ЯДЕРНАЯ ФИЗИКА, 2022, том 85, № 4, с. 249-258
ЯДРА
НЕЙТРОННЫЙ МЕТОД ИЗМЕРЕНИЯ ОБЪЕМНОГО
РАСПРЕДЕЛЕНИЯ ВОДОРОДА В РАЗЛИЧНЫХ ОБЪЕКТАХ
© 2022 г. А. М. Бакаляров1)*, Г. В. Мурадян1)
Поступила в редакцию 20.01.2022 г.; после доработки 10.03.2022 г.; принята к публикации 15.03.2022 г.
Предлагается метод измерения объемного распределения водорода в различных объектах с помощью
зондирования мечеными нейтронами. Существующие методы такого зондирования, позволяющие
измерить распределение ряда элементов, к водороду неприменимы, так как основаны на регистрации
реакции с испусканием γ-квантов, которая у водорода при энергии меченых нейтронов практически
отсутствует. Между тем водород представляет большой интерес: он входит в состав многих веществ,
включая органические соединения, в частности, взрывчатые вещества. В предлагаемом методе
производится регистрация рассеянных на объекте нейтронов и измеряется время регистрации. Описан
способ выделения из множества зарегистрированных нейтронов случаев рассеяния на водороде и
определения координаты точки рассеяния. Проведено численное моделирование, и показано, что
метод обеспечивает высокое пространственное разрешение и быстрый набор событий рассеяния
на водороде. Его можно совместить с существующими методами измерения распределения других
элементов, что позволит расширить круг идентифицируемых веществ и в разы сократить расход
ресурса нейтронного источника.
DOI: 10.31857/S0044002722040031
1. ВВЕДЕНИЕ
основаны на регистрации γ-квантов, которые у
водорода при энергии нейтронов 14 МэВ прак-
Основной интерес к измерениям объемного рас-
тически отсутствуют. Для полноты отметим также
пределения элементов с использованием меченых
работу [11], где рассматривается возможность вы-
нейтронов связан с выявлением скрытых веществ
явления водорода в органических соединениях по
в исследуемых объектах без их вскрытия. Меченые
его влиянию на высоту пиков в спектре γ-квантов
нейтроны отличаются тем, что для каждого из них
неупругого рассеяния нейтронов на других эле-
известны время испускания и вектор скорости.
ментах соединения. Метод может использоваться
Источником меченых нейтронов является реакция
только для определения доли водорода в объекте в
T (d, n)4He. Энергия нейтронов ∼14 МэВ. Время
целом и только при условии однородности содер-
испускания и вектор скорости определяются по
жащегося в нем вещества. Измерение объемного
регистрации сопутствующей α-частицы. Известны
распределения невозможно.
два метода измерения объемного распределения
элементов с использованием меченых нейтронов.
В настоящей работе предлагается метод из-
Оба они основаны на зондировании объекта мече-
мерения объемного распределения водорода в
ными нейтронами и регистрации реакции неупру-
различных объектах. Объект зондируется мече-
гого рассеяния A(n, n′γ). В одном из них [1-
ными нейтронами, и с помощью координатно-
9] регистрируются только γ-кванты (γ-метод), в
чувствительного детектора производится регистра-
другом, недавно предложенном [10], — γ-кванты и
ция рассеянных нейтронов. При этом измеряется
нейтроны (n-метод). Ядро, на котором произошла
время регистрации меченого нейтрона, отсчитыва-
реакция, идентифицируется по характерному спек-
емое от момента его испускания.
тру γ-квантов и нейтронов соответственно. Ме-
Описан способ выделения из множества заре-
стоположение ядра в обоих методах определяется
гистрированных событий случаев рассеяния на во-
по измерению задержки времени регистрации γ-
дороде и нахождения координаты точки рассеяния.
