ЯДЕРНАЯ ФИЗИКА, 2022, том 85, № 2, с. 159-170
ЭЛЕМЕНТАРНЫЕ ЧАСТИЦЫ И ПОЛЯ
ЛЕПТОННЫЕ ШИРИНЫ РАСПАДОВ СОСТАВНОЙ СИСТЕМЫ
ДВУХ РЕЛЯТИВИСТСКИХ ФЕРМИОНОВ РАВНЫХ МАСС
© 2022 г. Ю. Д. Черниченко1),2)*
Поступила в редакцию 15.06.2021 г.; после доработки 18.10.2021 г.; принята к публикации 18.10.2021 г.
Получено новое релятивистское квазиклассическое выражение для лептонных ширин распадов век-
торных мезонов как составной системы двух кварков равных масс, взаимодействующих посредством
воронкообразного потенциала. Проведено сравнение нового выражения с его нерелятивистским бес-
спиновым и релятивистскими спиновым и бесспиновым аналогами. Выполнен анализ влияния спинов
кварков равных масс, образующих векторные мезоны, на поведение их лептонных ширин распадов.
Исследование проведено в рамках релятивистского квазипотенциального подхода, основанного на
ковариантной гамильтоновой формулировке квантовой теории поля, путем перехода от импульсной
формулировки в пространстве Лобачевского к трехмерному релятивистскому конфигурационному
представлению для случая составной системы двух релятивистских спиновых частиц равных масс.
DOI: 10.31857/S0044002722020052
1. ВВЕДЕНИЕ
где αs — сильная константа связи, было получено
в работах [6, 7]. Их результат дается выражением
Квадрат модуля функции Бете-Солпитера
двух заряженных частиц χBS(x) в двухчастичном
m2
dEn
|ψnrn,ℓ=0(0)|2 =
F (vnrn)vnr
,
(3)
приближении для s-состояния (ℓ = 0) при x =
4π2
n dn
= (x0, r) = 0, а следовательно, при относительном
где фактор
времени x0 = 0, связан с лептонной шириной
(
)]-1
распада Γn,ℓ=0(e+e-) для 1--состояния [1] (см.
παs [
παs
F (v) =
1 - exp
-
(4)
также работы [2-5]) выражением:
v
v
2
является нерелятивистским кулоновским S-фак-
|χBS(x = 0)|
√
Γn,ℓ=0(e+e-) = 16πα2e2
,
(1)
q
ℓ=0
тором, vnrn =
En/m — нерелятивистская ско-
M2n
рость свободного кварка с массой m и кинетиче-
где α — постоянная тонкой структуры, eq — заряд
ской энергией En/2 для данного уровня n, причем
кварка в единицах электрического заряда e, Mn —
для простоты Vconf(0) = 0. Выражение (3) справед-
полная энергия для данного уровня n связанного
ливо как при En > 0, En < 0, так и при отсутствии
состояния двух частиц (кварков) в с.ц.и. с массами
кулоновского взаимодействия (2) [8, 9]: F (v) = 1
m1 и m2 и относительным 3-импульсом p, т.е.
при αs = 0.
e+e-(или qq)-системы.
Релятивистский аналог нерелятивистского вы-
В нерелятивистском случае в ВКБ-приближе-
ражения (3) был получен в работе [1]. Развитый
нии выражение для квадрата модуля нерелятивист-
в [1] подход базируется на решении релятивист-
ской волновой функции в нуле для состояния с ℓ =
ским ВКБ-методом модифицированного уравне-
= 0, |ψnrn,ℓ=0(0)|2, отвечающей нерелятивистскому
ния Бете-Солпитера, не зависящего от относи-
уравнению Шредингера для случая двух частиц
тельного времени x0. Это означает выполнение
равных масс с несингулярным в нуле потенциалом
следующих предположений (одновременное вза-
запирания Vconf(r) путем добавления к нему куло-
имодействие): фоковское qq-состояние дает до-
новского взаимодействия
минирующий вклад в функцию Бете-Солпитера
αs
в области r > m-1; qq-взаимодействие адекватно
VCoul(r) = -
,
(2)
r
описывается одновременным кулоновским взаи-
модействием (2); возможные (дальнего порядка)
1)Гомельскийгосударственныйтехническийуниверситетим.
спин-зависимые эффекты игнорируются. При этих
П.О. Сухого, Гомель, Беларусь.
предположениях доминирующий вклад в функцию
2)Международный центр перспективных исследований,
ГГТУ, Гомель, Беларусь.
Бете-Солпитера для s-состояния при x0 = 0 в об-
*E-mail: chyud@mail.ru;chern@gstu.by
ласти r ≫ m-1 дает решение одновременного урав-
159
160
ЧЕРНИЧЕНКО
нения Солпитера для qq-системы, χBS(0, r)|ℓ=0 =
по полной и ортогональной системе функций
= Ψreln,ℓ=0(r). Релятивистский аналог для выраже-
(k0 -k·n)-1-ir/λ
ния (3) в этом случае принимает вид (ℏ = c =
ξ(k, r) =
,
(7)
m
= 1, Vconf(0) = 0)
которые выполняют роль “плоских” волн в про-
M2n
dMn
|Ψreln,ℓ=0(0)|2 =
F (vn)vn
,
(5)
странстве Лобачевского, где λ = ℏ/mc — комп-
16π2
dn
тоновская длина волны релятивистской частицы
где
массы m. Эти функции соответствуют главной
√
серии унитарных неприводимых представлений
2
4m
группы Лоренца и в нерелятивистском пределе
v=
1-
(6)
M2
(|k| ≪ ℏ/λ, r ≫ λ)ξ(k, r) → exp(ik · r). При этом
волновые РКП-функции в импульсном простран-
— релятивистская скорость свободного кварка с
стве, ΨMQ (k), и в трехмерном релятивистском
массой m, M = 2m + E, а кулоновский S-фактор
по-прежнему определяется выражением (4). Вы-
r-представлении, ψMQ (r), связаны через реляти-
ражение (5) справедливо как при Mn > 2m, так
вистские “плоские” волны (7) преобразованием
и при Mn < 2m, а при отсутствии кулоновского
Шапиро [22]
взаимодействия (2) (αs = 0) оно переходит в выра-
∫
1
жение, полученное ранее в работах [10, 11]3).
ψMQ(r) =
dΩk ξ(k, r)ΨMQ (k),
(8)
(2π)3
∫
Иной подход для нахождения лептонных ширин
ΨMQ(k) = drξ∗(k,r)ψM
(r).
распадов векторных мезонов основан на примене-
Q
нии релятивистского квазипотенциального (РКП)
подхода Логунова-Тавхелидзе в квантовой теории
Возможность применимости формулы (1) для опи-
поля [13]. В настоящей работе используется тот
сания лептонных ширин распадов векторных мезо-
вариант РКП-подхода [14] к задаче о составной
нов в рамках РКП-подхода обусловлена тем, что
системе двух релятивистских спиновых частиц, ко-
функция Бете-Солпитера при x = 0 для случая
торый основан на гамильтоновой формулировке
взаимодействия двух релятивистских частиц рав-
квантовой теории поля [15]. При этом важно, что
ных масс m будет, в отличие от нерелятивистского
трехмерность в нее заложена с самого начала, а
случая и подхода, предложенного в работах [1,
все частицы даже в промежуточных состояниях
10, 11], связана с волновыми РКП-функциями в
являются физическими, т.е. лежат на массовых
импульсном пространстве, ΨMQ (k), и в трехмер-
поверхностях. Тем самым двухчастичная задача
ном релятивистском r-представлении, ψMQ (r), не
сводится к одночастичной, описание которой ве-
в нуле, как это делалось в работах [23, 24], а
дется на языке волновой РКП-функции одной ре-
в соответствии с преобразованием Шапиро (8),
лятивистской частицы, удовлетворяющей полно-
содержащем релятивистские “плоские” волны (7),
стью ковариантному трехмерному РКП-уравнению
при r = iλ следующим соотношением:4)
в импульсном пространстве с квазипотенциалом
(см., например, работы [16-20]). При этом квази-
χBS(x = 0) =
(9)
∫
потенциал в общем случае параметрически зависит
1
от энергии составной системы и не является эр-
=
dΩkΨMQ(k) = lim
ψMQ(r).
