ЯДЕРНАЯ ФИЗИКА, 2019, том 82, № 6, с. 521-540
ЭЛЕМЕНТАРНЫЕ ЧАСТИЦЫ И ПОЛЯ
К ПРИРОДЕ ЯДЕРНЫХ СИЛ
©2019 г. В. И. Кукулин1), В. Н. Померанцев1)*, О. А. Рубцова1), М. Н. Платонова1)
Поступила в редакцию 17.04.2019 г.; после доработки 17.04.2019 г.; принята к публикации 20.04.2019 г.
Впервые показано, что NN-взаимодействие, по крайней мере, в некоторых парциальных каналах
может быть количественно описано суперпозицией дальнодействующего однопионного обмена и
короткодействующего механизма, основанного на комплексном полюсе в NN-потенциале, отвеча-
ющем дибарионному резонансу в данной парциальной волне. Для парциальных волн3P2,1D2 и3F3
параметры комплексного полюса, отвечающие наилучшему описанию упругих и неупругих фазовых
сдвигов NN-рассеяния,оказываются весьма близкими к эмпирическим параметрам соответствующих
изовекторных дибарионных резонансов, обнаруженных экспериментально. На основе полученных
результатов делается общий вывод о природе ядерных сил на средних и малых межнуклонных
расстояниях.
DOI: 10.1134/S0044002719060102
1. КРАТКОЕ ВВЕДЕНИЕ В ПРОБЛЕМУ
чают за сильное отталкивание нуклонов на ма-
лых расстояниях: “A literal attribution of the short-
Проблеме ядерных сил посвящено такое внуши-
range repulsive core to vector meson exchange, as
тельное число работ в научной литературе, начиная
opposed to a phenomenological parametrization, of
с 30-х гг. XX в., что в рамках небольшой статьи нет
course involves a non sequitur: since the nucleons
возможности даже перечислить все предложенные
have radii ≈0.8 fm and the range of the vector
в этой области модели и подходы. Поэтому мы
exchange force is ℏ/mωc ≈ 0.2 fm one would have
отказываемся от такой попытки, оставляя это для
to superimpose the nucleon wavefunctions to reach
соответствующего обзора или монографии (далеко
the appropriate internucleon separations. The picture
не полное рассмотрение имеющихся моделей ядер-
of distinct nucleons exchanging a physical ω-meson
ных сил содержится в книге [1] и обзоре [2]), и
at such a small separation is clearly a fiction...”2).
кратко обсудим только работы, наиболее близкие
по тематике к предлагаемому здесь подходу.
Подобные проблемы возникают и при рассмотре-
нии других типов мезонных обменов - скалярных,
Практически все предложенные до сих пор тео-
псевдоскалярных и т.д. (подробнее об имеющихся
ретические подходы к описанию ядерных сил так
проблемах и противоречиях в традиционных моде-
или иначе основаны на классической концепции
лях ядерных сил см. в работах [4-6]).
Юкавы, в которой основным носителем сильных
взаимодействий нуклонов в ядрах является мезон-
В настоящее время доминирующим подходом
ный обмен между нуклонами (или между кварками,
к количественному описанию нуклон-нуклонного
составляющими нуклоны) в t-канале, порождаю-
взаимодействия является так называемая эф-
щий особенности амплитуды рассеяния по пере-
фективная теория поля (Effective Field Theory -
данному импульсу. Однако следует сказать, что эта
EFT) или киральная теория возмущений (Chiral
базовая концепция сталкивается с таким большим
Perturbation Theory - ChPT) по малому параметру
числом внутренних противоречий и трудностей в
Q/ΛQCD, где ΛQCD ∼ 1 ГэВ - характерный пара-
описании экспериментальных данных, что понево-
метр квантовой хромодинамики, а Q - переданный
ле возникает вопрос о правильности и пределах
применимости мезон-обменной картины ядерных
2)“Буквальное приписывание короткодействующего оттал-
сил. Приведем здесь мнение известных амери-
кивающего кора обмену векторными мезонами, в отличие
от феноменологической параметризации, конечно, вклю-
канских физиков, работающих в данной области
чает в себя логическое противоречие: поскольку нуклоны
(см. [3]), об обмене векторными мезонами, кото-
имеют радиус ≈0.8 фм, а характерные расстояния обмена
рые, согласно традиционной точке зрения, отве-
векторными мезонами ℏ/mω c ≈ 0.2 фм, нужно наложить
волновые функции нуклонов друг на друга, чтобы достичь
1)Научно-исследовательский институт ядерной физики
нужных межнуклонных расстояний. Картина изолирован-
им. Д.В. Скобельцына Московского государственного
ных нуклонов, обменивающихся физическим ω-мезоном
университета им. М.В. Ломоносова, Россия.
на столь малых расстояниях, очевидно, является фикци-
*E-mail: pomeran@nucl-th.sinp.msu.ru
ей...” - перевод с английского настоящих авторов.
521
522
КУКУЛИН и др.
при взаимодействии импульс [7-10]. В этом под-
средних расстояниях, не привлекая полную мик-
ходе периферическая часть NN-взаимодействия
роскопику многокварковой модели (которая к то-
описывается через суперпозицию членов ряда
му же сегодня еще плохо известна), а используя
теории возмущений в соответствующих порядках
какие-то КХД-мотивированные модели, которые
(leading order (LO), next-to-leading order (NLO),
передают основные эффекты шестикварковой си-
next-to-next-to-leading order (N2LO) и т.д.), тогда
стемы в разных парциальных волнах, но без де-
как все короткодействующие вклады параметри-
тального описания всей сложности многокварко-
зуются через так называемые контактные члены,
вой динамики.
которые, согласно этой концепции, не должны
На наш взгляд, такими объектами, которые, с
зависеть от энергии, а также от порядка ап-
одной стороны, тесно связаны с динамикой ше-
проксимации. По построению этот общий подход
стикварковой системы, а с другой, могут распа-
является справедливым лишь до энергий соуда-
даться (виртуально или реально) в NN-, NΔ-
рения Tlab ≃ 350 МэВ, пока параметр разложения
и ΔΔ-каналы при относительно невысоких энер-
гиях, являются дибарионные резонансы, которые
Q/ΛQCD остается еще относительно малым, т.е. до
были предсказаны Дайсоном и Ксуонгом еще в
энергий чуть выше порога пионного рождения. При
1964 г. [16], на заре кварковой эры. Следует осо-
более высоких энергиях соударения EFT-подход
бо отметить, что первый дибарионный резонанс
должен быть дополнен какой-либо моделью для
был экспериментально обнаружен еще в середине
описания короткодействующих компонент NN-
50-х гг. прошлого века, задолго до первых работ
взаимодействия и соответствующих короткодей-
по кварковой модели адронов, в работах группы
ствующих NN-корреляций в ядрах.
Мещерякова в Дубне [17], выполненных еще до
В качестве такого дополнения можно рассмат-
организации ОИЯИ в 1956 г. Важно также до-
ривать известную кварковую модель и ее различ-
бавить, что масса изовекторного дибариона, най-
ные вариации, известные сегодня. Следует сказать,
денная в этих работах, послужила основой для
что попытки описывать короткодействующие NN-
определения энергетической шкалы расщепления
силы в рамках различных версий кварковой модели
SU(6)-мультиплета, использованной Дайсоном и
предпринимались еще с конца 60-х гг. прошлого
Ксуонгом для теоретического предсказания масс
века (см., например, работы Язаки с сотр. [11],
дибарионов [16]. В последние годы, после многих
Миллера с сотр. [12], Фэсслера с сотр. [13], Неуда-
лет отрицания, сомнений и противоречивых нахо-
чина с сотр. [14] и работы многих других групп).
док, некоторые из предсказанных ранее дибарион-
ных резонансов были наконец экспериментально
К сожалению, такая гибридная трактовка NN-
надежно открыты [18-22] (см. также недавний
взаимодействия неизбежно приводит к трудностям
обзор [23]), а также были исследованы свойства их
с двойным счетом, так как в кварковых моде-
распадов по NN-, NΔ- и ΔΔ-каналам.
лях одноглюонный обмен обычно дополняется ме-
зонными (π- и σ-) обменами между кварками,
Дибарионные резонансы очень привлекатель-
что сразу приводит к появлению соответствующих
ны для объяснения свойств короткодействующих
мезон-обменных сил между нуклонами не только
NN-, NΔ- и ΔΔ-сил не только из-за своей
на малых, но и на средних и больших расстояниях.
шестикварковой структуры, но, в первую очередь,
К тому же здесь возникают сложные проблемы
из-за того, что они представляют собой выде-
с обменом скалярными и векторными мезонами
ленные относительно долгоживущие состояния в
NN-системе, вкоторых шестикварковая динамика
между кварками (см. приведенную выше цитату из
проявляется наиболее отчетливо.
работы [3]). Основные трудности с таким после-
довательным кварковым подходом хорошо видны
Здесь следует сказать еще несколько слов о
на примере работы [15], где авторы использовали
кварковом подходе к задаче об NN-взаимодейст-
кварк-кварковое взаимодействие, подогнанное под
вии вообще. В упомянутых выше работах
[11-
спектры возбужденных нуклонов. Было показано,
15] в качестве основного подхода к описанию
шестикварковой динамики был выбран известный
что если взять это взаимодействие в форме обме-
на так называемыми голдстоуновскими бозонами
в ядерной физике метод резонирующих групп
(Goldstone boson exchange), составляющими октет,
(МРГ), который предполагает, что в процессе
то в NN-секторе получается чисто отталкиваю-
взаимодействия трехкварковые волновые функ-
ции изолированных нуклонов не искажаются,
щее взаимодействие [15]. Эти трудности породили
а происходит простой обмен кварками между
общий скепсис в отношении возможности количе-
взаимодействующими нуклонами. В качестве qq-
ственного описания NN-взаимодействия в рамках
взаимодействия были использованы потенциалы
микроскопических кварковых моделей.
одноглюонного и однопионного обмена, которые
В свете сказанного выше было бы крайне же-
позднее были дополнены чисто феноменологи-
лательно описать NN-взаимодействие на малых и
ческим потенциалом обмена легким скалярным
ЯДЕРНАЯ ФИЗИКА том 82
№6
2019
К ПРИРОДЕ ЯДЕРНЫХ СИЛ
523
мезоном (σ) между кварками. Успехи таких мик-
выяснилось, что известные дибарионные резонан-
роскопических подходов даже в описании только
сы тесно связаны с неупругими каналами, тогда как
упругого NN-рассеяния оказались, однако, весь-
их связь с упругим NN-каналом намного слабее
ма скромными, и в итоге они уступили место более
(это можно проиллюстрировать сравнением ширин
хорошо обоснованным динамическим гибридным
распада дибарионов по упругому и неупругим ка-
подходам.
