Журнал прикладной химии. 2023. Т. 96. Вып. 12
УДК 66.092-977:66.092.097:66.092.1:691.175.2:691.175.5/.8:691.175.743
ПИРОЛИЗ ПОЛИЭТИЛЕНТЕРЕФТАЛАТА:
ОСОБЕННОСТИ ПРОЦЕССА И СОСТАВ ПРОДУКТОВ РЕАКЦИИ (обзор)
© Е. М. Захарян1, А. Л. Максимов1,2
1 Институт нефтехимического синтеза им. А. В. Топчиева РАН,
119991, ГСП-1, г. Москва, Ленинский пр., д. 29
2 Московский государственный университет им. М. В. Ломоносова, Химический факультет,
119991, ГСП-1, г. Москва, Ленинские горы, д. 1
E-mail: Zakharyan@ips.ac.ru
Поступила в Редакцию 12 декабря 2023 г.
После доработки 29 декабря 2023 г.
Принята к публикации 29 декабря 2023 г.
Необходимость переработки полиэтилентерефталата связана с формированием значительных объ-
емов его отходов, которые следует перерабатывать и утилизировать, в связи с ростом производства
полимера и потребления изделий из него, используемого в легкой, химической, медицинской промышлен-
ности, в машино- и приборостроении. Основная доля процессов переработки полиэтилентерефталата
приходится на химические методы, посредством которых получают различные мономеры, очистка и
модификация которых позволяет получать ценное нефтехимическое сырье. В обзоре описаны прин-
ципы и механизмы разложения полиэтилентерефталата в процессе пиролиза. Рассмотрено влияние
скорости нагрева в процессе пиролиза (быстрый, медленный), вида сырья (чистый полимер, отходы
полимера), добавок (модификаторы, стабилизаторы, антипирены), вида реактора в процессе (го-
ризонтальный, вертикальный, реактор с неподвижным слоем, реактор с псевдоожиженным слоем,
реактор с коническим носиком, вращающийся дуговой плазменный реактор постоянного тока), а так-
же влияние условий переработки, таких как температура, количество сырья, давление, атмосфера
и присутствие катализатора, на количественный и качественный состав образующихся в газовой
фракции, пиролизном масле и полукоксе кислородсодержащих соединений. Показано влияние добавок
различных полимеров в смеси с полиэтилентерефталатом на образование продуктов (газовой фракции,
пиролизного масла и полукокса), добавок растительной биомассы и пищевых отходов. Рассмотрено
воздействие микроволнового излучения на процесс пиролиза полиэтилентерефталата.
Ключевые слова: ПЭТ; полиэтилентерефталат; отходы; переработка; мгновенный пиролиз; быстрый
пиролиз; медленный пиролиз; каталитический пиролиз; термическое разложение; кислородорганиче-
ские соединения; бензойная кислота
DOI: 10.31857/S0044461823120010; EDN: AQEEWU
Введение
между диметилтерефталатом и этиленгликолем (I).
Впервые полиэтилентерефталат был синтезирован
Полиэтилентерефталаты образуются в результате
в 1949 г. и запатентован в 1951 г. J. R. Whinfield и
реакции этерификации между терефталевой кислотой
J. T. Dixon [1]. Полиэтилентерефталат принадлежит
и этиленгликолем и реакции транс-этерификации
к числу ароматических полиэфиров, обладающих
892
Пиролиз полиэтилентерефталата: особенности процесса и состав продуктов реакции (обзор)
893
(I)
высокой стойкостью к органическим растворителям
ввести пятую площадку по производству полимера в
и окислению, высокой механической прочностью,
России мощностью до 300 тыс./год.6
низким коэффициентом трения и гигроскопичности,
Увеличение производства полиэтилентерефталата
устойчивостью к многократным деформациям при
приводит к росту количества его отходов, при этом он
растяжении и сгибе, термостабильностью, долговеч-
является самым перерабатываемым пластиком: уро-
ностью и т. д.1
вень переработки полиэтилентерефталата, а именно
Полиэтилентерефталат является четвертым
пластиковых бутылок из него, в 2018 г. в Норвегии
по объему мирового производства полимеров [2].
составил 97, в Японии — 84.4, в Швеции — 84, в
В 2022 г. мощности по его производству составили
Индии — 80, в странах Евросоюза — 58.2, в США —
81 млн т, из которых 53 млн т — полиэтилентере-
28.9%.7 В настоящее время лишь около 10% мирового
фталатное волокно и 28 млн т — полиэтилентереф-
пластика перерабатывают, 20% подвергают рекупера-
талатные смолы.2 Основные производители данного
ции энергии, а оставшуюся часть вывозят на свалки.8
полимера: Indorama Ventures, Alpek, Zhejiang Tongkun
Как и многие виды полимерных отходов, в том числе
Group, Xin Feng Ming Group, Hengyi Petrochemical,
изделия из поливинилхлорида [3, 4], вулканизиро-
Jiangsu Sanfangxiang Industrial Group, Zhejiang Wankai
ванного каучука [5], полиуретана [6], полиамида [7],
New Material, Far Eastern Group, Reliance Industries,
отходы полиэтилентерефталата сортируют и измель-
JBF Industries, Nan Ya Plastics, SASA Polyester Sanayi и
чают с целью дальнейшего использования в качестве
Lotte Corporation. Главным потребителем как волокон,
наполнителя для новых смесей (механический подход
так и смол является Азиатско-Тихоокеанский регион
к утилизации) и подвергают процессам метанолиза
(преимущественно Китай и Индия), на долю которого
(взаимодействие с метанолом с образованием ди-
приходится более 90% поставок полимера.3 В России
метилтерефталата) [8], гликолиза (взаимодействие с
полиэтилентерефталат производят на 4 площадках:
этиленгликолем с образованием бисгидроэтилтереф-
АО «СИБУР-ПЭТФ» (мощность 75 тыс. т/год),
талата) [9], гидролиза (взаимодействие с кислотами
АО «ПОЛИЭФ» (мощность 210 тыс. т/год),
с выделением терефталевой кислоты) [10], омыления
АО «Экопэт» (мощность 240 тыс. т/год) и АО «Завод
(взаимодействие со щелочами) [11], пиролиза [12] и
новых полимеров «Сенеж» (мощность 130 тыс. т/год).4
газификации [13] (химический поход к утилизации)
С 2010 по 2022 г. производительная мощность поли-
с целью получения ценного нефтехимического сырья
мера в России выросла в 2 раза и достигла 600 тыс. т,
[14-16]. Непригодные для переработки (из-за загряз-
при этом ежегодно в пределах 100-200 тыс. т поли-
ненности или большого числа циклов использования)
мера импортируется извне.5 В 2023 г. планируется
6 Титан-полимер. https://titan-group.ru/factory/titan-
1 PET plastic — Polyethylene terephthalate. https://www.
polimer/#slide4
ensingerplastics.com/en/thermoplastic-materials/pet-polyester
7 Tiseo I. PET plastic bottle recycling rates in
2 Global polyethylene terephthalate (PET) market demand
select countries as of 2018*. https://www.statista.com/
and forecast analysis, 2016-2032. https://prismaneconsulting.
statistics/1166550/plastic-bottle-recycling-rates-in-select-
com/report-details/global-polyethylene-terephthalate-pet-
countries/ 06.02.2023
market-study-report-2016-2032
8 Herweg O., Popa D. Increasing volumes and attractive
3 Там же.
margins for plastic recyclates create new business opportunities
4 ПЭТ на российском рынке: мало и дорого. https://
for the sector. https://www.rolandberger.com/en/Insights/
glycols.ru/2022/05/05/peht-v-rossii/ 05.05.2022
Publications/Plastic-recycling-Exploiting-the-new-gold.html
5 Там же.
15.03.2023
894
Захарян Е. М., Максимов А. Л.
отходы полиэтилентерефталата могут быть утили-
тери массы (3-5%) при 177-227°С [17]. Повышение
зированы на мусоросжигательных заводах с целью
температуры до 380-470°C приводит к основному
получения энергии.
снижению массы c пиковой температурой разложе-
Цель работы — анализ данных литературы, каса-
ния, равной 380-427°С [18, 19], c образованием до
ющейся термической переработки полиэтилентере-
15 мас% полукокса [17, 20], который в свою очередь
фталата, как чистого и коммерческого полимера с раз-
продолжает далее разлагаться с незначительной по-
личными добавками (стабилизаторы, модификаторы,
терей массы при температуре выше 500°С (рис. 1).
антипирены), так и отходов полимеров для выявления
С увеличением скорости нагрева повышается тем-
основных механизмов химического превращения
пература начала и пиковая температура разложения
этого соединения в процессах низкотемпературной
полиэтилентерефталата (табл. 1) [12, 21].
термообработки и пиролиза, а также в присутствии
Разложение полиэтилентерефталата протекает по
различных катализаторов.
двум путям [22, 23]:
1) β-цис-элиминирование, при котором образу-
ется шестичленное кольцо с карбонильной группой
Общие положения о механизме разложения
вследствие вращения метиленовой группы полимера
полиэтилентерефталата
с выделением циклических олигомеров и олигомеров
Термическое разложение полиэтилентерефталата в
с открытой цепью с концевыми двойной и карбок-
инертной атмосфере начинается с незначительной по- сильной связью (например, винилбензоат) (II) [22];
Рис. 1. Термогравиметрические кривые разложения полиэтилентерефталата при скорости нагрева 5-50 [21]1 и
15-120 град·мин-1 [12]2.
Таблица 1
Данные термогравиметрического разложения полиэтилентерефталата в N2 при различных скоростях нагрева
Скорость нагрева,
Начальная температура
Пиковая температура
Литературный
Масса полукокса, %
град·мин-1
разложения, °C
разложения, °C
источник
5
385
427
11.52
[21]
10
398
438
11.89
[21]
20
408
448
14.75
[21]
40
417
465
14.03
[21]
50
427
470
14.2
[21]
100
450
[12]
120
470
[12]
П р и м е ч а н и е. «—» — нет данных.
1 Рисунок заимствован авторами из источника литературы [21] с разрешения © Elsevier. 16.04.2024.
2 Рисунок заимствован авторами из источника литературы [12] с разрешения © Elsevier. 16.04.2024.
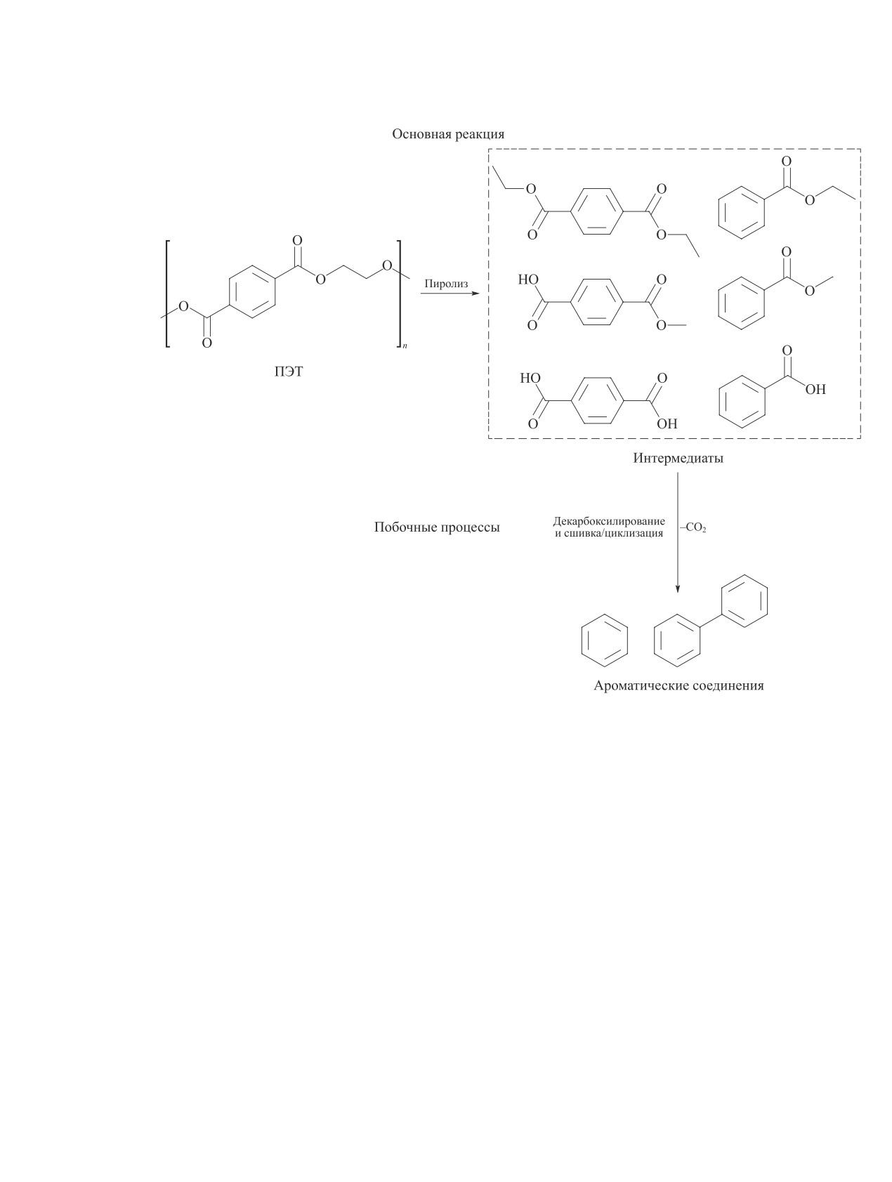
Пиролиз полиэтилентерефталата: особенности процесса и состав продуктов реакции (обзор)
895
(II)
2) гомолитическая реакция расщепления алифа-
плении карбоксильной связи в терефталевой кислоте
тической цепи, сопровождающаяся образованием
образуются радикалы бензола [27], взаимодействие
свободных радикалов (II) [22, 23].
которых приводит к формированию бифенила и би-
Источниками углеводородов в полимере являют-
фенильного радикала, пара- и орто-терфенила, ко-
ся этиленгликолевая группа —С2Н4—, из которой
торый дегидрируется до трифенилена. Полученный
образуются алифатические соединения (метан, этан,
этилен дегидрируется до ацетилена, который, в свою
этилен), и ароматическое кольцо терефталевой кис-
очередь, взаимодействуя с бензойной кислотой,
лоты (бензол, толуол, бифенил, нафталин и их про-
преобразуется в 4-винил- и 3,4-дивинилбензойную
изводные).
кислоты, циклизация и дегидрирование последней
Образование СО2, согласно представленному в
приводит к выделению 2-нафталинкарбоновой кисло-
[24] механизму разложения полиэтилентерефталата
ты [28]. Путем взаимодействия радикала бензойной
(III), помимо декарбоксилирования бензойной и те-
кислоты с бензолом и последующего дегидрирования
рефталевой кислоты (а) происходит при разложении
получают бифенил-2-карбоновую кислоту, конден-
концевой винильной группы через согласованное
сация которой приводит к выделению флуоренона
циклическое переходное состояние (б) с выделени-
[27-29].
ем 4-винилбензойной кислоты, а образование СО
Таким образом, полученные продукты разло-
сопровождается выделением пара-ацетилбензойной
жения полимера разделяют на газовую фракцию,
кислоты (в). Концевая винильная группа подвергается
содержащую в основном ацетальдегид, СО, СО2 и
переэтерификации (г) с образованием ацетальдегида
ароматические бензол и толуол [27], воскообразный
(перегруппировка винилового спирта) и моноэтил-
продукт, состоящий из бензойной и терефталевой
терефталата и внутримолекулярной реакции в по-
кислот, моновинилтерефталата, дивинилтерефталата
лиэтилентерефталате с образованием этилена (д) и
и винилбензоата [30], и углеродистый порошок —
моновинилтерефталата. Ацетальдегид может быть
смесь сажи [31] и полициклических ароматических
получен и в результате других реакций, например,
углеводородов [32].
через шестичленное переходное состояние концевых
При низких температурах (280-306°С) разложения
гидроксильных групп (е) и путем разложения моно-
полиэтилентерефталата образуется ацетальдегид (III)
этилтерефталата (ж).
[24, 33, 34], выделение СО2 начинается при 344°С;
Термическое разложение полиэтилентерефталата
затем образуются СО и этилен (при 373°С) и бензол
при повышенных температурах (900°С) приводит к
(выше 384°С). Температура максимального образо-
образованию бензойной кислоты и бензойного ра-
вания CО2 и СО составляет 431 и 444°С. Увеличение
дикала [25], а также терефталевой кислоты, которая
количества полученного этилена при 430°С обуслов-
подвергается крекингу до бензола и его радикалов,
лено оптимальной температурой разложения конце-
этилена и СО2 (IV) [26]. При гомолитическом отще-
вых виниловых связей.
896
Захарян Е. М., Максимов А. Л.
898
Захарян Е. М., Максимов А. Л.
Термическое разложение
углеводородов и кислот (бензойная, 4-метил-,
чистого полиэтилентерефталата
4-этил-, 4-ацетилбензойная кислоты) в пиролизном
в инертной среде
масле [35]. Среди полициклических ароматических
углеводородов были обнаружены нафталин, 2-фенил-
Медленный пиролиз. Исследование протекания
нафталин, бифенил, ацетофенон, 1-фенил-1,2-про-
процесса медленного пиролиза полиэтилентерефтала-
пандион, 4-метил-1,1ʹ-бифенил, трифенилен, ме-
та при различных температурах в трубчатом горизон-
та- и пара-терфенил, 1,1ʹ:3ʹ,1ʺ:4ʺ,1ʹʹʹ-терфенил,
тальном реакторе [24] показало, что с повышением
3ʹ-метил-1,1ʹ:4ʹ,1ʺ-терфенил, антрацен, 1-(1,1ʹ-бифе-
температуры до 480°C растет доля ацетальдегида,
нил)-4-ил-этанон, 3-(3-метоксифенил)-1Н-1,2,4-три-
СО, СО2, бензола, бензойной кислоты и ее алкилиро-
азол, 5-фенил-5-бензилиденамино-бензимиазол и
ванных производных, а также увеличивается количе-
дибензоат-1,2-этандиол.
ство полициклических ароматических углеводородов,
Непрерывный пиролиз полиэтилентерефталата
таких как бифенил и терфенил (табл. 2). В составе
в реакторе с коническим носиком при 500-600°С
воскоподобной фракции (около 35%) были обнаруже-
приводит к образованию значительного количества
ны различные карбоновые кислоты и сложные эфиры,
газообразных продуктов (40-50 мас%), среди которых
а твердой остаток содержал в основном терефтале-
преобладали СО и СО2, выделяемые в результате
вую кислоту и тяжелые углеводороды.
декарбоксилирования промежуточных компонентов
Повышение температуры процесса до 700°С в
(табл. 3) [36]. Доля жидкой фракции, не превышаю-
горизонтальном реакторе приводило к росту вы-
щая 10 мас%, снижается, как и следовало ожидать,
хода газовой фракции, содержащей ацетальдегид,
с повышением температуры до 5-6 мас% (600°С).
СО, СО2, С6-8 (бензол, толуол, стирол, этилбен-
Основным компонентом пиролизного масла является
зол), СН4 и С2Н4, доля последних двух компонен-
ацетальдегид, который далее разлагается при повы-
тов достигала до 40 мас% от фракции, и больше-
шенных температурах. Преобладающими продуктами
му образованию полициклических ароматических
в жидкой фазе и в твердом остатке являются различ-
Таблица 2
Зависимость продуктов пиролиза полиэтилентерефталата в трубчатом горизонтальном реакторе от температуры
(0.5 г сырья, скорость нагрева 5 град·мин-1, 410-480°С, 1-2 ч, поток N2 — 555 мл·мин-1) [24]1
Содержание, %
Компонент, %
410°С
430°С
450°С
480°С
Ацетальдегид
10.8
11.6
10.95
12.1
СО2
8.1
10.9
9.75
10.45
СО
3.2
4.5
4.4
5.2
Этилен
0.22
0.4
0.33
0.32
Бензол
0.06
0.18
0.21
0.26
Бензойная кислота
6
11
6.5
7.8
Моновинилтерефталат
2.5
2
1.8
3
4-Метилбензойная кислота
0.65
0.52
0.62
0.75
4-Этилбензойная кислота
0.5
0.47
0.55
0.6
4-Винилбензойная кислота
0.38
0.43
0.41
0.47
Бифенил-4-карбоновая кислота
0.55
0.35
0.18
0.33
Моноэтилтерефталат
0.4
0.25
0.17
0.36
Дивинилтерефталат
0.14
0.1
0.12
0.19
1,2-Этандиол дибензоат
0.12
0.47
0.11
0.17
Бифенил
0.06
0.12
0.07
0.14
Терфенил
0.01
0.04
0.03
0.06
1 Таблица сформирована авторами по данным [24].
Пиролиз полиэтилентерефталата: особенности процесса и состав продуктов реакции (обзор)
899
ные оксигенаты, количество которых увеличивается
лота (0.98%), 2,3-дигидро-3,3-диметил-1Н-инден-1-он
при повышении температуры до 600°С в результа-
(0.14%), 1-[4-(1-метилэтил)фенил]-этанон (0.21%),
те реакций декарбоксилирования и ароматизации.
4-пропилацетон (0.05%), 1,1ʹ-(1,4-фенилен)бис-эта-
Помимо главного компонента твердой фазы, бензой-
нон (0.08%), орто- (4.67%) и пара-ацетилбензойная
ной кислоты (15-19 мас%), образуется большое ко-
кислота (1.02%), [1,1ʹ-бифенил]-4-карбоксальдегид
личество бензоилмуравьиной кислоты (2.6-3.7 мас%)
(0.39%), 1-[1,1ʹ-бифенил]-3-ил-1-этанон (0.03%),
и замещенного оксигената индена (2.6-2.6 мас%).
1-[1,1ʹ-бифенил]-4-ил-1-этанон (0.11%), 4-(гидрок-
В твердой фракции, состоящей из более тяжелых про-
сиацетил)-1,1ʹ-бифенил (0.03%), 4,5-диметилфталевая
дуктов, образованных в результате крекинга и вторич-
кислота (0.14%).
ных процессов при 600°С, были обнаружены 4-фе-
В ходе разложения полиэтилентерефталата в ре-
нил-3-бутен-2-он (0.64%), 1-(4-этилфенил)-этанон
акторе с псевдоожиженным слоем при 530-730°С в
(0.27%), 1-фенил-1,2-пропандион (0.04%), 1-(2,5-ди-
газовой фракции преобладает СО (до 29%), выход
метилфенил)-этанон (0.07%), 4-винилбензойная кис-
которого увеличивается при повышении темпера-
Таблица 3
Продукты разложения полиэтилентерефталата в непрерывном реакторе с коническим носиком (1.5 г·мин-1 поток
сырья, скорость потока N2 — 28 л·мин-1, 500-600°C, 1 ч) [36]1
Выход, %
Выход, %
Компонент
Компонент
500°С
550°С
600°С
500°С
550°С
600°С
Газовая фракция
СО
9.88
17.9
14.21
СО2
29.28
23.89
31.08
Этилен
3.09
3.53
3.35
Пропилен
0.37
0.06
0.22
Циклобутен
0.16
0.22
0.24
Сумма
42.78
45.6
49.1
Жидкая фракция
Ацетальдегид
11.11
11.06
3.55
Ацетон
0.14
0.43
0.24
2-Пропеналь
0.03
0.49
0.21
Фуран
0.06
0.05
0.11
Бензол
1.04
0.81
0.87
Толуол
0.1
0.11
0.24
Бензальдегид
0.05
0.04
0.22
2,3-Диметил-2-пентен
0.04
0.05
0.1
Этилбензол
0.03
0.03
4-Гидрокси-4-метил-2-пентанон
0.25
0.48
0.83
Сумма
12.82
13.54
6.25
Твердая фракция
Фенол
0.02
Гидроксиэтилбензоат
0.21
Бифенил
0.41
0.12
0.42
Бензойная кислота
26.98
21.91
15.12
Нафталин
0.13
0.14
3-Фенил-2-пропеналь
0.3
0.26
0.46
о-Диацетилбензол
0.11
2.62
Бензоуксусная кислота
0.04
0.29
Ацетофенон
0.12
0.56
3.64
1-(3-Метилфенил)этанон
0.79
0.14
0.2
4-Метилбензойная кислота
0.1
0.56
Бензоилмуравьиная кислота
2.55
6.89
3.66
1,1ʹ-(1,3-Фенилен)бис-этанон
0.65
1.39
Винил-3-фенил-2-пропеноат
0.35
0.76
0.63
2-Гидрокси-2-метокси-1Н-инден-1,3(2Н)-дион
3.62
5.04
2.63
Неидент. С5+
1.93
1.24
2.03
Сумма
35.46
36.59
40.61
П р и мечан и е. «—» — не обнаружено.
1 Таблица заимствована авторами из источника литературы [36] с разрешения © American Chemical Society, 2010.
16.04.2024.
900
Захарян Е. М., Максимов А. Л.
туры при разложении наполненного полимера [37].
