Письма в ЖЭТФ, том 118, вып. 9, с. 677 - 682
© 2023 г. 10 ноября
Особенности брэгговских резонансов в магнонном кристалле
с двумя периодами
М. А. Морозова+1), О. В. Матвеев+, А. С. Пташенко+, А. В. Садовников+, C. А. Никитов+∗
+Саратовский национальный исследовательский государственный университет имени Н. Г. Чернышевского,
410012 Саратов, Россия
∗Институт радиотехники и электроники имени В. А. Котельникова РАН, 125009 Москва, Россия
Поступила в редакцию 3 августа 2023 г.
После переработки 2 октября 2023 г.
Принята к публикации 4 октября 2023 г.
В работе выявлены особенности брэгговских резонансов в магнонном кристалле с металлической
решеткой на поверхности, содержащей два периода. С использованием сшивания магнитных проницае-
мостей на границах металлического слоя и ферромагнитной пленки, а также метода связанных волн по-
строена теоретическая модель, описывающая спектральные характеристики магнитостатических волн.
Методом конечных элементов рассчитано распределение амплитуды намагниченности на частотах каж-
дого из брэгговских резонансов. Показано, что в такой структуре формируются три брэгговских ре-
зонанса в первой зоне Бриллюэна для решетки с меньшим периодом и один резонанс в первой зоне
Бриллюэна для решетки с большим периодом. Резонансные частоты определяется соотношением боль-
шого и малого периодов.
DOI: 10.31857/S1234567823210085, EDN: tbount
1. Введение. В настоящее время ферромагнит-
ские и экспериментальные исследования 1D и 2D
ные структуры рассматривают как одни из базо-
МК, в которых периодичность создавалась различ-
вых элементов для разработки чисто спиновых ин-
ными способами: путем создания модуляции геомет-
формационных и коммуникационных технологий, в
рических параметров ферромагнитной пленки (тол-
которых движущиеся заряды заменены спиновыми
щины, ширины, создания дырок), создания пери-
волнами или магнонами [1, 2]. Одними из основ-
одических граничных условий, использования сло-
ных структур, предлагаемых для создания магнон-
ев из различных материалов, создания переменно-
ной компонентной базы, являются магнонные кри-
го магнитного поля и т.д. [1-11]. Одним из способов
сталлы (МК) [3, 4]. МК представляют собой пе-
расширения возможностей управления запрещенны-
риодические структуры, сформированные на осно-
ми зонами в магнонных кристаллах, является созда-
ве магнитных материалов. В МК возникают усло-
ние квазипериодических МК [10, 11], а также МК с
вия для формирования брэгговских резонансов для
несколькими периодами [5-9].
волновых чисел kB
= π/L (L - период структу-
Резонансные свойства спиновых волн в МК
ры), удовлетворяющих условию Брэгга. На частотах
с несколькими периодами ранее исследовались
брэгговских резонансов формируются запрещенные
как с помощью радиофизических эксперименталь-
зоны - полосы непропускания в спектре спиновых
ных методик [6, 11], так и оптическими методами
волн. Формирование брэгговских резонансов делает
Мандельштам-Бриллюэновской
спектроскопии
МК функционально более гибкими, и они обладают
[7-9]. Результаты экспериментальных исследований
большими возможностями для управления характе-
сравнивались с микромагнитным моделированием
ристиками спиновых волн, по сравнению с неперио-
и моделированием методом конечных элементов
дическими магнитными структурами.
[7-9]. Построение теоретической волновой модели
В этом случае важной является задача управ-
позволит выявить физические механизмы формиро-
ления характеристиками брэгговских резонансов в
вания резонансов и выявить общие закономерности
спектре распространяющихся волн (частотой, плот-
по управлению запрещенными зонами в таких
ностью, добротностью и др.). Для решения этой за-
структурах.
