и МК спектр рождения и по-
a0 exp(-x2L/2 + Σ8i=4aixi-1L), m > a1,
следующего распада ω(782) → π0γ, см. подробнее
fη(m) =
a0 exp(-x2R/2 + Σ15i=11aixi-8R), m ≤ a1
в [24, 25]. МК спектр нормирован на число наблю-
(1)
даемых в эксперименте событий этого распада. Для
где ai - фитируемые параметры, xL = (m-a1)/(a2 +
углеродной мишени распределения выглядят анало-
+ a3(m - a1)), xR = (m - a1)/(a9 + a10(m - a1)).
гично.
Эта параметризация хорошо опысывает особенно-
Для учета вклада от распада f2(1270) → 2π0 ис-
сти спектра. На углеродной мишени параметризация
пользовались события с четырьмя зарегистрирован-
МК спектра функцией (1) была проведена столь же
ными фотонами в LGD2. При этом отобранные со-
успешно.
бытия подвергались процедуре кинематического 2C-
Следующими по значимости фоновыми процесса-
фита с гипотезой 2π0, и выбиралась лучшая комби-
ми являются процессы образования и распада ω(782)
нация фотонов по критерию χ22π0. События с χ22π0 <
и f2(1270) мезонов. Для параметризации вклада от
< 5.0 использовались для построения спектра ин-
распада ω(782) → π0γ было проведено Монте-Карло
вариантных масс 2π0-систем. На рисунке 4 слева
моделирование рождения ω(782) мезона и его после-
приведен полученный в эксперименте спектр масс
дующего распада по указанному каналу. Всего бы-
0-событий на бериллиевой мишени и МК спектр
ло сгенерировано по 7.5 × 106 распадов на бериллие-
рождения и последующего распада f2(1270) → 2π0,
вой и углеродной мишенях. Полученный в результате
см. подробнее в [23, 25]. МК спектр нормирован на
спектр масс двухфотонных событий на бериллиевой
число наблюдаемых в эксперименте событий этого
мишени представлен на рис. 3 справа. На углерод-
распада. На углеродной мишени спектры выглядят
ной мишени спектр выглядит аналогично. Для па-
аналогично.
раметризации спектров на обеих мишенях в терми-
3. Анализ спектра 2γ-событий. В двухфотон-
нах фитируемых параметров bi использовалась по-
ные спектры масс, представленные на рис. 2, дают
добранная эмпирически функция fω(x):
вклад несколько различных процессов: распады ней-
{
тральных мезонов на два фотона (π0 → 2γ, η → 2γ,
fL(m), m < 815 МэВ/c2
fω(m) =
(2)
η(958) → 2γ); распады нейтральных резонансов в
fR(m), m ≥ 815 МэВ/c2,
конечном счете на n фотонов (n > 2), в которых
в LGD2 было зарегистрировано только два фото-
где функция fL(m) описывает основной спектр масс
на (ω(782) → π0γ → 3γ, f2(1270) → 2π0 → 4γ,
двухфотонных систем:
η → 3π0 → 6γ); нерезонансное рождение несколь-
fL(m) = b0 + b1G(b2, b3, m) · (1 + Σ6i=4bim2i-7) +
ких нейтральных мезонов, распадающихся на фото-
+ b7G(b8, b9, m) · (1 + Σ12i=10bim2i-18),
(3)
ны, но с регистрацией только двух фотонов в калори-
Письма в ЖЭТФ том 118 вып. 9 - 10
2023
632
А. М. Горин, С. В. Евдокимов, А. А. Зайцев и др.
Рис. 3. (Цветной онлайн) Слева: экспериментальный спектр масс π0γ-событий на бериллиевой мишени, идентифи-
цированных в результате проведенного 1С-фита (черная линия), и аналогичный спектр от распада ω(782) → π0γ,
полученный с помощью МК моделирования с соответствующей нормировкой (синяя линия). Справа: спектр масс 2γ-
событий, полученных с помощью МК моделирования распада ω(782) → π0γ. Красной линией изображена фитирующая
функция (1), см. гл.3
Рис. 4. (Цветной онлайн) Слева: экспериментальный спектр масс 2π0-событий на бериллиевой мишени, идентифи-
цированных в результате проведенного 2С-фита (черная линия), и аналогичный спектр от распада f2(1270) → 2π0,
полученный с помощью МК моделирования с соответствующей нормировкой (синяя линия). Справа: спектр масс
2γ-событий, полученных с помощью МК моделирования распада f2(1270) → 2π0. Красной линией изображена фити-
рующая функция (6), см. гл.3
- правую часть этого спектра. Здесь и далее G обо-
значает ненормированную функцию Гаусса со сред-
ним значением α и дисперсией δ2
G(α, δ, x) = exp(-0.5(x - α)22).
