ЯДЕРНАЯ ФИЗИКА, 2023, том 86, № 2, с. 361-368
ЭЛЕМЕНТАРНЫЕ ЧАСТИЦЫ И ПОЛЯ
ФРАГМЕНТАЦИЯ ЯДЕР ПОД ВОЗДЕЙСТВИЕМ РАДИАЦИОННЫХ
ИЗЛУЧЕНИЙ РАЗЛИЧНОГО ТИПА
© 2023 г. Н. В. Новиков1)*, Н. Г. Чеченин1), А. А. Широкова1)
Поступила в редакцию 06.10.2022 г.; после доработки 06.10.2022 г.; принята к публикации 06.10.2022 г.
Предложена аналитическая аппроксимация для определения распределениянеупругих потерь энергии
заряженных фрагментов ядерных реакций в столкновении протонов, гамма-квантов и электронов
с ядром кремния. Показано, что в диапазоне энергии 3-10 ГэВ влияние процесса адронизации
на это распределение для вторичных тяжелых ионов возрастает с увеличением энергии падающего
излучения. Сильная асимметрия рассчитанного распределения при столкновениях с релятивистскими
электронами указывает на передачу импульса только небольшому фрагменту ядра.
DOI: 10.31857/S0044002723020150, EDN: RJTWGQ
1. ВВЕДЕНИЕ
где Eπ = 0.14 ГэВ, описывается в моделях состав-
ного ядра и оптической, в которых налетающая
Определение механизмов образования и распа-
частица передает часть своего импульса всему ядру
да возбужденного ядра является важной составля-
или небольшому его фрагменту. Время протекания
ющей в описании характеристик фрагментов ядер-
такой реакции соизмеримо со временем пролета
ной реакции. Прикладное значение этой задачи со-
первичной частицы (t ∼ 10-22-10-23 c), а энер-
стоит в использовании различного вида излучения
гия вторичных адронов и ядра-остатка пропор-
для экспериментов по определению радиационной
циональна энергии первичной частицы E0. Такая
стойкости элементов радиоэлектронной базы [1].
зависимость в этой области энергии объясняет-
В космическом пространстве к источникам ионизи-
ся малой вероятностью внутриядерных каскадов,
рующего облучения, кроме потока быстрых ионов с
которые могли бы перераспределить полученный
зарядом Z ≤ 92 [2], относится также электромаг-
от первичной частицы импульс между несколькими
нитное излучение от вспышек сверхновых и ней-
нуклонами.
тронных звезд, квазаров, γ-всплесков [3]. Энергия
В области E0 > 0.14 ГэВ появляются каналы
отдельных ионов, электронов и γ-квантов в га-
реакции с образованием мезонов. В столкновении с
лактических космических лучах может превышать
быстрым адроном ядро переходит в предравновес-
107 ГэВ [4], что значительно превышает достигну-
ное состояние, распад которого на один тяжелый
тые энергии частиц в современных действующих
(Z > 2) и несколько легких (Z ≤ 2) фрагментов за-
и проектируемых экспериментальных установках:
нимает время, превышающее 10-16 c. Возрастание
до 12 ГэВ в ускорительном комплексе NICA [5],
энергии продуктов распада EZA возбужденного
до 200 ГэВ в релятивистском коллайдере тяжелых
ядра при увеличении E0 свыше 0.5 ГэВ замедляет-
ионов [6], до 13 ТэВ для протонов в большом
ся, что свидетельствует об усилении влияния внут-
адроном коллайдере [7, 8], до 1 ТэВ для электронов
риядерных каскадов [11] на процесс возбуждения.
и позитронов в строящемся международном линей-
Определенного порога энергии, начиная с которо-
ном коллайдере [9].
го необходимо учитывать внутриядерные каскады,
В настоящее время наиболее подробно исследо-
нет. Можно только утверждать, что значимость
ваны ядерные реакции, обусловленные взаимодей-
этого механизма возбуждения ядра в области энер-
ствием адронов с ядром. Для этой области ядерной
гии E0 = 0.1-0.5 ГэВ постепенно увеличивается, а
физики разработано несколько теоретических мо-
при E0 > 0.5 ГэВ начинает доминировать [12]. Этот
делей для разных диапазонов энергии [10]. Взаи-
эффект с рождением большого количества легких
модействие с ядрами адронов с энергией E0 < Eπ,
ядер можно интерпретировать как процесс адрони-
зации в модели кварк-глюонной плазмы, который
1)Московский государственный университет имени
становится основным в механизме возбуждения
М.В. Ломоносова, Научно-исследовательский институт
ядра при E0 > 15-20 ГэВ.
ядерной физики имени Д.В. Скобельцына, Москва,
Россия.
Среди ядерных реакций важное место занима-
*E-mail: nvnovikov65@mail.ru
ют реакции, вызванные электромагнитными вза-
361
362
НОВИКОВ и др.
