ЯДЕРНАЯ ФИЗИКА, 2020, том 83, № 5, с. 380-401
ЯДРА
ТЕОРЕТИЧЕСКОЕ ВЫЧИСЛЕНИЕ ПАРАМЕТРОВ МВБ1
И ПЕРЕСЕЧЕНИЕ ПОЛОС В ЧЕТНЫХ ИЗОТОПАХ Ce
© 2020 г. А. Д. Ефимов1),2)*
Поступила в редакцию 14.04.2020 г.; после доработки 14.04.2020 г.; принята к публикации 14.04.2020 г.
Разработана расширенная микроскопическая версия модели взаимодействующих бозонов. На ее
основе изучены свойства состояний ираст-полос в четных изотопах Ce до спинов Iπ = 18+. Эти
значения спинов включают те, при которых происходит пересечение полос. Параметры модели вы-
числяются на основе использования среднего сферического потенциала и остаточных мультипольных
сил. Расширение модели осуществлено за счет учета высокоспиновых пар квазичастиц, что позволило
получить удовлетворительное описание энергий и значений B(E2) без введения эффективных зарядов.
Данное исследование является продолжением аналогичного рассмотрения свойств низколежащих
коллективных состояний в четных изотопах Xe и Ba.
DOI: 10.31857/S0044002720050104
1. ВВЕДЕНИЕ
Эта серия работ позволила сформулировать ряд
требований к теории, необходимых для корректно-
Около семидесяти лет назад описание квад-
го описания рассматриваемых состояний. Прежде
рупольной низкоэнергетической коллективности
всего, это отображение не квазичастичных пар, а
стали связывать с геометрической моделью Бора-
именно фононов на бозоны, а также необходимость
Моттельсона, использующей пять переменных
учета связи коллективных и неколлективных мод
квадрупольной деформации [1]. Вслед за этим в
возбуждений. Под коллективными здесь понима-
соответствии с моделью Давыдова явно стала учи-
ются квадрупольные нижайшие D-моды или фоно-
тываться неаксиальность [2, 3]. Данные варианты
ны, под неколлективными все прочие BJ с момен-
модели использовались сначала как феноменоло-
тами J, среди которых есть гигантские резонансы.
гические, но вскоре, на основе вычисления энергии
Учет этой связи был осуществлен в технике теории
деформации с помощью оболочечной поправки
возмущений в варианте Бриллюэна-Вигнера [13] с
Струтинского [4] и вычисления моментов инерции,
разделением пространства состояний на два типа.
следуя методу Инглиса [5], эти модели стали
Один состоял только из коллективных D-фононов,
получать микроскопическое обоснование [6].
второй содержал дополнительно один из прочих
Следующий этап в описании коллективных со-
BJ=2-фононов и только квадрупольного типа. Это
стояний был связан с бозонным представлени-
привело к эффективному бозонному гамильтониа-
ем парных фермионных операторов. К одним из
ну, параметры которого заменяются на зависящие
наиболее ранних работ этого направления следует
от энергии перенормированные значения. На при-
отнести работы Беляева и Зелевинского [7], где
мере конкретных расчетов было выявлено, что учет
ставилось условие равенства коммутаторов фер-
этой связи необходим для получения количествен-
мионных пар с одной стороны и соответствующих
ного описания коллективного спектра состояний.
бозонных рядов с другой. На основе этой идеи была
Предполагается, что нижайшие квадрупольные
построена серия работ Соренсена [8], цель которых
фононы D+μ, Dμ имеют структуру, характерную
заключалась в бозонном представлении фермион-
для Квазичастичного Метода Случайной Фазы
ных операторов, а через это приближенное реше-
(КМСФ)
ние многочастичной ядерной задачи. Однако схо-
∑
димость разложения фермионных операторов в ряд
1
D+μ =
√
[ψ12a+1a+2 + ϕ12a2a1] ×
(1)
по бозонным оказалась слабой. Следующий этап
21,2;τ=n,p
был связан с работами Кишимото и Тамуры [9-12].
× (j1j2m1m2|2μ)τ ,
1)Государственный университет морского и речного флота
имени адмирала С.О. Макарова, Россия.
где a+(a) — операторы рождения (уничтожения)
2)ФТИ им. А.Ф. Иоффе, Санкт-Петербург, Россия.
квазичастиц; 1, 2 обозначают номера одноквазича-
*E-mail: efimov98@mail.ru
стичных состояний в сферическом базисе; состоя-
380
ТЕОРЕТИЧЕСКОЕ ВЫЧИСЛЕНИЕ ПАРАМЕТРОВ
381
ния1, 2 — сопряженные по времени к 1, 2. Ампли-
SU(6)-алгебры операторов d+μs,s+dμ,d+μ1dμ2. Это
туды и ψ12, ϕ12 или часто используемые вместо них
позволяет от операционных корней
√Ω - nd (nd =
z(0) = ψ + ϕ, z(1) = ψ - ϕ не зависят от магнитных
=
∑d+μdμ) перейти к s-бозонам. При такой
квантовых чисел и нормированы стандартным об-
∑
∑
трактовке s-бозоны являются формальным ин-
разом,
(ψ212 - ϕ212) =
(z(0)12z(1)12)τ =
струментом и не соответствуют парам квазичастиц
1,2;τ=n,p
1,2;τ
= 1.
или частиц, связанных в нулевой момент.
К наиболее широко используемому подходу
Исходя из предположения замкнутости алгебры
описания коллективных состояний в настоящее
фононных операторов, можно получить оценку для
время относится модель, полученная на основе
параметра Ω
представления фононных операторов в виде ко-
1
нечных выражений через бозонные операторы.
=
(2)
Ω
Это представление, основывающееся на пред-
[
]
1∑
положении о замкнутости алгебры фононных
=-
=
q.p.
Dμ1,[[Dμ,D+μ],D+μ1]
6
q.p.
операторов D+μ, Dμ, [Dμ1, D+μ2], числом тридцать
μ
пять элементов, было сделано в серии работ
5∑
1
=
z(0)12z(1)12(z(1)223 + z(0)223),
Джолоса, Янссена, Дэнау [14-17], что реализуется
3
2j2 + 1
через SU(6)-алгебру. Эта алгебра характеризу-
123
ется максимально возможным числом нижайших
| 〉q.p. обозначает квазичастичный вакуум. Отоб-
квадрупольных фононов Ω. После используемого
ражение фононных операторов на идеальные бо-
отображения фононных операторов на бозонные,
зонные структуры осуществляется из требования,
чьи операторы образуют ту же замкнутую SU(6)-
чтобы коммутаторы фононных операторов по ва-
алгебру, предполагалось, что, используя только
кууму квазичастиц были равны соответствующим
нижайшие квадрупольные фононы, можно рассчи-
коммутаторам бозонных операторов. Это приводит
тывать параметры бозонных операторов. Однако
к замкнутой алгебре относительно бозонов, если
оказалось, что эта модель является удобной с
выполняются правила соответствия
точки зрения феноменологии независимо от задачи
1
расчета ее параметров. Эта “феноменология” была
D+μ -→
√
d+μs;
(3)
популяризирована в работах Аримы и Ячелло [18],
Ω
)
и в силу того, что она описывала как вибраци-
1
-→
√ (s+)Ω
;
|I〉 -→ |I),
онный, так и ротационный характеры спектров,
Ω!
стала широко использоваться в качестве способа
описания свойств коллективных состояний, про-
где | 〉 — вакуум фононов, |I〉 — фононное состо-
демонстрировав значительный успех в описании
яние со спином I, | ) — вакуум бозонов, |I) —
экспериментальных спектров и вероятностей пере-
бозонное коллективное состояние со спином I. При
ходов между коллективными состояниями. В этих
этом основное состояние |0) не является вакуумом
работах она получила общепризнанное название
бозонов, т.е. |0) = |) и аналогично |0〉 = |〉. Данные
Модели Взаимодействующих Бозонов (МВБ) или
правила соответствия принимаются в настоящей
МВБ1, рассматривающей взаимодействие состо-
работе. Их можно соотнести с теми, которые были
яний, построенных из s и d идеальных бозонов,
предложены в работах Беляева, Зелевинского [7]
не различающихся по изоспину, которые отож-
и использованы в [8] таким образом, что беско-
дествлялись с нуклонными парами, связанными в
нечные ряды разложения по бозонам собираются
Jπ = 0+- и Jπ = 2+-моменты.
в соответствующие корни, например, s|Ω, nd〉 =
Справедливости ради следует отметить, что
=
√Ω - nd|Ω,nd〉.
в [16] указано, что для генераторов группы SU(6)
Используемая трактовка s-бозонов приводит к
можно использовать представление, в котором
тому, что не следует вводить члены взаимодействия
явно не присутствует квантовое число Ω, соот-
s-бозонов (s+s и s+s+ss), а гамильтониан МВБ1
ветствующее максимальному числу квадрупольных
относительно энергии вакуума d-бозонов в нор-
бозонов. Для этого чисто формально вводился
мальном порядке по операторам имеет вид
оператор монопольных бозонов (в оригинальной
работе он обозначался как β-бозон), в привычных
HIBM = εd nd + k1(d+ · d+ss + H.c.) +
(4)
теперь обозначениях это соответствует s-бозону.
(
)
Так что максимальное число квадрупольных бозо-
+k2
(d+d+)(2) · ds + H.c.
+
нов Ω становится полным числом квадрупольных
1∑
и скалярных бозонов, а его операторΩ = s+s +
+
CL(d+d+)(L) · (dd)(L),
2
+
∑d+μdμ коммутирует со всеми генераторами
L
ЯДЕРНАЯ ФИЗИКА том 83
№5
2020
382
ЕФИМОВ
H.c. означает эрмитово сопряжение, точка между
Все это показывает, что для успешного расче-
операторами соответствует скалярному произве-
та параметров коллективной модели, описываю-
дению, величины εd, k1, k2, C0, C2, C4 являются
щих состояния квадрупольного типа, необходимо
параметрами гамильтониана МВБ1.
учитывать двухквазичастичные пары с моментами
Jπ = 2+, 4+, 6+, т.е. B2, B4, B6-фононы, которые
Эта модель стала широко использоваться в
перенормируют теоретические значения парамет-
качестве способа описания свойств коллективных
состояний. Вместе с тем микроскопическому рас-
ров МВБ1.
чету ее параметров было посвящено существенно
Расширение базиса возбуждений за счет явного
меньшее число работ.
учета бозонов со спинами Jπ ≥ 8+ приводит к воз-
Несмотря на общетеоретическое обоснование
можности описания состояний с более высокими
коллективного гамильтониана МВБ1, следует
спинами, нежели это удается при использовании
иметь в виду, что он был получен с учетом толь-
стандартных вариантов МВБ1.
ко одной коллективной моды (что противоречит
В [24] на основе МВБ2 (модель, различающая
выводам работ Кишимото и Тамуры). В
[14,
бозоны по изоспину, а потому не имеющая в сво-
17] был выполнен расчет свойств коллективных
ем обосновании фононов КМСФ) была сделана
состояний в различных сферических, переходных
и деформированных ядрах. Так как коллективный
попытка описания пересечения полос в126Ва с
гамильтониан характеризуется шестью парамет-
учетом двухквазичастичных возбуждений. Также
рами, то введение дополнительных членов может
в рамках МВБ2 [25] был дан учет неколлектив-
быть мотивировано либо исходя из этого анализа,
ных фононов в виде двухчастичных нейтронных
либо использованием их оценок, полученных из
и протонных конфигураций из подоболочки h11/2
микроскопических вычислений. Кроме того, в
со всеми возможными спинами больше 2+. Од-
рамках феноменологии МВБ1 существует неопре-
нако как параметры МВБ2, т.е. взаимодействие
деленность в значениях параметров, найденных
нейтронных и протонных коллективных бозонов,
из лучшего описания экспериментальных данных.
так и параметры их взаимодействия с парами из
Впервые это было отмечено в [19]. Неопределен-
h11/2 выбирались феноменологически, что позво-
ность значений феноменологических параметров
лило удовлетворительно описать свойства ираст-
делает возможным использование упрощенного
уровней до спина 16+ в изотопах бария и церия.
варианта МВБ1, получившего название расширен-
Относительно МВБ2 следует сказать, что так как
ного согласованного Q-формализма. Этот вариант
протонные и нейтронные пары в отдельности не об-
модели содержит упрощенную форму гамильтони-
разуют коллективных низколежащих мод, то необ-
ана, содержащего всего четыре параметра вместо
ходимо было бы рассматривать большой набор
традиционных шести [20]. Последняя работа из
соответствующих пар или бозонов. С формально
этой серии представлена в [21]. Согласованность
алгебраической точки зрения, если этого не делать,
такого упрощенного формализма означает, что
соответствующий бозонный гамильтониан также
один из параметров гамильтониана используется
позволяет воспроизводить низколежащие коллек-
и в операторе E2-перехода.
тивные возбуждения. Тем более, что ограничен-
Надежды первоначальных работ [14-16], отно-
ность симметричными состояниями относительно
сящихся к направлению МВБ1, были связаны с
разных бозонов в МВБ2 приводит к МВБ1. Однако
возможностью микроскопического воспроизведе-
при микроскопическом расчете бозонных парамет-
ния параметров модели, ранее найденных из фено-
ров такой подход не будет последовательным.
