Письма в ЖЭТФ, том 118, вып. 9, с. 689 - 696
© 2023 г. 10 ноября
Переход металл-диэлектрик и другие электронные свойства
двухслойного АВ-графена на ферромагнитной подложке
И.Е.Гобелко+, А.В.Рожков∗1), Д.Н.Дресвянкин×
+Московский физико-технический институт (национальный исследовательский университет) (МФТИ),
141701 Долгопрудный, Россия
∗Институт теоретической и прикладной электродинамики РАН, 125412 Москва, Россия
×Сколковский институт науки и технологий, 121205 Москва, Россия
Поступила в редакцию 20 сентября 2023 г.
После переработки 5 октября 2023 г.
Принята к публикации 6 октября 2023 г.
Используя простую теоретическую модель, мы исследуем двухслойный АВ-графен на диэлектриче-
ской ферромагнитной подложке. Кроме обменного зеемановского поля, создаваемого подложкой, модель
позволяет учитывать внешнее эффективное электрическое поле, направленное по нормали к плоскости
графенового образца (такое поле возникает из-за контакта с подложкой, а также его создают, прикла-
дывая напряжение на затворные электроды). Мы продемонстрируем, что при нулевом электрическом
поле АВ-графен находится в металлическом состоянии. При повышении поля происходит переход в ди-
электрическую фазу. Мы вычисляем спектр электронных состояний, диэлектрическую щель и другие
свойства фаз по обе стороны перехода металл-диэлектрик. Наши результаты согласуются с численными
расчетами по методу функционала плотности. Наши расчеты могут быть востребованы в спинтронике.
DOI: 10.31857/S1234567823210103, EDN: szvcbn
1. Введение. Графен и материалы на его ос-
яние с квантовым спин-поляризованным транспор-
нове являются перспективными системами для ис-
том, а также спиновый эффект Холла. В теорети-
пользования в спинтронике [1-3]. Основной объ-
ческих работах [8, 9] рассматриваются похожие си-
ект изучения в данной работе - двухслойный гра-
стемы: двухслойный графен помещается на диэлек-
фен с берналловской упаковкой (также называемый
трические магнитные подложки из разных материа-
AB-графеном) [4-6], уложенный на ферромагнит-
лов. В каждом случае рассчитывается электронный
ную подложку. Привлекательность подобных гетеро-
спектр с помощью компьютерного моделирования на
структур связана с возможностью создавать значи-
основе метода функционала плотности.
тельное обменное зеемановское поле, влияя таким об-
Безусловно, численные расчеты играют важную
разом на спиновые свойства электронной жидкости
роль в исследованиях материалов. Однако многие
графенового образца.
свойства углеродных систем можно описывать в рам-
Экспериментальные и теоретические исследова-
ках простых одноэлектронных моделей, допускаю-
ния в этом направлении активно ведутся в послед-
щих аналитические или полуаналитические реше-
ние годы. Например, в экспериментальной статье [7]
ния. В данной работе именно такой подход мы при-
авторы сообщают, что диэлектрические магнитные
меним к исследованию двухслойного AB-графена на
подложки из EuS способны обеспечивать в образ-
ферромагнитной диэлектрической подложке, поме-
це однослойного графена сильное обменное поле в
щенного во внешнее электрическое поле. Наш мо-
десятки, и даже сотни тесла. (Хотя магнитная ин-
дельный гамильтониан обобщает гамильтониан, ра-
дукция постоянных полей, создаваемых в лабора-
нее предложенный в работе [10]. Аналитически нахо-
торных условиях, не превосходит несколько десят-
дя одноэлектронные спектры АВ-графена, мы изу-
ков тесла, с сильными обменными полями ситуа-
чим магнитные и транспортные свойства образца.
ция проще.) Авторам удалось наблюдать расщеп-
В частности, мы теоретически покажем, что при раз-
ление электронных зон графенового образца, пере-
личных соотношениях между обменным зееманов-
ход электронной жидкости в ферромагнитное состо-
ским и нормальным электрическим полем двухслой-
ный графен может находится как в диэлектриче-
1)e-mail: arozhkov@gmail.com
ском состоянии, так и в металлическом. Следова-
Письма в ЖЭТФ том 118 вып. 9 - 10
2023
689
690
И.Е.Гобелко, А.В.Рожков, Д.Н.Дресвянкин
тельно, меняя напряжение на затворном электро-
Тогда уравнение Шредингера можно записать так:
де, можно контролировать спиновый и зарядовый
транспорт в двухслойном графене. Такая возмож-
HqΨq = εqΨq,
(2)
ность может быть востребованной для приложений
в спинтронике.
где εq - собственная энергия, а матрица Hq, задава-
Наша работа организована следующим образом.
