ЯДЕРНАЯ ФИЗИКА, 2019, том 82, № 6, с. 514-520
ЭЛЕМЕНТАРНЫЕ ЧАСТИЦЫ И ПОЛЯ
НАБЛЮДЕНИЕ В СТРАТОСФЕРЕ ЗНАЧИТЕЛЬНОГО ПОТОКА
НЕЙТРАЛЬНЫХ ГАЛАКТИЧЕСКИХ ЧАСТИЦ В ИНТЕРВАЛЕ
ЭНЕРГИЙ 1013-1015 эВ
© 2019 г. И. С. Заярная*, Т. А. Ирхина
Физический институт им. П. Н. Лебедева РАН, Москва, Россия
Поступила в редакцию 15.04.2019 г.; после доработки 15.04.2019 г.; принята к публикации 15.04.2019 г.
Повторная обработка экспериментальных данных российско-японского баллонного эмульсионного
эксперимента RUNJOB, выполненная с применением новой методики поиска галактических пер-
вичных частиц в событиях, идентифицированных как нуклон-ядерные взаимодействия, подтвердила
первоначальный результат: отсутствие большого количества (∼50%) треков налетающих частиц.
Проведен сравнительный анализ событий с обнаруженным и необнаруженным первичным треком
(по энергии, угловому распределению, глубине проникновения в РЭК). Обсуждается гипотеза о
нейтральной компоненте в космических лучах на уровне экспонирования РЭК.
DOI: 10.1134/S0044002719050143
ВВЕДЕНИЕ
экспонировавшиеся примерно 6-7 сут на высоте
∼32 км по трассе Камчатка-Вольск. Ядерная
На сегодняшний день исследование состава и
эмульсия является лидером среди детекторов
спектров галактических частиц в энергетической
заряженных релятивистских частиц по простран-
области, близкой к “излому” в спектре космиче-
ственному разрешению (2 частицы различимы на
ских лучей, продолжается как в экспериментах,
расстоянии 1 мкм). Это свойство ядерных эмуль-
использующих наземные установки, так и “прямы-
сий позволяет с высокой точностью прослеживать
ми” наблюдениями в стратосфере и в околозем-
ядерно-электромагнитные каскады, первичные и
ном космическом пространстве [1-4]. До сих пор
вторичные частицы в нуклон-ядерных и ядро-
нет ясного понимания природы “излома” спектра
ядерных взаимодействиях, зарегистрированных в
галактических частиц. Данные “прямых” экспери-
РЭК. Заряд релятивистских частиц определяется
ментов имеют особую ценность, поскольку в них
по ионизации, производимой частицами в ядер-
ядра первичного космического излучения непо-
ной эмульсии. Зарядовое разрешение эмульсий
средственно регистрируются детекторами. Однако
составляет 0.2е и 1e для группы легких и тяже-
статистика протонных событий в “прямых” экспе-
лых ядер соответственно, что в совокупности с
риментах в области энергии 1013-1015 эВ невели-
точностью локализации треков позволяет надежно
ка. Российско-японский баллонный эксперимент
исследовать состав первичного космического из-
RUNJOB (RUssia-Nippon JOint Balloon) прово-
лучения. В эксперименте было отмечено, что на-
дился с 1995 г. по 1999 г. и был последним бал-
блюдается только примерно 50% треков первичных
лонным эмульсионным экспериментом, в котором
протонов [6]. Предполагалось, что причиной этого
накопленная статистика протонных событий срав-
может быть большой фон частиц, набираемый
нима с данными настоящих экспериментов в об-
эмульсией за длительное время экспозиции РЭК,
ласти энергии, примыкающей к “излому”. Общий
который затрудняет идентификацию однозаряд-
фактор экспозиций рентгено-эмульсионных камер
ных треков. Кроме того, входными частицами
(РЭК) по 10 успешным полетам в стратосфере —
в нуклон-ядерных взаимодействиях могут быть
575 м2 ч. Количество событий для представления
вторичные нейтроны, образуемые первичными
окончательного результата по спектру протонов в
галактическими частицами в остаточной атмосфере
RUNJOB — 360 [5].