имодействиями. В таких реакциях проще, чем в
вторичных ионов по L, перейти обратно к распре-
реакциях под действием ионов, отделить эффекты
делению по энергии, например, после замедления
структуры ядра от механизмов его возбуждения
этих ионов, уже не удается. Тем не менее, распреде-
[13]. В области энергии до порога рождения мезо-
ление ионов по L является информативным и удоб-
нов Eπ для описания реакции используют модели,
ным для параметризации ИС замедляющихся в
которые учитывают взаимодействие γ-кванта со
среде вторичных ионов. Параметры ИС на момент
всем ансамблем нуклонов в ядре. Характерной
распада ядра в предравновесном состоянии могут
особенностью этой области энергии, где длина
быть чувствительны к используемым в расчетах
волны ионизирующего излучения λ соизмерима с
моделям, что делает их удобным “инструментом”
размерами ядра, является наличие коллективных
для анализа диапазонов применимости различных
ядерных возбуждений, проявляющихся в виде ре-
моделей ядерных реакций.
зонансов. Самый интенсивный из них — гигант-
Цель настоящей работы — выяснить влияние
ский дипольный резонанс, который для легких ядер
первичного ионизирующего космического излуче-
приходится на область от 20 до 25 МэВ. Для γ-
ния и его энергии на распределение ИС тяжелых
квантов с энергией E0 > 0.1 ГэВ значимость кол-
фрагментов ядерной реакции (Z > 2) в момент их
лективных механизмов возбуждения постепенно
рождения при прохождении через кремний про-
снижается, а влияние структуры ядра возрастает
тонов, γ-излучения и релятивистских электронов.
и начинает доминировать рассеяние γ-квантов на
В конкретных расчетах были использованы совре-
отдельных нуклонах. В области энергии E0 > Eπ
менные вычислительные программы GEANT4 [15]
распад возбужденного ядра может быть описан
и TALYS [16].
в модели предравновесной ядерной реакции. С
Программа GEANT4 включает большой набор
увеличением энергии (E0 > 1 ГэВ) и уменьшением
современных моделей ядерных реакций, и резуль-
длины волны λ до величины порядка размера нук-
таты ее расчетов в широком диапазоне энергии
лона наряду с взаимодействием первичной частицы
первичной частицы E0 оттестированы на основе
с отдельными нуклонами появляется возможность
экспериментальных данных для большого коли-
ее взаимодействия с отдельными кварками.
чества пар налетающая частица — ядро-мишень.
Распределения фрагментов ядерной реакции, вы-
Распределение фрагментов ядерной реакции за-
висит от типа первичного ионизирующего излуче-
численные по этой программе, можно интерпрети-
ровать как “модельный эксперимент”, в котором
ния и его энергии E0. Вторичные ионы характе-
на этапе образования ядра в предравновесном со-
ризуются зарядом ядра Z, массой A и энергией
стоянии учитываются барион-барионные, мезон-
EZA. Исследование особенностей распределений
барионные и мезон-мезонные рассеяния, внутри-
по этим параметрам может дать дополнительную
ядерные каскады, а также процессы возбужде-
информацию о механизмах образования и распада
ния и распада кварк-глюонных струн. Пересече-
возбужденного ядра. Поскольку с возрастанием E0
ние областей применимости различных теоретиче-
диапазон энергии вторичных ионов EZA увеличи-
ских моделей при их совместном использовании в
вается, нет универсальной аналитической аппрок-
GEANT4 описывается вероятностным методом и
симации этого распределения в широком диапа-
учитывает корреляцию различных моделей.
зоне энергии E0. С другой стороны, в задаче сбоев
электроники под действием ионизирующего кос-
Программа TALYS используется для расчета
мического излучения важной является не EZA, а
сечений и распределений фрагментов ядерной ре-
способность вторичного иона создавать электрон-
акции в столкновении ядра с ионами и γ-квантами.
дырочные пары и изменять электропроводность
Влияние механизма возбуждения с учетом внутри-
облученного материала. Ионизационную способ-
ядерных каскадов в этой программе не учитывает-
ся, и поэтому диапазон ее применения для расчета
ность (ИС) вторичных ионов на единице длины их
трека принято характеризовать величиной линей-
продуктов ядерной реакции в столкновениях с про-
тонами ограничен областью E0 < 0.2-0.3 ГэВ [12].
ной передачи энергии L(Z, A, EZA), которая связа-
на с неупругими потерями энергии иона. Диапазон
изменения L ограничен значением Lmax. Например,
2. ПОЛНЫЕ СЕЧЕНИЯ
для вторичных ионов в кремнии Lmax = 14.0 МэВ
ВЗАИМОДЕЙСТВИЯ
см2 мг-1 [14]. Это ограничение позволяет исполь-
зовать аналитическую аппроксимацию для описа-
Расчеты сечений взаимодействия кремния с
ния распределений ИС вторичных ионов в зависи-
протонами, электронами и γ-квантами проводи-
мости от L. Однако в таком представлении одному
лись с помощью программы GEANT4 (Hadron)
значению L могут соответствовать два значения
[15]. Для расчета сечения в столкновениях кремния
энергии иона — до максимума неупругих потерь
с γ-квантами применялась также программа
энергии и после него. Поэтому, зная распределение
TALYS [16].