(2π)3
r→iλ
митовым [20], а вся особенность, как и в нереля-
тивистской теории, которую вносит спин в волно-
Здесь dΩk = mc2dk/Ek — релятивистский трех-
вую РКП-функцию составной системы, является
мерный элемент объема в пространстве Лобачев-
следствием зависимости квазипотенциала от спи-
ского, которое реализуется на верхней пол ´е массо-
на. Кроме того, РКП-подход [14] для случая взаи-
вого гиперболоида
модействия двух релятивистских спиновых частиц
равных масс m1 = m2 = m позволяет перейти от
E2q - c2q2 = m2c4,
импульсной формулировки в пространстве Лоба-
√
чевского к трехмерному релятивистскому конфи-
Eq = q0 = c
m2c2 + q2 — энергия релятивист-
гурационному представлению (r-представление),
ской частицы с массой m и 3-импульсом q и
введенному в [21]. Для этого вместо обычного
фурье-преобразования используется разложение
4)Напомним, что в рамках рассматриваемого РКП-подхода
как модуль радиуса-вектора r, так и 3-импульс k реляти-
3)Такое же соотношение для релятивистского случая ранее
вистской частицы являются релятивистскими инвариан-
было предложено, но не доказано, в работе [12].
тами [21].
ЯДЕРНАЯ ФИЗИКА том 85
№2
2022
ЛЕПТОННЫЕ ШИРИНЫ РАСПАДОВ
161
√
k0p0 - k · p
связана с полной энергией MQ в с.ц.и. соотноше-
Δ0 = (Λ-1pk)0 =
=
m2 + Δ2.
нием [21]
m
Таким образом, авторы в [24] ограничились учетом
√s = MQ = 2c√m2c2 + q2 = 2Eq.
лишь кулоновской части образа однобозонного об-
Таким образом, соотношение (9) обеспечивает пра-
менного потенциала, опуская функцию cth(πmr),
которая существенно меняется только на рассто-
вильную связь между функцией Бете-Солпитера
яниях порядка λ = 1/m от начала координат, и,
и волновыми РКП-функциями в импульсном
пространстве и в трехмерном релятивистском r-
следовательно, не влияет на вид спектра. Более
представлении.
того, замена кулоновской части образа однобозон-
ного обменного потенциала Vc(r) = - cth(πmr)/r
Модификация формулы (1) для лептонной ши-
на кулоновоподобный хромодинамический потен-
рины распада векторного мезона с полной энергией
циал (2) уместна, поскольку, как было отмечено
Mn < 2mc2 и в состоянии с ℓ = 0 на лептон-
в работе [26], потенциалу (2) в РКП-подходе в
антилептонную пару в рамках РКП-подхода [14]
импульсном пространстве Лобачевского соответ-
для случая взаимодействия двух релятивистских
ствует выражение
бесспиновых частиц равных масс m посредством
1
потенциала V (r) = -αs/r + σrs (σ, s > 0) была
Vc(χΔ) ∼ -
,
выполнена в работе [23]. РКП-уравнение с таким
χΔ sh χΔ
потенциалом было решено релятивистским ана-
где относительная быстрота χΔ параметризиру-
логом модифицированного ВКБ-метода [25], что
ет 3-вектор передачи импульса Δ = m sh χΔnΔ
приводит к следующему выражению для лептонной
(|nΔ| = 1) в пространстве Лобачевского и связа-
ширины распада векторного мезона в s-состоянии:
на с квадратом переданного 4-импульса t = (k -
Γn,ℓ=0(e+e-) =
(10)
- p)2 = -Q2 соотношением
16πα2e2q
Q2 = -t = -2m2 +
(11)
=
ψM
(0)2
=
√
Q
ℓ=0
M2n
+ 2m
m2 + Δ2 = 2m2 (ch χΔ - 1) .
mαs
dMn
=α2e2
×
При больших Q2 согласно выражению (11) χΔ ≈
q
πℏ3M2n dn
≈ ln(Q2/m2) и, следовательно, потенциа
Vc(χΔ)
(
)
αs
2
ведет себя как [(Q/m)2 ln(Q/m)2]-1, что воспро-
×F
1-
, 1; 2; 1 - e-2iκn
,
2sin κn
изводит главное поведение потенциала в КХД,
который в лидирующем порядке пропорционален
где αs = αs/ℏc, κn = arccos(Mn/2mc2), а F(a,b;
αs(Q2)/Q2, где αs(Q2) — инвариантный заряд.
c; z) — гипергеометрическая функция.
Такое КХД-подобное поведение квазипотенциа-
В случае обмена безмассовым векторным бозо-
ла (2) в РКП-подходе впервые было отмечено в
ном (глюоном) квазипотенциал представляет собой
работе [26]. В принятых в [24] предположениях
фейнмановский матричный элемент, содержащий
РКП-выражение для лептонных ширин распадов
векторных мезонов с относительным орбитальным
все спиновые эффекты, который был подробно
моментом ℓ ≥ 0 удобно выразить через гипергео-
исследован в r-представлении в работах [24]. В
метрическую функцию:
этих работах в рамках РКП-подхода [14] в ВКБ-
приближении были найдены выражения для леп-
тонных ширин распадов векторных и псевдоска-
16πα2e2q
Γn,ℓ(e+e-) =
ψM
(0)2 =
(12)
лярных мезонов в предположении, что квазипотен-
Q
M2n
циал является действительным и представляет со-
бой комбинацию кулоновской части однобозонного
2α2e2qΓ4(ℓ + 1) (2 sh χn)2ℓ+1 e-2χn(ℓ+1)
=
×
обменного потенциал
Vc(Δ) = -g2V m2/κ2, кото-
πλ3mc2Γ2(2ℓ + 2)M2n
(
рому в r-представлении отвечает его образ Vc(r) =
iαs
= -cth(πmr)/r (ℏ = c = 1), и потенциала запира-
× LRQP (χn)
ℓ+1-
,ℓ + 1;
F
√
2sh χn
ния, где κ = Δ
m/2(Δ0 + m) — полупередача
)
2 dMn
импульса, выраженная через 3-вектор передачи
2ℓ + 2; 1 - e-2χn
,
импульса Δ в пространстве Лобачевского, свя-
dn
занного с импульсами k и p преобразованиями
где χn = arch(Mn/2mc2), а факторы
Лоренца:
[
]
(
)2
(
)
∏
α
s
p
k·p
LRQP(χ) =
1+
SRQP(χ),
(13)
Δ = k(-)p = Λ-1pk = k -
k0 -
,
2n sh χ
m
p0
+m
n=1
ЯДЕРНАЯ ФИЗИКА том 85
№2
2022
162
ЧЕРНИЧЕНКО
XRQP(χ)
а релятивистские бесспиновые кулоновоподоб-
SRQP(χ) =
,
(14)
1 - exp[-XRQP(χ)]
ные ресуммирующие пороговые L- и S-факторы
παs
как функции быстроты χ′ = arch(μM/m′2c2),
XRQP(χ) =
,
которые появляются в рассматриваемом РКП-
shχ
подходе [27-30], даны в (13) и (14), где теперь
– релятивистские бесспиновые кулоновоподоб-
αs = 2μαs/ℏm′c, а shχ′ = μurel/m′.