на уровне экспозиции камеры. Однако детальный
Детекторами в эксперименте были двусто-
анализ этих факторов при повторной обработке
ронние ядерные и рентгеновские эмульсионные
данных по двум камерам RUNJOB’97 не объяснил
пленки размером (40 × 50) см2 производства Fuji,
отсутствия почти половины треков первичных
частиц в событиях, отнесенных к протонным взаи-
*E-mail: zayar@sci.lebedev.ru
модействиям [7], что привело к необходимости уве-
514
НАБЛЮДЕНИЕ В СТРАТОСФЕРЕ ЗНАЧИТЕЛЬНОГО ПОТОКА
515
личить статистику анализируемых взаимодействий,
состоящей из двух одинаковых по структуре РЭК,
в том числе за счет мало энергичных событий,
0.4 м2.
не вошедших в окончательный спектр протонов
При неупругом взаимодействии галактиче-
эксперимента RUNJOB. Для этого был разработан
ской частицы с ядрами вещества рентгено-
новый метод поиска и прослеживания частиц в
эмульсионной камеры образуется струя вторичных
ядерно-эмульсионных пленках, при использовании
частиц, в основном состоящая из пионов. Ней-
которого искались первичные частицы в событиях,
тральные π0-мезоны образуют в РЭК электрон-
зарегистрированных в камерах RUNJOB-3В, 6А,
фотонный ливень, который регистрируется рент-
XI-A, В. В настоящей работе мы представляем
геновскими пленками, расположенными в нижней
суммарный результат повторной обработки взаи-
части камеры — калориметре. Отбор событий для
модействий, идентифицированных в эксперименте
исследования состава и спектров галактических
как нуклон-ядерные с энергией первичной частицы
частиц, из всех зарегистрированных нуклон-
E0 > 12 ТэВ и E0 > 20 ТэВ, зарегистрированных
ядерных и ядро-ядерных взаимодействий, осу-
в РЭК RUNJOB-3В, 6А, XI-A и РЭК RUNJOB-
ществлялся по следующим критериям:
XI-B соответственно, с зенитным углом частицы
1. Суммарная энергия (∑Eγ), выделившаяся в
в единицах tg(θ) ≤ 5, а также сравнительный
нейтральную компоненту вторичных частиц, пре-
анализ данных взаимодействий с найденным и
необнаруженным треком первичной частицы.
вышает некоторое пороговое значение. Например,
самый низкий энергетический порог отбора со-
бытий был для камер экспозиции RUNJOB’96 —
∑
ЭКСПЕРИМЕНТАЛЬНЫЕ ДАННЫЕ
Eγ ≥ 1 ТэВ, а самый высокий
∑Eγ ≥ 5 ТэВ для
RUNJOB’99.
Экспериментальный материал для повторного
поиска первичной частицы был получен при об-
2. Зенитный угол первичной частицы tg(θ) ≤ 5.
работке ядерных и рентгеновских эмульсионных
3. Траектория первичной частицы проходит че-
пленок площадью 40 × 50 см2 четырех РЭК —
рез самую нижнюю эмульсионную пленку в кало-
RUNJOB-3В, 6А, XI-A, В, экспонировавшихся в
риметре.
атмосфере на глубине ∼10 г/см2 в течение ∼6-
4. Глубина камеры в каскадных единицах (t) от
7 сут в 1996, 1997, 1999 гг. соответственно. Гео-
вершины взаимодействия до самой нижней пленки
магнитный порог обрезания космических частиц на
калориметра не меньше 4t.
широте экспонирования установки ∼3 ГВ.
5. Вершина взаимодействия находится внутри
Конструкции камер отличались друг от друга
РЭК.
(см. рис. 1), что позволяло использовать не только
Ядерно-электрон-фотонные каскады в виде
фотометрический метод для определения энергии
пятен почернения, обнаруженные невооруженным
первичной частицы, но и методы, связанные с уг-
глазом на рентгеновских пленках в калориметре,
лами разлета вторичных частиц. В эксперименте
прослеживались снизу-вверх до вершины взаимо-
основным методом определения энергии, выделив-
действий по ядерно-эмульсионным пленкам с ис-
шейся в нейтральную компоненту во взаимодей-
пользованием микроскопа с большим увеличением.