ЯДЕРНАЯ ФИЗИКА том 86
№2
2023
ФРАГМЕНТАЦИЯ ЯДЕР
363
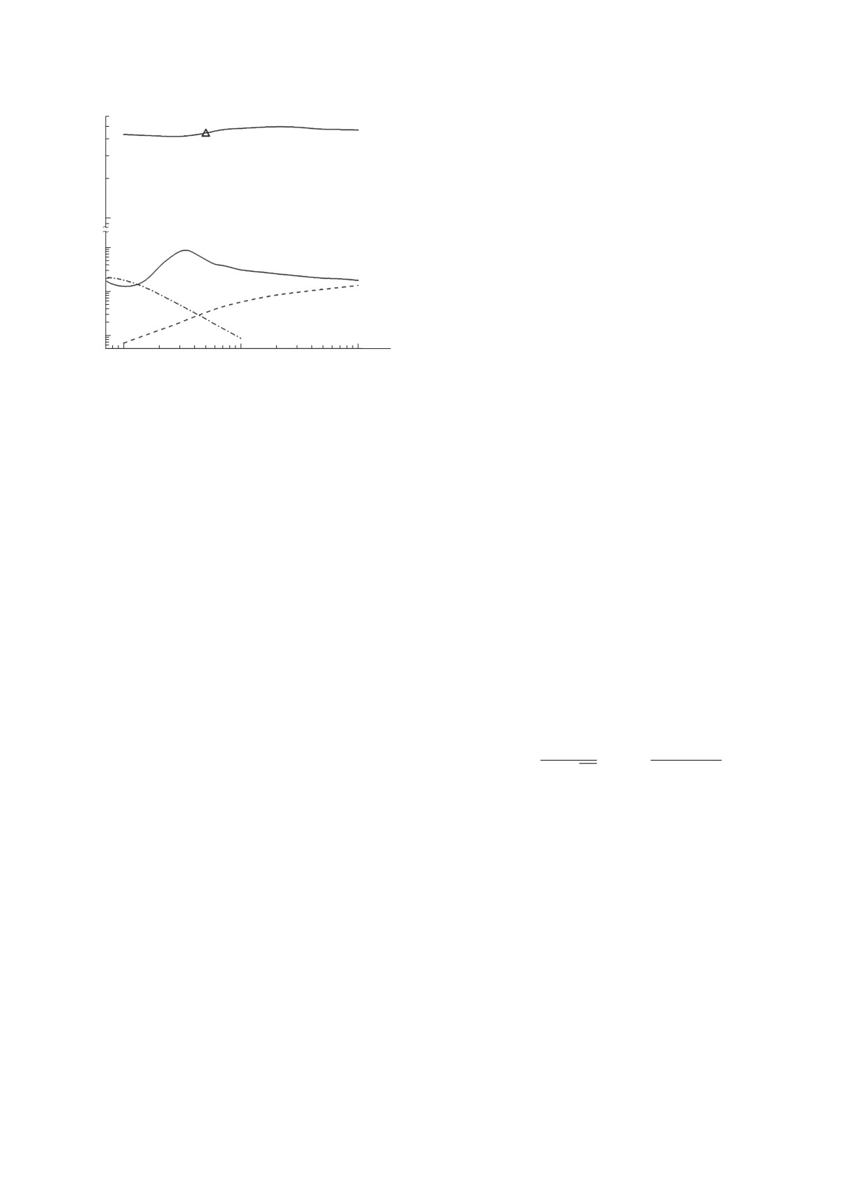
σ, мбн
В случае столкновений с γ-квантами пренебреже-
1
ние механизмом внутриядерных каскадов в модели
составного ядра приводит в расчетах по TALYS к
уменьшению сечения взаимодействия σγ(E0). Как
видно из рис. 1, при расчетах продуктов ядерной
реакции в столкновении γ-квантов с ядром об-
ласть применимости TALYS ограничена диапазо-
100
ном энергии Eγ ≤ 0.2 ГэВ.
10
3
3. ОПИСАНИЕ РАСПРЕДЕЛЕНИЯ
1
2
ИОНИЗАЦИОННОЙ СПОСОБНОСТИ
ТЯЖЕЛЫХ ВТОРИЧНЫХ ИОНОВ
4
0.1
Расчеты распределений ИС F (Z, A, L) в зави-
симости от линейных потерь энергии L вторичных
0.1
1
10
ионов методом Монте-Карло были выполнены с
E0, ГэВ
помощью программы GEANT4. В этом методе для
Рис. 1. Результаты расчета энергетической зави-
анализа распределения F (Z, A, L) по переменной
симости сечения взаимодействия с ядром кремния.