кванта относительно времени испускания меченого
Проведено численное моделирование, и показано,
нейтрона по известному вектору его скорости. К
что метод обеспечивает высокое пространственное
водороду эти методы неприменимы, так как они
разрешение и быстрый набор полезных событий.
1)Национальный исследовательский центр “Курчатовский
Его можно совместить с существующими метода-
институт”, Москва, Россия.
ми, применимыми к другим элементам, что позво-
*E-mail: bakalyaram@yandex.ru
лит значительно расширить круг идентифицируе-
249
250
БАКАЛЯРОВ, МУРАДЯН
детектор
источник меченых
нейтронов
n'
h
n
Z
0
z0
d
Рис. 1. Упрощенная схема установки для измерения объемного распределения водорода. Обозначения: Z — ось вдоль
первичного направления движения нейтрона, d — расстояние между источником нейтронов и детектором вдоль оси Z,
h— расстояние между детектором и осью Z, z0 — точка взаимодействия нейтрона с мишенью, n— первичный нейтрон,
n′ — рассеянный нейтрон.
мых веществ и в разы сократить расход ресурса
задержки позволяет однозначно определить ме-
нейтронного источника.
стоположение точки рассеяния z0. Неопределен-
Для краткости описываемый здесь метод будем
ность Δz0, обусловленная погрешностью Δt, равна
называть водородным методом.
(∂t/∂z0)-1Δt. Производная ∂t/∂z0 увеличивается
с ростом z0 и при z → d, что соответствует θ →
→ 90◦, стремится к бесконечности (см. рис. 2).
2. ВОДОРОДНЫЙ МЕТОД
Например, если взять Δt = 0.7 нс, h = 100 см и
d = 110 см, то при z0 = 60 см получаем Δz0 =
Рассмотрим сначала, как можно определить
= 1 см, а при z0 = 90 см —Δz0 = 0.3 см. Обра-
координаты точки рассеяния меченого нейтрона
тим внимание, что эта точность значительно лучше
на водороде. На рис. 1 представлена упрощенная
соответствующей точности измерения z0 в γ- и
схема установки. Меченый нейтрон, испущенный
n-методах (для любого элемента, который может
из точки z = 0, движется вдоль оси Z, в некото-
быть идентифицирован этими методами). Связано
рой точке z0 претерпевает упругое рассеяние на
это с тем, что в γ- и n-методах время задержки
водороде и регистрируется точечным детектором.
определяется первым слагаемым формулы (1) и со-
При этом измеряется время задержки регистрации
ответственно Δz0 = V0Δt = 3.5 см, а в водородном
t относительно момента испускания меченого ней-
методе — в основном вторым слагаемым, которое
трона. Покажем, что время t позволяет с высокой
из-за значительно меньшей скорости нейтрона бо-
точностью определить координату z0. Время за-
лее чувствительно к изменению z0.
держки складывается из двух слагаемых — време-
ни пролета меченого нейтрона до точки рассеяния
В реальной ситуации, кроме водорода, в объекте
и времени пролета рассеянного нейтрона до точки
имеются и другие элементы. Рассеяние меченых
его регистрации. Имеем
нейтронов на этих элементах приведет к появлению
√
z0
L
фона. Так, например, в случае взрывчатого ве-
t=
+
,
L = (d - z0)2 + h2,
(1)
щества TNT (C7H5N3O6) вероятность рассеяния
V0
V
√
√
на C7N3O6 в ∼6 раз больше, чем на H5. Пока-
2E0
2E0 cos2 θ
d-z0
жем, что проблему фона можно решить на основе
V0 =
,
V =
,
cos θ =
,
m
m
L
выделенности рассеяния нейтронов на водороде
с помощью регистрации нейтронов координатно-
где E0 — энергия меченого нейтрона, V0 и V —
чувствительным детектором. Выделенность водо-
скорость нейтрона до и после рассеяния, θ — угол
рода хорошо проявляется на графике зависимости
рассеяния, d и h определяют положение детектора
относительно оси Z. На рис. 2 приведена зави-
энергии рассеянного нейтрона (определяющей вре-
симость t(z0) при d = 110 см и трех значениях
мя задержки) от угла рассеяния En(θ). На рис. 3
h, равных 100, 200, 300 см. С ростом z0 время
приведено сравнение En(θ) водорода с углеродом.