ные ресуммирующие пороговые L- и S-факторы
как функции быстроты χ = arch(M/2mc2), ко-
Выражение (16) можно применять и при отсут-
торые появляются в рассматриваемом РКП-
ствии кулоновского взаимодействия в потенциале
√
подходе [27-30]5), где sh χ = v/
1 - v2. Выраже-
(15), т.е. при αs = 0. В частности, при ℓ = 0 выра-
жение (16) переходит в соотношение [35]
ние (12) при ℓ = 0 и χn = iκn = i arccos(Mn/2mc2)
переходит в выражение (10).
Γn,ℓ=0(e+e-) =
(17)
Выражение для релятивистской лептонной ши-
(
рины распада векторного мезона в состоянии с
8α2e2qμ2urel
) dMn
=
SRQP urel
энергией Mn для данного уровня n и с относи-
πλ′3m′3c2M2n
n dn
тельным орбитальным моментом ℓ ≥ 0 на лептон-
антилептонную пару для случая взаимодействия
Также обратим внимание и на работу [36], в ко-
двух релятивистских бесспиновых частиц произ-
торой были вычислены слабые константы распада
вольных масс m1, m2 посредством воронкообраз-
псевдоскалярных и векторных мезонов, волновые
ного потенциала вида
функции которых удовлетворяют РКП-уравнению,
αs
V (r) = Vconf(r) -
,
αs > 0
(15)
предложенному в [37], с полным релятивистским
r
потенциалом взаимодействия кварка, т.е. учиты-
было получено в работе [34]. Развитый в [34] под-
вающим все спин-зависимые и спин-независимые
ход базируется на решении релятивистским ана-
релятивистские вклады.
логом модифицированного ВКБ-метода [23, 25]
Настоящая работа является продолжением ра-
РКП-уравнения с потенциалом (15), что приводит
боты автора [34] и посвящена получению реля-
с учетом модификации формулы (1) соотношением
(9) к следующему выражению для лептонной ши-
тивистским аналогом модифицированного ВКБ-
рины распада векторного мезона:
метода (см., например, работы [23-25]) реляти-
вистского выражения для лептонных ширин распа-
Γn,ℓ(e+e-) =
(16)
дов векторных мезонов в s-состоянии на лептон-
4α2e2q
μΓ2(ℓ + 1)
( 2μ ureln )2ℓ+1
антилептонную пару. Векторные мезоны рассмат-
=
×
риваются как составная система двух релятивист-
πλ′3m′2c2Γ2(2ℓ + 2)M2n
m′
ских спиновых кварков равных масс, взаимодей-
(
) dMn
ствующих посредством воронкообразного потен-
×LRQP urel
n dn
циала, включающего в себя несингулярную чисто
запирающую часть и сингулярную часть в ви-
Здесь μ = m1m2/(m1 + m2) — обычная приведен-
де кулоновоподобного хромодинамического потен-
ная масса двух релятивистских частиц произволь-
ных масс m1, m2, λ′ = ℏ/m′c — комптоновская
циала6). Для этой цели полностью ковариантное
длина волны эффективной релятивистской части-
конечно-разностное РКП-уравнение в трехмерном
релятивистском r-представлении для случая вза-
цы массы m′ =
√m1m2, выступающей в качестве
имодействия двух релятивистских спиновых ча-
двухчастичной связанной системы,
стиц равных масс было решено релятивистским
2u
urel =
√
ВКБ-методом. Установлено условие применимости
1-u2
ВКБ-приближения. В разд. 3 получено выражение
— относительная скорость эффективной реляти-
для лептонных ширин распадов векторных мезо-
нов в s-состоянии на лептон-антилептонную па-
вистской частицы массы m′, где скорость u дается
ру. Проведено сравнение поведения нового выра-
выражением
√
жения для лептонных ширин распадов векторных
4
4m′2c
мезонов с их нерелятивистским бесспиновым и
u=
1-
,
релятивистскими бесспиновым и спиновым ана-
M2 - (m1 - m2)2c4
логами. Результаты исследований обсуждаются в
Заключении.
5)Напомним, что пороговые L- и S-факторы в (13) и (14)
имеют правильные релятивистские и ультрарелятивист-
ские пределы в отличие от релятивистских пороговых S-
6)Случай релятивистских спиновых кварков произвольных
факторов, представленных в работах [31-33] (подробно-
масс планируется рассмотреть в одной из следующих
сти см. в работах [27-30]).
работ.
ЯДЕРНАЯ ФИЗИКА том 85
№2
2022
ЛЕПТОННЫЕ ШИРИНЫ РАСПАДОВ
163
2. КВАЗИКЛАССИЧЕСКОЕ РЕШЕНИЕ
используя условия ортонормированности и полно-
РКП-УРАВНЕНИЯ
ты для дираковских спиноров, провести свертку
спиновых частей этих величин, а затем, применяя
Основой нашего рассмотрения является полно-
преобразование Лоренца, разделить временные и
стью ковариантное РКП-уравнение для волновой
пространственные переменные в аргументах че-
РКП-функции ψMQ(r) двух релятивистских спи-
тырехмерных δ-функций, и выполнить интегриро-
новых частиц равных масс m в r-представлении
вание по этим переменным (подробности см. в
в конечно-разностной форме, которое для случая
работе [38]). Такой подход позволил найти точные
сферически симметричных квазипотенциалов име-
решения РКП-уравнения (18) с кулоновоподоб-
ет вид [38]
ным хромодинамическим потенциалом (2), который
(
)
1
в случае взаимодействия γμ ⊗ γμ является опре-
MQ -H0 ψM
(r) =
(18)
Q
2mc2
деляющим [39, 40], а возможность его применения
(
)
рассматривалась в [24] и обсуждена во Введении.
H
0
=V(r
A
ψMQ(r).
В принятых предположениях вместо РКП-
2mc2
уравнения (18) рассмотрим РКП-уравнение для
радиальной волновой РКП-функции ϕℓ(r, χ)
Здесь M2Q = Q2 = (q1 + q2)2, оператор
[
(
)]
[
(
)
Hrad
Hrad
- ch χ + V (r
A
(22)
0
0
ϕℓ(r, χ) = 0,
H0 = 2mc2 ch iλ∂
+
(19)
где оператор
∂r
(
)
(
)
(
)
(
)]
d
λ2ℓ(ℓ + 1)
d
iλ
∂
λ2
∂
Hrad
= ch iλ
+
exp iλ
+
sh iλ
-
Δθ,ϕ exp iλ
0
dr
2r(r + iλ)
dr
r
∂r
2r2
∂r
– радиальная часть оператора свободного гамиль-
— оператор свободного гамильтониана, являю-
щийся конечно-разностным оператором, постро-
тониана (19), оператор
A по-прежнему определен
в (20), а χ — быстрота, которая параметризирует
енным из операторов сдвига exp (±iλ∂/∂ r), в то
время как Δθ,ϕ — его угловая часть, причем, как и
импульс Δq,mλQ и полную энергию8):
ранее, λ = ℏ/mc — комптоновская длина волны, а
Δq,mλQ = mcsh χn
Δq,mλQ
,
модуль радиуса-вектора r (r = r n, |n| = 1) явля-
|nΔq,mλ
| = 1, MQ = 2Δ0
,
ется релятивистским инвариантом; потенциал V (r)
q,mλQ
Q
является локальным в смысле геометрии Лобачев-
Δ0
= mc2 ch χ.
q,mλQ
ского и для простоты считается, как и в работах
Уравнение (22) легко получить из полностью ко-
[24], не зависящим от энергии MQ, а оператор
A
вариантного конечно-разностного РКП-уравнения
определяется выражением
⎡
⎤
(18) для волновой РКП-функции ψMQ (r), исполь-
(
)
(
)2
H0
1
H0
зуя ее разложение по функциям Лежандра первого
⎣a
A
=
+b⎦,
(20)
рода Pν(z),
2mc2
4
2mc2
∑
ϕℓ(r, χ)
ψMQ(r) =
(2ℓ + 1)iℓ
×
(23)
где значение спиновых параметров a и b для век-
r
торных мезонов дается выражением
ℓ=0(
)
Δq,mλQ · r
1
1
×Pℓ
a=
,
b=
при
Ô= γμ.