дачи в последние годы были проведены теоретиче-
Целью настоящей работы является исследование
особенностей брэгговских резонансов поверхностных
1)e-mail: mamorozovama@yandex.ru
магнитостатических волн в магнонном кристалле с
Письма в ЖЭТФ том 118 вып. 9 - 10
2023
677
4∗
678
М. А. Морозова, О. В. Матвеев, А. С. Пташенко, А. В. Садовников, C. А. Никитов
металлической решеткой на поверхности, содержа-
щей два периода. С использованием метода сшива-
ния магнитных проницаемостей на границах метал-
лического слоя и ферромагнитной пленки, а также
метода связанных волн построена волновая модель
для описания спектральных характеристик волн в
Рис. 1. (Цветной онлайн) Схема МК с двумя периодами
исследуемой структуре. Установлен механизм фор-
мирования и возможность управления брэгговскими
Верхняя поверхность структуры на рис. 1 имеет
резонансами в зависимости от соотношения перио-
два периода l и L. В этом случае µ1S на верхней по-
дов. Методом конечных элементов рассчитаны дис-
персионные характеристики спиновых волн и рас-
верхности структуры можно разложить в ряд Фурье:
(
)
пределение амплитуды намагниченности на частотах
∑
∑
l
L
y
каждого из брэгговских резонансов.
µ1S
=
µ1
ej2
y Re
µ1S
ej2
(2)
S
n
m
2. Модель и основные соотношения. Схема
n=-∞
m=1
МК с двумя периодами (МК с периодической систе-
Ограничиваясь в (2) членами с n = 0, ±1 и m = 1
мой дефектов) приведена на рис. 1. Структура пред-
для огибающей, получим следующее выражение3):
ставляет собой ферромагнитную пленку (ФП) тол-
щиной d, на поверхности которой нанесены металли-
c
2
(πc)
(2πy)
µ1S =
+
sin
cos
+
ческие полоски толщиной d1 (больше толщины скин
l
π
l
l
слоя), шириной m с периодом l (расстояние между
2
(πΔL)
(2πy)
+
sin
cos
+
полосками c = l -m) на длине L1. Участки L1 распо-
π
L
L
лагаются на расстоянии ΔL друг от друга. Длина су-
4
(πc)
(πΔL)
перрешетки в направлении распространения волны
+
sin
sin
×
π2
l
L
Lg, где Lg = NL-ΔL (L = ΔL+L1, N - порядок ре-
(2πy)
(2πy)
шетки, L/l - целое число). Постоянное магнитное по-
× cos
cos
(3)
l
L
ле
H0 направлено вдоль оси x (структура бесконечна
в этом направлении). Вдоль оси y распространяется
Соотношение (3) можно представить в виде:
поверхностные магнитостатические волны (ПМСВ).
c
2
(πc)
(2πy)
3. Метод сшивания магнитных проница-
µ1S =
+
sin
cos
+
l
π
l
l
емостей. Для построения теоретической модели,
описывающей особенности распространения спино-
2
(πΔL)
(2πy)
+
sin
cos
+
вых волн в МК с двумя периодами, использовал-
π
L
L
ся подход, основанный на сшивании поверхностных
4
(πc)
(πΔL)
+
sin
sin
×
магнитных проницаемостей на границах слоев µS .
π2
l
L
[
)
Введем поверхностную магнитную проницаемость в
(2πy
(2πy)],
виде [12]2):
× cos
+ cos
(4)
λ+
λ
-
bz
где
µs = -j
,
(1)
(
)
(
)
hy
l
l
λ+ = l
1+
, λ- =l
1-
(5)
L
L
где bz - нормальная составляющая переменной маг-
нитной индукции, hy - тангенциальная составляю-
4. Метод связанных волн. Для определения
щая переменного магнитного поля. Эти компонен-
поверхностной проницаемости со стороны ферромаг-
ты сохраняют на границе сред конечное значение и
нитной пленки при z = d(µ1S ) и z = 0(µ0S ) при рас-
непрерывны.