налам: Γinel ≫ Γel). В-третьих, в многочисленных
В первую очередь, здесь следует упомянуть ра-
экспериментах по рассеянию высокоэнергетиче-
боты Симонова и др. начала 1980-х гг., в которых
ских электронов на разных ядрах, выполненных в
была предложена модель составного кваркового
последние годы в Джефферсоновской Националь-
мешка (Quark Compound Bag - QCB) [24-26],
ной лаборатории [29-32], было показано, что в
связанного с внешним NN-каналом контактным
ядрах на малых расстояниях присутствуют тесно
взаимодействием на границе мешка. В этой модели
коррелированные пары и тройки нуклонов, кото-
размер мешка соответствовал не радиусу нуклона
рые рассеивают быстрые электроны как плотные
(или радиусу отталкивающего кора rc), а харак-
кварковые кластеры. Импульсные распределения
кварков внутри этих кластеров непосредственно
терному радиусу пионного обмена rπ = ℏ/(mπc),
связаны с характером короткодействующих корре-
а основная шестикварковая конфигурация мешка
предполагалась симметричной, отвечающей невоз-
ляций нуклонов в них [33]. И наконец, начиная с
бужденному состоянию. Энергетический масштаб
70-х гг. прошлого века, были детально изучены так
называемые кумулятивные процессы, обусловлен-
в таком мешке (порядка 600 МэВ) определялся
положением полюсов P -матрицы, которая являет-
ные взаимодействием падающих быстрых адронов
ся обратной к R-матрице в вигнеровской теории
с подобными нуклонными кластерами в ядрах, и
открыты явления ядерного скейлинга и суперскей-
реакций. Связь кваркового мешка с NN-каналом
задавалась сшивкой внутренней и внешней волно-
линга [34, 35].
вых функций на границе мешка по аналогии с R-
Ясно, что получающаяся из этих эксперимен-
матричной теорией.
тальных результатов картина короткодействующих
Дальнейшие математические основы такой ги-
корреляций нуклонов в ядрах очень далека от тра-
бридной модели были разработаны в работах ле-
диционных идей об универсальном отталкивающем
нинградской группы [27], в которых был предложен
NN-коре в духе Ястрова (подробнее об этом см. в
двухканальный подход с внутренними и внешни-
работе [6]). Стало совершенно очевидно, что взаи-
ми каналами, не использующий сшивку волно-
модействие нуклонов на малых и средних расстоя-
вых функций на границе. В этом подходе динами-
ниях неразрывно связано с их кварковой структу-
ка шестикваркового мешка во внутреннем канале
рой и в особенности с относительно долгоживущи-
включалась в обычную квантовомеханическую га-
ми ди- и мультибарионными резонансами. Сегодня
мильтонову схему путем расширения гильбертова
уже можно поставить вопрос следующим образом:
пространства. (Отметим, что подход, предлагаемый
каково реальное влияние известного дибарионного
авторами настоящей работы, использует эту же
резонанса в данном парциальном канале2S+1LJ
элегантную математическую схему ленинградской
на поведение упругих и неупругих фазовых сдвигов
группы.)
NN-рассеяния в этом канале? Подчеркнем в этой
Другую версию той же идеи развили Фешбах и
связи, что, в отличие от предыдущих работ в этой
Ломон в своей модели граничных условий [28]. В
области, мы рассматриваем одновременно (т.е. в
этой модели внутренние волновые функции квар-
рамках одной и той же модели) упругие и неупругие
кового мешка сшиваются на границе с внешним
каналы взаимодействия нуклонов.
NN-каналом, взаимодействие в котором управля-
Таким образом, целью настоящей работы явля-
ется одномезонным обменом наподобие известных
ется доказательство того, что многие, если не все,
потенциалов однобозонного обмена (One Boson
парциальные каналы NN-взаимодействия могут
Exchange - OBE).
быть описаны посредством суперпозиции даль-
Однако за время, прошедшее с публикации всех
нодействующего потенциала однопионного обмена
этих работ, в данной области ядерной и адронной
и одного комплексного полюса, отвечающего на-
физики было получено очень большое число новых
блюдаемому экспериментально дибариону в рас-
экспериментальных и теоретических результатов,
сматриваемом канале. А поскольку влияние од-
которые позволяют посмотреть на всю проблему
нопионного обмена и его роль в полном NN-
NN-сил совсем с других позиций.
взаимодействии являются относительно неболь-
Во-первых, как мы уже отметили выше, было
шими, то можно сделать вывод, что основную, до-
надежно открыто существование нескольких ди-
минирующую роль в NN-взаимодействии (в дан-
барионных резонансов и исследованы свойства их
ных парциальных волнах) играет s-канальный об-
распада в различные каналы [18-23]. Во-вторых,
мен дибарионным резонансом.
ЯДЕРНАЯ ФИЗИКА том 82
№6
2019
524
КУКУЛИН и др.
Структура работы такова. В разд. 2 мы даем ка-
нуклонов. Кроме того, было совершенно неясно,
чественную картину NN-взаимодействия, которая
откуда физически следуют эффекты традиционного
следует из дибарионной модели ядерных сил, пред-
отталкивающего кора, эффекты сильного притя-
ложенной одним из авторов настоящей работы еще
жения, обусловленного в традиционных подходах
в 1998 г. [36]. Здесь объясняется, откуда в такой
обменом легким скалярным мезоном, и т.п. В итоге
модели получается отталкивающий кор на малых
эти улучшенные модели также были оставлены к
расстояниях, и каково происхождение основной
началу 2000-х гг.
притягивающей силы на средних расстояниях. В
Дибарионная модель сил, предложенная в ра-
разд. 3 дается формализм, используемый в работе
ботах [36-41], смогла органично включить в себя
для описания упругих и неупругих фазовых сдви-
большинство эффектов, предсказываемых тради-
гов NN-рассеяния. Здесь выводится эффективный
ционными мезон-обменными моделями, но в каче-
сепарабельный потенциал, отвечающий полюсу во
ственно новой интерпретации. А главное, в основе
внутреннем канале. В разд. 4 мы рассматрива-
дибарионной концепции лежит эксперименталь-
ем однополюсное описание упругого и неупругого
но проверяемое допущение о доминирующей роли
NN-рассеяния в изовекторных (T = 1) каналах
дибарионных резонансов в NN-взаимодействии
3P2,1D2 и3F3 (рассмотрению изоскалярных (T =
в каждом парциально-волновом канале. Помимо
= 0) каналов будет посвящена отдельная работа).
этого, авторы настоящей работы в серии ста-
Разд. 5 посвящен описанию канала1S0, в котором
тей [42-44] показали, что наблюдаемые характери-
появляется не один, а два полюса в S-матрице. В
стики дибарионов хорошо согласуются с наблюда-
разд. 6 мы обсуждаем ту важную роль, которую
емыми сечениями рождения одного и двух пионов
в NN-соударениях при промежуточных энергиях
дибарионные резонансы играют в ядерной физике в
TN ∼ 1 ГэВ.
целом. В заключении дается краткое резюме новой
концепции ядерных сил, рассмотренной в данной
работе.
2.1. Основные черты NN-взаимодействия,
следующие из дибарионной модели сил
2. ДИБАРИОННАЯ МОДЕЛЬ ЯДЕРНЫХ
Приведем ниже краткое изложение дибарион-
СИЛ: КАЧЕСТВЕННОЕ РАССМОТРЕНИЕ
ной концепции ядерных сил (см. детали в рабо-
тах [36-41]).
В этом разделе мы кратко опишем альтернатив-
1. Первый важнейший момент связан с выбором
ную интерпретацию в рамках дибарионной модели
импульса короткодействующего обрезания ΛmNN
тех основных эффектов ядерных сил, которые в
мезон-нуклонных формфакторов, определяющих
традиционных подходах юкавского типа описы-
по существу интенсивность мезон-нуклонного
ваются посредством обмена мезонами различной
взаимодействия. Чем выше значение параметра
природы (скалярными, псевдоскалярными, вектор-
ΛmNN , тем сильнее, в среднем, связь мезона с
ными и т.п.) между изолированными нуклонами.
нуклоном и тем выше величина импульса, который
Отметим, что предложенные ранее гибридные
может быть передан нуклону от мезона (или
подходы, сочетающие в себе как кварковый, так
наоборот) в вершине взаимодействия.
и мезонный секторы (типа Симонова [24] или
Аккуратные расчеты в рамках КХД, а так-
Фешбаха-Ломона [28]), уже основывались на вы-
же в рамках динамических моделей мезон-
деленных многокварковых состояниях, однако без
нуклонного рассеяния дают умеренные значения
детализации их кварковой структуры и без со-
отнесения параметров используемых кварковых
ΛmNN (в частности, ΛπNN ≃ 0.5-0.9 ГэВ/c [45]),
мешков с экспериментально найденными шести-
тогда как в феноменологических моделях NN-
кварковыми резонансами (дибарионами). Помимо
взаимодействия значения ΛmNN обычно берутся
этого, в эти модели R-матричного типа неминуемо
сильно завышенными (ΛπNN ≃ 1.2-1.7 ГэВ/c -
входил произвольный радиус сшивки нуклонных
см., например, [46]). И только с такими высо-
и кварковых волновых функций, причем, если в
кими значениями параметров высокоимпульсного
QCB-модели [24] этот радиус выбирался большим
обрезания ΛmNN удается описать эмпирические
(Rm ≃ 1.4 фм), то в модели [28] радиус был за-
фазовые сдвиги в рамках традиционных мезон-
метно меньше (Rm ≃ 0.9 фм), что указывало на
обменных моделей NN-сил.
значительную неопределенность в выборе радиуса
В резком отличии от этого, в дибарионной моде-
сшивки.
ли сил основную роль в описании NN-рассеяния
Одним из самых существенных недостатков
играет дибарионный обмен (в s-канале), так что
этих кварковых моделей было отсутствие какой-
мезонный обмен дает небольшой вклад, и поэтому
либо связи с процессами рождения мезонов.
хорошее описание эмпирических данных получает-
Поэтому такие модели не могли объяснить проис-
ся уже при умеренных значениях ΛmNN (в частно-
хождение неупругих процессов при столкновениях
сти, ΛπNN и ΛπNΔ) [38, 43].
ЯДЕРНАЯ ФИЗИКА том 82
№6
2019
К ПРИРОДЕ ЯДЕРНЫХ СИЛ
525
ψ(r)
1.0
0.5
0
-0.5
−1.0
0
0.5
1.0
1.5
2.0
2.5
3.0
3.5
4.0
r, фм
Рис. 1. Радиальная волновая функция NN-рассеяния в парциальном канале1S0, полученная в рамках дибарионной
модели сил при различных энергиях столкновения Tlab: 10
МэВ (сплошная кривая), 100 МэВ (штриховая), 500 МэВ
(штрихпунктирная) и 1 ГэВ (штриховая с двумя точками).
2. Второй критический момент связан с проис-
3. Третий фундаментальный вопрос, связанный
хождением отталкивающего кора в NN-потенци-
с характером ядерных сил, касается источника
але. В традиционном подходе кор обычно связыва-
основной притягивающей силы, которая держит
ют с обменом изоскалярным векторным ω-мезоном
нуклоны в ядре вместе. В традиционной картине
с массой mω ≃ 780 МэВ. При этом для получения
сил это притягивающее взаимодействие припи-
отталкивания нужной интенсивности константа
сывается обмену легким скалярным σ-мезоном с
связи ω-мезонов с нуклонами должна быть равна
массой mσ ≃ 450 МэВ и огромной шириной рас-
g2ωNN /4π ≃ 13.6, тогда как SU(3)-симметрия
пада по 2π-каналу Γσ ≃ 550 МэВ [48]. Из-за этой
огромной ширины буквальное отождествление си-
предсказывает значение (g2ωNN /4π)SU(3) ≃ 5.5,
лы притяжения с прямым σ-обменом очень затруд-
т.е. в
2.5
раза меньше. Причем Фешбах пока-
нительно, поскольку свободный пробег частицы
зал [47], что нарушение SU(3)-симметрии в NN-
с такой шириной λ = ℏc/Γσ ≃ 0.4 фм, т.е. столь
взаимодействии является слабым.