чению выхода С6 (бензола) с 2 до 38%, поскольку
Пиролиз полимера при низкой температуре приводил
повышенные температуры способствуют процессам
к образованию значительных количеств бензойной
крекинга и декарбоксилирования бензойной и 3-ме-
кислоты (21%) и NaOH-растворимых остатков (те-
тилбензойной кислот: их доля резко снижается с 46
рефталевая кислота и монометилтерефталат, в сумме
до 11%.
23%), доля которых снижалась при повышении на
100°С температуры, что было обусловлено бóльшим
Каталитический пиролиз
крекингом соединений.
чистого полиэтилентерефталата
Быстрый пиролиз. Среди полициклических арома-
тических углеводородов, образующихся в результате
Использование добавки ацетата тетраметилам-
быстрого пиролиза полиэтилентерефталата в реакто-
мония позволяет идентифицировать значительную
ре с неподвижным слоем (800°С, N2, скорость нагре-
часть образующихся в результате пиролиза поли-
ва 350 град·мин-1, 2.6 с), были идентифицированы
этилентерефталата компонентов, содержащих силь-
нафталин (1650 мг), метилнафталин (100 мг), 2-ме-
ные полярные связи (карбоксильные группы) (II),
тилнафталин (110 мг), аценафтилен (28 мг), флуорен
благодаря их взаимодействию с кислотами с образо-
(250 мг), фенантрен (930 мг), флуорантен (45 мг), пи-
ванием эфиров [40]. Характерными продуктами бы-
рен (31 мг), бенз[a]антрацен + хризен (550 мг). Доля
строго пиролиза чистой пленки полимера при 770°С,
ароматических соединений, содержащих 2 кольца,
полученными в пиролизере, являются бензол и его
составляла 47%, 3 кольца — 38%, 4 кольца — 17%
производные, винилбензоат, бензойная кислота, ди-
(3000 мг) [32].
фенил, ди(винил)терефталат, монометилтерефталат
Авторам [38] путем разложения полиэтиленте-
и другие диэфиры производных бензойной кислоты
рефталата с помощью вращающегося дугового плаз-
и 1,2-диэтиленгликоль, содержащий этил-, винил- и
менного реактора постоянного тока удалось достичь
4-винилоксикарбоксильные группы, как заместители
почти полной конверсии углерода образованием га-
ароматического кольца. В пиролизном масле, полу-
зообразного продукта, содержащего 42% ацетилена,
ченном при разложении полимера в присутствии
53% СО и 4% этилена. При температурах 523-923°С
ацетата тетраметиламмония, были обнаружены эти-
также были получены небольшие количества Н2, ме-
ленгликоль и его производное моноацетат, уксусная
тана и СО2. Максимальное количество ацетилена при
кислота, метилбензоат, метил-4-метилбензоат, метил-
скорости подачи сырья 12 г·мин-1 достигает 2.34%, а
4-этилбензоат, моновиниловый эфир дифениловой
при скорости 20 г·мин-1 — 3.67%, медленно снижа-
кислоты, 4-метилдифенил, метиловый эфир дифе-
ющееся при дальнейшем увеличении входной мощ-
нил-2-ортокарбоновой кислоты, метилпальмитат, ди-
ности реактора, тогда как доля этилена и СО растет с
метилтерефталат, идентифицированный в продуктах
входной мощностью. Наиболее подходящая темпера-
пиролиза чистого полимера как терефталевая кис-
тура для образования ацетилена была получена при
лота.
мощности плазменного реактора 16 кВт, дальнейшее
По сравнению с разложением чистого полимера
увеличение которой приводит к перегреву атмосфе-
при разложении полиэтилентерефталата, содержа-
ры, как следствие, к необратимому разложению угле-
щего добавки BaFe12O19 и Fe2O3 и NiO, в реакторе
водорода. Селективность по ацетилену при низкой
с псевдоожиженным слоем при 530-730°С в [37]
скорости подачи сырья (12 г·мин-1, 14.14 кВт) состав-
повышается количество образованного метана (до
ляет 54.64%, а при высокой (20 г·мин-1, 18.19 кВт) —
2.6%). Наличие добавок в наполненных полимерах
55.86%. Максимальная конверсия углерода при пото-
способствовало дальнейшему декарбоксилированию
ке сырья, равного 12 г·мин-1, достигает 95.71%, а при
кислотных компонентов и реакциям ацилирования.
20 г·мин-1 — 93.01%.
Так, добавка BaFe12O19 приводила к значительному
В процессе мгновенного пиролиза полиэтилен-
выходу бензола (до 3.6% при 730°С) и ацетофенона
терефталата не образуется жидкое масло [39], до-
(до 1.9% при 630°С). Каталитически активные до-
ля воска составляла 44 и 48%, газовой фракции —
бавки способствовали образованию ацетилбензола
43 и 48%, полукокса — 13 и 12% при 550 и 600°С
(0.39-0.49%), коричной кислоты (0.39-0.56%), орто-
соответственно. Разложение при 550°С сопрово-
(0.67-0.81%) и пара-ацетилбензойных кислот (1.7-
ждается образованием соединений с числом угле-
2.2%) за счет протекания реакций Фриделя-Крафтса,
рода от 6 до 15, среди которых преобладают С7- и
в которых ацетильная группа атакует ароматическое
С13-углеводороды. Повышение температуры приво-
кольцо. Еще одним каталитическим свойством на-
дит к снижению выхода С7-8 с 53 до 19% и увели-
полнителей являлось образование воды, количество
Пиролиз полиэтилентерефталата: особенности процесса и состав продуктов реакции (обзор)
901
которой увеличивалось с повышением температуры
цен, фенантрен и их производные). Деполимеризация
до 730°С.
полиэтилентерефталата усиливается благодаря при-
Влияние добавок Ca(OH)2, NiО, Fe2O3, TiO2 при
соединению внешних протонов к кислороду сложно-
пиролизе полиэтилентерефталата при 700°С изу-
эфирной связи С О вместо внутреннего переноса
чалось в [41]. Выделение воды из Ca(OH)2, добав-
водорода от β-углерода. Доля ароматических угле-
ленного в систему в процессе пиролиза полимера,
водородов, полученных при пиролизе полимера в
приводило к гидролизу сложноэфирных связей до
атмосфере H2 in situ (рис. 2), достигала наибольшего
образования терефталевой кислоты, декарбоксили-
значения по сравнению с другими экспериментами,
рование которой в присутствии СаО сопровождалось
при этом выход бензола и нафталинов снижался за
образованием бензола, количество которого увеличи-
счет гидрирования ароматических колец.
валось с 6 до 31% с добавлением и повышением со-
Каталитический пиролиз полиэтилентерефта-
держания Ca(OH)2. Добавка Ca(OH)2 способствовала
лата при 500°С в вертикальном реакторе с непод-
снижению доли кислородсодержащих кетонов до ми-
вижным слоем в присутствии ZSM-5 в атмосфере
нимального значения, а доли карбоновых кислот —
Не приводил к образованию 64.08% газообразных
до 0, тогда как росло количество полициклических
продуктов, 21% масла, содержащего 54.81 мас%
бифенила и флуорена.
моно- и 43.42 мас% полициклических ароматиче-
Добавка NiО приводила к незначительному росту
ских и 1.77 мас% алифатических углеводородов,
выхода бензойной кислоты и СО и снижению содер-
14.92% полукокса [42]. Пиролизное масло содержа-
жания бензола и СО2, в то время как одновременная
ло 90.36% С5-12-ароматических соединений, среди
добавка NiО и Ca(OH)2 способствовала резкому по-
которых преобладали стирол и алкилзамещенные
вышению доли газов [70% по сравнению с процес-
производные, и 6 мас% бензойной кислоты и ее про-
сом, в который добавлен чистый Ca(OH)2], поскольку
изводных. Каталитическое осаждение продуктов
полимер в присутствии воды, полученной при разло-
пиролиза при 800°С в присутствии Ni позволило
жении Ca(OH)2, и NiО окислялся до синтез-газа (3.9%
сместить равновесие газовой фракции в сторону об-
Н2, 47% СО и 18% СО2).
разования Н2: при пиролизе при 500°С были образо-
В процессе пиролиза полиэтилентерефталата в
ваны 47.05% СО2, 24.21% СО, 5.44% Н2, 8.5% метана,
присутствии Fe2O3 органических кислот в продук-
6.56% этилена, 1.42% этана, 3.6% пропилена, 1.64%
тах обнаружено не было ввиду их значительного
пропана, 0.81% бутена, 0.78% бутана, тогда как над
декарбоксилирования до бензола, но было образо-
Ni выход СО2 составил 41.95%, СО — 20.69%, Н2
вано большое количество неидентифицированных
31.39%, метана — 3.52%, этилена — 2.81%, этана —
соединений. Добавка TiO2 практически не влияла ни
0.54%.
на состав, ни на количество продукта, аналогично
Ароматические кислоты и их эфиры, полученные
добавке Fe2O3, в присутствии TiO2 росла доля не-
в результате быстрого пиролиза полиэтилентере-
идентифицированных компонентов.
В [26] проводили каталитический пиролиз поли-
этилентерефталата в микропиролизере в атмосфере
He либо H2 (600°C, скорость нагрева 250 град·с-1) в
присутствии цеолита HZSM-5 (рис. 2). В отсутствие
катализатора основными продуктами пиролиза по-
лимера являлись виниловый эфир терефталевой и
бензойной кислот, а также продукт их изомериза-
ции и декарбонилирования — ацетофенон. Сильные
кислотные группы цеолита обладают способностью
деоксигенации (разрыва С—О-связи) карбонильных
и кетоновых групп, в связи с чем в результате гомо-
литического разрыва фенилалкильной связи происхо-
дит формирование бензильных радикалов, этилена и
СО2, что объясняет резкий рост выхода СО2 в ката-
Рис. 2. Распределение продуктов каталитического пиро-
литическом процессе. Бензильные радикалы, взаимо-
лиза полиэтилентерефталата [26].1
действуя между собой и с этиленом и пропиленом,
способны образовывать конденсированные аромати-
1 Рисунок заимствован авторами из источника лите-
ческие углеводороды (нафталин, индан, инден, антра-
ратуры [26] с разрешения © Elsevier. 16.04.2024.
902
Захарян Е. М., Максимов А. Л.
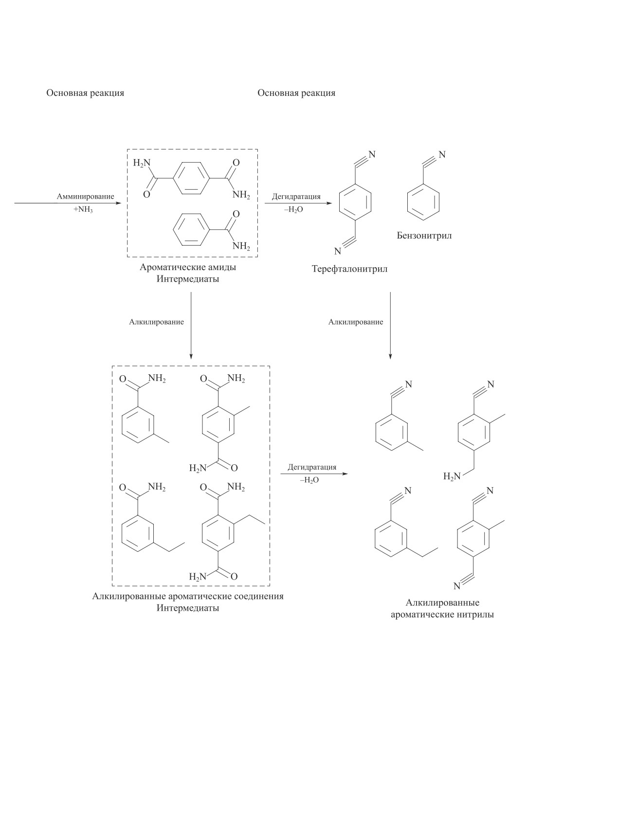
фталата в присутствии γ-Al2O3 [43], реагируют с NH3
Двустадийная переработка
с выделением амидов, которые путем дегидратации
чистого полиэтилентерефталата
превращаются в нитрилы (V). Взаимодействие ацет-
альдегида и бензальдегида с NH3 приводит к образо-
В работе [44] в двухступенчатом реакторе с непод-
ванию иминных интермедиатов, преобразующихся
вижным слоем на первом этапе протекало разложение
также посредством дегидратации в соответствующие
полиэтилентерефталата (500°С, скорость нагрева
нитрилы — терефталонитрил, бензонитрил, ацетони-
30 град·мин-1, 30 мин), летучие продукты которо-
трил и другие (табл. 4).
го подвергались на втором этапе крекингу (40 мин)
Помимо нитрилов были образованы также оксиге-
в присутствии 9.28 мас% Ni/Al2O3. Выход жидких
наты, ароматические соединения, амиды, газообраз-
продуктов составил 39%, полукокса — 20%, газо-
ные СО, СН4 и С3-углеводороды. При использова-
образных — 34%. Использование Ni/Al2O3 позволи-
нии модифицированных ортофосфорной кислотой
ло получить до 40 об% Н2 и более 50 об% СО, доля
γ-Al2O3-катализаторов амиды и оксигенаты в качестве
метана не превышала 6 об%.
продуктов обнаружены не были, что, возможно, свя-
Двустадийная переработка полиэтилентерефтала-
зано с большей кислотностью и наличием больше-
та путем пиролиза с последующим крекингом в плаз-
го числа активных кислотных центров. Исследуя
менной печи приводила к большему выходу газовой
пиролиз в различных условиях [450-700°С, масса
фракции [45] по сравнению с пиролизом в трубчатом
катализатора 0.6-1.2 г, смесь H2 и NH3 (20-100%)],
горизонтальном реакторе [22, 46], в реакторе с кони-
авторам удалось достичь селективности по отноше-
ческим носиком [36], в реакторе с псевдоожиженным
нию к терефталонитрилу до 90%, наибольший выход
слоем [37]. В присутствии катализатора 10 мас%
нитрилов составлял 58.11% (табл. 4).
Ni/MCM-41 доля газовой фракции достигала 67.4%
Таблица 4
Продукты пиролиза полиэтилентерефталата в присутствии NH3 (0.5 г сырья, 1 г катализатора, 500°С,
поток Н2 и NH3 — 80 мл·мин-1 [43]1
Выход
γ-Al2O3 — 2%
γ-Al2O3 — 4%
γ-Al2O3 — 6%
γ-Al2O3 — 8%
Кокс
13.45
15.69
17.36
16.82
18.59
Газы
10.4
10.48
10.96
11.27
11.81
Нитрилы
45.61
58.11
56.06
52.11
43.34
Ароматика
2.74
1.05
1.67
2.01
1.85
Амиды
1.31
Оксигенаты
1.42
С е ле ктив н о с т ь, %
Бензонитрил
13.53
6.49
5.58
7.41
9.97
Терефталонитрил
81.71
89.95
90.97
88.39
85.67
Ацетонитрил
3.99
2.85
2.53
3.19
3.53
Другие алкилароматические нитрилы
0.77
0.71
0.91
1.02
0.83
Га з ы, с е ле кти вн о ст ь, %
СО
80.58
79.81
78.19
82.7
75.61
СН4
11.63
11.79
12.68
10.74
15.58
С3
7.79
8.4
9.12
6.57
8.81
П р и м еч а н и е. Нитрилы — терефталонитрил, бензонитрил, ацетонитрил и другие алкилароматичекие нитрилы
(метилбензонитрил, метилтерефталонитрил); ароматические соединения — бензол, толуол, ксилол, бифенил, нафталин;
амиды — бензамид, терефталоамид; оксигенаты — фталевая кислота, метилбензоат, диметилтерефталат, «—» — не
обнаружено.
1 Таблица заимствована авторами из источника литературы [43] с разрешения © Elsevier. 16.04.2024.
Пиролиз полиэтилентерефталата: особенности процесса и состав продуктов реакции (обзор)
903
Таблица 5
Выход продуктов двустадийной переработки полиэтилентерефталата (пиролиз 500°С, плазменная печь
250°С, входная мощность 80 Вт, молярное соотношение сырье:катализатор 1:1) [45]1 и при пиролизе
полиэтилентерефталата (500°С), риформинге при скорости потока 4.1 и 16.7 гкат·мин·гп-1 (700°С) [47]
Риформинг,
Риформинг,
Пиролиз, 500°С
Выход, мас%
Пиролиз 500°С [45]
Крекинг [45]
4.1 гкат·мин·гп-1,
16.7 гкат·мин·гп-1,
[47]
700°С [47]
700°С [47]
Газ
52.3
67.4
42.8
Масло
23.3
8.6
12.8
Полукокс
24
24
44.4
7
7
Состав газа
Н2
13.5 об%
24.3 об%
18.2 мас%
65 мас%
94.1 мас%
СО
38.8 об%
32.5 об%
9.9 мас%
25 мас%
10 мас%
СО2
34.7 об%
29 об%
29.3 мас%
49 мас%
89.2 мас%
СН4
5.9 об%
8.1 об%
С2-4
7.1 об%
6.1 об%
П р и мечан и е. «—» — нет данных.
(табл. 5) [45] за счет крекинга пиролизного масла.
ным слоем с катализатором NiO (14 мас%), CaAl2O4
Концентрация Н2 возрастала практически в 2 раза.
и Al2O3 (700°С) с целью риформинга [47] позволило
Использование же реактора с коническим носиком и
увеличить выход Н2 до 70-94.1% (табл. 6), при этом
фонтанирующим слоем с целью пиролиза полиэти-
больший выход Н2 достигался посредством повыше-
лентерефталата (500°С) и реактора с псевдоожижен-
ния скорости потока до 16.7 гкат·мин·гп-1.
Таблица 6
Продукты пиролиза полиэтилентерефталата в присутствии СаО (массовое соотношение полимер:СаО = 1:6;
условия пиролиза: 1 реактор — 450°С, 10 мин, скорость нагрева 10 град·мин-1; 2 реактор — 700°С, 10 мин,
скорость нагрева 10 град·мин-1) [27]2
Продукты (площадь хроматографического
Без катализатора
СаОа
СаОб
СаОв
СаОг
пика, %)
Углеводороды
14.2
99.7
46.8
51.4
46.2
Бензол
8
63
31.9
35.7
29.7
Толуол
0.6
11.9
3.2
3.1
3.2
Стирол
1.3
7.4
3
3.7
3.5
Бифенил
4.3
17.4
8.7
8.9
9.8
Альдегиды и кетоны
16.6
0.3
53.2
48.6
53.8
Ацетальдегид
6.8
12.5
14.7
11.8
Бензальдегид
0.6
0.2
4.1
0.9
3.9
Ацетофенон
3.7
8.8
8.8
9.5
Бензофенон
2.2
19.7
17.2
20.4
Флуоренон
3.3
8
7
8.2
Бензойная кислота и винилбензоат
69.1
П р и мечан и е. «—» — не обнаружено; а-г — порядок пористости и основности катализатора в ряду увеличения
размера кристаллитов, снижения плотности активных центров СаО на поверхности.
1 Таблица частично сформирована авторами по данным [47] и заимствована из [45]. Лицензия Creative Commons
CC-BY.
2 Таблица заимствована авторами из источника литературы [27] c разрешения © Elsevier. 16.04.2024.
904
Захарян Е. М., Максимов А. Л.
(V)
Влияние основности СаО на продукты разложе-
С2-4. Добавка сильноосновного оксида благодаря
ния полиэтилентерефталата (пеллеты) изучали в
ускорению процесса декарбонилирования кисло-
каталитическом двустадийном пиролизе в [27, 48].
родсодержащих пиролизатов полимера приводила
Основность СаО зависела от температуры прокали-
к значительному выходу углеводородов (99.7%), в
вания CaCO3 и определялась плотностью активных
которых преобладали бензол (до 63%) и бифенил
центров на поверхности катализатора, размерами
(до 17.4%) (табл. 6). Единственным оксигенатом,
кристаллитов и удельной площадью поверхности.
обнаруженным в пиролизном масле над СаО, являлся
В отсутствие СаО основными продуктами являются
бензальдегид — всего 0.2%. Снижение основности
бензойная кислота и винилбензоат (69.1%) помимо
СаО способствовало уменьшению доли углеводоро-
газообразных СО и СО2, метана и углеводородов
дов до 46-51% и образованию кетонов и альдегидов,
Пиролиз полиэтилентерефталата: особенности процесса и состав продуктов реакции (обзор)
905
в частности, бензофенона (17.4-20.4%) и ацетальде-
при молярном соотношении полимер:МеО = 1:20
гида (11.8-14.7%), помимо которых были получены
(табл. 7), тогда как выход бензола в присутствии дру-
бензальдегид, ацетофенон и флуоренон.
гих катализаторов не превышал 43.9%. Использо-
Исследование реакционной способности оксидов
вание менее основных оксидов приводило к росту
MgO, ZnO, TiO2 и ZrO2 в двустадийном пиролизе
выхода альдегидов (23.5-28.6%). С повышением со-
пеллетов полиэтилентерефталата в [49] так же, как
отношения полимер:МеО выход углеводородов до-
и в работе [48], показало, что ZnO по сравнению с
стиг 96.8-99% за счет полного декарбоксилирования
другими оксидами обладает большей основностью,
бензойной кислоты и винилбензоата, доля альдегидов
которая способствует процессу декарбоксилирования
упала до 3.2%. Среди катализаторов наименьший
бензойной кислоты с образованием 73.3% бензола
выход бензола наблюдался над ZrO2, тогда как ги-
906
Захарян Е. М., Максимов А. Л.
Таблица 7
Состав пиролизного масла, полученного в результате двустадийной переработки пеллетов
полиэтилентерефталата в присутствии катализаторов (1 реактор: 450°С, скорость нагрева 10 град·мин-1, 10 мин;
2 реактор: 700°С, скорость нагрева 10 град·мин-1, 10 мин; MeO — ZnO, MgO, TiO2, ZrO2) [49]1
Молярное соотношение
Молярное соотношение
Продукты (площадь
Без катализатора
полимер:МеО = 1:20
полимер:МеО = 1:100
хроматографического пика,%)
ZnO
MgO
TiO2
ZrO2
ZnO
MgO
TiO2
ZrO2
Углеводороды
14.2
83.9
38.7
38.9
43.9
99
97.7
99.2
96.8
Бензол
8
73.3
28.3
26.3
30.5
88.8
77.4
71.4
62.7
Толуол
0.6
1.1
1.7
2.8
3.8
3.3
4.1
5.2
15.5
Стирол
1.3
3
3.5
3.9
2.5
0.4
4
8.8
4.7
Бифенил
4.3
6.5
5.3
5.9
7
6.5
12.1
13.5
13.9
Альдегиды и кетоны
16.6
16.1
28.6
25
23.5
1
2.3
0.8
3.2
Ацетальдегид
6.8
7.4
12.3
12.2
9.5
0.1
0.2
Бензальдегид
0.6
+
1
2.6
+
0.9
+
+
Ацетофенон
3.7
3.7
9.1
6.3
6.6
+
+
+
Бензофенон
2.2
1.6
2.8
1.3
1.3
+
+
+
Флуоренон
3.3
3.4
3.4
2.7
6.1
1
1.3
0.6
3.2
Бензойная кислота и винилбензоат
69.1
32.7
36.1
32.6
П р и мечан и е. «—» — не обнаружено, «+» — следовые количества.
дрирование бензойной кислоты на поверхности ZrO2
Основными компонентами пиролизного масла явля-
в присутствии диссоциативно адсорбированного Н2
ются паральдегид (54.7%), этиленгликоль (23.7%),
приводило к образованию толула (15.5%).
бензойная кислота (10.4%) и ее производные (9.9%) и
замещенные бензолы (1.1%). Паральдегид (2,4,6-три-
метил-1,3,5-триоксан) образуется путем циклиза-
Пиролиз отходов полиэтилентерефталата
ции ацетальдегида, формирующегося в результате
Медленный пиролиз отходов полиэтилентере-
разрыва С—С-связи с бензольным кольцом, этилен-
фталата (бутылки) приводит к образованию
гликоль — в результате разрыва сложноэфирной
13.3 мас% газовой фракции, доля СО и СО2 в ко-
связи (VI). Теплотворная способность полученно-
торой достигает 90 об%, доля C1-4 — 7 об%, доля
го полукокса составляла 31.3 МДж·кг-1, что указы-
Н2 — 3 об%, 46.7 мас% масла и 39.7 мас% полукокса
вает на возможность его использования в качестве
(100 г, 400°С, скорость нагрева 25 град·мин-1) [46].
топлива.
(VI)
Повышение температуры до 500°С и снижение
23.1% масла и 76.9% газообразных продуктов без
скорости нагрева до 10 град·мин-1 позволило по-
образования полукокса [50]. Пиролизное масло со-
лучить при разложении отходов полиэтилентере-
держало в своем составе 3-хлор-1-фенил-1-пропан,
фталата (бутылки) в реакторе с неподвижным слоем
бензойную кислоту, бифенил, дифенилметан, 4-этил-,
4-винил-, 4-ацетилбензойную кислоты, флуорен, бен-
1 Таблица заимствована авторами из источника лите-
зофенон, антрацен, бифенил-4-карбоновую кислоту,
ратуры [49] с разрешения ©American Chemical Society.