ствиях галактических частиц в РЭК, был наиболее
В подавляющем большинстве событий вершина
разработанный к тому времени фотометрический:
взаимодействия первичной частицы находилась
по измерениям почернений (D) пятен на рентгенов-
либо в слоях пластика или железа, расположенных
ских пленках, образованных частицами электро-
в мишени, либо в слоях свинца — в калориметре,
магнитного каскада, инициированного вторичными
что согласуется с общей толщиной различных
π0-мезонами, строились зависимости почернений
слоев рентгено-эмульсионной камеры в едини-
от глубины проникновения каскада D(t) в ка-
цах длины пробега взаимодействия нуклона (см.
лориметре РЭК; экспериментальные зависимости
табл. 1).
D(t) аппроксимировались расчетными каскадны-
Первичная частица искалась в ядерно-эмуль-
ми кривыми, по максимуму которых определя-
сионной пленке, находящейся непосредственно над
лась суммарная энергия электромагнитного каска-
вершиной взаимодействия, по площади круга, ра-
да
∑Eγ [6]. Переход к энергии первичной частицы
диус которого определялся ошибкой метода. Трек
E0 осуществлялся по формуле E0 = Cγ
∑Eγ, где
кандидата на первичную частицу прослеживался
Cγ — фактор конверсии, рассчитанный с исполь-
несколько слоев (2-3) вверх и должен был удовле-
зованием программы моделирования FRITIOF [6].
творять нескольким требованиям:
Глубина РЭК в единицах длины пробега взаи-
1. Отклонение измеренного значения азиму-
модействия протонов (λp) примерно около 0.4λp.
тального и зенитного углов частицы, определяемых
Толщина калориметра по вертикали около пяти
по величинам длин проекций трека в эмульсионных
каскадных единиц (t). Площадь каждой установки,
пленках, не должно превышать 3◦.
ЯДЕРНАЯ ФИЗИКА том 82
№6
2019
516
ЗАЯРНАЯ, ИРХИНА
`96
`97
`99
P
P
T
T
S
C
S
(P + M + S + C): 0.35λp
D
C : 4.24 t
(
P + M + S + C): 0.37λp
C : 4.43 t
C
- P - зарядовый блок
D
- T - мишенный блок
(P + M + S + C): 0.4λp
- S - спейсер
C : 5.17 t
- С - калориметр
- D - диффузер
Рис. 1. Схема РЭК RUNJOB’96-99.
2. Ионизация, производимая частицей, на всех
на расстоянии нескольких сантиметров друг от
рассматриваемых слоях примерно одинакова.
друга. Точность локализации первичной частицы
3. Не должно быть систематического откло-
этого метода 20-50 мкм была достаточной, чтобы
нения траектории движения частицы-кандидата
на фоне частиц, набираемых ядерной эмульсией
за пределы точности рассчитанной траектории
при длительной экспозиции, однозначно иденти-
ядерно-электромагнитного каскада.
фицировать ядра космического излучения с заря-
4. В слоях, где уже виден ливень, частица-
кандидат (Z > 2) должна отсутствовать.
Таблица 1. Состав вещества РЭК RUNJOB-XI-A
Координаты первичной частицы для отдельных
событий определялись с точностью до нескольких
Секции РЭК
Вещество
Пробег вза-
микрон.
Толщина,
RUNJOB-
пластин
имодействия
см
В рентгено-эмульсионных камерах RUNJOB-
XI-A
РЭК
протона
3В, 6А, XI-A и RUNJOB-XI-B зарегистриро-
Первичный
2 EmQ
0.14
0.0027
вано 58 событий, удовлетворяющих вышеприве-
блок
денным критериям, с энергией первичной части-
цы E0 > 12 ТэВ и E0 > 20 ТэВ соответствен-
Мишень
16 EmM
1.472
0.0254
но, зенитным углом первичной частицы в едини-
2 EmH
0.124
0.0023
цах tg(θ) < 5, идентифицированных как нуклон-
ядерные взаимодействия. Примерно в 50% данных
36 X(#200)
0.81
0.0168
взаимодействий трек однозарядной частицы не был
18 lucite 5.0
9
0.1389
обнаружен.