t монотонно растет, откуда и следует, что время
Начальная энергия нейтронов 14 МэВ. Жирная
ЯДЕРНАЯ ФИЗИКА том 85
№4
2022
НЕЙТРОННЫЙ МЕТОД ИЗМЕРЕНИЯ
251
Время, нс
800
600
400
300 см
200
200 см
100 см
0
20
40
60
80
100
120
z0, см
Рис. 2. Графики зависимости времени регистрации нейтрона t(z0) при расположении точечного детектора на расстоянии
d = 110 см вдоль оси Z (см. рис. 1) для трех расстоянийот оси Z (h = 100, 200 и 300 см).
кривая соответствует рассеянию на водороде, тон-
энергии U (тонкие кривые) и для водорода (z =
кие кривые — рассеянию на углероде с образо-
= z0, жирная прямая). Кривые углерода получены
ванием остаточного ядра с различными энергия-
путем вычисления зависимости t(z0) по формуле
ми возбуждения (U). В случае водорода кривая
(1) с постановкой в нее V = fc(θ) для углерода, и
одна-единственная — упругое рассеяние (U = 0),
затем с помощью формулы (1) для водорода (т.е.
она исчерпывает все полное сечение рассеяния
с постановкой V = f(θ), см. формулу (1)) вычис-
(∼0.7 бн), с ростом θ резко спадает до En =
ляется z(z0). На рис. 4 указаны соответствующие
= 0 и охватывает диапазон углов 0◦-90◦. В слу-
значения энергии (U) и сечения рассеяния (σ).
чае углерода полное сечение рассеяния (∼1.2 бн)
Расчет проведен при h = 100 см и d = 110 см. Ри-
раздроблено во множество способов рассеяния с
сунок позволяет оценить отношение эффект/фон.
различными U ≥ 0, с ростом θ спадает медленно и
Пусть, например, объект состоит из смеси ато-
охватывает весь диапазон углов (0◦-180◦). Каче-
мов водорода и углерода в равных количествах
ственно картина такая же и для других ядер.
и охватывает интервал z0 = 60-90 см (обозначен
Рассмотрим, как выделенность водорода сказы-
штрихами). Все события рассеяния нейтронов на
вается на отношении эффект/фон. Для простоты
углероде, попадающие в интервал z = 60-90 см,
сначала по-прежнему будем считать, что нейтро-
являются фоновыми событиями. Видно, что фон
ны регистрируются точечным детектором. Заметим,
обусловлен лишь двумя кривыми U = 10.8 МэВ и
что безотносительно того, на каком элементе про-
U = 11.8 МэВ. Их суммарное сечение составляет
исходит рассеяние, точка рассеяния в действитель-
0.031 бн, тогда как полное сечение рассеяния —
ности определяется по формуле (1), справедливой,
1.2 бн, т.е. лишь 2.5% нейтронов, рассеянных на
однако только в случае рассеяния на водороде. По-
углероде, могут создавать фон. Отношение эф-
этому при рассеянии на водороде расчетная точка
(z) совпадает с реальной точкой (z0) рассеяния
