ЯДЕРНАЯ ФИЗИКА, 2022, том 85, № 6, с. 448-453
ЭЛЕМЕНТАРНЫЕ ЧАСТИЦЫ И ПОЛЯ
ПРИРОДНЫЕ ПОТОКИ ТЕПЛОВЫХ НЕЙТРОНОВ И ГЕОФИЗИКА
© 2022 г. Ю. В. Стенькин1)*
Поступила в редакцию 18.06.2022 г.; после доработки 18.06.2022 г.; принята к публикации 18.06.2022 г.
Природные потоки тепловых нейтронов имеют два источника: космические лучи и естественная
радиоактивность. Благодаря большому времени жизни свободных нейтронов они успевают пройти
до поглощения значительные расстояния в среде обитания, если среда не содержит элементов с
большим сечением захвата нейтронов. При этом их реальное время жизни и проходимые расстояния
определяются свойствами среды, с которой они находятся в динамическом равновесии. На достаточ-
ных глубинах под землей основным источником нейтронов является естественная радиоактивность
за счет (α, n)-реакций на легких ядрах земной коры. Большую роль в этом процессе играет
радиоактивный газ радон, особенно его долгоживущий изотоп Rn-222, способный мигрировать на
значительные расстояния: на десятки метров в грунте и на километры в атмосфере. Это означает, что
изменения среды, вызванные различными геофизическими процессами либо лунно-солнечно-земными
явлениями, должны отражаться и на нейтронном потоке, выходящем из земной коры. В работе
представлен краткий обзор работ на эту тему и их обсуждение.
DOI: 10.31857/S0044002722060125
1. ВВЕДЕНИЕ
поток тепловых нейтронов в среде, попытаться изу-
чать таким образом свойства среды. На самом деле
Изучение природных нейтронных потоков имеет
такая задача давно решается в прикладных техни-
долгую историю, которая началась вскоре после
ческих задачах, когда нейтроны используются не
открытия нейтрона в 1935 г. Так, в работе [1]
как объект исследований, а как инструмент: это,
были сделаны первые оценки нейтронного потока
например, нейтронография или нейтронный каро-
в атмосфере. Было показано, что рожденные там
таж в геологии. Мы предложили лишь расширить
космическими лучами нейтроны не улетают далеко
область подобных исследований, используя ней-
от места рождения, постепенно замедляясь и затем,
троны как инструмент для изучения различных гео-
захватываясь ядрами среды, потеряв энергию пу-
физических и геодинамических процессов. Ниже
тем неупругого, а затем упругого рассеяния.
будут показаны примеры подобных исследований.
В начале 1950-х гг. экспериментальное изучение
нейтронных потоков привело к созданию Нейтрон-
2. ГЕНЕРАЦИЯ И ДИФФУЗИЯ РАДОНА
ного Монитора (НМ), прибора, предназначенного
И НЕЙТРОНОВ В ПРИРОДЕ
для непрерывного мониторирования космических
лучей низких энергий, производящих вторичные
В атмосфере и на поверхности земли основным
нейтроны в свинцовой мишени, окруженной замед-
источником природных нейтронов являются кос-
лителем [2]. Толстый замедлитель (парафин либо
мические лучи, взаимодействующие с ядрами воз-
полиэтилен) не только замедляет нейтроны, но и
духа и верхнего слоя грунта (а также с веществом
экранирует расположенные внутри НМ борные га-
зданий, где расположен детектор). Как показывают
зовые пропорциональные счетчики нейтронов, за-
экспериментальные данные, на поверхности земли
щищая их от внешних тепловых нейтронов. Задачей
около 90% нейтронов рождены космическими лу-
разработчиков НМ было создание прибора для из-
чами. Это определяется путем измерения баромет-
мерения вариаций космических лучей, минимально
рического коэффициента, который чуть меньше ко-
зависящего от метео- и прочих природных условий.
эффициента, известного для адронов космических
Вскоре была создана мировая сеть таких приборов,
лучей. На глубинах более ∼10 м под землей, куда
работающая и по сей день.
не доходят адроны космических лучей, основным
источником становится естественная радиоактив-
Но можно поставить и попытаться решить и
ность, в основном уранового и ториевого радиоак-
обратную задачу, а именно, регистрируя природный
тивных рядов. При этом наибольший вклад в ге-
нерацию нейтронов дают (α, n)-реакции на легких
1)Институт ядерных исследований Российской академии
наук, Москва, Россия.
