ЯДЕРНАЯ ФИЗИКА, 2021, том 84, № 2, с. 124-129
ЭЛЕМЕНТАРНЫЕ ЧАСТИЦЫ И ПОЛЯ
ИЗУЧЕНИЕ ПРОЦЕССА РОЖДЕНИЯ ОТРИЦАТЕЛЬНЫХ ПИОНОВ
В pn-СОУДАРЕНИЯХ В ОБЛАСТИ НАЧАЛЬНЫХ ИМПУЛЬСОВ
1140-1670 МэВ/с
©2021 г. В. В. Саранцев1), С. Г. Шерман1), В. А. Никонов1), А. В. Саранцев1)*
Поступила в редакцию 11.08.2020 г.; после доработки 15.09.2020 г.; принята к публикации 15.09.2020 г.
Представлены дифференциальные спектры конечных частиц реакции pn → ppπ-, полученные при
девяти энергиях на пузырьковой камере, наполненной дейтерием. Cпектры сравниваются с резуль-
татами парциально-волнового анализа данных, полученных с непрерывным пучком нейтронов на
протонной мишени. На основе этого анализа нами был проведен совместный парциально-волновой
анализ данных по протон-нейтронным, нейтрон-протонным и протон-протонным столкновениям. Это
позволило определить вклады как изовекторных, так и изоскалярных парциальных волн с точностью,
значительно превышающей полученные ранее значения.
DOI: 10.31857/S0044002721020136
1. ВВЕДЕНИЕ
и по рождению пионов в протон-протонных столк-
новениях.
Столкновения протонов и нейтронов являются
В настоящем исследовании мы выполнили
базовыми реакциями сильных взаимодействий, и
парциально-волновой анализ данных по pn →
детальное знание всех свойств этих реакций —
→ ppπ--реакции, полученных в pd-взаимодейст-
одна из важнейших задач физики частиц. Упругое
виях при девяти энергиях налетающего протона в
столкновение изучено с высокой точностью и
области ниже 1 ГэВ. На первом этапе мы сравнили
в широком интервале энергий. Однако свой-
эти данные с результатами парциально-волнового
ства неупругих процессов известны относитель-
анализа, выполненного нами ранее для данных,
но слабо. Одиночное рождение пионов в NN-
полученных для непрерывного пучка нейтронов [1]
столкновениях является основным неупругим
и данных по рождению π0- и π+-мезонов в pp-
процессом при энергиях ниже 1 ГэВ. При этом,
столкновениях, как полученные нами [2, 3], так
если вклад изовекторных амплитуд, которыми
и полученные при импульсе 950 МэВ/с [4]. На
определяется реакция рождения пиона в протон-
втором этапе мы включили данные по протон-
протонных соударениях, известен довольно хоро-
дейтронному столкновению в нашу базу данных и
шо, вклад изоскалярных (T = 0) парциальных волн
провели полный совместный анализ всех указан-
в рождение пиона при столкновении протона и
ных выше реакций.
нейтрона известен сравнительно плохо. Нейтрон-
протонная амплитуда рассеяния содержит как
2. ЭКСПЕРИМЕНТ И ОТБОР ДАННЫХ
изовекторную (T = 1), так и изоскалярную (T = 0)
Эксперимент был выполнен на синхроцикло-
части. По существующим оценкам вклад изоска-
лярного сечения на порядок величины меньше
троне ПИЯФ с использованием 35-см пузырь-
ковой камеры, находящейся в магнитном поле
вклада, определяемого изовекторными амплиту-
14.8 кГс. Уменьшение энергии первичного выве-
дами. Таким образом выделение изоскалярных
денного 1 ГэВ протонного пучка достигалось с
амплитуд, которые интерферируют с изовектор-
помощью медного поглотителя соответствующей
ными амплитудами, является довольно деликатной
толщины. Пучок протонов после поглотителя фор-
задачей, при которой детальное знание больших
мировался тремя поворотными магнитами и восе-
изовекторных амплитуд играет важнейшую роль.
