АГРОНОМИЯ
Е.Н. Киселёва
М.А. Раченко, доктор сельскохозяйственных наук
Л.Е. Камышова, А.М. Раченко
Сибирский институт физиологии и биохимии растений СО РАН
РФ, 664038, г. Иркутск, ул. Лермонтова, 132
E-mail: bigmks73@rambler.ru
УДК 634.711.1
DOI:10.30850/vrsn/2021/1/33-36
БИОЛОГО-ХОЗЯЙСТВЕННЫЕ ОСОБЕННОСТИ РЕМОНТАНТНОЙ МАЛИНЫ
В УСЛОВИЯХ ЮГО-ВОСТОЧНОЙ ЛЕСОСТЕПНОЙ ЗОНЫ ИРКУТСКОЙ ОБЛАСТИ
Исследования проводили на территории коллекционного участка СИФИБР СО РАН. Объектами изучения послужили
10 сортов и 3 отборные формы ремонтантной малины селекции Всероссийского селекционно-технологического института
садоводства и питомниководства. Малину возделывали в однолетней культуре. Биолого-хозяйственные особенности объек-
та на территории лесостепной зоны Предбайкалья изучали маршрутным способом. Фактическую продуктивность учиты-
вали по массе созревших ягод на одном кусте до наступления сильных заморозков. В работе руководствовались программой
и методикой сортоизучения плодовых, ягодных и орехоплодных культур. По результатам наблюдений дана сравнительная
биолого-хозяйственная оценка культуры по продуктивности и срокам созревания плодов, особенностям формирования ку-
стов у некоторых сортов. Из скороспелых сортов отмечены Недосягаемая, Пингвин, Золотые купола, Евразия - начинают
плодоносить в первой декаде августа. Наибольшая стабильность по продуктивности выявлена у сортов: Геракл, Оранжевое
чудо, Рубиновое ожерелье и формы 37-15-4. Ягоды у сортов Апельсин, Золотые купола, Рубиновое ожерелье, формы 1-220-1
в дождливый период повреждаются гнилями, растения сортов Недосягаемая, Пингвин, Геракл, Апельсин и Золотые купола -
паутинным клещом.
Ключевые слова: сорт, продуктивность, ремонтантная малина, масса ягоды, Иркутская область.
E.N. Kiseleva
M. A. Rachenko, Grand PhD in Agricultural sciences
L. E. Kamyshova, A.M. Rachenko
Siberian Institute of Plant Physiology and Biochemistry, Siberian Branch of RAS
RF, 664033, g. Irkutsk, ul. Lermontova, 132
E-mail: bigmks73@rambler.ru
BIOLOGICAL AND ECONOMIC FEATURES OF EVERBEARING RASPBERRY
IN SOUTHEAST CONDITION OF FOREST STEPPE ZONE IN IRKUTSK REGION
The purpose of this work was to study biological and economic peculiarities of repair raspberry varieties cultivated in the south-eastern
part of Irkutsk region. The research was conducted on the territory of the collection site of SIFIBR SB RAS. The objects of research
were 10 varieties and 3 selected forms of repair raspberries of selection of FSBNU “All-Russian Breeding and Technological Institute
of Horticulture and Nursery Management”. Raspberries were cultivated in annual culture.Biological and economic peculiarities of the
object of research on the territory of the forest-steppe zone of the Predbaikal region were studied by the route method. Actual productivity
was taken into account by mass of ripe berries on one bush before severe frosts. The research was carried out according to the program
and methods of variety study of fruit, berry and nut crops. According to the results of observations a comparative biological and economic
assessment of the studied objects by productivity and terms of fruit ripening, peculiarities of bush formation in some varieties was given.
Key word: variety, productivity, repair raspberry, berry, maximum weight, average weight.