L используется гистограммная функция, представ-
Кривые: 1 — σp(E0) в столкновениях с протонами
ляющая в интервале Lj - ΔL ≤ L ≤ Lj количество
(GEANT4), 2 — σe(E0) в столкновениях с электро-
всех вторичных ионов Fj , независимо от их заряда
нами (GEANT4), 3 — σγ (E0) в столкновениях с γ-
ядра Z и массы A. Распределение Fj нормировано∑
квантами (GEANT4), 4 — σγ (E0) в столкновениях
с γ-квантами (TALYS-1.95). Δ — экспериментальное
условиемj=1 Fj = 1. Среднее значение неупру-
значение σp(E0).
гих потерь энергии всех вторичных ионов равно
первому моменту этого распределения:
∑
Отношение сечений σp(E0)/σe(E0)
и
LG = jFj,
(1)
σp(E0)/σγ(E0) составляет два порядка (рис. 1).
j
В области энергии E0 > 1 ГэВ сечения σe(E0)
а среднеквадратическое отклонение WG
и σγ(E0) одного порядка, причем отношение
∑
σe(E0)/σγ(E0) → 1 при увеличении E0, что объ-
W2G = (Lj - LG)2Fj
(2)
ясняется усилением волновых свойств электро-
j
на. Минимум сечения σγ(E0) в области энер-
пропорционально ширине распределения на по-
гии
0.1
ГэВ < E0 < 0.2 ГэВ связан с умень-
ловине высоты. Используя эти два параметра,
шением значимости коллективных механизмов
распределение F (Z, A, L) можно описать в виде
возбуждения и увеличением влияния структуры
функции Гаусса:
ядра. Особенностью взаимодействия γ-квантов
[
]
1
(L - LG)2
с ядром является механизм образования в ядре
G(L) =
√
exp -
(3)
возбужденного нуклона (Δ-изобары) и частиц-
WG
2π
2W2
G
резонансов N∗(1520 МэВ) и N∗∗ (1680 МэВ).
Погрешность такой аппроксимации имеет вид
Из-за образования короткоживущих частиц в
∑
этом резонансном процессе и эффекта “размытия”
δ2G =
|G(Lj ) - Fj |2.
(4)
пиков, который обусловлен движением нуклонов
j
в ядре, в сечении σγ(E0) в области энергии E0 =
= 0.2-0.5 ГэВ формируется максимум, которого
Функция G(L) не учитывает асимметрию распре-
нет в сечениях σp(E0) и σγ (E0).
деления ИС F (Z, A, L) по L, которую можно
характеризовать параметром скошенности SF =∑
При анализе результатов (см. рис. 1) необходи-
мо учитывать, что на образование ядра в предрав-
= j{(Lj-LG)3Fj}/WG.Какправило,чем
новесном состоянии влияет механизм внутриядер-
меньше SF , тем меньше δG и тем ближе G(L) к
ных каскадов, который приводит к перераспре-
F (Z, A, L).
делению переданного импульса между нуклонами
В настоящей работе учтено, что область опреде-
ядра. В программе GEANT4 взаимодействие γ-
ления Fj ограничена (0 ≤ L ≤ Lmax), и для его ап-
кванта с ядром описывается в модели составного
проксимации предложено использовать пробную
ядра и предравновесной модели с учетом внут-
функцию T (L):
риядерных каскадов. Расчет по GEANT4 дают
максимум в области энергии 0.2 ≤ Eγ ≤ 0.5 ГэВ.
T (L) = T1L/L1, L ≤ L1,
(5)
ЯДЕРНАЯ ФИЗИКА том 86
№2
2023
364
НОВИКОВ и др.
T (L) = T1 + (T2 - T1)(L - L1)(L2 - L1)-1,
F, отн. ед.
2
L1 < L ≤ L2,
T (L) = T2(Lmax - L)(Lmax - L2)-1,
0.06
1
L2 < L ≤ Lmax,
T (L) = 0, L > Lmax
0.04
со значениями четырех параметров (L1, T1, L2, T2),
вычисленных вариацией из минимума суммы:
∑
0.02
3
δ2T =
|T (Lj) - Fj |2.
(6)
j
0
Чем меньше величина δT , тем точнее пробная ана-
0
2
4
6
8
10
12
14
литическая функция T (L) описывает исходное рас-
L, МэВ см2 мг-1
пределение Fj . В отличие от G(L) функция T (L)
может описывать асимметрию Fj -распределения,
Рис. 2. РаспределениеИС вторичныхтяжелых(Z > 2)
так как количество ионов F (L ≤ LG) может не сов-
ионов в зависимостиот линейныхпотерь энергииL при
неупругом взаимодействии протонов с энергией E0 =
падать с количеством ионов F (L ≥ LG). Поэтому
= 0.5 ГэВ c ядром кремния. Кривые: 1 (•) — результат
использование T (L) при δT < δG предпочтитель-
расчета Fj по GEANT4, 2 — функция G(L) (1) с пара-
нее G(L).