(5)
Для параметризации двухфотонного спектра
масс от распада f2(1270) → 2π0 было проведено
МК моделирование рождения f2(1270) мезона и его
распада по указанному каналу. Было сгенерировано
по 7.5 × 106 распадов на бериллиевой и углерод-
ной мишенях. Спектр отобранных двухфотонных
событий на бериллиевой мишени представлен на
Рис. 5. (Цветной онлайн) Спектр масс 2γ-событий, по-
рис. 4 справа. Эмпирическая функция в терминах
лученных с помощью МК моделирования распадов η →
параметров ci
→ 2γ, η → 3π0. Красной линией изображена фитирую-
ff2 (m) = Σ2i=0cimi + c3G(c4, c5, m) +
щая функция (1)
+ c6G(c7, c8, m) · (1 + c9m),
(6)
а функция
использованная для фитирования спектров, показа-
fR(m) = b13 exp(-b14m) + b15 exp(-b16m)
(4)
на на рис. 4 красной линией.
Письма в ЖЭТФ том 118 вып. 9 - 10
2023
Поиск резонансов в спектре масс двухфотонных событий...
633
Рис. 6. (Цветной онлайн) Cпектр масс 2γ-событий на бериллиевой (слева) и углеродной (справа) мишенях. Красной
линией показана фитирующая функция (7). Черной линией показан вклад от нерезонансных событий (8). Синей ли-
нией показан вклад от нейтральных распадов η-мезона (1). Зеленым цветом показан вклад от распада ω(782)-мезона
(2). Желтой линией показан вклад от распада f2(1270)-мезона (6). Бирюзовым цветом показан вклад от 2γ-распада
η(958)
Рис. 7. Разность двухфотонного спектра масс и фитирующей функции (7): слева - для бериллиевой мишени, справа -
для углеродной мишени
Наконец, вклад от распада η(958) → 2γ был
таты фитирования этой функцией спектров на бе-
учтен с помощью функции Гаусса (5) в силу неболь-
риллиевой и углеродной мишенях представлены на
шого числа наблюдаемых распадов.
рис. 6. Качество фитирования экспериментальных
Двухфотонные спектры масс, полученные в экс-
2γ-спектров высокое, оно характеризуется статисти-
перименте на бериллиевой и углеродной мишенях,
ками χ2/ndf = 1332.24/1278 и χ2/ndf = 1327.14/1278
были профитированы суммой ftot(m) рассмотренных
на бериллиевой и углеродной мишенях, соответст-
выше оптимально параметризованных МК вкладов
венно.
от распадов: η
→ 2γ, η → 3π0, ω(782) → π0γ,
На рисунке 7 приведены разности эксперимен-
f2(1270) → 2π0, η(958) → 2γ со свободными (фи-
тальных спектров и фитирующих функций для бе-
тируемыми) параметрами нормировки, и гладкой
риллиевой и углеродной мишеней. Хорошо видно,
функции fNR(m), дополнительно введенной для опи-
что на гистограммах отсутствуют сколь-нибудь зна-
сания различных нерезонансных процессов:
чимые локальные избытки событий. Откуда можно
сделать вывод, что для описания эксперименталь-
ftot(m) = p0fη(m) + p1fω(m) + p2ff2(m) +
ных 2γ-спектров на обеих мишенях вполне достаточ-
+ p3fη(958)(m) + fNR(m),
(7)
но вкладов, рассмотренных выше процессов.