(21)
0
2
4
Δ
q,mλQ
r
Заметим, что для простоты рассмотрения в ра-
В релятивистском квазиклассическом при-
боте [38], как и в работах [39], считалось, что квази-
ближении (ВКБ-приближение) решение уравне-
ния (22) ищется в виде [23-25, 34]
потенциал имеет биспинорную структуру видаÔ ⊗
[
]
i
⊗ Ô, а вершинная функция также имеет спинор-
ϕℓ(r, χ) = exp
g(r) ,
(24)
ную структуру, пропорциональную одной матрице
ℏ
Ô 7), не зависящую от импульсных переменных,
8)Напомним, что здесь все 4-импульсы принадлежат верх-
причем в качестве
Ô выбирались матрицы Дира-
ней пол ´е массового гиперболоида Δ2q,mλQ = Δ02q,mλQ -
ка γ5, γμ, γ5γμ (μ = 0, 1, 2, 3). Такое представление
√
- c2Δ2q,mλQ = m2c4, гдеλQ = (λQ ;λQ) = Q/
Q2 — 4-
квазипотенциала и вершинной функции позволяет,
вектор скорости составной частицы с 4-импульсом Q =
= q1 + q2, а Δq,mλQ , Δq,mλQ — временная и простран-
7)Разложение вершинной функции по полной системе
ственная компоненты 4-вектора Λ-1λq = Δq,mλQ из про-
I,γ5,γμ,γ5γμ,σμνPν - матриц приводит к системе за-
Q
цепляющихся уравнений.
странства Лобачевского (подробности см. в работе [38]).
ЯДЕРНАЯ ФИЗИКА том 85
№2
2022
164
ЧЕРНИЧЕНКО
)2
ℏ
(ℏ
имеет смысл быстроты релятивистской частицы
g(r) = g0(r) +
g1(r) +
g2(r) +
i
i
массы m, движущейся в поле потенциала V (r),
в терминах которой измеряется расстояние между
Учитывая первые два члена разложения (24), нахо-
двумя точками импульсного пространства Лоба-
дим ВКБ-решения с левой rL и правой rR точками
чевского.
поворота в области r ∈ (rL; rR):
В заключение этого раздела подчеркнем, что
при a = 0, b = 2 все приведенные в этом разделе
ϕL,Rℓ(r, χ) =
(25)
выражения совпадают с аналогичными выраже-
CL,R(χ)
ниями, взятыми при m1 = m2 = m, которые были
=
√
×
получены в бесспиновом случае для произвольных
24
[X2(r) - R2(r)][1 + aV (r)X(r)]
{
масс [34].
[
× exp iαL,R+(r) ∓iπ]
+
4
}
3. ЛЕПТОННЫЕ ШИРИНЫ РАСПАДОВ
[
МЕЗОНОВ В РКП-ПОДХОДЕ
+ exp iαL,R-(r) ± iπ]
4
В РКП-подходе в соответствии с соотношением
(9) и обоснованием к нему, а также замечанием
Здесь
к уравнению (18), релятивистская модификация
∫
r
формулы (1) Матвеева, Струминского, Тавхелид-
αL,R±(r) =1
dr′χ±(r′),
(26)
зе [3] (или Ван Роена-Вайскопфа [4]) для леп-
λ
rL,R
тонных ширин распадов векторных мезонов, как
[
]
√
связанной системы двух cпиновых кварков равных
χ±(r) = ln X(r) ±
X2(r) - R2(r) ,
масс m в состоянии с энергией Mn и относи-
тельным орбитальным моментом ℓ = 0, состоит в
2X(r)
X (r) =
√
,
замене |χBS(x = 0)|2|ℓ=0 = |ψMQ (r = iλ)|2|ℓ=0. То-
1+
1 + aV (r)X(r)
гда, принимая во внимание выражения (23) и (25),
b
лептонную ширину распада векторного мезона в s-
X(r) = ch χ -
V (r),
состоянии определим выражением
4
√
2
16πα2e2q
λ2Λ
Γn,ℓ=0(e+e-) =
×
(29)
R(r) =
1+
,
Λ = ℓ + 1/2,
2
M
r2
n
2
CL,R(χ) — нормировочные константы, значения
ϕL0(r, χn)
× lim
−πρ/2Γ(1 + iρ)
,
e
параметров a и b даны в (21), а левая rL и правая rR
r→iλ
r
точки поворота определяются как точки ветвления
где
корня в (26), т.е. из условия
αsach χ
αs
X (rL,R) = R(rL,R).
(27)
ρ=
, αs =
,
4
λ
Условие применимости релятивистских ВКБ-
а дополнительный фактор exp(-π ρ/2)Γ(1 + iρ)
решений (25) определяется неравенством
обеспечивает не только правильный релятивист-
ский предел порогового ресуммирующего S-
ch χeff(r)
dχ+(r)
λ
1,
(28)
фактора составной системы двух релятивистских
≪
χ+(r)sh χeff(r) dr
спиновых кварков равных масс при χ → +∞ (v →
где
→ 1), равный 1, но и переход к бесспиновому
(
√
)
случаю при a = 0 и b = 2 (подробности см. в ра-
χeff(r) = archXeff(r) = ln Xeff(r) + X2eff(r) - 1 ,
ботах [41, 42]). Таким образом, в рассматриваемом
спиновом случае функция
X (r)
Xeff(r) = ch χeff(r) =
R(r)
ψ0(r,χ) = e-πρ/2Γ(1 + iρ)ϕL0(r,χ)
В случае ℓ = 0 условие (28) преобразуется в нера-
представляет собой физическую волновую функ-
венство
цию s-состояния составной системы двух реля-
тивистских спиновых кварков равных масс, вза-
ch χ(r)
dχ(r)
λ
1,
имодействующих посредством воронкообразного
≪
χ(r)shχ(r) dr
потенциала вида (15), а радиальную s-волновую
где величина
РКП-функцию ϕCoul0(r, χ) составной системы двух
[
√
]
релятивистских фермионов равных масс m, отве-
χ(r) = archX (r) = ln X (r) +
X2(r) - 1
чающую кулоновоподобному хромодинамическому
ЯДЕРНАЯ ФИЗИКА том 85
№2
2022
ЛЕПТОННЫЕ ШИРИНЫ РАСПАДОВ
165
Cℓ(χ)
потенциалу (2), можно выразить через гипергео-
=
√
×
4
метрическую функцию в виде [38, 41, 42]
[X2(r) - R2(r)][1 + aV (r)X(r)]
{
r
}
ϕCoul0(ρ, χ) =
(30)
∫
[
]
1
π
× sin
dr′ χ+(r′) - ln R(r′) +
,
= 2πCCoul0(χ)eiBχ-χ+i(ρ-ρ)χ(ρ - ρ) ×
λ
4
(
)
rL
×F
1 - iB,1 - i(ρ - ρ);2;1 - e-2χ
,
ρ = r/λ.
где нормировочный множитель Cℓ(χ) находится из
Здесь C0(χ) — произвольная функция от χ, пара-
условия нормировки
метр B определяется как
∫
∞
αs(ach2 χ + b)
4π dr
ϕLℓ(r, χn)2 = 1, ℓ ≥ 0.
(34)
B=
,
(31)
4sh χ
0
причем параметр B при χ = iκ связан с условием
Заметим, что в области применимости ВКБ-
квантования энергетических уровней в рассматри-
приближения (28) аргумент синуса в выражении
ваемом спиновом случае выражением [38, 41]
(33) является быстро осциллирующей функцией.