ядрах земной коры типа Be, F, B, Na, Al, Si и др.
*E-mail: stenkin@sci.lebedev.ru
Ясно, что в атмосфере эти элементы отсутствуют
448
ПРИРОДНЫЕ ПОТОКИ ТЕПЛОВЫХ НЕЙТРОНОВ
449
и, значит, там этот источник нейтронов отсутствует,
рождение нейтронов в молниевых разрядах, сезон-
зато в земной коре, напротив, это основной источ-
ные и лунно-приливные волны, явления солнечно-
ник (пренебрегая малой добавкой от спонтанного
земных связей типа форбуш-эффекта, GLE и др.
деления тяжелых нуклидов).
Нейтроны, образованные в этих реакциях, име-
3. ОБЗОР ЭКСПЕРИМЕНТАЛЬНЫХ РАБОТ
ют МэВные энергии и их дальнейшая судьба зави-
сит от свойств среды, т.е. грунта: от его влажности,
3.1. История исследований
наличия довольно редких элементов, поглотителей
Экспериментальное изучение геонейтронов на-
нейтронов типа Li, B, Cd и др. Замедлившись,
чалось в конце 1940-х-начале 1950-х гг., когда
нейтроны захватываются ядрами среды. Типичное
сначала были обнаружены нейтроны в широких
время жизни нейтронов в стандартном грунте, со-
атмосферных ливнях (ШАЛ) [3], затем в процессе
стоящем в основном из SiO2, составляет ∼1 мс.
создания нейтронных мониторов [2] были проведе-
За это время они могут пройти несколько метров
ны многочисленные измерения нейтронных пото-
грунта. Наличие грунтовых вод может уменьшить
ков в различных геологических и географических
это время, так как время жизни нейтронов в воде
условиях. Было обнаружено, что осадки и погодные
составляет около 0.2 мс. Таким образом, как и
условия существенно влияют на показания детек-
отмечалось в работе [1], нейтроны, вне зависимости
торов. Это вынудило разработчиков нейтронных
от среды, не уходят далеко от места своего рожде-
мониторов заэкранировать их от внешнего пото-
ния.
ка тепловых нейтронов толстым слоем парафина
Другое дело инертный газ радон Rn-222, име-
(полиэтилена). Затем началось исследование при-
ющий много большее время жизни — более 5 сут.
родного потока нейтронов с помощью неэкрани-
Его генерация идет непрерывно по всему объе-
рованных сцинтилляционных детекторов [4]. Да-
му грунта, откуда он может диффундировать на
лее группой из НИИЯФ МГУ под руководством
значительные расстояния, смешавшись с прочими
Б.М. Кужевского предпринимались эпизодические
подземными газами: метаном, углекислым газом,
попытки поиска корреляций этого потока с различ-
воздухом и т.д. Коэффициент этой диффузии зави-
ными геофизическими явлениями [5] с помощью га-
сит существенно от свойств грунта — температуры,
зовых гелиевых счетчиков. К сожалению, счетчики
разности давления газов между соседними слоями
не обладали требуемой стабильностью, скорость
грунта, между ближайшим к поверхности слоем
счета “нейтронов” скачкообразно изменялась в
грунта и атмосферным давлением, трещиновато-
сотни раз. В результате “корреляции” таких вы-
сти, пористости, от грунтовых вод, насыщенных
бросов были обнаружены со многими природными
радоном и т.д. Именно это обстоятельство делает
явлениями: далекими землетрясениями, лунными
концентрацию радона в данной точке зависящей от
затмениями и т.д. Тем не менее, эти работы стиму-
свойств среды и от ее изменений. Это, в свою оче-
лировали нас к проведению подобных исследова-
редь, позволяет изучать свойства среды, измеряя
ний на другом экспериментальном уровне.