4. Поиск аномальных структур. Как видно из
где функция fNR(m) была подобранная эмпириче-
рис. 7, какие-либо дополнительные визуально опре-
ски. Она имеет вид:
деляемые пики в двухфотонном спектре масс на бе-
риллиевой и углеродной мишенях отсутствуют. Для
fNR(m) = p4 exp(-p5m) + p6G(p7, p8, m),
(8)
количественной оценки возможного вклада неизвест-
а ее параметры включены в процедуру фитирова-
ного состояния в рассматриваемые спектры к фити-
ния экспериментальных спектров наряду с пара-
рующей функции (7) была добавлена функция Гаус-
метрами нормировок p0-3 в функции (7). Резуль-
са с нормировкой nR, средним значением mR и сред-
Письма в ЖЭТФ том 118 вып. 9 - 10
2023
634
А. М. Горин, С. В. Евдокимов, А. А. Зайцев и др.
Рис. 8. (Цветной онлайн) Значения p-статистики в зависимости от массы резонанса mR и его среднеквадратичного
отклонения δR. Слева - на бериллиевой мишени, справа - на углеродной мишени
неквадратичным отклонением δ =
δ2R + δ2A, где δA
зависимости от параметров резонанса mR и δR на
описывает разрешение установки, а δR описывает
бериллиевой и углеродной мишенях представлены на
собственную ширину состояния:
рис. 8. Области локальных минимумов соответству-
(
)
ют значениям mR и δR с наибольшей значимостью
fR(m) = ftot(m) + nRG mR, δ2R + δ2A, m
(9)
искомого сигнала (минимальной вероятностью
нулевой гипотезы). Так, значение p = 1.59 × 10-1
соответствует 1δ-значимости сигнала, p = 2.28×10-2
Разрешение установки δA было оценено с помо-
- 2δ-значимости, а p = 1.35 × 10-3 - 3δ-значимости.
щью МК моделирования распадов узкого двухфо-
Из рисунка 8 видно, что наблюдаются 3 локальных
тонного резонанса. Для серии значений массы резо-
минимума, соответствующих массам возможных
нанса mR пики в реконструированных двухфотон-
резонансов 300,
450
и
800 МэВ/c2, для каждого
ных спектрах были профитированы функцией Гаус-
из которых значение p-статистики превышает ве-
са (5). Полученные значения δA изменяются линей-
личину 10-2, т.е. статистическая значимость этих
но от 12 до 55 МэВ/c2 в диапазоне массы от 135 до
резонансов заведомо не превышает 3 стандартных
1000 МэВ/c2.
отклонений.
Для поиска возможных 2γ-резонансов была про-
В окрестностях локальных минимумов было про-
ведена серия фитирований 2γ-спектров функцией (9)
с фиксированными массой mR и среднеквадратич-
ведено фитирование двухфотонных спектров функ-
цией (9) со свободными параметрами nR, mR и δR. В
ным отклонением δR. Для каждой точки (mR, δR)
в результате была определена величина нормиров-
результате для каждого из минимумов были опреде-
лены все перечисленные параметры, а также коли-
ки nR и ее статистическая ошибка δnR, которые
были использованы для вычисления, так называе-
чество распадов NR→2γ . При этом следует отметить,
что полученые значения параметров δR в пределах
мой, p-статистики, представляющей собой вероят-
ность статистической флуктуации, воспроизводящей
статистических погрешностей равны нулю. Это про-
является, в частности, и в наблюдаемой чисто аппа-
или превышающей данные, при условии верности
нуль-гипотезы H0. Нуль-гипотеза H0 состоит в отсут-
ратурной ширине указанных пиков. Нормировав да-
лее числа резонансов на число Nη→2γ наблюдаемых
ствии сигнала с параметрами (mR, δR), см. подроб-
в этих же спектрах распадов η → 2γ с поправкой на
нее, например, в обзоре [26]. Величина p-статистики
оценивается, исходя из полученного количества ре-
эффективности их регистрации, получаем оценку от-
ношения сечений образования искомых резонансов R
зонансов nR ± δnR, по формуле:
к сечению образования η мезона в их двухфотонных
nR
модах распада:
p=1-
fG(0, δnR , x)dx,
(10)
−∞
σ(R) · BR(R → 2γ)
где интеграл представляет собой кумулятивную
ρ(R→2γ→2γ ) =
=
σ(η) · BR(η → 2γ)
функцию нормированного на
1
распределения
NR→2γR→2γ
Гаусса со средним 0 и среднеквадратичным откло-
=
,
(11)
нением δnR . Полученные значения p-статистики в
Nη→2γη→2γ
Письма в ЖЭТФ том 118 вып. 9 - 10
2023
Поиск резонансов в спектре масс двухфотонных событий...