1-фенил-1-бутанон и терфенил.
16.04.2024.
Пиролиз полиэтилентерефталата: особенности процесса и состав продуктов реакции (обзор)
907
В результате пиролиза отходов полиэтиленте-
продуктов, а именно СО и СО2 (табл. 8), и масла, доля
рефталата (бутылки) на пилотной установке было
в котором моно- и полициклических ароматических
получено 28% масла, 12% газовой фракции, 50%
углеводородов росла независимо от природы отходов.
твердого остатка и 10% воды (1 ч, скорость нагрева
Пиролизное масло содержало в своем составе бен-
6 град·мин-1) [51]. Таким образом, при переработке
зол, бифенил, бензойную, винилбензойную, ацетил-
1 кг отходов выход парафинов составлял 286 мл.
бензойную кислоты, терфенил и ацетофенон, среди
Повышение температуры до 700°С (30 мин, ско-
которых преобладали бензойная и ацетилбензойная
рость нагрева 10 град·мин-1) в муфельной печи при
кислоты. Различие в выходах продуктов медленного
автогенном пиролизе под давлением отходов по-
пиролиза коврового волокна и материала основы
лиэтилентерефталата (бутылки) [52] приводило к
объясняется их составом: первое содержит в основ-
резкому росту выхода метана (34.58 об%) в газовой
ном полиэтилентерефталат, тогда как во втором со-
фракции (57.86%), помимо которого были получены
держится нейлон, полипропилен, поливинилхлорид,
СО2 (42.76 об%), СО (15.53 об%), Н2 (7 об%). Выход
полиэтилентерефталат, бутадиен-стирольный каучук
полукокса составил 42.14%.
и неорганический наполнитель.
Быстрый пиролиз отходов полиэтилентерефталата
Влияние загрязняющих веществ на разложение
в кварцевой трубке в токе N2 (485°C, скорость нагре-
отходов полиэтилентерефталата (бутылки) в пиро-
ва 15 град·с-1) сопровождается образованием более
лизере при 600°С было исследовано в [30]. Добавка
90 мас% жидкого продукта, выходы газовой фракции
примесей к полимеру приводит к двукратному уве-
и полукокса не превышали 5 мас% [53]. Как и при
личению концентрации СО и ацетальдегида, до 44%,
медленном пиролизе чистого полимера [24], в газовой
по сравнению с 20%, полученными при пиролизе
фракции преобладал ацетальдегид (80%). Помимо
чистого полиэтилентерефталата, и резкому снижению
него были образованы СО (8%), СО2 (8.7%), С2Н4
доли 2-винилбензойной кислоты (до 3.9%). Также
(2%), С3Н6 (0.7%), С4Н8 (0.2%).
отличием от продуктов пиролиза чистого полимера
Природа отходов полиэтилентерефталата (лице-
является то, что не обнаружены 1,3-пентадиен, фе-
вое покрытие и материал подложки ковра) и влияние
нилацетилен, бензальдегид, бифенилкарбоновая кис-
температуры быстрого пиролиза исследовали в [54].
лота и эфир додекановой кислоты, что обусловлено
Повышение температуры способствовало процес-
каталитическим влиянием D-лимонена, бензофенона
сам декарбоксилирования, крекинга, ароматизации
и соляной кислоты, образующейся при термическом
с образованием большего количества газообразных
разложении хлора из примесей. Наличие примесей и
Таблица 8
Быстрый пиролиз отходов полиэтилентерефталата (лицевое покрытие и материал подложки ковра)
в микропиролизере при 400-900°С (скорость нагрева 1000 град·с-1) [54]1
Лицевое покрытие ковра
Материал подложки
Выход, %
400°С
500°С
600°С
900°С
400°С
500°С
600°С
900°С
Полукокс
77.93
42.14
39
28.7
77.53
52.76
46.79
34.91
Газ
9.21
12.32
13.47
21.66
8.39
9.89
11.5
17.94
СО
2.85
3.97
4.59
9.86
2.28
2.38
3.58
6.78
СО2
4.39
5.95
6.76
9.44
4.2
5.2
5.46
7.84
СН4
1.17
1.43
1.29
1.97
0.91
1.04
1.04
1.72
С3Н6
0.81
0.98
0.83
0.4
1.01
1.26
1.42
1.59
Масло
14.65
20.58
23.4
24.58
9.61
11.63
8.54
10.67
Моноциклические ароматические углеводороды
0.21
0.78
1.38
3.93
0.56
1.22
1.83
3.88
Полициклические ароматические углеводороды
0.09
0.76
1.04
2.79
0.06
0.58
1.08
2.41
Кислоты
13.7
18.08
19.68
15.13
13.05
14.85
15.12
12.78
Кислородсодержащие соединения
0.66
0.96
1.3
2.74
0.57
0.75
0.78
1.69
С-баланс
101.79
75.05
75.87
74.94
95.52
74.28
66.83
63.52
1 Таблица заимствована авторами из источника литературы [54] с разрешения ©American Chemical Society. 16.04.2024.
908
Захарян Е. М., Максимов А. Л.
стабилизаторов в переработанном полимере при его
мера при 300°С приводил к образованию 25% С10-40,
пиролизе способствует образованию большего коли-
при 500°С — 34% и при 700°С — 25.8%.
чества бензойной кислоты (17.45%), чем при разло-
Сравнение продуктов пиролиза и сжигания (в окис-
жении двух других образцов, а также значительному
лительную среду) отходов полиэтилентерефталата
выходу 3-фенил-2Н-хромена (1.83%), полученному в
при высокой температуре (850°С) изучалось авторами
результате сшивания цепей полиэтилентерефталата.
[56]. Полученные легкие углеводороды представляли
Присутствие щелочного агента, гидроксида тетраме-
собой метан, этилен, бензол, толуол и их производные
тиламмония, приводит к значительному снижению
и 1,3-бутадиен. Высокая доля СО2, образованная при
температуры пиролиза (400°С вместо 600°С). Роль ги-
сжигании полимера, обусловлена окислением кар-
дроксида тетраметиламмония заключается не только
боксильных групп. Наличие кислорода в воздушной
в катализе метилирования продуктов пиролиза поли-
среде приводит к образованию значительного количе-
меров с образованием диметилтерефталата (15-27%),
ства дибензофурана (5100 мг·г-1 полимера), а также
но и катализе разрыва большего числа связей и в
фенильных радикалов, полученных в результате раз-
реакциях переэтерификации, поскольку группа ОН-
ложения полимерной цепи, которые в свою очередь,
атакует карбоксильную группу. Помимо диметилте-
взаимодействуя друг с другом, преобразуются в поли-
рефталата в продуктах пиролиза трех образцов пре-
циклические ароматические соединения (фенантрен,
обладали триметиламин (26-39%) и метанол (5-9%).
орто-, пара-, мета-терфенилы, метилантрацен, заме-
В [55] проводили пиролиз мытых и немытых от-
щенные бифенилы, бензофлуорены, бензофлуоранте-
ходов полиэтилентерефталата (бутылки) в реакторе
ны, бензопирены, бензоперилены и другие).
периодического действия при различных температу-
Влияние добавки антипирена серосодержащего
рах, исследуя состав получаемых продуктов. Часть
полифосфоната (поли(9-окса-10-(2,5-дигидрокси-фе-
образцов промывали с помощью трехступенчатой
нил)фосфафенантрен-10-оксида)фенилтиофосфата на
системы (42% NaOH при 90°С и двойное ополаски-
состав продуктов пиролиза полиэтилентерефталата)
вание водой). Содержание углеводородов С10-40 в
изучали в [57]. Наличие антипирена в составе поли-
немытых отходах увеличивалось с 10.95 (300°С) до
мера способствует значительному снижению коли-
37.5% (700°С), тогда как пиролиз промытого поли-
чества легковоспламеняющихся низкомолекулярных
Таблица 9
Продукты, полученные в результате пиролиза полиэтилентерефталата, содержащего антипирен (10 мас%)
(900°С, скорость Не 0.8 мл·мин-1 [57]1
Продукт
ПЭТ
ПЭТ/ ПДФТФ
Продукт
ПЭТ
ПЭТ/ ПДФТФ
Летучие компоненты
24.5
14.1
Бензойная кислота
11
13.5
Бензол
13.6
3.5
Метил 4-винилбензоат
1.3
3.3
Метилбензол
3.6
1
Винил 4-винилбензоат
1.4
Этилбензол
1.8
0.4
4-Метилбензойная кислота
3.1
Стирол
3.6
1.2
4-Винилбензойная кислота
3.4
4.2
Метилэтилбензол
1
0.8
Диацетилбензол
2
2.1
Этилбензоат
1.3
пара-Ацетилвинилбензоат
2.9
Дифенил
2.7
2.1
Дивинилтерефталат
7.7
Пропаналь
1.3
0.4
пара-Ацетилбензойная кислота
1.2
6
Ацетофенон
8.2
3.2
Моновинилтерефталат
8.4
20.7
Винилбензоат
2.9
6.3
Этилфенилкетон
1.8
0.6
Неидент.
2.4
Метилдифенилкетон
0.8
0.6
Дифенил-2-ортокарбоновая кислота
1
Виниловый эфир дифенил-2-ортокарбоновой кислоты
0.9
П р и м еч а н и е. ПЭТ — полиэтилентерефталат, ПДФТФ — поли(9-окса-10-(2,5-дигидрокси-фенил)фосфафенан-
трен-10-оксида)фенилтиофосфат; «—» — не обнаружено.
1 Таблица заимствована авторами из источника литературы [57] с разрешения © Elsevier. 17.04.2024.
Пиролиз полиэтилентерефталата: особенности процесса и состав продуктов реакции (обзор)
909
соединений с 24.5 до 14.1% (табл. 9), а также бензола,
углеродном атоме, соединяющем бензольные кольца,
метилбензола, дифенила, пропаналя, ацетофенона,
в одном он представляет собой СН2—, а в другом —
этилфенилкетона и этилдифенилкетона. Увеличение
—С(СН3)2—, за счет чего и наблюдается различное
концентрации бензойной кислоты говорит о том, что
протекание процесса разложения самого полимера
антипирен способен замедлять реакцию декарбокси-
и, как следствие, образование побочных продуктов.
лирования, а рост выхода замещенных бензоатов и
Как было указано ранее, полиэтилентерефталат, в
терефталатов — об ингибировании полифосфонатом
котором разрыву подвергается в основном β-метиле-
процесса разложения полиэтилентерефталата.
новая группа, распадается на сложноэфирные звенья
Исследование термо- и огнестойкости полиэти-
по механизму случайного разрыва цепи.
лентерефталата с включенными добавками произ-
В процессе пиролиза полиэтилентерефталата,
водных бисфенола А (бис(гидроксиэтиловый эфир)-
содержащего добавку бисфенола А (VII), помимо
бисфенол А) и бисфенола F (бис(гидроксиэтиловый
разложения звеньев самого полимера происходит
эфир)бисфенол F) в [58] показало, что основные
отделение звеньев бисфенола А, в которых при ги-
продукты одинаковы во всех трех экспериментах.
дрировании и дегидратации образуются двойные
Различие в двух структурах добавок заключается в
связи (I), которые путем гидрогенолиза преобразу-
910
Захарян Е. М., Максимов А. Л.
ются в ОН-группу (II). Полученные таким образом
разрушения связей Ar—СН2—Ar с формированием
ароматические соединения характеризуются низкой
промежуточных бензильных радикалов, объедине-
температурой кипения, поэтому будут удаляться из
ние которых случайным образом и дальнейшее деги-
конденсированной фазы продуктов пиролиза.
дрирование интермедиатов приводит к образованию
Наличие бисфенола F в составе полиэтилентере-
4-(4-метоксистирил)фенола (V) и 4-(4-винилокси-
фталата способствует образованию большего числа
стирил)фенола (VI). Посредством межмолекулярной
побочных продуктов при термической деградации
перегруппировки продукта (VII) образуется 3,6-ди-
полимера (VIII), некоторые из которых аналогичны
метокси-9-метилфенантрен (VIII).
продуктам разложения полимера с добавкой бисфе-
Включение диимида N,Nʹ-бис-(2-гидроксиэтил)-
нола А. Соединения (III) и (IV) были получены путем бифенил-3,4,3ʹ,4ʹ-тетракарбоновой кислоты, содержа-
Пиролиз полиэтилентерефталата: особенности процесса и состав продуктов реакции (обзор)
911
щий бифенилбиимид, в основную цепь полиэтиленте-
торов на основе благородных металлов авторы [25]
рефталата [59] также значительно влияет на механизм
использовали Pt/C и Pd/C. Присутствие катализатора
разложения сополимера и соответственно на рас-
Pd/C не приводило к снижению концентрации та-
пределение продуктов процесса (IX). Основными
ких соединений, как 2-нафталинкарбоновая кислота,
продуктами пиролиза чистого полимера являлись ви-
флуоренон, трифенилен и производные бифенила,
нилбензоат (IX), бензойная кислота (X), ацетофенон
поскольку он способствует термическому свободно-
(XI), 1,10-бифенил (XII), дивинилтерефталат (XIII),
радикальному механизму разложения полиэтиленте-
1,1ʹ-(1,3-фенилен)-бис-этан-1-он (XIV), 3-ацетилбен-
рефталата и процессу циклизации. Использование
зальдегид (XV), 1-([1,10-бифенил]-4-ил)-этан-1-он
же Pt/C, наоборот, существенно снижало выход по-
(XVI), этан-1,2-диилбензоат (XVII), 1,1ʹ:1ʹ,4ʺ-терфе-
лициклических соединений: на 102% меньше было
нил и бутан-1,4-дибензоат. Помимо данных соедине-
образовано 2-нафталинкарбоновой кислоты, на 51%
ний в результате деградации сополимера, содержаще-
меньше трифенилена, на 27% меньше бифенил-4-кар-
го антипирен, наблюдалось образование производных
боновой кислоты, на 107% меньше терфенилов, чем
бифенилдиимида — 2,2ʹ-диметил-[5,5ʹбиизоиндо-
при некаталитическом пиролизе. Pt-Каталитические
лин]-1,1ʹ,3,3ʹ-тетраон (XVIII), 2,2ʹ-дивинил-[5,5ʹ-би-
центры способствовали процессу дециклизациии
изоиндолин]-1,1ʹ,3,3ʹ-тетраон (XIX), 2,8-диметилфу-
(реакции раскрытия кольца) соединений с кольцевой
рол[2,3-f:4,5-fʹ]-диизоиндол-1,3,7,9(2Н,8Н)-тетраон
структурой. Однако при пиролизе полимера, катали-
(XX) и изохинолино[6ʹ,5ʹ:4,5]фуро[3,2-g]хинолин
зируемом Pt/C, выделяется больше аминных соедине-
(XXI).
ний, чем при некаталитическом пиролизе и пиролизе
Разрыв цепи сополимера происходит не толь-
полимера, катализируемом Pd/C, благодаря его высо-
ко на сложноэфирных звеньях (IX), но и в R—N—
кой активности в реакциях аминирования.
OCH2CH2 с образованием продукта (XVIII). Наличие
Добавление катализаторов СаО и ZSM-5 в про-
свободных электронов у атомов азота иминных колец
цессе быстрого пиролиза отходов полиэтиленте-
предопределяет их активность для взаимодействия
рефталата (лицевое ковровое покрытие) позволяло
с другими свободными радикалами, таким образом
значительно увеличивать выход бензола и его произ-
получают продукт (XIX). Под действием свободных
водных за счет снижения концентрации карбоновых
радикалов кислорода и бензольных колец, сформиро-
кислот в жидком продукте, которые подвергались
ванных из бифенильного звена, образуются фурано-
процессам декарбоксилирования в присутствии СаО
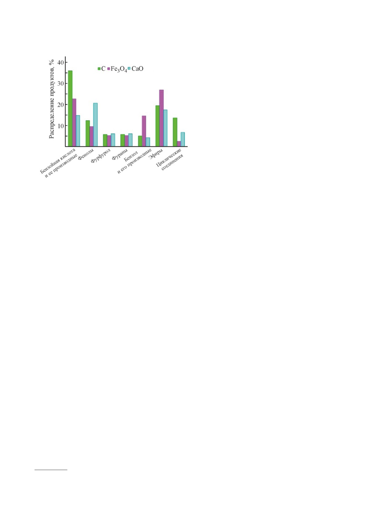
вые кольца (XX). При высокой температуре имидное
и ZSM-5 [54]. ZSM-5 усиливает реакцию циклизации
кольцо разрывается, дальнейшее взаимодействие его
с образованием полиароматических углеводородов, а
с винильным радикалами приводит к формированию
именно индола, нафталинов и бифенилов, тогда как
диизохинолина (XXI).
при пиролизе над CaO образуется значительная доля
Включение Р-содержащего термотропного жид-
кетонов. Использование СаО в качестве катализато-
кокристаллического сополиэфира, использующегося
ра приводит к снижению выхода твердого продукта
в качестве антипирена, в структуру полиэтиленте-
(табл. 10) и резкому росту выхода газовой фракции,
рефталата также приводит к изменению механизма
в основном СО, и пиролизного масла.
термического разложения полимера [60, 61]. Выход
В процессе пиролиза отходов полимера в при-
летучих продуктов, таких как CO, CO2, ацетилен,
сутствии мезопористого катализатора Al-MSU-F
ацетальдегид и др., при пиролизе полиэтилентере-
(500°С, N2) [62] увеличивалась доля бензола, толуо-
фталата составляет 24.5%, при пиролизе антипире-
ла, этилбензола и ксилолов, образованных в резуль-
на — 20.7%, тогда как разложение смеси полимера и
тате декарбоксилирования и декарбонилирования
фосфорсодержащего полиэфира приводило к выделе-
ароматических кислот и эфиров и других тяжелых
нию всего 15.4% летучих соединений, что указывает
пиролизатов (рис. 3). С повышением соотношения
на ингибирование полиэфиром процесса образования
катализатор/сырье выход оксигенатов резко снижал-
горючих продуктов пиролиза.
ся, что можно объяснить эффективной диффузией
крупных реакционных звеньев цепи в мезопоры це-
олита. Поскольку основным продуктом разложения
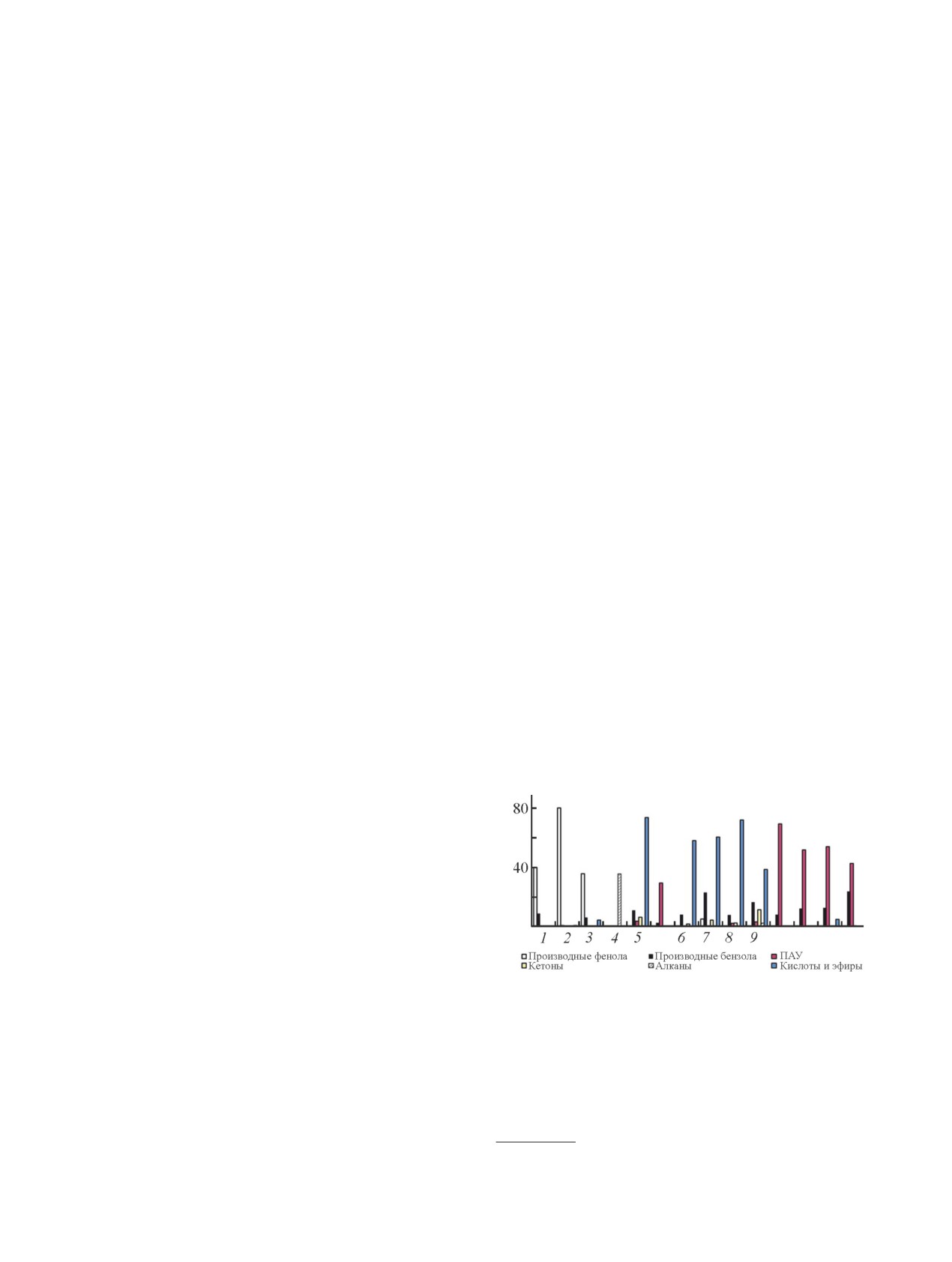
Каталитический пиролиз отходов
полиэтилентерефталата является бензойная кислота,
полиэтилентерефталата
дальнейшее ее декарбоксилирование над катализа-
С целью изучения протекания процесса пироли-
тором приводит к образованию моноароматических
за отходов полиэтилентерефталата (бутылки) (400-
углеводородов, что указывает на определенную се-
800°C, N2, 10 град·мин-1) в присутствии катализа-
лективность Al-MSU-F.
912
Захарян Е. М., Максимов А. Л.
В [63] в процессе пиролиза отходов полиэтилен-
ванного оксида циркония) и Льюиса (атомы цирко-
терефталата над сульфатированным ZrO2 образуется
ния). Активные центры способствуют формированию
до 90-95% воскообразной фракции, состоящей в ос-
карбкатионов на поверхности частицы, образующих-
новном из бензальдегида, ацетофенона, метоксибен-
ся при термическом разложении полимера за счет
зилового спирта, бензоата, бензойной и 2-ацетилбен-
донорства протонов Бренстеда или акцепторов элек-
зойной кислот. Каталитические центры катализатора
тронов Льюиса, создавая активные частицы, кото-
действуют в качестве кислот Бренстеда (протоны на
рые затем расщепляются на более мелкие молекулы.
поверхности и гидроксильные группы сульфатиро-
Использование сульфатированного ZrO2 приводит
Пиролиз полиэтилентерефталата: особенности процесса и состав продуктов реакции (обзор)
913
к снижению ценных ароматических оксигенатов
GdVOx, LuVOx, приводило к изменению состава га-
(табл. 11), при этом значительно возрастает количе-
зообразных продуктов в процессе быстрого пиролиза
ство легких углеводородов (С1-5), восстановленных в
отходов полиэтилентерефталата в кварцевой трубке
газовой фазе: до 21% метана при 600°С (катализатор/
(485°C, скорость нагрева 15 град·с-1) по сравнению
сырье = 10 мас%) и до 11% С2-5 при 450°С (катализа-
с некаталитическим процессом [53]. В присутствии
тор/сырье = 3 мас%).
LaVOx, GdVOx растет доля метана, этилена и пропи-
Использование в качестве катализаторов соеди-
лена за счет снижения концентрации ацетальдегида,
нений редкоземельных металлов, таких как LaVOx, в присутствии LuVOx преобладает синтез-газ и про-
914
Захарян Е. М., Максимов А. Л.
Добавление полиэтилентерефталата в реакционную
смесь и увеличение его доли приводит к росту выхода
пиролизного газа и жидкости за счет снижения доли
полукокса и сажи. Основными компонентами пиро-
лизного газа являются Н2, доля которого варьируется
в пределах 42.13-43.58%, и метан (24.81-28.65%),
количество которых уменьшается с повышением
содержания полимера в смеси. В небольших коли-
чествах образуются этилен (1-3%), этан (3-3.5%),
пропилен (0.8-1.2%), пропан (0.9-1.3%) и С4 (0.3%).