Ремонтантная малина - одна из малоизученных
им. Ежевского: Е.И. Раченко, Н.Э. Мартынова,
культур в Предбайкалье. Эту культуру исследовали
М.А. Раченко (2010-2017), М.Ю. Пущина, Р.А Са-
специалисты СИФИБР СО РАН и Иркутского ГАУ
гирова (2017). [4, 6]
33
АГРОНОМИЯ
Ремонтантная малина вызывает интерес способ-
РЕЗУЛЬТАТЫ И ОБСУЖДЕНИЕ
ностью плодоносить как на двухлетних, так и одно-
летних побегах. При однолетнем использовании
Формирование куста
стебли с листьями, которые чаще всего - источники
инфекций, в конце осени срезают и уничтожают. Та-
У сортов Пингвин, Золотые купола, Евразия плодо-
кой способ дает возможность снизить энергозатраты
ношение, как правило, начинается в первой дека-
на укрытие посадок, уменьшить накопление воз-
де августа, 2019 год не стал исключением. Позже
будителей болезней (Septoria rubi Sacc., Gloeosporium
созревают плоды у сортов: Жар птица, Оранжевое
venetum Speg., Didymella applanata Sacc.) и вредителей,
чудо, у форм 32-151-1 и 37-15-4 во второй-третьей
зимующих на остатках растений. Ученые отмечают
декаде августа. У сортов Апельсин, Рубиновое ожере-
достоинство ремонтантной малины - ее выращива-
лье, Бриллиантовая эта фаза наступает с первой де-
ние может продлить срок потребления свежих ягод
кады августа по первую сентября, в зависимости от
на 1,5…2 мес. [8] Объясняется это тем, что плодоно-
года (табл. 1). Формирование и созревание плодов
шение у ремонтантных форм наступает позже, чем
продолжается до устойчивых заморозков.
у малины обыкновенной, но оно растянутое и про-
За вегетационный период растения формиро-
должается до того времени, когда заморозки пере-
вались дважды с подвязыванием кустов к шпалере.
стают нести спорадический характер. Считается, что
Высокорослым сортам - Оранжевое чудо (средняя
наиболее яркий и существенный показатель высо-
высота стебля 151,9 см), Жар птица (156,8 см) и ги-
кой адаптации сорта - его продуктивность. [1]
брид 32-151-1 (169,3 см) - необходима была допол-
Иркутский район относится к юго-восточной
нительная подвязка.
лесостепной зоне и характеризуется продолжитель-
Низкорослым сортам - Евразия (средняя высота
ностью вегетационного периода 120…130 дней, сум-
стеблей 88,9 см), Пингвин (95,8 см) и гибриду 1-220-1
ма температур выше 10°С составляет 1600…1900°С.
(86,4 см) достаточно было и одной подвязки. Куст
Безморозный период - 95 дней. Осадков выпадает в
формировали в 3-4 стебля.
год 170…450 мм, с мая по сентябрь - 160…270 мм. [7]
У сортов Пингвин, Евразия, Золотые купола,
Климатические условия нельзя назвать благоприят-
форм 1-220-1 и 32-151-1 оставляли 4-5 стеблей, так
ными, но возделывание этой культуры возможно.
как они были хрупкими, легко обламывались у ос-
По данным И.В. Казакова ремонтантным сортам
нования.
для созревания плодов требуется
120…130 без-
морозных суток при сумме активных температур
Урожайность
1800…2000°С. [3] И эти условия выполнимы.
В перспективе планируется отбор родительских
В работах селекционеров показана важность
форм с целью формирования коллекции сортов для
урожайности куста [2], которая определяется ком-
дальнейшего развития культуры в регионе. Harvey K.
плексом показателей: количество генеративных
в своих работах отмечает, что некоторые признаки,
побегов, ягод на кусте и их масса. Основной ком-
такие как урожайность, устойчивость, количество и
понент продуктивности - масса плодов. [2] За пе-
высота побегов, здоровье растений не могут быть оце-
риод наблюдений самыми крупноплодными были
нены до второго или третьего сезона сбора урожая. [9]
сорта - Рубиновое ожерелье (максимальная масса
Цель работы - проанализировать биолого-хо-
8…9 г), Геракл (7…8), Оранжевое чудо (6…6,9), Жар
зяйственные особенности сортов, возделываемых
птица (6…7,5) и формы 37-15-4 и 32-151-1 (6,5…8 г)
на коллекционном участке для отбора адаптивных
(табл. 2). Максимальный размер плодов сохраняет-
и устойчиво продуктивных сортов.
ся в течение ряда лет, то есть он наиболее стабилен
и меньше подвержен влиянию погодных условий.