менологического анализа, используя фононы либо
КМСФ, либо метода Тамм-Данкова (ТД). Этим
Расширение МВБ1 за счет включения вы-
самым оправдывая использование одного сорта
сокоспиновых BJ -фононов с Jπ ≥ 8+, форми-
бозонов по изоспину, т.е. использование МВБ1.
руемыми нейтронами и протонами в оболочке
В работах [22, 23] при расчете параметров кол-
50 < N, Z < 82, рассматривалось в [26] на мик-
лективного гамильтониана МВБ1 было найдено,
роскопическом уровне, однако параметры МВБ1
что их корректные значения могут быть получены
подбирались при этом феноменологическим обра-
только с учетом связи коллективных состояний с
зом, чтобы получить согласие теории с экспери-
неколлективными, содержащими BJ -фононы. При
ментом для состояний с относительно небольшими
этом ограничивались конфигурациями, содержа-
спинами. В то же время взаимодействие состояний,
щими один BJ -фонон и некоторым числом D-
определяемых только D-фононными конфигура-
фононов. Как уже говорилось ранее, аналогичная
циями, с состояниями, включающими BJ -фононы,
ситуация имела место и в ранних работах по бозон-
было учтено на основе квазичастичного гамильто-
ным моделям [9], ограничиваясь из всех возможных
ниана. Это определяло параметры взаимодействия
BJ только квадрупольными с Jπ = 2+.
d- и bJ -бозонов. Такой вариант теории позволил
ЯДЕРНАЯ ФИЗИКА том 83
№5
2020
ТЕОРЕТИЧЕСКОЕ ВЫЧИСЛЕНИЕ ПАРАМЕТРОВ
383
удовлетворительно описать свойства возбужден-
+
+
B(E2;
ных состояний ряда полос вплоть до Iπ = 18+ и
0.9
Iπ = 26+ соответственно в126Ba и130Ce.
0.8
Переход в структуре возбуждений с поло-
сы основного состояния на полосу, построен-
0.7
Ce
ную на высокоспиновой квазичастичной паре,
0.6
экспериментально наблюдается по изменению
0.5
значений B(E2; I → I - 2) с ростом спина и по
Ba
нарушению монотонности в изменении энергий
0.4
ираст-состояний. Наиболее наглядной картиной,
0.3
Xe
иллюстрирующей пересечение полос, является
0.2
зависимость эффективного момента инерции ℑ =
Te
0.1
= (2I - 1)ℏ2/E(I → I - 2) от квадрата часто-
(√
0
ты вращения ℏω = E(I → I - 2)/
I(I + 1) -
62
64
66
68
70
72
74
76
78
N
)
√
-
(I - 2)(I - 1)
. При этом нерегулярности в
Рис. 1. Экспериментальные значения B(E2; 2+1 →
+
→0
) [29] для четных изотопов Те, Xe, Ba, Се.
1
кривой ℑ от ω2, особенно явление “обратного
загиба” — backbending, могут указывать, насколь-
ко быстро с ростом спина происходит переход в
к существенному расширению состава фононных
ираст-полосе от коллективного состояния к состо-
амплитуд по парам квазичастиц из вневалентных
янию, включающему высокоспиновую фононную
оболочек и соответственно к существенному уве-
моду.
личению размера бозонного пространства. Поэто-
Задачей представленной работы является по
му для решения задачи на собственные значения
возможности более полное изложение микроско-
и собственные функции бозонного гамильтониана
пической версии МВБ1, позволяющей на основе
была разработана процедура, позволяющая про-
использования среднего поля и эффективных меж-
изводить расчеты в базисе, включающем до 36
нуклонных остаточных взаимодействий вычислять
квадрупольных бозонов [28]. В условиях много-
параметры бозонного гамильтониана. Необходи-
фононности были получены нелинейные уравнения
мым элементом данной теории является использо-
как для фононных, так и u, v-амплитуд. При ре-
вание техники КМСФ. Традиционно квазичастич-
шении задачи сверхтекучести было использовано
ный гамильтониан приближения КМСФ опреде-
простейшее константное взаимодействие, учтена
ляется как hRPA = H11
V22
V40+04, где соот-
блокировка одночастичных состояний квазичасти-
ветствующие индексы обозначают число операто-
цами, формирующими многофононные состояния,
ров рождения и уничтожения квазичастиц. Один
а также учтено влияние квадрупольного взаимо-
из параметров бозонного гамильтониана опреде-
действия на сверхтекучесть. Был рассмотрен боль-
ляется также частью квазичастичного гамильтони-
шой набор различных каналов взаимодействий в
ана H22 + V31+13. Все параметры бозонных опе-
расширенном бозонном пространстве за счет яв-
раторов, определяющих как гамильтониан, так и
ного учета высокоспиновых бозонов на микроско-
оператор электрических квадрупольных переходов,
пической основе. Это позволило описать механизм
вычисляются на основе процедуры Марумори [27]
пересечения полос.
через равенство соответствующих матричных эле-
ментов (МЭ) в фермионном и бозонном простран-
По мере роста числа протонов в оболочке 50-
ствах.
82, т.е. последовательно в четных изотопах Те, Хе,
Ва и Се происходит существенный рост коллек-
Фононные амплитуды определяются из миними-
тивности, что проявляется в росте вероятностей
зации полной энергии, и минимизируемый функ-
квадрупольных переходов с первого возбуждения.
ционал содержит средние от бозонных операторов
Из рис. 1 видно, что значения B(E2; 2+1 → 0+1)
гамильтониана по бозонным функциям. При этом
уже основное состояние содержит как некоторое
для изотопов Се превышают соответствующие зна-
число квазичастиц, что характерно для КМСФ,
чения для изотопов Те в 5-7 раз. Исследование
так и некоторое число фононов. Это позволяет
свойств коллективных состояний в изотопах Се
сформулировать задачу о согласовании фононных
наряду с ранее рассмотренными в изотопах Хе [30],
амплитуд с составом бозонных функций. Само
Ba [31] в рамках микроскопической версии МВБ1
согласование оказалось возможным при выпол-
с учетом высокоспиновых бозонов, а также в изо-
нении ряда дополнительных условий, что привело
топах Те [32] позволяет расширить границы приме-
ЯДЕРНАЯ ФИЗИКА том 83
№5
2020
384
ЕФИМОВ
нимости разработанной микроскопической версии
2J/"2, МэВ-1
МВБ1.
100
Изотопы Се можно отнести к деформированным
122Ce
90
ядрам. Об этом свидетельствуют как приведенные
124Ce
значения B(E2; 2+1 → 0+1) на рис. 1, так и значения
126Ce
80
энергий первых возбуждений. Они варьируются
от минимального значения 136 кэВ в122Се до
70
325 кэВ в132Се из рассмотренных здесь ядер. К
этому следует добавить, что отношение E4+ /E2+
60
оказывается близким к ротационному пределу, т.е.
50
к 3.33, а именно, для122-126Ce соответственно
равно 3.20; 3.16; 3.06, что также подтверждает
40
тезис о деформированности данных ядер.
Аналогично, как и для широкого набора ядер от
30
0
0.02 0.04 0.06 0.08 0.10
0.12
0.14
0.16
0.18
сферических до деформированных, в изотопах Се
("ω)2, МэВ2
имеются изменения в структуре состояний, кото-
рые можно назвать пересечением полос. При отно-
Рис. 2. Зависимость эффективного момента инерции
сительно небольших спинах (Iπ ≤ 10+ в122-128Се
от (ℏω)2 для ираст-полос в122-126Ce по эксперимен-
и Iπ ≤ 8+ в 130,132Ce) состояния в четно-четных
тальным значениям энергий.
ядрах могут быть интерпретированы как квад-
рупольные коллективные возбуждения, связанные
сильными E2-переходами, для которых величины
работ. Так, в [21] в приближении Q-формализма
МВБ1 были рассмотрены свойства низкоспиновых
B(E2; I → I - 2) в сто раз превышают одноча-
состояний в ряде цепочек изотопов, среди которых
стичную оценку. При этом и при б ´ольших спинах
были изотопы Се. В [34, 35] в рамках феномено-
ираст-полоса продолжается, но соответствующие
состояния оказываются уже построенными на вы-
логии МВБ2 для цепочки изотопов Се получено
сокоспиновых двухквазичастичных возбуждениях.
удовлетворительное описание состояний до 6+ и 8+
Это очевидно из представленных на рис. 2 графи-
соответственно, т.е. до области пересечения полос.
ках зависимостей ℑ от (ℏω)2 для четных изотопов
В рамках той же феноменологии с полным набором
параметров в [36] были рассмотрены коллективные
122-126Се. Для самого легкого из представленных
свойства ядер128-138Ce. Это позволило воспроиз-
изотопов,122Ce, обратный загиб не наблюдается
вплоть до максимально известного состояния со
вести энергии состояний ираст-полос до 10+.
спином 14+. Однако, как показывают последую-
Микроскопическое описание энергий ираст-
щие вычисления, такое поведение момента инерции
полос до спинов 10+ для124-132Се было получено
оказалось возможным воспроизвести в вычисле-
в [37] на основе проектирования на угловой момент
ниях и в том случае, когда пересечение реально
состояний, найденных в хартри-боголюбовском
происходит и происходит это при спине 12+. Уточ-
приближении. Использовалось взаимодействие
нить ситуацию может информация об эксперимен-
в виде спаривательного константного типа и
тальных значениях вероятностей квадрупольных
мультипольных сил. Одночастичный базис был
переходов, чего для122Се пока нет.
ограничен восемью уровнями каждого сорта.
При анализе пересечения полос обычно огра-
Поэтому для воспроизведения B(E2; 0+1 → 2+1)
ничиваются рассмотрением энергетических харак-
вводились значительные эффективные заряды.
теристик соответствующих состояний, однако уже
В [38] для 124Се и в [39] для 126-130Се проведен
в [33] утверждалось о невозможности определения
анализ ираст-полос в рамках кренкинг-модели с
детальной природы этого явления только по данно-
использованием вудс-саксоновского среднего по-
му критерию. Дополнительной экспериментальной
ля. Для всех ядер был получен бекбендинг, а для
информацией здесь были бы данные о магнитных
130Се два бекбендинга при 12+ и 24+. В модельных
моментах состояний и значений B(E2; I → I - 2).
расчетах использовался усеченный базис до N =
Информация о магнитных моментах известна для
= 5, а потому вводился эффективный заряд, рав-
немногих ядер. Поэтому в настоящей работе де-
ный 0.5. Полученное в работе пересечение полос
лается акцент на анализе значений вероятностей
коррелировано с существенным уменьшением зна-
квадрупольных переходов, особенно в области пе-
чений B(E2) при спине 12+.
ресечения полос.
Ранее свойства коллективных состояний в чет-
В [40] впервые возбужденные состояния до
ных изотопах Ce уже анализировались в ряде
спина
14+ были идентифицированы в сильно
ЯДЕРНАЯ ФИЗИКА том 83
№5
2020
ТЕОРЕТИЧЕСКОЕ ВЫЧИСЛЕНИЕ ПАРАМЕТРОВ
385
нейтронно-дефицитном ядре
122Ce. При этом
от отдельных членов этого гамильтониана по
малое значение энергии первого возбуждения
бозонным функциям, в частности
(0.136 МэВ) говорит о довольно большой дефор-
∑
nd(I) = (I|
d+μdμ|I);
(6)
мации (β = 0.35) основного состояния, хорошо со-
μ
гласующегося с расчетами среднего поля Хартри-
Фока-Боголюбова. В связи с этим интересно
1
P1(I) =
√
(I|(d+ · d+ss + s+s+d · d)|I).
отметить работу [41], где в модели обобщенного
2
Ω(Ω - 1)
дифференциального уравнения приводятся пред-
сказания для E(2+1) и B(E2) относительно нижай-
Минимизация функционала (5) по искомым ам-
плитудам осуществляется при выполнении ряда
шего перехода в120,122Се. Так, для120Се E(2+1) =
дополнительных условий. Первые из них учитыва-
= 0.213 МэВ, B(E2; 2+1 → 0+1 ) = 0.606 e2 бн2, для
ют наличие нормировок. Одна из них — это норми-
122Се соответственно 0.132 МэВ и 0.874 e2 бн2.
ровка D-фононов. Следующим условием является
Рассмотрение пересечения полос с использо-
условие нормировки амплитуд бозонных волновых
ванием бозонной модели и высокоспиновых пар
функций |I). Бозонные волновые функции предста-
вимы в виде
для ядра126Ce было осуществлено в [42] в рамках
∑
Q-формализма МВБ1 с учетом нарушенных пар.
|I) =
αd(nd,v,ωΔ,I) ×
(7)
При этом одночастичные энергии валентных обо-
nd,v,ωΔ
лочек определялись на основе анализа экспери-
1
ментальных энергий состояний в соседних нечет-
×
√
(s+)Ω-nd |nd, v, ωΔ, I),
ных и нечетно-нечетных ядрах. Следует отметить,
(Ω - nd)!