Полученный кокс при пиролизе чистого угля содер-
жит алканы, жирные кислоты и их эфиры, полици-
клические углеводороды, при этом при пиролизе сме-
си угля и полимера жирные кислоты практически не
образуются, что обусловлено синергическим влияем
обоих компонентов смеси, за счет разложения по-
лимера количество карбоновых кислот и их эфиров
повышалось до 49-52%. Доля алканов в составе кок-
Рис. 3. Каталитический пиролиз полиэтилентерефталата
са падает с 85 до 21% при добавлении полимера и
над Al-MSU-F (массовое соотношение полимер:катали-
затор = 1:1, 1:5, 1:10).
увеличении его количества в смеси до 20 мас%, в то
Условия: 0.8 мг образца, 500°С, пиролизер [62].1
время как доля полициклических ароматических со-
единений, в которых преобладал фенантрен (до 83%),
пан, что объясняется электронным строением ред-
растет с 1 до 30%. Кокс, полученный при пиролизе
коземельных металлов и кристаллических структур
смеси уголь/полимер (20%), состоял из полиарома-
LaVOx, GdVOx, LuVOx.
тических соединений, имеющих от 3 до 6 бензоль-
При пиролизе битумизного угля в реакторе с не-
ных колец [пирен, бенз(а)антрацен, хризен, перилен,
подвижным слоем доля кокса достигает 55% [64].
Таблица 10
Продукты медленного пиролиза отходов полиэтилентерефталата (лицевое покрытие и материал подложки ковра)
в микропиролизере при 600ºС в присутствии СаО и ZSM-5 (скорость нагрева 10 град·мин-1) [54]2
Ковровое покрытие
Материал подложки
Выход, %
СаО
СаО
Полукокс
28.73
18.63
20.81
5.1
Газ
8.5
22.31
3.39
17.1
СО
6.03
15.01
1.95
6.11
СО2
1.88
0.46
1.18
0.38
СО2 из СаСО3
5.98
10.03
СН4
0.59
0.86
0.26
0.58
Масло
23.36
37.03
25.98
33.43
Углеводороды
3.93
37.02
7.34
33.42
Оксигенаты
1.91
0.01
1.6
0.01
Тяжелые органические соединения
17.72
17.04
Неидентифицированные соединения
39.21
22.03
49.82
44.37
П р и мечан и е. «—» — не обнаружено.
1 Рисунок заимствован авторами из источника литературы [62] с разрешения © Elsevier. 17.04.2024.
2 Таблица заимствована авторами из источника литературы [54] с разрешения ©American Chemical Society, 2010.
16.04.2024.
Пиролиз полиэтилентерефталата: особенности процесса и состав продуктов реакции (обзор)
915
Таблица 11
Влияние температуры (450-600°С), количества катализатора (0-10 мас%) на состав продуктов (%) пиролиза
отходов полиэтилентерефталата (время пребывания летучих соединений 20 с) [63]1
Температура, °С
450
525
600
Катализатор/сырье
0
3
10
0
0
3
10
Стирол
0.59
1
0.4
0.79
1.22
0.48
0.45
Ацетофенон
1.84
2.21
1.05
1.21
2.1
1.6
1.1
Метоксибензиловый спирт
0.9
0.88
0.04
0.06
0.08
0.92
0.45
Бензоат
1.36
3.15
0.99
2.73
3.22
1.75
0.72
Бензойная кислота
27.13
27.53
25.24
23.91
31.64
19.02
25.91
Ацетилбензойная кислота
1.66
2.93
1.18
1.95
5.88
2.81
2.86
Другие ароматические соединения
1.82
3.71
2.69
3.62
5.21
4.15
6.47
Ароматические соединения
77%
70%
71%
Олефины
22%
30%
28%
П р и мечан и е. «—» — не обнаружено.
бензо(а)пирен, бензо(е)пирен, бензо(ghi)перилен и
лов (терефталонитрил, бензонитрил) растет с 14.57
бензофлуорантены].
до 33.66%, селективность первого превышает 90%.
Путем карбонизации неконденсируемых газов, об-
Варьирование температуры процесса показало, что
разуемых при первоначальном пиролизе полиэтилен-
оптимальной является 550°С — выход нитрилов до-
терефталата при 500°С и дальнейшем каталитическом
стиг 38.7% (селективность терефталонитрила 85%),
риформинге при 400°С, над Ni/CaCO3 в работах [65,
повышение температуры до 700°С приводит к сниже-
66] и карбонизации полимера при 900°С в инертной
нию доли нитрилов в продуктах до 17%.
атмосфере [67] были получены наноструктурирован-
Пиролиз же отходов полимера (бутылки) в атмос-
ные пористые углеродные частицы, которые исполь-
фере СО2 в кварцевой трубке [71] сопровождался
зуют при создании электродных материалов. В [68]
образованием большего количества газообразных
полиэтилентерефталат был преобразован в графит с
продуктов по сравнению с пиролизом в N2 (71.5 и
помощью пиролиза при 900°С с последующей ката-
63.8 мас% соответственно), тогда как доля масла сни-
литической графитизацией при 2400°С в присутствии
жалась (13.3 и 21.6 мас%). Значительно повлияла при-
бора. Переработка отходов полимера путем пиролиза
рода продувочного газа и на состав пиролизного мас-
при 500°С в среде N2 с последующей химической
ла: выход производных бензола снизился с 65.1 (N2)
активацией в присутствии K2CO3 [69] приводит к
до 59.2 мас% (СО2), содержание линейных углеводо-
образованию активированного пористого угля, имею-
родов, наоборот, увеличилось с 3.6 до 13.9 мас%, доля
щего иерархическую структуру, который может быть
кислот уменьшилась с 9.4 до 6.9 мас%. Проведение
использован в качестве компонента композитного
процесса пиролиза отходов полиэтилентерефталата в
катодного материала Li-S аккумуляторов.
атмосфере Н2, так называемое ожижение [72], в ми-
Каталитическое in situ разложение отходов поли-
крореакторе (500°С, скорость нагрева 5 град·мин-1,
этилентерефталата в присутствии γ-Al2O3 с добав-
1 ч) способствовало росту выхода жидкого продукта
лением мочевины в вертикальном реакторе иссле-
(27% в среде Н2 и 15% в среде N2) за счет снижения
довали в [70] (500-700°С, скорость нагрева 10, 20
доли твердой фракции (41 и 53% соответственно),
и 30 град·мин-1, Ar). На первой стадии (140-320°С)
тогда как выход газовой фракции не изменялся (32%).
около 60% мочевины разлагается с образованием
Основными компонентами газовой фракции при N2
NH3 и HCNO. Повышение температуры (320-500°С)
являлись метан (50%), этан (16%), пропан (16%), в
приводит к разложению HCNO, биуретанов до NH3
незначительных количествах были образованы эти-
и CO2. С увеличением доли мочевины в смеси с мас-
лен, пропилен, бутены и бутаны. Использование же
совым соотношением от 0.5:1 до 2:1 выход нитри-
Н2 в качестве реакционной среды сопровождалось
большим выделением пропана (25%), доля метана
составила 52%, пропана — 18%, бутены и бутаны —
1 Таблица заимствована авторами из источника лите-
ратуры [63] с разрешения © Elsevier. 17.04.2024.
5%. Также Н2 оказал влияние и на состав пиролизно-
916
Захарян Е. М., Максимов А. Л.
го масла: доля ароматических соединений снизилась
500°С — с 47.37 до 57.8%, увеличение массы катали-
с 32.7 до 22 мас% (концентрация ароматических сое-
затора (1-5% по массе) — с 45.3 до 55.04%. Жидкий
динений с одним бензольным кольцом уменьшилась с
продукт, полученный в результате процесса в отсут-
11.1 до 8.2 мас%, с двумя бензольными кольцами — с
ствие катализатора, содержал больше кислородсо-
13.9 до 11.4 мас%, с тремя бензольными кольцами —
держащих продуктов (кетонов, спиртов и кислот) по
с 7.7 до 2.4 мас%).
сравнению с продуктами, образованными в присут-
ствии катализаторов (рис. 4). Пропитка 10 мас% NiO
катализатора HZSM5-70 приводила к формированию
Двустадийная переработка отходов
большего количества кислотных центров Льюиса и
полиэтилентерефталата
Бренстеда в катализаторе по сравнению с HZSM5-70,
В работе [73] каталитическому риформингу в
каталитические свойства которых в процессах де-
трубчатом реакторе с неподвижным слоем в присут-
гидратации, декарбоксилирования и декарбонили-
ствии HZSM5-70 и NiO/HZSM5-70 подвергали масло
рования способствовали значительному снижению
(ρ = 878 кг·м3, вязкость — 1.85 сСт), полученное в
доли кислородсодержащих соединений в пиролизном
результате пиролиза 2 кг отходов полиэтилентере-
масле. Увеличение образования бензиновой фракции
фталата в ректоре периодического действия (450°С,
(C5-12) за счет снижения доли дизельной фракции
скорость нагрева 40 град·мин-1, 3 ч, N2). Увеличение
(C13-19) и доли тяжелых летучих продуктов (C20+)
содержания пропитки NiO в катализаторе с 2 до
объясняется процессом случайного разрыва С—С-
10 мас% позволило повысить выход газовой фракции
связей макромолекулярных полимеров с образова-
с 41.85 до 51.75%, повышение температуры с 400 до
нием углеводородов с более короткой длиной цепи.
Рис. 4. Распределение относительных соединений из жидких продуктов (класс соединений и селективность угле-
водородной фракции) [73].1
1 Рисунок заимствован авторами из источника литературы [73] с разрешения © Elsevier. 17.04.2024.
Пиролиз полиэтилентерефталата: особенности процесса и состав продуктов реакции (обзор)
917
В процессе пиролиза отходов полиэтиленте-
Быстрый пиролиз смеси полиэтилентерефта-
рефталата в двухступенчатой реакторной системе
лата и полиамида-6,6 (массовое отношение = 1:1)
с неподвижным слоем (500°С, скорость нагрева
и при 500°С [76] приводит к образованию различ-
10 град·мин-1, массовое соотношение сырье:ката-
ных бензонитрилов, амидов и аминов, продуктов
лизатор = 1:2) [74] выделяющиеся летучие соедине-
взаимодействия промежуточных соединений в ре-
ния на первом этапе подвергались каталитическому
зультате разложения обоих полимеров: бензонитри-
крекингу в присутствии цеолитного катализатора
ла, метилбензонитрила, этилбензонитрила, дици-
ZSM-5 с образованием 39.6% полукокса, 38.1% масла
анбензола, бензамида, цианобензойной кислоты,
и 24.4% газа, состоящего из СО2, углеводородов С1-4,
N-гексилбензамида, 4-формилбензонитрила, его
СО и Н2. Пиролизное масло содержало ароматиче-
N-алкильного ряда от метила до гексила. Так, напри-
ские соединения (100%), кислородсодержащие соеди-
мер, в результате взаимодействия бензойной кислоты
нения (11%), в основном терефталевую и бензойную
из полиэтилентерефталата и 1-гексанамина из полиа-
мида-6,6 формируется N-гексилбензамид.
(3.5%), ароматические соединения с одним бензоль-
Влияние поливинилхлорида на разложение поли-
ным кольцом (61.9%) и с двумя (34.6%).
этилентерефталата (50 мас%:50 мас%) было изу-
чено в [77] при 450°С в лабораторном автоклаве.
Поскольку при низких температурах (до 350°С)
Некаталитический пиролиз смеси полимеров
сначала протекает дегидродехлорирование поливи-
Поскольку в легкой, пищевой, текстильной про-
нилхлорида, выделяющийся HCl начинает взаимо-
мышленности, в строительной отрасли, в машино-
действовать со звеньями полиэтилентерефталата,
строении, в медицине используют, как правило, не
деградация которого происходит уже при 450°С, с
чистый полиэтилентерефталат, а его смеси с дру-
образованием хлорированных сложных эфиров. В ре-
гими полимерами, такими как полиамиды [75, 76],
зультате пиролиза смеси полимеров (1:1) полученные
поливинилхлорид [77, 78], полимеры, содержащие
продукты представляли собой бис-(2-хлорэтокси)-ме-
бромированные антипирены [79-81], полиэтилен
тан (0.8%), этиловые эфиры 4-хлор- и 3-хлорбензой-
[82], полипропилен [83] и др., возникают сложности
ной кислоты (<0.3), 2-хлорэтиловый эфир бензойной
при совместной переработке отходов полиэтиленте-
(11.2%), 4-метилбензойной (2.2%), 4-хлорбензойной
рефталата с другим полимерами, одним из вариантов
(0.4%), 4-формилбензойной (6.3%) кислот, 2-хлор-
утилизации которых является пиролиз [75-87].
этил-метиловый эфир (1.3%), 2-хлорэтил-этиловый
Снижение температуры максимального разло-
эфир (12.1%), моно- (5.4%) и ди-2-хлорэтиловый
жения смесей полиэтилентерефталат:полиамид-6
эфир (30.4%) терефталевой кислоты. Образование
(массовое соотношение = 3:1, 1:1, 1:3) [75, 76] по
хлорэфиров обусловлено взаимодействием выделяю-
сравнению с температурой разложения чистых поли-
щегося HCl с терефталевой и бензойной кислотами и
меров обусловлено синергическим эффектом взаимо-
последующим их разложением (X) [78].
действия полимеров при их совместной переработке:
Медленный пиролиз смеси полиэтилентерефта-
Tmax (полиэтилентерефталат) = 428.9°C, Tmax (поли-
лата и поливинилхлорида (50 мас%:50 мас%) при
амид-6) = 439.6ºС, в то время как Tmax смесей поли-
350°С в реакторе с неподвижным слоем приводил
меров с соотношением 3:1, 1:1, 1:3 составляет 401.9,
к образованию 0.54% 2-хлорэтилбензоата, 0.14%
384.2 и 389.9°С соответственно при скорости нагре-
2-хлорэтилового эфира и 58.08% ди(2-хлор)этило-
ва 5 град·мин-1. Увеличение скорости нагрева до
вого эфира терефталевой кислоты в масле (скорость
50 град·мин-1 приводит к повышению температуры
нагрева 20 град·мин-1, N2) [78]. Таким образом, доля
максимального разложения до 457.2, 437.4 и 445.1°С
хлорорганических соединений в жидком продукте
для смесей полимеров с 3:1, 1:1, 1:3 и до 469.5°С для
достигала 58.75%.
полиэтилентерефталата и 490.1°С для полиамида-6.
Добавление полиэтилентерефталата к бромиро-
В процессе пиролиза смеси полимеров в результате
ванному полистиролу, содержащему 10.8% брома
взаимодействия первичных и вторичных аминов с
в виде декабромдифенилового оксида и синергиста
соединениями, содержащими карбоксильную группу,
оксида сурьмы (5%), приводило к снижению средне-
образуются амиды, которые в свою очередь подвер-
го углеродного числа пиролизных продуктов с 12.5
гаются реакции дегидратации с выделением бензо-
до 9.1 [79]. Основными компонентами жидких про-
нитрила, 2-метилбензонитрила, 4-цианобензойной
дуктов являлись углеводороды С7-25 с пиками С9 и
кислоты, которые не были обнаружены при разложе-
С17, соответствующие мономеру и димеру стирола.
нии чистых полимеров.
Наличие полиэтилентерефталата в термическом про-
918
Захарян Е. М., Максимов А. Л.
Пиролиз полиэтилентерефталата: особенности процесса и состав продуктов реакции (обзор)
919
цессе разложения смещает образование компонентов
разованию помимо указанных ранее компонентов
пиролизного масла в сторону низкомолекулярных
бромированных соединений (I-V), структура которых
продуктов, что обусловлено взаимодействием моно-
представлена на рис. 5.
мерных звеньев полимеров. При термическом пиро-
Взаимодействие HCl, выделяемого из поливи-
лизе чистого бромированного полистирола основным
нилхлорида [77], с продуктами разложения поли-
бромсодержащим соединением являлся SbBr3 в пи-
этилентерефталата протекало с образованием хлор-
ролизном масле (114 000 ppm). Присутствие поли-
этилена, хлорбензола, хлорбензойной кислоты и
этилентерефталата (20 мас%) подавило образование
хлорированных соединений (I-V) [81]. Отщепление
SbBr3 в жидкой фазе (данный бромид был обнаружен
одного или нескольких атомов Br в молекуле анти-
в твердом остатке), но в масле был идентифицирован
пирена приводит к выделению бромзамещенных
бромбензол и растворенный HBr (43 700 ppm).
фенолов, а посредством реакции выделяемого бро-
Перекрытие температурных диапазонов разложе-
ма и хлора и метильного, этильного и фенильного
ния полиэтилентерефталата и бромированной эпок-
радикалов, формирующихся при быстром пиролизе
сидной смолы в результате их совместного пиролиза
полимеров, образуются бром-/хлорметан, этилен,
(800°С, скорость нагрева 10 град·мин-1, N2) [80] при-
бензол и т. д. Поскольку хлора в поливинилхлориде
водит к усилению взаимодействия радикалов и про-
содержится больше, чем брома в бромированном
межуточных продуктов: количество бромированных
сополимере, то и количество образованных хлори-
фенолов, образующихся в результате совместного
рованных продуктов будет превышать количество
пиролиза, превышает их количество, полученное при
бромированных при пиролизе смеси, состоящей из
разложении только эпоксидной смолы.
полиэтилентерефталата, поливинилхлорида и бро-
В работе [81] изучался синергический эффект,
мированного акрилонитрилбутадиен-стирольного
наблюдаемый при разложении различных смесей
сополимера.
акрилонитрилбутадиен-стирольного сополимера, со-
Снижение температуры максимальной массопоте-
держащего антипирент на основе бромированной
ри при разложении отходов многослойной упаковки
эпоксидной смолы и синергиста Sb2O3, полиэтилен-
пищевых продуктов, внешний слой которой содер-
терефталата и поливинилхлорида в пиролизере при
жит полиэтилентерефталат, внутренний — поли-
600°С. Среди пиролизных продуктов обнаружено бо-
этилен, до 438°С по сравнению пиковой температу-
лее 40 галогенсодержащих органических соединений,
рой полиэтилентерефталата (452°С) и полиэтилена
образование которых обусловлено взаимодействием
(485°С) связано с синергическим эффектом [82].
мономеров и галогенов между собой.
Уменьшение концентрации алифатических углево-
При разложении бромированного полимера в ка-
дородов в продуктах пиролиза отходов с повышением
честве галогенорганических соединений образуются
температуры (табл. 12) можно объяснить усилением
продукты взаимодействия брома с мономерными
процесса циклизации при более высоких температу-
звеньями сополимера — бромметан, бромэтилен,
рах (>750°С), что в свою очередь приводит к росту
бромбензол, бромтолуол, бромфенол, дибромтолуол,
выхода алициклических и моноароматических угле-
дибромфенол, триброфенол, а также продукты разло-
водородов. Образование средне- (1-нонанол, 1-унде-
жения антипирена — бромированные бисфенолы А.
канол, 1-додеканол, 1-тетрадеканол, 1-пентадеканол)
Добавление к акрилонитрилбутадиен-стирольному
и длинноцепочечных спиртов (гексакозанол, гепта-
сополимеру полиэтилентерефталата приводит к об-
козанол, октакозанол) может быть связано с реакци-
Рис. 5. Структура хлорированных и бромированных соединений, образуемых в результате пиролиза поли-
этилентерефталата и бромированного акрилонитрилбутадиен-стирольного сополимера.
920
Захарян Е. М., Максимов А. Л.
Таблица 12
Продукты быстрого пиролиза отходов многослойной упаковки пищевых продуктов (450-900°С, скорость нагрева
10 град·мин-1, 90 c, N2) [82]1
Функциональные группы
550°С
650°С
750°С
850°С
Алканы
13.6
4.5
5.1
1.7
Алкены
9.8
32.5
19.0
29.2
Алкадиены
8.0
11.1
14.7
10.8
Спирты
30.3
14.2
35.8
19.5
N-Содержащие соединения
9.9
9.7
1.2
5.0
Алициклические соединения
3.2
4.1
6.4
12.7
Бензол, толуол, ксилол, этилбензол
0.2
0.5
3.3
8.6
Кислородные ароматические соединения
1.9
0.8
1.5
2.8
ей длинноцепочечных углеводородных фрагментов
газовой фракции, 40 мас% масла и 18 мас% полукокса
полиэтилена с кислородсодержащими фрагментами
(1 кг, 450°С, скорость нагрева 10 град·мин-1, 75 мин)
полиэтилентерефталата. Образование азотсодержа-
[84]. В составе пиролизного масла были обнаружены
щих соединений, в том числе капролактама, можно
терефталевая кислота (18.3%), октадекаметилцикло-
объяснить наличием полиамидов, которые добавляют
насилоксан (13.4%), эйкозаметилциклодекасилок-
в полимерный материал для влагостойкости.
сан (7.9%), стигмаста (7%), бета-ситостерин (5.8%),
Совместный пиролиз смеси полипропилена и
фенантрен (5.3%), фенол ( 5%), бифенил (4.2%) и
полиэтилентерефталата (450°С, скорость нагрева
5ʹ-фенил-терфенил (3.1%).
10 град·мин-1, скорость потока пара 0.05, 0.1, 0.2
Разложение смеси, состоящей из 45 мас% полиэти-
и 0.4 мл·мин-1, скорость потока N2 30 мл·мин-1) в
лена, 20 мас% полипропилена, 20 мас% полистирола
атмосфере пара приводит к ингибированию чрезмер-
и 15 мас% полиэтилентерефталата, в реакторе с псев-
ного разложения полиэтилентерефталата, что способ-
доожиженным слоем SiO2 при 600°С в атмосфере N2
ствует росту выхода терефталевой кислоты [83]. При
протекает с образованием до 45% масла, основными
паровом пиролизе чистого полиэтилентерефталата
компонентами которого являлись С5-7-алифатические
выход твердого остатка составляет 72.5%, который
соединения, и 36% воска [85]. Высокие выходы сти-
увеличивается при добавлении полипропилена (мас-
рола обусловлены разложением полистирола в со-
совое соотношение полипропилена и полиэтилен-
ставе смеси. Проведение процесса в атмосфере пара
терефталата = 1:5) и достигает 85%, выход чистой
(соотношение пар:N2 = 2:1) способствовало незначи-
терефталевой кислоты при этом составляет 67.1%.
тельному росту выхода масла, доля ароматических
При разложении чистого полиэтилентерефталата
соединений в котором увеличилась до 16%, а имен-
образуется 59.2 об% СО2 и 31.6 об% СО, тогда как
но за счет роста выхода стирола. Преобладающими
добавка полипропилена приводит к большему выде-
продуктами газовой фазы во всех случаях являлись
лению СО (62.8 об%) по сравнению с СО2 (26.8 об%).
бутены. Повышение температуры процесса пиролиза
Разложение смеси в атмосфере пара сопровождается
до 700°С привело к увеличению выхода газовой фрак-
выделением большего количества CO2 (47.8 об%),
ции до 51% в основном благодаря процессу крекинга,
меньшего количества CO (27.2 об%) и ростом выхода
сопровождающегося выделением больших количеств
пропилена с 1 до 13.8 об%. Это указывает на то, что
метана, этилена, пропилена и бутенов, в среде N2 и до
во время совместного пиролиза полимеров полипро-
60% в среде пара и соответственно снижению выхода
пилен крекируется до пропилена благодаря каталити-
фракции воска. В результате процессов ароматиза-
ческому эффекту терефталевой кислоты.
ции и карбонизации, протекающих при повышенных
Пиролиз смеси полистирола, полиэтилена, поли-
температурах, были образованы ксилолы, различные
пропилена и полиэтилентерефталата в массовом со-
нафталины, бифенилы, увеличился выход бензола и
отношении 2:1:1:1 приводил к образованию 42 мас%
толуола, в то время как алифатических соединений с
С9, С13-17 обнаружено не было.
При повышении температуры мгновенного пи-
1 Таблица заимствована авторами из источника лите-
ратуры [82] с разрешения © Elsevier. 17.04.2024.
ролиза от 550 до 600°С модельной смеси (30 мас%
Пиролиз полиэтилентерефталата: особенности процесса и состав продуктов реакции (обзор)
921
полипропилена, 45 мас% полиэтилена, 10 мас% по-
зола и стирола снижается с 13 до 6 и с 16 до 7 мас%
листирола, 15 мас% полиэтилентерефталата) в ат-
соответственно.
мосфере Не [39] наблюдается рост доли жидкой и
В работах [86, 87] был проведен пиролиз поли-
газовой фракций соответственно с 26 до 32 мас%
этилентерефталата, а также его смеси (табл. 13) с
и с 61 до 63 мас% и снижение доли фракции воска
другими полимерами (полипропилен, полистирол,
с 11 до 3 мас%, что можно объяснить увеличением
полиэтилен, поливинилхлорид) в лабораторном вер-
количества свободных радикалов при добавлении
тикальном двухкамерном реакторе при трех темпера-
полистирола в смесь, за счет чего ускоряется про-
турах (500, 700, 900°С) для сравнения качественного
цесс разложения полимеров. При 550°C происхо-
и количественного состава газовой фракции.