мал (по сравнению со средним расстоянием между
В контрасте с этими проблемами в дибарионной
нуклонами в ядре ravNN ≃ 1.8 фм), что прямой обмен
модели сил отталкивание на малых расстояниях
таким σ-мезоном не может давать существенного
возникает как простое следствие доминирования
вклада в NN-притяжение. Поэтому вместо прямо-
компоненты шестикварковой волновой функции со
го скалярного обмена рассматривается 2π-обмен
смешанной симметрией |s4p2[42]xLST 〉 над полно-
с двумя промежуточными Δ-изобарами [2] (см.
стью симметричной компонентой |s6[6]LST 〉 [37-
рис. 2).
39]. В самом деле, доминирующий вклад шести-
Однако без сильного ππ-перерассеяния в
кварковой компоненты со смешанной симметрией
означает появление внутреннего узла у радиальных
Δ
волновых функций рассеяния, причем этот узел
N
N
оказывается как раз на месте традиционного от-
π
π
талкивающего кора и почти не зависит от энергии
(см. рис. 1, где показаны радиальные волновые
π
π
функции NN-рассеяния в парциальной волне1S0
при разных энергиях). Из рис. 1 хорошо виден ста-
N
N
Δ
ционарный характер внутреннего узла радиальной
волновой функции. Таким образом, совершенно
Рис. 2. Δ-изобарный механизм с двумя сильно взаи-
очевидно, что наличие ортогонализации к симмет-
модействующими пионами в скалярной моде в проме-
ричному состоянию в дибарионной модели играет
жуточном состоянии, который в традиционных мезон-
ту же роль на малых расстояниях, что и сильный
обменных моделях приводит к сильному притяжению
на межнуклонных расстояниях rNN ≃ 0.7-0.9 фм.
отталкивающий кор в традиционных моделях сил.
ЯДЕРНАЯ ФИЗИКА том 82
№6
2019
526
КУКУЛИН и др.
N
N N
N N
N
N
=
+
+ ...
D
D0
D0
D0
N
N N
N
N
N
N
Рис. 3. “Одевание” полного дибарионного пропагатора D (жирная линия) нуклонными петлями. Пропагатор “голого”
дибариона D0 показан двойной тонкой линией.
промежуточном состоянии такой механизм опре-
ширины) также эффективно усиливает притяжение
деленно не дает притягивающего вклада нуж-
в NN-канале.
ной силы. А поскольку длина ππ-рассеяния в
3) В результате многократных переходов двух
скаляр-изоскалярном канале очень мала (aππ ∼
нуклонов в состояние одетого шестикваркового
∼ 0.2-0.3 фм), то ни о каком сильном ππ-
мешка и обратно (см. рис. 3) возникает эффек-
перерассеянии притягивающего характера при
тивное NN-притяжение, индуцированное сильной
низких энергиях говорить не приходится. Более
связью с дибарионным каналом. Иначе говоря,
того, известно, что при малых энергиях пионы от-
система ведет себя как двухканальная, где прямое
талкиваются друг от друга, а не притягиваются [49].
(мезон-обменное) взаимодействие во внешнем (т.е.
В итоге при использовании реалистических па-
двухнуклонном) канале является довольно сла-
раметров для πNΔ-вершин и ππ-взаимодействия
бым, а основное взаимодействие возникает за счет
при низких энергиях такой механизм определенно
сильной связи с внутренним (т.е. дибарионным)
не приводит к притяжению нужной силы.
каналом.
Дибарионная модель дает совсем другое объяс-
Если теперь исключить дибарионную компо-
нение основной притягивающей ядерной силе [37-
ненту и переписать задачу в переменных только
двухнуклонной системы, то возникает сепарабель-
39]. Это объяснение базируется на трех эффектах,
перечисленных ниже.
ный NN-потенциал с константой связи, имеющей
полюсной характер (см. разд. 3). Этот потенциал
при малых энергиях приводит к сильному притяже-
1) Образование из двух нуклонов на средних
нию нуклонов, которое, в свою очередь, и является
и малых расстояниях (в S-волнах) шестиквар-
основной ядерной силой.
кового мешка с доминирующей смешанной сим-
метрией |s4p2[42]xLST 〉 и его переход (девозбуж-
В этой картине существенно то, что в точности
дение) в полностью симметричную конфигурацию
такой же механизм при энергиях соударения выше
порога двухпионного рождения должен приводить
|s6[6]L′S′T′〉 с излучением скалярного σ-мезона,
к неупругим процессам испускания легкого ска-
который “прилипает” к симметричному мешку и
лярного σ-мезона типа
сильно стягивает его к центру. Таким путем вокруг
симметричного кваркового мешка возникает ска-
p + n → D∗ → d + σ → d + (ππ)0.
лярная “шуба” виртуальных σ-мезонов.
Тогда в реакциях двухпионного рождения в скаляр-
2) Благодаря тому, что начальное состоя-
изоскалярном канале должен проявляться сильно
перенормированный промежуточный σ-мезон.
ние 6q-мешка
|s4p2[42]xLST 〉 является сильно
возбужденным (с энергией возбуждения 2ℏω ≃
В действительности околопороговое усиление
≃ 500-600 МэВ), что есть простое следствие
в сечениях двухпионного рождения в скаляр-
смешанной симметрии шестикварковой волновой
изоскалярном канале в NN-, Nd- и dd-соударениях
функции в данном канале, внутри шестикваркового
было экспериментально обнаружено еще в
мешка с большой вероятностью возникает эффект
1960-е гг. и с тех пор известно как ABC-
частичного восстановления киральной симметрии
эффект [52]. Недавние высокоточные экспери-
КХД, что приводит к существенной перенорми-
менты по 2π-рождению не только подтвердили
ровке и уменьшению массы σ-мезона вплоть до
существование выраженного ABC-эффекта, но
околопороговых значений mrenσ ≃ 300 МэВ (см.
и однозначно связали его появление с рожде-
работы, посвященные восстановлению киральной
нием промежуточного изоскалярного дибариона
симметрии в возбужденных адронах [50, 51], а
d∗(2380) [19, 53]. Однако конкретный механизм
также нашу работу [42]). Эта перенормировка мас-
распада дибариона, приводящий к ABC-усилению,
сы скалярного мезона (вместе с уменьшением его
оставался неясным. В работе [42] мы предложили
ЯДЕРНАЯ ФИЗИКА том 82
№6
2019
К ПРИРОДЕ ЯДЕРНЫХ СИЛ
527
интерпретацию ABC-эффекта как следствия из-
где mπ = (mπ0 + 2mπ± )/3 и ΛπNN - параметр вы-
лучения перенормированного σ-мезона из возбуж-
сокоимпульсного обрезания4). Гамильтониан внут-
денного дибариона и показали, что такая интерпре-
реннего канала в (1) содержит собственную энер-
тация хорошо согласуется с экспериментальными
гию дибарионного резонанса ED = E0 - iΓinel/2,
данными [19]. Тем самым было получено сильное
мнимая часть которой определяется шириной рас-
указание правильности дибарионного механизма
пада резонанса в неупругие каналы Γinel. Также в
NN-взаимодействия через образование проме-
формуле (1) мы ввели волновую функцию |α〉 ше-
жуточного 6q-мешка, одетого полем скалярных
стикваркового мешка (дибариона), формфактор |φ〉
σ-мезонов3).
связи внешнего и внутреннего каналов и константу
связи каналов λ1. Формфактор |φ〉 суть матрич-
ный элемент перекрывания от произведения вол-
3. ОПИСАНИЕ NN-РАССЕЯНИЯ,
новых функций двух нуклонов (полученных в рам-
ИНДУЦИРОВАННОГО ОДНИМ
СОСТОЯНИЕМ ВО ВНУТРЕННЕМ КАНАЛЕ
ках кварковой модели) и шестикварковой волновой
функции дибариона в данной парциальной волне.
Ниже мы рассмотрим двухканальную модель
Он является функцией относительного расстояния
NN-взаимодействия с одним комплексным полю-
(или относительного импульса) в NN-канале, а
сом. Она соответствует физической картине NN-
также зависит от спина, изоспина, орбитального
рассеяния, управляемого во внешнем канале обыч-
и полного углового моментов NN-системы. Для
ным однопионным обменом (One Pion Exchange -
расчетов здесь мы используем простой гауссов
OPE), а во внутреннем канале - одним собствен-
формфактор с одним параметром r0 [38].
ным шестикварковым состоянием с комплексной
энергией. Основное отличие предлагаемой здесь
Поскольку шестикварковый гамильтониан (1)
модели от той, что была представлена ранее в рабо-
переводит вектор состояния из дибарионного кана-
тах [37, 38], состоит в возможности рассматривать
ла в канал, описывающий относительное движение
одновременно упругое и неупругое NN-рассеяние
двух нуклонов, и обратно, то удобно исключить
благодаря наличию мнимой части у энергии внут-
из полной задачи шестикварковое пространство
реннего 6q-состояния. Подчеркнем, что мнимая
обычным методом исключения каналов [54], что
часть собственной энергии этого 6q-состояния со-
дает эффективный гамильтониан в NN-канале,
ответствует учету только неупругих (не двухнук-
который зависит от энергии:
лонных) мод его распада, например, NNπ, NNππ
и др. Таким образом, мы рассматриваем простую
λ21|φ〉〈φ|
двухканальную модель, в которой первый канал
Heff(E) = hNN +
(3)
E-ED
отвечает периферическому OPE-взаимодействию,
а второй — одному дибарионному резонансу с ком-
Таким образом, полное взаимодействие в NN-
плексным собственным значением ED.
канале состоит из потенциала однопионного обме-
Полный гамильтониан такой системы имеет вид:
на (2) и сепарабельного зависящего от энергии по-
|φ〉〈φ|
тенциалаλ1
. Заметим, что полная амплитуда
⎛
⎞
E-ED
рассеяния, отвечающая сумме этих потенциалов,
hNN λ1|φ〉〈α|
⎠.
включает t-канальный обмен любым числом пио-
H =⎝
(1)
нов (лестничного типа) и любое число NN-петель,
λ1|α〉〈φ| ED|α〉〈α|
причем внутри этих петель нуклоны также могут
обмениваться любым числом пионов - см. рис. 4.
Здесь гамильтониан hNN = h(0)NN + VNN определя-
ет взаимодействие во внешнем NN-канале, кото-
Поскольку основная часть эффективного га-
рое, как мы предполагаем, исчерпывается однопи-
мильтониана (3) имеет сепарабельную форму, мож-
онным обменом, т.е.
но определить дополнительную t-матрицу рассея-
)2
ния в представлении искаженных волн, отвечаю-
f2π
1
(Λ2πNN -m2π
щих внешнему гамильтониану hNN . Соответствую-
VNN =
×
(2)
m2π q2 + m2π Λ2πNN + q2
щий оператор перехода имеет вид
(τ1 · τ2)
λ21|φ〉〈φ|
× (σ1 · q)(σ2 · q)
,
t(E) =
,
(4)
3
E + i0 - ED - J1(E)
3)Отметим по контрасту, что никаких реальных доказа-
4)В расчетах мы используем усредненную пион-нуклонную
тельств рождения ππ-корреляции притягивающего типа в
рамках традиционного подхода получено не было, несмот-
константу связи f2π/(4π) = 0.075 и “мягкое” обрезание
ря на многолетние исследования многих групп.
ΛπNN = 0.65 ГэВ/c.
ЯДЕРНАЯ ФИЗИКА том 82
№6
2019
528
КУКУЛИН и др.
