ЯДЕРНАЯ ФИЗИКА, 2019, том 82, № 6, с. 500-506
ЭЛЕМЕНТАРНЫЕ ЧАСТИЦЫ И ПОЛЯ
ЯДЕРНЫЕ ФРАГМЕНТЫ В12C +9Be-ВЗАИМОДЕЙСТВИЯХ
ПРИ 2 ГэВ/НУКЛОН
© 2019 г. Б. М. Абрамов1),2), М. Базнат3), Ю. A. Бородин1),
C. A. Булычёв1), И. А. Духовской1), А. П. Крутенкова1)*, В. В. Куликов1),
М. А. Мартемьянов1), М. А. Мацюк1), Е. Н. Турдакина1), А. И. Ханов1)
Поступила в редакцию 29.03.2019 г.; после доработки 29.03.2019 г.; принята к публикации 29.03.2019 г.
В эксперименте ФРАГМ на тяжелоионном ускорительно-накопительном комплексе ИТЭФ-ТВН
были измерены дифференциальные сечения выходов ядерных фрагментов под углом 3.5 при фраг-
ментации ионов углерода с энергией 2 ГэВ/нуклон на бериллиевой мишени. На импульсных спектрах
фрагментов проведено тестирование предсказаний четырех Монте-Карловских моделей ион-ионных
взаимодействий: BC, INCL, LAQGSM и QMD. Обсуждаются успехи и недостатки этих моделей.
Энергетические спектры протонов и3He в кумулятивной области в системе покоя налетающего
ядра хорошо описываются экспоненциальной зависимостью, позволяющей оценить температурные
параметры источника их испускания.
DOI: 10.1134/S0044002719050039
1. ВВЕДЕНИЕ
тестирования на как можно более широком круге
экспериментальных данных. В настоящей работе
Настоящая работа продолжает серию статей
мы ограничились четырьмя популярными моде-
по измерениям фрагментации ионов углерода,
лями: BC (Binary Cascade [4]), INCL (Liege Intra
выполненных на тяжелоионном ускорительно-
Nuclear Cascade [5]), QMD (Quantum Molecular
накопительном комплексе ИТЭФ-ТВН при энер-
Dynamics [6]) и LAQGSM (Los Alamos Quark
гиях 300 [1], 600 [2] и 950 [3] МэВ/нуклон. Одной
Gluon String Model [7]). Первые три имеются в
из целей этих исследований является тестирование
открытом доступе в рамках пакета GEANT4 [8].
современных Монте-Карловских моделей, исполь-
LAQGSM поддерживается и развивается в LANL
зуемых для описания ион-ионных взаимодействий.
в США и является основой транспортного кода
Эти модели используются и в прикладных целях
MCNP6 [9]. В нашем эксперименте ФРАГМ
в тяжелоионной терапии, при проектировании
проведены измерения в области фрагментации
нейтронных источников типа “сполейшн”, радиа-
налетающего ядра, что позволяет регистрировать
ционных защит, создании пучков радиоактивных
фрагменты как покоящиеся в системе покоя
ядер и т.п. Однако физические процессы, лежащие
налетающего ядра, так и испускаемые с большим
в основе этих моделей, еще недостаточно изучены.
импульсом. Это обеспечивает широкий диапазон
Современные представления об ион-ионных взаи-
кинематических переменных, необходимый для
модействиях разделяют на две фазы. Первая — это
эффективного тестирования моделей. На пучке
внутриядерный каскад, вторая — девозбуждение
ионов углерода с энергией 2 ГэВ/нуклон в реакции
остаточных ядерных состояний с испусканием
12C +9Be → f + X
(1)
частиц и ядерных фрагментов. Описание этих
процессов включает в себя зависимости как
измерялись импульсные спектры фрагментов f под
от используемых подходов, так и от различных
углом вылета 3.5.
феноменологических параметров. Это приводит и
к разнообразию моделей, и к необходимости их
2. ЭКСПЕРИМЕНТ
1)НИЦ “Курчатовский институт”— ИТЭФ, Москва, Рос-
сия.
В эксперименте ФРАГМ пучок ядер углерода в
2)МФТИ (Национальный исследовательский университет),
главном кольце ускорительного комплекса ИТЭФ
Москва, Россия.
падал на тонкую (50 мкм) внутреннюю бериллие-
3)Институт прикладной физики, Академия наук Молдовы,
Кишинев, Молдова.