дит образование новых продуктов, которые не были
Во всех экспериментах повышение температуры
обнаружены при разложении отдельных полиме-
приводило к росту выхода газообразных продуктов
ров, таких как 4-метил-3-пентен-2-ол и 1,4-цикло-
посредством крекинга компонентов жидкой фазы и
гексадиен. Ароматические соединения составляют
в основном соединений, входящих в состав твердо-
59 мас% пиролизного масла, полученного при 550°С.
го остатка (табл. 13). Благодаря наличию в смесях
Повышение температуры с 550 до 600°С приводит
других полимеров помимо полиэтилентерефталата
к увеличению количества С7-соединений, а именно
были получены углеводороды, содержащие от 3 до
толуола, с 24 до 61 мас%, тогда как количество бен-
6 атомов углерода, которые при пиролизе чистого
Таблица 13
Выход пиролизных фракций, полученных при пиролизе полиэтилентерефталата и смесей, содержащих полимер,
состав газовой фазы в зависимости от температуры (0.5 г, 1 ч, скорость потока Не 200 мл·мин-1, 500-900°С) [87]1
ПЭТ
Смесь 1
Смесь 2
Смесь 3
Выход, %
500°С
700°С
900°С
500°С
700°С
900°С
500°С
700°С
900°С
500°С
700°С
900°С
Газы
18.8
31.6
56.4
9.3
27.6
53.4
13.4
30.9
54.7
10
31.2
56.5
Масло
17.8
14.4
14.6
17.6
23.8
24.2
12.9
17.5
21.3
11.7
21.6
19.7
Остаток
63.4
54
29.1
73.3
48.6
22.3
73.7
51.6
24
78.3
47.2
23.7
Газовая фракция
СО
37.8
41.2
34.5
35
15.1
11.3
41.3
19.5
13.8
33
13.4
10.2
Н2
6.7
12.7
19.5
7.4
19.2
8.4
13.5
6.8
14.6
СН4
1.2
7.5
9.7
5.3
14
25
5.5
13.8
22.9
5.9
14.5
22.7
С2Н4
3.3
4.4
2.5
3.8
15.7
22.7
4
14.4
22.5
5
18.6
17.1
С2Н6
0.1
0.3
0.1
3.2
6.7
4
2.6
6.8
4
3.8
7.1
3.5
С3Н6
0.2
0.4
0.1
9.3
16.7
9.1
5.5
13.1
9.2
8.8
15.6
10
С3Н8
2.3
1.4
0.6
1.9
1.6
0.3
3.1
1.6
0.4
С4Н8
0.1
0.1
2.1
8.5
4.1
1.5
5.6
4.2
2.9
8.7
4.9
С4Н10
1.2
0.8
0.3
1.1
0.8
0.3
1.9
1
0.4
С5Н8
8.2
2.5
0.5
4.2
1.8
0.6
6.5
2.1
0.7
С5Н10
1.1
2.1
0.5
0.4
1.4
0.6
1.4
2.8
0.7
С5Н12
0.7
0.4
0.6
0.4
0.9
0.4
С6Н12
2.8
2.2
1.2
1.6
0.2
2.2
1.3
0.2
СО2
49.8
33
25.6
25.6
6.1
2.4
30.9
10
7.6
25.5
5.1
4.3
П р и м еч а н и е. «—» — не обнаружено; ПЭТ — полиэтилентерефталат; смесь 1 — 16.9 мас% полиэтилентере-
фталата, 22.83 мас% полипропилена, 32.57 мас% полиэтилена, 6.13 мас% поливинилхлорида, 21.56 мас% полистирола;
смесь 2 — 22.88 мас% полиэтилентерефталата, 14.89 мас% полипропилена, 31.97 мас% полиэтилена, 14.05 мас% по-
ливинилхлорида, 16.2 мас% полистирола; смесь 3 — 15.35 мас% полиэтилентерефталата, 17.95 мас% полипропилена,
48.33 мас% полиэтилена, 7.16 мас% поливинилхлорида, 11.21 мас% полистирола.
1 Таблица заимствована авторами из источника литературы [87] с разрешения © Elsevier. 17.04.2024.
922
Захарян Е. М., Максимов А. Л.
полимера не образовывались. Среднее содержание
полимеров получены не были, что указывает на опре-
углеводородов при разложении полиэтилентерефтала-
деленный синергический эффект. Снижение выхода
та не превышало 10%, тогда как при пиролизе смесей
кокса, СО и алифатических алканов и олефинов при
достигало 59.24% (1), 51.5 (2) и 62.2 (3). В газовой
совместном разложении полимеров связано с тем, что
фракции преобладал метан, содержание которого
радикалы водорода, образующиеся при ароматизации
увеличивалось с повышением температуры: до 9.7%
олефинов из полиэтилена, и алкены взаимодейство-
при пиролизе полиэтилентерефталата, до 25% —
вали с бензильными радикалами из полиэтиленте-
смеси 1, до 22.9% — смеси 2 и до 22.7% — смеси 3.
рефталата с образованием алкилированных бензолов.
Также с ростом температуры растет выход водорода
Влияние скорости нагрева и наличия катализатора
(его значение равно нулю при пиролизе смесей при
FCC исследовали при пиролизе смеси полиэтиленте-
500°С) и падает доля СО2, образование которого про-
рефталата и полиэтилена низкой плотности, доля пер-
исходит благодаря разрыву метоксикарбонильной
вого в которой составляла 27.1% [88]. На первом эта-
связи полиэтилентерефталата, входящего в состав
пе проводился пиролиз смеси (медленный: скорость
каждой из смесей.
нагрева 10 град·мин-1 до 500°C, 30 мин; быстрый
пиролиз: 500°C, 30 мин), продукты которого обла-
гораживали в присутствии катализатора FCC. При
Каталитический пиролиз смеси полимеров
некаталитическом пиролизе больший выход пиролиз-
В присутствии цеолита HZSM-5 [26] совместный
ного масла достигается в режиме медленного нагрева,
пиролиз смеси полиэтилена (полимера с высоким
тогда как присутствие FCC способствует снижению
содержанием водорода) и полиэтилентерефталата
выхода масла на 12.7 и 13.3 мас% в процессе мед-
(полимера с дефицитом водорода) сопровождается
ленного и быстрого пиролиза (рис. 6, а). Медленный
образованием большего количества ароматических
нагрев смеси способствует процессу карбонизации
углеводородов (бензол, толуол, этилбензол, стирол,
продуктов разложения восков из полиэтилентерефта-
индан, инден, 1,2,3-триметилбензол и др.) по срав-
лата, что приводит к росту выхода полукокса. Более
нению с пиролизом отдельных полимеров. Так, в
низкие концентрации кислородсодержащих соедине-
процессе мгновенного сопиролиза полиэтилена и
ний в маслах и восках каталитического пиролиза сме-
полиэтилентерефталата в продуктах были идентифи-
си в режиме быстрого нагрева указывают на большую
цированы флуорен, 3-метил-1Н-инден и 2-метилан-
дезоксигенирующую способность отработанного ка-
трацен, которые в продуктах разложения отдельных
тализатора FCC (рис. 6, б).
Рис. 6. Распределение продуктов пиролиза смеси полиэтилентерефталата и полиэтилена низкой плотности (а), ба-
ланс кислорода в продуктах пиролиза смеси полиэтилентерефталата и полиэтилена низкой плотности (б) (500°C)
(некат. — некаталитический, кат. — каталитический пиролиз) [88].1
1 Рисунок заимствован авторами из источника литературы [88] с разрешения © Elsevier. 17.04.2024.
Пиролиз полиэтилентерефталата: особенности процесса и состав продуктов реакции (обзор)
923
Доля алифатических соединений в пиролизном
ям ароматизации и бимолекулярной конденсации, и
масле составляет более 70 мас%, а доля кислородсо-
размером пор катализатора. Высокую селективность
держащих соединений — более 15 мас%. Кислотные
(48%) по отношению к алифатическим углеводородам
центры Льюиса и Бренстеда катализатора FCC способ-
С3-7 (изобутан, изопентан, пентан, 1,1-диметилцикло-
ствуют процессам циклизации и дезоксигенации али-
пропан, метилпентаны, 2,3-диметил-1-бутен, метил-
фатических и кислородсодержащих соединений, бла-
циклопентан) продемонстрировал HY, обладающий
годаря чему растет выход ароматических соединений.
меньшим размером пор по сравнению с HZSM-5 и
Наименьшее количество кислородсодержащих соеди-
Hβ. Высокое количество полициклических углеводо-
нений и наибольшее количество ароматических соеди-
родов (25.1%), образующихся с использованием Hβ,
нений наблюдаются при быстром каталитическом пи-
можно объяснить наличием относительно большего
ролизе, что указывает на выраженный каталитический
количества сильных кислотных центров и большим
эффект катализатора FCC в режиме быстрого нагрева.
размером пор, чем у цеолитов HZSM-5 (12.4%) и HY
Влияние полиэтилентерефталата на каталитиче-
(6.4%). Исследование условий пиролиза показало, что
ский пиролиз полистирола над 20 мас% Al-Al2O3
максимальный выход бензола, толуола, этилбензола
в кварцевом реакторе исследовали в [89]. Добавка
и ксилолов (16.1 мас%) достигался в присутствии
полиэтилентерефталата приводила к снижению доли
HZSM-5 при температуре 550°C и массовом соотно-
пиролизного масла до 76.4% в случае смеси, содержа-
шении сырья и катализатора 1:15.
щей 10% полимера, и до 22.5% в случае смеси, в ко-
Свободные радикалы, образующиеся при разло-
торой доля полиэтилентерефталата составляла 30%,
жении вискозных волокон, способствуют разложе-
по сравнению с 92.7% при пиролизе чистого поли-
нию и деполимеризации полиэтилентерефталата в
стирола за счет увеличения газообразных продуктов.
процессе сопиролиза, что приводит к снижению его
Основными компонентами во всех экспериментах
начальной температуры разложения [90]. В результа-
являлись С6-9-соединения, имеющие в составе бен-
те процесса деоксигенации продуктов перекрестного
зольное кольцо, поскольку и полистирол, и поли-
взаимодействия промежуточных продуктов разложе-
этилентерефталат содержат ароматическое кольцо в
ния полимеров существенно снижалось содержание
своей структуре. Добавление 10 мас% полиэтилен-
кислородсодержащих продуктов, а именно фенолов
терефталата к полистиролу способствует резкому
и спиртов, кислот и сложных эфиров, альдегидов
росту выхода димеров стирола (до 18.5%), тогда как
и кетонов и фуранов. В присутствии катализатора
при пиролизе чистого полимера в продуктах преоб-
ZSM-5 образование моноциклических ароматических
ладал в основном стирол. Взаимодействие бензиль-
углеводородов росло с 32.87 до 74.27%, тогда как
ных радикалов, образующихся в результате крекинга
доля полициклических ароматических углеводородов
полиэтилентерефталата, и этилена/ацетилена из по-
падала с 67.11 до 25.71%, что указывает на опреде-
листирола (основной компонент разложения стирол)
ленную селективность ZSM-5.
путем реакций сшивания, изомеризации, циклизации
В результате каталитического пиролиза смеси по-
и ароматизации в присутствии катализатора приводи-
липропилена и полиэтилентерефталата в присутствии
ло к образованию новых органических соединений —
20 мас% TiO2/SiO2 в вертикальном трубчатом реакто-
замещенных алкилированных бензолов, нафталинов,
ре образуется до 70% масла, в котором преобладали
антраценов, фенантрена, терфенилов и бис-бензолов,
С8- и С18+-углеводороды (425°С, N2) [91]. Их доля
содержащих от 10 до 24 атомов углерода.
росла с повышением количества полиэтилентерефта-
Пиролиз отходов многослойной упаковки пище-
лата в пиролизуемой смеси. Добавление катализатора
вых продуктов, состоящей из полиэтилентерефта-
в систему и увеличение соотношения со смесью при-
лата и полиэтилена (450-850°С, скорость нагрева
водит к большему образованию газообразных продук-
10 град·мин-1, 90 c, N2) [82], в присутствии цеолитов
тов, в основном С3-5, за счет крекинга компонентов
HZSM-5, HY и Hβ приводит к существенному росту
пиролизного масла.
выхода моно- и полициклических ароматических
Основными компонентами жидких продуктов пи-
углеводородов по сравнению с некаталитическим
ролиза бромированного ударопрочного полистирола
процессом. Доля моноциклических ароматических
и полиэтилентерефталата являлись углеводороды
углеводородов, таких как бензол, толуол, этилбензол
С7-25 с пиками С9 и С17, соответствующие мономеру
и ксилол, при использовании цеолитов снижалась в
и димеру стирола [79]. Использование катализаторов-
ряду HZSM-5 (14.9 мас%) > HY (8.1 мас%) > > Hβ
сорбентов HBr привело к значительному снижению
(7.8 мас%) при 650°C, что связано с наличием и плот-
доли брома в продуктах — до 24 500 ppm над Ca/C
ностью кислотных центров, способствующих реакци-
и до 15 800 ppm над Fe/C по сравнению с пиролизом
924
Захарян Е. М., Максимов А. Л.
чистого бромированного полистирола (114 000 ppm)
La, Mg и Mn), при пиролизе смеси отходов поли-
и смеси (43 700 ppm).
этилена низкой плотности (14 мас%), полиэтиле-
В присутствии в качестве катализатора глины
на высокой плотности (17 мас%), полипропилена
(гидрофильный бентонит, монтмориллонит, каолин,
(19 мас%), полиэтилентерефталата (45 мас%) и дру-
гидротальцит) в процессе пиролиза смеси полиме-
гих полимеров (5 мас%) в горизонтальной трубчатой
ров (40 мас% полиэтилена, 20 мас% полипропиле-
печи и различных условий (температура, природа
на, 20 мас% полистирола, 20 мас% полиэтилентере-
газа-носителя) на выход синтез-газа проводили в [93].
фталата) растет доля жидких продуктов, в том числе и
Повышение температуры и концентрации О2 в реак-
восков (500°С, катализатора:сырье = 1:10, 1 ч, N2) [92].
ционной среде способствует росту выхода газовой
Использование глин позволило получать больше жид-
фракции: 22.4-35.8% при 550°С, 71.8-79.6% — при
ких продуктов, чем газообразных. Добавка гидроталь-
850°С при соотношении 95%/5% N2/O2 и 25.8-37.1%
цита в процессе пиролиза приводила к снижению доли
при 550°С и 73.1-80.5% при 850°С при соотношении
воска в жидких продуктах с 34 до 18 мас%, тогда как
N2/O2 90%/10%. Наибольший выход газовой фракции
в присутствии гидрофильного бентонита и каолина
наблюдался при использовании Ni/ZSM-5 при 850°С,
наблюдается заметное увеличение выхода парафина
тогда как промотирование La и Mg катализатора Ni/
(47 и 48 мас% соответственно), что, вероятно, свя-
ZSM-5 позволило получить больший выход газовой
зано с реполимеризацией молекул жидкого масла,
фракции уже при 550°С. Самый высокий выход жид-
катализируемой сильными кислотными центрами
кого продукта (63.1%) был получен при пиролизе
этих глин. Наибольшая доля газовой фракции была
смеси в отсутствие катализатора при 550°C (N2/O2
получена над гидрофильным бентонитом (23 мас%).
95%/5%). Крекирующая активность катализаторов
Основными компонентами жидких продуктов яв-
обусловлена значительной кислотностью носителя
лялись фракции C5-11 (бензиновая фракция), C12-20
ZSM-5, которая способствует образованию первич-
(дизельная фракция) и C20+ (тяжелые углеводороды).
ных ионов, катализирующих дальнейшее ионно-и-
Наличие большего числа кислотных центров и пор
нициируемое разложение углеводородов, в особен-
большего размера в структуре каолина и монтморил-
ности за счет β-разрыва, с ростом выхода газовой
лонита способствовали разложению более крупных
фракции и снижением доли пиролизного масла.
молекулярных полимеров с образованием компонен-
Промотирование катализатора Mn приводит к росту
тов бензиновой фракции. На высокие каталитические
выхода масла до 51.6% при 550°C, а Ce — до 9.7%
свойства глин указывает также резкое снижение доли
при 850°C. Выход жидкого продукта уменьшается в
CO2 и рост содержания углеводородов, таких как
ряду Mn > Ce > Ca > Mg > La при 550°С и в порядке
CH4, C2H4, C2H6, C3H6 и C4H10.
Ce > La > Ca > Mn > Mg при 850°С.
Использование СаО вместо SiO2 при пиролизе
Использование цеолитного катализатора благодаря
смеси, состоящей из 45 мас% полиэтилена, 20 мас%
его крекирующим свойствам позволяет повышать
полипропилена, 20 мас% полистирола и 15 мас%
выход газообразных продуктов, а именно Н2, СО,
полиэтилентерефталата, в реакторе с псевдоожижен-
СО2. Наибольший выход Н2 наблюдался в процессе
ным слоем благодаря его крекирующим свойствам
пиролиза в присутствии Ce/Ni-ZSM-5 и La/Ni-ZSM-5.
позволило увеличить выход газовой фракции до 41-
Максимальная концентрация синтез-газа была до-
43% при 600°С и 62-65% при 700°С по сравнению
стигнута над La/Ni-ZSM-5 — 112.2 (95%N2/5%O2)
с некаталитическим процессом (табл. 14) [85]. СаО
и 130.7 ммоль·г-1 (90%N2/10%O2) при 850°C.
способствует большему разложению полиэтиленте-
Повышение температуры в отсутствие катализатора
рефталата, на что указывает и рост доли бензола, обра-
приводило к росту выхода метана до 48 (95%/5%
зованного в процессе гидролиза полимера с последу-
N2/O2) и до 63.2% (90%/10% N2/O2). Промотирование
ющей реакцией декарбоксилирования выделяющейся
Ce, Mg и Mn катализатора Ni/ZSM-5 способствовало
терефталевой кислоты. Повышение температуры
процессам метанирования.
приводит к увеличению доли СО, СО2, метана, эти-
Пиролизное масло содержало в основном н-па-
лена, пропилена и бутенов и снижению выхода воска,
рафины, н-олефины, фенолы, кислородсодержащие
алифатических соединений (например, С9, С12-17
соединения, моноароматические и полиароматиче-
в составе масла уже не образовывались при 700°С).
ские углеводороды. Повышение как температуры,
Природа газа-носителя практически не влияет на
так и концентрации О2 в реакционной среде при-
качественный и количественный состав продуктов.
вело к более высокому соотношению н-парафи-
Исследование влияния катализатора Ni/ZSM-5,
нов/н-олефинов, основных продуктов разложения
промотированного различными металлами (Ca, Ce,
полиэтилена, и большему количеству многоколь-
Пиролиз полиэтилентерефталата: особенности процесса и состав продуктов реакции (обзор)
925
Таблица 14
Продукты пиролиза смеси полимеров (45 мас% полиэтилена, 20 мас% полипропилена, 20 мас% полистирола,
15 мас% полиэтилентерефталата) в реакторе с псевдоожиженным слоем над СаО в атмосфере N2 и пара (600,
700°С) [85]1
600°С
600°С
700°С
700°С
600°С
600°С
700°С
700°С
Продукты
Продукты
N2
пар
N2
пар
N2
пар
N2
пар
Газовая фракция, %
41
43
62
65
Этилен
7.8
8.3
17
15
Н2
0.73
0.33
0.84
0.12
Этан
1.5
1.7
2.7
1.6
СО
2
0.81
1.1
6
Пропилен
9.4
10
16
12
СО2
5
10
4.7
15
Пропан
0.51
0.71
0.68
0.22
Метан
2
2
4.2
3.9
С4
8.1
9.2
14
10
Масло, %
45
49
31
31
Алифатические соеди-
29
21
8.6
6.7
нения
Ароматические соединения
12
21
20
22
С5
8.3
7.1
6
5
Бензол
3.6
5.2
7
5.2
С6
5.8
5
2.1
1.3
Толуол
0.25
0.93
1.1
1.7
С7
4.5
2.6
0.18
0.2
Стирол
6.1
12
8.2
11
С8
4.5
1.9
0.29
0.1
Этилбензол
0.57
0.86
0.52
0.79
С9
0.58
0.77
Ксилол
0.18
0.1
0.17
С10
0.88
0.97
0.04
0.17
1-Н-инден
0.37
0.26
С11
0.85
0.61
0.04
α-Метилстирол
1.1
1.2
0.79
0.78
С12
0.63
0.52
С3-Бензол
0.17
0.52
0.57
0.99
С13
0.54
0.46
С4-Бензол
0.17
0.23
0.18
С14
0.8
0.64
С5-Бензол
С15
0.67
0.42
1-Метилнафталин
0.17
0.06
С16
0.44
0.28
Нафталин
0.14
0.12
0.58
0.35
С17
0.49
0.22
Метилнафталин
0.07
0.14
0.36
Кислородсодержащие
1.7
0.96
0.75
0.07
соединения
Бифенил
0.13
0.32
0.04
Неидентифицированные
2.7
5.8
1.7
2.9
соединения
Полукокс, %
3.9
2.3
3
1.8
Воск, %
10
5.4
3.6
1.8
П р и мечан и е. «—» — не обнаружено.
1 Таблица заимствована авторами из источника литературы [85] с разрешения ©American Chemical Society. 18.04.2024.
цевых ароматических углеводородов. Наибольшее
цевых ароматических соединений, фенола и других
отношение н-парафин/н-олефин (1.5) было получено
кислородсодержащих соединений в присутствии ка-
при использовании Mg/Ni/ZSM-5 при 850°С в атмос-
тализаторов Ce/Ni/ZSM-5 и La/Ni/ZSM-5 связано с их
фере, содержащей 10% O2. Максимальный выход
высокой гидрирующей способностью ненасыщенных
однокольцевых ароматических соединений (17.8%)
соединений и молекул, содержащих гетероатомы.
достигался в присутствии Ca/Ni/ZSM-5 при 550°C,
наибольший выход многокольцевых ароматических
Совместный пиролиз полиэтилентерефталата
соединений — в отсутствие катализатора при 850°C
и биомассы
(95%N2/5%O2). Наибольшая концентрация фенола
(6%) при 550°C наблюдалась над Ce/Ni/ZSM-5, наи-
Совместная, так называемая «зеленая», перера-
меньшая (3.7%) — над Ca/Ni/ZSM-5 и Mn/Ni/ZSM-5
ботка биологических и пластиковых отходов в по-
(95%N2/5%O2). Снижение концентрации многоколь-
следнее время является одним из актуальных на-
926
Захарян Е. М., Максимов А. Л.
правлений переработки промышленных и бытовых
по реакции Дильса-Альдера с образованием арома-
отходов [94-111]. Взаимодействие промежуточных
тических углеводородов, оксигенатов, полученных
продуктов разложения биосырья и полимера способ-
из ксиланов [94].
ствует увеличению доли жидких продуктов и росту
Присутствие биомассы Populus в смеси с поли-
выхода компонентов с добавленной стоимостью (на-
мером в процессе ее пиролиза способствовало обра-
пример, фенола и ароматических кислот), приводит
зованию углеводородов, альдегидов, фенолов, спир-
к ингибированию процессов образования бифенилов
тов, кислот, углеводов, сложных эфиров (рис. 7) [94],
и полициклических ароматических углеводородов,
тогда как в результате совместного пиролиза стеблей
тем самым повышая качество пиролизных масел и
Brassica napus и полиэтилентерефталата рос выход
твердого остатка. Совместный пиролиз полиэтилен-
спиртов (1.12%), N-содержащих соединений (8.14%),
терефталата и биомассы протекает, как правило, в три
альдегидов (3.1%), кислот (33.44%), кетонов (12.1%)
этапа: испарение влаги из биомассы, выделение газо-
[95], что обусловлено различным содержанием лигни-
образных продуктов пиролиза и разложение твердого
на, целлюлозы и гемицеллюлозы в биомассах Populus
остатка (карбонизация) [94-111].
и Brassica napus.
В процессе совместного пиролиза смесей поли-
Более подробный состав продуктов совмест-
этилентерефталата и биомассы (Brassica napus и
ного пиролиза полиэтилентерефталата и древеси-
Populus) [94, 95] разложение биомассы протекает в
ны Liriodendron tulipifera при 600ºС представлен в
результате последовательности реакций, включая
табл. 15 [97]. Повышение доли низкомолекулярных
дегидратацию целлюлозы, гемицеллюлозы и лигни-
ароматических углеводородов (бензол, стирол, толу-
на, разрыв бензольного кольца, ретро-альдольную,
ол, бифенил) и оксигенатов (ацетальдегид и ацетон)
енол-кето-таутомеризацию и циклизацию, с образова-
и снижение доли эвгенола указывает на преоблада-
нием сахаридов, фуранов, альдегидов, кетонов и дру-
ние реакций вторичного крекинга и деоксигенации,
гих низкомолекулярных соединений (XI). В результа-
как следствие синергического эффекта, в результате
те пиролиза до 95 мас% целлюлозы и гемицеллюлозы
разложения смеси.