фект/фон равно 2(0.7/0.031) = 45, где 0.7 — се-
так, что всегда z = z0, а при рассеянии на других
чение рассеяния водорода, фактор ∼2 связан с
элементах z0 = z. На рис. 4 приведена зависимость
различием угловых диапазонов рассеяния на водо-
z от z0
для углерода при различных значениях роде (0◦-90◦) и углероде (0◦-180◦). Полученное
ЯДЕРНАЯ ФИЗИКА том 85
№4
2022
252
БАКАЛЯРОВ, МУРАДЯН
Энергия рассеянного нейтрона, МэВ
14
U = 0
12
σ = 0.7
U = 0
σ = 0.8
10
U = 4.439
σ = 0.21
8
U = 7.653
6
σ = 0.02
U = 9.638
4
σ = 0.0065
U = 10.8
U = 11.8
σ = 0.0195
2
σ = 0.0113
U = 12.7
σ = 0.0047
0
20
40
60
80
100
120
140
160
180
Угол рассеяния нейтрона, град
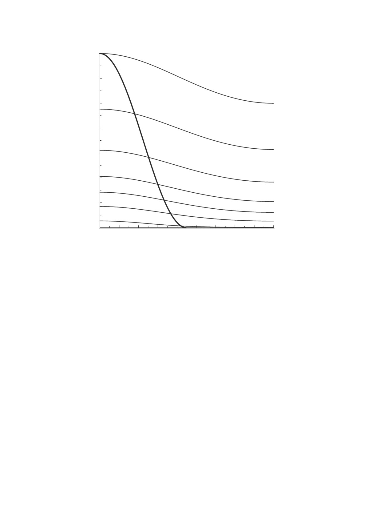
Рис. 3. Сравнение графиков зависимостей энергии рассеяния нейтронов с начальной энергией 14 МэВ на водороде и
углероде от угла рассеяния. Толстая кривая — рассеяние на водороде (упругое рассеяние, энергия возбуждения U = 0).
Остальные кривые — рассеяниена углеродес различными энергиямивозбуждения.На каждой кривой показаны энергии
возбуждения (U) и сечения взаимодействия нейтронов с энергией 14 МэВ по каждому из каналов рассеяния.
отношение соответствует среднему по интервалу
(всегда z совпадает с z0), а в случае рассеяния
(30 см) значению фона. Но, как видно из рис. 4,
на углероде z будет перемещаться от z1 при d1 =
среднее значение совершенно не передает характер
= 110 см до z2 ≈ z1 + 50 при d = 160 см. Поэтому
фона — двух узких участков — около z ≈ 78 см с
при суммировании событий, зарегистрированных
шириной Δz ∼ 1.5 см и около z ∼ 65 см с шири-
в различных точках, использование координатно-
ной Δz ∼ 3 см. Обычно в объекте присутствуют
чувствительного детектора увеличивает как эф-
несколько элементов, и соответственно число пи-
фект, так и фон, но фон при этом усредняет-
ков значительно больше. Их невозможно отличить
ся и сглаживается, а эффект увеличивается без
от эффекта, обусловленного неравномерным рас-
какого-либо размытия. Уровень сглаженного фона
пределением водорода в объекте.
в интервале z = 60-90 см можно оценить по чис-
лу событий вне этого интервала, где регистрация
Покажем, что фон усреднится и станет глад-
рассеяния на водороде заведомо отсутствует. Там
ким, если для регистрации нейтронов использовать
присутствует только фон.
координатно-чувствительный детектор. При этом
Для более точного рассмотрения и наглядной
усреднение не коснется эффекта. Это следует из
иллюстрации водородного метода было проведено
того, что при переносе точечного детектора (рис. 1)
численное моделирование.