вую мишень. Ядерные фрагменты, образовавшиеся
*E-mail: krutenk@itep.ru
под углом 3.5 ± 0.5 к внутреннему пучку ионов
500
ЯДЕРНЫЕ ФРАГМЕНТЫ В12C +9Be-ВЗАИМОДЕЙСТВИЯХ
501
p/Z = 1.6 ГэВ/c
p/Z = 5.0 ГэВ/c
420
+
π
400
a
б
1H
1H
400
3He
350
2H
6Li
3He
380
300
4He
3H
360
2H
250
340
100
325
550
775
1000
100
325
550
775
1000
Канал QDC
Канал QDC
Рис. 1. Идентификация фрагментов на корреляционных распределениях времени пролета (TDC) и амплитуды сигнала
сцинтилляционного счетчика с зарядово-цифрового преобразователя (QDC) при жесткости магнитооптического канала
на 1.6 ГэВ/с (а) и 5.0 ГэВ/с (б).
в ускорителе, анализировались по импульсу двух-
примера корреляционных распределений при раз-
ступенчатым магнитооптическим каналом с двумя
ных жесткостях канала: рис. 1а — при жесткости в
фокусами на расстоянии 26 и 42 м от мишени. В
1.6 ГэВ/с, что почти в 2 раза меньше жесткости
каждом фокусе располагались сцинтилляционные
для максимального выхода протонов, рис. 1б
детекторы для измерения ионизационных потерь
при 5.0 ГэВ/с, что соответствует максимальному
и времени пролета. Каждый сцинтиллятор про-
выходу фрагментов с отношением их заряда к
сматривался двумя фотоумножителями с проти-
воположных сторон. Совпадение сигналов двух
массовому числу 0.5, т.е. для дейтронов,4Не и
счетчиков из разных фокусов давало триггер для
6Li. Видно, что при 1.6 ГэВ/с четко разделяются
считывания амплитудной и временной информа-
положительно заряженные π-мезоны, протоны,
ции. Для контроля размера пучка и улучшения
дейтроны и3He, а при 5.0 ГэВ/с — все изотопы
импульсного разрешения в первом фокусе исполь-
водорода,3He,4Не и6Li. Относительные выхо-
зовался годоскоп сцинтилляционных счетчиков из
ды фрагментов вычислялись нормировкой числа
20 × 8 элементов. Монитором служил телескоп из
зарегистрированных фрагментов на показания
трех сцинтилляционных счетчиков, направленный
монитора с учетом эффективности их регистрации.
непосредственно на мишень ускорителя под углом
Для получения абсолютных дифференциальных
2 к пучку ионов. Эффективность установки вы-
числялась с помощью программы моделирования
сечений d2σ/dpdΩ проводилась дополнительная
магнитооптического канала на основе GEANT4 [8],
нормировка на предсказания модели BC для
учитывающей ионизационные потери, многократ-
протонов в максимуме фрагментационного пика,
ное рассеяние и неупругие взаимодействия в веще-
аналогично тому как было описано в [3]. Модель
стве детекторов. Более подробное описание уста-
BC была выбрана потому, что она дает луч-
новки приведено в [10].
шее описание экспериментальных данных вблизи
максимума фрагментационного пика протонов.
3. АНАЛИЗ ДАННЫХ И ТЕСТИРОВАНИЕ
Расхождение между предсказаниями всех моделей
МОДЕЛЕЙ ИОН-ИОННЫХ
в этой области невелико и не превышает 15%.
ВЗАИМОДЕЙСТВИЙ
Вычисление дифференциальных сечений в рамках
вышеуказанных моделей требует задания полного
Измерение импульсных спектров фрагментов
неупругого сечения
12С +9Ве-взаимодействия.
проводилось путем сканирования по жесткости
LAQGSM является единственной моделью, ко-
магнитооптического канала. При каждой настрой-
торая непосредственно вычисляет эту величину,
ке канала фрагменты идентифицировались на
корреляционных распределениях время пролета
равную 860 мбн, которая и использовалась в наших
(функция массового числа фрагмента) — амплиту-
расчетах. Эта величина хорошо согласуется с ши-
да сигнала со сцинтилляционного счетчика (функ-
роко используемой параметризацией [11], которая
ция заряда фрагмента). На рис. 1 приведены два
дает 868 мбн. Общая систематическая ошибка
ЯДЕРНАЯ ФИЗИКА том 82
№6
2019
502
АБРАМОВ и др.
d 2σ/(dpdΩ), мбн/(МэВ/c ср)
102
p
2H
3He
100
4He
10-2
6Li
7Be
10-4
2
4
6
8
10
12
14
16
18
20
p, ГэВ/c
Рис. 2. Дважды дифференциальные сечения выхода фрагментов (точки) в зависимости от лабораторного импульса в
сравнении с предсказаниями модели BC (сплошные кривые).