преобразуется в летучие соединения, что связано с
В работе [98] проводили пиролиз смеси отходов
низкой температурой их разложения (300-380°С), де-
полимера и биомассы Eucalyptus при 450°С при раз-
градация же лигнина протекает вплоть до 900°С [96].
личном соотношении сырья (0, 15 и 25 мас% полиме-
Более энергозатратное расщепление лигнина приво-
ра) и скоростях нагрева (1, 3, 5 град·мин-1) в реакторе
дит к образованию большего количества полукокса.
с неподвижным слоем с целью изучения характе-
Образование моно- и бимолекулярных соединений,
ристик получаемого твердого продукта. Лишь при
полученных посредством разрыва цепи полимера и
большем количестве полиэтилентерефталата (25%)
случайного разрыва связей, сопровождается высвобо-
в смеси с биомассой наблюдалось снижение выхода
ждением водородных радикалов, которые способству-
полукокса на 7% за счет разбавления смеси продук-
ют крекингу олигомеров, приводя к выделению H2.
тов и снижение доли пиролизной жидкости на 20%.
Фураны реагируют с короткоцепочечными алкенами
Добавление полимера в смесь с биомассой способ-
Рис. 7. Распределение продуктов (соотношение хроматографических пиков) пиролиза биомассы Populus (Т), Brassica
napus (Р), полиэтилентерефталата (ПЭТ), их смесей в соотношении 1:1 (700°С, скорость нагрева 20 град·мин-1,
N2, 10 с) [94].1
1 Рисунок заимствован авторами из источника литературы [94] с разрешения © Elsevier. 18.04.2024.
928
Захарян Е. М., Максимов А. Л.
Таблица 15
Продукты пиролиза (интенсивности хроматографического пика, ×106) древесины Liriodendron tulipifera,
полиэтилентерефталата и смеси (50 мас%:50 мас%) при 600°С [97]1
ПЭТ + Д
ПЭТ + Д
Компоненты
Д
ПЭТ
Компоненты
Д
ПЭТ
(1:1)
(1:1)
Ацетальдегид
192
199
Метилфуранон
44
20
Ацетон
72
64
Гваякол
24
33
Уксусная кислота
206
108
Метилбензоат
302
140
Бензол
192
202
Бензойная кислота
2478
1360
Толуол
43
37
Винилгваякол
37
19
Метилпируват
38
20
Сирингол
56
24
Фурфурол
72
31
Бифенил
157
122
Стирол
33
19
Эвгенол
68
18
Дивинилтерефталат
337
188
Винилсирингол
47
26
Винилоксикарбонил-бензой-
1288
519
Бифенил-4-карбоксиловая
204
43
ная ксилота
кислота
Этан-1,2-диилбензоат
201
95
2-(Бензоилокси)-этилвинил-
321
141
терефталат
Этан-1,2-диилвинилдитере-
188
45
Аллилсирингол
32
22
фталат
П р и мечан и е. «—» — не обнаружено; Д — древесина Liriodendron tulipifera, ПЭТ — полиэтилентерефталат.
ствовало образованию пиролизата с более низкой
Изучение пиролиза смеси полиэтилентерефтала-
плотностью, что, вероятно, связано с процессом инги-
та и целлюлозы в двухслойном реакторе при 600°C
бирования формирования сложных эфиров и кетонов
(скорость нагрева 3 град·мин-1, N2) [101] показало,
в процессе разложения, и полукокса с наибольшей
что выделяющиеся из целлюлозы в верхнем слое
теплотворной способностью, равной 7684 ккал·кг-1.
летучие вещества облегчают образование тяжелых
Авторы [99, 100] в качестве сырья для сопиролиза
органических соединений, способствуя крекингу ор-
использовали древесину Paulownia. Процесс пиро-
ганических соединений на поверхности полукокса,
лиза проводили в реакторе с неподвижным слоем
полученного при разложении полимера, и реакции
при 600-1000°С в течение 15 мин в атмосфере N2.
вторичной конденсации, тем самым приводя к сни-
Концентрация преобладающего СО в газовой фрак-
жению выхода газообразных продуктов (табл. 16).
ции росла с повышением температуры и увеличени-
Кислородсодержащие радикалы целлюлозы (кетоны/
ем доли древесины в сырье (36% при пиролизе при
альдегиды и карбоновые кислоты) вступают в реак-
1000°С смеси с 80%-ным содержанием биомассы),
цию с углеводородами на поверхности полукокса,
аналогичная зависимость наблюдалась и при выде-
полученного из полимера, способствуя их разложе-
лении Н2 (3.2%), что обусловлено протеканием про-
нию посредством реакции крекинга с образовани-
цессов дегидрирования и декарбонилирования при
ем ароматических соединений в пиролизном масле
высоких температурах. Наибольший выход СН4 на-
(рис. 8). И наоборот, углеводороды, выделяющиеся
блюдался при 700°С, поскольку дальнейшее повыше-
при разложении полимера, ингибировали карбони-
ние температуры приводило к его дегидрированию.
зацию на поверхности полукокса, образующегося из
Выход СО2 практически не зависел от доли биомас-
целлюлозы.
сы в смеси, тогда как образование С2-компонентов
Максимальная скорость массопотери наблюда-
2Н2, С2Н4, С2Н6) проходило через максимум при
лась при разложении смеси полиэтилентерефталата
600°С (7.5%) при содержании именно 20% биомассы
и целлюлозы, в которой доля полиэтилентерефта-
в смеси.
лата составляла 65% (800°С, Ar, скорость нагрева
10 град·мин-1, массовое соотношение сырья 100:0,
65:35, 50:50, 35:65, 0:100) [102]. Синергический эф-
1 Таблица заимствована авторами из источника лите-
ратуры [97] с разрешения © Elsevier. 18.04.2024.
фект сопиролиза полимера и биомассы заключался в
Пиролиз полиэтилентерефталата: особенности процесса и состав продуктов реакции (обзор)
929
Таблица 16
Распределение продуктов пиролиза целлюлозы, полиэтилентерефталата (ПЭТ), смеси целлюлозы и ПЭТ (1:1);
целлюлоза-ПЭТ — последовательный пиролиз целлюлозы-ПЭТ с целлюлозой в верхнем слое,
ПЭТ-целлюлоза — последовательный пиролиз целлюлозы-ПЭТ с ПЭТ в верхнем слое
(600°C, скорость нагрева 3 град·мин-1, N2) [101]1
Выход,%
Целлюлоза
ПЭТ
Целлюлоза + ПЭТ
Целлюлоза-ПЭТ
ПЭТ-целлюлоза
Полукокс
33.2
25.8
28.9
7.3*
32.4*
Тяжелые органические соединения
46.3
14.4
88.6*
51.7*
Масло
55.5
3.3
30.3
23.7
24.5
Газ
12.3
24.6
26.4
15.8
26.3
Н2
1.4
0
1.5
0
1.2
СН4
0.6
0.9
3.3
0.1
1.1
СО
4.8
9.4
5.2
5.4
12.2
СО2
5.4
14.3
16.3
10.3
12.9
П р и мечан и е. «—» — не обнаружено.
* Выход кокса и тяжелой органики рассчитывали исходя из массы реагентов в нижнем слое реактора при последова-
тельном пиролизе.
ингибировании выделения газообразных продуктов
при этом выход твердого продукта составлял мень-
2, СН4, С2Н2, СО и СО2) при высоких температу-
шее количество (16.7%) по сравнению с другими сы-
рах, тогда как в полукоксе образовывалось больше
рьевыми образцами (17-20.1%). Полученный таким
углеводородов. Наименьшее значение Н/С (0.209),
образом полукокс имел микропористую структуру с
наблюдаемое в полукоксе, образуемом в результате
размером пор менее 2 нм и удельной площадью по-
пиролиза смеси с большим содержанием полиэти-
верхности 517.6 м2·г-1.
лентерефталата (65%), указывает на преобладающее
В процессе пиролиза смеси полиэтилентерефта-
протекание процессов ароматизации и карбонизации,
лата и семян Samanea saman (500°С, N2, скорость
нагрева 10, 30, 50 град·мин-1) [103] в реакторе по-
лупериодического действия наибольшее количество
пиролизного масла относительно хорошего качества
(меньшая вязкость, влажность и более высокая тепло-
та сгорания и содержание углерода) было получено
при разложении смеси с массовым соотношением
1:3 (54.24%), тогда как при пиролизе смесей 1:1 и
1:5 выход более вязкого продукта не превышал 34%.
Моделирование поведения и варьирование усло-
вий пиролиза смеси опилок Celtis softbraedii и поли-
этилентерефталата (600-800°C, массовое соотноше-
ние опилки:полимер = 50/50, 65/35, 80/20, расход N2
2, 6, 10 нл·мин-1) в [104] показало, что наибольший
выход синтез-газа (68.1%) будет наблюдаться при
разложении смеси 50/50 при 800°С при расходе газа
N2 6 нл·мин-1.
При термическом разложения смеси полиэтилен-
терефталата и скорлупы орехов Macadamia (200-
Рис. 8. Распределение компонентов пиролизного масла
1000°C, массовое соотношение 20:80, 50:50, 80:20,
целлюлозы, полиэтилентерефталата, их смеси [101].21
скорость нагрева 3, 5, 8 град·мин-1, N2) [105] наблю-
даются два синергических эффекта: 1) радикалы,
1 Таблица заимствована авторами из источника лите-
образующиеся при разложении целлюлозы, геми-
ратуры [101] с разрешения © Elsevier. 18.04.2024.
2 Рисунок заимствован авторами из источника лите-
целлюлозы и лигнина скорлупы орехов Macadamia,
ратуры [101] с разрешения © Elsevier. 18.04.2024.
способствуют гомолитическому разрыву полиолефи-
930
Захарян Е. М., Максимов А. Л.
новых цепей, образующихся в результате разложе-
снижается с 76.9 (полиэтилентерефталат) до 35-40%
ния полимера, и переносу водорода от этих цепей к
при пиролизе смесей.
радикалам, тем самым замедляя термическую дегра-
Добавка полиэтилентерефталата к биосырью при-
дацию скорлупы орехов Macadamia; 2) увеличение
водит к увеличению доли карбоновых кислот (рис. 9),
количества скорлупы орехов Macadamia в смеси спо-
а именно бензойной кислоты, и их эфиров, образую-
собствует как более быстрому разложению полимера,
щихся при разложении полимера, и снижению выхода
так и образованию термостабильной структуры за
фенолов, алкилфенолов и метоксифенолов [наиболь-
счет интенсивного процесса сшивки и увеличению
ший выход (79.5%) наблюдался при пиролизе скор-
выхода полициклических ароматических углеводо-
лупы орехов Corylus maxima, наименьший (4.64%) —
родов. Сопиролиз полиэтилентерефталата и измель-
смеси Euphorbia rigida:полиэтилентерефталат).
ченной скорлупы орехов Macadamia и кокосового
В работе [108] в качестве биомассы в совместном
ореха (400-500°С, скорость нагрева 3 град·мин-1, N2)
пиролизе полиэтилентерефталата в реакторе перио-
больше влияет на состав продуктов от полимера вви-
дического действия (скорость нагрева 30 град·мин-1)
ду его более высокой температуры разложения [96].
использовали пищевые отходы (рис, овощи, рыба).
Поскольку биомасса карбонизуется до разложения
Повышение температуры пиролиза с 250 до 350°С и
полимера, выделяющиеся радикалы на поверхности
доли полимера в смеси с биомассой с 0 до 50 мас%
полукокса, образованного при разложении орехов,
приводят к росту выхода пиролизного масла с 20-48
способствуют выделению и выходу полициклических
до 35-66% и снижению выхода полукокса с 70-20
ароматических углеводородов из полиэтилентере-
до 40-3%, что обусловлено синергическим эффек-
фталата. Усиление разложения полимера наблюдается
том взаимодействия продуктов разложения биомас-
при увеличении содержания биомассы в смеси (до
сы и полимера и протеканием вторичного крекинга
80%) и при повышении температуры процесса (до
при повышенных температурах. Пиролиз биомассы
500°С).
сопровождается образованием карбоновых кислот
Совместный пиролиз полиэтилентерефталата с
(12 мас%), производных фурана (75 мас%) и азотсо-
измельченными скорлупой орехов Juglans regia (1:1)
держащих соединений (2 мас%) в жидком продукте.
и косточками Persicus (1:1) при 500°С [106] приводит
Увеличение же доли полимера в смеси способствует
к снижению доли газообразных продуктов по сравне-
образованию углеводородов (до 40 мас%) в масле и
нию с пиролизом чистого полимера (83.88%) за счет
их гидрированию, что приводит к более высокому
образования воды (из биомассы) и полукокса. В про-
соотношению H/C и более низкому соотношению O/C
цессе сопиролиза полимера с биомассой значительно
(доля кислородсодержащих соединений снижается
увеличивается количество ароматических кислот и
до 3 мас%). Наибольшее содержание карбоновых
эфиров, тогда как относительное количество фено-
лов, кетонов, альдегидов, образующихся в результате
разложения лигнина, снижается. Содержание кислот
и эфиров составляло 65.87% в результате пироли-
за смеси полиэтилентерефталата/скорлупы орехов
Juglans regia и 63.11% в результате пиролиза смеси
полиэтилентерефталата/косточек Persicus.
Исследование влияния природы растительного
сырья (стебли Gossypium, скорлупа орехов Corylus
maxima, Helianthus, Euphorbia rigida) на продукты
разложения полиэтилентерефталата в процессе со-
пиролиза (массовое соотношение — 1:1) в реакто-
Рис. 9. Распределение продуктов пиролиза чисто-
ре с неподвижным слоем (500°С, скорость нагрева
го сырья [1 — стебли Gossypium, 2 — скорлупа оре-
10 град·мин-1, N2) [107] показало, что добавка по-
хов Corylus maxima, 3Helianthus, 4Euphorbia
rigida, 5 — полиэтилентерефталат (ПЭТ)] и смеси (6
лимера к биомассе приводит к росту выхода мас-
стебли Gossypium:ПЭТ, 7 — скорлупа орехов Corylus
ла в результате синергического эффекта: с 21.72 до
maxima:ПЭТ, 8Helianthus:ПЭТ, 9Euphorbia
25.87% для стеблей Gossypium, с 23.17 до 25.56% для
rigida:ПЭТ в массовом соотношении 1:1, ПАУ — по-
Helianthus, с 18.22 до 29.89% для скорлупы орехов
лициклические ароматические углеводороды) [107].1
Corylus maxima и с 26.26 до 27.01% для Euphorbia
rigida — при их смешивании с полиэтилентерефтала-
1 Рисунок заимствован авторами из источника лите-
том (выход масла 23.1%). В то время как выход газа
ратуры [107] с разрешения © Elsevier. 18.04.2024.
Пиролиз полиэтилентерефталата: особенности процесса и состав продуктов реакции (обзор)
931
кислот (42.01%) наблюдается при пиролизе смеси,
ацетофенон, винилбензоат, метилбифенил, флуорен,
содержащей 50 мас% полиэтилентерефталата, тогда
бензофенон и метилбензофенон, образование кото-
как больший выход алифатических углеводородов
рых не наблюдается в некаталитическом пиролизе
(44.6%) получен при соотношении пищевых отходов
смеси. Добавление СаО in situ к цеолиту HZSM-5 в
и полимера как 70:30.
процессе пиролиза смеси приводит к еще большему
выходу моноароматических углеводородов за счет
декарбоксилирования бензойной, винилоксикарбо-
Совместный пиролиз полиэтилентерефталата
нилбензойной и бифенил-4-карбоновой кислот, ос-
и биомассы в присутствии катализаторов
новных продуктов разложения полимера. Снижение
Каталитический сопиролиз полиэтилентерефта-
доли бензофенонов в присутствии СаО обусловлено
лата и бумаги (целлюлозы) в присутствии ZSM-11
более эффективной адсорбцией бензойной кислоты
(600°С, N2, 15 мин, скорость нагрева 60 град·мин-1)
на его поверхности.
[109] приводит к образованию большего количества
Продукты, полученные в результате пиролиза сме-
газообразных продуктов за счет снижения доли пиро-
си полиэтилентерефталата с сосновыми опилками
лизной жидкости по сравнению с некаталитическим
(массовое соотношение — 1:0, 0:1, 1:1) в отсутствие
процессом, что обусловлено наличием активных цен-
и в присутствии HZSM-5 (600°С, скорость нагрева
тров в цеолите, способствующих протеканию тер-
10 град·мин-1, 20 с, N2) были разделены на шесть
мического крекинга. С увеличением доли полимера
групп: моно- и полициклические ароматические угле-
в смеси повышалась концентрация СО2 и уменьша-
водороды, фенолы, фурфуролы, алкены и алканы
лась концентрация СО. Присутствие цеолита спо-
(рис. 11) [110]. По сравнению с некаталитическим
собствовало еще большему снижению доли СО и
сопиролизом сосны, полимера и их смеси добавление
увеличению доли СО2 за счет протекания реакции
катализатора HZSM-5 приводит к росту образования
декарбоксилирования компонентов. Закоксовывание
ароматических соединений за счет деоксигенации
поверхности катализатора указывает на тот факт, что
кислородсодержащих компонентов, таких как фено-
и выход твердых продуктов незначительно растет по
лы, кислоты, альдегиды, фураны, сложные эфиры и
сравнению с процессом в отсутствие ZSM-11.
кетоны.
Анализ жидких продуктов пиролиза показал,
В результате сопиролиза отходов полиэтиленте-
что содержание в смесевых продуктах карбоновых
рефталата и пеллетов древесины (массовое соотно-
кислот больше (рис. 10), чем при пиролизе чистой
целлюлозы либо чистого полимера. Это может быть
связано с тем, что Н2О, образующаяся в процессе пи-
ролиза целлюлозы, способствует гидролизу полимера
с образованием ароматических кислот. Добавление
же цеолита привело к большему росту выхода подоб-
ных продуктов.
Влияние кислых цеолитов HY, Hβ, HZSM-5 и СаО
в качестве катализаторов на состав продуктов со-
вместного пиролиза отходов полиэтилентерефталата
и древесины желтого тополя (600°С, N2, скорость на-
грева 20 град·мин-1) исследовали в [97]. Увеличение
доли полукокоса в процессе разложения биомассы в
ряду HY (60.62%) > Hβ (59.12%) > HZSM-5 (55.17%)
указывает на то, что HY и Hβ быстрее дезактивиру-
ются, чем HZSM-5. Аналогичная зависимость на-
Рис. 10. Содержание компонентов жидких продуктов,
блюдается и при пиролизе чистого полимера, что
полученных в результате сопиролиза целлюлозы (Ц) и
указывает на очевидный выбор цеолита для сопи-
полиэтилентерефталата (ПЭТ) в массовом соотношении
Ц/ПЭТ: 1 — 1:0, 2 — 3:1, 3 — 1:1, 4 — 1:3, 5 — 0:1,
ролиза смеси. Среди цеолитов наибольшую эффек-
6 — 1:0 над ZSM-11, 7 — 3:1 над ZSM-11, 8 — 1:1 над
тивность в процессе образования бензола, толуола,
ZSM-11, 9 — 1:3 над ZSM-11, 10 — 0:1 над ZSM-11
этилбензола и ксилолов показал HZSM-5 благодаря
[109].1
его сильной кислотности и подходящего размера пор.
В присутствии СаО in situ и ex situ выделяются СО2,
1 Рисунок заимствован авторами из источника лите-
пропилен, фуран, этилбензол, ксилолы, бензальдегид,
ратуры [109] с разрешения © Elsevier. 18.04.2024.
932
Захарян Е. М., Максимов А. Л.
Наибольшие выходы твердых (24.33 мас%) и газо-
образных (35.67 мас%) были получены при пиролизе
листов размером 10 × 10. Выходы трех типов продук-
тов варьировались в пределах 10.33-24.33, 15-35.67 и
40-74.67 мас%, теплота сгорания твердого продукта
составляла 21.61-24.37 МДж·кг-1. Исследование вли-
яния загрузки поглотителя карбида кремния при пи-
ролизе полимера размером 10 × 10 показало, что наи-
большее количество конденсированного (25.33 мас%)
и неконденсированного (35.6 мас%) паров образуются
при загрузке 35 г, а влияния температуры пиролиза —
550°С (35.67 и 40 мас% соответственно).
Рис. 11. Распределение пиролитических продуктов из
Пиролиз полиэтилентерефталата под воздействи-
сосновых опилок, полиэтилентерефталата (ПЭТ) и их
ем микроволнового излучения в 450 Вт приводит к
смеси 1:1 в отсутствие и в присутствии HZSM-5 (600°С)
образованию более 40 мас% газообразных продук-
(МАУ — моноциклические ароматические углеводоро-
тов и 26 мас% масла, тогда как разложение шелухи
ды, ПАУ — полициклические ароматические углеводо-
Oryza — более 65 мас% газовой фракции и 19 мас%
роды) [110].11
масла [112]. Варьирование соотношения долей поли-
мера и биомассы в смеси и скорости нагрева сопрово-
шение — 1:1) в присутствии ZSM-5 в двухступен-
ждалось изменением в распределении продуктов пи-
чатой реакторной системе с неподвижным слоем
ролиза в большую либо меньшую сторону, при этом
(500°С, скорость нагрева 10 град·мин-1, массовое
добавление полимера к биомассе способствовало по-
соотношение сырье:катализатор = 1:2) было получено
вышению теплотворной способности образующегося
37.9 мас% полукокса, 37.9 мас% масла и 22.2 мас%
полукокса, что обусловлено снижением содержания
газовой фракции [74]. Добавление к полимеру древе-
золы, вносимой при разложении шелухи Oryza.
сины приводило к выделению в основном СО и СО2 в
При пиролизе 20 г смеси выход полукокса и
отличие от пиролиза полимера, в результате которого
биосырья снижается с 29.7 до 16.5 мас% и с 29 до
в газовой фракции преобладали СО2 и углеводороды
12 мас% соответственно, а доля газовой фракции
С1-4, к росту доли кислородсодержащих соединений
растет с 39.9 до 68.9 мас% с увеличением количества
(19.7%), углеводородов С13+ (10.8%), ароматических
полимера в сырьевой смеси. Добавка полиэтилен-
соединений с одним (65.7%) и тремя бензольными
терефталата в смесь приводит к повышению селек-
кольцами (7.1%) и снижению доли углеводородов
тивности по ароматическим углеводородам и азот- и
(80.3%) и С5-12 (89.1%) в пиролизном масле.
серосодержащим соединениям с 13.4 до 19.2% и с
6.9 до 10.8% соответственно и снижению селектив-
ности фенола, метилбензоата, метоксивинилфенола,
Пиролиз полиэтилентерефталата посредством
метоксифенола и крезола, росту выхода CH4 с 8.3 до
воздействия микроволнового излучения
с 14.5 до 7.1%. При разло-
12.4% и снижению доли H2
В процессе микроволнового пиролиза пластико-
жении смеси с меньшей долей полимера наблюдается
вых листов полиэтилентерефталата (500 Вт, 450-
высокий выход алифатических оксигенатов (6.2%),
600°С) пиролизное масло не образуется [111]. На
моноароматических оксигенатов (14.9%).
выход конденсированного (бензойная кислота, 4-ви-
В отличие от пиролиза 20 г смеси при разложении
нилбензойная кислота, моно- и дивинилтерефталат)
40 г смеси, доля полимера в которой повышается,
и неконденсированного паров и остаточных твердых
наблюдается рост выхода масла 20.6 до 26.5 мас%.
продуктов оказывали влияние размер листов поли-
С увеличением количества полиэтилентерефталата в
мера (2.5 × 2.5-10 × 10), загрузка карбида кремния
смеси селективность по моноароматическим углево-
(20-40 г), температура пиролиза (450-600°С). По
дородам увеличивается (2.9-10.2%), а селективность
мере увеличения размера листа с 2.5 × 2.5 до 10 × 10
по полиароматическим углеводородам снижается
повышались выходы твердых и газообразных продук-
(14.2-11.7%). Наибольшее содержание ароматиче-
тов, тогда как выход остаточного продукта снижался.
ских углеводородов (11.3%) наблюдается при пиро-
лизе смеси, содержащей 20 г полимера и 20 г рисовой
шелухи, а высокий выход моноароматических оксиге-
1 Рисунок заимствован авторами из источника лите-
ратуры [110] с разрешения © Elsevier. 18.04.2024.
натов (12.1%) достигается при пиролизе смеси 30:10.
Пиролиз полиэтилентерефталата: особенности процесса и состав продуктов реакции (обзор)
933
С увеличением количества полимера в смеси выход
акций ацетальдегида, тогда как в жидкой фракции —
H2 и CO уменьшается с 14.5 до 3.8% и с 14.5 до 10%
бензойная кислота и ее производные (до 58.7 мас%).
соответственно.