αs(acos2 κ + b)
Поэтому после подстановки выражения (33) в
= n,
условие нормировки
(34) квадрат синуса, как
4sin κ
обычно, можно заменить его средним значением,
n = 1,2,...,
0 < κ < π/2.
равным 1/2 [34]. Тогда вместо (34) имеем условие
Подчеркнем, что формула (29) справедлива (как
2π|Cℓ(χ)|2 ×
(35)
это имело место и в работах [1, 24, 34]) в при-
∫
ближении одновременного взаимодействия, огра-
dr
ничиваясь в дальнейшем учетом лишь образа ку-
×
√
= 1.
[X2(r) - R2(r)][1 + aV (r)X(r)]
лоновской части однобозонного обменного квази-
rL
потенциала, Vc(r) = - cth(πmr)/r, опуская функ-
Дифференцируя по полной энергии Mn =
цию cth(πmr), т.е. заменой образа однобозон-
= 2mc2 ch χn условие квантования (32) при ℓ ≥ 0,
ного обменного потенциала Vc(r) = - cth(πmr)/r
на кулоновоподобный хромодинамический потен-
где потенциал Vconf(r) не зависит от энергии Mn, и
циал (2), который в РКП-подходе в импульсном
принимая во внимание определения (26) и условие
пространстве отвечает пропагатору, обладающему
(27) для точек поворота rL,R, получим
КХД-подобным поведением [26]. Таким образом,
∫
внутри адрона взаимодействие двух релятивист-
dr
√
=
(36)
ских спиновых кварков равных масс m осуществ-
[X2(r) - R2(r)][1 + aV (r)X(r)]
ляется в r-представлении посредством сингуляр-
rL
ного воронкообразного потенциала запирания (15),
dn
в котором Vconf(0) = 0. В поле такого потенциала
= 2πλmc2
dMn
уровни энергии Mn = 2m ch χn для данного уровня
n могут быть определены из ВКБ-условия кванто-
Из выражений (35) и (36) находим
вания [43]
1
dMn
|Cℓ(χ)|2 =
(37)
∫
4π2λmc2 dn
dr [χ+(r) - ln R(r)] =
(32)
Тогда, поступая как, например, и в работах [6, 34],
rL
волновую РКП-функцию (33) полного потенциала
(
)
(15) при ℓ = 0 в области достаточно больших ρ =
1
= πλ n +
,
n = 0,1,..., ℓ ≥ 0,
= r/λ,r ∈ (rL;rR), но таких, где все же в потенци-
2
але (15) доминирует кулоновоподобное хромоди-
которое при a = 0,b = 2 совпадает с аналогичным
намическое взаимодействие (2), аппроксимируем
выражением, полученным в бесспиновом случае
его радиальной s-волновой РКП-функцией, точ-
для произвольных масс [34], взятым при m1 =
ный вид которой дается выражением (30). Сравни-
= m2 = m.
вая асимптотическое выражение для кулоновской
функции в (30),
В области r ∈ (rL;rR) ВКБ-решение (25) с ле-
вой точкой поворота rL и с данным фиксированным
ϕCoul0(ρ, χn)
∼
ρ≫1
значением энергии Mn, отвечающее потенциалу
[
]
(15), запишем в виде
2πCCoul0(χn)e-πB/2
∼
sin ρχn + δCoul0(χn) ,
sh χn|Γ(1 - iB)|
ϕLℓ(r, χ) =
(33)
ЯДЕРНАЯ ФИЗИКА том 85
№2
2022
166
ЧЕРНИЧЕНКО
R
с асимптотикой ВКБ-решения в (33), взятого при
ℓ = 0,
4
[
]
C0(χn)
ϕL0(ρ, χn)
∼
√
sin ρχn + δCoul,WKB0(χn) ,
ρ≫1
sh χn
находим связь между нормировочными множите-
3
лями
2πCCoul0(χn)2 =
(38)
2
= sh χneπB|Γ(1 - iB)|2 |C0(χn)|2 ,
где
δCoul0(χ) = B ln(2ρsh χ) - ρχ + arg Γ(1 - iB)
1
- точная фаза волновой РКП-функции для ку-
лоновоподобного хромодинамического потенциала
(2), а
0.1
0.2
0.3
0.4
0.5
0.6
0.7
0.8
0.9
1.0
δCoul,WKB0(χ) = B ln (2ρsh χ) - ρχ - B ln B
v
- ее выражение в ВКБ-приближении [43].
αs = 0.1
αs = 0.4
αs = 0
Наконец, принимая во внимание определение
(29) и соотношения (30), (37) и (38), получим
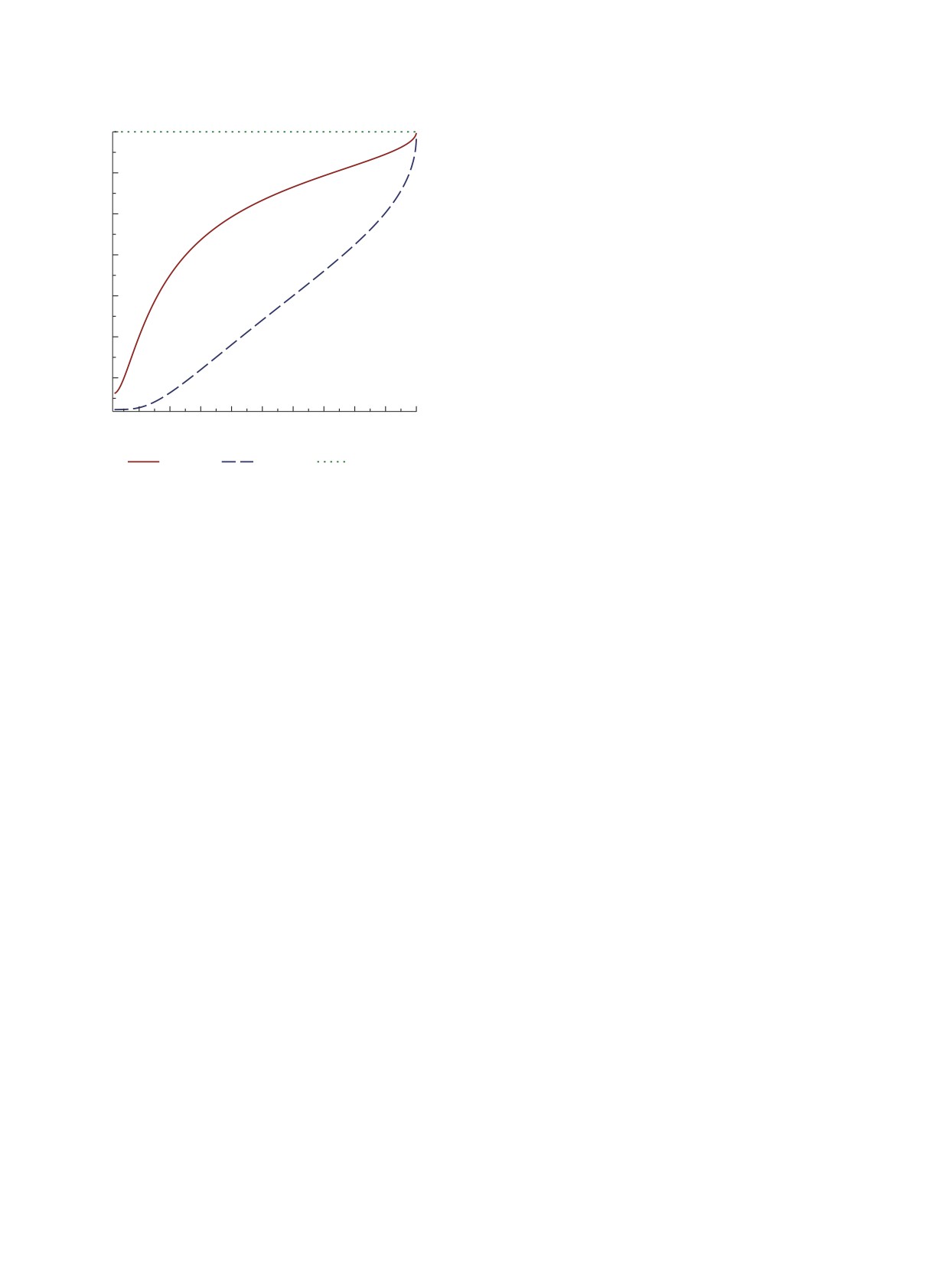
Рис. 1. Поведение функции R как функции скорости
выражение для релятивистской лептонной ширины
v, равной отношению релятивистского выражения (39)
распада векторного мезона в s-состоянии и с энер-
для лептонных ширин распадов векторных мезонов,
гией Mn для случая воронкообразного потенциала
взятого при ℏ = c = 1 и отвечающего значению спино-
вида (15):
вых параметров a = 1/2 и b = 1/4 в (21) для случая
воронкообразного потенциала вида (15) и значени-
Γn,ℓ=0(e+e-) =
(39)
ям констант связи (кривые: сплошная — αs = 0.1 и
штриховая — αs = 0.4; точечная линия — αs = 0) к
4α2e2q sh χn
dMn
=
SRQP,S (χn)
его нерелятивистскомубесспиновомуаналогу, который
πλ3mc2M2n
dn
дается выражениями (1), (3), (4).