емая равенством
В части 2 мы формулируем модель и изучаем ее про-
стейшие свойства. Переход металл-диэлектрик рас-
0
-tfq
0
0
сматривается в части 3, а в части 4 мы сравниваем
−tf∗q
0
-t0
0
Hq =
,
(3)
результаты наших расчетов с численными данными.
0
-t0
0
-tfq
Мы обсуждаем полученные результаты и представ-
0
0
-tf∗q
0
ляем выводы в части 5.
2. Модель. Двухслойный AB-графен представ-
играет роль гамильтониана для состояний с квазиим-
ляет из себя два листа однослойного графена, раз-
пульсом q. В этом определении мы использовали сле-
деленных расстоянием d = 0.36 нм. Слои смещены
дующие обозначения: t = 2.57 эВ - амплитуда пере-
друг относительно друга на длину химической связи
скока между атомами в одном слое, t0 = 0.36 эВ - ам-
углерод-углерод a0 = 0.142 нм, см. рис. 1. В такой ре-
плитуда перескока между слоями, функция fq равна
(√
)
шетке в каждой элементарной ячейке находятся че-
(3ia
)
0qx
3a0q
y
fq = 1+2 exp
cos
, где квазиимпульс
тыре атома углерода, каждый из которых представ-
2
2
q отсчитывается от центра зоны Бриллюэна. Значе-
ляет одну из четырех подрешеток, по две от каждого
ния εq даются хорошо известной формулой:
из слоев (для нижнего слоя - это подрешетки A1 и
B1, для верхнего слоя - A2 и B2).
√
t0
t20
(1,...,4)
ε
q
=±
± t2|fq|2 +
(4)
2
4
(
)
4π
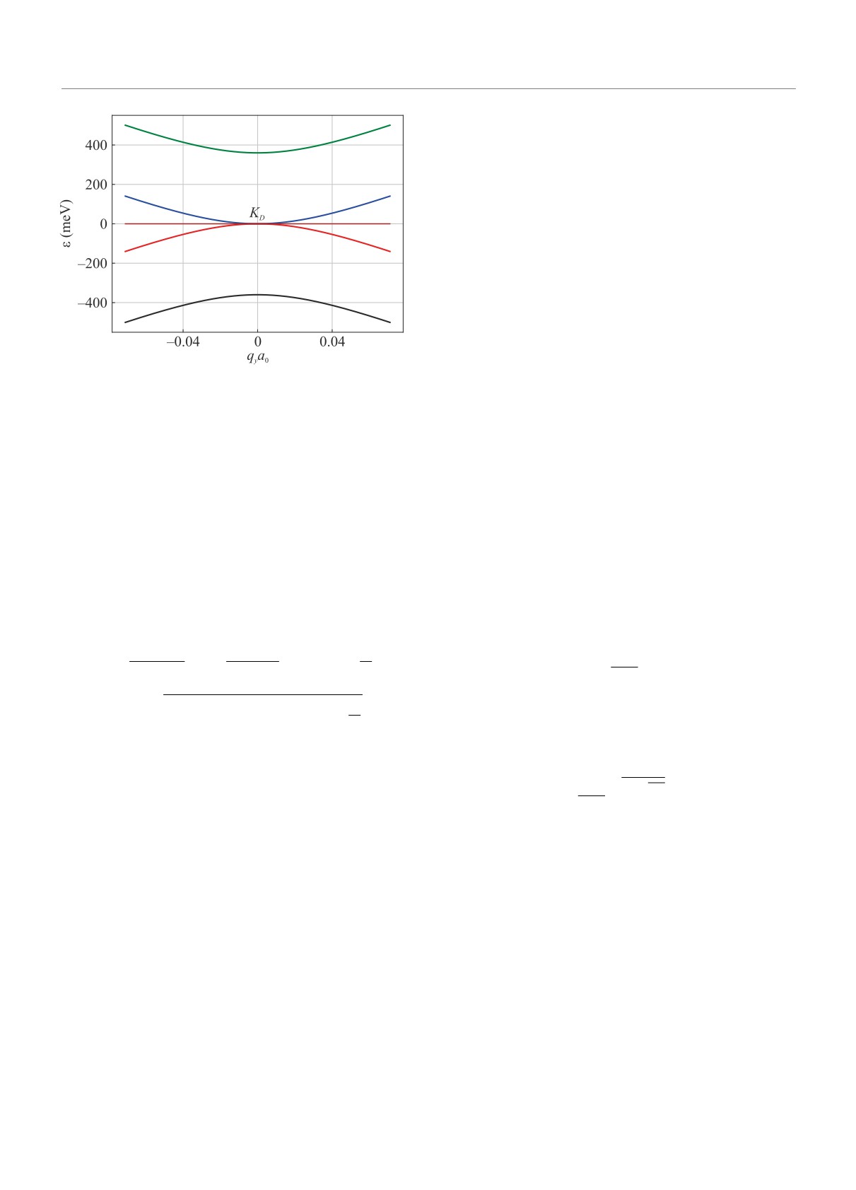
Вблизи точек Дирака KD
=
0,
√
и K′D =
3
3a
0
(
)
4π
=
0, -
√
энергетические зоны (4) выглядят
3
3a
0
так, как показано на рис. 2. Без внешнего воздей-
ствия АВ-графен находится в полуметаллическом
состоянии: две нижние зоны полностью заполнены
электронами, две верхние полностью пусты, энергия
Ферми равна нулю εF = 0, а в точке Дирака проис-
ходит касание пустой и заполненной зоны.