пространении в структуре ПМСВ воспользуемся ме-
Если ФП при z = d ограничена идеальным метал-
тодом связанных волн и магнитостатический потен-
лом, то имеем bz = 0 и µ1S = 0, а если диэлектриком,
циал представим в виде [13, 14]:
то µ1S = 1. При z = 0 структура снизу ограничена
∑
полубесконечным слоем диэлектрика c µ0S = 1.
ψ(y, z) =
(Apekz z + Bpe-kz z )ej(ωt-ky y),
(6)
p=-∞
2)Использование величины µs позволяет упростить решение
задачи для многослойных электродинамических структур, так
3)При p = l и c = 0, ΔL = 0 имеем µ1S = 0, при p = 0 и c = l
как величина µs должна быть непрерывна на границах слоев.
имеем µ1S = 1.
Письма в ЖЭТФ том 118 вып. 9 - 10
2023
Особенности брэгговских резонансов в магнонном кристалле с двумя периодами
679
где ω - частота, Ap и Bp - медленно меняющиеся
Подставляя соотношение (12) в (11), получаем си-
комплексные амплитуды огибающих прямых и от-
стему уравнений для исследуемой структуры в виде:
раженных волн. Рассматривая только волны вдоль
[
]
µ+µa -1
оси y и полагая kx = 0, исходя из уравнения Уокера
kp (µ + µa)ekpd +
e-kpd Ape-jkpy =
µ+µa +1
ky = kz = kp [15], а kp = k0 +2π p, p = 0, ±1,
Lp
∑
На основе формулы (6) определим компоненты
=-
µ1S
ej2
L
y(kn) ×
m
переменного магнитного поля
h и значение перемен-
m+n=p
(
)
ной магнитной индукции
b . Выражения для компо-
µ+µa -1
× eknd +
e-knd Ane-jkny,
(13)
нент hy и hz с учетом (6) будут иметь вид:
µ-µa +1
∂ψ
∂ψ
где в общем случае соотношение (13) представляет
hy =
,hz =
(7)
∂y
∂z
собой бесконечную систему уравнений.
Подставим (5) в систему (13) и ограничимся зна-
Вектор переменной магнитной индукции [16]:
чениями n = 0, ±1 и m = 1. При указанных значе-
b = µh,
(8)
ниях m и n, определитель системы (13) приводит к
дисперсионному уравнению для ПМСВ в МК с дву-
где
мя периодами:
-jµa µ
0
l
η0
κ+0
κ-0
κL0
κ
0
µ=
0
0
1
,
(9)
κ+-1
η+-1
0
0
0
µ jµa
0
κ--1
0
η--1
0
0
= 0,
(14)
κ-L
0
0
η-L
0
µ =ωH(ωH+ωM)-ω2
, µa =ωMω
, ωH = γH0, ωM =
ω2H-ω2
ω2H-ω2
κ-l
0
0
0
η-
= 4πγM0, M0 - намагниченность насыщения, γ - ги-
l
ромагнитное отношение.
где
В этом случае поверхностная магнитная проница-
(
(
c)
c)
емость с учетом формулы (1) и соотношений (6)-(9)
η0 = µ2 - µ2a +
sh(k0d) + µ
1+
ch(k0d),
l
l
будет иметь вид:
(
(
c)
c)
±
η±-1 = µ2 - µ2a +
sh(k±-1d) + µ 1+
ch(k
-1
d),
bz
µahy + jµhz
l
l
(
(
µ1S = -j
=-
(10)
c)
c)
hy
hy
η-L,l = µ2 - µ2a +
sh(kL,l-1d) + µ 1+
ch(kL,l-1d),
l
l
C учетом соотношений (6)-(10) граничное усло-
1
(πc) k±-1
κ±0 =
sin
×
вие при z = d для p-пространственной гармоники
2π
l
k0
[
]
можно представить в виде:
×
µch(k±-1d) + (1 - µa)sh(k±-1d)
,
[
]
1
(πc) k0
kp
(µ + µa)Apekpd + (µa - µ)Bpe-kpd
e-jkpy =
κ±-1 =
sin
[µch(k0d) + (1 - µa)sh(k0d)] ,
∑
2π
l
k±
-1
=
(µ1S
(kn)(Aneknd + Bne-knd)e-jkn y),
(11)
m
1
(πc) k0
m+n=p
κ-L,l =
sin
×
L,l
2π
l
k-
1
где суммирование в правой части проводится по всем
[
]
индексам так, чтобы выполнялось условие m+n = p.