приводимых ниже дважды дифференциальных
хорошо описывают все модели, кроме QMD, кото-
сечений оценивается нами в 15%.
рая его сильно заужает, а также фрагментационные
На рис. 2 приведены измеренные зависимости
пики всех других фрагментов. Модель INCL дает
наилучшее описание экспериментальных данных
дважды дифференциальных сечений выхода фраг-
вплоть до уровня сечения на 4 порядка меньшего,
ментов в реакции (1) от импульса фрагментов вме-
чем сечение в максимуме фрагментационного пика.
сте с предсказаниями модели BC. Эти сечения пе-
рекрывают до пяти порядков величины. Импульс-
Для всех остальных фрагментов не просматрива-
ные распределения для каждого фрагмента имеют
ется единой картины сравнения предсказаний мо-
делей с экспериментальными данными, за исклю-
пикообразную форму с максимумом при импульсе
чением того, что QMD занижает сечения выходов
на нуклон, близком к импульсу на нуклон налетаю-
фрагментов на порядок величины и более. Так, для
щего ядра углерода, т.е. когда фрагменты летят со
скоростью, близкой к скорости налетающего ядра.
дейтронов LAQGSM и INCL хорошо согласуются
между собой и экспериментальными данными, в то
При 2.0 ГэВ/нуклон нам удалось зарегистрировать
время как BC занижает сечение примерно в 3 раза.
только 6 фрагментационных пиков, в то время
Для3He все эти три модели хорошо описывают
как при 0.95 ГэВ/нуклон — 16 [3]. Это связано с
экспериментальные данные за исключением высо-
двумя причинами. Первая причина — ограничение
коэнергетического края фрагментационного пика,
по максимальной жесткости магнитооптического
где расхождения с экспериментальными данными
канала, составляющей 6 ГэВ/с. Этой жесткости
достигают порядка величины. Причем LAQGSM и
недостаточно, чтобы регистрировать максималь-
BC, хорошо согласуясь между собой, занижают,
ные выходы фрагментов с A/Z > 2. При энергии
а INCL завышает сечения. Для4He ни одна из
ионов углерода 2.0 ГэВ/нуклон это делает недо-
моделей не описывает экспериментальные данные,
ступным регистрацию тритонов,6He,8He,7Li и т.д.
причем INCL и BC дают близкие предсказания,
Вторая причина связана с более быстрым спадом
но примерно втрое выше измеренных сечений, а
сечения с увеличением массового числа фрагмента.
LAQGSM занижает сечения примерно на поря-
При фиксированном угле регистрации это вызвано
док величины. Для6Li модели LAQGSM и INCL,
ростом перпендикулярного импульса, передавае-
хорошо согласуясь между собой, недооценивают
мого фрагменту. С другой стороны, это является
экспериментальные данные более чем на порядок
некоторым преимуществом, так как позволяет про-
величины. То же можно сказать про эти модели
вести тестирование моделей на меньшем уровне
сечений.
и для7Be, хотя использованной нами статистики
оказалось недостаточно для получения предсказа-
Для сравнения с предсказаниями моделей ион-
ний этих моделей на столь низком уровне сече-
ионных взаимодействий в каждой из них было сге-
нерировано по 10 млн взаимодействий ядра углеро-
ния. Что касается BC, то для6Li предсказания
да с бериллиевой мишенью. На рис. 3 представлено
этой модели неплохо согласуются с эксперимен-
сравнение импульсных спектров шести фрагментов
тальными данными, но переоценивают их для7Be
с предсказаниями четырех моделей ион-ионных
почти на порядок величины. Аналогичное поведе-
взаимодействий. Фрагментационный пик протонов
ние предсказаний этих моделей отмечалось нами
ЯДЕРНАЯ ФИЗИКА том 82
№6
2019
ЯДЕРНЫЕ ФРАГМЕНТЫ В12C +9Be-ВЗАИМОДЕЙСТВИЯХ
503
d 2σ/(dpdΩ), мбн/(МэВ/c ср)
103
ФРАГМ
p
2H
101
3He
BC
1
10
QMD
101
INCL
LAQGSM
100
10-1
10-1
10-1
-3
−3
10
10
2
4
6
4
5
6
6
8
10
101
10-2
4He
6Li
7Be
10-2
-3
10
10-1
10-3
10-4
10-3
10-4
8
10
12
14
16
18
17
18
19
20
p, ГэВ/c
p, ГэВ/c
p, ГэВ/c
Рис. 3. Дважды дифференциальные сечения выхода отдельных фрагментов в зависимости от лабораторного импульса в
сравнении с предсказаниями четырех моделей ион-ионных взаимодействий.