Теперь учтем влияние магнитной подложки. Бу-
дем предполагать, что обменное зеемановское по-
ле, индуцированное подложкой, действует на два
слоя по-разному. А именно, уточним систему урав-
нений (2) следующим образом:
(Hq + Vσ) Ψq = εqΨq,
(5)
где матрица Vσ имеет вид:
Рис. 1. (Цветной онлайн) Решетка двухслойного AB-
графена, вид сверху. Синим изображен нижний слой,
Vσ = diag (σh, σh, σh, σh).
(6)
красным - верхний. Четыре подрешетки обозначены
А1, B1, A2, В2
В этом выражении h и
h - обменные зеемановские
энергии в нижнем и верхнем слоях соответственно.
Для описания электрона с квазиимпульсом q на
Ниже будем всегда предполагать, что 0 ≤
h ≤ h,
такой решетке необходимо ввести четыре компонен-
т.е. обменное поле в слое, непосредственно контак-
ты волновой функции ΨA1q, ΨB1q, ΨA2q и ΨB2q. Их удоб-
тирующем с подложкой, всегда сильнее, чем поле в
но организовать в биспинор Ψq следующим образом:
слое, с подложкой не соприкасающемся. (Мы будем
(
)
Ψq =
ΨA1q, ΨB1q, ΨA2q, ΨB2q
T .
(1)
указывать величины обменных полей как в эВ, так
Письма в ЖЭТФ том 118 вып. 9 - 10
2023
Переход металл-диэлектрик и другие электронные свойства. ..
691
Уравнение (7) позволяет установить, что
ε(4)q = -ε(5)q, ε(3)q = -ε(6)q.
(8)
Отсюда следует, что уровень Ферми АВ-графена ра-
вен нулю, εF = 0. Легко проверить, что зоны 3 и 6 не
доходят до εF, в то время как зоны 4 и 5 перекрыва-
ются возле точек Дирака, см. рис. 3. Это перекрытие
приводит к перетеканию носителей из одной зоны в
другую, что сопровождается образованием электрон-
ного и дырочного листов поверхности Ферми. Иными
словами, при ненулевом обменном поле h двухслой-
ный АВ-графен переходит в металлическое состоя-
ние даже без легирования.
Поверхность Ферми, возникшую в результате пе-
ретекания носителей из зоны 4 в зону 5, следует ис-
Рис. 2. (Цветной онлайн) Дисперсия AB-графена (срез
кать, решая уравнение εq4) = εq5) = 0. Это условие
qx = 0, qy меняется в узком диапазоне вблизи точки
задает в пространстве квазиимпульсов двухсвязную
Дирака KD, точка Дирака соответствует qx = qy =
поверхность Ферми qF. В силу симметрии (8), элек-
0). Горизонтальной линией обозначен уровень Ферми
тронный и дырочный листы поверхности Ферми сов-
εF = 0
падают друг с другом, т.е. наблюдается нестинг.
и в тесла; переход между этими единицами задает-
Пусть δ - площадь области, ограничиваемой qF.
ся магнетоном Бора µB = 5.79 · 10-5 эВ/Тл). Сим-
Так как эта площадь мала, то каждая компонента
вол σ обозначает проекцию спина электрона на век-
связности хорошо аппроксимируется окружностью
тор намагниченности подложки (σ принимает значе-
малого радиуса qF. Центр одной такой окружности
ния ±1).