× µch(kL,l-1d) + (1 - µa)sh(kL,l-1d) ,
Граничное условие для нижней поверхности фер-
1
(πc) k0
ромагнитной пленки, граничащей с полубесконеч-
κL,l0 =
sin
[µch(k0d) + (1 - µa)sh(k0d)] .
2π
l
kL,l
-1
ным слоем диэлектрика при z = 0 (µ0S = 1), будет
(15)
иметь вид:
В соотношениях (15) используются выражения
kp [(µ + µa)Ap + (µa - µ)Bp] e-jkpy =
для постоянных распространения на основе формул
= kn(An + Bn)e-jkny.
(2) и (5) в виде:
При p = n последнее соотношение можно пред-
2π
2π
k±-1 = -k0 +
, kl-1 = -k0 +
,
ставить следующим образом:
λ±
l
2π
µ+µa -1
kL-1 = -k0 +
(16)
Bp,n =
Ap,n.
(12)
L
µ-µa
+1
Письма в ЖЭТФ том 118 вып. 9 - 10
2023
680
М. А. Морозова, О. В. Матвеев, А. С. Пташенко, А. В. Садовников, C. А. Никитов
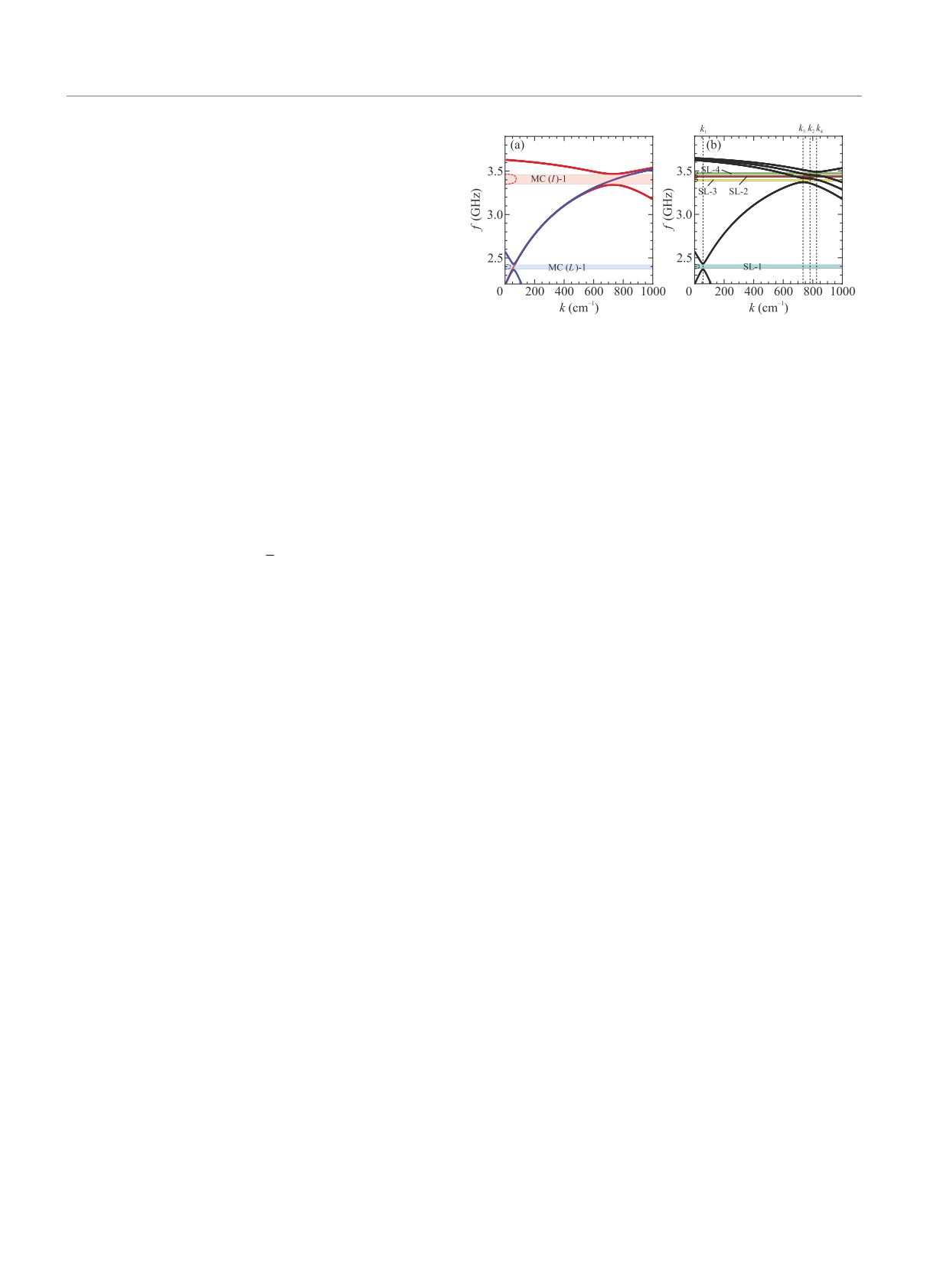
5. Результаты численного исследования. На
основе дисперсионного соотношения (14) были рас-
считаны дисперсионные характеристики ПМСВ в
МК с периодом l, МК с периодом L и МК с двумя
периодами. Сплошными кривыми на рис. 2 показа-
ны зависимости для действительной части волнового
числа Re(k0), а пунктирными кривыми - для Im(k0),
при обозначениях далее введена замена k0 → k. На
рисунке 2a приведены дисперсионные характеристи-
ки для МК c периодом l = 40 мкм (красные кри-
вые) и МК с периодом L = 560 мкм (синие кривые).