МАТЕРИАЛЫ И МЕТОДЫ
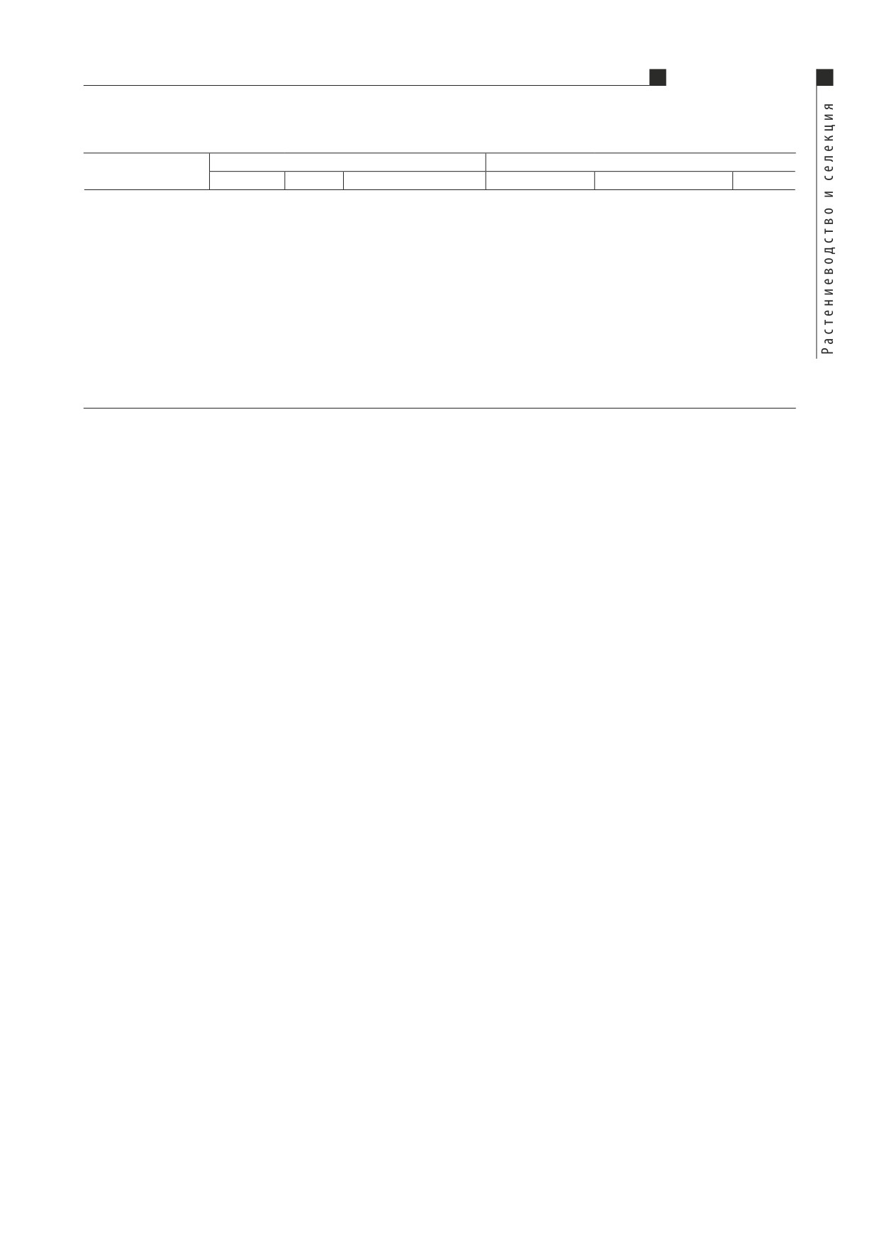
Таблица 1.
Объектом исследования послужили 10 сортов и
Время плодоношения ремонтантной малины
в юго-восточной части Иркутской области
3 отборные формы ремонтантной малины селекции
Всероссийского селекционно-технологического
института садоводства и питомниководства, возде-
Дата вступления в плодоношение
Форма, сорт
лываемые в питомнике СИФИБР СО РАН.
в 2019 году
средняя по годам
Растения на коллекционном участке выращивали
32-151-1
28 августа
8-13 августа
в равных агротехнических и климатических условиях.
37-15-4
28 августа
8-15 августа
Изучали биолого-хозяйственные особенности:
1-220-1
31июля
10-12 августа
продуктивность, сроки созревания плодов, особен-
Евразия
14 августа
13-18 августа
ности формирования кустов, устойчивость к гни-
Пингвин
07 августа
31 июля-8 августа
лям плодов и поражаемости паутинным клещом.
Геракл
14 августа
31 августа
Продуктивность определяли с каждого растения
Золотые купола
07 августа
2-7 августа
от начала плодоношения до наступления устойчи-
Оранжевое чудо
28 августа
12-17 августа
вых и продолжительных заморозков. Отмечали ми-
Рубиновое ожерелье
28 августа
31 июля-8августа
нимальную и максимальную массу ягоды с растения
Жар птица
02 сентября
28 августа
и сорта в целом.
Апельсин
13 сентября
0
Среднюю массу плодов вычисляли взвешивани-
Фаза плодоношения
ем 100 ягод и делением полученного показателя на
Бриллиантовая
30 августа
не наступила
их количество. Статистическую обработку резуль-
Недосягаемая
-
31 июля-5 августа
татов проводили по стандартной методике.