природный поток тепловых нейтронов (геонейтро-
нов), находящийся в динамическом равновесии с
концентрацией радона в окружающем детектор ве-
3.2. Создание эн-детекторов
ществе, толщиной несколько метров. Такими гео-
физическими процессами, изменяющими свойства
В рамках проекта PRISMA [6] нами был раз-
среды, могут быть землетрясения, извержения вул-
работан большой сцинтилляционный детектор для
канов поблизости, приливные волны в земной коре,
регистрации нейтронов в ШАЛ [7]. Детектор, на-
собственные колебания Земли и прочее. Отметим,
званный позднее как электронно-нейтронный (эн-
что данный метод имеет неоспоримое преимуще-
детектор), благодаря высокой чувствительности и
ство перед традиционным методом прямого изме-
высокой стабильности оказался удобным прибо-
рения концентрации радона в окружающем воз-
ром не только для измерения нейтронов в ШАЛ,
духе. Показания радонометра очень нестабильны,
но и для непрерывного мониторирования любых
поскольку они чувствительны к любому движению
природных потоков тепловых нейтронов. Его ос-
воздуха, т.е. к вентиляции, сквознякам, а также
нову составляет тонкий слой (50 мг/см) светосо-
к влажности воздуха. В случае регистрации ней-
става (сплава) из неорганического сцинтиллятора
тронов под землей этих проблем нет, поскольку
ZnS(Ag) и борсодержащего вещества на основе
нейтроны собираются с толщин грунта в несколько
необогащенного бора. Сцинтиллятор помещен в
метров вокруг детектора. Как уже отмечалось, в
стандартный пластиковый бак для воды на 200 л
воздухе нейтроны не образуются.
и просматривается одним фотоумножителем с диа-
Если же детектор расположен на поверхности
метром фотокатода 10 см. Для увеличения свето-
земли, то там с его помощью можно изучать другие
сбора установлен светоотражающий конус из эла-
геофизические явления, например, гипотетическое
стичного пластика с хорошим светоотражением.
ЯДЕРНАЯ ФИЗИКА том 85
№6
2022
450
СТЕНЬКИН
Площадь сцинтиллятора 0.36 м2, эффективность
В отличие от других подобных исследований, в той
регистрации тепловых нейтронов ∼20%. Одним
работе применялась оцифровка и анализ формы
из важнейших свойств сцинтиллятора является
импульсов детектора, что позволило полностью
наличие у него нескольких временных констант
избавиться от неизбежных в таком эксперименте
высвечивания с интенсивностями, зависящими от
помех и наводок, создаваемых мощнейшими силь-
скорости частиц, что позволяет использовать метод
ноточными молниевыми разрядами. В результате
разделения сигналов по форме импульса. В резуль-
было показано, что даже в случае очень близкого
тате анализа формы оцифрованного импульса мы
удара молнии никакого превышения нейтронного
не только надежно избавляемся от шумов и элек-
потока не наблюдалось. Более того, наблюдалось
тромагнитных наводок, но и разделяем сигналы от
небольшое снижение этого потока на несколько
захвата нейтрона и от быстрых заряженных частиц.
процентов, связанное с выпавшими обильными
Другим важным свойством детектора является его
осадками. На следующий день поток вернулся к
тонкий сцинтиллятор. В результате быстрые за-
обычному уровню.
ряженные частицы производят в нем очень сла-
бый сигнал, лежащий в кэВной области, что ни-
С осадками связан и наблюдаемый на всех таких
же порога регистрации, составляющего примерно
установках сезонный эффект. Наиболее наглядно
три чаcтицы (mip). Это обстоятельство определяет
он проявился на тибетской установке PRISMA-
очень низкий фон детектора, составляющий лишь
YBJ на высоте 4300 м, где не бывает постоянного
снежного покрова, а сезоны зима-лето отлича-
∼1/с, поскольку он не чувствителен к обычному
ются, помимо температуры, количеством осадков:
радиоактивному фону и к одиночным мюонам кос-
мических лучей. Помимо сигналов от захвата ней-
зима — сухой сезон, лето — мокрый. Поскольку
вода как водородосодержащее вещество хорошо
тронов он считает лишь групповые прохождения
замедляет нейтроны и относительно сильно их
трех и более заряженных частиц, например, ШАЛ
поглощает, то зимой там наблюдается максимум
(что используется при работе детектора в составе
нейтронного потока, а летом, с началом сезона
шаловской установки), мюоны или проскочившие
протоны космических лучей с сопровождением,
дождей, он резко падает [10]. Похоже, но только
а также бета-распады радиоактивных нуклидов
более плавно ведет себя другая компонента, изме-
вблизи детектора, когда вылетевший электрон со-
ряемая эн-детекторами, чувствительная к концен-
провождается серией гамма-квантов. Последнее
трации радона в воздухе. Наконец, в той же работе
обстоятельство открывает еще одну важную об-
приведен график лунного синодического месяца,
ласть применения данных детекторов — монито-
полученный методом наложения эпох, где отчетли-
рирование концентрации в воздухе радиоактивных
во видна четвертая гармоника с амплитудой около
изотопов, продуктов распада радона, в основном
0.5% и периодом около 7.5 сут. Лунно-приливные
Bi-214 и Pb-214 [8].