метрами LG = 6.0 и WG = 2.7, 3 — функция T (L) (3)
с параметрами L1 = 2.1, T1 = 0.043, L2 = 7.3, T2 =
= 0.057.
4. ЭНЕРГЕТИЧЕСКОЕ РАСПРЕДЕЛЕНИЕ
ИОНИЗАЦИОННОЙ СПОСОБНОСТИ
Монотонное изменение параметров ИС получе-
ВТОРИЧНЫХ ИОНОВ В СТОЛКНОВЕНИИ
но во всем диапазоне энергии протонов (табл. 1).
С ПРОТОНАМИ
Исключением из этого правила является только
В распределении ИС вторичных тяжелых
параметр T1, который достигает максимума в обла-
(Z > 2) ионов при столкновении протонов с E0 =
сти энергии E0 = 2-5 ГэВ. В этой области энергий
= 0.5 ГэВ проявляются два максимума с ампли-
тудами F1 при L ≈ 2 МэВ см2 мг-1 и F2 при L ≈
Таблица 1. Параметры распределения ИС вторичных
≈ 8 МэВ см2 мг-1 (см. рис. 2). Основной вклад
ионов в момент распада возбужденного состояния для
в величину F2 дают каналы реакции с небольшим
столкновений протонов с ядром кремния, точность вы-
количеством вторичных частиц, например, (p, 2p),
числения 7-10%
(p, pα), (p, pn), (p, pd) и т.д., для которых один из
вторичных ионов остается достаточно тяжелым
E0, ГэВ LG WG L1
T1
L2
T2
(A ≥ 23). Так как ионизационная способность
0.1
6.1
2.8
2.1
0.043
7.7
0.055
L легких ионов (Z ≤ 2) ограничена диапазоном
L < 1.5
МэВ см2 мг-1
[14], то в реакции с
0.15
6.1
2.8
2.1
0.043
7.6
0.056
образованием нескольких легких ионов из-за
0.2
6.1
2.8
2.1
0.043
7.5
0.056
уменьшения массы A тяжелого иона ИС всех
вторичных частиц снижается. Распределение ИС
0.3
6.0
2.7
2.1
0.043
7.4
0.056
на рис. 2 близко к симметричному, что обусловлено
0.5
6.0
2.7
2.1
0.043
7.3
0.057
приблизительным равенством площадей F (L ≤
0.7
6.0
2.6
2.1
0.043
7.0
0.060
≤ LG) ≈ F(L ≥ LG), небольшой величиной па-
раметра асимметрии (SF = 0.01) и небольшой
1.0
5.8
2.6
2.1
0.044
6.7
0.061
погрешностью аппроксимации F (L) с помощью
1.5
5.6
2.5
2.1
0.045
5.2
0.063
функции Гаусса G(L) (δG = 0.07). Применение
2.0
5.5
2.5
2.1
0.048
5.0
0.064
функции T (L) позволяет немного уменьшить
погрешность аппроксимации (δT = 0.05), так как
3.0
5.4
2.5
2.2
0.056
5.0
0.064
используемые в ней параметры (L1, T1, L2, T2) ка-
5.0
5.4
2.4
2.2
0.054
5.0
0.064
чественно описывают интенсивности и положения
двух максимумов F1, F2 в распределении F (L).
7.0
5.4
2.4
2.2
0.043
5.0
0.065
Минимум F (L) в диапазоне L1 < L < L2 в этой
10.0
5.4
2.2
2.2
0.036
5.0
0.071
аппроксимации не воспроизводится.
ЯДЕРНАЯ ФИЗИКА том 86
№2
2023
ФРАГМЕНТАЦИЯ ЯДЕР
365
на процесс возбуждения ядра могут оказывать вли-
F, отн. ед.
яние процессы адронизации. Для области энергии
0.08
1
E0 ≤ 10 ГэВ процессы взаимодействия протона с
2
отдельными кварками в нуклонах остаются еще
достаточно редкими, но с увеличением E0 их влия-
0.06
ние на распределение вторичных ионов возрастает.
Уменьшение параметров LG и L2 при увеличении
энергии E0 означает увеличение вклада каналов с
0.04
образованием большего количества легких (Z ≤ 2)
3
ионов и, как следствие, уменьшение массы тяже-
0.02
лого иона (Z ≥ 3) и снижение его ИС. Модели-
рование распределения вторичных тяжелых ионов
дает соотношение T1 < T2 для всего исследуемого
0
диапазона энергии протонов. Из монотонного и
0
2
4
6
8
10
12
14
плавного изменения параметров в диапазоне E0 ≈
L, МэВ см2 мг-1
≈ 0.3-0.5 ГэВ следует, что влияние внутриядерных
каскадов на энергию легких ионов [12] качественно
Рис. 3. То же, что и на рис. 2, но для γ-квантов с энер-
не изменяет распределение ИС тяжелых вторичных
гией E0 = 0.5 ГэВ. Кривые: 1 (•) — результат расчета
ионов (Z ≥ 3). Отметим также, что преимущество
Fj по GEANT4, 2 — (L) с LG = 5.3 и WG = 2.8, 3 —
использования аппроксимации T (L) по сравне-
T(L) с L1 = 1.6, T1 = 0.059, L2 = 7.1, T2 = 0.047.