и при меньших энергиях ионов углерода 600 [2] и
источника испускания фрагментов. Эти спектры
950 [3] МэВ/нуклон, где оно связывалось с силь-
были получены из данных нашего эксперимента. С
ным различием угловых распределений для выхо-
этой целью приведенные выше импульсные спек-
дов фрагментов в разных моделях. Для энергии
тры фрагментов в лабораторной системе координат
были переведены в систему покоя налетающего
2 ГэВ/нуклон на рис. 4 показаны предсказания
ядра углерода. Использовалась только та часть
угловых зависимостей дифференциальных сечений
импульсных спектров, где скорости фрагментов в
выхода фрагментов протонов,4He,6Li и7Be в
лабораторной системе координат превышали ско-
максимумах фрагментационных пиков, даваемые
рость ядра углерода. Это так называемая кумуля-
различными моделями. В моделях BC и INCL уг-
тивная область, в которой фрагменты испускаются
ловые зависимости выходов протонов и4He иден-
в заднюю полусферу по отношению к налетающе-
тичны. Для6Li и7Be они сильно различаются,
му в этой системе ядру9Be. Эти энергетические
причем модель BC предсказывает самое медленное
спектры для протонов и3He показаны на рис. 5.
падение сечения с увеличением угла и медленнее,
чем требуется для согласия с экспериментальными
Аналогичные спектры для дейтронов и4He полу-
данными. Это и приводит к превышению пред-
чить было невозможно из-за ограничения по жест-
сказаний модели над экспериментальными дан-
кости магнитооптического спектрометра установки
ными, растущему с увеличением атомного номера
величиной в 6 ГэВ/с, что не позволяло получить
фрагмента. Существенно более сильное падение
достаточный захват установки в кумулятивной об-
сечения с углом предсказывается для6Li и7Be
ласти для этих фрагментов. Для параметризации
в модели INCL и еще большее в QMD. Это и
полученных спектров использовалась сумма двух
приводит к занижению сечений по сравнению с
экспонент:
экспериментальными данными, тем большему, чем
Ed3σ/d3p =
(2)
больше атомный номер фрагмента.
= AS exp(-T/TS) + AC exp(-T/TC),
где в левой части стоит инвариантное сечение, E
4. АНАЛИЗ СПЕКТРОВ
полная энергия фрагмента, T — его кинетическая
ПО КИНЕТИЧЕСКОЙ ЭНЕРГИИ ЛЕГКИХ
энергия, AS и AC — нормировочные константы
ФРАГМЕНТОВ
для статистического и кумулятивного слагаемого,
В термодинамическом подходе энергетические
а TS и TC — соответствующие параметры накло-
спектры фрагментов в системе покоя фрагментиру-
на, интерпретируемые как температуры источни-
ющего ядра несут информацию о характеристиках
ков испускания фрагментов. Каждая экспонента в
ЯДЕРНАЯ ФИЗИКА том 82
№6
2019
504
АБРАМОВ и др.
d 2σ/(dpdΩ), мбн/(МэВ/c ср)
d 2σ/(dpdΩ), мбн/(МэВ/c ср)
103
104
ФРАГМ
p
4He
BC
103
QMD
INCL
102
101
10-1
101
-3
10
0
1
2
3
4
5
0
1
2
3
4
5
Θ, град
Θ, град
102
102
6Li
7Be
100
100
10-2
10-2
10-4
10-4
0
1
2
3
4
5
0
1
2
3
4
5
Θ, град
Θ, град
Рис. 4. Предсказания моделей для угловых зависимостей дифференциальных сечений в максимумах фрагментационных
пиков, крестиком отмечены данные нашего эксперимента при лабораторном угле 3.5.