совпадает с точкой Дирака KD, центр второй окруж-
Для системы (5) восемь ее собственных энергий
ности - с точкой Дирака K′D. Малость импульса Фер-
(по четыре на одну проекцию спина) можно записать
ми qF позволяет воспользоваться следующим при-
единым равенством:
ближением |fqF| ≈ 3a0qF/2. Сначала рассмотрим си-
[
туацию, когда
h= 0. В этом пределе получаем:
2
σ(h +h)
(h -h)
t20
2h
ε(1,...,8)qσ =
+χ
+ |fq|2t2 +
+ (7)
qF ≈
(9)
2
4
2
3a0t
√
]1/2
t40
Однако даже небольшие
h делают эту формулу
+ κ (h - h)2|fq|2t2 + |fq|2t2t20 +
4
неверной. Действительно, несложно показать, что в
h≫
h3
режиме h ≫
выражение для радиуса поверх-
t2
0
Здесь мы ввели, в дополнении к σ = ±1, еще два
ности Ферми будет принимать вид:
бинарных индекса: χ = ±1 и κ = ±1. В физически
√
√
2
оправданном пределе h ≪ t0 ≪ t энергия электрон-
qF ≈
t0
hh.
(10)
3a0t
ных состояний с χ = +1 (χ = -1) положительна
(отрицательна), за возможным исключением малых
Сравнивая эту формулу для qF с ур. (9), мы обнару-
окрестностей точек Дирака.
живаем, что даже маленькое
h сильно меняет радиус
Условимся, что двум зонам, лежащим ближе все-
Ферми.
го к уровню Ферми, будут присвоены номера 4 и 5.
Образовавшаяся поверхность Ферми является по-
Договоримся также, что собственным энергиям εq4)
луметаллической в том смысле, что из четырех типов
для зоны 4 (εq5) для зоны 5) соответствует выбор зна-
носителей (электроны с двумя спиновыми поляриза-
чений параметров σ = +1, χ = -1, κ = -1 (σ = -1,
циями и дырки с двумя спиновыми поляризациями)
χ = +1, κ = -1) в ур. (7). Ниже нам также понадо-
только два типа (электроны со спином σ = -1 и дыр-
бятся зоны 3 (σ = -1, χ = -1, κ = -1) и 6 (σ = +1,
ки со спином σ = +1) достигают уровня Ферми.
χ = +1, κ = -1).
Перераспределение носителей между зонами при-
Оставшиеся зоны 1, 2, 7 и 8 соответствуют κ =
водит к спиновой поляризации графенового образца.
= +1. Легко проверить, что minq |εF - εq1,2,7,8)| ∼ t0.
Так как формирующие поверхность Ферми зоны 4
Из-за столь значительного расстояния до уровня
и 5 характеризуются противоположными значения-
Ферми такие зоны нами рассматриваться не будут.
ми σ, следовательно, перетекание носителей из одной
5
Письма в ЖЭТФ том 118 вып. 9 - 10
2023
692
И.Е.Гобелко, А.В.Рожков, Д.Н.Дресвянкин
h≫ h3
В случае же, когда h ≫
, имеем:
t20
√
ℏt0
hh
m=
√
,
(12)
3πt2
где была использована формула (10). Мы видим, что
конечное
h приводит к резкому усилению намагни-
ченности.
Обобщим нашу модель далее, учтя неэквива-
лентность слоев, вызванную контактом с подложкой
и воздействием внешнего электростатического по-
ля. Будем считать, что подложка создает конечную
разность потенциальных энергий φ0 между слоями.
Кроме этого, предположим, что затворные электро-
ды могут создавать электрическое поле E вдоль нор-
мали к плоскости образца. Чтобы учесть эти воздей-
ствия, модифицируем матрицу Vσ в выражении (5):
(
)
φ
φ
φ
φ
Vσ = diag
σh +
, σh +
, σh-
, σh-
,
2
2
2
2
(13)
где
φ = φ0 - eEd = -eE∗d.
(14)
В последнем равенстве мы ввели эффективное поле
E∗ = E - φ0/(ed), учитывающее совокупное влияние
подложки и электрического поля E на электроны си-
стемы. Предложенная модель обобщает работу [10].
При конечных h,
h и φ зонная структура описы-
Рис. 3. (Цветной онлайн) Дисперсия AB-графена на
вается следующей формулой:
магнитной подложке (срез qx = 0, qy меняется в уз-
ком диапазоне вблизи точки Дирака KD, точка Дира-
ка соответствует qx = qy = 0). Графики построены при
σ(h +h)
ε(1,...,8)q =
+
(15)
h = 11.6мэВ (200Тл). Энергия Ферми соответствует
2
[
εF = 0. Отмечен радиус Ферми qF. Панель (а) пред-
(φ + σ(h -h))2
t20
ставляет данные для
h = 0. Непосредственно в точке
+χ
+ |fq|2t2 +
+
4
2
Дирака сохраняется точка Ферми с касанием зон. Гра-
√
]1/2
фики на панели (b) построены при
h= 0.2 мэВ. Видно,
t40
что даже малое значение
h резко увеличивает ради-
+ κ (φ + σ(h - h))2|fq|2t2 + |fq|2t2t20 +
4
ус Ферми qF, а также глубину ферми-моря. Масштабы
осей на панели (a) отличаются от масштабов на пане-
ли (b)
Это равенство, обобщающее ур. (7), будет использо-
вано ниже для изучения влияния внешних полей на
свойства системы.