Спейсер
6 styro
10.5
0.0017
6 EmH
0.372
0.0068
МЕТОДЫ ПОИСКА ПЕРВИЧНЫХ ЧАСТИЦ
Калориметр
13 EmH
0.806
0.0147
Для всех 58 событий, составляющих протон-
ную группу, применялись два метода поиска и
1 EmI
0.062
0.0011
прослеживания первичных галактических частиц в
28 gl. paper
0.084
0.0008
РЭК. Первоначально использовался метод триан-
гуляции [7], основанный на измерении треков по
14 Pb 2.0
2.8
0.1621
крайней мере двух фоновых многозарядных ядер,
28 X(#200)
0.63
0.0131
расположенных близко к вершине взаимодействия,
ЯДЕРНАЯ ФИЗИКА том 82
№6
2019
НАБЛЮДЕНИЕ В СТРАТОСФЕРЕ ЗНАЧИТЕЛЬНОГО ПОТОКА
517
дом Z ≥ 2. Считалось, что если в области поиска
где индекс i указывает на тип частицы (первичная
первичной частицы нет ядер гелия (He) или более
частица (pr), струя вторичных частиц (jet), фоновые
тяжелых ядер, то налетающей частицей во взаи-
ядра (b, n)); j — номер эмульсионной пленки; (Xi,j;
модействии должен быть протон или нейтрон, об-
Yi,j), Li,j, Pi,j — координаты треков измеряемых
разованный в процессе перезарядки в остаточной
частиц и длины их проекций в эмульсии и осно-
атмосфере над РЭК. Такие события идентифици-
ве ядерных эмульсионных пленок соответственно;
ровались как нуклон-ядерные взаимодействия и
αj — азимутальный угол одного из фоновых ядер;
образовывали группу для исследования протонной
βj — азимутальный угол струи вторичных частиц;
компоненты космических лучей. В эксперимен-
ΔXn, ΔYn — разница между измеренными значе-
те наблюдалось примерно 50% треков первичных
ниями координат трека фонового ядра в j и j + 1
протонов. Нейтронов по расчетам [8], проведенным
эмульсионных пленках.
методом Монте-Карло с использованием моделей
Поиск первичной частицы проводится скани-
взаимодействия МС0 [9] и QGSJET (CORSIKA,
рованием ядерной эмульсии по площади круга с
версия 5.20) [10], в общем потоке протонов, пионов,
центром в точке с предсказанными координатами
каонов и нейтронов на наблюдаемом уровне долж-
частицы по формулам (I) и радиусом R = 3δ =
но быть не более 4% в интервале углов от 0◦ до 78◦
= 3((δx)2 + (δy )2)1/2, где δx, δy — индивидуальные
с энергией E0 > 20 ТэВ. Отсутствие большого ко-
ошибки предсказания координат первичной части-
личества треков однозарядных первичных частиц в
цы. Частица-кандидат на первичную должна удо-
событиях, отнесенных к протонным, инициировало
влетворять тем же требованиям, что и в первона-
работу повторного поиска первичных частиц новым
чальном методе.
методом поиска и прослеживания галактических
Экспериментальная среднеквадратичная ошиб-
частиц в рентгено-эмульсионной камере.
ка (σ) нового метода предсказания координат пер-
вичной частицы составляет σ = 31 мкм [12].