мью квадрупольными линзами. Величина импульса
Это определяет необходимость проведения од-
устанавливалась по токам в поворотных магнитах в
новременного анализа данных как по рождению
соответствии с калибровкой нитью с током. Кроме
пионов в протон-нейтронных столкновениях, так
того, начальный импульс проверялся по измерени-
1)Национальный исследовательский центр “Курчатовский
ям кривизны треков и последующей кинематике со-
институт”— ПИЯФ, Гатчина, Россия.
бытий упругого pd-рассеяния. Точность определе-
*E-mail: andsar@hiskp.uni-bonn.de
ния импульса падающих на камеру протонов была
124
ИЗУЧЕНИЕ ПРОЦЕССА РОЖДЕНИЯ ОТРИЦАТЕЛЬНЫХ ПИОНОВ
125
Таблица 1. Значения импульсов налетающих протонов (МэВ/с) и число событий реакции pn → ppπ- при каждом
импульсе
Импульс пучка
1140
1217
1292
1348
1380
1438
1508
1562
1671
Число событий
266
305
703
944
773
908
700
1139
1128
1671 МэВ/с
1562 МэВ/с
1508 МэВ/с
5
5
5
0
0
0
1438 МэВ/с
1380 МэВ/с
1348 МэВ/с
5.0
5.0
5
2.5
2.5
0
0
0
1292 МэВ/с
4
1217 МэВ/с
1140 МэВ/с
5.0
2
2.5
2
0
0.25
0.50
0
0.25
0.50
0
0.25
0.50
PΠ, ГэВ/с
PΠ, ГэВ/с
PΠ, ГэВ/с
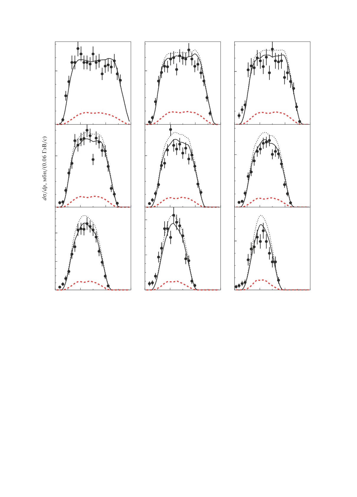
Рис. 1. Распределение по импульсу π--мезона для событий реакции pn → ppπ- в лабораторной системе координат.
Темные кружки — эксперимент, сплошные кривые — результаты парциально-волнового анализа, точечные — результа-
ты парциально-волнового анализа из работы [1], штриховые — вклады изоскалярного сечения (T = 0). Распределения
показаны для девяти значений импульса первичных протонов.
±2 МэВ/с. Среднеквадратичный разброс импульса
графий, плотность облучения составляла в среднем
пучка составлял 4-5%. Примесь в падающем пучке
12-15 треков на кадр. В результате просмотра
более тяжелых частиц (d, t, He) определялась по
отбирались события с отрицательным и двумя или
времени пролета и оказалась пренебрежимо малой.
тремя положительными треками. Эффективность
Всего было получено около 400000 стереофото- двойного просмотра составляла 99%. Отобранные
ЯДЕРНАЯ ФИЗИКА том 84
№2
2021
126
САРАНЦЕВ и др.
2
2
2
1671 МэВ/с
1562 МэВ/с
1508 МэВ/с
0
0
0
2
2
2
1438 МэВ/с
1380 МэВ/с
1348 МэВ/с
0
0
0
2
2
1
1
1
1292 МэВ/с
1217 МэВ/с
1140 МэВ/с
0
0.5
1.0
1.5
0
0.5
1.0
1.5
0
0.5
1.0
1.5
Pp, ГэВ/с
Pp, ГэВ/с
Pp, ГэВ/с
Рис. 2. Распределениепо импульсупротонадля событийреакции pn → ppπ- в лабораторнойсистемекоординат. Темные
кружки — эксперимент, обозначения кривых те же, что на рис. 1.