Рис. 2. (Цветной онлайн) Дисперсионные характери-
Видно, что в областях частот, показанных заливкой
стики ПМСВ: (a) - в МК c периодом l (красные кри-
Im (k) = 0, что свидетельствует о затухании волны в
вые), МК c периодом L (синие кривые); (b) - в МК с
направлении распространения, обусловленным отра-
двумя периодами (черные кривые). Закрашенные об-
жением от периодической структуры (первым брэг-
ласти соответствуют запрещенным зонам. Сплошны-
говским резонансом). Данные области частот соот-
ми кривыми показаны зависимости для действитель-
ветствуют запрещенным зонам (ЗЗ) - полосам непро-
ной части волнового числа Re(k), а пунктирными кри-
пускания ПМСВ. Для МК с периодом L и l ЗЗ обо-
выми - для Im(k) (H0 = 350 Э, M0 = 140 Гс, d = 10 мкм,
значены как МС(l)-1 и MC(L)-1, и выделены синей
L = 560мкм, l = 40мкм, c = 20мкм). k1, k2 - волновые
и красной заливкой, соответственно. ЗЗ для МК с
числа первого брэгговского резонанса в решетках с пе-
периодом L и l формируются при волновых числах
риодами L и l, соответственно, k3 = π/λ+ и k4 = π/λ-
k1 =πL = 56.07 см-1 и k2 =πl = 785 см-1 . Видно, что
ЗЗ для МК с периодом L располагается значительно
риодами методом конечных элементов путем реше-
ниже по частоте ЗЗ МК с периодом l.