волны наблюдались и на других наших установках,
в частности, полусуточная волна M2 с амплиту-
дой около 0.1%. Ясно, что для регистрации таких
3.3. Результаты, полученные с использованием
слабых вариаций детектор должен обладать очень
эн-детекторов
хорошей стабильностью, а система сбора данных
Для изучения вариаций природных потоков
должна обязательно содержать полную оцифровку
тепловых нейтронов на базе эн-детекторов была
формы импульса и его онлайн анализ.
создана мировая сеть небольших вариационных
установок в различных географических и геологи-
Как отмечалось выше, диффузия радона в грун-
те зависит от его пористости и трещиноватости.
ческих условиях: в Москве (в ИЯИ РАН, в МИФИ,
в НИИЯФ МГУ), на Северном Кавказе (БНО
Любая встряска, производимая землетрясениями,
ИЯИ РАН), в Тибете (сначала в Янгбаджинге,
способна изменить эти параметры, изменяя тем
затем в Лхасе в Тибетском университете), на
самым динамику диффузии радона, а значит, и ней-
Камчатке (Институт вулканологии). Ранее такие
тронный поток в грунте и приземном слое воздуха
установки работали также в Италии (Gran Sasso,
и в подземных помещениях. Во время работы уста-
LNGS) и в Обнинске (Геофизическая служба
новки PRISMA-YBJ (2013-2017 гг.) на расстоя-
РАН). С помощью этих установок был получен ряд
нии около 600 км от Янгбаджинга случилось ката-
интересных результатов, в том числе были обна-
строфическое землетрясение в Непале 25.04.2015
ружены несколько ранее неизвестных эффектов.
с магнитудой 7.8, сопровождавшееся длинной се-
Краткий перечень этих результатов приведен ниже.
рией афтершоков. Установка зарегистрировала два
Исследование гипотетического рождения ней-
наиболее мощных толчка, но не в скорости счета
тронов в молниевых разрядах во время гроз про-
нейтронов, а в сбое суточной нейтронной волны.
водилось на установках “Нейтрон” в МИФИ и на
Усредненная суточная волна в нейтронах имеет
поверхностных установках в МГУ и в LNGS [9].
максимум в районе 17 ч локального солнечного
ЯДЕРНАЯ ФИЗИКА том 85
№6
2022
ПРИРОДНЫЕ ПОТОКИ ТЕПЛОВЫХ НЕЙТРОНОВ
451
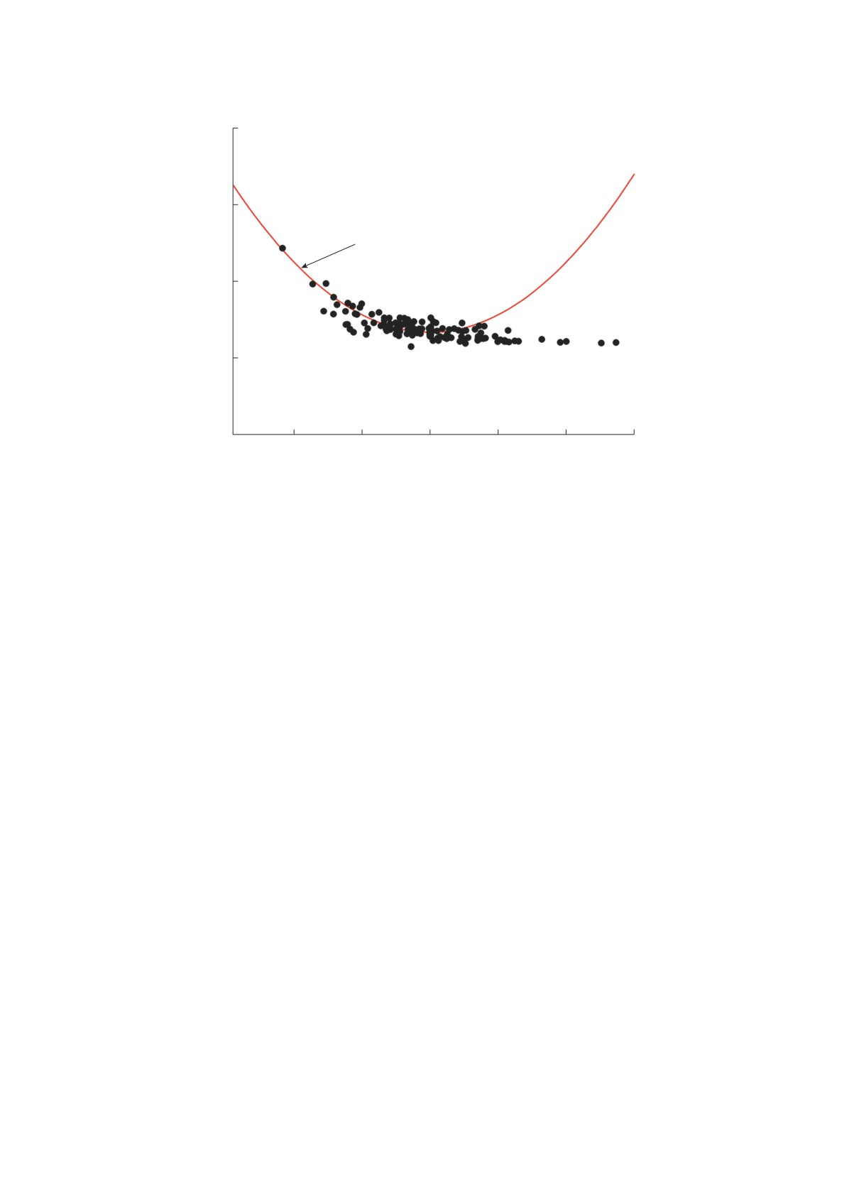
nγ/〈nγ〉
1.3
1.2
1.033 + ((x - 740)/66)2
1.1
1.0
0.9
720