N
N
N
N
N
N
N
N
N
=
π
+
+
π
+
D0
D0
D0
N
T
N
N
N
N
N
N
N
N
N
N
N
N
N
N
N
π
π
+
π
+ ...
π
D0
D0
D0
D0
π
D0
N
N
N
N
N
N
N
Рис. 4. Полная амплитуда рассеяния для нашей модели, включающая все возможные t-канальные пионные обмены и
переходы во внутренний дибарионный канал.
где функция J1(E) пропорциональна матричному
а также выражение для перенормированной пол-
элементу от резольвенты внешнего гамильтониана
ной ширины в зависимости от энергии:
gNN (E) ≡ [E + i0 - hNN]-1:
Γ(E) = Γinel - 2ImJ1(E) =
(10)
J1(E) = λ21〈φ|gNN (E)|φ〉.
(5)
= Γinel + 2πλ21|〈φ|ψ(E)〉|2.
Отметим, что мнимая часть этой функции может
После нахождения положения одетого дибариона
быть найдена в явном виде:
ER из условия (9) полная ширина резонанса Γth
находится по формуле (10) при E = ER. Масса
ImJ1(E) = -πλ21|〈φ|ψ(E)〉|2,
(6)
одетого дибариона Mth связана с энергией E
R
√
где |ψ(E)〉 - собственная функция гамильтониана
соотношением6) Mth = 2
m(ER + m), где m -
масса нуклона.
hNN .
Таким образом, функция J1(E) дает сдвиги ре-
Из выражения для оператора перехода (4) легко
альной и мнимой частей энергии дибариона. Этот
получить формулу для полной S-матрицы:
сдвиг положения резонанса возникает за счет свя-
зи исходного дибариона с внешним NN-каналом.
E - ED - ReJ1(E) + iImJ1(E)
При этом можно оценить вес распада дибариона в
S(E) = e2iδ0
,
(7)
E - ED - ReJ1(E) - iImJ1(E)
NN-канал в полной ширине распада:
где δ0 - фазовый сдвиг NN-рассеяния, управ-
Γth - Γinel
2πλ21|〈φ|ψ(ER)〉|2
w=
=
(11)
ляемого потенциалом OPE. В свою очередь, из
Γth
Γ(ER)
формулы (7) находим фактор, пропорциональный
сечению реакции:
Для эффективного учета неупругих процессов, а
также для описания порогового поведения сечения
1 - |S(E)|2 =
(8)
реакции следует ввести зависимость ширины “за-
травочного” резонанса Γinel от энергии. Основным
-2ImJ1(E)Γinel
=
неупругим процессом для рассматриваемых в этой
(E - E0 - ReJ1(E))2 +14 (Γinel - 2ImJ1(E))2
работе изовекторных NN-каналов является одно-
пионное рождение. В свою очередь, доминирующий
Отсюда получается условие на перенормированное
вклад в ширину распада изовекторных дибарионов
положение ER одетого дибарионного резонанса
дает трехчастичный канал D → πNN (двухчастич-
относительно затравочного (“голого”) значения5)
ный канал D → πd дает вклад ≲30% [56] и имеет
E0:
6)Здесь мы используем метод “минимального” учета ре-
ER = E0 + ReJ1(ER),
(9)
лятивистских поправок (см., например, работу [55]), при
котором сохраняется связь E = k2/m между энергией
E, входящей в соотношения для S-матрицы и эффектив-
5)Более последовательно было бы называть дибарион во
ного гамильтониана, и относительным импульсом пары
внутреннем канале “полуодетым” (“semi-dressed”), так
нуклонов k, однако импульс k находится из лабора-
как мнимая часть его собственной энергии уже учитывает
торной энергии соударения по релятивистской формуле
все неупругие моды распада. Но в нашей модели исследу-
√
k=
mTlab/2. Тогда Tlab = 2E и полная инвариантная
ется одевание дибариона за счет связи с NN-каналом. С
этой точки зрения исходный дибарион является “голым”.
энергия
√s = 2√m(E + m).
ЯДЕРНАЯ ФИЗИКА том 82
№6
2019
К ПРИРОДЕ ЯДЕРНЫХ СИЛ
529
аналогичное пороговое поведение). Соответствую-
уравнению Дайсона для одетой частицы в теории
щая неупругая ширина распада дибариона может
поля.
быть представлена следующим образом:
⎧
⎨0,
√s ≤ Ethr;
4. ИЗОВЕКТОРНЫЕ NN-КАНАЛЫ
√
ΓD(
s) =
F(√s)
√
,
(12)
БЕЗ ОТТАЛКИВАЮЩЕГО КОРА
⎩Γ0
,
s>Ethr
F (M0)
В этом разделе мы рассмотрим в качестве
примера изовекторные парциальные каналы NN-
где
√s - полная инвариантная энергия распадаю-
щегося резонанса, M0 - масса голого дибариона,
рассеяния3P2,1D2 и3F3, в которых эмпирические
Ethr = 2m + mπ - порог распада, а Γ0 определяет
фазовые сдвиги не демонстрируют явно поведе-
ширину распада в дибарионном полюсе.
ния, характерного для отталкивающего кора на
малых расстояниях, по крайней мере, вплоть до
Функция F (√s), учитывающая распад дибари-
относительно больших энергий соударения Tlab ≃
она по каналу D → πNN, где вылетающий пион
≃ 800 МэВ7). Эти каналы были выбраны также по
имеет орбитальный угловой момент lπ, а NN-пара
той причине, что в них достаточно надежно уста-
- LNN, может быть параметризована с помощью
новлено существование дибарионных резонансов,
эмпирической формулы
параметры которых довольно хорошо известны и
√∫-m
π
могут быть использованы для тестирования нашей
F(√s) =1
dMNN ×
(13)
модели8).
s
В действительности, самый важный момент в
2m
приводимых ниже результатах заключается в близ-
2LNN +1
q2lπ+1k
ком согласии масс и ширин одетых дибарионов,
×
,
(q2 + Λ2)lπ+1(k2 + Λ2)LNN+1
полученных при подгонке фазовых сдвигов NN-
√
рассеяния в нашей модели, с параметрами экспе-
где q(MNN ) =
(s - m2π - M2NN )2 - 4m2πM2NN /2√s
риментально найденных дибарионов в соответству-
– импульс пиона в общей с.ц.и., k(MNN) =
√
ющих парциальных каналах (см. работы [17, 22,
=12
M2NN - 4m2
- импульс нуклона в с.ц.и.
56-62]).
конечной NN-системы с инвариантной массой
Для представления парциальных амплитуд мы
MNN , а Λ - параметр высокоимпульсного об-
используем ниже параметризацию Арндта для K-
резания, препятствующий нефизическому росту
матрицы [55, 63], которая в случае одноканального
ширины при высоких энергиях. Орбитальные
рассеяния имеет простой вид:
моменты lπ и LNN могут принимать различные
значения, однако их сумма ограничена условием
K = tgδ + itg2 ρ,
(14)
сохранения полного углового момента и четности
при распаде. Конкретные значения параметров lπ,
где δ - действительный фазовый сдвиг, а ρ -
LNN и Λ фиксировались из условия наилучшего
параметр, связанный с неупругостью, который мы
описания фазовых сдвигов рассеяния в данном
будем для простоты называть мнимым фазовым
парциальном NN-канале (см. разд. 4 и 5). Важно
сдвигом.
отметить, что эти параметры влияют прежде всего
на околопороговое поведение неупругих фазовых
4.1. Канал3P2
сдвигов и используются для “точной настройки”
модели, в то время как основные результаты,
Эмпирические фазовые сдвиги NN-рассеяния
полученные в настоящей работе, гораздо более
в канале3P2, найденные группой из Вашингтон-
чувствительны к значениям массы и ширины
ского университета (SAID), не проявляют никаких
затравочного (“голого”) дибариона.
признаков отталкивающего кора и все время оста-
Таким образом, мы сформулировали простую
ются положительными вплоть до энергий Tlab ≃
модель связи внешнего (в нашем случае управля-
≃ 1000 МэВ. Это явно указывает, что в данном
емого OPE-взаимодействием) NN-канала и внут-
реннего (дибарионного) канала и показали, что
7)Тот факт, что при более высоких энергиях упругие фазо-
комплексная энергия исходного (“голого”) дибари-
вые сдвиги в этих каналах становятся отрицательными,
она перенормируется за счет связи с NN-каналом,
является следствием появления большой мнимой части
фазовых сдвигов, что можно интерпретировать как силь-
в результате чего возникают масса и ширина пол-
ное отталкивание.
ностью одетого дибариона. Графически этот ме-
8)Изоскалярные каналы (в частности, канал3D3, в кото-
ханизм взаимодействия можно представить в ви-
ром точно установлено рождение дибарионного резонанса
де последовательности диаграмм, показанных на
d∗(2380) [18-20]) будут рассмотрены в нашей следующей
рис. 3. Такой ряд диаграмм фактически отвечает
работе.
ЯДЕРНАЯ ФИЗИКА том 82
№6
2019
530
КУКУЛИН и др.
δ, град
ρ, град
30
а
б
20
25
15
20
15
10
10
5
5
0
0
0
0.2
0.4
0.6
0.8
0
0.2
0.4
0.6
0.8
1.0
Tlab, ГэВ
Tlab, ГэВ
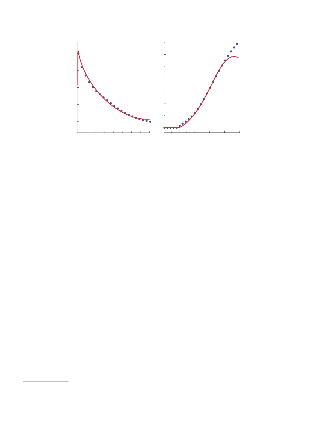
Рис. 5. Действительныеδ (a) и мнимые ρ (б) парциальные фазовые сдвигив канале3P2, найденныев дибарионноймодели
(сплошные кривые) в сравнении с данными парциально-волнового анализа SAID (точки).
канале традиционный отталкивающий кор не иг-
одетого дибариона в канале3P2:
рает решающей роли и основной механизм NN-
Mth(3P2) = 2.23 ГэВ, Γth(3P2) = 0.15 ГэВ. (15)
взаимодействия отвечает довольно сильному при-
тяжению.
Эти значения нужно сравнить с соответствующими
Мы попробовали смоделировать это притяже-
эмпирическими параметрами3P2-дибариона, най-
ние одним дибарионным полюсом в эффективном
денными в недавних экспериментах коллаборации
гамильтониане NN-взаимодействия (3), варьируя
ANKE-COSY [22]10):
комплексную энергию дибариона ED и веществен-
ную константу связи λ1 внешнего и внутреннего
Mexp(3P2) = 2.197(8) ГэВ,
(16)
каналов.
Γexp(3P2) = 0.130(21) ГэВ.
Реальные парциальные фазовые сдвиги δ и па-
раметры ρ для канала3P2 приводятся9) на рис. 5
Как мы видим, масса и ширина одетого дибари-
в сравнении с данными SAID [63]. В этих расче-
она в канале3P2 оказываются весьма близкими к
тах были использованы параметры эффективного
массе и ширине экспериментально найденного3P2-
потенциала (3) λ1 = 0.065 ГэВ и r0 = 0.71 фм.
дибариона (с учетом экспериментальных погреш-
Полная ширина дибариона была параметризована
ностей).
в виде (12), (13) со следующими параметрами: Γ0 =
Поскольку никаких иных предположений о ха-
= 0.096 ГэВ, lπ = 2, LNN = 0 и Λ = 0.3 ГэВ/c.