635
где εR→2γ - эффективность регистрации резонанса
2.
N. E. Booth, A. Abashian and K. M. Crowe, Phys. Rev.
R, а εη→2γ - эффективность регистрации η мезона
Lett. 7, 35 (1961).
в двухфотонной моде распада. Оценки эффективно-
3.
R. J. Homer, Q.H. Khan, W. K. McFarlane,
сти проведены с помощью МК моделирования. Полу-
J. S. C. McKee, A. W. O’Dell, L. Riddiford,
P. G. Williams, and D. Griffiths, Phys. Lett.
9,
ченные в результате значения параметров резонан-
72 (1964).
сов, а также их сечений с последующим двухфотон-
4.
J. H. Hall, T. A. Murray, and L. Riddiford, Nucl. Phys.
ным распадом по отношению к сечению образования
B 12, 573 (1969).
η мезона в двухфотонной моде распада, приведены
5.
J. Banaigs, J. Berger, L. Goldzahl, T. Risser, L. Vu-
в табл. 1. Как видно из табл. 1, во всех потенциаль-
Hai, M. Cottereau, and C. Le Brun, Nucl. Phys. B 67,
но интересных областях масс двухфотонных систем
1 (1973).
в интервале от 200 до 1000 МэВ/c2 измеренный уро-
6.
I. Bar-Nir, E. Burkhardt, H. Filthuth, H. Oberlack,
вень экстра-резонансных состояний не превышает ве-
A. Putzer, P. Ang, G. Alexander, O. Benary, S. Dagan,
личины в 2.5 стандартных отклонения от физическо-
J. Grunhaus, L. D. Jacobs, A. Levy, D. Lissauer, and
го фона, обусловленного хорошо известными процес-
I. Stumer, Nucl. Phys. B 54, 17 (1973).
сами.
7.
S. Cho, T. Hyodo, D. Jido, C. M. Ko, S.H. Lee,
Таблица 1. Результаты поиска неизвестных резонансов в
S. Maeda, K. Miyahara, K. Morita, M. Nielsen,
двухфотонном спектре масс на бериллиевой и углеродной ми-
A. Ohnishi, T. Sekihara, T. Song, S. Yasui, and
шенях, обозначения см. в основном тексте
K. Yazaki, Prog. Part. Nucl. Phys. 95, 279 (2017).
mR, МэВ/c2
NR→2γ
ρ(R→2γ→2γ ), 95%CL
8.
P. Adlarson, W. Augustyniak, W. Bardan et al.
Бериллиевая мишень
(WASA-at-COSY Collaboration), Phys. Lett. B 721,
297± 7
3629±1450
< 3.1×10-3
229 (2013).
447±30
1523±1294
< 2.1×10-3
9.
A. Codino and F. Plouin, LNS-PH-94-06.
830±44
343± 537
< 1.1×10-3
10.
K. U. Abraamyan, A. B. Anisimov, M. I. Baznat,
Углеродная мишень
K. K. Gudima, M. A. Kozhin, V.I. Kukulin,
285± 8
2746±1206
< 3.2×10-3
M. A. Nazarenko, S. G. Reznikov, and A. S. Sorin,
450±36
1639±1074
< 2.7×10-3
Eur. Phys. J. A 52, 259 (2016).
835±41
219± 441
< 1.1×10-3
11.
J. L. Feng, T. M. P. Tait, and C. B. Verhaaren, Phys.
Rev. D 102(3), 036016 (2020).
12.
A. J. Krasznahorkay, A. Krasznahorkay, M. Begala,
Заключение. В представленной работе прове-
M. Csatlós, L. Csige, J. Gulyás, A. Krakó, J. Timár,
ден поиск аномальных резонансных бозонных состо-
I. Rajta, I. Vajda, and N. J. Sas, Phys. Rev. C 106(6),
яний, являющихся следствием нетривиальной дина-
L061601 (2022).