что такой способ приемлем для состояний в обла-
где
|nd, v, ωΔ, I) есть нормированные функции
сти около магических ядер. В других случаях на
квадрупольных бозонов, соответствующие непри-
спектр нечетных ядер большое влияние оказывает
водимому представлению группы SU(5) с кванто-
взаимодействие частиц с фононами. Как следствие,
выми числами: число квадрупольных бозонов (nd),
спектр квазичастиц, используемый в этой работе,
бозонное сениорити (v), т.е. число квадрупольных
оказывается существенно сжатым по сравнению
бозонов, не связанных в нулевой угловой момент,
с тем, что дают различные варианты потенциала
число троек v, связанных в нулевой угловой момент
Вудса-Саксона. В результате такого приближения
(ωΔ). В этом случае условие нормировки имеет вид
было получено, что ирастные состояния в области
∑
спинов 12+ ≤ Iπ ≤ 24+ основаны на двухпротонной
(I|I) =
α2d(nd,v,ωΔ,I) = 1.
(8)
конфигурации (πh11/2)2. Наблюдаемая в этой ра-
nd,v,ωΔ
боте вторая полоса интерпретируется как постро-
Еще одним нормировочным условием является
енная на (νh11/2)2-конфигурации.
условие на боголюбовские амплитуды u и v.
Следующие условия не связаны с нормировками
функций. Так как в работе используется квазича-
2. ТЕОРЕТИЧЕСКОЕ ВЫЧИСЛЕНИЕ
стичное представление, то контроль за правильным
ПАРАМЕТРОВ В МИКРОСКОПИЧЕСКОЙ
числом частиц реализуется через их средние значе-
ВЕРСИИ МВБ1
ния с помощью химических потенциалов λτ , так что
∑
2.1. Дополнительные условия
соответствующий член Лагранжаτ λτ Nˆτ учиты-
вается при переходе от частиц к квазичастицам.
Амплитуды фононных операторов (1) (ψ, ϕ) и
Еще одно условие, отражающее специфику МВБ1,
боголюбовские параметры (u, v) находятся на ос-
состоит в фиксации Ω, максимального числа бо-
нове вариационного принципа из условия миниму-
зонов, которое используется при построении |I).
ма энергетического функционала,
Соответствующим образом вводится член Лагран-
жа, позволяющий регулировать значение Ω и вос-
Htot = Evac.q.p. + E(B)0 + (I|HIBM|I),
(5)
станавливать его целочисленное значение. Произ-
водя процедуру определения параметров МВБ1 по
включающего энергию вакуума квазичастиц
основному состоянию, можно было бы не вводить
(Evac.q.p.), энергию фононного вакуума (E(B)0) и
его, принимая в бозонной задаче то Ω, которое
среднего значения HIBM, вычисленного с бо-
будет ближе к микроскопическому значению. Од-
зонными волновыми функциями (7), которые в
нако следует иметь в виду, что если процедуру про-
свою очередь зависят от (ψ, ϕ) и (u, v) через
водить в отдельности для каждого коллективного
параметры εd, k1, k2, C0, C2, C4 гамильтониана
состояния, то получается, что значения Ω будут
МВБ1 (4). Для дальнейшего понадобятся средние
различаться для разных состояний, что выведет
ЯДЕРНАЯ ФИЗИКА том 83
№5
2020
386
ЕФИМОВ
нас из приближения МВБ1. Условие неизменно-
уровня квазичастицами. Для полностью свободно-
сти Ω при вычислении фононных амплитуд (ψ, ϕ)
го от квазичастиц уровня yj = 1, для полностью
для каждого коллективного состояния приводит
занятого yj = 0. Точнее, yj рассматривается как
к некоторому уменьшению числа квазичастиц на
вероятность того, что уровень jlm свободен от ква-
уровнях валентной оболочки. Это важно, так как
зичастиц и через число последних (nj) на уровне
максимальное число квазичастиц на каждом одно-
сферического поля j определяется следующим об-
частичном уровне не может превышать значения
разом:
(2ji + 1)/2. Член Лагранжа, позволяющий фикси-
yj = (j + 1/2 - nj)/(j + 1/2).
(13)
ровать целочисленность значений Ω, принимается
в виде
По мере заполнения одночастичного уровня квази-
6
1
частицами, что происходит с ростом nd, значения
δΦ′(ω′) =
ω′(nd + 5/2),
yj будут уменьшаться, но не должны быть отрица-
5 Ω(z(η))
тельными, что есть условие выполнения принципа
где Ω(z(η)) есть функция фононных амплитуд, ω′ —
Паули в среднем. В данном случае оно заключается
множитель Лагранжа, величина (nd + 5/2) введена
в том, что число квазичастиц на каждом одноча-
стичном уровне jl не должно превышать значения
для удобства.
j + 1/2. Это согласуется с уравнением (13), так
Отображение оператора числа квазичастиц ni
как при этом yj (10) будет положительной величи-
на бозонные операторы используется также при
вычислении средних значений чисел протонов и
ной. Выполнение принципа Паули осуществляется
именно в среднем, так как число квазичастиц счи-
нейтронов 〈I
Nτ |I〉 = Nτ=p,n, фиксация которых
тается по тем компонентам, которые формируют
дает уравнение для определения химических потен-
структуру D-фонона, и соответствует их среднему
циалов λτ . Оператор числа частиц при переходе
числу nd(I), а также бозонному среднему P1(I).
к квазичастичному представлению при ряде упро-
∑
∑
Если в результате расчета значения yj оказыва-
щений имеет вид
Nτ =j(2j + 1)v2j +j(u2j -
∑
ются отрицательными, то необходимо осуществить
- v2j)nj; nj =m a+jmajm. Среднее по фононным
уменьшение корреляций в основном состоянии.
функциям от оператора числа квазичастиц a+jmajm
При этом фононные амплитуды ψ и ϕ распределя-
определяется как
ются по большему числу одночастичных уровней,
увеличивая роль вневалентных оболочек. Выраже-
1
〈I|a+jmajm|I〉 =
(1 - yj),
(9)
ние для Nτ (12) можно интерпретировать таким
2
образом, что на j-уровне с учетом блокировки
〈I|1 - a+jmajm - a+jmajm|I〉 = yj.
будет (2j + 1)yj v2j нуклонов, образующих купе-
Переход к бозонным средним дает
ровские пары, и (2j + 1)(1 - yj)/2 неспаренных
(
)
нуклонов. Это приводит к некоторому изменению в
yj = 1 - 2 n(1)jnd(I) + n(2)jP1(I) ,
(10)
интерпретации величин v2j, но аналогичная ситуа-
ция происходит и при блокировке уровня одним или
где
несколькими нуклонами.
(
)
1
∑
С ростом энергии возбуждения и спина меня-
n(n)i =
z(1)2is - (-1)nz(0)2
;
(11)
is
ются бозонные средние, что приводит к изменению
2ji + 1
s
средних чисел частиц, определяемых выражением
n = 1,2.
(12). Добиться их неизменности можно за счет
варьирования значений химических потенциалов
Таким образом, среднее от числа частиц через
λτ . В результате химические потенциалы меняются
бозонные средние равно
при переходе от одного коллективного состояния
∑
к другому. Это обстоятельство следует учитывать
〈I
Nτ |I〉 → (I
Nτ |I) = Nτ =
(2j + 1) ×
(12)
при вычислении энергий возбуждений, если произ-
j
(
(
))
водить самосогласованные расчеты в отдельности
× v2j + (1 - 2v2j) n(1)jnd(I) + n(2)jP1(I)
=
для каждого коллективного состояния.
(
)
Достичь при вычислении самосогласования
∑
1-yj
всех трех амплитуд (z(η), u(v), {αd}) оказывается
=
(2j + 1) yjv2j +
,
2
невозможно как при использовании стандартного
j
варианта КМСФ, где амплитуды ϕ часто оказы-
где nd(I) и P1(I) определены в (6), в частности,
ваются значительными, так и в приближении ТД.
nd(I) является средним числом квадрупольных бо-
Чтобы самосогласование стало возможным, необ-
зонов в бозонном состоянии |I). Фактор yj мож-
ходимо, оставаясь в рамках КМСФ, обеспечить
но трактовать как меру занятости одночастичного
малость амплитуд ϕ. Выполнение этого условия
ЯДЕРНАЯ ФИЗИКА том 83
№5
2020
ТЕОРЕТИЧЕСКОЕ ВЫЧИСЛЕНИЕ ПАРАМЕТРОВ
387
(
)(0)
при фиксированных значениях силовых констант
√
2
k1
Ω(Ω - 1)
=
осуществляется введением в минимизируемый
функционал слагаемого, регулирующего величину
√
суммы квадратов ϕ:
1
2∑
)
=
〈|[[hRPA, D+μ], D+¯μ]|〉;
(
)(∑
5
ℵ0
5
1
μ
Φϕ = 2χ nd(I) +
ϕ212τ +
=
(14)
(
√
)(0)
1
2
2
τ 12
k2
Ω-1
=
√
×
(
)(∑
)
2ℵ2
1
5
∑
=
χ nd(I) +
(z(1)212 + z(0)2
)τ
,
×
〈|[[[DM , H20+02
V31+13],D+m1],D+m2]|〉 ×
12
2
2
τ 12
m1,m2
где, как и ранее, множитель (nd + 5/2) введен для
× (22m1m2|2M);
удобства.
∑
1
Таким образом, функционал Φ′, определяемый
C(0)L =
×
ℵL
всеми дополнительными условиями, имеет вид
m1,m2,m3,m4
(
)∑
× 〈|[Dm2, [Dm1, [[hRPA, D+m3], D+m4]]]|〉 ×
Φ′ = -ω nd(I) + 5/2
(z(1)12z(0)12)τ -
(15)
× (22m1m2|LM)(22m3m4|LM).
τ 12
∑
∑
− λτNτ - eτj(u2j + v2j)τ -
ℵL = 〈|DD(D+D+)(L)|〉 — нормировка двухфо-
τ
τ,j
нонного состояния. Это позволяет получить выра-
∑
жения для данных параметров через фононные ам-
-EI
α2d(nd,v,ωΔ,I) +
плитуды. В настоящей работе МЭ квазичастичного
nd,v,ωΔ
остаточного взаимодействия в частично-дырочном
(
)∑
и частично-частичном каналах факторизуются
+ 2ω′ nd(I) + 5/2
(z(1)12z(0)12n(1)2)τ +
единым образом в соответствии с [43]. В этом
τ 12
случае, например, для первых двух параметров
(
)∑
1
были получены выражения
+
χ nd(I) + 5/2
(z(1)212 + z(0)212)τ ,
2
τ 12
ε(0)d =1∑
e12z(η)212τ -
(17)
2
где EI является собственным значением бозонного
ητ12
гамильтониана.
(
))
∑(
∑
- 0.1
2κpnQpQn +
κQ2τ
+G(2)
τ
P(η)2
;
2.2. Параметры МВБ1,
τ
η
вычисленные с учетом D-фононов
√
2(k1
Ω(Ω - 1))(0) =
(18)
Как уже говорилось, параметры, определяю-
{
√
щие бозонные операторы в предлагаемой теории,
2
1∑
=
e12(-1)η+1z(η)212τ -
вычисляются на основе отображения фермионных
ℵ0
2
операторов OF на операторы OB в представлении
ητ12(
идеальных бозонов на основе процедуры Мару-
мори [27]. Реализуется это таким образом, чтобы
- 0.1
2κpnQpQn +
выполнялось равенство
(
))}
〈I′|OF |I〉 = (I′|OB|I).
∑
∑
(2)
+
κQ2τ
+G
(-1)1-ηP(1-η)2
;
τ
Это позволяет найти параметры от каждого члена
τ
η
любого оператора в отдельности как для бозонного
гамильтониана, так и для оператора E2-переходов.
)
(∑
При расчете параметров, с той целью, чтобы среди
Qτ =
〈1||q||2〉(-1)l2 L(0)12z(1)
;
(19)
12
фермионных состояний |I〉 не оказалось нефизи-
τ
12
ческих компонент, были рассмотрены состояния,
)
(∑
которые не содержали бы состояний с более чем
P(η)τ =
〈1||q||2〉(-1)l2 M(η)12z(1-η)
12
двумя D-фононами. Поэтому параметры бозон-
τ
12
ного гамильтониана с учетом минимального числа
Здесь и далее τ = n означает нейтроны, τ =
только D-фононов, что соответствует индексу(0),
= p — протоны, e12 = e1 + e2,
〈1||q||2〉 — приве-
определяются как:
денные МЭ квадрупольного оператора, которые
ε(0)d = 〈|[Dμ,[hRPA,D+μ]]|〉;
(16)
определяются через производную по радиусу
ЯДЕРНАЯ ФИЗИКА том 83
№5
2020
388
ЕФИМОВ
от центральной части среднего поля, т.е. q =
Таблица 1. Параметры, используемые в расчетах (все
= ∂V (r)/∂rY2, G(2) = Gτ
величины безразмерны; силовые параметры G(2), κnn,
τ , Gνπ = 0 и κ(2)ττ′ —
κnp даны в единицах изоскалярной константы κ0 [43];
константы квадрупольных факторизованных взаи-
оценка для изовекторной константы, полученной там
модействий в частично-частичном (квадрупольное
же, κ1 = -0.6κ0; это приводит к κnn = κpp = 0.4κ0;
спаривание) и в частично-дырочном каналах. Для
κpn = 1.6κ0; коэффициент αls соответствует усилению
сил притяжения приняты знаки констант G(2) и
спин-орбитального расщепления в среднем поле отно-
сительно принятой в работе [44] оценки; параметр ζ
κ(2)ττ′ > 0. Их значения в реальных расчетах варьи-
определяет ослабление связи коллективных и квазича-
руются относительно оценок, полученных в [43],
стичных состояний)
и приведены в табл. 1, ei — энергии квазичастиц,
среднее поле принимается в виде сферически-
A G(2) κnn κnp αls
ζ
∑ϕ2/∑ψ2
симметричного потенциала Вудса-Саксона. Его
параметры взяты из работы [44] в варианте для
122
1.4
0.42
1.86
1.274
0.96
0.017
оболочки 50-82 за исключением параметра спин-
124
1.4
0.40
1.6
1.274
0.94
0.01
орбитального расщепления, который варьировался
от соответствующей оценки на множитель, приве-
126
1.4
0.39
1.56
1.274
0.86
0.017
денный также в табл. 1.