рактере взаимодействия в этом канале, кроме оче-
видного наличия потенциала однопионного обмена,
Из рисунка видно, что, хотя наша модель при-
водит к немного переоцененным мнимым фазам
вклад которого весьма мал, мы не делали, полу-
ченные результаты прямо указывают на домини-
ρ, она позволяет весьма хорошо описать реаль-
рующий дибарионный механизм основного NN-
ные и мнимые фазовые сдвиги до энергий Tlab ∼
взаимодействия в этом канале.
∼ 0.6 ГэВ. Здесь важно подчеркнуть, что описание
как вещественных, так и мнимых фазовых сдвигов
Здесь важно отметить, что аналогичный вы-
в этом канале было получено с одними и теми же
вод о доминировании дибарионного механизма в
параметрами “голого” дибариона.
неупругом NN-взаимодействии в канале3P2 был
сделан нами при анализе базовой реакции однопи-
Используя теперь явно условие (9) и выра-
онного рождения pp → dπ+ при энергиях от порога
жение (10), мы нашли следующие параметры для
до 800 МэВ [44]. В рамках феноменологической
модели, учитывающей как традиционные мезон-
9)Триплетный канал3P2 связан тензорным взаимодействи-
обменные механизмы (с умеренными значениями
ем с каналом3F2. Однако в рассматриваемом диапазоне
энергий (до 700 МэВ) реальные и мнимые фазовые сдвиги
в канале 3F2, а также угол смешивания ϵ2 малы, поэтому
10)В скобках указана статистическая погрешность в послед-
здесь эта связь не учитывается.
ней значащей цифре.
ЯДЕРНАЯ ФИЗИКА том 82
№6
2019
К ПРИРОДЕ ЯДЕРНЫХ СИЛ
531
δ, град
ρ, град
15
а
30
б
25
10
20
5
15
10
0
5
-5
0
0
0.2
0.4
0.6
0.8
0
0.2
0.4
0.6
0.8
1.0
Tlab, ГэВ
Tlab, ГэВ
Рис. 6. То же, что и на рис. 5, но для канала1D2.
параметров обрезания в вершинах, согласованны-
λ1 = 0.048 ГэВ и r0 = 0.82 фм. При этом пара-
ми с данными по πN-рассеянию), так и дибари-
метры ширины “голого” дибариона были выбраны
онные вклады, было показано, что изовекторные
следующие: Γ0 = 0.08 ГэВ, lπ = 0, LNN = 1 и Λ =
дибарионные резонансы в лидирующих парциаль-
= 0.2 ГэВ/c.
ных волнах данной реакции (1D2,3F3,3P2) играют
В канале1D2 мнимые фазовые сдвиги снова
очень важную роль в описании ее основных харак-
оказываются немного переоцененными вблизи по-
теристик, включая поведение сложных поляриза-
ложения дибарионного полюса. Однако их пове-
ционных наблюдаемых. При этом взаимодействие
дение от порога до энергий порядка 550 МэВ, так
в канале 3P2 практически полностью определяется
же, как и поведение реальных фазовых сдвигов при
дибарионным вкладом, тогда как традиционный
энергиях от нуля до 600 МэВ, воспроизводится
механизм возбуждения Δ-изобары играет в этом
почти количественно.
канале очень незначительную роль11). Важно под-
Из условий (9) и (10) были найдены следующие
черкнуть, что параметры3P2-дибариона, найден-
параметры одетого дибариона для канала1D2:
ные нами в работе [44], также оказались очень
близки к экспериментальным [22]. Таким образом,
Mth(1D2) = 2.18 ГэВ, Γth(1D2) = 0.11 ГэВ,
(17)
результаты настоящей работы не только подтвер-
которые также оказались довольно близкими к
ждают вывод о доминировании3P2-дибариона в
экспериментальным значениям, найденным в ряде
неупругом NN-взаимодействии вплоть до энергий
работ [17, 58-62] (см. также сводные таблицы
Tlab ≃ 600 МэВ, но, что еще более важно, позво-
параметров дибарионов в обзоре [56]).
ляют сделать вывод об определяющей роли этого
Следует отметить, что, как уже давно известно,
резонанса также и в упругом NN-рассеянии в той
же области энергий.
в парциальной волне 1D2 очень сильна связь NN-
канала с NΔ-каналом, поскольку система NΔ
здесь рождается в S-волне (в состоянии5S2), и
4.2. Канал1D2
эта связь определяет большую часть неупругости
в этом канале. Поскольку мы эффективно (че-
Совершенно аналогичное рассмотрение NN-
рез ширину исходного “полуодетого” дибариона)
рассеяния в канале1D2 приводит к результатам,
учитываем связь с NΔ-каналом резонансного (s-
показанным на рис. 6а и 6б для действительного и
канального) типа, то описание неупругого рассе-
мнимого фазовых сдвигов соответственно. В этих
яния воспроизводится только вплоть до энергий
расчетах использовались параметры потенциала
столкновения, отвечающих массе1D2-дибариона.
При более высоких энергиях связь с NΔ-каналом
11)При других конечных состояниях, отличных от dπ, вклад
обусловлена в основном t-канальным однопи-
Δ-изобарного механизма может быть больше, однако это
не меняет качественных выводов о роли дибарионного
онным обменом, поэтому выше Tlab ≃ 600 МэВ
механизма.
неупругое рассеяние уже не описывается нашей
ЯДЕРНАЯ ФИЗИКА том 82
№6
2019
532
КУКУЛИН и др.
простой моделью. Тем не менее, почти количе-
внешнем канале12)) воспроизводит почти количе-
ственное описание как действительной (упругой),
ственно упругие фазовые сдвиги при энергиях от
так и мнимой (неупругой) частей фазовых сдвигов
нуля до 800 МэВ. Также хорошо воспроизводится
(с одними и теми же параметрами исходного
поведение мнимой фазы ρ от неупругого порога
дибариона) вплоть до энергий Tlab ≃ 600 МэВ
вплоть до энергий порядка 700 МэВ. Более того, в
явно указывает на доминирование дибарионного
этом канале мнимые фазовые сдвиги вблизи резо-
механизма взаимодействия в данном парциальном
нансного полюса не являются переопределенными,
канале, по крайней мере, в этой области энергий.
как в других каналах. Все эти результаты ясно го-
ворят о доминировании дибарионного механизма в
Важная роль1D2-дибариона была ранее уста-
упругом и неупругом NN-взаимодействии в канале
новлена нами в реакциях одно- и двухпионного
3F3 при энергиях вплоть до Tlab ≃ 700-800 МэВ,
рождения в NN-соударениях [43, 44]. В частности,
причем в этом канале дибарион проявляется очень
было показано, что, хотя t-канальное возбуждение
четко (в частности, резонансное поведение можно
системы NΔ дает существенный вклад в этой пар-
увидеть даже в упругом фазовом сдвиге).
циальной волне, без учета дибарионного механизма
Для3F3-дибариона мы снова получили хорошее
все же не удается количественно описать сечение
согласие массы и ширины, найденных в нашей
реакции pp → dπ+ при энергиях в окрестности
модели, с экспериментальными значениями [56-
резонансного пика (Tlab ∼ 600 МэВ). Подчеркнем
62] (хотя существующие данные имеют доволь-
здесь, что результаты настоящей работы демон-
но большой разброс). Результаты для параметров
стрируют определяющее влияние дибариона не
дибарионов, представленные в данном разделе, в
только вблизи массовой поверхности, но и далеко
сравнении с экспериментальными данными, приве-
за ее пределами, причем как для неупругого, так и
дены в табл. 1.
для упругого NN-взаимодействия.
Важно также отметить, что для всех трех рас-
смотренных здесь дибарионов отношение ширины
распада в NN-канал к полной ширине, опреде-
ляемое формулой (11), составляет 10-20%, что
4.3. Канал3F3
согласуется с предыдущими оценками [56, 59-62].
Таким образом, мы нашли, что во всех рас-
В изовекторном канале 3F3 наличие дибарион-
смотренных изовекторных каналах рождение про-
ного резонанса с массой M(3F3) ≃ 2.26 ГэВ было
межуточного (экспериментально установленного)
установлено в эксперименте еще в 1977 г. [57]. Так-
дибариона в значительной степени определяет как
же было найдено, что в этом NN-канале имеется
упругое, так и неупругое NN-рассеяние при энер-
гиях от нуля до 600-800 МэВ, т.е. в том числе да-
очень большая неупругость. Здесь снова возникает
леко от той области, где соответствующий резонанс
интересный вопрос: в какой степени указанный
выходит на массовую поверхность.
3F3-резонанс влияет на упругое и неупругое рассе-
яние в этом канале? На первый взгляд кажется, что
заметный вклад дибариона можно увидеть в основ-
5. КАНАЛЫ С ОТТАЛКИВАЮЩИМ
ном при энергиях, близких к положению резонанса.
КОРОМ: КАНАЛ1S0
Однако, вообще говоря, влияние s-канального ди-
В этом канале, как хорошо известно, ясно
барионного обмена в NN-рассеянии должно про-
проявляется отталкивающий кор на малых рас-
слеживаться далеко от массовой поверхности, - и
стояниях, что приводит к отрицательным фазо-
мы уже видели это на примере других парциальных
вым сдвигам, начиная с энергий соударения Tlab ≃
волн.
≃ 250 МэВ. Дибарионная модель для S-волнового
NN-взаимодействия предсказывает доминирую-
На рис. 7а и 7б показаны действительная и
щую шестикварковую конфигурацию со смешан-
мнимая части фазовых сдвигов в канале3F3 в срав-
нении с данными парциально-волнового анализа
ной симметрией |s4p2[42]xLST 〉, с двумя осцилля-
SAID. Здесь в расчетах снова была использована
торными квантами возбуждения [37, 38, 41]. При
проектировании этой шестикварковой конфигура-
энергозависящая ширина резонанса (12), (13) с
ции в NN-канал возникает функция относитель-
параметрами Γ0 = 0.15 ГэВ, lπ = 0, LNN = 2 и Λ =
ного движения двух нуклонов χ(R) с внутренним
= 0.1 ГэВ/c. При этом были взяты следующие па-
раметры потенциала: λ1 = 0.065 ГэВ и r0 = 0.5 фм.
12)Поскольку при низких энергиях фаза δ очень мала и
полностью определяется потенциалом OPE, здесь возни-
Из рис. 7 ясно видно, что и в этом канале
кает ее большая чувствительность к параметру обрезания
модель с единственным дибарионным полюсом (в
ΛπNN . В расчетах для канала3F3 использовалось значе-
сочетании с простым взаимодействием OPE во
ние ΛπNN = 0.5 ГэВ.
ЯДЕРНАЯ ФИЗИКА том 82
№6
2019
К ПРИРОДЕ ЯДЕРНЫХ СИЛ
533
δ, град
ρ, град
5
а
30
б
25
0
20
-5
15
10
-10
5
-15
0
0
0.2
0.4
0.6
0.8
1.0
0
0.2
0.4
0.6
0.8
1.0
Tlab, ГэВ
Tlab, ГэВ
Рис. 7. То же, что и на рис. 5, но для канала3F3.