730
740
750
760
770
P, мм рт. ст.
Рис. 1. Иллюстрация задержанного нелинейного пампинг-эффекта из работы [15]. Показания давления сдвинуты вперед
на 24 ч относительно показаний гамма-счетчика.
времени, а измеряемая эн-детекторами концентра-
содержат, в том числе, и радон. Значит, эффект
ция тяжелых нуклидов (по крайней мере, в Янг-
должен наблюдаться и для природных нейтронов,
баджинге) имеет максимум в дополуденное время,
так как при усиленной диффузии радона из более
т.е. в противофазе с нейтронами. В работах [11, 12],
глубоких слоев грунта, где его всегда много, к
где опубликован этот результат, был введен некий
поверхности возрастает и генерация нейтронов в
нормированный параметр, чувствительный к фазам
приповерхностном слое грунта. Это относится и к
нейтронной (n) и радоновой (charged) суточных
любым подземным помещениям, если они не имеют
волн: S = nnorm + chargednorn - 2. В обычные дни
гидро- или газоизоляции. Такой эффект действи-
волны находятся в противофазе и компенсируют
тельно был обнаружен в подземной лаборатории
друг друга, а в случае совпадения фаз на графике
установки ШАЛ-МГУ (не имеющей газоизоляции)
появляется пик. Такие пики с амплитудой более
на глубине 25 м водного эквивалента, где в на-
6σ появились 6 раз за 3.5 г. Из них три совпали
стоящее время работает небольшая установка из
с землетрясениями, один с геомагнитной бурей и
одного эн-детектора и одного гамма-детектора на
только два события не были идентифицированы.
основе кристалла CsI [13]. Отличие нейтронного
При этом максимальные пики (более 9σ) были как
пампинг-эффекта от газового состоит в том, что
раз во время непальского землетрясения. Таким
нейтроны приходят, в среднем, с глубин в несколь-
образом, такой метод дает очень мало ложных
ко метров. Значит, избыточный радон, поднимаясь
сигналов, чего нельзя сказать о методе прямого
с больших глубин, должен заполнить этот объ-
измерения концентрации радона в воздухе. Пока
ем. На это требуется время и тем большее, чем
речь не идет о возможности предсказания зем-
летрясения с помощью эн-детекторов, требуются
меньше для него коэффициент диффузии данного
дополнительные исследования.