зоны в другую сопровождается переворотом спинов
3. Переход металл-диэлектрик. Хорошо из-
перетекших носителей. Количество перетекших но-
вестно, что нормальное электрическое поле перево-
сителей (на одну элементарную ячейку) равно δ/SBZ,
√
дит АВ-графен в диэлектрическое состояние. С дру-
где δ = 2πq2F, а SBZ = 8π2/(3
3a20) - площадь зоны
гой стороны, мы видели, что в пределе φ = 0 двух-
Бриллюэна для графена. Поскольку каждый пере-
слойный АВ-графен на ферромагнитной подложке
текший электрон вносит два кванта ℏ/2 в полный
является металлом. В связи с этим возникает во-
спин системы, то, рассматривая приближение
h= 0,
прос о нахождении минимального значения φ, при
для удельной спиновой поляризации находим:
котором в спектре исследуемой системы открывает-
ℏh
2
ся щель. Достаточно простой анализ показывает, что
m=
√
(11)
система является металлом, когда зоны 4 и 5
3πt2
Письма в ЖЭТФ том 118 вып. 9 - 10
2023
Переход металл-диэлектрик и другие электронные свойства. ..
693
[
2
h+h
(φ ± (h -h))
t20
ε(4,5)q = ±
∓
+ |fq|2t2 +
-
2
4
2
√
]1/2
t40
- (φ ± (h -h))2|fq|2t2 + |fq|2t2t20 +
(16)
4
перекрываются по энергии. В противном случае
двухслойный графен - диэлектрик. Таким образом,
переход металл-диэлектрик происходит при таком
значении φ, при котором максимум зоны 4
h+h
t0(h -h + φ)
ε(4)max =
-
√
(17)
2
2
(h -h + φ)2 + t2
0
лежит на одном уровне с минимумом зоны 5
t0|h -h - φ|
ε(5)min = -h+h
+
√
(18)
2
2
(h -h - φ)2 + t2
0
Приравняв εm4ax и ε(5)min, несложно продемонстриро-
вать, что исследуемая система является диэлектри-
ком (полупроводником), когда φ > φc, при этом в
режиме h, φ ≪ t0 критическое значение φc дается
формулой
3
2h
2h3
φc ≈ h +h +
+
(19)
t20
t2
0
Анализируя ур. (19), можно заключить, что при ха-
Рис. 4. (Цветной онлайн) Дисперсия AB-графена на
рактерных обменных полях величиной в сотни тесла
магнитной подложке во внешнем электрическом поле
кубические поправки к величине φc дают пренебре-
вблизи точки Дирака KD (срез qx = 0, qy меняется в уз-
жимо малый вклад.
ком диапазоне вблизи точки Дирака KD, точка Дира-
Из уравнений (17) и (18) выводим величину ди-
ка соответствует qx = qy = 0). Графики построены при
электрической щели Δ = ε(5)min - εm4ax:
h= 0, h = 11.2 мэВ (190 Тл), так что φc = 11.22 мэВ.
(a) - Диэлектрическая фаза, φ = 20 мэВ. В спектре
t0(φ - h +h)
явно видна щель, отделяющая валентные зоны 3 и 4
Δ = -h - h +
√
+
от зоны проводимости 5. (b) - Металлическая фаза,
2
(φ - h +h)2 + t2
0
φ = 2 мэВ. Зона 4 (зона 5) показана красной (синей)
t0(φ + h -h)
линией. Зоны 3 и 6 выходят за рамки представленного
+
√
,
(20)
окна. Уровень Ферми отмечен горизонтальной прямой.
2
(φ + h -h)2 + t2
0
Точки пересечения зон с уровнем Ферми соответствуют
поверхности Ферми. Импульсы Ферми отмечены как
см. рис. 4a. В пределе очень больших полей φ ≫ t0
QF4, QF5 и qF4. Масштабы осей на панели (а) отлича-
мы получаем из ур. (20), что Δ ≈ t0 - h -
h. Эту
ются от масштабов на панели (b)
асимптотику хорошо видно на рис.5, где представ-
лены зависимости Δ = Δ(φ) для различных величин
зеемановского поля h и
h = 0. Стоит, однако, пом-
спином по полю h строго равно количеству электро-
нить, что создать на эксперименте столь значитель-
нов со спином против поля.