σинв., бн/(ГэВ2/c3 ср)
σинв., бн/(ГэВ2/c3 ср)
102
χ2/ndf :
32.98/14
101
χ2/ndf :
4.69/4
p
3He
AS :
23.8327 ± 1.0419
AS :
5.1731 ± 0.8658
TS :
0.0116 ± 0.0009
TS :
0.0097 ± 0.0029
100
AC :
3.8466 ± 0.0717
AC :
0.7686 ± 0.0289
TC :
0.0392 ± 0.0004
TC :
0.0202 ± 0.0010
100
10-1
а
б
10-2
10-2
10-3
−4
10-4
10
0
0.1
0.2
0.3
0.4
0.05
0.10
0.15
0.20
T, ГэВ
T, ГэВ
Рис. 5. Распределение по кинетической энергии протона (а) и3He (б) в системе покоя налетающего ядра углерода в
сравнении с предсказаниями четырех моделей ион-ионных взаимодействий. Обозначения кривых такие же, как и на
рис. 3.
правой части формулы (2) является выраженным
слагаемого все еще является предметом дискус-
в этих переменных распределением Больцмана,
сии. Выдвинутые гипотезы довольно разнообраз-
описывающим распределение частиц, составляю-
ны от гипотетических флуктонов, многокварковых
щих термализованный источник, по их энергиям.
кластеров и короткодействующих нуклонных кор-
Статистическое слагаемое связывается с испуска-
реляций до эффективного учета вклада нетерма-
нием фрагментов возбужденным термализованным
лизовавшихся фрагментов. В Монте-Карловских
состоянием налетающего ядра с температурой TS
моделях ион-ионных взаимодействий эта высоко-
в несколько МэВ. Интерпретация кумулятивного импульсная часть спектра фрагментов воспроизво-
ЯДЕРНАЯ ФИЗИКА том 82
№6
2019
ЯДЕРНЫЕ ФРАГМЕНТЫ В12C +9Be-ВЗАИМОДЕЙСТВИЯХ
505
TC, МэВ
ФРАГМ, p
80
ФРАГМ, 3He
INCL, p
60
INCL, 3He
40
20
0
3×102
103
2×103
3×103
T0, МэВ/нукл.
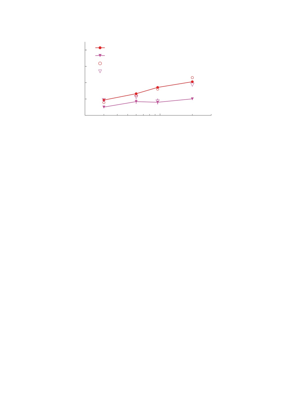
Рис. 6. Кумулятивные параметры TC для протонов и3He как функции энергии налетающего ядра углерода в сравнении с
предсказаниями модели INCL.
дится механизмом фермиевского развала высоко-
исследований кумулятивных процессов в протон-
возбужденных многонуклонных состояний, обра-
ядерных взаимодействиях хорошо известно, что
зовавшихся в результате прохождения внутриядер-
параметр TC при энергиях, больших нескольких
ного каскада. Как видно на рис. 5, энергетические
ГэВ, не зависит от энергии и при 400 ГэВ составляет
спектры протонов хорошо описываются всеми мо-
45.9 ± 0.5 МэВ [13]. К сожалению, таких точных
делями, кроме QMD. Модель INCL дает практи-
данных для3He нет, но если использовать данные
чески идеальное описание данных, а LAQGSM и
по3H, то TC составляет около 25 МэВ [14].
BC несколько занижают сечение при максималь-
Если не ожидать сильных различий между нуклон-
ных энергиях. Для энергетических спектров3He
ядерными и ион-ионными взаимодействиями, то
ни одна из моделей не дает хорошего описания
энергия в 2.0 ГэВ/нуклон уже близка к выходу на
экспериментальных данных. Все модели предска-
скейлинговое поведение кумулятивных процессов
зывают экспоненциальную зависимость сечения от
в ион-ионных взаимодействиях. Продвижение в
энергии фрагмента, но параметры наклона силь-
этом направлении можно ожидать в ближайшее
но различаются в разных моделях. Так, в модели
время с появлением результатов идущего экспери-
INCL параметр TC = 36.0 МэВ, в BC 13.6 МэВ,
мента на установке FODS в ИФВЭ на пучке ионов
в LAQGSM 10.7 МэВ и в QMD 8.8 МэВ. Эти
углерода с энергиями 20-25 ГэВ/нуклон [15].