В новом методе, подробно описанном в ра-
боте [11], также используются измерения треков
вспомогательных многозарядных (Z ≥ 8) фоно-
РЕЗУЛЬТАТЫ ПОИСКА ТРЕКОВ
вых ядер, но их близость к траектории первичной
ПЕРВИЧНЫХ ПРОТОНОВ
частицы по площади не более 1 см2. Привяз-
По суммарной обработке четырех рентгено-
ка ядерно-эмульсионных слоев, где наблюдаются
эмульсионных камер RUNJOB-3В, 6А, XI-A, В
струя вторичных заряженных частиц и трек пер-
экспозиций 1996-1999 гг. получено:
вичной частицы из взаимодействия, осуществля-
ется в системе координат, связанной с одним из
1. Из 58 событий, идентифицированных как
фоновых ядер, что позволяет автоматически учи-
нуклон-ядерные взаимодействия, с энергией,
тывать поправки на смещения и повороты слоев в
выделившейся в электромагнитную компоненту
∑
горизонтальной плоскости установки. Координаты
Eγ ≥ 3
ТэВ и
∑Eγ ≥ 5 ТэВ, зарегистри-
и величины проекций трека первичной частицы
рованных в РЭК RUNJOB-3В,
6А, XI-A и
рассчитываются по формулам (1) и (2) (см. ниже),
RUNJOB-XI-В соответственно, обработанных с
выведенным в [11], в предположении, что толщи-
применением двух независимых методов поиска
и прослеживания треков галактических частиц в
на эмульсионного слоя, основы ядерной пленки
и расстояние между эмульсионными пленками в
ядерных эмульсиях РЭК, трек первичного протона
наблюдается в 28 событиях. В 26 событиях трек
пределах малой локальной области (∼1 см2) по-
первичной частицы не обнаружен. Соотношение
стоянны. Следует отметить, что измерения про-
между количеством найденных треков первич-
водятся, как правило, на двух соседних ядерных
ных частиц и отсутствующих для каждой РЭК
пленках, поскольку в этом случае максимально
удовлетворяется данное предположение.
RUNJOB-3В, 6А, XI-A, В следующее: 12/8, 6/8,
⎧
7/7, 3/3. В четырех событиях определенно сказать
⎪
ΔXnPjet,j sin(βj)
о наличии или отсутствии трека однозарядной
⎨
Xpr,j+1 =Xjet,j +
,
Pn,j sin(αj)
частицы нельзя из-за дисторсии в эмульсии,
(1)
однако кандидат с зарядом Z ≥ 2 отсутствует в
⎪
ΔYn(Pb,j - Pjet,jcos(βj))
⎩Ypr,j+1 =Yjet,j +
,
области поиска.
(Pb,j - Pn,jcos(αj ))
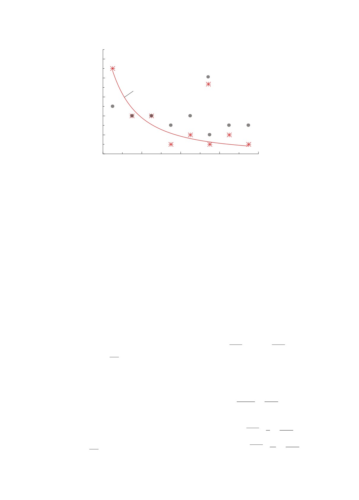
2. Зенитно-угловые распределения частиц
dN/d(cos(θ)) в группах с найденным и отсут-
⎧
Ln,j+1Ljet,j
⎪
ствующим в области поиска треком первичной
pr,j+1 =
,
⎨L
Ln,j
частицы различаются по форме. Как видно из
(2)
рис. 2, угловое распределение с наблюдаемыми
⎪
Pn,j+1Pjet,j
⎩Ppr,j+1 =
,
треками протонов, как и ранее полученное на
Pn,j
меньшей статистике [13], близко к изотропному, что
ЯДЕРНАЯ ФИЗИКА том 82
№6
2019
518
ЗАЯРНАЯ, ИРХИНА
dN/dcos(θ)
10
8
(p)
(-)
~1/cos1.8(θ)
6
4
2
0
0.2
0.4
0.6
0.8
1.0
cos(θ)
Рис. 2. Зенитно-угловыераспределениясобытий,идентифицированныекак нуклон-ядерныевзаимодействия.Точки: ∗ —
события с необнаруженным входящим треком (-), • — события с наблюдаемым треком протона (p).