мики взаимодействия частиц в поле ядра или про-
13.
E. van Beveren and G. Rupp, arXiv:1102.1863 [hep-ph].
явлением связных состояний легких кварков, опи-
14.
E. van Beveren and G. Rupp, arXiv:1202.1739 [hep-ph].
сывающихся абелевым U(1) калибровочным взаимо-
15.
K. Abraamyan, C. Austin, M. Baznat, K. Gudima,
действием с конфайнментом. Поиск резонансов, об-
M. Kozhin, S. Reznikov, and A. Sorin, EPJ Web Conf.
разующихся в π+A взаимодействиях при импульсе
204, 08004 (2019).
7 ГэВ/c, выполнен в распадах на пары фотонов. Ука-
16.
C. Y. Wong, Front. Phys. (Beijing) 18(6), 64401 (2023).
заний на наличие статистически обеспеченного из-
17.
A. A. Aseev, M. Yu. Bogolyubskii, V. A. Viktorov et al.
бытка событий в области масс 200-1000 МэВ/c2 не
(Hyperon-M Collaboration), IHEP Preprint #2002-3,
обнаружено. Получено ограничение сверху на отно-
Inst. High Energ. Phys., Protvino (2002).
шение сечений образования экстра-структур (резо-
18.
M. Yu. Bogolyubskii, V. A. Viktorov, V. S. Petrov et al.,
нансов) к сечению образования η мезона с после-
(Hyperon-M Collaboration), Instrum. Exp. Tech. 49, 61
дующими их двухфотонными распадами на уровне
(2006).
3.2 × 10-3 (95 % CL) для бериллиевой и углеродной
19.
M. Yu. Bogolyubsky, V. A. Viktorov, V. A. Onuchin
et al. (Hyperon-M Collaboration), Instrum. Exp. Tech.
мишеней.
50, 664 (2007).
Данная работа выполнена за счет гран-
20.
S. A. Akimenko, A.V. Bannikov, V.I. Belousov,
та Российского научного фонда
#22-12-00095,
A. M. Blik, V. N. Kolosov, V. M. Kutin,
https://rscf.ru/project/22-12-00095/.
Z. V. Krumshtein, A. I. Pavlinov, and A. S. Solovev,
Instrum. Exp. Tech. 27, 63 (1984).
1. A. Abashian, N. E. Booth, and K. M. Crowe, Phys. Rev.
21.
V. Yu. Batusov and N. L. Rusakovich, JINR Preprint
Lett. 5, 258 (1960).
R1-95-423, JINR, Dubna (1995).
Письма в ЖЭТФ том 118 вып. 9 - 10
2023
636
А. М. Горин, С. В. Евдокимов, А. А. Зайцев и др.
22. M. Yu. Bogolyubskii, D. I. Patalakha, B. V. Polishchuk,
B. V. Polishchuk, S. A. Sadovsky, Y. V. Kharlov, and
S. A. Sadovsky, M. V. Stolpovsky, and Y. V. Kharlov,
A. A. Shangaraev, Pis’ma v ZhETF 113(5), 291 (2021)
Instrum. Exp. Tech. 54, 682 (2011).
[JETP Lett. 113(5), 289 (2021)].
23. M. Y. Bogolyubsky, S. V. Evdokimov, V. I. Izucheev,
25. S. V. Evdokimov, V. I. Izucheev, E. S. Kondratyuk,
D. I. Patalakha, B. V. Polishchuk, S. A. Sadovsky,
B. V. Polishchuk, S. A. Sadovsky, A. A. Shangaraev, and
A.S. Soloviev, M. V. Stolpovsky, Y. V. Kharlov and
Y. V. Kharlov, Phys. At. Nucl. 84(9), 1647 (2021).
N.A. Kuzmin, Phys. At. Nucl. 76, 1324 (2013).
26. R. L. Workman, V. D. Burkert, V. Crede et al. (Particle
24. S. V. Evdokimov, V. I. Izucheev, E. S. Kondratyuk,
Data Group), PTEP 2022, 083C01 (2022).
Письма в ЖЭТФ том 118 вып. 9 - 10
2023