ные диэлектрические щели будет весьма затрудни-
Теперь обсудим область φ < φc, в которой наша
тельно из-за возможного электрического пробоя ге-
система является металлом. Типичный металличе-
тероструктуры.
ский спектр показан на рис. 4b. Ранее, в части 2, мы
Отметим также, что спиновая поляризация ди-
обсуждали характеристики металлического состоя-
электрической фазы всегда нулевая, m = 0: из-за от-
ния для случая, когда в системе отсутствует эффек-
сутствия поверхности Ферми перераспределение но-
тивное поле E∗. В конечных h и φ симметрия (8) бо-
сителей между зонами с противоположными значе-
лее не верна, поэтому мы уже не можем зафиксиро-
ниями σ не происходит, и количество электронов со
вать уровень Ферми εF = 0. Необходимо рассматри-
Письма в ЖЭТФ том 118 вып. 9 - 10
2023
5∗
694
И.Е.Гобелко, А.В.Рожков, Д.Н.Дресвянкин
шего подхода, мы сравним наши аналитические рас-
четы с результатами, полученными численно [9] в
рамках метода функционала плотности. Следуя ра-
боте [9], мы определили “расщепление” валентной зо-
ны λVB и “расщепление” зоны проводимости λCB сле-
дующим образом:
[
]
λVB =
ε(4)q - ε(3)q
=
q=0
|φ + h -h|
|φ - h +h|
=h+h-
+
,
(23)
2
2
[
]
λCB =
ε(6)q - ε(5)q
=
q=0
|φ + h -h|
|φ - h +h|
=h+h+
-
(24)
2
2
Рис. 5. (Цветной онлайн) Щель Δ = Δ(φ) при различ-
Эти два параметра характеризуют “тонкую” струк-
ных значениях обменного поля h и
h= 0. В металли-
туру спектра и легко вычисляются в рамках нашей
ческой фазе (φ < φc) щель равна нулю. Из графиков
модели.
видно, что критическое значение φc растет с ростом h,
что согласуется с ур. (19)
“Расщепления” λVB и λCB интересны нам тем, что
рис. 4b статьи [9] показывает, как эти величины (а
также и щель Δ) зависят от внешнего электриче-
вать многокомпонентную поверхность Ферми, опре-
ского поля Eext, создаваемого затворными электро-
деляемую стандартным условием: εq4) = εq5) = εF.
дами. Мы тоже можем построить λVB, λCB и Δ в
Для зоны 4 при положительном φ данные уравнения
зависимости от Eext. Для этого необходимо учесть,
задают две концентрические окружности с центром в
что поле Eext, порожденное внешним источником
точке KD. Обозначим радиусы этих окружностей qF4
(затворными электродами), ослабляется в межслое-
и QF4, qF4 < QF4. То же самое происходит и вокруг
вом пространстве АВ-графена из-за перераспределе-
точки K′D. Зона 5 дает еще по одной окружности на
ния электронной плотности между слоями. С этой
точку Дирака. Их радиус обозначим QF5. Заметим,
целью мы ввели диэлектрическую проницаемость
что при φ = 0, радиусы QF5 и QF4 совпадают друг
двухслойного АВ-графена ǫ и записали связь меж-
с другом и с qF, определенным ур. (9), а радиус qF4
ду φ и Eext следующим образом:
обращается в нуль. Возникшая поверхность Ферми
должна удовлетворять следующему условию:
φ = φ0 - eEextd/ǫ,
(25)
Q2F4 - q2F4 = Q2F5.
(21)
что соответствует подстановке E = Eext/ǫ в ур. (14).
Данные на верхней панели рис.4 в работе [11] ука-
Иными словами, число состояний, занятых электро-
зывают на то, что ǫ ∼ 3.4. Похожие теоретические
нами в зоне 4, равно числу состояний, свободных от
оценки можно найти и в работе [12].
электронов в зоне 5. В пределе
h= 0 и φ ≪ h ≪ t0
Чтобы установить оптимальные значения пара-
данную задачу можно решить аналитически:
метров нашей модели, мы проанализировали рис. 3
и 4 в [9]. На рисунке 3 обращает на себя внима-
φ
4h2φ
εF ≈ -
+
(22)
ние то обстоятельство, что глубоко в диэлектриче-
2
3t2
0
ской фазе электронные зоны, чьи волновые функции
Когда φ → 0, выведенная формула показывает, что
преимущественно локализованные на верхнем слое,
εF обращается в нуль, как и должно быть в случае
практически вырождены. Такое явление возможно
без эффективного поля, см. часть 2. Также заме-
в пределе очень слабого обменного поля
h в верх-
тим, что во втором слагаемом присутствует величи-
нем слое. Поэтому мы выберем
h= 0. Это позволяет
на h2/t20 ≪ 1. В типичной физической ситуации это
нам воспроизводить приближенное вырождение со-
отношение мало. Например, при h = 200 Тл второе
ответствующих зон в диэлектрической фазе, см. наш
слагаемое является на три значащих порядка мень-
рис. 4a.