ВЕСТНИК РОССИЙСКОЙ СЕЛЬСКОХОЗЯЙСТВЕННОЙ НАУКИ • № 1-2021
34
АГРОНОМИЯ
Таблица 2.
Масса и продуктивность ягод ремонтантной малины, выращенной в юго-восточной части Иркутской области
Средняя масса ягоды, г
Средняя максимальная масса ягоды, г
Форма, сорт
в 2019 году
по годам
максимальная в 2019 году
в среднем по годам
максимальная в 2019 году
по годам
1-220-1
3,1±1,0
5,3±0,45
4,6±1,09
6,7±0,73
6
8,0
32-151-1
2,8±0,75
6,0±0,87
7±1,56
8,2±1,69
6
12,0
37-15-4
3,4±1,15
3,9±0,57
7,1±1,29
5,9±0,47
8
6,5
Евразия
2,2±0,74
3,6±0,63
3,7±1,06
6,1±0,62
5
7,1
Пингвин
2,3±0,50
4,3±0,43
4,6±0,52
6,0±0,23
5
6,3
Геракл
3,3±0,57
5,6±0,75
6,1±0,74
7,3±0,51
7
8,5
Золотые купола
1,9±1,0
3,9±0,56
2,7±0,48
5,5±0,63
3
5,7
Оранжевое чудо
3,6±0,98
3,7±0,47
5,5±0,53
6,5±0,33
6
6,9
Рубиновое ожерелье
3,2±0,95
3,4±0,73
6,6±0,84
7,9±0,76
8
9,2
Жар птица
2,9±0,98
5,4±0,74
4,5±0,97
6,5±0,58
6
7,5
Апельсин
3,6±0,59
0
6,3±0,58
0
7
0
Бриллиантовая
0
5,8±0,29
0
6,4±0,57
0
7,2
Недосягаемая
0
4,2±0,43
0
6,2±0,33
0
6,9
Небольшой, но устойчивый по годам максималь-
3.
Казаков, И.В., Ремонтантная малина в России. /
ный размер плодов у сорта Пингвин (5…6,3 г).
И.В. Казаков, А.И. Сидельников, В.В. Степанов. -
У сортов Евразия, Золотые купола, форм 1-220-1
Челябинск: Науч.-произв. об-ние «Сад и огород»,
и 32-151-4 показатели максимальной массы плодов
(Изд. 3-е, с изм. и доп.), 2010. - 136 с.
варьируют по годам, возможно, они более подвер-
4.
Пущина, М.Ю. Оценка продуктивности сортов мали-
жены влиянию погодных условий в вегетационный
ны ремонтантного типа в связи с ее интродукцией в ус-
период.
ловиях Предбайкалья/ М.Ю. Пущина, М.А. Раченко,
Наблюдения исследователей показали, что в ре-
Р.А. Сагирова// Вестник ИрГСХА. - 2017. - № 79. -
гионе среди изученных растений ни один сорт и от-
С. 67-72.
борная форма не смогли на 100 % реализовать свой
5.
Пущина, М.Ю. Наиболее популярные сорта малины
потенциал. [5] Можно заключить не о полной, а о
в условиях лесостепной зоны Предбайкалья/ М.Ю. Пу-
стабильной отдаче урожая в течение ряда лет. Этот
щина, М.А. Раченко, Р.А. Сагирова//Актуальные во-
момент более значим, чем 100 %-я отдача.
просы аграрной науки. - 2017. - № 25. - С. 12-20.
Другой важный показатель - средняя макси-
6.
Раченко, Е.И. Эколого-биологические особенности
мальная масса ягод исследуемых сортов и форм по
ремонтантных сортов малины в условиях юга Ир-
годам. Не стабильными с разницей более 2 г были
кутской области/ Е.И. Раченко, Н.Э. Мартынова,
сорта: Евразия, Жар птица, Золотые купола, форма
М.А. Раченко //Современное садоводство. - 2013. -
1-220-1.
№ 3. - С. 76-81.
Мы сравнили среднюю массу плодов на старых и
7.
Солодун, В.И., Методология разработки адаптивно-
молодых растениях. Значительное снижение (более
ландшафтных систем земледелия для агроландшафтов
чем на 2 г) отмечено у сортов: Золотые купола, Жар
Предбайкалья/ В.И. Солодун, А.М. Зайцев// Вестник
птица, Геракл, Пингвин и форм 1-220-1, 32-151-4,
ИрГСХА. - 2015. - № 71. - C. 24-31.
незначительно этот показатель (менее 1,5 г) отлича-
8.