нию с G(L) проявляется в области энергии E0 ≤
≤ 0.7 ГэВ, где δG/δT ∼ 1.5.
а отношение T1/T2 начинает возрастать с увеличе-
нием E0. Это изменение в соотношении амплитуд
5. РАСПРЕДЕЛЕНИЕ ИОНИЗАЦИОННОЙ
F1 и F2 объясняется увеличением количества вто-
СПОСОБНОСТИ ВТОРИЧНЫХ ИОНОВ
ричных ионов с небольшими неупругими потерями
В СТОЛКНОВЕНИЯХ С γ-КВАНТАМИ
энергии. Гауссовская аппроксимация (1) с помо-
щью функции G(L) этого эффекта не учитывает,
В распределении ИС вторичных тяжелых ионов
так как LG и WG монотонно уменьшаются. От-
в столкновении ядра с γ-квантами проявляются
метим также, что во всем диапазоне энергии E0
два максимума (рис. 3). Максимумы F1, F2 ярко
выражены из-за глубокого минимума между ними.
Отметим, что по сравнению с распределением ИС
Таблица 2. Параметры распределения ИС вторичных
в столкновении протонов (см. рис. 2) F1 > F2, т.е.
ионов в момент распада возбужденного состояния для
соотношение амплитуд F1 и F2 меняется на проти-
столкновений γ-квантов с кремнием, точность их вы-
воположное. В составе вторичных тяжелых ионов в
числения 7-10%
диапазоне L = 1-3 МэВ см2 мг-1 доля ионов Z ≥
≥ 12, A ≥ 24 составляет более 90%, а в диапазоне
E0, ГэВ LG WG L1
T1
L2
T2
L = 6-8 МэВ см2 мг-1 она уменьшается до 25-
0.1
4.7
2.4
1.6
0.067
7.0
0.047
28%. Асимметрия распределения F (L) возрастает
(SF = 0.2) по сравнению с результатами аппрок-
0.15
5.2
2.5
1.6
0.037
7.0
0.061
симации для ИС в столкновении протонов (см.
0.2
5.5
2.7
1.6
0.052
7.1
0.052
рис. 2), что приводит в столкновениях с γ-квантами
к ухудшению точности гауссовской аппроксимации
0.3
5.7
2.7
1.6
0.053
7.1
0.051
ИС (δG = 0.1).
0.5
5.3
2.8
1.6
0.059
7.1
0.047
Параметры LG и WG плавно меняются во всем
0.7
5.0
2.7
1.6
0.066
7.1
0.043
диапазоне энергии, но эта зависимость в отличие
от столкновений с протонами уже не является
1.0
4.8
2.7
1.6
0.072
7.4
0.038
монотонной. При E0 = 0.2-0.5 ГэВ параметр LG
1.5
4.7
2.6
1.6
0.080
8.4
0.024
достигает максимального значения. Это связано
с влиянием возбужденных состояний нуклонов в
2.0
4.6
2.6
1.6
0.081
8.6
0.022
максимуме сечения σγ(E0) (см. кривая 3 на рис. 2),
3.0
4.5
2.5
1.7
0.083
8.7
0.021
что приводит к увеличению среднего значения ИС
5.0
3.9
2.3
1.7
0.091
8.5
0.020
вторичных ионов при распаде возбужденного ядра.
Другая особенность ИС в столкновениях с γ-
7.0
3.8
2.2
1.7
0.10
8.0
0.020
квантами (см. табл. 2) относится к энергиям E0 =
10.0
2.5
2.1
0.8
0.20
3.7
0.020
= 3-5 ГэВ, где параметр L2 достигает максимума,
ЯДЕРНАЯ ФИЗИКА том 86
№2
2023
366
НОВИКОВ и др.
F, отн. ед.
1
0.3
3
0.2
2
0.1
0
0
2
4
6
8
10
L, МэВ см2 мг-1
Рис. 4. То же, что и на рис. 2, но для электронов с энергией E0 = 0.5 ГэВ. Кривые: 1 (•) — результат расчета Fj по
GEANT4, 2 — G(L) с LG = 2.8 и GL = 2.2, 3 — T (L) с L1
= 1.7, T1 = 0.3, L2 = 2.2, T2 = 0.03.
использование T (L) для аппроксимации ИС вто-
иона не меняется (Z = 14) с вероятностью 89%, а
ричных тяжелых ионов является предпочтитель-
их распределение по массе в диапазоне A = 28-
ным δG/δT = 1.2-1.5.