Таблица 1. Параметры “голых” (M0, Γ0) и одетых (Mth, Γth) дибарионов (в ГэВ) для трех изовекторных NN-каналов
в сравнении с их экспериментальными значениями, взятыми из работ [22] (3P2) и [56] (1D2, 3F3)
2S+1LJ
M0
Γ0
Mth
Γth
Mexp
Γexp
3P2
2.21
0.096
2.23
0.15
2.197(8)
0.130(21)
1D2
2.168
0.08
2.18
0.11
2.14-2.18
0.05-0.1
3F3
2.23
0.15
2.22
0.17
2.20-2.26
0.1-0.2
узлом. Очень важно, что этот узел оказывается
что число варьируемых параметров остается мини-
практически на том же месте (rNN ∼ 0.5 фм), что
мальным. В итоге, варьируя комплексную энергию
и традиционный отталкивающий кор, и, кроме того,
только одного дибарионного полюса, мы находим
он практически не меняет своего положения с ро-
весьма удовлетворительное описание как действи-
стом энергии соударения (см. рис. 1). Таким обра-
тельной, так и мнимой частей фазового сдвига NN-
зом, этот стационарный узел очень точно передает
рассеяния в канале1S0 в очень большом энерге-
эффекты сильного отталкивающего кора в NN-
тическом интервале - от нуля до 1200 МэВ (см.
рассеянии.
рис. 8а и 8б).
В дибарионной модели [37, 38, 41] появление
Из представленных результатов ясно следует
такого стационарного узла обеспечивает дополни-
тельный проектор в NN-потенциале вида
поразительный факт, что, как и в случаях, рассмот-
ренных выше (но в еще более широкой области
Vrep = λ|φ0〉〈φ0|,
(18)
энергий!), описание синглетных фазовых сдвигов в
где λ → ∞, а |φ0〉〈φ0| - проектор на полностью
канале1S0 в основном определяется всего одним
симметричную шестикварковую конфигурацию
дибарионным полюсом. Однако одетый дибарион в
|s6[6]〉, исключаемую из пространства модели
этом канале получается очень широким. Поэтому
благодаря ее явной малости по сравнению с доми-
более корректно определять его положение не из
нирующей конфигурацией смешанной симметрии.
условия (9) на вещественной оси, а из условия
Таким образом, в случае S- и ряда P -волн (3P0,3P1
полюса S-матрицы (7) в комплексной плоскости:
и1P1), где ясно проявляется отталкивающий кор,
Z - ED - J1(Z) = 0.
(19)
эффективный гамильтониан (3) следует дополнить
ортогонализующим псевдопотенциалом
(18) с
В этом случае для параметров “голого” дибарио-
большой положительной константой связи λ.
на13) M0 = 2.364 ГэВ и Γ0 = 0.044 ГэВ получаются
К счастью, эта модификация не добавляет к
нашей модели никаких свободных параметров, так
13)В расчетах были использованы параметры потенциала
ЯДЕРНАЯ ФИЗИКА том 82
№6
2019
534
КУКУЛИН и др.
δ, град
ρ, град
а
б
60
30
30
20
0
-30
10
-60
0
0
0.3
0.6
0.9
1.2
0
0.3
0.6
0.9
1.2
1.5
Tlab, ГэВ
Tlab, ГэВ
Рис. 8. То же, что и на рис. 5, но для канала1S0.
следующие параметры одетого дибариона:
6.1. Несжимаемость (постоянство плотности)
ядерной материи
Mth(1S0) = 2.59 ГэВ, Γth(1S0) = 0.63 ГэВ.
(20)
Как хорошо известно, плотность материи внутри
всех ядер, начиная примерно с A = 25, является в
среднем одинаковой, не считая локальных флук-
Следует отметить, что это означает существо-
туаций, обусловленных оболочечными эффектами.
вание второго высоколежащего дибариона в ка-
Иными словами, ядерная материя как таковая ока-
нале1S0 в дополнение к околопороговому1S0-
зывается практически несжимаемой, несмотря на
дибариону (синглетному дейтрону), предсказанно-
мощные силы притяжения между нуклонами, кото-
му Дайсоном и Ксуонгом [16] много лет назад.
рые не позволяют ядру разлететься на составляю-
Интересно, что анализ найденной нами S-матрицы
щие части. Хотя имеющиеся сегодня модели ядер
NN-рассеяния в этом канале ясно указывает и на
объясняют эту несжимаемость “де факто”, т.е. в
присутствие полюса синглетного дейтрона вбли-
конкретных расчетах, общей идеи о причинах тако-
зи NN-порога (этот полюc находится при энер-
го поведения материи до сих пор нет. Дибарионная
гии примерно -70 кэВ на нефизическом листе),
концепция может дать здесь вполне естественное
(по крайней мере, качественное) объяснение, кото-
который не закладывался в исходный потенциал
рое позволяет одновременно проинтерпретировать
взаимодействия, но получился автоматически при
целый ряд экспериментальных результатов, пока
включении связи NN- и дибарионного каналов.
не нашедших объяснения в рамках традиционных
моделей.
Как было показано нами на примере точных
6. ДИСКУССИЯ: РОЛЬ ДИБАРИОНОВ
расчетов ядер3H и3He в рамках дибарионной мо-
дели [40], благодаря узловому поведению радиаль-
В ЯДЕРНОЙ ФИЗИКЕ
ных волновых функций в S- и P -волнах, средняя
кинетическая энергия нуклонов в системе сильно
В этом разделе мы кратко обсудим ту важ-
растет по сравнению с традиционными моделями
ную роль, которую дибарионные резонансы играют
сил (примерно в 3 раза в трехнуклонных ядрах [40]).
в ядерной физике в целом. В этом проявляется
Этот рост при неизменной полной энергии со-
основное отличие шестикварковых дибарионных
провождается ростом (по абсолютной величине) и
резонансов от других мультикварковых экзотиче-
средней потенциальной энергии притяжения нук-
ских состояний, таких, как тетра- и пентакварки,
лонов, т.е. ядерная материя оказывается как бы
которые не играют существенной роли в ядерной
намного сильнее нагрета и намного сильнее сжата
физике.
огромными силами притяжения, индуцированными
рождением промежуточных дибарионных резонан-
λ1 = 1.184 ГэВ, r0 = 0.51 фм и параметры ширины диба-
сов. Это означает, что кинетическое давление такой
риона lπ = 1, lNN = 0 и Λ = 0.4 ГэВ/c.
материи при выключении мощных сил притяжения
ЯДЕРНАЯ ФИЗИКА том 82
№6
2019
К ПРИРОДЕ ЯДЕРНЫХ СИЛ
535
d 2N/dEdΩ, отн. ед.
d 2N/dEdΩ, отн. ед.
а
б
104
104
Be
C
103
103
102
102
101
101
100
100
0
50
100
150
200
250
0
50
100
150
200
250
E, МэВ
E, МэВ
d 2N/dEdΩ, отн. ед.
d 2N/dEdΩ, отн. ед.
4
10
104
в
г
O
103
Ne
103
102
102
101
101
100
100
0
50
100
150
200
250
0
50
100
150
200
250
E, МэВ
E, МэВ
Рис. 9. Энергетические спектры различных ядерных фрагментов, вылетающих в поперечной плоскости (в с.ц.и.) из
ядра-мишенипри его бомбардировкебыстрымидейтронами.Крестики— данные [66] для ядербериллия(а), углерода(б),
кислорода (в) и неона (г). Сплошные кривые - результаты теоретических расчетов, учитывающих как испарительные, так
и высокоимпульсные процессы. Рисунок взят из работы [66].
будет очень сильным. Но поскольку реальное дав-
компенсируется силами притяжения между моле-
ление на поверхность ядра отсутствует (или оно
кулами воды, так что результирующее давление
очень мало), то возникает следующая аналогия с
на стенки очень мало. Ясно, что любое внешнее
обычной водой.
давление, много меньшее 14000 атм, практически
не будет влиять на внутреннее состояние воды, что
Известно, что вода плохо сжимаема, т.е. имеет
и означает ее практическую несжимаемость. Ана-
почти постоянную плотность в большом интервале
логичная картина возникает и в ядерной материи
давлений. Причиной этого является высокое внут-
при ее рассмотрении в рамках дибарионной кон-
реннее давление, т.е. то давление, которое оказы-
цепции. “Внутреннее кинетическое давление” нук-
вала бы вода при данной температуре на стенки
лонов в ней настолько сильное, что любое внешнее
сосуда, если убрать силы притяжения между мо-
давление будет слабо влиять на состояние такой
лекулами. Это внутреннее давление достигает при
материи.
комнатной температуре огромной величины - бо-
лее 14000 атм. И в реальности оно почти полностью
Попутно отметим, что, согласно имеющимся
ЯДЕРНАЯ ФИЗИКА том 82
№6
2019
536
КУКУЛИН и др.
расчетам, уравнение состояния вещества внутри
паре внешних протонов (или нейтронов) в изобар-
нейтронной звезды должно быть намного жестче,
аналоговых состояниях несколько меньше, чем
т.е. зависимость давления от плотности должна
предсказывают основные ядерные модели.
быть намного более “крутой”, чем дают традицион-
По существу тот же парадокс имеется для
ные модели ядерной материи [64, 65]. Очевидно, что
кулоновской разности энергий ΔEC = EB(3He) -
жесткое уравнение состояния как раз и означает
- EB(3H) пары легчайших зеркальных изотопов
плохую сжимаемость ядерной материи.
3He и3H. Точные фаддеевские расчеты дают зна-
Возникает вопрос: можно ли как-то подтвер-
чение кулоновской разности ΔEC ≃ 630 кэВ, тогда
дить этот вывод экспериментально? В качестве
как ее экспериментальное значение равно 760 кэВ.
ответа мы приведем здесь очень яркие результаты
Долгие годы это расхождение оставалось необъ-
относительно недавних экспериментов, выполнен-
ясненным. Относительно недавно правдоподобное
ных Карнауховым с сотр. в ОИЯИ [66], по фраг-
объяснение этого парадокса было предложено в
ментации различных ядер на фрагменты от9Be до
работах Бохумской группы [68], где было показа-
36Ar под действием высокоэнергетического пучка
но, что экспериментальное значение ΔEC можно
дейтронов (см. рис. 9а-9г, где показаны данные
получить в строгой теории, если принять значение
для ядер-фрагментов от9Be до20Ne).
длины nn-рассеяния ann = -18.9 фм, что боль-
ше (по абсолютной величине) хорошо известной
На этих рисунках показаны энергетические
“ядерной” длины pp-рассеяния app = -17.3 фм.
(импульсные) распределения ядерных фрагмен-
тов, вылетающих из ядра-мишени в поперечной
Тогда энергия связи ядра3H становится немного
плоскости при облучении пучком релятивист-
больше, чем при равных длинах рассеяния ann =
ских дейтронов. На всех приведенных рисунках
= app, и ΔEC увеличивается так, что становит-
ясно видно, что традиционная теория хорошо
ся равной своему экспериментальному значению.
описывает низкоэнергетическую (испарительную)
Однако недавние эксперименты по трехчастичному
часть распределений фрагментов и совершенно
развалу n + d → (nn)0 + p [69] дали другое значе-
не описывает их высокоэнергетическую часть.
ние длины nn-рассеяния, ann = -16.5 фм, и если
Т.е. под действием пучка быстрых дейтронов в
принять это значение ann, то для кулоновской
ядре-мишени высвобождается намного больше
разности получается противоположный эффект:
высокоэнергетических фрагментов, чем это следует
расхождение с экспериментальным значением еще
из традиционной теории ядерной материи. Эти ре-
больше увеличивается.
зультаты могут служить хорошим подтверждением
Возможный выход из этой ситуации дает пред-
резко усиленной внутренней кинетической энергии
ставленная в настоящей работе дибарионная кон-
нуклонов в ядрах, что и следует из дибарионной
цепция ядерных сил, которая предсказывает, что
модели.