Основными составляющими газовой фракции опи-
При разложении 60 г смеси выход полукокса сни-
лок являются СО2, аланин, уксусная и пропионо-
жается с 31.7 до 18.6 мас% при уменьшении количе-
вая кислоты, фуран, диоксолан, гетероциклические
ства шелухи Oryza в смеси, а доля масла варьируется
соединения, жидкие продукты представлены фено-
незначительно (25.6-26.5 мас%). С ростом количества
лами (23.1 мас%), полициклическими соединения-
полимера в смеси наблюдается снижение селективно-
ми (22.4 мас%), алканами (16.8 мас%), фурфуролом
сти к моноароматическим оксигенатам (52.4-43.5%),
(6.2 мас%), фураном (2.4 мас%) и др.
полиароматическим углеводородам (14-8.8%) и али-
При совместном пиролизе полимера и биомассы
фатическим оксигенатам (8.7-0,8%), повышение се-
(1:1) почти половина продуктов представляет собой
лективности к моноароматическим углеводородам
бензойную кислоту и ее производные, являющие-
(1.9-6.1%), азот- и серосодержащим соединениям
ся результатом пиролиза полиэтилентерефталата.
(3.8-15.6%) и полиароматическим оксигенатам (0.4-
Образование производных терефталевой кислоты
1.1%). Наибольший выход CO (12.6%), CH4 (21.9%) и
(7.9 мас%) при совместном пиролизе, вероятно, об-
CO2 (11.3%) достигался при пиролизе смеси с соотно-
условлено гидролизом сложноэфирной связи водой,
шением 30:30. С уменьшением количества биомассы
выделяемой при пиролизе биомассы, и образованием
в смеси концентрация H2 и синтез-газа снижается с
мономера терефталевой кислоты. Взаимодействие
11.9 до 7.6% и с 23 до 17.8% соответственно.
сырья в процессе разложения приводит к снижению
В [113] исследовали влияние трех различных по-
полициклических соединений с 20 до 0.6 мас%, нафте-
глотителей (С, Fe3O4, CaO) в процессе совместного
новых соединений — с 16.6 до 1 мас% и дифенила —
пиролиза отходов полиэтилентерефталата (бутылки)
с 3.7-6.9 до 0.1 мас%. Варьирование соотношения
и опилок посредством микроволнового излучения
полимера и биомассы показало, что наибольшая доля
на состав жидких и твердых продуктов (2540 МГц,
цепочечных углеводородов (до 30 мас%), молекуляр-
800 Вт, N2, 1 ч, 500°С). При пиролизе полимера в
ная масса которых колеблется от 140 до 260, что ука-
газовой фракции преобладали ацетальдегид, СО2 и
зывает на возможность их использования в качестве
глицидол, образующийся в результате альдольных ре-
топлива, образуется при пиролизе смеси 1:4 (рис. 12).
Рис. 12. Распределение продуктов пиролиза смеси полиэтилентерефталата и опилок (массовое соотношение — 1:0,
1:4, 1:1, 4:1, 0:1; 500°С; 1 ч; ПАУ — полициклические ароматические углеводороды, УВ — углеводороды) [113].1
1 Рисунок заимствован авторами из источника литературы [113] с разрешения © Elsevier. 18.04.2024.
934
Захарян Е. М., Максимов А. Л.
этилена в ацетилен), циклизация, ароматизация, кон-
денсация углеводородов с образованием бифенила,
терфенила, флуоренона и других полициклических
ароматических углеводородов.
— Термическое разложение полиэтилентерефтала-
та в окислительной атмосфере протекает в отличие от
пиролиза в инертной атмосфере с большей скоростью
с выделением большего количества СО2, что обуслов-
лено окислением карбоксильных групп, дибензофура-
на и полициклических ароматических углеводородов
(фенантрен, терфенил, метилантрацен и др.).
— В результате пиролиза полиэтилентерефталата
в атмосфере NH3 либо при добавлении мочевины в
реакционную среду в качестве продуктов образуются
ароматические амиды, которые путем дегидратации
превращаются в нитрилы (терефталонитрил, бензо-
Рис. 13. Распределение продуктов пиролиза смеси по-
нитрил, ацетонитрил и другие).
лиэтилентерефталата и опилок (1:1) в зависимости от
использованного поглотителя (500°С, 1 ч) [113].1
— Термическое разложение полиэтилентере-
фталата в атмосфере СО2 сопровождается большим
выделением газообразных продуктов по сравнению с
CaO, обладающий сильной основностью, способ-
пиролизом в N2 с образованием большего количества
ствует реакции нейтрализации кислот и каталитиче-
линейных углеводородов. Проведение процесса пи-
ского крекинга с преобразованием их в кетоны и угле-
ролиза отходов полиэтилентерефталата в атмосфере
водороды: доля бензойной кислоты и ее производных
Н2, так называемое ожижение, способствует росту
падает с 36 до 15 мас% по сравнению с продуктами
выхода пропана и метана в газовой фракции, тогда
разложения сырья при использовании углерода в ка-
как в пиролизном масле значительно снижается доля
честве поглотителя (рис. 13). Каталитические свой-
ароматических соединений.
ства Fe3O4 обусловлены ускорением реакции этери-
— На процесс пиролиза значительное влияние
фикации и декарбоксилирования: в его присутствии
оказывает наличие различных добавок в составе по-
снижается содержание бензойной кислоты и ее про-
лиэтилентерефталата, модификаторов, антипиренов и
изводных и увеличивается доля сложных эфиров.
загрязнений, тем самым меняя состав продуктов при
пиролизе чистого полимера либо его отходов.
— Использование в качестве катализатора
Заключение
Ca(OH)2, NiО, Fe2O3, TiO2, СаО, ZSM-5, Al-MSU-F
Анализ информации по термической обработке
способствовало протеканию декарбоксилирования и
полиэтилентерефталата позволяет сделать следую-
декарбонилирования различных оксигенатов с обра-
щие выводы.
зованием бензола, толуола, этилбензола и ксилолов.
— При низкотемпературной переработке меха-
В присутствии LaVOx, GdVOx при разложении поли-
низм разложения полиэтилентерефталата заключает-
мера растет доля алканов и алкенов за счет снижения
ся в основном в расщеплении карбоксильных связей
концентрации ацетальдегида, в присутствии LuVOx
с образованием ароматических эфиров, олефинов и
преобладает синтез-газ, что объясняется особенно-
карбоновых кислот.
стями электронного строения редкоземельных ме-
— В процессе пиролиза полиэтилентерефталата
таллов и кристаллических структур их соединений.
при повышенных температурах, как правило, проте-
Использование Pt/C способствует существенному
кают вторичные процессы, такие как декарбоксили-
снижению выхода полициклических соединений,
рование с выделением СО2 и СО и образованием бен-
таких как 2-нафталинкарбоновая кислота, трифени-
зойной кислоты, этилена, крекинг карбоновых кислот
лен, бифенил-4-карбоновая кислота, терфенил, по
и эфиров с образованием циклических углеводородов
сравнению с некаталитическим пиролизом.
(бензол, толуол, ксилол), дегидрирование (например,
— Снижение температуры максимального раз-
ложения смесей полиэтилентерефталата с другими
полимерами по сравнению с температурой разложе-
1 Рисунок заимствован авторами из источника лите-
ратуры [113] с разрешения © Elsevier. 18.04.2024.
ния чистого полимера обусловлено синергическим
Пиролиз полиэтилентерефталата: особенности процесса и состав продуктов реакции (обзор)
935
эффектом взаимодействия промежуточных продуктов
Конфликт интересов
разложения полимеров. В процессе пиролиза смеси
А. Л. Максимов является главным редактором
полиэтилентерефталата и полиамида-6 в результате
Журнала прикладной химии. У Е. М. Захарян конф-
взаимодействия первичных и вторичных аминов с
ликт интересов, требующий раскрытия в данной ста-
соединениями, содержащими карбоксильную группу,
тье, отсутствует.
образуются амиды, которые в свою очередь подвер-
гаются реакции дегидратации с выделением бензо-
Информация об авторах
нитрила, 2-метилбензонитрила, 4-цианобензойной
кислоты и др. Образование различных хлорэфиров
Захарян Елена Михайловна, к.х.н.
и хлорароматических соединений в процессе разло-
ORCID: https://orcid.org/0000-0001-8850-2141
жения полиэтилентерефталата и поливинилхлорида
Максимов Антон Львович, д.х.н., проф., чл.-корр.
обусловлено взаимодействием выделяющегося HCl
РАН
с терефталевой и бензойной кислотами и последую-
ORCID: https://orcid.org/0000-0001-9297-4950
щим их разложением.
— Использование HZSM-5 в процессе совмест-
Список литературы
ного пиролиза смеси полиэтилена и полиэтилентере-
[1]
Whinfield J. R. The development of terylene // Textil.
фталата приводит к образованию большего количе-
Res. J. 1953. V. 23 (5). P. 289-293.
ства ароматических углеводородов по сравнению с
https://doi.org/10.1177/004051755302300503
продуктами разложения отдельных полимеров, ис-
[2]
Lu Sh., Jing Y., Feng B., Guo Y., Liu X., Wang Y. H2-free
пользование отработанного катализатора FCC бла-
plastic conversion: Converting PET back to BTX by
годаря его дезоксигенирующей способности — к
unlocking hidden hadrogen // ChemSusChem. 2021.
более низким концентрациям кислородсодержащих
V. 14 (19). P. 4242-4250.
соединений в маслах и восках. 20 мас% Al-Al2O3
https://doi.org/10.1002/cssc.202100196
способствует процессам сшивания, изомеризации,
[3]
Захарян Е. М., Петрухина Н. Н., Максимов А. Л.
циклизации и ароматизации в процессе разложения
Направления вторичной переработки поливи-
полиэтилентерефталата и полистирола с выделением
нилхлорида (обзор). Часть 1 // ЖПХ. 2020. Т. 93.
замещенных алкилированных бензолов, нафталинов,
№ 9. С. 1219-1263.
https://doi.org/10.31857/S0044461820090017
антраценов, фенантрена, терфенилов и бис-бензо-
[Zakharyan E. M., Petrukhina N. N., Maksimov A. L.
лов, содержащих от 10 до 24 атомов углерода. Доля
Pathways of chemical recycling of polyvinyl chloride.
моноциклических ароматических углеводородов,
Part 1 // Russ. J. Appl. Chem. 2020. V. 93 (9). P. 1271-
таких как бензол, толуол, этилбензол и ксилол, при
1313. https://doi.org/10.1134/S1070427220090013].
использовании цеолитов в процессе пиролиза по-
[4]
Захарян Е. М., Петрухина Н. Н., Джабаров Э. Г.,
лиэтилентерефталата и полиэтилена снижалась в
Максимов А. Л. Направления вторичной переработ-
ряду HZSM-5 > HY > Hβ при 650°C, что связано с
ки поливинилхлорида (обзор). Часть 2 // ЖПХ. 2020.
наличием и плотностью кислотных центров, способ-
Т. 93. № 10. С. 1370-1417.
ствующих реакциям ароматизации и бимолекулярной
https://doi.org/10.31857/S0044461820100011
конденсации, и размером пор катализатора.
[Zakharyan E. M., Petrukhina N. N., Dzhabarov E. G.,
— Взаимодействие промежуточных продуктов
Maksimov A. L. Pathways of chemical recycling of
разложения биомассы и полиэтилентерефталата
polyvinyl chloride. Part 2 // Russ. J. Appl. Chem. 2020.
способствует увеличению доли жидких продуктов
V. 93 (10). P. 1445-1490.
https://doi.org/10.1134/S1070427220100018].
и росту выхода компонентов с добавленной стоимо-
[5]
Захарян Е. М., Максимов А. Л. Пиролиз шин.
стью (например, фенола и ароматических кислот),
Особенности процесса и состав продуктов реак-
приводит к ингибированию процессов образования
ции (обзор) // ЖПХ. 2021. Т. 94. № 10. С. 1226-
бифенилов и полициклических ароматических угле-
1264. https://doi.org/10.31857/S0044461821100017
водородов, тем самым повышая качество пиролизных
[Zakharyan E. M., Maksimov A. L. Tire pyrolysis.
масел и твердого остатка.
Process features and composition of reaction products
// Russ. J. Appl. Chem. 2021. V. 94. P. 1351-1388.
Финансирование работы
https://doi.org/10.1134/S1070427221100013].
[6]
Захарян Е. М., Максимов А. Л. Пиролиз полиуре-
Работа выполнена в рамках государственного
танов. Особенности процесса и состав продуктов
задания Института нефтехимического синтеза им.
реакции (обзор) // ЖПХ. 2022. Т. 95. № 2. С. 164-
А. В. Топчиева РАН.
230. https://doi.org/10.31857/S0044461822020025
936
Захарян Е. М., Максимов А. Л.
[Zakharyan E. M., Maksimov A. L. Pyrolysis of
[15]
Bhanderi Kh. K., Joshi J. R., Patel J. V. Recycling of
polyurethanes. Process features and composition of
polyethylene terephthalate (PET Or PETE) plastics —
reaction products // Russ. J. Appl. Chem. 2022. V. 95.
An alternative to obtain value added products:
N 2. P. 191-255.
A review // J. Ind. Chem. Soc. 2023. V. 100 (1).
https://doi.org/10.1134/S1070427222020033].
ID 100843. https://doi.org/10.1016/j.jics.2022.100843
[7]
Захарян Е. М., Максимов А. Л. Пиролиз полиамид-
[16]
Jiang M., Wang X., Xi W., Yang P., Zhou H., Duan J.,
содержащих материалов. Особенности процесса и
Ratova M., Wu D. Chemical catalytic upgrading of
состав продуктов реакции (обзор) // ЖПХ. 2022.
polyethylene terephthalate plastic waste into value-
Т. 95. № 7. С. 811-844.
added materials, fuels and chemicals // Sci. Total
https://doi.org/10.31857/S0044461822070015
Environm. 2024. V. 912. ID 169342.
[Zakharyan E. M., Maksimov A. L. Pyrolysis of
https://doi.org/10.1016/j.scitotenv.2023.169342
polyamide-containing materials. Process features and
[17]
Moltó J., Font R., Conesa J. A. Kinetic model of the
composition of reaction products // Russ. J. Appl.
decomposition of a PET fibre cloth in an inert and air
Chem. 2022. V. 95 (7). P. 895-928.
environment // J. Anal. Appl. Pyrolysis. 2007. V. 79.
https://doi.org/10.1134/S1070427222070011].
N 1-2. P. 289-296.
[8]
Kurokawa H., Ohshima M., Sugiyama K., Miura H.
https://doi.org/10.1016/j.jaap.2006.12.006
Methanolysis of polyethylene terephthalate (PET)
[18]
Çepelioğullar Ö., Pütün A. E. Thermal and kinetic
in the presence of aluminium tiisopropoxide catalyst
behaviors of biomass and plastic wastes in co-pyrolysis
to form dimethyl terephthalate and ethylene glycol //
// Energy Convers Manage. 2013. V. 75. P. 263-270.
Polym. Degrad. Stab. 2003. V. 79 (3). P. 529-533.
https://doi.org/10.1016/j.enconman.2013.06.036
https://doi.org/10.1016/S0141-3910(02)00370-1
[19]
Sharuddin Sh. D. A., Abnisa F., Daud W. M. A. W.,
[9]
Yue Q. F., Wang C. X., Zhang L. N., Jin Y. X. Glycolysis
Aroua M. Kh. A review on pyrolysis of plastic wastes
of poly(ethylene terephthalate) (PET) using basic
// Energy Conv. Manage. 2016. V. 115. P. 308-326.
ionic liquids as catalysts // Polym. Degrad. Stab.
https://doi.org/10.1016/j.enconman.2016.02.037
2011/ V. 96 (4). P. 399-403. https://doi.org/10.1016/j.
[20]
Niksiar A., Faramarzi A. N., Sohrabi M. Kinetic study
polymdegradstab.2010.12.020
of polyethylene terephthalate (PET) pyrolysis in a
[10]
Wang X.-L., An W.-L., Du R., Tian F., Yang Y., Zhao X.,
spouted bed reactor // J. Anal. Appl. Pyrolysis. 2015.
Xu Sh., Wang Y.-Zh. Rapid hydrolysis of PET in
V. 113. P. 419-425.
high-concentration alcohol aqueous solution by pore
https://doi.org/10.1016/j.jaap.2015.03.002
formation and spontaneous separation of terephthalate
[21]
Das P., Tiwari P. Thermal degradation study of waste
// J. Environm. Chem. Eng. 2023. V. 11 (2). ID 109434.
polyethylene terephthalate (PET) under inert and
https://doi.org/10.1016/j.jece.2023.109434
oxidative environments // Thermochim. Acta. 2019.
[11]
Guo Zh., He Q., Wang H., Lai Ch., Ji Sh., Sun J., Zhang D.,
V. 679. ID 178340.
Nie L., Lei L. Chemical recycling of various PET plastic
https://doi.org/10.1016/j.tca.2019.178340
waste under alkaline hydrolysis via the LSR method
[22]
Ma T., Wang R., Wang W., Gu W., Yuan Y., Zhang A.,
// Inorg. Chem. Commun. 2024. V. 159. ID 111744.
Wei J. Studies on the thermal degradation mechanism
https://doi.org/10.1016/j.inoche.2023.111744
of polyethylene terephthalate and its 2-carboxy
[12]
Brems A., Baeyens J., Beerlandt J., Dewil R.
ethyl (phenyl) phosphinic acid copolymers // Polym.
Thermogravimetric pyrolysis of waste polyethylene-
Degrad. Stab. 2022. V. 206. ID 110185. https://doi.
terephthalate and polystyrene: A critical assessment of
org/10.1016/j.polymdegradstab.2022.110185
kinetics modelling // Res Conserv. Recycl. 2011. V. 55.
[23]
Huang J., Meng H., Luo X., Mu X., Xu W., Jin L., Lai B.
N 8. P. 772-781.
Insights into the thermal degradation mechanisms of
https://doi.org/10.1016/j.resconrec.2011.03.003
polyethylene terephthalate dimer using DFT method
[13]
Li Sh., Inayat M., Järvinen M. Steam gasification
// Chemosphere. 2022. V. 291. Part 2. ID 133112.
of polyethylene terephthalate (PET) with CaO in a
https://doi.org/10.1016/j.chemosphere.2021.133112
bubbling fluidized bed gasifier for enriching H2 in
[24]
Dhahak A., Hild G., Rouaud M., Mauviel G.,
syngas with response surface methodology (RSM) //
Burkle-Vitzthum V. Slow pyrolysis of polyethylene
Appl. Energy. 2023. V. 348. ID 121536.
terephthalate: Online monitoring of gas production
https://doi.org/10.1016/j.apenergy.2023.121536
and quantitative analysis of waxy products // J. Anal.
[14]
Raheem A. B., Noor Z. Z., Hassan A., Abd Hamid M. K.,
Appl. Pyrolysis. 2019. V. 142. ID 104664.
Samsudin S. A., Sabeen A. H. Current developments in
https://doi.org/10.1016/j.jaap.2019.104664
chemical recycling of post-consumer polyethylene
[25]
Kim S., Park Ch., Lee J. Reduction of polycyclic
terephthalate wastes for new materials production:
compounds and biphenyls generated by pyrolysis
A review // J. Clean. Product. 2019. V. 225. P. 1052-
of industrial plastic waste by using supported metal
1064. https://doi.org/10.1016/j.jclepro.2019.04.019
catalysts: A case study of polyethylene terephthalate
Пиролиз полиэтилентерефталата: особенности процесса и состав продуктов реакции (обзор)
937
treatment // J. Hazard. Mater. 2020. V. 392. ID 122464.
[36]
Artetxe M., Lopez G., Amutio M., Elordi G., Olazar M.,
https://doi.org/10.1016/j.jhazmat.2020.122464
Bilbao J. Operationg conditions for the pyrolysis of
[26]
Xue. Effect of catalyst contact
poly(ethylene terephthalate) in a conical spouted-
mode and gas atmosphere during catalytic pyrolysis of
bed reactor // Ind. Eng. Chem. Res. 2010. V. 49. N 5.
waste plastics // Energy Conv. Manage. 2017. V. 142.
P. 2064-2069. https://doi.org/10.1021/ie900557c
P. 441-451.
[37]
Yoshioka T., Grause G., Eger Ch., Kaminsky W.,
https://doi.org/10.1016/j.enconman.2017.03.071
Okuwaki A. Pyrolysis of poly(ethylene terephthalate)
[27]
Kumagai S., Yamasaki R., Kameda T., Saito Y. M.,
in a fluidised bed plant // Polym. Degrad. Stab. 2004.
Watanabe C., Teramae C., Yoshioka T. Tandem
V. 86. N 3. P. 499-504. https://doi.org/10.1016/j.
μ-reactor-GC/MS for online monitoring of aromatic
polymdegradstab.2004.06.001
hydrocarbon production via CaO-catalysed PET
[38]
Zhang M., Ma J., Wen G., Yang Q., Su B., Ren Q.
pyrolysis // React. Chem. Eng. 2017. V. 2. P. 776-784.
Gas production from polyethylene terephthalate using
https://doi.org/10.1039/C7RE00097A
rotating arc plasma // Chem. Eng. Process. — Process
[28]
Dhahak A., Grimmer Ch., Neumann A., Rüger Ch.,
Intensification. 2018. V. 128. P. 257-262.
Sklorz M., Streibel Th., Zimmermann R., Mauviel G.,
https://doi.org/10.1016/j.cep.2018.04.021
Burkle-Vitzthum V. Real time monitoring of slow
[39]
Klaimy S., Lamonier J.-F., Casetta M., Heymans S.,
pyrolysis of polyethylene terephthalate (PET) by
Duquesne S. Recycling of plastic waste using flash
different mass spectrometric techniques // Waste
pyrolysis — Effect of mixture composition // Polym.
Manage. 2020. V. 106. P. 226-239.
Degrad. Stab. 2021. V. 187. ID 109540. https://doi.
https://doi.org/10.1016/j.wasman.2020.03.028
org/10.1016/j.polymdegradstab.2021.109540
[29]
Park K.-B., Kim J.-S. Pyrolysis products from various
[40]
Dziwiński E.J., Iłowska J., Gniady J. Py-GC/MS
types of plastics using TG-FTIR at different reaction
analyses of poly(ethylene terephthalate) film without
temperatures // J. Anal. Appl. Pyrolysis. 2023.
and with the presence of tetramethylammonium
V. 171. ID 105983.
acetate reagent. Comparative study // Polym. Test.
https://doi.org/10.1016/j.jaap.2023.105983
2018. V. 65. P. 111-115.
[30]
Dmitrov N., Krehula L. K., Sirocic A. P., Hrnjak-
https://doi.org/10.1016/j.polymertesting.2017.11.009
Murgic Z. Analysis of recycled PET bottles products
[41]
Yoshioka T., Handa T., Grause G., Lei Zh., Inomata H.,
by pyrolysis-gas chromatography // Polym. Degrad.
Mizoguchi T. Effects of metal oxides on the pyrolysis
Stab. 2013. V. 98. I. 5. P. 972-979. https://doi.
of poly(ethylene terephthalate) // J. Anal. Appl.
org/10.1016/j.polymdegradstab.2013.02.013
Pyrolysis. 2005. V. 73. I. 1. P. 139-144.
[31]
Lian F., Xing B., Zhu L. Comparative study on
https://doi.org/10.1016/j.jaap.2005.01.004
composition, structure and adsorbtion behavior of
[42]
Dai L., Karakas O., Lata S., Cobb K., Lei H., He Ch.,
activated carbons derived from different synthetic
Cheng Y., Chen P., Ruan R. Holistic utilization
waste polymers // J. Coll. Interface Sci. 2011. V. 360.
of waste plastics through a tandem process // J.
N 2. P. 725-730.
Environm. Chem. Eng. 2023. V. 11 (5). ID 110547.
https://doi.org/10.1016/j.jcis.2011.04.103
https://doi.org/10.1016/j.jece.2023.110547
[32]
Zhou H., Wu Ch., Onwudili J. A., Meng A., Zhang A.,
[43]
Xu L., Zhang L.-Y., Song H., Dong Q., Dong G.,
Williams P. T. Polycyclic aromatic hydrocarbons
Kong X., Fang Zh. Catalytic fast pyrolysis of
(PAH) formation from the pyrolysis of different
polyethylene terephthalate plastic for the selective
municipal solid waste fractions // Waste Manage.
production of terephthalonitrile under ammonia
2015. V. 36. P. 136-146.
atmosphere // Waste Manage. 2019. V. 92. P. 97-106.
https://doi.org/10.1016/j.wasman.2014.09.014
https://doi.org/10.1016/j.wasman.2019.05.011
[33]
Dzieciol M., Trzeszczynski J. Temperature and
[44]
Li Q.-L., Shan R., Wang Sh.-X., Yuan H.-R., Chen Y.
atmosphere influences on smoke composition during
Production of carbon nanotubes via catalytic pyrolysis
thermal degradation of poly(ethylene terephthalate) //
of waste plastics over Ni/Al2O3 catalyst: The influence
J. Appl. Polym. Sci. 2001. V. 81 (12). P. 3064-3068.
of plastic types // J. Anal. Appl. Pyrolysis. 2024.
https://doi.org/10.1002/app.1757
V. 177. ID 106318.
[34]
Montaudo G., Puglisi C., Samperi F. Primary thermal
https://doi.org/10.1016/j.jaap.2023.106318
degradation mechanisms of PET and PBT // Polym.