30 близко к распределению в естественной смеси
изотопов кремния (Si28 — 92.23%, Si29 — 4.68%,
Si30 — 3.09%). Это свидетельствует о том, что ме-
6. РАСПРЕДЕЛЕНИЕ ИОНИЗАЦИОННОЙ
ханизм возбуждения и распада ядра в предравно-
СПОСОБНОСТИ ВТОРИЧНЫХ ИОНОВ
весном состоянии в столкновениях с электронами
В СТОЛКНОВЕНИИ С ЭЛЕКТРОНАМИ
отличается от его аналогов в столкновениях с про-
Более 90% всех вторичных тяжелых ионов в
тонами и γ-квантами. Можно говорить о передаче
столкновении с электронами относится к узко-
импульса только небольшому фрагменту ядра, что
му диапазону параметров A = 24-30, Z = 12-14.
позволяет в столкновении ядра с электронами со-
При столкновении ядра кремния с электронами
хранить тяжелый остов возбужденного ядра после
при энергии E0 = 0.5 ГэВ заряд ядра вторичного
его распада. Такой механизм возбуждения характе-
рен для реакций без учета внутриядерных каскадов.
Распределение ИС вторичных тяжелых ионов по L
Таблица 3. Параметры распределения ИС вторичных
в столкновениях с электронами обладает сильной
ионов в момент распада возбужденного состояния для
столкновений электронов с ядром кремния, точность
асимметрией, а Lmax = 12 МэВ см2 мг-1 уменьша-
вычислений 7-10%
ется (рис. 4).
E0, ГэВ LG WG L1
T1
L2
T2
Медленное изменение всех параметров с увели-
чением E0 и отсутствии экстремумов у этой зави-
0.1
2.0
1.3
1.7
0.39
2.2
0.020
симости во всей области исследования E0 (табл. 3)
0.15
2.1
1.4
1.7
0.37
2.2
0.022
свидетельствует о доминировании механизма об-
0.2
2.2
1.7
1.7
0.36
2.2
0.024
разования и последующего распада возбужденного
0.3
2.4
1.8
1.7
0.33
2.2
0.025
ядра, в котором влияние внутриядерных каскадов
0.5
2.8
2.2
1.7
0.30
2.2
0.030
можно рассматривать как поправку. Увеличение
средней ИС тяжелых вторичных ионов LG с воз-
0.7
3.0
2.3
1.7
0.27
2.2
0.032
растанием E0 качественно отличается от зави-
1.0
3.1
2.5
1.7
0.27
2.2
0.034
симости этого параметра для столкновений с γ-
1.5
3.2
2.5
1.7
0.26
2.2
0.036
квантами (см. табл. 2). В области энергии E0 ≥
2.0
3.3
2.5
1.7
0.25
2.2
0.038
≥ 5 ГэВ при усилении волновых свойств электро-
3.0
3.4
2.6
1.7
0.24
2.2
0.040
на параметры L1 в столкновении с электронами
и γ-квантами близки. Сильная асимметрия рас-
5.0
3.5
2.6
1.8
0.23
2.2
0.041
пределения ИС (SF = 1.0-2.3) и погрешность его
7.0
3.6
2.6
1.8
0.23
2.2
0.042
аппроксимации с помощью функции G(L) велика
10.0
3.6
2.6
1.8
0.22
2.2
0.043
δG/δT > 2.
ЯДЕРНАЯ ФИЗИКА том 86
№2
2023
ФРАГМЕНТАЦИЯ ЯДЕР
367
7. ЗАКЛЮЧЕНИЕ
на распределение вторичных ионов возрастает с
увеличением E0.
Анализ зависимости параметров распределений
ИС продуктов ядерной реакции от энергии пер-
Работа выполнена при финансовой поддерж-
вичного излучения позволил качественно оценить
ке Министерства науки и высшего образования
границы применимости различных моделей обра-
Российской Федерации по проекту “Развитие син-
зования и распада возбужденных ядер. Одним из
хротронных и нейтронных исследований и инфра-
наиболее чувствительных параметров распределе-
структуры для материалов энергетики нового по-
ния к модели взаимодействия является линейная
коления и безопасного захоронения радиоактивных
передача энергии L тяжелых фрагментов ядерной
реакции (Z > 2), которая характеризует неупругие
отходов” — грант № 075-15-2021-1353.
потери энергии вторичных ионов в момент распада
возбужденного ядра. Закономерности этого рас-
пределения были исследованы для прохождения
через кремний протонов, γ-квантов и релятивист-
СПИСОК ЛИТЕРАТУРЫ
ских электронов с энергией в диапазоне энергий от
1.
Г. И. Зебрев, Радиационные эффекты в крем-
0.1 до 10 ГэВ.
ниевых интегральных схемах высокой степени
Для описания распределения ИС вторичных
интеграции (НИЯУ МИФИ, Москва, 2010).
ионов по L наряду с функцией Гаусса предложе-
2.
Модель космоса. Воздействие космической сре-
но использовать аналитическую функцию, которая
ды на материалы и оборудование космических
зависит от четырех параметров. Увеличение коли-
аппаратов, Под ред. Л. С. Новикова (Изд-во
чества параметров позволяет учесть асимметрию
КДУ, Москва, 2007), т. II.