ния системы уравнений Максвелла [17]. Предполага-
На рисунке 2b красными кривыми приведены
лось, что компоненты электромагнитного поля зави-
дисперсионные характеристики ПМСВ для МК с
сят от частоты по гармоническому закону ejωt, ис-
двумя периодами. Заливкой разного цвета выделены
следуемое уравнение второго порядка для вектора
области запрещенных зон SL-1, SL-2, SL-3 и SL-4, со-
напряженности электрического поля E имело вид:
ответственно. Из сравнения рис.2a и b видно, что зо-
на SL-1 располагается в области первого брэгговско-
∇ × (µ-1∇ × E) - k2εE = 0,
(17)
го резонанса решетки с периодом L, а зоны SL-2, SL-3
и SL-4 располагаются в области первого брэгговско-
где k = ω/c - волновое число в вакууме, ω - круго-
го резонанса решетки с периодом l. В МК с двумя
вая частота электромагнитной волны, ε - эффектив-
периодами запрещенные зоны SL-1 и SL-2 формиру-
ное значение диэлектрической проницаемости фер-
ются при волновых числах k1 и k2, соответствующих
ромагнитного слоя.
волновым числам МК с периодами l и L. В свою оче-
Параметры для расчетов выбирались характер-
редь, запрещенные зоны SL-3 и SL-4 формируются
ными для МК на основе пленки железо-иттриевого
при волновых числах k3 = π/λ+ и k4 = π/λ-. Ча-
граната (YIG) и полосок из меди (Cu). Для моде-
стотный интервал и интервал волновых чисел меж-
лирования распространения собственных волн в пе-
ду SL-3 и SL-4 определяется отношением периодов
риодической структуре достаточно рассмотреть один
l/L, частотный интервал и интервал волновых чисел
период структуры. На правой панели к рис. 3a схема-
между SL-1 и SL-2 определяется разностью периодов
тично изображена примитивная ячейка МК и пока-
L - l. Ширина запрещенных зон и затухание в цен-
зано, что на правой и левой границе расчетной об-
трах всех запрещенных зон определяется значением
ласти были установлены периодические граничные
параметра c и уменьшается при c → 0 и c → l. При
условия Флоке (Periodic Boundary Condition, PBC).
c → 0 и сохранении l также увеличивается длина
В правой панели к рис. 3c приведена схема разбиения
металлизированной области в структуре и все запре-
расчетной области на конечные элементы в элемен-
щенные зоны сдвигаются вверх по частоте.
тарной ячейке структуры. При этом расчетная об-
6. Метод конечных элементов. С использо-
ласть разбивалась на конечные элементы таким об-
ванием программного пакета COMSOL Multiphisics
разом, что размер треугольного элемента уменьшал-
было проведено численное моделирование и расчет
ся вблизи полосок металла и на границах ферромаг-
спектров электромагнитных волн в МК с двумя пе-
нитной структуры.
Письма в ЖЭТФ том 118 вып. 9 - 10
2023
Особенности брэгговских резонансов в магнонном кристалле с двумя периодами
681
Рис. 3. (Цветной онлайн) Дисперсионные характеристики ПМСВ (a), (b) в МК c периодом l (красные кривые), МК c
периодом L (синие кривые),(c), (d) - в МК с двумя периодами (черные кривые). Закрашенные области соответствуют
запрещенным зонам. На правых панелях приведено распределение my компоненты намагниченности для частот, со-
ответствующих краям ЗЗ. На правой панели к рис. (c) показан фрагмент разбиения расчетной области на элементы
для примитивной ячейки магнонной суперрешетки. Расчетные параметры: ε = 14, N = 14, d1 = 3 мкм, остальные
параметры как на рис. 2
7. Результаты численного исследования. В
ности МК, в то время как максимум волны, распро-
результате численного моделирования были постро-
страняющейся в отрицательном направлении оси y,
ены дисперсионные характеристики ПМСВ для МК
локализован вблизи нижней (неметаллизированной)
c периодами L и l, а также для МК с двумя пе-
поверхности МК.