[45]
Aminu I., Nahil M. A., Williams P. T. Pyrolysis-plasma/
Degrad. Stab. 1993. V. 42. N 1. P. 13-28.
catalytic reforming of post-consumer waste plastics
https://doi.org/10.1016/0141-3910(93)90021-A
for hydrogen production // Catal. Today. 2023. V. 420.
[35]
Cit I., Sinag A., Yumak T., Ucar S., Misirioglu,
ID 114084.
Canel M. Comparative pyrolysis of polyolefins (PP
https://doi.org/10.1016/j.cattod.2023.114084
and LDPE) and PET // Polym. Bull. 2009. V. 64. N 8.
[46]
Straka P., Bičáková O., Šupová M. Slow pyrolysis of
P. 817-834.
waste polyethylene terephthalate yielding paraldehyde,
https://doi.org/10.1007/s00289-009-0225-x
ethylene glycol, benzoic acid and clean fuel // Polym.
938
Захарян Е. М., Максимов А. Л.
Degrad. Stab. 2022. V. 198. ID 109900. https://doi.
[56]
Garcıa A. N., Esperanza M. M., Font R. Comparison
org/10.1016/j.polymdegradstab.2022.109900
between product yields in the pyrolysis and
[47]
Barbarias I., Lopez G., Artetxe M., Arregi A., Bilbao J.,
combustion of different refuse // J. Anal. Appl.
Olazar M. Valorisation of different waste plastics by
Pyrolysis. 2003. V. 68-69. P. 577-598.
pyrolysis and in-line catalytic steam reforming for
https://doi.org/10.1016/S0165-2370(03)00066-4
hydrogen production // Energy Convers. Manage.
[57]
Deng Y., Wang Y.-Zh., Ban D.-M., Liu X.-H., Zhou Q.
2018. V. 156. P. 575-584.
Burning behavior and pyrolysis products of flame-
https://doi.org/10.1016/j.enconman.2017.11.048
retardant PET containing sulfur-containing aryl
[48]
Kumagai Sh., Yamasaki R., Kameda T., Saito Y.,
polyphosphonate // J. Anal. Appl. Pyrolysis. 2006.
Watanabe A., Watanabe Ch. Teramae N., Yoshioka T.
V. 76. N 1-2. P. 198-202.
Aromatic hydrocarbon selectivity as a function of
https://doi.org/10.1016/j.jaap.2005.11.002
CaO basicity and aging during CaO-catalyzed PET
[58]
Guo D.-M., Chen X.-Q., Tang L., Wu J.-N., Fu T.,
pyrolysis using tandem µ-reactor-GC/MS // Chem.
Wang X.-L., Wang X.-L., Chen L., Wang Y.-Zh. PET-
Eng. J. 2018. V. 332. P. 169-173.
based copolyesters with bisphenol A or bisphenol F
https://doi.org/10.1016/j.cej.2017.09.077
structural units: Their distinct differences in pyrolysis
[49]
Kumagai Sh., Yamasaki R., Kameda T., Saito Y.,
behaviours and flame-retardant performances // Polym.
Watanabe A., Watanabe Ch., Teramae N., Yoshioka T.
Degrad. Stab. 2015. V. 120. P. 158-168. https://doi.
Catalytic pyrolysis of poly(ethylene terephthalate) in
org/10.1016/j.polymdegradstab.2015.07.001
the presence of metal oxides for aromatic hydrocarbon
[59]
Wu Zh.-Zh., Ni Y.-P., Fu T., Liu B.-W., Wu W.-Sh.,
recovery using tandem μ-reactor-GC/MS // Energy
Chen L., Wang X.L., Wang Y.-Zh. Effect of biphenyl
Fuels. 2020. V. 34 (2). P. 2492-2500.
biimide structure on the thermal stability, flame
https://doi.org/10.1021/acs.energyfuels.9b02915
retardancy and pyrolysis behavior of PET // Polym.
[50]
Çepelioğullar Ö., Pütün A. E. Utilization of two
Degrad. Stab. 2018. V. 155. P. 162-172. https://doi.
different types of plastic wastes from daily and
org/10.1016/j.polymdegradstab.2018.07.017
industrial life // ICOEST Cappadocia 2023, Nevsehir,
[60]
Deng Y., Zhao Ch.-Zh., Wang Y.-Zh. Effects of
Turkey, June 18-21, 2013. https://citeseerx.ist.psu.edu/
phosphorus-containing thermotropic liquid crystal
document?repid=rep1&type=pdf&doi=93c162581175
copolyester on pyrolysis of PET and its flame
71485383b3149e16fec50827e08c
retardant mechanism // Polym. Degrad. Stab. 2008.
[51]
Shangwa N. L., Chinguwa S., Nyemba W. R., Jen T.-Ch.
V. 93. I. 11. P. 2066-2070. https://doi.org/10.1016/j.
Conceptualization and design of a small pyrolysis
polymdegradstab.2008.02.022
plant for the sustainable production of paraffin from
[61]
Du X.-H., Zhao Ch.-Sh., Wang Y.-Zh., Zhou Q.,
plastic waste // Proced. CIRP. 2020. V. 91. P. 362-366.
Deng Y., Qu M.-H., Yang B. Thermal oxidative
https://doi.org/10.1016/j.procir.2020.03.104
degradation behaviours of flame-retardant
[52]
Zhang H., Zhou X.-L., Shao L.-M., Lü F., He P.-J.
thermotropic liquid crystal copolyester/PET blends
Upcycling of PET waste into methane-rich gas and
// Mater. Chem. Phys. 2006. V. 98. N 1. P. 172-177.
hierarchical porous carbon for high-performance
https://doi.org/10.1016/j.matchemphys.2005.09.013
supercapacitor by autogenic pressure pyrolysis
[62]
Oh D., Lee X.W., Kim Y.-M., Park Y.-K. Catalytic
and activation // Sci. Tot. Environm. 2021. V. 772.
pyrolysis of polystyrene and polyethylene
ID 145309.
terephthalate over Al-MSU-F // Energy Proced. 2018.
https://doi.org/10.1016/j.scitotenv.2021.145309
V. 144. P. 111-117.
[53]
Cherednichenko A. G., Markova E. B., Sheshko T. F.,
https://doi.org/10.1016/j.egypro.2018.06.015
Morozova E. A. Thermal-catalytic destruction of
[63]
Diaz-Silvarrey L. S., McMahon A., Phan A. N. Benzoic
polyolephin polymers in presence of LnVO3 and
acid recovery via waste poly(ethylene terephthalate)
LnVO4 // Catal. Today. 2021. V. 379. P. 80-86.
(PET) catalytic pyrolysis using sulphated
https://doi.org/10.1016/j.cattod.2021.03.012
zirconia catalyst // J. Anal. Appl. Pyrolysis. 2018.
[54]
Du S., Valla J. A., Parnas R. S., Bollas G. M.
V. 134. P. 621-631.
Conversion of polyethylene terephthalate based waste
https://doi.org/10.1016/j.jaap.2018.08.014
carpet to benzene-rich oils through thermal, catalytic,
[64]
Havelcová M., Bičáková O., Sýkorová I.,
and catalytic steam pyrolysis // ACS Sustain. Chem.
Weishauptová Z., Melegy A. Characterization of
Eng. 2016. V. 4 (5). P. 2852-2860.
products from pyrolysis of coal with the addition of
https://doi:10.1021/acssuschemeng.6b00450
polyethylene terephthalate // Fuel Process. Techn.
[55]
Sogancioglu M., Ahmetli G., Yel E A Comparative
2016. V. 154. P. 123-131.
study on waste plastics pyrolysis liquid products
https://doi.org/10.1016/j.fuproc.2016.08.022
quantity and energy recovery potential // Energy
[65]
Ahamed A., Veksha A., Yin K., Weerachanchai P.,
Proced. 2017. V. 118. P. 221-226.
Giannis A., Lisak G. Environmental impact assessment
https://doi.org/10.1016/j.egypro.2017.07.020
of converting flexible packaging plastic waste to
Пиролиз полиэтилентерефталата: особенности процесса и состав продуктов реакции (обзор)
939
pyrolysis oil and multi-walled carbon nanotubes // J.
modeling and machine learning // Chem. Eng. J. 2023.
Hazard. Mater. 2020. V. 390. ID 121449.
V. 468. ID 143637.
https://doi.org/10.1016/j.jhazmat.2019.121449
https://doi.org/10.1016/j.cej.2023.143637
[66]
Veksha A., Yin K., Moo Sh., Oh W.-D., Ahamed A.,
[76]
Coralli I., GiorgiV., Vassura I., Rombolà A. G.,
Chen W.Q., Weerachanchai P., Giannis A., Lisak G.
Fabbri D. Secondary reactions in the analysis of
Processing of flexible plastic packaging waste into
microplastics by analytical pyrolysis // J. Anal. Appl.
pyrolysis oil and multi-walled carbon nanotubes for
Pyrolysis. 2022. V. 161. ID 105377.
electrocatalytic oxygen reduction // J. Hazard. Mater.
https://doi.org/10.1016/j.jaap.2021.105377
2020. V. 387. ID 121256.
[77]
Kulesza K., German K. Chlorinated pyrolysis
https://doi.org/10.1016/j.jhazmat.2019.121256
products of co-pyrolysis of poly(vinyl chloride) and
[67]
Wei Sh., Kamali A. R. Dual-step air-thermal treatment
poly(ethylene terephthalate) // J. Anal. Appl. Pyrolysis.
for facile conversion of PET into porous carbon
2003. V. 67. N 1. P. 123-134.
particles with enhanced dye adsorption performance
https://doi.org/10.1016/S0165-2370(02)00057-8
// Diamond Rel. Mater. 2020. V. 107. ID 107914.
[78]
Gao P., Hu Z., Sheng Y., Pan W., Ding L., Tang L.,
https://doi.org/10.1016/j.diamond.2020.107914
Chen X., Wang F. Pyrolysis of municipal plastic
[68]
Ko S., Kwon E. J., Lee J. Y., Jeon Y.-P. Preparation of
waste: Chlorine distribution and formation of organic
synthetic graphite from waste PET plastic // J. Ind.
chlorinated compounds // Sci. Tot. Environm. 2024.
Eng. Chem. 2020. V. 83. P. 449-458.
V. 912. ID 169572.
https://doi.org/10.1016/j.jiec.2019.12.018
https://doi.org/10.1016/j.scitotenv.2023.169572
[69]
Półrolniczak P., Kasprzak D., Kaźmierczak-Raźna J.,
[79]
Bhaskar T., Kaneko J., Muto A., Sakata Y., Jakab E.,
Walkowiak M., Nowicki P., Pietrzak R. Composite
Matsui T., Uddin Md.A. Effect of poly(ethylene
sulfur cathode for Li-S batteries comprising
terephthalate) on the pyrolysis of brominated flame
hierarchical carbon obtained from waste PET bottles
retardant containing high impact polystyrene and
// Synthetic Metals. 2020. V. 261. ID 116305.
catalytic debromination of the liquid products // J.
https://doi.org/10.1016/j.synthmet.2020.116305
Anal. Appl. Pyrolysis. 2004. V. 71. N 2. P. 765-777.
[70]
Xie G., Zhu G., Kang Y., Zhu M., Lu Q., He Ch., Xu L.,
https://doi.org/10.1016/j.jaap.2003.10.006
Fang Zh. Valorization of waste PET: Understanding
[80]
Xu Z., Cheng C., Zhong J., Gao W., Li J., Liu J. Co-
the role of active ammonia in facilitating PET
pyrolytic interactions and products of brominated
depolymerization and aromatic nitrile formation // J.
epoxy resin and polyethylene terephthalate: TG-FTIR
Clean. Product. 2024. V. 434. ID 140204.
analysis and machine learning prediction // J. Anal.
https://doi.org/10.1016/j.jclepro.2023.140204
Appl. Pyrolysis. 2023. V. 175. ID 106223.
[71]
Lee J., Lee T., Tsang Y. F., Oh J.-I., Kwon E. E.
https://doi.org/10.1016/j.jaap.2023.106223
Enhanced energy recovery from polyethylene
[81]
Czégény Z., Jakab E., Blazsó M., Bhaskar T., Sakata Y.
terephthalate via pyrolysis in CO2 atmosphere
Thermal decomposition of polymer mixtures of PVC,
while suppressing acidic chemical species // Energy
PET and ABS containing brominated flame retardant:
Convers. Manage. 2017. V. 148. P. 456-460.
Formation of chlorinated and brominated organic
https://doi.org/10.1016/j.enconman.2017.06.026
compounds // J. Anal. Appl. Pyrolysis. 2012. V. 96.
[72]
Williams P. T., Slaney E. Analysis of products from
P. 69-77. https://doi.org/10.1016/j.jaap.2012.03.006
the pyrolysis and liquefaction of single plastics and
[82]
Pal S. K., Prabhudesai V. S., Vinu R. Catalytic
waste plastic mixtures // Res. Conserv. Recycl. 2007.
upcycling of post-consumer multilayered plastic
V. 51 (4). P. 754-769.
packaging wastes for the selective production of
https://doi.org/10.1016/j.resconrec.2006.12.002
monoaromatic hydrocarbons // J. Environm. Manage.
[73]
Nasution F., Husin H., Mahidin, Abnisa F., Yani F. T.,
2024. V. 351. ID 119630.
Maulinda L., Ahmadi. Conversion of pyrolysis vapors
https://doi.org/10.1016/j.jenvman.2023.119630
derived from non-biodegradable waste plastics
[83]
Song K., Li Y., Wang N., Hou W., Zhang R., Liu J.,
(PET) into valuable fuels using nickel-impregnated
Zhou Q., Yan D., Lu X. Co-pyrolysis mechanism of
HZSM5-70 catalysts // Energy Convers. Manage.
PP and PET under steam atmosphere // J. Anal. Appl.
2022. V. 273. ID 116440.
Pyrolysis. 2023. V. 173. ID 106033.
https://doi.org/10.1016/j.enconman.2022.116440
https://doi.org/10.1016/j.jaap.2023.106033
[74]
Dyer A. C., Nahil M. A., Williams P. T. Catalytic co-
[84]
Miandad R., Barakat M. A., Aburiazaiza A. S.,
pyrolysis of biomass and waste plastics as a route to
Rehan M., Ismail I. M. I., Nizami A. S. Effect of plastic
upgraded bio-oil // J. Energy Inst. 2021. V. 97. P. 27-
waste types on pyrolysis liquid oil // Int. Biodeteriorat.
36. https://doi.org/10.1016/j.joei.2021.03.022
Biodegrad. 2017. V. 119. P. 239-252.
[75]
Perez B. A., Krishna J. V. J., Toraman H. E. Insights
https://doi.org/10.1016/j.ibiod.2016.09.017
into co-pyrolysis of polyethylene terephthalate and
[85]
Grause G., Matsumoto Sh., Kameda T., Yoshioka T.
polyamide 6 mixture through experiments, kinetic
Pyrolysis of mixed plastics in a fluidized bed of hard
940
Захарян Е. М., Максимов А. Л.
burnt lime // Ind. Eng. Chem. Res. 2011. V. 50 (9).
[96]
Ko K.-H., Sahajwalla V., Rawal A. Specific
P. 5459-5466. https://doi.org/10.1021/ie102412h
molecular structure changes and radical evolution
[86]
Honus S., Kumagai Sh., Fedorko G., Molnár V.,
during biomass-polyethylene terephthalate co-
Yoshioka T. Pyrolysis gases produced from individual
pyrolysis detected by 13C and 1H solid-state NMR //
and mixed PE, PP, PS, PVC, and PET — Part I:
Bioresourc. Technol. 2014. V. 170. P. 248-255.
Production and physical properties // Fuel. 2018.
https://doi.org/10.1016/j.biortech.2014.06.109
V. 221. P. 346-360.
[97]
Park Y.-K., Jung J., Ryu S., Lee H. W., Siddiqui
https://doi.org/10.1016/j.fuel.2018.02.074
M. Z., Jae J., Watanabe A., Kim Y.-M. Catalytic co-
[87]
Honus S., Kumagai Sh., Molnár V., Fedorko G.,
pyrolysis of yellow poplar wood and polyethylene
Yoshioka T. Pyrolysis gases produced from individual
terephthalate over two stage calcium oxide-ZSM-5
and mixed PE, PP, PS, PVC, and PET — Part II:
// Appl. Energy. 2019. V. 250. P. 1706-1718.
Fuel characteristics // Fuel. 2018. V. 221. P. 361-373.
https://doi.org/10.1016/j.apenergy.2019.05.088
https://doi.org/10.1016/j.fuel.2018.02.075
[98]
Cupertino G. F. M., da Silva Á. M., Pereira A. K. S.,
[88]
Wang P., Qiao L., Wang W., Yu J. Catalytic pyrolysis
Delatorre F. M., Ucella-Filho J. G. M., de
of waste composite plastics with waste FCC catalyst
Souza E. C., Profeti D., Profeti L. P. R., Oliveira M. P.,
// J. Energy Inst. 2023. V. 110. ID 101338.
Saloni D., Luque R., Dias Júnior A. F. Co-pyrolysis
https://doi.org/10.1016/j.joei.2023.101338
of biomass and polyethylene terephthalate (PET)
[89]
Adnan, Shah J., Jan M. R. Effect of polyethylene
as an alternative for energy production from waste
terephthalate on the catalytic pyrolysis of polystyrene:
valorization // Fuel. 2024. V. 362. ID 130761.
Investigation of the liquid products // J. Taiwan Inst.
https://doi.org/10.1016/j.fuel.2023.130761
Chem. Eng. 2015. V. 51. P. 96-102.
[99]
Chen L., Wang Sh., Meng H., Wu Zh., Zhao J. Study
https://doi.org/10.1016/j.jtice.2015.01.015
on gas products distributions during fast co-pyrolysis
[90]
Peng H., Li P., Yang Q. Pyrolysis of polyester and
of Paulownia wood and PET at high temperature //
viscose fiber over ZSM-5: Synergistic effect and
Energy Proced. 2017. V. 105. P. 391-397.
distribution of products // J. Therm. Anal. Calorim.
https://doi.org/10.1016/j.egypro.2017.03.331
2022. V. 147. P. 12535-12545.
[100]
Chen L., Wang Sh., Meng H., Wu Zh., Zhao J.
https://doi.org/10.1007/s10973-022-11521-2
Synergistic effect on thermal behavior and char
[91]
Obuchi E., Suyama M., Nakano K. Decomposition
morphology analysis during co-pyrolysis of
of mixed plastics consisting of polypropylene and
paulownia wood blended with different plastics
polyethylene terephthalate into oils over titania/silica
waste // Appl. Therm. Eng. 2017. V. 111. P. 834-846.
catalysts // J. Mater. Cycles Waste Manag. 2001. V. 3.
https://doi.org/10.1016/j.applthermaleng.2016.09.155
P. 88-92. https://doi.org/10.1007/s10163-000-0043-6
[101]
Li Ch., Sun Y., Li Q., Zhang L., Zhang Sh., Wang H.,
[92]
Cai W., Kumar R., Zheng Y., Zhu Zh., Wong J. W. C.,
Hu G., Hu X. Effects of volatiles on properties of
Zhao J. Exploring the potential of clay catalysts in
char during sequential pyrolysis of PET and cellulose
catalytic pyrolysis of mixed plastic waste for fuel and
// Renew. Energy. 2022. V. 189. P. 139-151.
energy recovery // Heliyon. 2023. V. 9 (12). e23140.
https://doi.org/10.1016/j.renene.2022.02.091
https://doi.org/10.1016/j.heliyon.2023.e23140
[102]
Zhong M., Li J., Zhou L., Wang T., Liu J.,
[93]
Al-asadi M., Miskolczi N., Eller Z. Pyrolysis-gasification
Mei M., Chen S. Co-pyrolysis of cellulose and
of wastes plastics for syngas production using metal
polyethylene terephthalate by TG-MS: Pyrolysis
modified zeolite catalysts under different ratio of
behavior, conventional gas and solid phase product
nitrogen/oxygen // J. Clean. Product. 2020. V. 271. ID
characteristics // J. Anal. Appl. Pyrolysis. 2023.
122186. https://doi.org/10.1016/j.jclepro.2020.122186
V. 172. ID 106002.
[94]
Chen Y., Wang Zh., Chen G., Wang Q., Sun T.,
https://doi.org/10.1016/j.jaap.2023.106002
Zhang M., Du Zh., Wu M., Guo Sh., Lei T., Burra K. G.,
[103]
Kumar Mishra R., Sahoo A., Mohanty K. Pyrolysis
Gupta A. K. Synergistic effects and products yield
kinetics and synergistic effect in co-pyrolysis of
analyses based on co-pyrolysis of poplar tree
Samanea saman seeds and polyethylene terephthalate
and rape stalks with polyethylene terephthalate
using thermogravimetric analyser // Bioresourc.
and polypropylene // J. Energy Inst. 2024. V. 112.
Technol. 2019. V. 289. ID 121608.
ID 101461. https://doi.org/10.1016/j.joei.2023.101461
https://doi.org/10.1016/j.biortech.2019.121608
[95]
Wu M., Wang Zh., Chen G., Zhang M., Sun T.,
[104]
Ahiekpor J.C., Mensah I., Bensah E.C., Narra S.,
Wang Q., Zhu H., Guo Sh., Chen Y., Zhu Y., Lei T.,
Amponsem B., Antwi E. Modeling the behavior
Burra K. G., Gupta A. K. Synergistic effects and
of Celtis mildbraedii sawdust and polyethylene
products distribution during Co-pyrolysis of biomass
terephthalate co-pyrolysis for syngas production //
and plastics // J. Energy Inst. 2023. V. 111. ID 101392.
Scientific Afric. 2023. V. 19. e01450.
https://doi.org/10.1016/j.joei.2023.101392
https://doi.org/10.1016/j.sciaf.2022.e01450
Пиролиз полиэтилентерефталата: особенности процесса и состав продуктов реакции (обзор)
941
[105]
Ko K.-H., Rawal A., Sahajwalla V. Analysis of
with deep learning methodology // J. Anal. Appl.
thermal degradation kinetics and carbon structure
Pyrolysis. 2023. V. 175. ID 106193.
changes of co-pyrolysis between macadamia nut
https://doi.org/10.1016/j.jaap.2023.106193
shell and PET using thermogravimetric analysis and
[110]
Jin X., Lee J. H., Choi J. W. Catalytic co-pyrolysis
13C solid state nuclear magnetic resonance // Energy
of woody biomass with waste plastics: Effects of
Convers. Manage. 2014. V. 86. P. 154-164.
HZSM-5 and pyrolysis temperature on producing
https://doi.org/10.1016/j.enconman.2014.04.060
high-value pyrolytic products and reducing wax
[106]
Özsin G., Pütün A. E A comparative study on
formation // Energy. 2022. V. 239. Part A. ID 121739.
co-pyrolysis of lignocellulosic biomass with
https://doi.org/10.1016/j.energy.2021.121739
polyethylene terephthalate, polystyrene, and
[111]
Liu Y., Fu W., Liu T., Zhang Y., Li B. Microwave
polyvinyl chloride: Synergistic effects and product
pyrolysis of polyethylene terephthalate (PET) plastic
characteristics // J. Clean. Product. 2018. V. 205.
bottle sheets for energy recovery // J. Anal. Appl.
P. 1127-1138.
Pyrolysis. 2022. V. 161. ID 105414.
https://doi.org/10.1016/j.jclepro.2018.09.134
https://doi.org/10.1016/j.jaap.2021.105414
[107]
Çepelioğullar Ö., Pütün A. E. Products
[112]
Suriapparao D. V., Kumar Dh.A., Vinu R. Microwave
characterization study of a slow pyrolysis of
co-pyrolysis of PET bottle waste and rice husk: Effect
biomass-plastic mixtures in a fixed-bed reactor //
of plastic waste loading on product formation //
J. Anal. Appl. Pyrolysis. 2014. V. 110. P. 363-374.
Sustain. Energy Technol. Assessm. 2022. V. 49.
https://doi.org/10.1016/j.jaap.2014.10.002
ID 101781.
[108]
Amrullah A., Farobie O., Septarini Sh., Satrio J. A.
https://doi.org/10.1016/j.seta.2021.101781
Synergetic biofuel production from co-pyrolysis of
[113]
Zhao Zh., Abdo S. M. A., Wang X., Li H., Li X.,
food and plastic waste: Reaction kinetics and product
Gao X. Process intensification on co-pyrolysis of
behavior // Helyion. 2022. V. 8 (8). e10278.
polyethylene terephthalate wastes and biomass via
https://doi.org/10.1016/j.heliyon.2022.e10278
microwave energy: Synergetic effect and roles of
[109]
Zhang Z., Xu D., He Z., Wang Sh. Synergistic
microwave susceptor // J. Anal. Appl. Pyrolysis.
interaction for catalytic co-pyrolysis of municipal
2021. V. 158. ID 105239.
paper and polyethylene terephthalate wastes coupling
https://doi.org/10.1016/j.jaap.2021.105239