128
1.4
0.40
1.6
1.174
0.87
0.01
M(η)12 = u1u2 + (-1)1-ηv1v2;
(20)
130
1.4
0.40
1.6
1.174
0.85
0.007
L(η)12 = u1v2 + (-1)ηu2v1; η = 0,1.
132
1.4
0.40
1.6
1.074
0.79
0.012
Выражения для C(0)L, полученные на основе
Таблица 2. Параметры CL, определяющие расщепление
различных процессов, приведены в [45]. Соответ-
двухфононного триплета, демонстрирующие кинемати-
ствующие расчеты дают большие значения C(0)L.
ческие и динамические эффекты
Это значит, что энергии двухфононного триплета
существенно превышают удвоенную однофонон-
A C(0)0 C0 C(0)2 C2 C(0)4
C4
ную энергию. Все вместе это является результатом
действия сил притяжения между квазичастицами,
122
1.57
0.37
0.51
0.18
0.55
0.29
формирующими разные фононы, а также специфи-
124
1.34
0.40
0.42
0.13
0.49
0.25
ческими фазовыми соотношениями, природа кото-
126
1.36
0.60
0.43
0.16
0.49
0.26
рых связана с принципом Паули и не зависит от
степени коллективности D-фонона вплоть до того,
128
1.19
0.51
0.41
0.14
0.44
0.21
является ли ядро сферическим или деформирован-
130
1.16
0.48
0.38
0.11
0.43
0.21
ным. Этот эффект авторы работ [22, 27] назвали
кинематическим, и связан он с тем, что D-фононы
132
1.16
0.53
0.37
0.10
0.46
0.23
не являются точными d-бозонами. В особенности,
когда эти элементарные моды используются два-
жды для описания двухфононных состояний из-за
до 1.2 МэВ, для C2,4 порядка 0.25 МэВ. Такие
принципа Паули среди квазичастиц, принадлежа-
большие перенормировки достигаются за счет уче-
щих различным D-модам. Забегая несколько впе-
та большого числа BJ -фононов.
ред, следует сказать, что отчасти компенсировать
Следует также отметить, что максимальное чис-
этот эффект позволяют динамические эффекты.
ло бозонов Ω есть один из параметров теории,
Они обеспечиваются за счет учета связи между
зависящий от фононных амплитуд, а вовсе не
принимается равным половине суммарного числа
коллективными модами, содержащими (D2)(L) с
протонных и нейтронных частиц или дырок, как это
состояниями, содержащими BJ -моды. Демонстра-
обычно постулируется в МВБ1.
цией этого является табл. 2, где приведены рас-
считанные значения параметров C(0)L, полученные
2.3. Перенормировка параметров
только с учетом D-фононов, т.е. с учетом ки-
Для учета связи коллективного (состоящего
нематических эффектов. Из этих данных видно,
только из D-фононов) и неколлективного (содер-
что оценки, полученные в [22, 27] относительно
жащего дополнительно один из возможных BJ -
того, что C(0)0 ≫ C(0)2 ≃ C(0)4, справедливы. Здесь
фононов) пространств рассматривается расширен-
же приведены эти параметры с учетом динами-
ная волновая функция
ческих эффектов, способ учета которых дан ни-
∑
(
)(I)
же. Это демонстрирует масштаб соответствующих
Ψ(I) = |ψc(I)〉 +
αi1,c1
B+i1ψc1
,
(21)
перенормировок. Для C0 они варьируются от 0.6
i1,c1
ЯДЕРНАЯ ФИЗИКА том 83
№5
2020
ТЕОРЕТИЧЕСКОЕ ВЫЧИСЛЕНИЕ ПАРАМЕТРОВ
389
где |ψc〉 есть волновая функция, содержащая су-
при суммировании по BJ -фононам играют те
перпозицию только D-фононов, которая будет на-
фононы, чьи энергии минимальны. Если наоборот,
зываться функцией коллективного состояния.
когерентным рождением является BJ -фонон, то
большую роль при суммировании по ним играют
Энергии нижайших состояний ираст-полос с
фононы, соответствующие гигантскому квадру-
Iπ ≤ 6+ оказываются существенно ниже энергий
польному резонансу.
BJ-мод, которые как минимум больше удвоенной
парной щели. Такая выделенность состояний по
Уравнение для перенормированной двухфонон-
энергии двух пространств позволяет рассматри-
ной энергии E(L)2 с учетом, что невозмущенная
вать их связь неявным образом через перенорми-
энергия определяется как 2ε(0)d + C(0)L, имеет вид
ровку бозонных параметров εd, k1, CL, k2 (16),
рассмотренных в [30, 32, 46] с помощью тео-
2ε(0)d + C(0)L - E(L)2 = R(L)3(E(L)2) +
рии возмущений в варианте Бриллюэна-Вигнера
(БВ). Для этого рассматриваются из конфигура-
+ R(L)4(E(L)2) + R(L)5(E(L)2) + R(L)6(E(L)2),
ций, построенных только из D-фононов, состояния
R(L)k(E(L)2) =
(D+)n| 〉 с n = 0, 1, 2, другой набор конфигураций
будет дополнительно иметь один из B+J-фононов
∑
|〈(DD)nL)|H|B+iJ ((D+)k-3)(λ)〉n|2
=
,
положительной четности с мультипольностью Jπ
ωi + E(k-3) - E(L)
от 0+ до 6+.
iJλ
2
k = 3,4,5,6,
Учет такого взаимодействия приводит к поляри-
зации вакуума, энергия которого E0 относительно
где E(0) = 0, E(1) = ε(0)d — однобозонная энергия,
квазичастично-фононного вакуума E(qp-ph)0 нахо-
дится через решение уравнения
E(2) = 2ε(0)d + C(0)λ — двух d-бозонная энергия,
-E0 = R0(E0) + R01(E0),
E(3) = E(0)3λ — энергия трех d-бозонного состоя-
ния, связанного в момент λ и полученная с учетом
∑
|〈|H|B+iJ=2D+〉|2
где R0(E0) =
;
только D-фононных амплитуд, L = 0, 2, 4 — муль-
(0)
ωi + ε
-E0
типольность двухфононного триплета. При вычис-
i
d
∑
лении МЭ 〈(DD)nL)|H|B+iJ (D+D+D+)nλ)〉 необхо-
|〈|H|B+iJ D+D+〉|2
R01(E0) =
димо знать трех D-фононную нормировку, которая
(0)
ωi + 2ε
+C(0)
-E0
iJ
d
J
оказалась заметно меньше трех d-бозонной. Это
важно для последующих вычислений.
Один МЭ здесь обозначает взаимодействие бес-
фононного состояния с состоянием, содержащим
Неколлективные Bi-фононы рассматривались в
одновременно два фонона, — D и BJ , последний
тамм-данковском приближении, техника суммиро-
фонон является также квадрупольным. Наличие
вания по ним, которая не предполагает расчета
поляризации вакуума в указанном смысле связано
энергий и амплитуд фононов, представлена и ис-
с модификацией КМСФ, что приводит к неравен-
пользована в работе [23].
ствам
По найденным перенормированным энергиям
находятся значения перенормированных бозонных
〈|H(D+D+)(0)|〉 = 0;
(22)
параметров гамильтониана
〈|H(D+B+)(0)|〉 = 0.
- 2E1 + E0.
(23)
εd = E1 - E0; CL = E2L)
Однофононная энергия E1 с учетом рассматри-
Все полученные таким образом бозонные пара-
ваемых поправок определяется из уравнения
метры оказываются зависящими от спина и энер-
ε(0)d - E1 = R1(E1) + R2(E1);
гии рассматриваемого состояния. Обычно прово-
димые перенормировки параметров МВБ1 свя-
∑
|〈D|H|B+iJ D+〉|2
зывают с учетом G-фононов, т.е. квазичастичных
R1(E1) =
;
(0)
ωi + ε
-E1
пар с Jπ = 4+. Настоящие расчеты показали, что
iJ
d
главный вклад вносят фононы с моментом, равным
∑
|〈D|H|B+iJ (D+D+)(λ)〉n|2
R2(E1) =
,
2+, т.е. опять же квадрупольные фононы, но те,
(0)
ωi + 2ε
+C(0)
-E1
которые не относятся к нижайшему из них. Сле-
iJλ
d
λ
дующими по важности являются фононы с мо-
где ε(0)d является оценкой для однобозонной
ментами 4+ и 6+. Для исследуемых ядер примесь
энергии, выраженной через амплитуды только
неколлективных состояний к коллективным (од-
D-фонона. В том случае, когда когерентным
но и двум D-фононным состояниям) оказывается
рождением является D-фонон, то большую роль
небольшой. Для одно D-фононного состояния эта
ЯДЕРНАЯ ФИЗИКА том 83
№5
2020
390
ЕФИМОВ
примесь ∼9%, для двухфононных несколько боль-
состояний ираст-полосы sign(Q(I)) = -sign(κ2).
ше: для состояния (D+D+)(0) эта примесь ∼25%, в
Расчетные значения квадрупольных моментов
то время как для (D+D+)(L=2,4) ∼ 15%.
слабо зависят от e∗χE2(d+d)(2) — части оператора
E2-перехода (48) (см. ниже), не меняющего числа
Найденная совокупность амплитуд примеси
d-бозонов. Это приводит к тому, что величины
неколлективных компонент позволяет получить
квадрупольных моментов состояний определяются
поправки во втором порядке по взаимодействию к
одновременным присутствием в состоянии ком-
параметрам МВБ1 k1 и k2. Так как эти параметры
понент, отличающихся на один квадрупольный
связывают состояния с разным числом d-бозонов,
то соответственно и в D-фононном пространстве
бозон и МЭ оператора e∗(d+s + s+d)(2), также
они будут определяться недиагональными МЭ.
меняющего число квадрупольных бозонов на
Это приводит к тому, что в полученных поправках
единицу. Поэтому величины квадрупольных мо-
для этих параметров оказывается более сложная
ментов в принципе в равной степени определяются
зависимость от энергий как фононов ωi, так и
как протонной, так и нейтронной структурой D-
фонона. Представленная в уравнении (16) оценка
параметров гамильтониана ε(0)d и C(0)L, чем это
имело место при определении параметров εd, CL,
для κ(0)2 включает фактор (u1u2 - v1v2), который
которые определяются диагональными МЭ.
приводит к сильной зависимости результирующей
величины от деталей расположения уровней сред-
Член гамильтониана МВБ1, пропорциональный
него поля. Для данного параметра, также как и
параметру k1, обеспечивает взаимодействие бо-
для других, были учтены слагаемые, определяемые
зонных состояний, отличающихся на два квад-
рупольных бозона, связанных в нулевой угловой
следующим порядком по взаимодействию. Для него
таких членов три, происхождение их понятно из
момент. Это приводит к уменьшению корреляций в
основном состоянии по сравнению с тем, что дает
приведенных ниже МЭ:
стандартный вариант КМСФ. Его перенормировка
√
δ(2κ2
Ω - 1) =
за счет неколлективных фононов определяется вы-
ражением
∑{∑
1
+
√
=-√
〈(DD)(2)n|H|Bi
D+〉 ×
J
δ(2κ1
Ω(Ω - 1)) =
2
i
J
√
{
∑
2
x1 - E1 - E(L=2)2
=-
〈|H|(B+iJ=2D+)(0)〉 ×
+
× 〈D|H|(Bi
D+)(2)〉
+
5
J
i
(x1 - E1)(x1 - E(L=2)2)
∑
× 〈(DD)(0)n|H|(B+iJ=2D+)(0)〉 ×
+
〈(DD)(2)n|H|B+iJ (D+D+)(λ)〉n ×
(L=0)
Jλ
x1 - E0 - E2
×
+
x2 - E1 - E(L=2)2
(x1 - E0)(x1 - E(L=0)2)
× 〈(DD)(λ)nBiJ |H|D+〉
+
∑
(x2 - E1)(x2 - E(L=2)2)
+
〈|H|(B+iJ D+D+)(0)〉n ×
∑
J
+
〈(DD)(2)n|H|B+iJ (D+D+D+)(λ)〉n ×
× 〈(DD)(0)n|H|(B+iJ D+D+)(0)〉n ×
Jλ
}
(L=0)
× 〈(DDD)(λ)nBiJ |H|D+〉 ×
x2 - E0 - E2
}
×
;
x3 - E1 - E(L=2)2
(x2 - E0)(x2 - E(L=0)2)
×
;
x1 = ωi + ε(0)d;
(L=2)
(x3 - E1)(x3 - E2
)
x1 = ωi + ε(0)d; x2 = ωi + 2ε(0)d + C(0)J.
(0)
x2 = ωi + 2ε
+C(0)λ; x3 = ωi + E(0)3λ.