риодами. На рисунке 3a, b приведены дисперсион-
На правых панелях к рис.3a-d приведено распре-
ные характеристики для МК c периодом l = 40 мкм
деление my компоненты намагниченности для час-
(красные штрих-пунктирные кривые) и для МК c
тот, соответствующих краям ЗЗ. Из правой панели к
периодом L = 560 мкм (синие кривые). ЗЗ, форми-
рис. 3a видно, что профиль амплитуды волны имеет
руемые при условии первого брэгговского резонан-
асимметричный вид относительно центра примитив-
са, для МК с периодом l и периодом L обозначе-
ной ячейки (по оси y) вблизи нижней границы ЗЗ
ны как МС(l)-1 (красная заливка) и MC(L)-1 (синяя
MC(L)-1 (для точки 1 на рис. 3a), и симметричный
заливка), соответственно. Параметры для расчетов
вид вблизи верхней границы (для точки 2 на рис. 3a).
выбирались характерными для МК на основе пле-
Из правой панели к рис.3b видно, что профиль ам-
нок железо-иттриевого граната (YIG) и полосок из
плитуды волны для точек 1 и 2, соответствующих
меди (Cu).
краям ЗЗ MC(l)-1, оказывается смещенным на вели-
На рисунке 3c,d черными кривыми приведены
чину l вдоль оси y. Из правой панели к рис. 3c видно,
дисперсионные характеристики ПМСВ в МК с дву-
что профиль амплитуды волны для точек 1 и 2, со-
мя периодами в тех же диапазонах частот, где на-
ответствующих краям ЗЗ SL-1, также оказывается
блюдались ЗЗ МС(l)-1 и MC(L)-1. Видно, что в об-
смещенным на величину l вдоль оси y. Из правой
ласти частот ЗЗ МС(l)-1 формируются одна ЗЗ SL-1
панели на рис. 3d видно, что для точек 1, 3 и 5, соот-
(рис. 3c), а в области частот MC(L)-1 формируется
ветствующих нижним границам ЗЗ SL-1, SL-2 и SL-
три ЗЗ SL-2, SL-3 и SL-4 (ЗЗ показаны заливкой). Из
3, максимум компоненты my локализован в области,
сравнения рис. 2b и 3c, d видно, что ЗЗ формируются
где металлизация отсутствует.
при волновых числах, несколько отличных от k1,2,3,4,
8. Выводы. В работе исследованы особенно-
соответственно. Данное отличие объясняется невза-
сти брэгговских резонансов в магнонном кристалле,
имностью ПМСВ: максимум амплитуды волны, бе-
представляющего собой ферромагнитную пленку, на
гущей в положительном направлении оси y, локали-
поверхности которой наложены металлические по-
зован вблизи верхней (металлизированной) поверх-
лоски с двумя периодами l < L.
Письма в ЖЭТФ том 118 вып. 9 - 10
2023
682
М. А. Морозова, О. В. Матвеев, А. С. Пташенко, А. В. Садовников, C. А. Никитов
С использованием метода связанных волн и ме-
евская, Ю. П. Шараевский, А. И. Кирилюк, Успехи
тода сшивания магнитных проницаемостей на грани-
физических наук 190(10), 1009 (2020).
цах слоев получено дисперсионное соотношение для
3.
A. Chumak, A. Serga, and B. Hillebrands, Journal of
ПМСВ в исследуемой структуре. Показано, что в та-
Physics D: Applied Physics 50(24), 244001 (2017).
кой структуре, за счет взаимодействия одной прямой
4.
M. Krawczyk and D. Grundler, J. Phys. Condens.
и четырех отраженных волн, имеет место форми-
Matter 26(12), 123202 (2014).
рование трех брэгговских резонансов в первой зоне
5.
R. A. Gallardo, T. Schneider, A. Roldán-Molina,
M. Langer, A. Núnez, K. Lenz, J. Lindner, and
Бриллюэна для решетки с меньшим периодом l и од-
P. Landeros, Phys. Rev. B 97(17), 174404 (2018).
ного резонанса в первой зоне Бриллюэна для решет-
6.