величины сильно отличаются от экспериментально
измеренной величины 20.2 ± 1.0 МэВ. Это рас-
5. ЗАКЛЮЧЕНИЕ
хождение приводит к тому, что уже при энергии
Измерены дифференциальные сечения выхода
3He в 150 МэВ расхождение между предсказанием
шести долгоживущих ядерных фрагментов под уг-
моделей и экспериментом превышает порядок ве-
лом 3.5 в реакции9Be (12C, f)X при энергии
личины.
налетающего иона углерода 2.0 ГэВ/нуклон, где
Полученные данные по3He при 2.0 ГэВ/нуклон
f —фрагменты: протоны, дейтроны,3He, 4He, 6Li
позволяют проследить энергетическую зависи-
и7Be. Эти данные были использованы для тести-
мость TC в области энергий нашего эксперимента
рования четырех моделей ион-ионных взаимодей-
от 0.3 до 2.0 ГэВ/нуклон. Эта зависимость при-
ствий: BC, INCL, LAQGSM и QMD. Все модели,
ведена на рис. 6 вместе с аналогичными данными
кроме QMD, хорошо описывают импульсные спек-
для протонов [12] и предсказаниями модели INCL.
тры протонов. Для более тяжелых фрагментов рас-
Эта модель хорошо воспроизводит зависимость
хождения между экспериментом и предсказаниями
TC для протонов от энергии налетающего иона
моделей и моделей между собой увеличиваются
углерода. Однако для3He хорошее согласие с
с ростом массового числа фрагмента. Указано на
предсказаниями модели наблюдается только при
возможную причину этих расхождений, которая
600 и 950 МэВ/нуклон. При 2.0 ГэВ/нуклон, как
связана со значительными различиями в угловых
отмечалось выше, INCL сильно завышает величи-
распределениях выходов фрагментов, используе-
ну этого параметра. В диапазоне энергий нашего
мых в этих моделях. Проведен анализ энергетиче-
эксперимента параметр TC растет с увеличением
ских спектров протонов и3He в системе покоя на-
энергии как для протонов, так и для 3He. Из
летающего ядра углерода в кумулятивной области.
ЯДЕРНАЯ ФИЗИКА том 82
№6
2019
506
АБРАМОВ и др.
Модели BC, INCL и LAQGSM хорошо воспроиз-
7.
S. G. Mashnik, K. K. Gudima, R. E. Prael, A. J. Sierk,
водят спектры кумулятивных протонов, но не со-
M. I. Baznat, and N. V. Mokhov, LANL Report LA-
гласуются с измеренным энергетическим спектром
UR-08-2931; arXiv:0805.0751 [nucl-th].
3He. В настоящее время эти модели продолжают
8.
S. Agostinelli et al. (GEANT4 Collab.), Nucl.
развиваться и можно надеяться, что проведенное
Instrum. Methods Phys. Res., Sect. A 506, 250
сравнение поможет в нахождении путей их совер-
(2003); J. Allison et al. (GEANT4 Collab.), IEEE
шенствования.
Trans. Nucl. Sci. 53, 270 (2006).
Мы благодарны персоналу ИТЭФ-ТВН и тех-
9.
S. G. Mashnik, J. S. Bull, H. G. Hughes, R. E. Prael,
ническому персоналу эксперимента ФРАГМ за
and A. J. Sierk, Eur. Phys. J. Plus 126, 49 (2011).
большой вклад в проведение измерений.
10.
Б. М. Абрамов, П. Н. Алексеев, Ю. А. Бородин,
С. А. Булычев, И. А. Духовской, А. П. Крутенкова,
В. В. Куликов, М. А. Мартемьянов, М. А. Мацюк,
СПИСОК ЛИТЕРАТУРЫ
Е. Н. Турдакина, А. И. Ханов, Письма в ЖЭТФ 97,
1. B. M. Abramov, P. N. Alexeev, Yu. A. Borodin,
509 (2013) [JETP Lett. 97, 439 (2013)].
S. A. Bulychjov, I. A. Dukhovskoy, K. K. Gudima,
11.
L. Sihver, C. H. Tsao, K. Silberberg, T. Kanai, and
A. I. Khanov, A. P. Krutenkova, V. V. Kulikov,
A. F. Barghouty, Phys. Rev. C 47, 1225 (1993).
M. A. Martemianov, S. G. Mashnik, M. A. Matsyuk,
12.