грунта. В указанном подземном помещении это
время оказалось близким к двум суткам. Таким
образом барометрический эффект оказывается за-
3.4. Барометрический пампинг-эффект для
держанным и проявляется лишь после сдвижки на
нейтронов и гамма-фона
2 сут вперед относительно нейтронных данных. По-
сле этого измеренный задержанный барометриче-
Барометрический пампинг-эффект (pumping-
effect, или эффект откачки) для подземных газов
ский коэффициент оказался очень большим, более
давно известен геофизикам. Его суть в том, что
5% на мм рт. ст. Без такой сдвижки он близок к
при понижении атмосферного давления происходит
нулю. Отметим, что данный эффект должен учиты-
откачка подземных газов в атмосферу. Эти газы
ваться в подземных низкофоновых лабораториях,
ЯДЕРНАЯ ФИЗИКА том 85
№6
2022
452
СТЕНЬКИН
если подземное помещение не имеет специальной
измеряя вариации геонейтронов, можно судить о
газоизоляции от окружающего грунта.
состоянии и вариациях приповерхностного слоя
Наличие гамма-детектора позволило обнару-
земной коры. Таким образом, можно методами
жить с помощью этой установки еще один интерес-
ядерной (нейтронной) физики изучать различные
ный эффект — нелинейный пампинг-эффект, тео-
геофизические процессы.
рия которого для геофизических параметров среды
описана в работе [14]. Его суть состоит в том, что
если на границе двух сред (грунт-воздух, грунт-
СПИСОК ЛИТЕРАТУРЫ
вода, вода-воздух и т.д.) происходят гармониче-
ские колебания какого-либо макроскопического
1.
H. A. Bethe, S. A. Kroff, and G. Placzek, Phys. Rev.
параметра, например, температуры, давления, кон-
57, 573 (1940).
центрации вещества в растворе и т. д., то на до-
2.
C. J. Hatton, Progress in Elementary Particle and
статочно большой глубине от границы раздела сред
Cosmic Rays Physics (North-Holland, Amsterdam,
устанавливается некое квазистационарное значе-
1971), Vol. X, p. 3.
ние этого параметра. В случае изменения ампли-
3.
V. Tongiorgi, Phys. Rev. 73, 923 (1948).
туды колебаний параметра на границе изменяется
4.
G. V. Gorshkov, V. A. Zabkin, N. M. Lyatkovskaya,
также и это квазистационарное значение, причем
and O. S. Tsvetkov, Тatural Neutron Background of
не линейно, а квадратично! Такой квадратичный
the Atmosphere and the Earth’s Crust (Atomizdat,
эффект был действительно обнаружен, но пока не
Moscow, 1966) [in Russian].
в нейтронах, а в гамма-фоне [15] при аномально
5.
Б. Кужевский, Геофиз. проц. биосфера 4(1-2), 18
низком атмосферном давлении в Москве. Заме-
(2005).
тим, что этот эффект обнаруживается только при
6.
Yu. V. Stenkin, Nucl. Phys. B Proc. Suppl. 196, 293
аномально низких атмосферных давлениях и имеет
(2009).
пороговый характер, поскольку, как известно, па-
рабола слабо изменяется вблизи нулевого значе-
7.
Yu. V. Stenkin, in Nuclear Track Detectors: Design,
ния, а затем начинает резко нарастать (см. рис. 1).
Methods and Applications (Nova Sci. Publ., 2010),
Vol. 10, p. 253.
Видно, что экспериментальные точки хорошо ло-
жатся на параболу. Асимметрия точек объясняется
8.
Yu. V. Stenkin, V. V. Alekseenko, D. D. Dzhappuev,
тем, что эффект работает только при понижении
D. A. Kuleshov, A. U. Kudjaev, K. R. Levochkin,
давления, т.е. при откачке подземных газов. Видно,
O. I. Mikhailova, O. B. Shchegolev, and V. I. Ste-
panov, J. Environ. Radioact. 222, 106335 (2020).
что эффект появляется лишь при давлении ниже
725 мм рт. ст., что для Москвы является аномально
9.