на другое расстояние d линия водорода (z = z0)
останется неизменной (рис. 4), а кривые других
элементов (в данном случае — углерода) переме-
3. ЧИСЛЕННОЕ МОДЕЛИРОВАНИЕ
стятся вдоль оси z. Так, например, если вместо
МЕТОДА
d = 110 см (рис. 4) взять d = 160 см (рис. 5),
Моделирование проводилось методом Монте-
кривые углерода переместятся на ∼50 см. Это
Карло с помощью программного пакета
означает, что при любой данной точке рассеяния
GEANT-CALOR [12]. Схема моделируемой уста-
(z0) координата z с изменением d от 110 до 160 см
новки приведена на рис. 6. Для регистрации ней-
в случае рассеяния на водороде не будет меняться
тронов используется сцинтилляционный детектор
ЯДЕРНАЯ ФИЗИКА том 85
№4
2022
НЕЙТРОННЫЙ МЕТОД ИЗМЕРЕНИЯ
253
Z, см
U = 12.7 МэВ
100
σ = 0.005
U = 11.8 МэВ
σ = 0.01
80
ΔZ = 1.5 см
U = 10.8 МэВ
σ = 0.02
ΔZ = 3 см
60
U = 9.638 МэВ
H
σ = 0.07
U = 0
40
σ = 0.7
U = 7.653 МэВ
σ = 0.02
U = 4.439 МэВ
20
σ = 0.2
U = 0 МэВ
σ = 0.8
0
20
40
60
80
100
Z0, см
Рис. 4. Сравнение графиков зависимостей расчетной точки рассеяния на водороде (z) от реальной точки рассеяния (z0)
для водорода и углерода. Толстые кривые — рассеяние на водороде, тонкие кривые — рассеяние на углероде. Расчет
приведен для d = 110 см и h = 100 см (см. рис. 1). На графиках указаны энергии уровней и сечения взаимодействия для
каждого из каналов рассеяния для первичной энергии нейтрона 14 МэВ.
в виде кольцевого цилиндрического слоя толщиной
обработки результатов моделирования была на-
2 см, длиной 50 см и внутренним радиусом 49 см.
писана отдельная программа, которая позволяет
Объект — мишень в форме диска — помещается
по измеренным времени задержки и координатам
регистрации определить точку рассеяния z0 на
в центре детектора. Источник меченых нейтронов
оси Z в предположении, что рассеяние произо-
(14 МэВ) расположен на расстоянии 100 см от
шло на водороде. Временная неопределенность
центра мишени. Рассматривалось два варианта
регистрации имитировалась размыванием времени
моделирования. В первом варианте нейтроны
регистрации нейтрона по Гауссу с шириной на
распространялись строго вдоль оси Z (диаметр
полувысоте Δt = 0.7 нс. Учет неопределенности
пучка D = 0). Во втором варианте нейтроны
местоположения точки регистрации проводился
распространялись изотропно внутри узкого конуса,
следующим, достаточно точным, способом. В каче-
охватывая в центре мишени круг диаметром D =
стве места регистрации бралась случайная точка на
= 3 см. При моделировании информация сохраня-
пространственной сфере с центром с координатами
лась в событийном файле, где записывались: вы-
(x′y′z′) и с радиусом, имеющим распределение
деленная в детекторе энергия; время регистрации
Гаусса с шириной на полувысоте, равной Δr =
нейтрона; координаты (x′y′z′) точки, являющейся
= 1 см.
пересечением прямой движения рассеянного ней-
трона с цилиндрической поверхностью R = 50 см
Результатом моделирования является распре-
в детекторе; кратность взаимодействия нейтрона
деление по z всевозможных событий (N), пред-
в мишени; сведения о первом взаимодействии
ставляющих сумму эффект + фон, и фоновых со-
меченого нейтрона с ядрами мишени — атомный
бытий (Φ). Последние получаются отбрасыванием
номер ядра и координаты взаимодействия. Рас-
событий эффекта, идентифицируемых как одно-
сеянный нейтрон считался зарегистрированным,
кратное взаимодействие нейтрона в мишени, при
если выделенная в детекторе энергия с учетом
условии, что это взаимодействие происходит на
коэффициента Биркса превышает 10 кэВ. Для
водороде.