события могли принадлежать следующим реак-
ПУОС. Идентификация каналов реакций основы-
циям:
валась на использовании величин χ2 для каждого
pd → pppπ-,
(1)
конкретного события на 1%-ном доверительном
pd → pppπ-π0,
(2)
уровне. Если значения χ2 для двух гипотез попа-
дали в свой доверительный интервал, то для иден-
pd → ppnπ-π+,
(3)
тификации положительной частицы привлекалась
pd → pdπ+π-.
(4)
визуальная оценка ионизации, которая позволя-
ла принять окончательное решение относительно
Трехлучевые события в интересующей нас реак-
физической гипотезы события. Стандартная для
ции соответствуют случаю, когда протон является
пузырьковых камер процедура использовалась для
спектатором, имеет импульс менее 80 МэВ/с и
получения абсолютных значений сечений рожде-
потому не виден в пузырьковой камере. События
ния отрицательного пиона. Точность определения
с рождением далитц-пар отделялись по кинемати-
миллибарн-эквивалента была 2%. Кроме того, вво-
ческим и ионизационным критериям. Все события,
находящиеся в полезном объеме камеры и пригод-
дились поправки на учет ферми-импульса нейтрона
ные для измерений, измерялись на полуавтоматах
в дейтроне и принципа Паули для тождественных
ЯДЕРНАЯ ФИЗИКА том 84
№2
2021
ИЗУЧЕНИЕ ПРОЦЕССА РОЖДЕНИЯ ОТРИЦАТЕЛЬНЫХ ПИОНОВ
127
2
2
1
1
1
1671 МэВ/с
1562 МэВ/с
1508 МэВ/с
0
0
0
1
1
1
1438 МэВ/с
1348 МэВ/с
1380 МэВ/с
0
0
0
1.0
0.4
0.5
0.5
0.2
1292 МэВ/с
1217 МэВ/с
1140 МэВ/с
0
0
0
−1
0
1
−1
0
1
−1
0
1
cosΘΠ
cosΘΠ
cosΘΠ
Рис. 3. Угловое распределениеπ--мезонов в системе центра масс реакции. Темные кружки — эксперимент,обозначения
кривых те же, что на рис. 1.
протонов [5]. В табл. 1 приведены значения им-
нако в обоих случаях предсказания заметно пре-
пульсов налетающих на камеру протонов и число
вышают данные в максимуме распределений. По-
событий реакции pn → ppπ- при каждом импуль-
видимому, это связано с превышением определе-
се.
ния полного сечения реакции нейтрон-протонного
столкновения, которое довольно трудно контро-
лировать в реакции с непрерывным пучком ней-
3. АНАЛИЗ ДАННЫХ
тронов. На рис. 3 представлены угловые распре-
На рис. 1, 2 представлены экспериментальные
деления π--мезонов конечного состояния в c.ц.м.
распределения по импульсам конечных частиц ре-
реакции вместе с результатами вышеупомянутого
акции pn → ppπ- в лабораторной системе коор-
парциально-волнового анализа. Именно асиммет-
динат при девяти импульсах налетающих прото-
рия этих распределений ответственна за интерфе-
нов. В качестве событий указанной реакции бра-
ренцию изоскалярных и изовекторных амплитуд.
лись события реакции (1) с импульсом протона-
Хотя форма распределений, включая асимметрию,
спектатора, меньшим 150 МэВ/с. Решение для
предсказывается с хорошей точностью, однако и
парциальных волн, полученное при анализе дан-
здесь наблюдается систематическое превышение
ных [1], довольно неплохо предсказывает эти рас-
предсказаний над экспериментальными данными.
пределения (см. точечные линии на рис. 1, 2). Од-
Мы не приводим здесь угловое распределение про-
ЯДЕРНАЯ ФИЗИКА том 84
№2
2021
128
САРАНЦЕВ и др.