шим, чем первое.
Мы также видим на рис. 4b в [9], что расщепления
4. Сравнение с компьютерным моделирова-
λVB и λCB в диэлектрической фазе выходят на “пол-
нием. Чтобы продемонстрировать возможности на-
ку” примерно при 8 мэВ. Проанализировав ур. (24)
Письма в ЖЭТФ том 118 вып. 9 - 10
2023
Переход металл-диэлектрик и другие электронные свойства. ..
695
и (23), несложно убедиться, что это соответствует
ским касанием зон, разрушающихся при возникнове-
h = 4мэВ при
h = 0. Выбор ǫφ0/(ed) = -0.38мэВ
нии произвольно малой асимметрии между слоями φ,
обеспечивает правильное положение металлической
конечное h индуцирует спин-поляризованный металл
фазы на оси Eext. И наконец, ǫ = 4 выбирается так,
при малых φ и диэлектрик - при больших. Наша
чтобы наклон графика функции Δ = Δ(Eext) был
простая модель позволяет рассчитать точку перехо-
таким же, как и на рис. 4b в [9].
да металл-диэлектрик, а также исследовать свойства
Соответствующие графики представлены на
фаз по обе стороны перехода.
рис. 6. Построенные нами кривые хорошо согла-
Расчеты показывают, что образец АВ-графена
суются как по характерным масштабам, так и по
имеет конечную намагниченность m в проводящей
качественному поведению с графиками на рис. 4b
фазе. При увеличении φ система входит в диэлек-
в [9]. Иными словами, подбор всего лишь четырех
трическое состояние с нулевым m. Иными слова-
подгоночных величин с прозрачным физическим
ми, появляется возможность управления магнитным
смыслом позволяет воспроизводить зависимости,
свойством гетероструктуры с помощью немагнитно-
полученные в результате
“тяжелого” численного
го воздействия.
расчета.
При нулевом φ исследуемая система демонстри-
рует нестинг - совпадение электронного и дырочного
листов поверхности Ферми. Эта особенность зонного
строения подразумевает, что при достаточно низких
температурах электронная жидкость будет неустой-
чива по отношению к спонтанному несверхпроводя-
щему упорядочению [18]. Поскольку отклонение от
φ = 0 разрушает нестинг, изменяя затворный потен-
циал, можно контролировать упорядочение.
Также проводящая фаза обладает полуметалли-
ческими свойствами: спины состояний на электрон-
ном (дырочном) листе поверхности Ферми идеаль-
но поляризованы против поля h (по полю h). Эту
особенность зонной структуры можно использовать
в экспериментах по спиновому транспорту.
Щель в диэлектрической фазе может быть весьма
Рис. 6. (Цветной онлайн) Зависимость величины Δ/10
значительной: согласно нашей оценке Δ ∼ t0 - h -h,
(зеленая линия), а также величин спинового расщепле-
она способна достигать величин в несколько сотен
ния зоны проводимости (синяя линия) и валентной зо-
мэВ. Однако большие значения щели могут потребо-
ны (красная линия), от приложенного внешнего элек-
вать больших значений приложенного электрическо-
трического поля Eext. Графики построены для
h= 0,
го поля, что увеличивает риск электрического про-
h = 4мэВ, ǫφ0/(ed) = -0.38В/нм и ǫ = 4. Заметим, что
боя всей системы.
ненулевое φ0 сдвигает металлическую фазу в область
Также, в пределе большой щели, когда h ≪ φ ≲
E ∼ ǫφ0/(ed). Представленные графики согласуются с
≲ t0, выраженность именно магнитных явлений мо-
рис. 4b в работе [9]
жет теряться на фоне чисто электростатических.
5. Обсуждение и заключение. Наверное, са-
Представляется, что режим φ ∼ h более интересен,
мая интересная особенность рассматриваемой гете-
так как он близок к переходу металл-диэлектрик. В
роструктуры - это возможность управлять ее про-
такой ситуации нужно помнить о следующем. Для
водящими свойствами с помощью затворного напря-
того, чтобы обсуждаемая физика стала легкодоступ-
жения. Возникновение запрещенной зоны при на-
ной для наблюдения и/или практического примене-
ложении на образец AB-графена перпендикулярно-
ния, требуются подложки, способные создавать зна-
го электрического поля - это известный теоретиче-
чительные h, сравнимые или даже превосходящие
ский результат, описанный в работах [13, 14], под-
энергию, соответствующую комнатной температуре
твержденный на эксперименте [11,15-17]. Он обоб-
Tr = 300 K = 26 мэВ. В противном случае использо-
щен нами на случай магнитной подложки. Мы уви-
вание криогенных технологий становится неизбеж-
дели, что магнетизм подложки неожиданным обра-
ностью.