при наличии дибарионов в ядрах должна неизбеж-
Так же естественно на основе дибарионной кон-
но возникать новая трехчастичная сила [40], обу-
цепции ядерных сил объясняется и насыщение
словленная обменом легким скалярным σ-мезоном
энергии связи в ядрах.
между дибарионом и третьим нуклоном. Прове-
денные нами точные расчеты ядер3He и3H [40]
ясно показали, что новая теория приводит к ко-
6.2. Кулоновские энергии изобар-аналоговых
личественному объяснению кулоновской разности
состояний в ядрах
энергий зеркальных ядер3He и3H, благодаря
эффективному уменьшению среднего расстояния
Гипотеза о присутствии в ядрах дибарионных
между протонами в3He или между нейтронами
резонансов с вероятностью около 10% позволяет,
в 3H. Такой механизм приводит к увеличению
по всей видимости, объяснить известную аномалию
интенсивности притягивающей парной pp- (nn-)
Нолена-Шиффера для кулоновских сдвигов энер-
корреляции в ядре3He (3H) и, соответственно,
гий изобар-аналоговых состояний. Эта аномалия
к росту эффективной энергии связи в pp- (nn-)
заключается в том, что экспериментальные зна-
подсистеме.
чения кулоновских разностей энергий для изобар-
аналоговых состояний ядер по всей периодиче-
Диаграмма, изображенная на рис. 10, являет-
ской системе элементов систематически завышены
ся одним из возможных механизмов образования
примерно на 15% по сравнению с теоретическими
подобной дипротонной корреляции в присутствии
оценками, полученными на основе известных моде-
третьей частицы. Ясно, что подобное дибарионное
лей ядра [67]. Иначе говоря, теория недооценивает
усиление pp-корреляций в ядерной среде вполне
примерно на 15% кулоновские сдвиги энергий для
способно объяснить полностью или, по крайней
всех изобар-аналоговых состояний в ядрах. Это
мере, частично аномалию Нолена-Шиффера. От-
означает, что на самом деле средние расстояния в
метим в этой связи, что в экспериментах Мухи
ЯДЕРНАЯ ФИЗИКА том 82
№6
2019
К ПРИРОДЕ ЯДЕРНЫХ СИЛ
537
p1
p1
p2
σ
σ
p2
n
n
D
Рис. 10. Диаграмма, иллюстрирующая двойной σ-обмен между изоскалярным (np-) дибарионом и вторым протоном в
ядре3He.
с сотр. [70] был исследован прямой дипротонный
универсализировать NN-потенциал без учета
распад ядра94Ag, который возможен только при
влияния дибарионов, сделав его зависящим от
образовании в этом ядре связанного дипротонного
общих операторов вида L2, (LS)2 и т.п., как это де-
кластера. Сюда же тесно примыкает исследование
лается в современных моделях NN-потенциалов,
вклада дибарионных резонансов в явление ядерной
приводят к сильному усложнению всей картины
сверхтекучести и образование куперовских пар.
взаимодействия.
В самом деле, усиление pp- (или nn-) взаимо-
Представленные выше результаты ясно показы-
действия в ядерной среде хорошо подтверждается
вают, что основным механизмом ядерных сил на
появлением сверхтекучих парных корреляций.
малых и средних расстояниях, по крайней мере,
в рассмотренных нами парциальных каналах, яв-
ляется образование промежуточных дибарионных
7. ЗАКЛЮЧЕНИЕ
резонансов (одетых мезонными полями), а вовсе
Основной результат данной работы можно
не прямой мезонный обмен между изолирован-
сформулировать так. Было показано, что гипотеза
ными нуклонами. Важным подтверждением этого
о дибарионном происхождении основной ядерной
вывода является не только продемонстрирован-
силы (по крайней мере, в некоторых каналах
ное выше хорошее описание как упругого, так
NN-взаимодействия) позволяет разумным и даже
и неупругого NN-рассеяния вплоть до энергий
почти количественным образом описать поведе-
Tlab ≃ 600-800 МэВ (весьма высоких по сравне-
ние действительных и мнимых фазовых сдвигов
нию с тем, что дают традиционные подходы), но
NN-рассеяния в довольно широком интервале
и удовлетворительное согласие полученных масс
энергий соударения от 0 до 600 МэВ (а в S-
и ширин одетых дибарионов с экспериментально
найденными значениями.
волне - до 1.2 ГэВ)14). При этом полученные
теоретически параметры (масса и ширина) дибари-
В итоге получающаяся картина ядерных сил,
онных резонансов оказываются весьма близкими
которая объединяет в одном подходе как мезон-
к их эмпирическими значениям, найденными в
нуклонные, так и кварковые степени свободы,
экспериментах разных групп. Этот результат
впервые позволяет связать между собой фунда-
позволяет пролить свет на глубокую связь между
ментальные хромодинамические аспекты сильных
КХД и ядерными силами, поскольку структура
взаимодействий (такие, как восстановление ки-
и динамика дибарионных резонансов полностью
ральной симметрии при росте энергии, конфайн-
определяются квантовой хромодинамикой цветных
мент кварков, струны и т.п.) и эффективные мезон-
струн и кварков.
нуклонные аспекты задачи и, таким образом, пред-
Следующий важный результат данной работы
ставляет собой естественный мост между фунда-
состоит в явной демонстрации того, что NN-
ментальной КХД и ядерной физикой. Такой подход
взаимодействие сильно зависит от конкретного
позволяет понять глубокую взаимосвязь между
канала и его квантовых чисел (спина, изоспи-
основными эффектами КХД и базовыми явлениями
на, орбитального углового момента и др.) че-
ядерной физики, такими, как насыщение ядерных
рез зависимость эффективного потенциала NN-
сил, оболочечная структура ядер и др. Авторы
взаимодействия от параметров дибариона в данном
планируют рассмотреть более детально структуру
канале и от константы связи с этим дибарионом,
дибарионных резонансов и КХД-происхождение
различной для разных каналов. Поэтому попытки
базовых ядерно-физических явлений в следующих
работах.
14)Напомним, что традиционные, так называемые реалисти-
Работа выполнена при частичной финансовой
ческие NN-потенциалы, а также эффективная теория
поддержке РФФИ, гранты № 19-02-00011 и 19-
поля дают количественноеописание только вещественных
фазовых сдвигов в энергетическом интервале 0-350 МэВ.
02-00014.
ЯДЕРНАЯ ФИЗИКА том 82
№6
2019
538
КУКУЛИН и др.
СПИСОК ЛИТЕРАТУРЫ
23.
H. Clement, Prog. Part. Nucl. Phys. 93, 195 (2017).
1.
В. И. Кукулин, Современные модели ядерных сил
24.
Ю. А. Симонов, ЯФ 36, 722 (1982); 38, 1542 (1983)
и роль дибарионных резонансов (КДУ, Москва,
[Sov. J. Nucl. Phys. 36, 422 (1982); 38, 939 (1983)].
2017).
25.
Ю. С. Калашникова, И. М. Народецкий, ЯФ 46,
2.
R. Machleidt and I. Slaus, J. Phys. G 27, R69 (2001).
1389 (1987)
[Sov. J. Nucl. Phys. 46, 820 (1987)];
Few-Body Syst. 4, 115 (1988).
3.
T. Barnes, S. Capstick, M. D. Kovarik, and
E. S. Swanson, Phys. Rev. C 48, 539 (1993).
26.
Yu. S. Kalashnikova, I. M. Narodetskii,
Yu. A. Simonov, and A. I. Veselov, Phys. Lett. B
4.
K. Holinde, Nucl. Phys. A 543, 143 (1992).
155, 217 (1985); I. L. Grach, Yu. S. Kalashnikova,
5.
W. Gl ¨ockle, H. Witała, D. H ¨uber, H. Kamada, and
and I. M. Narodetskii, J. Phys. G 16, 63 (1990).
J. Golak, Phys. Rept. 274, 107 (1996); H. Witała,
27.
Yu. A. Kuperin, K. A. Makarov, S. P. Merkuriev,
J. Golak, R. Skribinski, W. Gl ¨ockle, W. N. Polyzou,
A. K. Motovilov, and B. S. Pavlov, in Properties of
and H. Kamada, Phys. Rev. C 77, 034004 (2008).
Few-Body and Quark-Hadronic Systems, Ed. by
6.
В. И. Кукулин, М. Н. Платонова, ЯФ 76, 1549
V. V. Vanagas (Vilnius, 1986), Vol. 2, p. 28; Ю.
(2013) [Phys. At. Nucl. 76, 1465 (2013)].
А. Куперин, К. А. Макаров, С. П. Меркурьев,
7.
S. Weinberg, Phys. Lett. B 251, 288 (1990); Nucl.
А. К. Мотовилов, Б. С. Павлов, ТМФ 75, 431
Phys. B 363, 3 (1991).
(1988);
76, 242 (1988) [Theor. Math. Phys. 75,
630 (1988);
76, 834 (1988)]; Yu. A. Kuperin,
8.
R. Machleidt and D. R. Entem, Phys. Rept. 503, 1
K. A. Makarov, S. P. Merkuriev, A. K. Motovilov, and
(2011).
B. S. Pavlov, J. Math. Phys. 31, 1681 (1990).
9.
E. Epelbaum and J. Gegelia, Eur. Phys. J. A 41, 341
28.
H. Feshbach and E. L. Lomon, Ann. Phys. (N.Y.) 29,
(2009).
19 (1964); E. L. Lomon and H. Feshbach, Ann. Phys.
10.
C. Ord ´o ˜nes, L. Ray, and U. van Kolck, Phys. Rev.
(N.Y.) 48, 94 (1968); E. L. Lomon, Phys. Rev. D 1,
Lett. 72, 1982 (1994); Phys. Rev. C 53, 2086 (1996).
549 (1970).
11.
M. Oka and K. Yazaki, Nucl. Phys. A 402, 477 (1983).
29.
L. B. Weinstein and R. Niyazov, Eur. Phys. J. A 17,
12.
E. M. Henley, L. S. Kisslinger, and G. A. Miller, Phys.
429 (2003).
Rev. C 28, 1277 (1983); K. Br ¨auer, E. M. Henley, and
30.
R. Subedi, R. Shneor, P. Monaghan, B. D. Anderson,
G. A. Miller, Phys. Rev. C 34, 1779 (1986).
K. Aniol, J. Annand, J. Arrington, H. Benaoum,
13.
A. Faessler, F. Fernandez, G. L ¨ubeck, and
F. Benmokhtar, W. Boeglin, J.-P. Chen, Seonho Choi,
K. Shimizu, Phys. Lett. B 112, 201 (1982).
E. Cisbani, B. Craver, S. Frullani, F. Garibaldi, et al.,
Science 320, 1476 (2008).
14.
V. G. Neudatchin, Yu. F. Smirnov, and R. Tamagaki,
Prog. Theor. Phys. 58, 1072 (1977).
31.
N. Fomin, J. Arrington, R. Asaturyan, F. Benmokhtar,
W. Boeglin, P. Bosted, A. Bruell, M. H. S. Bukhari,
15.
Fl. Stancu and L. Ya. Glozman, Nucl. Phys. A 683,
M. E. Christy, E. Chudakov, B. Clasie, S. H. Connell,
359 (2001).
M. M. Dalton, A. Daniel, D. B. Day, and D. Dutta,
16.
F. J. Dyson and N.-H. Xuong, Phys. Rev. Lett. 13,
Phys. Rev. Lett. 108, 092502 (2012).