Здесь
XRQP,S(χ)
SRQP,S(χ) =
[
]×
(40)
1 - exp
-XRQP,S(χ)
R
×e-πρΓ(2 + iρ)F (1 + iB, -iρ; 2; 1 - e-2χ)2
4
— релятивистский кулоновоподобный ресумми-
рующий пороговый S-фактор для случая состав-
ной системы, состоящей из двух релятивистских
спиновых частиц равных масс m, который появ-
3
ляется в рассматриваемом РКП-подходе и в нере-
лятивистском (v ≪ 1), релятивистском (v → 1) и в
ультрарелятивистском (m → 0) пределах воспро-
изводит как известный нерелятивистский результат
2
в бесспиновом случае, когда a = 0, b = 2, так и
ожидаемые релятивистский и ультрарелятивист-
ский пределы для значения параметров a и b в (21)
1
(подробности см. в работах [41, 42, 44, 45]), где
величина XRQP,S(χ) связана с параметром B в (31)
выражением
παs(ach2 χ + b)
0.1
0.2
0.3
0.4
0.5
0.6
0.7
0.8
0.9
1.0
XRQP,S(χ) = 2πB =
,
v
2sh χ
αs = 0.1
αs = 0.4
αs = 0
которое может быть выражено в терминах скоро-
сти (6) в виде
Рис. 2. То же, что и на рис. 1, но к его релятивистскому
παs(a + b - bv2)
спиновому аналогу, который дается выражением (12),
XRQP,S(v) =
√
(41)
взятым при ℓ = 0, ℏ = c = 1.
2v
1-v2
ЯДЕРНАЯ ФИЗИКА том 85
№2
2022
ЛЕПТОННЫЕ ШИРИНЫ РАСПАДОВ
167
R
бесспиновому и релятивистским спиновому и бес-
1.0
спиновому аналогам, представленных выражения-
ми (1), (3), (4) и (12), (14), взятым при ℓ = 0, ℏ =
0.9
= c = 1, и (14), (17), взятым при m1 = m2 = m,
ℏ = c = 1 соответственно. Кривые на рис. 1, 2 и 3
0.8
построены для двух значений константы связи αs =
= 0.1 (сплошные кривые) и αs = 0.4 (штриховые
0.7
кривые) и отвечают значению спиновых парамет-
ров векторных мезонов a = 1/2 и b = 1/4 в (21), а
точечная линия отвечает случаю αs = 0. Из рис. 1,
0.6
2 и 3 видно, что в нерелятивистской области значе-
ний скорости v (v ≪ 1) значение функции R < 0.5.
0.5
Следовательно, в этой области значений скорости
v учет спина кварков, формирующих спиновые
0.4
параметры a = 1/2 и b = 1/4 векторных мезонов,
существенно влияет на поведение функции R, а
0.1
0.2
0.3
0.4
0.5
0.6
0.7
0.8
0.9
1.0
значит, и на поведение лептонных ширин распадов
v
векторных мезонов. Этот эффект связан с влияни-
αs = 0.1
αs = 0.4
αs = 0
ем значения спиновых параметров a = 1/2 и b =
= 1/4 на поведение порогового S-фактора (40) в
Рис. 3. То же, что и на рис. 1, но к его релятивистскому
области малых зачений скорости v по сравнению
бесспиновому аналогу, который дается выражением
с его нерелятивистским (4) и релятивистским (14)
(17), взятым при m1 = m2 = m, ℏ = c = 1.
бесспиновыми аналогами. Это влияние спиновых
параметров на поведение порогового S-фактора в
области малых зачений скорости v было детально
Подчеркнем, что выражение (39) для реляти-
вистской лептонной ширины распада векторного
исследовано в работах [41, 42, 44, 45]. Это так на-
мезона в s-состоянии, учитывающее спин кварков,
зываемый эффект Зоммерфельда [46, 47]. Однако с
включает в себя, в отличие от бесспинового выра-
ростом скорости v влияние значения спиновых па-
жения (17), релятивистский спиновый кулоновопо-
раметров a = 1/2 и b = 1/4 на поведение функции
добный ресуммирующий пороговый S-фактор (40),
R уменьшается и в релятивистском пределе (v →
который имеет правильные релятивистский и уль-
→ 1), как видно на рис. 3, функция R → 1, т.е. это
трарелятивистский пределы [41, 42, 44, 45]. При
влияние становится исчезающе малым. Неогра-
этом выражение (39) при a = 0, b = 2 переходит
ниченный же рост функции R в релятивистской
в выражение (17) для бесспинового случая, взя-
области значений скорости v (v → 1) на рис. 1 и 2
тое при m1 = m2 = m, которое можно применять
связан с соотношением (9), устанавливающим кор-
и при отсутствии кулоновского взаимодействия в
ректную связь между функцией Бете-Солпитера
потенциале (15), т.е. при αs = 0. Соответствующие
при x = 0 и волновой РКП-функцией в трехмерном
нерелятивистские или релятивистские пороговые
релятивистском r-представлении, которая вычис-
L- и S-факторы появляются и в других выраже-
ляется в соответствии с преобразованием Шапиро
ниях для лептонных ширин распадов векторных
(8) при r = iλ, а не при r = 0. Поэтому лептонные
мезонов (см. выражения (3), (12) и (16)). Однако
ширины распадов векторных мезонов, связанные
не все пороговые L- и S-факторы, появляющиеся в
с квадратом модуля волновой РКП-функции при
лептонных ширинах распадов векторных мезонов,
r = 0, нарушающего соотношение (9), будут вклю-
имеют правильные релятивистские пределы [27-
чать в себя, как отмечалось в предыдущем абзаце,
30], что существенно влияет на поведение лептон-
нерелятивистские или релятивистские пороговые
ных ширин распадов векторных мезонов в этой
L- и S-факторы, которые не имеют правильных
области. Сравнительный анализ в конце данного
релятивистских пределов, равных 1, что и приво-
раздела подтвердит данный вывод.