ЯДЕРНАЯ ФИЗИКА том 85
№4
2022
254
БАКАЛЯРОВ, МУРАДЯН
U = 9.638 МэВ
Z, см
σ = 0.07
100
U = 7.653 МэВ
σ = 0.02
80
60
H
U = 0
40
σ = 0.7
U = 4.439 МэВ
σ = 0.2
20
U = 0 МэВ
σ = 0.8
0
20
40
60
80
100
Z0, см
Рис. 5. То же, что и на рис. 4, но для d = 160 см и h = 100 см (см. рис. 1).
детектор
мишень
источник
n
нейтронов
n'
Рис. 6. Схема моделируемой установки. n — падающий нейтрон с энергией 14 МэВ, n′ — рассеянный нейтрон.
4. РЕЗУЛЬТАТЫ МОДЕЛИРОВАНИЯ
отношения эффект/фон, что характерно для метода
зондирования. В каждом расчете было разыграно
Расчет проводился для двух дисков из TNT
2 × 108 первичных нейтронов.
(плотность 1.6 г/см2) диаметром 4 см, существенно
различающихся по толщине — 2 мм и 50 мм —
На рис. 7 приведена зависимость числа событий
и одного диска из воды диаметром 4 см и тол-
от координаты z (отсчитываемой от центра диска)
для тонкого диска при нулевых неопределенностях
щиной 50 мм. Можно ожидать, что многократные
взаимодействия нейтронов и самоэкранировка в
(Δt = 0, Δr = 0 и D = 0). Черная кривая (N) соот-
случае тонкого диска практически не повлияют
ветствует числу всех зарегистрированных событий
на результаты расчета; в случае толстого диска
(эффект + фон), серым наполнением выделен фон
приведут к увеличению эффекта, но к ухудшению
(Φ). На рис. 8a приведен тот же график в широком
ЯДЕРНАЯ ФИЗИКА том 85
№4
2022
НЕЙТРОННЫЙ МЕТОД ИЗМЕРЕНИЯ
255
Число событий/0.2 мм
3000
2000
1000
0
-8
-4
0
4
8
Z, мм
Рис. 7. Графики зависимости числа событий от координаты z (отсчитываемой от центра диска) для тонкого диска
(толщина 2 мм) при нулевых неопределенностях (Δt = 0, Δr = 0 и D = 0). Черная кривая соответствует числу всех
зарегистрированных событий (эффект + фон), серым наполнением выделен фон.
диапазоне по z. Видно, что эффект (N-Φ) имеет
можно аппаратурно совместить с методом изме-
прямоугольную форму и точно передает располо-
рения содержания других элементов, в частности,
жение диска и его толщину. Фон гладкий и прене-
с γ-методом, что позволит значительно расширить
брежимо мал. Это позволяет найти фон по числам
круг идентифицируемых веществ, повысить надеж-
отсчетов вне объекта. Включение неопределенно-
ность и эффективность их обнаружения. Это обу-
словлено с подключением в анализ столь распро-
стей Δt = 0.7 нс, Δr = 1 см (D = 0) приводит к
страненного элемента, как водород, и — что также
увеличению полуширины пика до 12 мм (рис. 8б).
важно — высокой скоростью набора статистики в
В случае D = 3 см, Δt = 0 и Δr = 0 полуширина
водородном методе по сравнению с γ-методом.
составляет 35 мм (рис. 8в). Подключение неопре-
Для сравнения скорости набора эффекта в этих
деленностей Δt = 0.7 нс, Δr = 1 см практически не
методах были вычислены площади соответствую-
влияет на полуширину (рис. 8г).
щих пиков при одинаковых мишенях TNT и потоке
На рис. 9 приведены результаты расчета с тол-
меченых нейтронов. Площадь γ-пиков оценива-
стым (50 мм) диском при учете всех трех неопре-
лась с использованием результатов работы [10], в
деленностей для диска из воды (рис. 9а) и диска из
которой проведен расчет γ-метода для установки
TNT (рис. 9б). Видно, что неопределенности уве-
с 12 сцинтилляторами BGO ∅7.6 × 7 см, распо-
личивают полуширину пика немного — на ∼1 см.