ожидаемо на уровне экспозиции РЭК. Для событий
где I⊥(t) = I0e-t/λ — интенсивность космических
с отсутствующим треком первичной частицы уг-
частиц на глубине атмосферы t в вертикальном
ловое распределение аппроксимируется функцией,
направлении к плоскости камеры; P (x, y; θ, ϕ) —
близкой к ∼1/ cos1.8(θ).
вероятность регистрации частиц в РЭК, падающих
3. Средние значения энергии, выделившейся
на нижнюю поверхность установки в точке с коор-
в электромагнитную компоненту, для событий с
динатами (x, y), зенитным и азимутальным углами
наблюдаемым треком 〈∑Eγ(p)〉 и отсутствую-
θ и ϕ.
щим 〈∑Eγ(-)〉 различаются примерно в 1.5 раза:
По расчетам зенитно-угловое распределение
〈∑Eγ(p)〉 = 9.29 ТэВ, 〈∑Eγ(-)〉 = 14.73 ТэВ.
регистрируемых протонов почти не зависит от
4. Средние значения глубины проникновения
cos(θ), что мы и видим на рис. 2 для событий с
первичной частицы в РЭК в единицах пробега вза-
наблюдаемым треком протона. Для потока ней-
имодействия нуклона для событий с наблюдаемым
тронов, падающих на установку, распределение по
треком 〈λp〉 и отсутствующим 〈λ(-)〉 различаются
зенитному углу почти константа [8]. Если оценить
зависимость числа регистрируемых установкой
примерно в 2 раза: 〈λp〉= 0.14, 〈λ(-)〉= 0.3.
нейтронов от зенитного угла по формуле
∫∫
∫∫
ОБСУЖДЕНИЕ
Nreg = I0T
dxdy
Pnreg cos θ ×
В эксперименте зенитно-угловое распределение
S
Ω≤2π
космических частиц на уровне наблюдения (t) опи-
(
)(
)
сывается функцией [6]
× 1-e λc
os θ
1-e-Λ cosθ dcos θdϕ,
1
-1)t/λdcosθ,
F (θ)d cos θ = cos θe-(
cos θ
где H — глубина установки, Λ — пробег для вза-
имодействия частицы в РЭК, Pnreg — вероятность
где λ - пробег взаимодействия частицы. По-
скольку глубина экспонирования РЭК RUNJOB в
регистрации нейтронов установкой,
стратосфере примерно 10 г/см2, то для первичных
то
протонов, падающих на установку, F (θ) ∼ cos(θ).
dNnreg
1
Число наблюдаемых частиц Nobs в рентгено-
∼
,
d cos θ
cos θ
эмульсионной камере площадью S за время T в
единице телесного угла Ω равно [6]:
поскольку
∫∫
∫∫
(
)λ
1
Nobs = I⊥(t) T
dxdy
P (x; y; θ; ϕ) ×
1-e λc
os θ
≈
t
cos θ
S
Ω≤2π
(
H
) Λ
1
и
1-e-Λc
cos θ
-1)t/λdcosθdϕ,
os θ H≈
cos θ
ЯДЕРНАЯ ФИЗИКА том 82
№6
2019
НАБЛЮДЕНИЕ В СТРАТОСФЕРЕ ЗНАЧИТЕЛЬНОГО ПОТОКА
519
При аппроксимации экспериментальных точек
треков первичных частиц в событиях, отнесенных в
зенитно-углового распределения событий с нена-
эксперименте в протонную группу, не объясняется
блюдаемым входящим треком степенной функцией
методическими причинами. В частности, гипотеза о
вида y = axb с использованием метода наименьших
значительном влиянии фона частиц, набираемого
ядерной эмульсией при ее длительной экспози-
квадратов получается зависимость ∼ cos-1.8(θ),
ции, на идентификацию однозарядной первичной
которая отличается от оценочной и может объяс-
частицы не подтвердилась, поскольку вторичные
няться недостаточной статистикой данных.