Вклады парциальных волн, %
тонов, так как эти распределения симметричны [1]
и не представляют особого интереса.
14
Уменьшение сечения реакции протон-нейтронного
соударения связано главным образом с измене-
12
ниями изоскалярных амплитуд. При изменении
полного вклада и при сохранении асимметрии
распределения пионов можно ожидать переоцен-
10
ки вкладов различных парциальных волн. Для
выделения изоскалярных амплитуд мы провели
совместный парциально-волновой анализ новых
8
1P1
данных с данными, приведенными в статье [1].
Формализм приводится в деталях в [6-8] и основан
6
на спин-орбитальном разложении начальных и
конечных парциально-волновых амплитуд. В связи
с этим было естественно использовать спектро-
4
скопические обозначения
2S+1LJ для двухча-
стичных парциальных волн с внутренним спином
S, орбитальным моментом L и полным спином
2
3S1
3D1
J. Для описания энергетической зависимости в
πN-системе вводились резонансы Δ(1232)3/2+
0
и Ропер N(1440)1/2+ , и для описания NN-
1100
1200
1300
1400
1500
1600
p, МэВ/с
взаимодействия использовалось модифицирован-
ное приближение эффективной длины рассеяния.
Конкретные формулы можно найти в [1]. Кроме
Рис.
4. Вклады (в процентах)
наиболее важных
того, мы включили в анализ новые данные по
изоскалярных волн в pn → ppπ-.
pp неупругим реакциям с рождением π0- и π+-
мезонов, опубликованные в [9-11] и измеренные
при импульсах налетающего протона 1581, 1628
и
1683
МэВ/с. Это позволило лучше опреде-
лить вклады изовекторных состояний на высо-
Вклады парциальных волн, %
коэнергичной границе исследуемого интервала —
60
нестабильные вклады амплитуд с высокими спи-
нами фиксируются этими данными. Результаты
3P2
такого совместного фита показаны на рисунках
сплошными кривыми. Хорошо видно улучше-
50
ние соответствия экспериментальных данных и
парциально-волнового анализа. Это система-
тическое улучшение отражено в изменении χ2,
40
которое уменьшилось с 3.64 до 2.52 на степень
свободы для 473 фитируемых точек. При этом
описание дифференциальных сечений, полученных
30
в измерениях с непрерывным пучком нейтронов,
3P1
практически не изменилось: функция правдопо-
добия ухудшилась только на 30 для 8155 точек.
20
В то же время полное сечение уменьшилось на
величину 5-6%, что и позволило описать новые
данные. Вклад изоскалярных амплитуд показан
3F2
3P0
штриховыми кривыми и является существенно
10
1
меньшим вклада изовекторных. На рис. 4 и 5
D2
представлены вклады различных изовекторных и
изоскалярных амплитуд в реакцию pn → ppπ- в
0
1100
1200
1300
1400
1500
1600
1700
зависимости от энергии налетающего пучка.
p, МэВ/с
4. ЗАКЛЮЧЕНИЕ
Рис. 5. Вклады (в процентах) наиболее важных изо-
Мы провели сравнение новых эксперименталь-
векторных волн.
ных данных по рождению отрицательных пионов в
ЯДЕРНАЯ ФИЗИКА том 84
№2
2021
ИЗУЧЕНИЕ ПРОЦЕССА РОЖДЕНИЯ ОТРИЦАТЕЛЬНЫХ ПИОНОВ
129
pn-столкновениях с парциально-волновым анали-
S. G. Sherman, G. L. Sokolov, and A. B. Sokornov,
зом, выполненным ранее с использованием данных,
Phys. Rev. C 50, 15 (1994).
3. V. V. Sarantsev et al., Eur. Phys. J. A 21, 33 (2004).
полученных с непрерывным пучком нейтронов. До-
бавление новых экспериментальных данных в об-
4. The COSY-TOF Collab. (S. A. El-Samad et al.),
Eur. Phys. J. A 30, 443 (2006).