дит к неограниченному росту функции R в реля-
Для исследования влияния спина кварков на
тивистской области значений скорости v. Также
лептонные ширины распадов векторных мезонов в
рис. 1, 2 и 3 показывают, что поведение функции
s-состоянии были построены графики функции R,
R зависит от значений константы связи αs в ши-
как функции скорости v, определенной как отноше-
рокой области значений скорости v, и слабо —
ние релятивистской спиновой лептонной ширины
в нерелятивистской и в релятивистской областях
распада векторного мезона в s-состоянии, кото-
значений скорости v. При этом кривые функции R
рая представлена выражениями (39), (40) и (41),
на рис. 3 для двух значений константы связи αs =
взятыми при ℏ = c = 1, к ее нерелятивистскому
= 0.1 и αs = 0.4 в релятивистском пределе (v →
ЯДЕРНАЯ ФИЗИКА том 85
№2
2022
168
ЧЕРНИЧЕНКО
→ 1) стремятся к 1, поскольку релятивистские по-
параметризирующих лептонные ширины распадов
роговые S-факторы (14) и (40) имеют правильный
векторных мезонов.
релятивистский предел, равный 1 [27-30, 41, 42,
Поведение функции R, а значит и лептонных
44, 45]. В заключение данного абзаца подчеркнем
ширин распадов векторных мезонов, также су-
необходимость учета влияния различия масс ча-
щественно зависит от поведения пороговых S-
стиц (кварков), образующих составную систему, на
факторов в релятивистской области значений ско-
поведение релятивистского порогового S-фактора
рости v (v → 1). Установлено, что с ростом скоро-
(см. работы [44, 45]), а значит, и на поведение
сти v влияние спина кварков, формирующих спино-
лептонных ширин распадов векторных мезонов в
вые параметры a = 1/2 и b = 1/4 векторных мезо-
s-состоянии.
нов, на поведение функции R (рис. 3) уменьшается
и в релятивистском пределе (v → 1) это влияние
4. ЗАКЛЮЧЕНИЕ
становится исчезающе малым (R → 1), поскольку
релятивистские бесспиновые и спиновые порого-
В настоящей работе в рамках РКП-подхода в
вые S-факторы (14) и (40) в R имеют правильный
релятивистском квазиклассическом приближении
релятивистский предел, равный 1.
получено новое релятивистское выражение для
лептонных ширин распадов векторных мезонов в
Показано, что лептонные ширины распадов век-
s-состоянии на лептон-антилептонную пару. Рас-
торных мезонов, связанные с квадратом модуля
смотрение проводится для случая, когда реляти-
волновой РКП-функции при r = 0, приводят к
вистские спиновые кварки равных масс m, со-
нарушению соотношения (9), которое устанавли-
ставляющие векторные мезоны, взаимодействуют
вает корректную связь между функцией Бете-
посредством воронкообразного потенциала, вклю-
Солпитера при x = 0 и волновой РКП-функцией в
чающего в себя несингулярную чисто запирающую
трехмерном релятивистском r-представлении, вы-
часть и сингулярную часть в виде кулоновоподоб-
числяемую в соответствии с преобразованием Ша-
ного хромодинамического потенциала. Для этой
пиро (8) при r = iλ, а не при r = 0. Тем самым
цели было использовано полностью ковариантное
лептонные ширины распадов векторных мезонов,
конечно-разностное РКП-уравнение в трехмерном
связанные с квадратом модуля волновой РКП-
релятивистском r-представлении [21] для случая
функции при r = 0, нарушающего соотношение (9),
взаимодействия двух релятивистских спиновых ча-
будут включать в себя нерелятивистские или ре-
стиц равных масс. РКП-уравнение решено ре-
лятивистские пороговые L- и S-факторы, которые
лятивистским ВКБ-методом. Установлено усло-
не имеют правильного релятивистского предела,
вие применимости ВКБ-приближения. Проведено
равного 1. Это приводит к неограниченному росту
сравнение нового выражения с его нерелятивист-
функции R на рис. 1 и 2 в релятивистской области
ским бесспиновым и релятивистскими спиновым
значений скорости v.
и бесспиновым аналогами. Исследовано влияние
Установлено влияние значений константы связи
спина кварков на лептонные ширины распадов
αs на поведение функции R, которое незначитель-
векторных мезонов в s-состоянии.
но в нерелятивистской и релятивистской областях
Показано, что новое выражение для лептонных
значений скорости v, а в релятивистском пределе
ширин распадов векторных мезонов при a = 0, b =
(v → 1) кривые для функции R на рис. 3 стремят-
= 2 переходит в его релятивистский бесспиновый
ся к 1, поскольку релятивистские бесспиновые и
аналог. Для исследования влияния спина кварков
спиновые пороговые S-факторы (14) и (40) имеют
на лептонные ширины распадов векторных мезонов
правильный релятивистский предел, равный 1.
в s-состоянии были построены графики функции
R как функции скорости v, определенной как от-
Полученная в настоящей работе формула (39)
ношение нового выражения для релятивистской
может быть применена к описанию лептонных ши-
лептонной ширины распада векторного мезона в s-
рин распадов векторных мезонов в s-состоянии.
состоянии, к ее нерелятивистскому и релятивист-
Но поскольку поведение релятивистского порого-
ским спиновому и бесспиновому аналогам (рис. 1,
вого S-фактора зависит от различия масс частиц
2 и 3). Поведение функции R на рис. 1, 2 и 3 пока-
(кварков), образующих составную систему (см. ра-
зывает, что учет спина кварков влияет на поведение
боты [44, 45]), то это различие масс необходимо
лептонных ширин распадов векторных мезонов.
принимать во внимание при вычислении лептон-
Это влияние особенно существенно в нереляти-
ных ширин реально наблюдаемых в эксперименте
вистской области значений скорости v (v ≪ 1), где
адронов. Поэтому в одной из следующих работ
значение функции R < 0.5, и обусловлено различ-
планируется получить формулу для лептонных ши-
ным поведением в области малых зачений скорости
рин распадов векторных мезонов в s-состоянии как
v нерелятивистских бесспиновых и релятивистских
составной системы двух релятивистских спиновых
бесспиновых и спиновых пороговых S-факторов,
кварков произвольных масс.
ЯДЕРНАЯ ФИЗИКА том 85
№2
2022
ЛЕПТОННЫЕ ШИРИНЫ РАСПАДОВ
169
Выражение для релятивистских квазиклассиче-
18.
N. B. Skachkov and I. L. Solovtsov, Preprint No. E2-
ских лептонных ширин распадов векторных мезо-
11678, JINR (Dubna, 1978); Н. Б. Скачков,
нов было получено в рамках полностью ковариант-
И. Л. Соловцов, ТМФ 41, 205 (1979) [Theor. Math.
ного метода и имеет правильную связь с функцией
Phys. 41, 977 (1979)].
Бете-Солпитера, а следовательно, можно ожи-
19.
А. Д. Линкевич, В. И. Саврин, Н. Б. Скачков, ТМФ
53, 20 (1982) [Theor. Math. Phys. 53, 955 (1982)].
дать, что оно более полно учитывает как реляти-
вистский характер взаимодействующих частиц, так
20.
В. Г. Кадышевский, Р. М. Мир-Касимов,
Н. Б. Скачков, ЭЧАЯ 2, 635 (1972) [Sov. J. Part.
и их спины.
Nucl. 2, 69 (1972)].
Автору приятно выразить искреннюю благодар-
21.
V. G. Kadyshevsky, R. M. Mir-Kasimov, and
ность О.П. Соловцовой за обсуждение полученных
N. B. Skachkov, Nuovo Cimento A 55, 233 (1968).
результатов, ценные замечания и техническую под-
22.
И. С. Шапиро, Докл. АН СССР 106, 647 (1956)
держку, Ю.А. Курочкину, В.В. Андрееву и А.В. Ки-
[Sov. Phys. Dokl. 1, 91 (1956)]; ЖЭТФ 43, 1727
селеву за обсуждение полученных результатов, их
(1962) [Sov. Phys. JETP 16, 1219 (1963)].
комментарии и стимулирующие дискуссии.
23.
Н. Б. Скачков, И. Л. Соловцов, ЯФ 31, 1332 (1980)
[Sov. J. Nucl. Phys. 31, 686 (1980)].
Работа выполнена при поддержке програм-
24.