После этого параметр κ1 определяется как
d
После данной процедуры параметр κ2 определяет-
κ1 = κ(0)1 + δκ1.
(24)
ся как
Член бозонного гамильтониана, пропорци-
κ2 = κ(0)2 + δκ2.
(25)
ональный параметру κ2, осуществляет взаи-
модействие состояний, отличающихся на один
квадрупольный бозон. Собственные значения
Следует отметить, что поправки к параметрам
бозонного гамильтониана и вероятности пере-
κ1 и κ2 не столь существенны как к εd и CL, однако
ходов между ними инвариантны относительно
они важны, когда один из параметров, например κ2,
знака κ2, однако от его знака зависят знаки
оказывается мал по оценке, полученной в первом
квадрупольных моментов состояний. Так, для
порядке по взаимодействию.
ЯДЕРНАЯ ФИЗИКА том 83
№5
2020
ТЕОРЕТИЧЕСКОЕ ВЫЧИСЛЕНИЕ ПАРАМЕТРОВ
391
(
)(0)
2.4. Корреляционная энергия и полный
√
+2 k1
Ω(Ω - 1) P1(I) + Φ′.
вариационный функционал
Одной из особенностей Модификации КМСФ
Роль членов δεd, δCL, C(0)L в определении ам-
(МКМСФ) является условие существенного умень-
шения корреляции в основном состоянии. Его
плитуд фононов сводится к перенормировке кон-
стант остаточного взаимодействия и к добавкам к
введение в функционал позволяет добиться согла-
двухквазичастичным энергиям, входящих в урав-
сованности бозонных средних и микроскопически
нения для амплитуд. Это оправдывает понятие
вычисленных бозонных параметров гамильтониана
эффективных сил. Добавки к двухквазичастичным
МВБ1.
энергиям при этом оказываются несущественными.
Для энергии фононного вакуума, связанного с
корреляциями и определяемого с учетом только
нижайшего квадрупольного фонона, было получе-
2.5. Полная энергия и окончательные параметры
но выражение с использованием сил в частично-
гамильтониана МВБ1
частичном и частично-дырочном каналах
После определения всех искомых амплитуд,
∑
включая бозонные, характеризующие бозонный
E(B)0(λ = 2) = 5 e12ϕ212τ +
(26)
состав функций, находятся численные значения
τ 12
энергии состояний EI :
∑
(-1)η
+
|G(2)τ|P(η)τ〈1||q||2〉τ (-1)l2 M(η)12ϕ12 +
2
EI = E(vac.q.p.) + E(B)0 +
(30)
ητ12
∑
∑
+ (I|HIBM)|I) +
λτ (I
Nτ |I).
1
+
|κττ′ |Qτ′ 〈1||q||2〉τ (-1)l2 L(0)12ϕ12,
τ
2
ττ′12
Такой подход не имеет, однако, прямого отноше-
ния к МВБ1. Причина заключается в том, что,
величины Qτ и
τ даны в (19).
в силу неявной зависимости u, v, z(η) и λ от
Если использовать стандартный вариант КМСФ
энергии и спина коллективного состояния, энер-
с учетом полноты фононных функций для каждого
гия квазичастично-фононного вакуума E(vac.q.p.) +
момента и суммирования по всем фононам, то с
точностью до константы относительно фононных
+ E(B)0 и параметры HIBM(εd, k1, k2, CL) изменя-
амплитуд в вариационном функционале вместо (26)
ются от состояния к состоянию. Это подтвержда-
можно использовать выражение 5/2ε(0)d, хотя это
ется численными расчетами. В то же время анализ
есть явное упрощение.
спектров коллективных состояний в рамках МВБ1
производится в предположении, что энергия ваку-
Для собственно фононной задачи определения
ума бозонов и параметры гамильтониана остаются
фононных амплитуд минимизируемый функционал
неизменными для всех состояний, вовлекаемых в
имеет вид
∑
этот анализ. Поэтому возникает вопрос, нельзя ли
Φ = 〈I| Ĥ - λτNˆτ|I〉 + Φ′ =
(27)
так перегруппировать члены в EI , чтобы выделить
τ
некоторую фоновую часть в энергии коллективного
состояния, которая не изменяется с ростом I и “ак-
= E(B)0 + (I|HIBM|I) + Φ′.
тивную” часть, подобную гамильтониану МВБ1, с
мало изменяющимися параметрами εd, k1, k2, CL
Вариации данного функционала осуществляются в
предположении, что вместо полного гамильтониана
(теперь два из этих параметров не имеют верхней
HIBM в (27) используется его часть, определяемая
тильды)?
Для этого полную энергию, отсчитанную от
параметрами ε(0)d и k(0)1, полученными только с
Σλ0τ Nτ (λ0τ — химические потенциалы для основ-
учетом D-фононов, и E(B)0 заменяется на 5/2ε(0)d.
ного состояния ядра), примем в виде
Таким образом,
EI =EI + (I|HIBM(εd,˜1,k2,CL)|I),
(31)
E(B)0 + (I|HIBM|I) →
(28)
∑
E
(
)
(
)(0)
I =E(q.p.)I +E0D) +
(λτ - λ0τ )Nτ .
√
τ
→ ε(0)d nd(I) + 5
+2 k1
Ω(Ω - 1) P1(I)
2
Таким образом,
и минимизируемый функционал принимается
E
I =E0D) +
(32)
в виде
)
(
)
∑((∑
5
+
(2ji + 1)(ϵi - λτ)vi
−
Φ=ε(0)
nd(I) +
+
(29)
d
2
τ
i
τ
ЯДЕРНАЯ ФИЗИКА том 83
№5
2020
392
ЕФИМОВ
)
Δ2τ
Энергии возбужденных состояний относительно
-
+ (λτ - λ0τ )Nτ
,
основного будут определяться как
Gτ0)
ΔEI = EI - E0.
(37)
где ϵi есть энергия частиц. Расчеты показыва-
ют, что внебозонная энергияEI заметно растет
Теперь можно сформулировать вариационный
с ростом спина. Особенно сильная зависимость
принцип для определения неизвестных амплитуд
проявляется для ядер, бозонная структура которых
u, v, z(η), {αd}. Они находятся из минимума энер-
близка к вибрационному случаю, когда при пере-
гии по отношению к их вариации при дополни-
ходе к следующему спину коллективного состояния
тельных условиях. Это дает уравнения для (u, v) и
среднее число квадрупольных бозонов nd увели-
амплитуд z(η). Амплитуды {αd} бозонного состава
чивается на единицу. В тех случаях, когда ядро
|I) находятся из минимизации (36) при условии, что
становится более коллективным, как это оказы-
E0 не меняется при изменении спина или номера
вается для цепочки изотонов с N = 70, значения
коллективного состояния.
nd меняются существенно меньше, а рост спина
реализуется за счет угловой пересвязки имеющих-
Варьирование функционала по фононным ам-
ся квадрупольных бозонов. В этом случае рост
плитудам приводит к системе уравнений, подобных
E
уравнениям КМСФ. Ее решение осуществляется
I со спином значительно слабее. Для того чтобы
при фиксированных значениях ω′, χ. Это позволяет
внебозонная энергия оставалась неизменной для
всех рассматриваемых состояний ядра, а именно
определить ω. Если в рамках обычного КМСФ ω,
как в основном состоянии, можно перераспреде-
будучи множителем Лагранжа, одновременно ока-
лить слагаемые, входящие в уравнение (31) для EI ,
зывается однофононной энергией, которая может
между собой следующим образом:
быть только положительной, то в случае использу-
⎧
емой модификации КМСФ множитель Лагранжа ω
⎪E0 =E0;
не является однофононной энергией и физического
⎨
E0 =EI - ξ1nd - ξ2P1,Iπ ≥ 2+;
смысла не имеет. Однофононной энергией является
(33)
вычисленная с найденными фононными амплиту-
⎪
d = εd + ξ1;
⎩ε
√
√
да величина ε(0)d, которая в основном состоянии
2k1
Ω(Ω - 1) =
k1
Ω(Ω - 1) + ξ2.
для рассматриваемых ядер соответственно оказы-
Данное преобразование не меняет полной энергии
вается равной: -1.13; -0.75; -0.40; -0.06; 0.26;
EI. Оно выполняет возложенную на него функцию,
0.38 МэВ. Т.е. для122-128Ce она отрицательна,
так как еслиEI заметно растет с ростом спина,
для130,132Ce — положительна. После перенорми-
ровок эта величина, т.е. εd, которая приведена в
а εd, наоборот, падает, то после преобразования
E
табл. 3, уменьшается относительно ε(0)d на значения
I переходит в E0, а εd в εd, которое испытывает
лишь небольшие вариации с изменением спина. В
от 0.5 МэВ в122Ce до 0.18 МэВ в132Ce.
данном преобразовании для основного состояния
После определения ω находятся численные зна-
Iπ = 0+1, ξ1 = ξ2 = 0. Для всех прочих параметр
чения фононных амплитуд z(η). Расчет повторяет-
ξ2 определяется таким образом, чтобы параметр
ся, при этом χ подбирается таким образом, чтобы
гамильтониана МВБ1 k1 оставался неизменным и
отношение
∑ϕ2/∑ψ2 было строго определен-
таким, как для основного состояния, т.е.
ной величиной, не превышающей значения 0.05
√
ξ2 = (2k1
Ω(Ω - 1))(I=0) -
(34)
и единой для всех рассматриваемых состояний.
√
Причем чем больше низкоэнергетичная коллектив-
- (2k1
Ω(Ω - 1))(I),
ность, т.е. меньше энергия первого возбуждения
и больше значение B(E2; 2+1 → 0+1), тем указан-
параметр же ξ1 определяется из требования, чтобы
ная величина меньше, вплоть до 0.007. Значение
для всех состояний EI =EI=0, т.е.
множителя Лагранжа ω′ находится из требования,
ξ1nd(I) =EI - EI=0 - ξ2P1(I).
(35)
чтобы максимальное число бозонов Ω было целым,
причем таким, чтобы Ω(ω′) ≥ Ω(ω′ = 0). Наличие
С определенными таким образом параметрами ξ1
в функционале члена с ω′ делает систему урав-
и ξ2 находятся окончательные значения величин
нений на амплитуды нелинейной, поэтому она ре-
εd и k1. При этом параметры εd, k2, CL все же
шается итерационным способом. Еще раз следу-
сохраняют зависимость от номера коллективного
ет отметить, что главной особенностью МКМСФ
состояния.
является возможность независимо от энергии D-
После проведенных переопределений полная
фонона менять уровень корреляций в основном
энергия, отсчитанная от Σλ0τ Nτ , равна
состоянии. Реализуется это таким образом, что к
EI = E0 + (I|HIBM|I).
(36)
любой двухквазичастичной энергии, участвующей
ЯДЕРНАЯ ФИЗИКА том 83
№5
2020
ТЕОРЕТИЧЕСКОЕ ВЫЧИСЛЕНИЕ ПАРАМЕТРОВ
393
Таблица 3. Параметры HIBM в МэВ, полученные без учета каналов взаимодействия V(2,3); величина nd есть среднее
число бозонов в основном состоянии, т.е. (nd)I=0+
A
Ω
εd
k1
k2
C0
C2
C4
nd
122
27
-1.65
-0.0631
0.0287
0.371
0.182
0.290
10.24
124
26
-1.125
-0.0608
0.0329
0.400
0.129
0.247
9.58
126
23
-0.676
-0.0547
0.0357
0.604
0.156
0.258
6.81
128
22
-0.308
-0.0582
0.0405
0.510
0.136
0.212
6.66
130
22
0.045
-0.0584
0.0365
0.477
0.105
0.214
5.90
132
19
0.203
-0.0550
0.0341
0.534
0.102
0.229
4.18
в уравнении на фононные амплитуды, добавляются
энергия возбуждения. Именно поэтому, рассмат-
независимые от этой энергии величины — множи-
ривая совокупность состояний, как возбужденных,
тели Лагранжа χ и ω′
так и основного, необходимо оставаться на одном
∑
уровне значений
ϕ2. Если при этом получать са-
eij → eij + ω′n(3)ij + χ,
мосогласованные решения для спинов от нулевого
(
)
до некоторого Imax, то это существенно снижает
∑
z(1)i1z(0)i1
z(1)j1z(0)j1
коридор возможных значений χ. Пусть найдено
где n(3)ij = 2
+
,
2ji + 1
2jj + 1
значение χ, начиная с которого для основного со-
1
стояния достигается согласование. Для того, что-
и особенно это существенно, когда одночастичные
бы достичь согласования для основного и воз-
уровни i и j относятся к состояниям валентной обо-
бужденных состояний, вплоть до Imax, необходимо
лочки. Такая замена — результат модификации —
увеличивать значения χ, но таким образом, что-
бы было реализовано одинаковое значение
∑ϕ2
существенно уменьшает значения амплитуд z(η)ij
для всех рассматриваемых состояний. При этом
для состояний валентной оболочки, перераспреде-
остается вопрос о верхней границе значений χ,
ляя значения остальных компонент в большей сте-
соответственно минимума
∑ϕ2. Решен он может
пени по вневалентным одночастичным состояниям.
быть практически, исходя из конкретных числен-
Одновременно это приводит к существенному уве-
личению максимального числа бозонов Ω.
ных расчетов. Важнейшим из них является тре-
бование, чтобы вплоть до Imax число квазичастиц
Другой важной особенностью рассмотренной
на каждом одночастичном уровне не превышало
модификации является наличие в минимизируемом
значения j + 1/2.