Б. М. Абрамов, П. Н. Алексеев, Ю. А. Бородин,
and E. N. Turdakina, EPJ Web Conf. 138, 03002
С. А. Булычев, И. А. Духовской, А. П. Крутенкова,
(2017).
В. В. Куликов, М. А. Мартемьянов, М. А. Мацюк,
2. Б. М. Абрамов, П. Н. Алексеев, Ю. А. Бородин,
С. Г. Машник, Е. Н. Турдакина, А. И. Ханов, ЯФ 78,
С. А. Булычев, K. К. Гудима, И. А. Духовской,
А. П. Крутенкова, В. В. Куликов, М. А. Мартемья-
403 (2015) [Phys. At. Nucl. 78, 373 (2015)].
нов, М. А. Мацюк, С. Г. Машник, Е. Н. Турдакина,
13.
Yu. D. Bayukov, V. I. Efremenko, S. Frankel,
А. И. Ханов, ЯФ 79, 475 (2016) [Phys. At. Nucl. 79,
W. Frati, M. Gazzaly, G. A. Leksin, N. A. Nikiforov,
700 (2016)].
C. F. Perdrisat, V. I. Tchistilin, and Y. M. Zaitsev,
3. Б. М. Абрамов, П. Н. Алексеев, Ю. А. Бородин,
Phys. Rev. C 20, 764 (1979).
С. А. Булычев, K. К. Гудима, И. А. Духовской,
14.
S. Frankel, W. Frati, M. Gazzaly, Yu. D. Bayukov,
А. П. Крутенкова, В. В. Куликов, М. А. Мартемья-
V. I. Efremenko, G. A. Leksin, N. A. Nikiforov,
нов, М. А. Мацюк, Е. Н. Турдакина, А. И. Ханов,
V. I. Tchistilin, Yu. M. Zaitsev, and C. F. Perdrisat,
ЯФ 81, 314 (2018) [Phys. At. Nucl. 81, 330 (2018)].
Phys. Rev. C 20, 2257 (1979).
4. G. Folger, V. N. Ivanchenko, and J. P. Wellisch, Eur.
15.
М. Ю. Боголюбский, А. Ю. Бордановский,
Phys. J. A 21, 407 (2004).
А. А. Волков, Д. К. Елумахов, В. П. Ефремов,
5. D. Mancusi, A. Boudard, J. Cugnon, J.-C. David,
А. А. Иванилов, А. Ю. Калинин, А. Н. Криницин,
P. Kaitaniemi, and S. Leray, Phys. Rev. C 90, 054602
(2014).
В. И. Крышкин, Н. В. Кулагин, Д. И. Паталаха,
В. В. Скворцов, В. В. Талов, Л. К. Турчанович, ЯФ
6. T. Koi, http://geant4.cern.ch/results/papers/QMD-
MC2010.pdf
80, 239 (2017) [Phys. At. Nucl. 80, 455 (2017)].
NUCLEAR FRAGMENTS FROM12C +9Be-INTERACTION
AT 2.0 GeV/NUCLEON
B. M. Abramov1),2), M. Baznat3), Yu. A. Borodin1), S. A. Bulychjov1), I. A. Dukhovskoy1),
A. I. Khanov1), A. P. Krutenkova1),∗, V. V. Kulikov1), M. A. Martemianov1),
M. A. Matsyuk1), E. N. Turdakina1)
1) National Research Center “Kurchatov Institute” — ITEP, Moscow, Russia
2) Moscow Institute of Physics and Technology (State University), Moscow, Russia
3) Institute of Applied Physics, Academy of Sciences of Moldova, Chisinau, Republic of Moldova
e-mail: krutenk@itep.ru
In the experiment FRAGM on the heavy-ion accelerator-accumulator complex ITEP-TWA, differential
cross sections for yield of nuclear fragments at an angle of 3.5 have been measured in the fragmentation
of carbon ions with an energy of 2 GeV/nucleon on beryllium target. The momentum spectra of fragments
were used for testing the predictions of four Monte Carlo models of ion-ion interactions: BC, INCL,
LAQGSM, and QMD. The successes and drawbacks of these models are discussed. The energy spectra of
protons and3He in the cumulative regions in the rest frame of the incident nucleus are well described by an
exponent, allowing to estimate the temperature parameters of the emission source.
ЯДЕРНАЯ ФИЗИКА том 82
№6
2019