А. В. Сидоров, Н. Б. Скачков, ТМФ 46, 213 (1981)
мы международного сотрудничества Республи-
[Theor. Math. Phys. 46, 141 (1981)]; Препринт
ки Беларусь с ОИЯИ и Государственной про-
Р2-80-45, ОИЯИ (Дубна, 1980); V. I. Savrin,
граммы научных исследований на 2021-2025 гг.
A. V. Sidorov, and N. B. Skachkov, Hadronic J. 4,
“Конвергенция-2025”, подпрограмма “Микромир,
1642 (1981).
плазма и Вселенная”.
25.
А. Д. Донков, В. Г. Кадышевский, М. Д. Матеев,
Р. М. Мир-Касимов, в сб.: Труды IV международ-
ного симпозиума по нелокальным теориям по-
СПИСОК ЛИТЕРАТУРЫ
ля, Алушта, 20-28 апреля 1976, Д2-9788, ОИЯИ
(Дубна, 1976), с. 36.
1.
B. Durand and L. Durand, Phys. Rev. D 30, 1904
26.
V. I. Savrin and N. B. Skachkov, Lett. Nuovo Cimento
(1984).
29, 363 (1980).
2.
E. Etim and L. Sch ¨ulke, Nuovo Cimento A 77, 347
27.
Ю. Д. Черниченко, Изв. НАН Беларуси. Сер. физ.-
(1983).
мат. наук 4, 81 (2009).
3.
В. А. Матвеев, Б. В. Струминский, А. Н. Тавхелид-
28.
О. П. Соловцова, Ю. Д. Черниченко, ЯФ 73, 1658
зе, Препринт Р-2524, ОИЯИ (Дубна, 1965).
(2010) [Phys. At. Nucl. 73, 1612 (2010)].
4.
R. Van Royen and W. F. Weisskopf, Nuovo Cimento A
29.
О. П. Соловцова, Ю. Д. Черниченко, ТМФ 166, 225
50, 617 (1967).
(2011) [Theor. Math. Phys. 166, 194 (2011)].
5.
R. Barbieri, R. Gatto, R. K ¨ogerler, and Z. Kunszt,
30.
Ю. Д. Черниченко, Релятивистский квазипо-
Phys. Lett. B 57, 455 (1975).
тенциальный подход в задачах рассеяния (Изд.
6.
J. S. Bell and P. Pasupathy, Z. Phys. C 2, 183 (1979).
центр УО ГГТУ им. П. О. Сухого, Гомель, 2011).
7.
N. Fr ¨oman and P. O. Fr ¨oman, J. Phys. France 42,
31.
A. H. Hoang, Phys. Rev. D 56, 7276 (1997).
1491 (1981).
32.
J.-H. Yoon and Ch.-Y. Wong, Phys. Rev. C 61,
8.
C. Quigg and J. L. Rosner, Phys. Rev. D 17, 2364
044905 (2000); J. Phys. G: Nucl. Part. Phys. 31, 149
(1978).
(2005).
9.
J. S. Bell and P. Pasupathy, Phys. Lett. B 83, 389
33.
A. B. Arbuzov, Nuovo Cimento A 107, 1263 (1994).
(1979).
34.
В. В. Кондратюк, Ю. Д. Черниченко, ЯФ 81, 40
10.
B. Durand and L. Durand, Phys. Rev. D 25, 2312
(2018) [Phys. At. Nucl. 81, 51 (2018)].
(1982).
35.
Yu. D. Chernichenko and O. P. Solovtsova, in
11.
B. Durand and L. Durand, Phys. Lett. B 113, 338
Proceedings of the XI International School-
(1982).
Seminar on the Actual Problems of Microworld
12.
E. A. Tainov, Z. Phys. C 10, 87 (1981).
Physics, August
1-12,
2011, Gomel, Belarus,
13.
A. A. Logunov and A. N. Tavkhelidze, Nuovo Cimento
Preprint E1, 2-2013-23 JINR (Dubna, 2013), p. 61.
29, 380 (1963).
36.
D. Ebert, R. N. Faustov, and V. O. Galkin, Phys. Lett.
14.
V. G. Kadyshevsky, Nucl. Phys. B 6, 125 (1968).
B 635, 93 (2006).
15.
В. Г. Кадышевский, ЖЭТФ 46, 654, 872 (1964)
37.
А. П. Мартыненко, Р. Н. Фаустов, ТМФ 64, 179
[Sov. Phys. JETP 19, 443, 597 (1964)]; Докл. АН
(1985); 66, 399 (1986) [Theor. Math. Phys. 64, 765
СССР 160, 573 (1965)
[Sov. Phys. Dokl. 10, 46
(1985); 66, 264 (1986)].
(1965)].
38.
Ю. Д. Черниченко, ЯФ 80, 396 (2017)
[Phys. At.
16.
R. N. Faustov, Ann. Phys. (N. Y.) 78, 176 (1973).
Nucl. 80, 707 (2017)].
17.
N. B. Skachkov and I. L. Solovtsov, Preprint No. E2-
39.
N. B. Skachkov and I. L. Solovtsov, Preprint No. E2-
11727, JINR (Dubna, 1978); Н. Б. Скачков,
81-760, JINR (Dubna, 1981); Н. Б. Скачков,
И. Л. Соловцов, ЯФ 30, 1079 (1979) [Sov. J. Nucl.
И. Л. Соловцов, ТМФ 54, 183 (1983) [Theor. Math.
Phys. 30, 562 (1979)].
Phys. 54, 116 (1983)].
ЯДЕРНАЯ ФИЗИКА том 85
№2
2022
170
ЧЕРНИЧЕНКО
40. Н. Б. Скачков, ТМФ 22, 213 (1975) [Theor. Math.
43. Ю. Д. Черниченко, ЯФ 83, 270 (2020)
[Phys. At.
Phys. 22, 149 (1975)]; Preprint No. Р2-12152,
Nucl. 83, 488 (2020)].
ОИЯИ (Дубна, 1978).
44. Yu. D. Chernichenko, O. P. Solovtsova, and
41. Ю. Д. Черниченко, ЯФ 82, 172 (2019)
[Phys. At.
L. P. Kaptari, Nonlin. Phen. Compl. Syst.
23,
Nucl. 82, 158 (2019)].
449 (2020).
42. Yu. D. Chernichenko, O. P. Solovtsova, and
45. Ю. Д. Черниченко, ЯФ 84, 262 (2021)
[Phys. At.
L. P. Kaptar, in Proceedings of the XXVII
Nucl. 84, 339 (2021)].
Anniversary Seminar
“Nonlinear Phenomena
46. A. Sommerfeld, Atombau und Spektrallinien
in Complex Systems”, NPCS’2020, May 19-22,
(Vieweg, Braunschweig, 1939), Vol. 2.
2020, Minsk, Belarus, Nonlinear Dynamics and
Applications, Minsk, 2020, Vol. 26, p. 39.
47. G. Gamov, Z. Phys. 51, 204 (1928).
LEPTONIC DECAY WIDTHS FOR THE COMPOSITE SYSTEM
OF TWO RELATIVISTIC FERMIONS OF EQUAL MASSES
Yu. D. Chernichenko1),2)
1)Sukhoi State Technical University of Gomel, Belarus
2)International Center for Advanced Studies, Gomel, Belarus
The new relativistic leptonic decay widths for the relativistic systems of two fermions with equal masses
interacting by means of the funnel-type potentials are obtained. The behavior of the relativistic leptonic
decay widths of vector mesons was investigated. Comparison of the behavior for new expression with its
nonrelativistic spinless and relativistic spin and spinless analogues is given. Consideration is conducted
within the framework of completely covariant quasipotential approach in the Hamiltonian formulation of
quantum field theory, via a transition to the relativistic configurational representation in the case of two
relativistic spin particles of equal masses.
ЯДЕРНАЯ ФИЗИКА том 85
№2
2022