функционале бозонных средних, что позволяет ста-
вить задачу самосогласованности, когда микроско-
пически рассчитанные параметры бозонного га-
3. БОЗОННОЕ ОПИСАНИЕ
мильтониана приводят к тем же бозонным средним,
ПЕРЕСЕЧЕНИЯ ПОЛОС
которые используются при вычислении амплитуд и
параметров.
Перенормировка параметров МВБ1 осуществ-
ляется через расширение волновой функции фо-
При этом оказалось, что достичь такого согла-
нонных состояний в виде (21) за счет BJ -фононов
сования невозможно без того, чтобы дополнитель-
но за счет одного из слагаемых Лагранжа умень-
с Jπ ≤ 6+. При больших спинах состояний ираст-
шить меру корреляций. Было доказано, что как при
полос коллективные и неколлективные возбужде-
χ = 0в(15),такипривсехϕ = 0,чтосоответствует
ния могут оказаться энергетически близкими. По-
приближению ТД, это согласование невозможно.
этому компоненты этих неколлективных мод необ-
Реализуется оно в некотором коридоре значений χ,
ходимо явно вводить в рассматриваемый базис,
достигая этим устойчивое решение задачи.
а значения Jπ уже будут меняться от 0+ до 10+
с учетом рассматриваемой оболочки 50-82. Это
Численное значение величины
∑ϕ2/∑ ψ2 в
приводит не только к дополнительному сжатию
каждом ядре зависит, естественно, от значений
спектра коллективных состояний, но и к пересече-
силовых параметров, бозонных средних и парамет-
нию полос разной природы.
ра χ. Причем изменением последнего в расчетах
Переходя к бозонам, гамильтониан Hb с учетом
величина
∑ϕ2 и регулируется. При прочих равных
bJ-бозонов принят в виде
параметрах энергия возбуждения сильно зависит
от меры корреляций, чем она больше, тем меньше
Hb = Hb1 + Hb2;
(38)
ЯДЕРНАЯ ФИЗИКА том 83
№5
2020
394
ЕФИМОВ
∑
Hb1 = H(0)IBM + ωib+ibi + V(1);
взаимодействие между состояниями, содержащими
различные bJ -бозоны:
i
√
Hb2 = V(2) + V(3),
∑
2J2 + 1
V(3)
=
(-1)J1+J2 ×
(43)
5
где H(0)IBM (4) является гамильтонианом МВБ1 с
i1 = i2
параметрами, определенными только через D-
× u(1)i1,i2[(b+i1bi2)(2) · d+s + H.c.] +
фононы, т.е. без учета неколлективных фононов,
√
ωi — энергии bi-бозонов.
∑
2J2 + 1
√
+
(-1)J1+J2 u(2)i1,i2(L) ×
∑
5
2L + 1
V(1) =
ν1(i) ×
(39)
L,i1 = i2
2Ji + 1
i
bi2)(L) · (d+d+)(L)ss + H.c.] +
× [(b+i1
× [(d+d)(Ji)s+ · bi + H.c.] +
∑
√
+
(-1)L+J2 u(3)i1,i2(L) ×
∑
5
+
ν(L)2(i) ×
L,i1 = i2
2Ji + 1
iL
× [(b+i1bi2)(L) · (d+d)(L) + H.c.].
× [(d+(dd)(L)s+s+)(Ji) · bi + H.c.] +
∑
Параметры в V(3) определяются как
+ ν3(i)[(d+d+)(Ji)s · bi + H.c.] +
(1)
1
i
u
=
√
〈DBi1|H|B+i2〉;
(44)
i1,i2
√
Ω-1
∑
2L + 1
+
ν(L)4(i) ×
1
u(2)i1,i2(L) =
√
×
2Ji + 1
iL
2(Ω - 1)(Ω - 2)
× [(d+d+)(L)d)(Ji) · bi + H.c.],
× 〈[(DD)(L)nBi1](J2)|H|B+i2〉;
∑
∑
V(2) =
ν(L)5(i) ×
(40)
u(3)i1,i2(L) =
〈(DBi1)(x)|H|B+i2D+〉 ×
iL
x
⎧
⎫
× [((d+d+)(L)d+)(Ji) · biss + H.c.].
⎨
⎬
2
2
L
× (-1)x(2x + 1)
Соответствующие параметры определяются МЭ в
⎩J2 J1 x⎭
фермионном пространстве с помощью процедуры
Марумори:
Мультипольность Bi-фононов в МЭ (41) и (42),
1
определяющих взаимодействие V(1), V(2), варьи-
ν1(i) =
√
〈D|H|(B+iD+)(2)〉;
(41)
Ω-1
руется от Jπ = 0+ до Jπ = 6+, в (44) для взаимо-
1
действия V(3) от Jπ = 0+ до Jπ = 10+.
ν(L)2(i) =
√
×
2(Ω - 1)(Ω - 2)
Часть гамильтониана, а именно V(1), через про-
изведение МЭ 〈V(1)〉〈V(1)〉 используется для пе-
× 〈D|H|(B+i (D+D+)(L))(2)〉;
ренормировки параметров бозонного гамильтони-
1
ана (4) [32, 46]. Для связи коллективных состо-
ν3(i) =
√
〈(DD)(J)|H|B+i〉;
2(Ω - 1)
яний с bJ=8,10 взаимодействие V(1)
имеет важное
1
значение наряду с V(2) и V(3) в (38) из-за членов
ν(L)4(i) =
√
〈(DD)(L)|H|(B+iD+)(L)〉;
2
интерференции. Часть гамильтониана, V(2), через
второй порядок по взаимодействию приводит к
1
ν(L)5(i) =
√
×
(42)
дополнительному взаимодействию трех d-бозонов
ℵJL(bos)(Ω - 1)(Ω - 2)
между собой, которое не сводится к членам тра-
диционного гамильтониана МВБ1. Влияние этого
× 〈[(DD)(L)D](J)|H|B+i 〉,
канала взаимодействия приводит к дополнитель-
ℵJL(bos) = (|(d(dd)(L))(J)((d+d+)(L)d+)(J)|),
ному уменьшению энергий по мере роста спина и
энергии возбуждения. Существует и прямой канал
H — квазичастичный гамильтониан, ℵJL(bos) —
дополнительного взаимодействия трех d-бозонов
значение бозонной нормировки. Комбинации фо-
между собой, но его оценка оказалась существенно
нонных функций нормированы. Взаимодействие
меньше той, которую дает второй порядок.
V (1) и V (2) выражает связь коллективных состоя-
Связь коллективных состояний с конфигу-
ний с неколлективными. Оператор V(3) определяет
рациями, содержащими высокоспиновые бозоны
ЯДЕРНАЯ ФИЗИКА том 83
№5
2020
ТЕОРЕТИЧЕСКОЕ ВЫЧИСЛЕНИЕ ПАРАМЕТРОВ
395
bJ=8,10, осуществляется также через второй по-
первом порядке по взаимодействию
рядок по взаимодействию через произведение МЭ
〈ψc|V(1) + V(2)|b+i1ψc1〉
от V(1) + V(2) с V(3), т.е. 〈V(1) + V(2)〉〈V(3)〉. В
αi1(J1≤6),c1 = α0
,
(45)
E-ωi1 -Ec1
ядрах, структура которых близка к вибрационному
случаю, важны именно произведения 〈V(2)〉〈V(3)〉,
где E — собственные значения гамильтониана Hb
но в том случае, когда уже основное состояние
(38), E〈Ψ(I)|Ψ(I)〉 = 〈Ψ(I)|Hb|Ψ(I)〉.
далеко от бозонного вакуума, то важным будет и
произведение 〈V(1)〉〈V(3)〉, тем более, что среди
Амплитуды с Jπ > 6+ находятся через второй
порядок по взаимодействию:
бозонов, определяющих V(1), есть и с Jπ = 6+, а
α0
именно 〈d|V(1)|d+d+b+J=6〉 и 〈d2|V(1)|d+b+J=6〉.
αi1(J1>6),c1 =
×
(46)
E-ωi1 -Ec1
Существует прямой канал взаимодействия
компонент, содержащих только d-конфигурации
∑
〈ψc1bi1|V(3)|b+i2ψc2〉
с bJ=8,10, но его оценки оказались пренебрежимо
×
×
E-ωi2 -Ec2
малы по сравнению с величинами, даваемыми
i2(J2≤6),c2
вторым порядком.
× 〈ψc2bi2|V (1) + V (2)|ψc〉.
Используя процедуру теории возмущения в
варианте Бриллюэна-Вигнера, амплитуды αi,c в
Собственная энергия с учетом (45), (46) является
функциях (21) при Jπ ≤ 6+ рассчитываются в решением уравнения
∑
|〈ψc|V(1) + V(2)|b+i1ψc1〉|2 - |〈ψc|V(1)|b+i1ψc1〉|2
E - 〈ψc|HIBM|ψc〉 =
+
(47)
E-ωi1 -Ec1
i1(J1≤6),c1
(
)2
∑
∑
1
〈ψc1bi1|V(1) + V(2)|ψc〉〈ψc2bi2|V(3)|b+i1ψc1〉
+
,
E-ωi2 -Ec2
E-ωi1 -Ec1
i2(J2>6),c2
i1(J1≤6),c1
где 〈ψc|HIBM|ψc〉 есть энергия МВБ1, полученная с
4. РЕЗУЛЬТАТЫ РАСЧЕТОВ ДЛЯ122-132Ce
учетом перенормировок параметров гамильтониана
(4), определяемых V(1) (39). В уравнении
(47)
С теми же параметрами среднего поля и факто-
ризованными силами, с которыми рассчитывались
искомая энергия зависит от V(1) через члены ин-
параметры фононных D-амплитуд и параметров
терференции V(1) с V(2) и V(3).
бозонного гамильтониана (4) с учетом перенорми-
ровок, были получены значения и прочих пара-
При вычислении МЭ квадрупольного электри-
метров расширенного гамильтониана (38) в соот-
ческого оператора нас в основном будут интере-
ветствии с (41), (42), (44). Константы факторизо-
совать переходы вдоль ираст-полосы. Переход с
ванных сил приведены в табл. 1. Использовался
неколлективных компонент в коллективные учиты-
широкий спектр одночастичных состояний, вплоть
вается при перенормировках эффективных заря-
до резонансных состояний, всего 26 (njl) протон-
дов [47], что позволяет рассматривать МЭ только
ных и столько же нейтронных уровней. Константы
между коллективными компонентами, выраженны-
монопольного спаривания определялись по зна-
ми через d-бозоны, не затрагивая bJ -бозоны. При
чениям парных энергий. Константы квадруполь-
этом бозонный операто
T (E2) имеет вид
ного взаимодействия в частично-частичном (G(2))
(
)(2)
и частично-дырочном каналах (κnn и κnp), как
T (E2) = e∗
d+s + s+d + χE2d+d
+
(48)
видно из табл. 1, претерпевают незначительные
(
)(2)
изменения, а полусумма κnn и κnp в единицах [43]
+e∗0
s+(d+d)(0)d + d+(d+d)(0)s
близка единице, т.е. изоскалярной константе. В
табл. 1 также приведена мера корреляций в ос-
Микроскопический расчет его параметров пред-
новном состоянии r =
∑ϕ2/∑ ψ2, ее варьирова-
ставлен в [47] с учетом BJ -фононов только с Jπ ≤
ние связано с выполнением принципа Паули, т.е.
≤6+.
таким образом, чтобы среднее число квазичастиц,
ЯДЕРНАЯ ФИЗИКА том 83
№5
2020
396
ЕФИМОВ
10
10
coll.
coll.
coll.2
coll.2
122Ce
124Ce
th.
th.
8
8
exp.
exp.
6
6
4
4
2
2
0
2
4
6
8
10
12
14
16
18
0
2
4
6
8
10
12
14
16
18
10
10
coll.
126Ce
128Ce
coll.2
8
coll. = coll.2
8
th.
th.
exp.
exp.
6
6
4
4
2
2
0
2
4
6
8
10
12
14
16
18
0
2
4
6
8
10
12
14
16
18
20
10
coll.