V. Alekseenko, F. Arneodo, G. Bruno, A. Di Giovanni,
низким значением. В нейтронах нелинейный эф-
W. Fulgione, D. Gromushkin, O. Shchegolev, Yu.
фект пока не наблюдался, но, думаем, это вопрос
Stenkin, V. Stepanov, V. Sulakov, and I. Yashin, Phys.
времени — надо лишь дождаться продолжитель-
Rev. Lett. 114, 125003 (2015).
ного аномально низкого атмосферного давления.
10.
Y. Stenkin, V. Alekseenko, Z. Cai, Z. Cao,
C. Cattaneo, S. Cui, E. Giroletti, D. Gromushkin,
Этот эффект так же, как и линейный, должен
C. Guo, X. Guo, H. He, Ye Liu, X. Ma, O. Shchegolev,
учитываться при проведении измерений в подзем-
P. Vallania, C. Vigorito, and J. Zhao, Pure and Appl.
ных низкофоновых лабораториях, а также следует
Geophys. 174, 2763 (2017).
предусматривать газоизоляцию подземных лабо-
раторий при их строительстве.
11.
Yu. V. Stenkin, V. V. Alekseenko, Z. Cai, Zh.
Cao, Sh. Cui, X. Guo, H. He, Y. Liu, X. Mac,
O. B. Shchegolev, V. I. Stepanov, Ya. V. Yanin, and
4. ЗАКЛЮЧЕНИЕ
J. Zhao, Bull. Russ. Acad. Sci.: Phys. 83, 607 (2019).
12.
Y. Stenkin, V. Alekseenko, Z. Cai, Z. Cao,
Природные потоки тепловых нейтронов, или
C. Cattaneo, S. Cui, P. Firstov, E. Giroletti, X. Guo,
геонейтроны, находясь в динамическом равновесии
H. He, Ye Liu, X. Ma, O. Shchegolev, P. Vallania,
со средой, содержат информацию о среде и об ее
C. Vigorito, Y. Yanin, and J. Zhao, J. Environ.
динамике. Радиоактивный газ радон, являющий-
Radioact. 208-209, 105981 (2019).
ся одним из звеньев в цепочках радиоактивных
13.
Yu. V. Stenkin, V. V. Alekseenko, D. M. Gromushkin,
рядов урана и тория, постоянно производится в
V. P. Sulakov, and O. B. Shchegolev, J. Exp. Theor.
земной коре, а затем производит нейтроны в (α, n)-
Phys. 124, 718 (2017).
реакциях на ядрах легких элементов коры. Будучи
инертным газом, он вместе с прочими подземными
14.
V. N. Zyryanov, Water Resource 40, 243 (2013).
газами может мигрировать на достаточно большие
15.
Ю. В. Стенькин, В. В. Алексеенко, А. В. Игошин,
расстояния (десятки метров) в грунте. Скорость
Д. А. Кулешов, К. Р. Лёвочкин, В. И. Степанов,
этой миграции, или диффузии, зависит от пара-
В. П. Сулаков, В. В. Рулев, О. Б. Щеголев, ЖЭТФ
метров окружающего грунта. Отсюда следует, что,
158, 469 (2020).
ЯДЕРНАЯ ФИЗИКА том 85
№6
2022
ПРИРОДНЫЕ ПОТОКИ ТЕПЛОВЫХ НЕЙТРОНОВ
453
ENVIRONMENTAL FLUXES OF THERMAL NEUTRONS
AND GEOPHYSICS
Yu. V. Stenkin1)
1)Institute for Nuclear Research of the Russian Academy of Sciences, Moscow, Russia
Environmental neutrons originate from two sources: cosmic rays and natural radioactivity. Due to long
neutron lifetime, they can pass significant distance in the surrounding media if it does not content elements
with high neutron absorption ability affecting to their lifetime. They are in a dynamic equilibrium with
media and are therefore sensitive to many geophysical phenomena. At big enough depth underground
the main source of neutron production is (α, n)-reactions on light element in soil. Radioactive gas radon
Rn-222 belonging to uranium radioactive chain and migrating to long distances of tens meters in soil and
kilometers in air plays the main role here. It means that media changes caused by various geophysical or
Solar-Moon-Earth relations should affect to neutron flux from crust. A history and some results obtained
with the neutron technique are overviewed and discussed.
ЯДЕРНАЯ ФИЗИКА том 85
№6
2022