ложенных на расстоянии 30 см от центра мишени.
Из сравнения рис. 8г и 9б следует, что площадь
Площадь водородного пика оказалась в 50 раз
пика с толстым диском в ∼13 раз больше площади
больше площади γ-пика углерода (4.4 МэВ), в
пика с тонким диском (2 мм), и при этом отношение
580 раз — пика азота (5.1 МэВ) и в 120 раз — пика
кислорода (6.1 МэВ).
эффект/фон уменьшится лишь в ∼2.5 раза.
Заметим, что в совмещенном методе площадь
Рассмотрим возможность использования водо-
нейтронного детектора можно взять на порядок
родного метода для обнаружения вложений в объ-
меньше, например, вместо кольцевого детектора
екте. Очевидно, что измерения содержания одного
взять четыре детектора длиной по 50 см и шириной
лишь водорода недостаточно для идентификации
∼8 см. При этом скорость счета в водородном ме-
вещества вложения. Однако водородный метод
тоде будет все еще большой, в ∼50 раз по отноше-
ЯДЕРНАЯ ФИЗИКА том 85
№4
2022
256
БАКАЛЯРОВ, МУРАДЯН
Число событий/0.2 см
Число событий/0.2 см
16000
8000
а
б
12000
6000
8000
4000
4000
2000
0
0
-20
-10
0
10
20
-20
-10
0
10
20
Z, см
Z, см
Число событий/0.2 см
Число событий/0.2 см
2500
2500
в
г
2000
2000
1500
1500
1000
1000
500
500
0
0
-20
-10
0
10
20
-20
-10
0
10
20
Z, см
Z, см
Рис. 8. Графики зависимости числа событий от координаты z (отсчитываемой от центра диска) для тонкого диска
(толщина 2 мм). Черная кривая соответствует числу всех зарегистрированных событий (эффект + фон), серым
наполнением выделен фон. а — неопределенности Δt = 0, Δr = 0 и D = 0. б — неопределенности Δt = 0.7 нс, Δr =
= 1 см и D = 0. в —неопределенности Δt = 0, Δr = 0 и D = 3 см. г— неопределенности Δt = 0.7 нс, Δr = 1 см и
D = 3 см.
нию к азоту. Обратим внимание, что именно слабо-
точным измерение содержания водорода, углерода
стью азотного пика обусловлена большая длитель-
и/или кислорода, и соответственно не потребуется
ность измерений в γ-методе. В совмещенном же
методе во многих случаях может оказаться доста- длительных измерений. В случае необходимости
ЯДЕРНАЯ ФИЗИКА том 85
№4
2022
НЕЙТРОННЫЙ МЕТОД ИЗМЕРЕНИЯ
257
Число событий/0.2 см
60 000
а
40 000
20 000
0
-20
-10
0
10
20
Z, см
Число событий/0.2 см
25 000
б
20 000
15 000
10 000
5000
0
-20
-10
0
10
20
Z, см
Рис. 9. Графики зависимости числа событий от координаты z (отсчитываемой от центра диска) для толстого диска
(толщина 50 мм) из воды (a) и TNT (б). Черная кривая соответствует числу всех зарегистрированныхсобытий (эффект +
+ фон), серым наполнением выделен фон. Координата z изменяется от -20 до +20 см. Неопределенности Δt = 0.7 нс,
Δr = 1 см и D = 3 см.
проверки наличия азота можно проводить более
мерений и соответственно сократить расход ресур-
длительные измерения. Такой подход позволит в
са нейтронного источника. Это откроет возмож-
разы сократить среднюю продолжительность из-
ность широкого внедрения метода зондирования.
ЯДЕРНАЯ ФИЗИКА том 85
№4
2022
258
БАКАЛЯРОВ, МУРАДЯН
СПИСОК ЛИТЕРАТУРЫ
V. I. Ryzhkov, and T. O. Khasaev, Instrum. Exp. Tech.
52, 497 (2009).