Щербакова, Г.В. Выращивание саженцев малины ре-
ется у Евразии, Оранжевого чуда, Рубинового ожере-
монтантного типа/ Г.В. Щербакова, Е.С. Кравцова //
лья и формы 37-15-4.
Известия Санкт-Петербургского аграрного универси-
В работе изучали устойчивость растений ремон-
тета. - 2019. - № 1 (54). - С. 16-20.
тантной малины к болезням и вредителям
9.
Harvey K. Hall, Plant Breeding Reviews/ Harvey K. Hall,
Установлено, что в дождливый период у со-
Kim E. Hummer, Andrew R. Jamieson et al.// Raspberry
ртов Апельсин, Золотые купола, Рубиновое ожерелье
Breeding and Genetics. - October 2009. - Volume 32. -
и у формы 1-220-1 ягода становится водянистой и
pp. 39 - 353.
сильно поражается плодовыми гнилями. Сорта Не-
досягаемая, Пингвин, Геракл, Апельсин и Золотые ку-
LIST OF SOURCES
пола чаще других поражаются паутинным клещом
1. Bogomolova, N.I. Osnovnye biometricheskie parametry
(Tetranychus sp.).
rastenij maliny kak sostavlyayushchie vysokoj produk-
tivnosti sorta./ N.I. Bogomolova //Vestnik agrarnoj nauki,
СПИСОК ИСТОЧНИКОВ
2018. - № 3 (72). -S. 19-23.
1. Богомолова, Н.И. Основные биометрические пара-
2. Evdokimenko, S.N. Biologicheskij potencial remontantnoj
метры растений малины как составляющие высокой
maliny v selekcii na produktivnost’/ S.N. Evdokimenko,
продуктивности сорта./ Н.И. Богомолова //Вестник
I.V. Alekseenko// Sbornik nauchnyh trudov Gosudarstven-
аграрной науки. - 2018. - № 3 (72). - С. 19-23.
nogo Nikitskogo botanicheskogo sada. - 2019. - T. 148. -
2. Евдокименко, С.Н. Биологический потенциал ре-
S. 170-179.
монтантной малины в селекции на продуктивность/
3. Kazakov, I.V., Remontantnaya malina v Rossii. /I.V Ka-
С.Н. Евдокименко, И.В. Алексеенко// Сборник науч-
zakov, A.I. Sidel’nikov, V.V Stepanov. - CHelyabinsk:
ных трудов Государственного Никитского ботаниче-
Nauch.-proizv. ob-nie «Sad i ogorod», (Izd. 3-e, s izm. i
ского сада. - 2019. - Т. 148. - С. 170-179.
dop.), 2010. - 136 s.
35
АГРОНОМИЯ
4. Pushchina, M.YU. Ocenka produktivnosti sortov maliny re-
7. Solodun, V.I., Metodologiya razrabotki adaptivno-land-
montantnogo tipa v svyazi s ee introdukciej v usloviyah Pred-
shaftnyh sistem zemledeliya dlya agrolandshaftov Predba-
bajkal’ya/ M.YU. Pushchina, M.A. Rachenko, R.A. Sagiro-
jkal’ya/ V.I. Solodun, A.M. Zajcev// Vestnik IrGSKHA. -
va// Vestnik IrGSKHA. - 2017. - № 79. - S. 67-72.
2015. - № 71. - S. 24-31.
5. Pushchina, M.YU. Naibolee populyarnye sorta maliny v
8. Shcherbakova, G.V. Vyrashchivanie sazhencev maliny re-
usloviyah lesostepnoj zony Predbajkal’ya/ M.YU. Pushchi-
montantnogo tipa/ G.V. Shcherbakova, E.S. Kravcova //
na, M.A. Rachenko, R.A. Sagirova//Aktual’nye voprosy
Izvestiya Sankt-Peterburgskogo agrarnogo unversiteta. -
agrarnoj nauki. - 2017. - № 25. - S. 12-20.
2019. - № 1 (54). - S. 16-20.
6. Rachenko, E.I. Ekologo-biologicheskie osobennosti re-
9. Harvey K. Hall, Plant Breeding Reviews/ Harvey K. Hall,
montantnyh sortov maliny v usloviyah yuga Irkutskoj oblas-
Kim E. Hummer, Andrew R. Jamieson et al.// Raspberry
ti/ E.I. Rachenko, N.E. Martynova, M.A. Rachenko //
Breeding and Genetics. - October 2009. - Volume 32. -
Sovremennoe sadovodstvo. - 2013. - № 3. - S. 76-81.
pp. 39-353.
ВЕСТНИК РОССИЙСКОЙ СЕЛЬСКОХОЗЯЙСТВЕННОЙ НАУКИ • № 1-2021
36