815 (1964).
32.
I. Korover et al. (Jefferson Lab Hall A Collab.), Phys.
17.
М. Г. Мещеряков, Б. С. Неганов, Докл. АН СССР
Rev. Lett. 113, 022501 (2014).
100, 677 (1955); Б. С. Неганов, Л. Б. Парфенов,
33.
O. Hen, D. W. Higinbotham, G. A. Miller,
ЖЭТФ 34, 767 (1958)
[Sov. Phys. JETP 7, 528
E. Piasetzky, and L. B. Weinstein, Int. J. Mod.
(1958)].
Phys. E 22, 1330017 (2013).
18.
M. Bashkanov et al. (CELSIUS/WASA Collab.),
34.
А. М. Балдин, Н. Гиордэнеску, Л. К. Иванова,
Phys. Rev. Lett. 102, 052301 (2009).
Н. С. Мороз, А. А. Повторейко, В. Б. Радома-
19.
P. Adlarson et al. (WASA-at-COSY Collab.), Phys.
нов, В. С. Ставинский, В. Н. Зубарев, ЯФ 20,
Rev. Lett. 106, 242302 (2011); Phys. Lett. B 721, 229
1201 (1974)
[Sov. J. Nucl. Phys. 20, 629 (1975)];
(2013).
А. М. Балдин, Ю. Д. Безногих, Л. П. Зиновьев,
20.
P. Adlarson et al. (WASA-at-COSY Collab.), Phys.
И. Б. Иссинский, Г. С. Казанский, А. И. Михайлов,
Rev. Lett. 112, 202301 (2014); Phys. Rev. C 90,
В. И. Мороз, Н. И. Павлов, Г. П. Пучков, Препринт
035204 (2014).
ОИЯИ Р9-5442 (Дубна, 1970); А. М. Балдин,
Краткие сообщения по физике (ФИАН), № 1, 35
21.
P. Adlarson et al. (WASA-at-COSY Collab.), Phys.
(1971).
Rev. Lett. 121, 052001 (2018).
35.
Г. А. Лексин, ЯФ 65, 2042 (2002) [Phys. At. Nucl.
22.
V. I. Komarov, D. Tsirkov, T. Azaryan, Z. Bagdasarian,
65, 1985 (2002)]; в кн.: Элементарные частицы.
S. Dymov, R. Gebel, B. Gou, A. Kacharava,
III школа физики ИТЭФ (Атомиздат, Москва,
A. Khoukaz, A. Kulikov, V. Kurbatov, B. Lorentz,
1975), вып. 2, с. 5.
G. Macharashvili, D. Mchedlishvili, S. Merzliakov,
and S. Mikirtytchiants, Phys. Rev. C 93, 065206
36.
В. И. Кукулин, в сб. Труды XXXIII зимней школы
(2016).
ПИЯФ, Гатчина, 1999, с. 207.
ЯДЕРНАЯ ФИЗИКА том 82
№6
2019
К ПРИРОДЕ ЯДЕРНЫХ СИЛ
539
37.
V. I. Kukulin, I. T. Obukhovsky, V. N. Pomerantsev,
K. Nield, H. Spinka, D. Underwood, Y. Watanabe,
and A. Faessler, ЯФ 64, 1748 (2001) [Phys. At. Nucl.
and A. Yokosawa, Phys. Lett. B 70, 479 (1977).
64, 1667 (2001)].
58.
I. P. Auer, E. Colton, H. Halpern, D. Hill, H. Spinka,
38.
V. I. Kukulin, I. T. Obukhovsky, V. N. Pomerantsev,
G. Theodosiou, D. Underwood, Y. Watanabe, and
and A. Faessler, J. Phys. G 27, 1851 (2001).
A. Yokosawa, Phys. Rev. Lett. 41,
354
(1978);
39.
V. I. Kukulin, I. T. Obukhovsky, V. N. Pomerantsev,
I. P. Auer, A. Beretvas, E. Colton, H. Halpern, D. Hill,
and A. Faessler, Int. J. Mod. Phys. E 11, 1 (2002).
K. Nield, B. Sandler, H. Spinka, G. Theodosiou,
40.
V. I. Kukulin, V. N. Pomerantsev, M. Kaskulov, and
D. Underwood, Y. Watanabe, and A. Yokosawa, Phys.
A. Faessler, J. Phys. G 30, 287 (2004); V. I. Kukulin,
Rev. Lett. 41, 1436 (1978); I. P. Auer, C. Chang-
V. N. Pomerantsev, and A. Faessler, J. Phys. G 30,
Fang, E. Colton, H. Halpern, D. Hill, H. Kanada,
309 (2004).
H. Spinka, N. Tamura, G. Theodosiou, K. Toshioka,
41.
V. I. Kukulin, P. Grabmayr, A. Faessler, Kh.
D. Underwood, R. Wagner, and A. Yokosawa, Phys.
U. Abraamyan, M. Bashkanov, H. Clement,
Rev. Lett. 48, 1150 (1982).
T. Skorodko, and V. N. Pomerantsev, Ann. Phys.
59.
N. Hoshizaki, Prog. Theor. Phys. 60, 1796 (1978);
(N. Y.) 325, 173 (2010).
61, 129 (1979); 89, 251 (1993); 89, 569 (1993).
42.
M. N. Platonova and V. I. Kukulin, Phys. Rev. C 87,
025202 (2013).
60.
J. Nagata, H. Yoshino, and M. Matsuda, Prog. Theor.
Phys. 95, 691 (1996).
43.
M. N. Platonova and V. I. Kukulin, Nucl. Phys. A 946,
117 (2016).
61.
R. Bhandari, R. A. Arndt, L. D. Roper, and
44.
M. N. Platonova and V. I. Kukulin, Phys. Rev. D 94,
B. J. VerWest, Phys. Rev. Lett. 46, 1111 (1981);
054039 (2016).
R. A. Arndt, L. D. Roper, R. L. Workman, and
M. W. McNaughton, Phys. Rev. D 45, 3995 (1992).
45.
W. Koepf, L. L. Frankfurt, and M. Strikman, Phys.
Rev. D 53, 2586 (1996).
62.
И. И. Страковский, А. В. Кравцов, М. Г. Рыс-
46.
R. Machleidt, Phys. Rev. C 63, 024001 (2001).
кин, ЯФ 40, 429 (1984)
[Sov. J. Nucl. Phys. 40,
47.
H. Feshbach, Nucl. Phys. A 547, 273 (1992).
273 (1984)]; A. V. Kravtsov, M. G. Ryskin, and
I. I. Strakovsky, J. Phys. G 9, L187 (1983).
48.
J. R. Pel ´aez, Phys. Rept. 658, 1 (2016).
49.
G. Colangelo, J. Gasser, and H. Leutwyler, Phys.
63.
R. A. Arndt, W. J. Briscoe, I. I. Strakovsky, and
Lett. B 488, 261 (2000); Phys. Rev. Lett. 86, 5008
R. L. Workman, Phys. Rev. C 76, 025209 (2007);
(2001); G. Colangelo, PoS (KAON) 038 (2008);
arXiv: 0710.3050 [hep-ph].
64.
F.
Ozel and P. Freire, Annu. Rev. Astron. Astrophys.
50.
L. Ya. Glozman, Phys. Lett. B 475, 329 (2000); Acta
54, 401 (2016).
Phys. Polon. B 35, 2985 (2004); L. Ya. Glozman and
A. V. Nefediev, Phys. Rev. D 76, 096004 (2007).
65.
M. Baldo and G. F. Burgio, Rep. Prog. Phys. 75,
51.
W. Cassing, A. Palmese, P. Moreau, and
026301 (2012).
E. L. Bratkovskaya, Phys. Rev. C
93,
014902
66.
V. A. Karnaukhov, S. P. Avdeyev, H. Oeschler,
(2016).
V. V. Kirakosyan, P. A. Rukoyatkin, A. Budzanowski,
52.
A. Abashian, N. E. Booth, and K. M. Crowe, Phys.
W. Karcz, E. Norbeck, and A. S. Botvina, Письма в
Rev. Lett. 5, 258 (1960); N. E. Booth, A. Abashian,
ЭЧАЯ 8, 35 (2011)
[Phys. Part. Nucl. Lett. 8, 19
and K. M. Crowe, Phys. Rev. Lett. 7, 35 (1961);
(2011)].
A. Abashian, N. E. Booth, K. M. Crowe, R. E. Hill,
and E. H. Rogers, Phys. Rev. 132, 2296 (1963).
67.
J. A. Nolen and J. P. Schiffer, Annu. Rev. Nucl. Part.
Sci. 19, 471 (1969).
53.
M. Bashkanov, H. Clement, and T. Skorodko, Nucl.
Phys. A 958, 129 (2017).
68.
A. Nogga, A. Kievsky, H. Kamada, W. Gl ¨ockle,
54.
H. Feshbach, Ann. Phys. (N.Y.) 5, 357 (1958).
L. E. Marcucci, S. Rosati, and M. Viviani, Phys. Rev.
55.
A. Funk, H. V. von Geramb, and K. A. Amos, Phys.
C 67, 034004 (2003).
Rev. C 64, 054003 (2001).
69.
V. Huhn, L. W ¨atzold, Ch. Weber, A. Siepe,
56.
И. И. Страковский, ЭЧАЯ 22, 615 (1991)
[Sov.
W. von Witsch, H. Witała, and W. Gl ¨ockle, Phys. Rev.
J. Part. Nucl. 22, 296 (1991)]; I. Strakovsky, AIP
C 63, 014003 (2000); W. von Witsch, X. Ruan, and
Conf. Proc. 221, 218 (1991).
H. Witała, Phys. Rev. C 74, 014001 (2006).
57.
I. P. Auer, E. Colton, D. Hill, K. Nield, B. Sandler,
70.
I. Mukha, E. Roeckl, L. Batist, A. Blazhev, J. D ¨oring,
H. Spinka, Y. Watanabe, A. Yokosawa, and
H. Grawe, L. Grigorenko, M. Huyse, Z. Janas,
A. Beretvas, Phys. Lett. B 67, 113 (1977); I. P. Auer,
R. Kirchner, M. La Commara, Ch. Mazzocchi,
A. Beretvas, E. Colton, D. Hill, K. Nield, H. Spinka,
S. L. Tabor, and P. Van Duppen, Nature 439, 298
D. Underwood, Y. Watanabe, and A. Yokosawa, Phys.
Lett. B 70, 475 (1977); K. Hidaka, A. Beretvas,
(2006).
ЯДЕРНАЯ ФИЗИКА том 82
№6
2019
540
КУКУЛИН и др.
TO THE NATURE OF NUCLEAR FORCE
V. I. Kukulin1), V. N. Pomerantsev1), O. A. Rubtsova1), M. N. Platonova1)
1)Skobeltsyn Institute of Nuclear Physics, Lomonosov Moscow State University,
Moscow, Russia
It has been shown for the first time that NN interaction, at least in some partial waves, can be quantitatively
described by the superposition of a long-range one-pion exchange and a short-range mechanism based on
the complex pole in the NN potential corresponding to the dibaryon resonance in this partial wave. For
the partial waves3P2,1D2, and3F3, the parameters of the complex pole that give the best description
of the elastic and inelastic phase shifts of NN scattering are very close to the empirical parameters of
the corresponding isovector dibaryon resonances detected experimentally. Based on the results obtained, a
general conclusion is made about the nature of nuclear force at medium and small internucleon distances.
ЯДЕРНАЯ ФИЗИКА том 82
№6
2019