1. A. Beyerle, J. P. Hurley, and L. Tunnell, Nucl. Instrum.
7. Y. Rogov, V. Kremenets, M. Sapozhnikov, and
Methods A 299, 458 (1990).
M. Sebele, Instruments 4(4), 33 (2020).
2. S. Mitra, J. E. Wolff, and R. Garrett, Appl. Radiat.
Isot. 49, 537 (1998).
8. I. Bolshakov, M. Kolesnik, M. Sorokin, V. Kremenets,
3. T. Gozani, Nucl. Instrum. Methods B 213,
460
E. Razinkov, Y. Rogov, and M. Sapozhnikov, Int. J.
(2004).
Mineral Proc. Extract. Metall. 5(4), 54 (2020).
4. B. Perot, C. Carasco, S. Bernard, A. Mariani,
9. B. P ´erot, C. Carasco, C. El ´eon, S. Bernard, A. Sardet,
J.-L. Szabo, E. Mercier, G. Sannie, G. Viesti,
W. El Kanawati, C. Deyglun, G. Perret, G. Sanni ´e,
G. Nebbia, S. Pesente, M. Lunardon, S. Moretto,
V. Valkovic, D. Sudac, J. Obhodas, S. Moretto,
D. Fabris, A. Zenoni, G. Bonomi, A. Donzella, et al.,
G. Nebbia, C. Fontana, F. Pino, et al., EPJ Nuclear
Nucl. Instrum. Methods B 261, 295 (2007).
Sci. Technol. 7, 6 (2021).
5. В. М. Быстрицкий, В. В. Герасимов, Н. И. Замятин,
10. А. М. Бакаляров, Г. В. Мурадян, ЯФ 81, 592 (2018)
Е. В. Зубарев, В. Г. Кадышевский, А. П. Кобзев,
[Phys. At. Nucl. 81, 645 (2018)].
А. Р. Крылов, А. А. Ноздрин, В. Л. Рапацкий,
11. C. Carasco, B. P ´erot, and A. Sardet, Nucl. Instrum.
Ю. Н. Рогов, А. Б. Садовский, А. В. Саламатин,
Methods A 951, 163030 (2020).
М. Г. Сапожников, А. Н. Сисакян, В. М. Слепнев,
12. C. Zeitnitz and T. A. Gabriel, Nucl. Instrum. Methods
Письма в ЭЧАЯ 6, 831 (2009).
A 349, 106 (1994).
6. M. D. Karetnikov, A. I. Klimov, K. N. Kozlov,
E. P. Bogolyubov, S. A. Korotkov, V. I. Nazarov,
NEUTRON METHOD FOR MEASURING THE VOLUME DISTRIBUTION
OF HYDROGEN IN VARIOUS OBJECTS
A. M. Bakalyarov1), G. V. Muradian1)
1)National Research Center “Kurchatov Institute”, Moscow, Russia
A method for measuring the volume distribution of hydrogen in various objects using tagged neutron
sensing is proposed. The existing methods of such probing, which allow measuring the distribution of
a number of elements, are not applicable to hydrogen, because they are based on the registration of a
reaction with the emission of gamma quanta, which is practically absent in hydrogen at the energy of
tagged neutrons. Meanwhile, hydrogen is of great interest — it is part of many substances, including
organic compounds — in particular, explosives. In the proposed method, neutrons emitted from the object
are registered and the registration time is measured. A method is described for isolating hydrogen scattering
cases from a set of registered neutrons and determining the coordinates of the scattering point. Numerical
simulation is carried out and it is shown that the method provides high spatial resolution and a fast set of
hydrogen scattering events. It can be combined with existing methods of measuring the distribution of other
elements, which will expand the range of identifiable substances and significantly reduce the consumption
of the neutron source resource.
ЯДЕРНАЯ ФИЗИКА том 85
№4
2022