щий фит позволило уточнить вклады различных
5. Л. Г. Дахно, А. В. Кравцов, Е. А. Лобачёв,
парциальных волн, в особенности вклад изоска-
М. М. Макаров, В. И. Медведев, Г. З. Обрант,
лярных амплитуд. Данные и результаты анализа
В. И. Поромов, В. В. Саранцев, В. М. Сирин,
удовлетворительно согласуются, подтверждая ма-
Г. Л. Соколов, С. Г. Шерман, ЯФ 36, 143 (1982)
лый вклад (менее 12%) изоскалярных парциальных
[Sov. J. Nucl. Phys. 36, 83 (1982)].
волн в области энергий ниже 1 ГэВ.
6. A. V. Anisovich, E. Klempt, A. V. Sarantsev, and
В заключение мы хотели бы выразить призна-
U. Thoma, Eur. Phys. J. A 24, 111 (2005).
тельность команде пузырьковой камеры, благодар-
7. A. V. Anisovich and A. V. Sarantsev, Eur. Phys. J. 30,
ность А.Б. Сокорнову и лаборантам, которые вы-
427 (2006).
полнили просмотр снимков и измерение событий.
8. A. V. Anisovich, V. V. Anisovich, E. Klempt,
Работа В.А. Никонова и А.В. Саранцева выполне-
V. A. Nikonov, and A. V. Sarantsev, Eur. Phys. J. A
на в рамках гранта РНФ 16-12-10267-П.
34, 129 (2007).
9. K. N. Ermakov, V. I. Medvedev, V. A. Nikonov,
O. V. Rogachevsky, A. V. Sarantsev, V. V. Sarantsev
СПИСОК ЛИТЕРАТУРЫ
and S. G. Sherman, Eur. Phys. J. A 50, 98 (2014).
10. K. N. Ermakov, V. I. Medvedev, V. A. Nikonov,
1. V. V. Sarantsev, K. N. Ermakov, L. M. Kochenda,
O. V. Rogachevsky, A. V. Sarantsev, V. V. Sarantsev,
V. I. Medvedev, V. A. Nikonov, O. V. Rogachevsky,
and S. G. Sherman, Eur. Phys. J. A 47, 159 (2011).
A. V. Sarantsev, S. G. Sherman, V. A. Trofimov, and
11. K. N. Ermakov, V. A. Nikonov, O. V. Rogachevsky,
A. A. Vasiliev, Eur. Phys. A 43, 11 (2010).
2. V. P. Andreev, A. V. Kravtsov, M. M. Makarov,
A. V. Sarantsev, V. V. Sarantsev, and S. G. Sherman,
V. I. Medvedev, V. I. Poromov, V. V. Sarantsev,
Eur. Phys. J. A 53, 122 (2017).
STUDY OF THE NEGATIVE PION PRODUCTION IN THE pn COLLISION
REACTION MEASURED IN THE BEAM MOMENTA INTERVAL
1140-1670 MeV/c
V. V. Sarantsev, S. G. Sherman, V. A. Nikonov, and A. V. Sarantsev
National Research Center “Kurchatov Institute” — PNPI, Gatchina 188300, Russia
The spectra of the final particles from the pn → ppπ- reaction measured at the nine energies in the
deuterium bubble chamber are presented. The obtained spectra are compared with the predictions from
the partial-wave analysis performed earlier for the np → ppπ- data measured in the same energy region
but for the continue neutron beam. On the base of this analysis we have made the combined analysis which
includes the new date on the proton-neutron collision and the old data on the neutron-proton and the
proton-proton collisions. It allows us to determine the contributions from the isovector and the isoscalar
amplitudes with the notably better precision than earlier.
ЯДЕРНАЯ ФИЗИКА том 84
№2
2021