заряженные пионы из зарегистрированных нуклон-
Как было сказано выше, расчетный поток
ядерных и ядро-ядерных взаимодействий просле-
вторичных нейтронов на уровне экспонирования
живаются в ядерно-эмульсионных камерах РЭК с
рентгено-эмульсионных камер не объясняет всего
эффективностью, близкой к 100%.
количества событий с отсутствующим треком
налетающей частицы. Следует отметить, что в
Первичная частица должна наблюдаться в пре-
одном событии, зарегистрированном в камере
делах области поиска, определяемой ошибкой ме-
RUNJOB-XI-A с энергией, выделившейся в элек-
тода, но экспериментальная точность предсказа-
тромагнитную компоненту Eγ = 4.11 ТэВ, вершина
ния координат трека первичной частицы в двух
взаимодействия оказалась в основе двухсторонней
методах (20-50 мкм) достаточна, чтобы выделить
ядерно-эмульсионной пленки. В этом случае пер-
из фона ядра с зарядом Z ≥ 2, т.е. надежно иден-
вичная частица должна наблюдаться на верхнем
тифицировать нуклон-ядерные взаимодействия. В
эмульсионном слое без вычисления поправок на
эксперименте наблюдается повторяемость отсут-
расстояние между слоями камеры. Однако трек
ствия большого количества первичных одноза-
первичной частицы отсутствовал в области поиска.
рядных треков в событиях, идентифицированных
Если предположить, что первичная частица в
как нуклон-ядерные взаимодействия, зарегистри-
этом взаимодействии — нейтрон, то с учетом угла
рованных в РЭК всех экспозиций, что может ука-
падения частицы на РЭК относительный поток
зывать на физическую причину экспериментально-
нейтронов на уровне экспонирования камеры
го результата.
Pn < 9%. Вероятность взаимодействия нуклона в
По характеристикам групп взаимодействий с
основе ядерно-эмульсионной пленки на порядок
наблюдаемым треком протона и отсутствующим
меньше, чем в других слоях РЭК (см. табл. 1),
входящим треком (энергия, глубина проникновения
поэтому вероятность наблюдения нейтрона по
первичной частицы в камере, зенитно-угловое рас-
данной экспозиции РЭК близка к нулю. Возможно,
пределение частиц) наблюдается различие, которое
первичная нейтральная частица в этом событии
требует дополнительного теоретического анализа и
принадлежит к значительному потоку нейтральных
статистики событий.
частиц на уровне экспонирования установки.
Распределение вершин нуклон-ядерных взаи-
модействий внутри камеры должно быть равномер-
СПИСОК ЛИТЕРАТУРЫ
ным, поскольку общая толщина РЭК около 0.4
1. W. D. Apel, J. C. Arteaga-Vel ´azquez, K. Bekka,
длины пробега взаимодействия нуклона. Однако
M. Bertaina, J. Bl ¨umer, H. Bozdog, I. M. Brancus,
при сравнении глубины проникновения первичных
P. Buchholz, E. Cantoni, A. Chiavassa, F. Cossavella,
частиц до взаимодействия в РЭК в исследуемых
K. Daumiller, V. de Souza, F. Di Pierro, P. Doll,
группах событий получилось различие примерно в
R. Engel, et al., Astropart. Phys. 36, 183 (2012).
2 раза: частицы с ненаблюдаемым треком глубже
2. Y. S. Yoon, T. Anderson, A. Barrau, N. B. Conklin,
проникли в камеру по сравнению с протонами. Этот
S. Coutu, L. Derome, J. H. Han, J. A. Jeon,
K. C. Kim, M. H. Kim, H. Y. Lee, J. Lee, M. H. Lee,
результат сохраняется, если выделить события с
S. E. Lee, J. T. Link, A. Menchaca-Rocha, et al., ApJ
углами больше 60◦, где имеется самое большое
839, 5 (2017).
различие в зенитно-угловом распределении групп.
3. E. Atkin, V. Bulatov, V. Dorokhov, S. Filippov,
N. Gorbunov, V. Grebenyuk, D. Karmanov, I. Kovalev,
ЗАКЛЮЧЕНИЕ
I. Kudryashov, A. Kurganov, M. Merkin, A. Panov,
D. Podorozhny, D. Polkov, S. Porokhovoy, V. Shu-
Статистика обработанных новым методом вза-
mikhin, et al., Astropart. Phys. 90, 69 (2017).