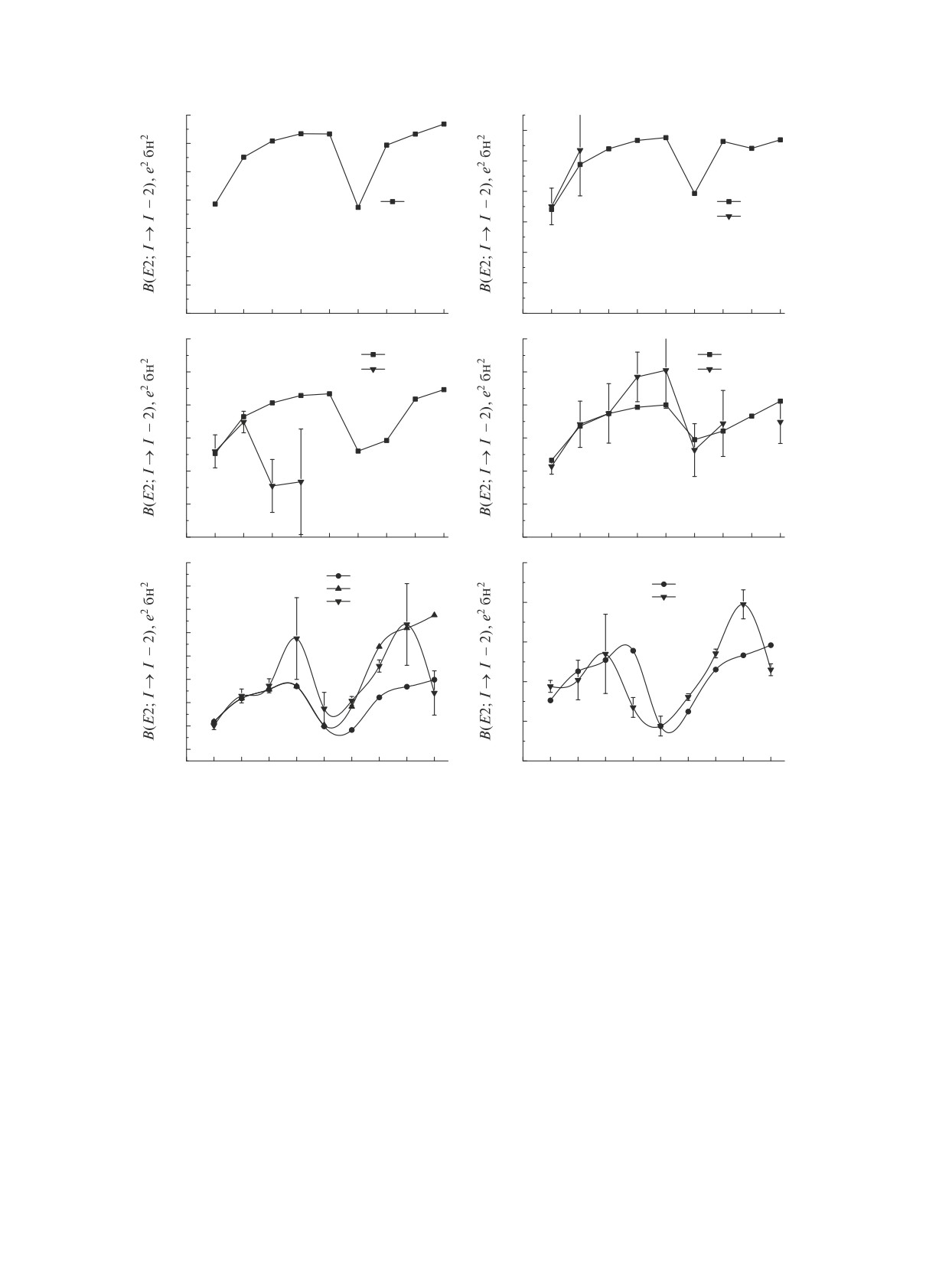
coll.
coll.2
coll.2
130Ce
132Ce
th.
8
th.
8
exp.
exp.
6
6
4
4
2
2
0
2
4
6
8
10
12
14
16
18
20
0
2
4
6
8
10
12
14
16
18
20
I+
I+
Рис. 3. Энергии состояний ираст-полос. Подписи “th.” и “exp.” соответствуют теоретическим и экспериментальным [29]
значениям (в масштабе рисунка они практически сливаются). Подпись “coll.” соответствует расчетному значению, но
без учета каналов взаимодействия V(2), V(3), “coll.2” — энергиям тоже коллективных состояний, но в присутствии
высокоспиновой пары.
определяемых набором D-фононов на каждом од-
квадрупольных бозонов nd в основном состоянии.
ночастичном уровне с моментом j, не превышало
Их значения показывают, что в соответствии с
j + 1/2.
вычислениями структура состояний даже для тя-
желых ядер далека от того, что дает вибрационный
С данными силовыми константами были произ-
случай, когда 〈nd〉I=0+ = 0.
ведены расчеты, которые без учета каналов вза-
имодействия V(2,3) приводят к значениям пара-
Коллективные состояния, построенные на вы-
метров HIBM (4). В табл. 3 они приведены для
сокоспиновых фононах или бозонах, как это сле-
основного состояния, для прочих состояний их
дует из анализа энергий состояний, после пересе-
значения претерпевают некоторые численные из-
чения полос и как это было учтено в [26], могут
менения [46]. Максимальное число бозонов Ω в
отличаться в сторону меньшей коллективности.
каждом ядре определялось по фононным амплиту-
Это проявляется в б ´ольших энергиях d-бозонных
дам в соответствии с (2). Они приведены в табл. 3,
состояний по сравнению с теми, что строятся на
где также представлены средние значения числа
фононном вакууме или в меньших значениях мо-
ЯДЕРНАЯ ФИЗИКА том 83
№5
2020
ТЕОРЕТИЧЕСКОЕ ВЫЧИСЛЕНИЕ ПАРАМЕТРОВ
397
E, МэВ
7
Ce
18+
6
16+
5
+
1
14
+
4
12
1
+
10
1
3
8+
2
6+
1
+
41
+
2
1
0
122
124
126
128
130
132
A
Рис. 4. Сравнение теоретических (кривые) и экспериментальных (точки) значений энергий ираст-полос в четных
изотопах Ce.
ментов инерции. Оказалось, что чем больше кол-
определяют связь коллективных и квазичастичных
лективность, тем меньше это различие. Это демон-
возбуждений. Учет этого эффекта выполнен фе-
стрируется на последующих рисунках, где приведе-
номенологически. Во-первых, введено некоторое
ны энергии, полученные в рамках самосогласован-
ослабление связи коллективных и квазичастич-
ной схемы, т.е. без учета V(2,3) каналов взаимодей-
ных состояний, определяемое параметром ζ, см.
ствия. Эти энергии на соответствующих рис. 3 обо-
табл. 1. Для легких изотопов оно близко к еди-
нице, в тяжелых, для которых квазичастицы h11/2
значаются как “coll.” в отличие от коллективных
состояний, при наличии высокоспиновых пар, ко-
играют более важную роль в структуре D-фонона,
торые обозначаются как “coll.2”. Различие энергий
ζ уменьшается до значения 0.8. Во-вторых, как
состояний полосы основного состояния (часто обо-
указано, приводит к увеличению энергий состоя-
значаемой как g-полоса) и полосы, построенной на
ний, обозначенных как “coll.2”. Следует отметить,
высокоспиновом квазичастичном возбуждении (s-
что это отличие для122-130Се и спинов Ic ≤ 8+
полоса), было использовано в работах [26] и [33]. В
не столь значительно, а для132Се существенно.
данной массовой области объясняется это тем, что
Таким образом, значения ζ и отличие в энерги-
высокоспиновый фонон определяется конфигура-
ях коллективных состояний, EI , в зависимости
цией (h11/2)2. По мере роста числа нейтронов хи-
от наличия высокоспиновой квазичастичной пары,
мический потенциал приближается к нейтронному
коррелируют. Эта процедура, являясь по существу
уровню h11/2, приводя к тому, что двухквазичастич-
феноменологической, указывает на желательность
микроскопического учета влияния высокоспиново-
ное состояние (h11/2)2 дает существенный вклад в
го двухквазичастичного возбуждения на структуру
структуру D-фонона. Поэтому явное присутствие
D-фонона за счет сокращения конфигурационного
в волновой функции высокоспиновой пары при-
квазичастичного пространства. На рис. 3 приве-
водит к сокращению квазичастичного конфигура-
дены также результаты расчета с учетом V(2,3),
ционного пространства, на котором формируются
обозначаемые как “th.”. На этих же рисунках
остальные фононы, в частности, увеличивая энер-
приведены экспериментальные значения — “exp.”,
гию D-фонона, перераспределяя его компонен-
которые по существу совпадают с теоретическими
ты по более высоколежащим двухквазичастичным
значениями в представленном масштабе. Реальное
возбуждениям. Как результат, меняются парамет-
различие не превышает 60 кэВ.
ры HIBM для тех компонент волновых функций, в
которых присутствует высокоспиновая пара. Соот-
Сравнение теоретических и экспериментальных
ветственно происходит изменение бозонных сред-
энергий, тенденции их поведения в зависимости от
них от бозонных операторов, которые в том числе
массового числа даны на рис. 4.
ЯДЕРНАЯ ФИЗИКА том 83
№5
2020
398
ЕФИМОВ
1.0
122Ce
1.0
124Ce
0.8
0.8
coll.
coll.
b(2)
b(2)
0.6
b(4)
0.6
b(4)
b(6)
b(6)
b(8)
b(8)
0.4
0.4
b(10)
b(10)
0.2
0.2
0
0
0
2
4
6
8
10
12
14
16
18
20
0
2
4
6
8
10
12
14
16
18
20
1.0
126Ce
1.0
128Ce
0.8
0.8
coll.
coll.
b(2)
b(2)
0.6
b(4)
0.6
b(4)
b(6)
b(6)
b(8)
b(8)
0.4
0.4
b(10)
b(10)
0.2
0.2
0
0
0
2
4
6
8
10
12
14
16
18
20
0
2
4
6
8
10
12
14
16
18
20
1.0
130Ce
1.0
132Ce
0.8
0.8
coll.
coll.
b(2)
b(2)
0.6
b(4)
0.6
b(4)
b(6)
b(6)
b(8)
b(8)
0.4
0.4
b(10)
b(10)
0.2
0.2
0
0
0
2
4
6
8
10
12
14
16
18
20
0
2
4
6
8
10
12
14
16
18
20
+
I
I+
Рис. 5. Бозонный состав волновых функций ираст-полос. Под “collective” понимается вклад в функцию компонент,
содержащих только d-бозонный состав. Под b(J) понимается вклад от всех компонент, содержащих различные бозоны
∑
с фиксированным моментом J, т.е.i1,c1 |αJ,i1,c1|2, где амплитуды α определяются в (21).
На рис. 5 приведен бозонный состав волно-
введения эффективных зарядов [47]. То, что при
вых функций состояний ираст-полос. Следует под-
этом удается воспроизвести абсолютные значения
черкнуть, что амплитуды даны именно в терминах
B(E2), связано не только с большим исполь-
бозонов, а не фононов, как это представлено в
зуемым одночастичным базисом, но и с учетом
уравнении (21). В терминах фононов уже основное
поляризации фононного вакуума, выраженным,
состояние меньше, чем на 40% определялось бы
например, соотношением (22).
только D-конфигурациями. Это понятно помимо
Еще в работе [33] было отмечено, что только
расчета уже из того, что, как говорилось, пере-
анализ энергетических спектров не может говорить
нормированные одно- и двухфононные состояния
о природе бекбендинга и механизме его формиро-
соответственно состоят примерно на 91% и 85%
вания. Полученное в настоящей работе теоретиче-
из D-компонент, а число квадрупольных бозонов в
ское описание соответствует экспериментальному
122Ce в основном состоянии равно десяти (табл. 3).
поведению момента инерции. Для122Се в соответ-
Величины B(E2; I → I - 2) представлены на
ствии с рис. 3 бекбендинг не наблюдается, но рис. 5
рис.
6, где расчетные значения получены без показывает, что в этом ядре при спине Iπ = 12+
ЯДЕРНАЯ ФИЗИКА том 83
№5
2020
ТЕОРЕТИЧЕСКОЕ ВЫЧИСЛЕНИЕ ПАРАМЕТРОВ
399
1.4
1.2
1.2
1.0
1.0
0.8
0.8
th.
th.
exp
0.6
0.6
0.4
0.4
122Ce
124Ce
0.2
0.2
0
2
4
6
8
10
12
14
16
18
0
2
4
6
8
10
12
14
16
18
1.2
1.2
th.
th.
126Ce
exp
128Ce
exp
1.0
1.0
0.8
0.8
0.6
0.6
0.4
0.4
0.2
0.2
0
2
4
6
8
10
12
14
16
18
0
2
4
6
8
10
12
14
16
18
1.8
1.0
th1
1.6
th.
130Ce
th2
132Ce
exp
0.8
exp
1.4
1.2
0.6
1.0
0.8
0.4
0.6
0.2
0.4
0.2
0
2
4
6
8
10
12
14
16
18
0
2
4
6
8
10
12
14
16
18
I+
I+
Рис. 6. Теоретические и экспериментальные [29] значения вероятностей E2-переходов внутри ираст-полос. Для
130Ce
представлены два теоретических расчета, первый вариант соответствует единому набору параметров оператора E2-
переходов, второй дан при наличии усиливающего фактора оператора между компонентами волновых функций, явно
содержащих неколлективные фононы.
пересечение полос все же происходит. Подтвер-
ответствуют экспериментальным данным. Эти пе-
дить или опровергнуть такое предположение могли
реходы воспроизводятся и для второго ядра, чего
бы еще не полученные экспериментальные дан-
не скажешь относительно переходов с 6+- и 8+-
ные относительно B(E2; I → I - 2). Теоретические
состояний. Говорить о пересечении полос при спине
их значения приведены на рис. 6, откуда видно,
6+ для ядра, чьи нейтроны заполняют середи-
что для перехода 12+ → 10+ обсуждаемая вели-
ну оболочки, не приходится. Это подтверждает-
чина имеет минимум, причем B(E2; 12+ → 10+) ≃
ся экспериментальной информацией относительно
≃ B(E2;2+1 → 0+1 ).
B(E2) в ядре128Се, воспроизводя соответствую-
щий минимум при Iπ = 12+.