распределения ИС по L и возможность появления
3.
С. Г. Рубин, Устройство нашей вселенной (Век2,
в этом распределении второго максимума.
Фрязино, 2006).
Из монотонного и плавного изменения парамет-
4.
М. И. Панасюк, Странники Вселенной или эхо
ров ИС продуктов ядерной реакции в столкновени-
Большого взрыва (Век2, Фрязино, 2005).
ях протонов для энергий E0 ≈ 0.3-0.5 ГэВ следует,
5.
Nuclotron-based Ion Collider fAcility (NICA),
что влияние внутриядерных каскадов на энергию
легких ионов качественно не изменяет распреде-
6.
STAR Collab. (J. Adams, M. M. Aggarwal, Z. Aham-
ление ИС тяжелых вторичных ионов (Z ≥ 3). Для
med, J. Amonett, B. D. Anderson, D. Arkhipkin,
E0 ≤ 10 ГэВ процессы взаимодействия протона с
G. S. Averichev, S. K. Badyal, Y. Bai, J. Balewski,
отдельными кварками в нуклонах остаются еще
O. Barannikova, L. S. Barnby, J. Baudot, S. Bekele,
достаточно редкими, но с увеличением E0 > 2 ГэВ
V. V. Belaga, et al.), Nucl. Phys. A 757, 102 (2005).
влияние процесса адронизации на распределение
вторичных ионов возрастает. Преимущество ис-
7.
G. Aad et al. (ATLAS Collab.), Phys. Lett. B 716, 1
пользования новой четырехпараметрической ап-
(2012).
проксимации ИС по сравнению с распределением
8.
S. Chatrchyan et al. (CMS Collab.), Phys. Lett. B
Гаусса для столкновений с протонами проявляется
716, 30 (2012).
для энергии E0 ≤ 0.7 ГэВ.
9.
H. Yamamoto, Symmetry 13, 674 (2021).
При взаимодействии ядра с γ-квантами па-
10.
А. Г. Ситенко, Теория ядерных реакций (Энерго-
раметры распределения Гаусса плавно меняются
атомиздат, Москва, 1983).
во всем диапазоне энергии, но эта зависимость
11.
H. W. Bertini, Phys. Rev. 131, 1801 (1963).
не является монотонной. В области энергии E0 =
12.
Н. В. Новиков, Н. Г. Чеченин, Т. В. Чувильская,
= 0.2-0.5 ГэВ параметр LG достигает максимума,
В. Я. Чуманов, А. А. Широкова, ЯФ 84, 315 (2021).
что объясняется влиянием возбужденных состо-
13.
Б. С. Ишханов, И. М. Капитонов, Взаимодей-
яний нуклонов в ядре. Сильная асимметрия рас-
ствие электромагнитного излучения с атом-
пределения ИС вторичных тяжелых ионов по L в
ными ядрами (Изд-во МГУ, Москва, 1979).
столкновениях ядер с релятивистскими электро-
14.
J. F. Ziegler, M. D. Ziegler, and J. P. Biersack, Nucl.
нами свидетельствует о передаче импульса только
Instrum. Methods B 268, 1818 (2010).
небольшому фрагменту ядра без его перераспреде-
ления между остальными нуклонами.
15.
J. Allison, K. Amako, J. Apostolakis, P. Arce,
M. Asai, T. Aso, E. Bagli, A. Bagulya, S. Banerjee,
При энергиях падающих частиц E0 > 2-5 ГэВ
G. Barrand, B. R. Beck, A. G. Bogdanov, D. Brandt,
на механизм образования ядра в предравновесном
J. M. C. Brown, H. Burkhardt, Ph. Canal, et al., Nucl.
состоянии начинает оказывать влияние взаимодей-
Instrum. Methods A 835, 186 (2016).
ствие налетающей частицы с отдельными кварка-
16.
A. J. Koning and D. Rochman, Nucl. Data Sheets
ми. В области E0 ≤ 10 ГэВ процессы адронизации
остаются еще достаточно редкими, но их влияние
113, 2841 (2012).
ЯДЕРНАЯ ФИЗИКА том 86
№2
2023
368
НОВИКОВ и др.
FRAGMENTATION OF NUCLEI UNDER RADIATION ACTION
OF VARIOUS TYPE
N. V. Novikov1), N. G. Chechenin1), А. A. Shirokova1)
1)Lomonosov Moscow State University, Skobeltsyn Institute of Nuclear Physics, Russia
An analytical approximation is proposed for the distribution of inelastic energy losses of charged fragments
of nuclear reactions in the collisions of protons, γ-quanta and electrons with silicon nucleus. In the energy
range 3-10 GeV, the effect of hadronization on the distribution of secondary heavy ions increases with
energy of incident radiation. The strong asymmetry of the distribution in collisions with relativistic electrons
indicates momentum transfer to only a small fragment of the nucleus.
ЯДЕРНАЯ ФИЗИКА том 86
№2
2023