зом модифицирует зонную структуру АВ-графена.
В заключении хотелось бы напомнить основные
И действительно, вместо точек Ферми с параболиче-
тезисы нашей работы. Мы аналитически исследо-
Письма в ЖЭТФ том 118 вып. 9 - 10
2023
696
И.Е.Гобелко, А.В.Рожков, Д.Н.Дресвянкин
вали двухслойный АВ-графена на диэлектрической
A. A. Firsova, Science 306, 5696 (2004).
ферромагнитной подложке. Гамильтониан рассмат-
5.
I. S. Sokolov, D.V. Averyanov, O. E. Parfenov,
риваемой модели включает обменное зеемановское и
I. A. Karateev, A. N. Taldenkov, A. M. Tokmachev, and
электростатическое поле, а также учитывает асим-
V. G. Storchak, Mater. Horiz. 7, 1372 (2020).
метрию слоев, вызванную контактом с подложкой. В
6.
A. V. Rozhkov, A.O. Sboychakov, A.L. Rakhmanov,
низком эффективном поле АВ-графен - металл, для
and F. Nori, Phys. Rep. 648, 1 (2016).
которого мы нашли поверхность Ферми. Она полу-
7.
P. Wei, S. Lee, F. Lemaitre, L. Pinel, D. Cutaia, W. Cha,
F. Katmis, Y. Zhu, D. Heiman, J. Hone, J. S. Moodera,
металлична, и может демонстрировать нестинг. Сам
and C.-T. Chen, Nat. Mater. 15, 711 (2016).
образец обладает конечной спиновой поляризацией.
8.
K. Zollner, M. Gmitra, T. Frank, and J. Fabian, Phys.
При превышении критического значения электриче-
Rev. B 94, 155441 (2016).
ского поля в спектре графена открывается щель. В
9.
K. Zollner, M. Gmitra, and J. Fabian, New J. Phys. 20,
возникшем диэлектрическом состоянии полная спи-
073007 (2016).
новая поляризация обращается в нуль. Наши расче-
10.
P. Michetti, P. Recher, and G. Iannaccone, Nano Lett.
ты согласуются с результатами компьютерного моде-
10, 4463 (2010).
лирования по методу функционала плотности. Воз-
11.
A. B. Kuzmenko, I. Crassee, D. van der Marel, P. Blake,
можность управления щелью в сочетании с нетриви-
and K. S. Novoselov, Phys. Rev. B 80, 165406 (2009).
альными магнитными свойствами делает обсуждае-
12.
H. Min, B. Sahu, S.K. Banerjee, and A. H. MacDonald,
мую гетероструктуру интересной для приложений в
Phys. Rev. B 75, 155115 (2007).
спинтронике.
13.
E. McCann, Phys. Rev. B 74, 161403(R) (2006).
Исследование выполнено за счет гран-
14.
E. McCann and V. I. Fal’ko, Phys. Rev. Lett. 96, 086805
та Российского научного фонда
#22-22-00464,
(2006).
15.
E. A. Henriksen and J. P. Eisenstein, Phys. Rev. B 82,
041412(R) (2010).
16.
A. B. Kuzmenko, E. van Heumen, D. van der Marel,
1. W. Han, R. K. Kawakami, M. Gmitra, and J. Fabian,
P. Lerch, P. Blake, K. S. Novoselov, and A. K. Geim,
Nature Nanotechnology, 9, 794 (2014).
Phys. Rev. B 79, 115441 (2009).
2. S. Roche, J.
Åkerman, B. Beschoten et al.
17.
E. V. Castro, K. S. Novoselov, S. V. Morozov,
(Collaboration), 2D Mater. 2, 030202 (2015).
N. M. R. Peres, J. M. B. Lopes dos Santos, J. Nilsson,
3. S. S. Gregersen, S. R. Power, and A.-P. Jauho, Phys.
F. Guinea, A. K. Geim, and A. H. Castro Neto, Phys.
Rev. B 95, 121406(R) (2017).
Rev. Lett. 99, 216802 (2007).
4. K. S. Novoselov, A. K. Geim, S. V. Morozov, D. Jiang,
18.
Д. Н. Дресвянкин, А.В. Рожков, А. О. Сбойчаков,
Y. Zhang, S. V. Dubonos, I. V. Grigorieva, and
Письма в ЖЭТФ 114(12), 824 (2021).
Письма в ЖЭТФ том 118 вып. 9 - 10
2023