Аналогичное пересечение полос происходит в
Для ядра
130Се минимум B(E2) имеется
изотопах124,126Се. Это видно из рис. 3 и соот-
ветствует поведению момента инерции от квадрата
сразу для двух соседних спинов Iπ = 10+, 12+.
частоты. Вероятности квадрупольных переходов в
Это воспроизводится и объясняется тем, что
первом ядре для имеющихся двух переходов со-
как видно из рис. 5 при спине Iπ = 10+, вклад
ЯДЕРНАЯ ФИЗИКА том 83
№5
2020
400
ЕФИМОВ
квазичастичной высокоспиновой пары составляет
этом, как показал расчет, во многом согласующий-
чуть больше 50%. Относительно этого ядра в
ся с экспериментом, в изотопах Се пересечение
первых вариантах расчета оказалось, что энер-
полос происходит неизменно в области состояний
гия Iπ = 10+-состояния занижена, вероятность
ираст-полосы при спинах либо 10+, либо 12+.
B(E2; 10+ → 8+) завышена, а B(E2; 12+ → 10+)
Автор выражает благодарность профессору
явно занижена. Преодолеть эти проблемы одно-
В.М. Михайлову за полезные обсуждения и
временно удалось за счет одновременного повы-
комментарии на протяжении всей работы.
шения самосогласованных энергий, обозначаемых
как “coll.”, а именно для Iπ = 10+, 12+, ... на
0.4 МэВ. Оказалось, что достигается это за счет
СПИСОК ЛИТЕРАТУРЫ
уменьшения величины ζ для соответствующих
1.
И. Айзенберг, В. Грайнер, Модели ядер (Атомиз-
спинов от 0.854 до 0.837. Это как раз соответ-
дат, Москва, 1975) [J. M. Eisenberg and W. Greiner,
ствует указанному энергетическому сдвигу и может
Nuclear Theory, Vol. 1 (North-Holland, Amsterdam,
свидетельствовать о необходимости введения в
1970)].
величину ζ зависимости от 〈nd〉. Кроме того, для
2.
A. S. Davydov and G. F. Fillipov, Nucl. Phys. 8, 237
ядра130Се после пересечения полос наблюдаются
(1958).
повышенные значения B(E2). Поэтому на рис. 6
3.
А. С. Давыдов, Возбужденные состояния атом-
для 130Се представлены два варианта расчета.
ных ядер (Атомиздат, Москва, 1967).
Первый, “th.1”, с традиционным способом расчета,
4.
V. V. Srtutinsky, ЯФ 3, 614 (1966)
[Sov. J. Nucl.
второй, “th.2”, с увеличенным протонным зарядом
Phys. 3, 449 (1966)].
в 1.3 раза больше для конфигураций, включающих
5.
D. R. Inglis, Phys. Rev. 97, 701 (1955).
высокоспиновые пары. Не исключено, что по
6.
K. Kumar, J. Phys. G.: Nucl. Phys. 4, 849 (1978);
мере заполнения нейтронной оболочки и при
Prog. Part. Nucl. Phys. 9, 233 (1983).
наличии высокоспиновой квазичастичной пары
7.
S. Beliaev and V. G. Zelevinsky, Nucl. Phys. 39, 582
h11/2 происходит перераспределение квазичастич-
(1962); Izv. AN SSSR. Ser. Fiz. 28, 127 (1964).
ных амплитуд D-фононов в сторону протонных
8.
B. Sorensen, Phys. Lett. 21, 683 (1966);
23, 274
компонент.
(1966); Nucl. Phys. A 97, 1 (1967); Phys. Lett. B
24, 328 (1967); Nucl. Phys. A 119, 65 (1968); Prog.
Наконец, в последнем и самом тяжелом из
Theor. Phys. 39, 1468 (1968); Nucl. Phys. A 142,
рассмотренных изотопов,132Се, пересечение по-
392, 411 (1970); 217, 505 (1973).
лос в соответствии с рис. 5 происходит при Iπ =
9.
T. Kishimoto and T. Tamura, Nucl. Phys. A 163, 100
= 10+. Экспериментальные же значения B(E2)
(1971); 192, 246 (1972); 270, 317 (1976).
показывают и подавленное значение для 8+ → 6+-
10.
T. Tamura, K. Weeks, and T. Kishimoto, Phys. Rev. C
перехода.
20, 307 (1979); Nucl. Phys. A 347, 359 (1980).
11.
K. J. Weeks and T. Tamura, Phys. Rev. C 22, 888,
1323 (1980).
5. ЗАКЛЮЧЕНИЕ
12.
K. J. Weeks, T. Tamura, T. Udagawa, and
F. J. W. Hahne, Phys. Rev. C 24, 703 (1981).
В работе представлена разработанная авто-
13.
Н. Марч, У. Янг, С. Сампантхар, Проблема многих
ром микроскопическая версия МВБ1, позволяю-
тел в квантовой механике (Мир, Москва, 1969)
щая рассчитывать ее параметры с использовани-
[N. H. March, W. H. Young, and S. Sampanthar,
ем сферического одночастичного базиса и оста-
The Many-Body Problem in Quantum Mechanics
точных межнуклонных взаимодействий. На основе
(Cambridge, Univ. Press, 1967)].
этой теории сделаны расчеты свойств состояний
14.
D. Janssen, R. V. Jolos, and F. Donau, Nucl. Phys. A
ираст-полос в шести наиболее легких и нейтронно-
224, 93 (1974).
дефицитных изотопах церия. Для наиболее лег-
15.
Р. В. Джолос, Ф. Дэнау, Д. Янсен, ТМФ 20, 112
ких из них значения B(E2; 2+1 → 0+1) оказываются
(1974) [R. V. Jolos, F. Donau, and D. Janssen, Theor.
больше 100 одночастичных единиц. Это говорит
Math. Phys. 20, 704 (1974)].
о том, что эти ядра относятся скорее к деформи-
16.
Р. В. Джолос, Ф. Дэнау, Д. Янсен, ТМФ 23, 374
рованным, нежели переходным, что дает основа-
(1975) [R. V. Jolos, F. Donau, and D. Janssen, Theor.
ние для применения данной теории для описания
Math. Phys. 23, 580 (1975)].
коллективных свойств состояний в традиционно
17.
Р. В. Джолос, Ф. Дэнау, В. Г. Картвенко, Д. Янссен,
деформированных ядрах. При этом было получе-
Препринты Р4-7223, P4-7533, ОИЯИ (Дубна,
но микроскопическое описание механизма пере-
1973).
сечения полос на основе учета связи большого
18.
A. Arima and F. Iachello, Phys. Rev. Lett. 35, 1069
числа d, bJ -бозонов положительной четности с
(1975); Ann. Phys. (N. Y.) 99, 253 (1976); 111, 201
Jπ = 0+-10+, т.е. включая высокоспиновые. При
(1978); 123, 468 (1979).
ЯДЕРНАЯ ФИЗИКА том 83
№5
2020
ТЕОРЕТИЧЕСКОЕ ВЫЧИСЛЕНИЕ ПАРАМЕТРОВ
401
19.
К. И. Ерохина, А. Д. Ефимов, И. Х. Лемберг,
34.
F. Iachello, G. Puddu, O. Scholten, A. Arima, and
В. М. Михайлов, ЯФ 41, 596 (1985) [K. I. Erokhina,
T. Otsuka, Phys. Lett. B 89, 1 (1979).
A. D. Efimov, I. Kh. Lemberg, and V. M. Mikhailov,
35.
G. Puddu, O. Scholten, and T. Otsuka, Nucl. Phys. A
Sov. J. Nucl. Phys. 41, 596 (1985)].
348, 109 (1980).
20.
D. D. Warner and R. F. Casten, Phys. Rev. Lett. 48,
36.
N. Turkan and I. Maras, Pramana 68, 769 (2007).
1385 (1982); Phys. Rev. C 28, 1798 (1983).
37.
R. K. Bhat, R. Devi, and S. K. Khosa, Braz. J. Phys.
21.
S. Pascu, N. V. Zamfir, Gh. C ˇata-Danil, and
33, 340 (2003).
N. M ˇarginean, Phys. Rev. C 81, 054321 (2010).
38.
J. F. Smith, V. Medina-Chico, C. J. Chiara,
22.
S. Tazaki, K. Takada, K. Kaneko, and F. Sakata, Prog.
M. P. Carpenter, C. N. Davids, M. Devlin,
Theor. Phys. Suppl. 71, 123 (1981).
J. L. Durell, D. B. Fossan, S. J. Freeman,
23.
А. Д. Ефимов, В. М. Михайлов, Изв. АН
R. V. F. Janssens, D. R. LaFosse, M. J. Leddy,
СССР. Сер. физ. 56, 57 (1992)
[A. D. Efimov
P. Reiter, D. G. Sarantites, D. Seweryniak,
and V. M. Mikhajlov, Bull. Russ. Acad. Sci. Phys. 56,
K. Starosta, R. Wadsworth, A. N. Wilson, and
96 (1992)].
J. N. Wilson, Phys. Rev. C 69, 034339 (2004).
24.
A. Gelberg and A. Zemel, Phys. Rev. C 22, 937(R)
39.
R. Devi, B. D. Sehgal, S. K. Khosa, and J. A. Sheikh,
(1980).
Phys. Rev. C 72, 064304 (2005).
25.
N. Yoshida, A. Arima, and T. Otsuka, Phys. Lett. B
40.
J. F. Smith, C. J. Chiara, M. P. Carpenter,
114, 86 (1982).
H. J. Chantler, P. T. W. Choy, C. N. Davids,
26.
A. D. Efimov and V. M. Mikhajlov, Phys. Rev. C 59,
M. Devlin, J. L. Durell, D. B. Fossan, S. J. Freeman,
3153 (1999).
R. V F. Janssens, N. S. Kelsall, T. Koike,
27.
T. Marumori, K. Takada, and F. Sakata, Prog. Theor.
D. R. LaFosse, E. S. Paul, P. Reiter, D. G. Sarantites,
Phys. Suppl. 71, 1 (1981).
D. Seweryniak, K. Starosta, R. Wadsworth,
28.
А. Д. Ефимов, В. М. Михайлов, Изв. РАН. Сер.
A. N. Wilson, and P.-H. Heenen, Phys. Lett. B
физ.
73,
808
(2009)
[A. D. Efimov and
625, 203 (2005).
V. M. Mikhajlov, Bull. Russ. Acad. Sci. Phys.
41.
R. C. Nayak and S. Pattnaik, Int. J. Mod. Phys. E 24,
73, 760 (2009)].
1550091 (2015).
29.
Brookhaven
National
Laboratory,
42.
C. M. Petrache, G. Lo Bianco, P. G. Bizzeti,
National
Nuclear
Data Center (online),
A. M. Bizzeti-Sona, D. Bazzacco, S. Lunardi,
M. Nespolo, G. de Angelis, D. R. Napoli, N. Blasi,
S. Brant, and D. Vretenar, Eur. Phys. J. A 16, 337
30.
А. Д. Ефимов, В. М. Михайлов, Изв. РАН. Сер.
(2003).
физ.
82,
1395
(2018)
[A. D. Efimov and
43.
A. Bohr and B. Mottelson, Nuclear Structure
V. M. Mikhajlov, Bull. Russ. Acad. Sci. Phys.
(Benjamin, New York, 1975), Vol. 2.
82, 1266 (2018)].
44.
V. I. Isakov, K. I. Erokhina, H. Mach, M. Sanchez-
31.
А. Д. Ефимов, В. М. Михайлов, Изв. РАН. Сер.
Vega, and B. Fogelberg, Eur. Phys. J. A 14, 29 (2002).
физ.
83,
1244
(2019)
[A. D. Efimov and
45.
A. D. Efimov and V. M. Mikhajlov, EPJ Web Conf. 38,
V. M. Mikhajlov, Bull. Russ. Acad. Sci. Phys.
17005 (2012).
83, 1136 (2019)].
46.
A. D. Efimov and V. M. Mikhajlov, EPJ Web Conf.
32.
А. Д. Ефимов, В. М. Михайлов, Изв. РАН. Сер.
107, 03013 (2016).
физ.
80,
986
(2016)
[A. D. Efimov and
47.
А. Д. Ефимов, В. М. Михайлов, Изв.
V. M. Mikhajlov, Bull. Russ. Acad. Sci. Phys.
РАН. Сер. физ. 77,
948
(2013) A. D. Efimov
80, 898 (2016)].
and V. M. Mikhajlov, Bull. Russ. Acad. Sci. Phys. 77,
33.
G.-O. Xu and J.-Y. Zhang, Nucl. Phys. A 343, 189
862 (2013)].
(1980).
DESCRIPTION OF YRAST-BANDS IN EVEN ISOTOPES Ce
A. D. Efimov1),2)
1)Admiral Makarov State University of Maritime and Inland Shipping, Russia
2)Ioffe Institute, St.-Petersburg, Russia
An expanded microscopicversion of the interacting boson model is developed. On its base, the properties of
the states of yrast-bands in even Ce isotopes up to spins Iπ = 18+ were studied. These spin values include
those at which the bands are crossing. The model parameters are calculated using the average spherical
potential and residual multipole forces. The model was expanded by taking into account the high-spin pairs
of quasiparticles, which made it possible to obtain a satisfactory description of the energies and values of
B(E2) without introducing effective charges. This study is a continuation of a similar consideration of the
properties of low-lying collective states in even isotopes Xe and Ba.
ЯДЕРНАЯ ФИЗИКА том 83
№5
2020