имодействий, идентифицированных как нуклон-
4. E. S. Seo, T. Anderson, D. Angelaszek, S. J. Baek,
ядерные, невелика, но результат повторной об-
J. Baylon, M. Bu ´enerd, M. Copley, S. Coutu,
работки подтверждает отсутствие треков нале-
L. Derome, B. Fields, M. Gupta, J. H. Han,
тающих частиц в большом количестве событий
I. J. Howley, H. G. Huh, Y. S. Hwang, H. J. Hyun,
(∼50%). Т.е. при применении двух независи-
et al., Adv. Space Res. 53, 1451 (2014).
мых методик получен одинаковый результат, что
5. V. A. Derbina et al. (RUNJOB Collab.), in
согласуется с ранее полученным в работе
[7]
Proceedings of 29th ICRC, Pune, India (2005),
выводом: ненахождение большого количества
3, 101.
ЯДЕРНАЯ ФИЗИКА том 82
№6
2019
520
ЗАЯРНАЯ, ИРХИНА
6.
A. V. Apanasenko, V. A. Sukhadolskaya,
9. R. A. Mukhamedshin and G. F. Fedorova, Bull. Soc.
V. A. Derbina, M. Fujii, V. I. Galkin, G. G. Getsov,
Sci. Lett. Lodz, Ser. Rech. Def XVI, 137 (1994).
M. Hareyama, M. Ichimura, S. Ito, E. Kamioka,
10. Н. Н. Калмыков, С. С. Остапченко, ЯФ 56(3), 105
T. Kitami, T. Kobayashi, V. D. Kolesnikov, V.
Kopenkin, N. M. Kotunova, S. Kuramata, et al.,
(1993) [Phys. At. Nucl. 56, 346 (1993)].
Astropart. Phys. 16, 13 (2001).
11. И. С. Заярная, Препринт № 1, ФИАН (Москва,
7.
И. С. Заярная, ЯФ 71, 299 (2008) [Phys. At. Nucl.
71, 280 (2008)].
2010).
8.
В. А. Березовская, В. И. Галкин, Р. А. Муха-
12. И. С. Заярная, Краткие сообщения по физике
медшин, И. В. Ракобольская, Т. М. Роганова,
Л. Г. Свешникова, И. В. Яшин, Препринт
ФИАН 11, 29 (2013) [Bull. Lebedev Phys. Inst.
НИИЯФ МГУ-97-43/494 (Москва,
1997)
40(11), 322 (2013)].
[V. A. Berezovskaya, V. I. Galkin, R. A. Mukha-
13. I. S. Zayarnaya and T. A. Irkhina, in Proceedings
medshin, I. V. Rakobolskaya, T. M. Roganova,
L. G. Sveshnikova, I. V. Yashin, Preprint INP MSU
of ISVHECRI, Moscow, 2017; EPJ Web Conf. 145,
97-43/494 (Moscow, 1997)].
19011 (2017).
THE OBSERVATION IN THE STRATOSPHERE
OF THE SIGNIFICANT FLOW OF NEUTRAL GALACTIC PARTICLES
AT THE ENERGY RANGE 1013-1015 eV
I. S. Zayarnaya and T. A. Irkhina
P. N. Lebedev Physical Institute of RAS, Moscow, Russia
The retreatment of data from the RUNJOB experiment (RUssia-Nippon JOint Balloon) by using the new
method for searching for galactic primary particles in events identified as nucleon-nuclear interactions,
confirmed the initial result: the absence of a large number (∼50%) of the tracks of incident particles.
A comparative analysis of these events with the observed and absent incident track (in terms of energy,
angular distribution, depth of penetration into the stratospheric X-ray emulsion chambers (REC)) was
carried out. The hypothesis of a neutral component in cosmic rays at the level of exposure of REC is
discussed.
ЯДЕРНАЯ ФИЗИКА том 82
№6
2019