С. Л. Высоцкий, Ю. В. Хивинцев, Ю. А. Филимо-
ки с большим периодом L. Резонансы формируются
нов, С. А. Никитов, А. И. Стогний, Н. Н. Новицкий,
как при брэгговских длинах волн для решеток с пе-
Письма в Журнал технической физики 41(22), 66
риодом l и L, так и длинах волн, отстроенных от
(2015).
брэгговских на величину, пропорциональную отно-
7.
M. Morozova, O. Matveev, Y. P. Sharaevskii, S. Nikitov,
шению периодов l и L. Резонансные частоты и ча-
and A. Sadovnikov, Appl. Phys. Lett. 120(12), 122407
стотный интервал между ними определяется отноше-
(2022).
нием периодов l и L. Методом конечных элементов
8.
K. Di, V. L. Zhang, M. H. Kuok, H.S. Lim, S.C. Ng,
проведено численное моделирование и получено рас-
K. Narayanapillai, and H. Yang, Phys. Rev. B 90(6),
пределение намагниченности в металлизированной и
060405 (2014).
неметализированной частях структуры на границах
9.
V. Zhang, H. Lim, S. Ng, M. Kuok, X. Zhou, and
каждой из запрещенных зон.
A. Adeyeye, AIP Advances 6(11), 115106 (2016).
Выявленные особенности позволяют рассматри-
10.
I. P. Coelho, M. S. d. Vasconcelos, and C. G. Bezerra,
вать магнонные кристаллы с двумя периодами в
Solid State Commun. 150(37-38), 1760 (2010).
качестве основного элемента частотно-селективного
11.
S. V. Grishin, O. I. Moskalenko, A.N. Pavlov,
устройства для обработки микроволновых сигналов.
D. V. Romanenko, A. V. Sadovnikov, Y.P. Sharaevskii,
Полученные результаты представляют значитель-
I. V. Sysoev, T. M. Medvedeva, E. P. Seleznev, and
ный интерес для широкого класса резонансных яв-
S. A. Nikitov, Phys. Rev. Appl. 16(5), 054029 (2021).
лений в более сложных структурах на основе фер-
12.
P. Emtage, J. Appl. Phys. 49(8), 4475 (1978).
ромагнитных пленок, в частности, для структур на
13.
L. N. Brillouin, Wave propagation in periodic structures:
основе магнонных кристаллов с тремя и более пери-
electric filters and crystal lattices, Dover, N.Y. (1953).
одами или слоистых структур на основе магнитных
14.
D. Marcuse, Light transmission optics, Cincinnati: Bell
сверхрешеток.
Laboratory Series, N.Y. (1972).
Работа поддержана Российским научным фондом
15.
А. В. Вашковский, В. С. Стальмахов, Ю. П. Ша-
раевский, Магнитостатические волны в электро-
(грант # 23-79-30027).
нике сверхвысоких частот: учебное пособие для
физ. спец. ун-тов, из-во Саратовского университета,
Саратов (1993).
1. A. Kimel, A. Zvezdin, S. Sharma et al. (Collaboration),
Journal of Physics D: Applied Physics 55(46), 463003
16.
А. Г. Гуревич, Г. А. Мелков, Магнитные колебания и
(2022).
волны, Наука, М. (1994).
2. С. А. Никитов, А. Р. Сафин, Д. В. Калябин, А. В. Са-
17.
G. Gubbiotti, A. Sadovnikov, S. Sheshukova, E. Beginin,
довников, Е. Н. Бегинин, М. В. Логунов, М. А. Мо-
S. Nikitov, G. Talmelli, C. Adelmann, and F. Ciubotaru,
розова, С. А. Одинцов, С. А. Осокин, А. Ю. Шара-
J. Appl. Phys. 132(8), 083902 (2022).
Письма в ЖЭТФ том 118 вып. 9 - 10
2023