ЯДЕРНАЯ ФИЗИКА, 2023, том 86, № 4, с. 485-494
ЭЛЕМЕНТАРНЫЕ ЧАСТИЦЫ И ПОЛЯ
ПРЕДЛОЖЕНИЕ И АНАЛИЗ ЭКСПЕРИМЕНТА ПО ТОЧНОМУ
ИЗМЕРЕНИЮ ВРЕМЕНИ ЖИЗНИ МЮОНА И КОНСТАНТЫ ФЕРМИ
© 2023 г. А. М. Бакаляров1), А. И. Климов1),
И. Н. Мачулин1), Е. А. Мелешко1), В. И. Селиванов1)*
Поступила в редакцию 08.11.2022 г.; после доработки 08.11.2022 г.; принята к публикации 26.12.2022 г.
Предложен эксперимент по рекордному по точности измерению мировой константы Ферми GF при
распаде положительного мюона. Выполнен анализ всех систематических ошибок. Разработана и
проверена программа “Fast Program” (FP), использующая данные GEANT и работающая в1500
раз быстрее. Набрано 1014 событий при двух вариантах отбора событий. Получена точность 0.46 пс
для времени жизни мюона и 0.1 × 10-6 для величины GF с учетом всех систематических ошибок.
Точность теоретических расчетов GF — 0.14 × 10-6 в рамках Стандартной модели взаимодействий
элементарных частиц.
DOI: 10.31857/S0044002723040062, EDN: EGDRHT
1. ВВЕДЕНИЕ
Maskawa (CKM) [4], которая определяет силу сме-
шивания в кварковом секторе и является источни-
Мировая константа GF описывает распады эле-
ком нарушения CP-инвариантности. CKM, в част-
ментарных частиц и ядер в слабом секторе Стан-
ности, играет важную роль в попытках объяснить
дартной модели. В [1] в качестве мировой по-
преобладание материи над антиматерией во Все-
стоянной приводится именно экспериментальное
ленной. Во-вторых, это, конечно, будет способ-
значение GF, поскольку оно не зависит от теоре-
ствовать улучшению точности теоретических рас-
тической модели физики элементарных частиц. В
четов. В настоящей работе предложена и анализи-
настоящее время точность экспериментальной ве-
руется экспериментальная установка для рекорд-
личины σ(GF)/GF = 0.5 × 10-6 [2]. Эксперименты
ного по точности измерения GF. Показано, что
по измерению GF при распаде мюона выполнялись
можно достичь точности 0.10 × 10-6.
7 раз с 1973 по 2013 г. с точностью σ(GF)/GF =
= 68 × 10-6 (1973 г.) и 0.5 × 10-6 (2013 г.) [1].
Погрешность теоретического значения GF в рам-
2. ДЕТЕКТОР
ках Стандартной модели взаимодействий элемен-
В эксперименте необходимо набрать
тарных частиц составляет 0.14 × 10-6 [3]. Разница
1014 μ+ → e+ распадов за разумное время 107
между ними находится в пределах ошибок. Наибо-
с
116
дней, чтобы улучшить существующую
лее точно величина GF может быть измерена при
точность времени жизни мюона σ(τμ) = 2.2 пс
распаде мюона [3]:
событий, [2]). Для этого требу-
(набрано 2 × 1012
1
G2Fm5μ
ется интенсивность мюонного пучка107 μ+/с.
=
(1 + Δq) .
τμ
192π3
Интенсивность пучка
“поверхностных мюонов”
в институте Пауля Шеррера (PSI, Швейцария)
Здесь τμ 2.2 мкс — время жизни мюона, Δq опи-
достигает
1.5 × 108 μ+/с
[3].
“Поверхностные
сывает поправку из-за конечной массы электро-
мюоны” образуются из пионов, летящих с поверх-
на и радиационные поправки из-за четырехфер-
ности мишени протонного ускорителя, и временная
мионного взаимодействия в пределе mμ ≪ Mw.
структура пучка обеспечивает практически не
Таким образом, дальнейшее улучшение точности
зависящий от времени поток событий (статистика
экспериментальной величины GF позволяет прове-
Пуассона). “Поверхностные мюоны” имеют кине-
рить справедливость Стандартной модели, напри-
тическую энергию Eμ = 4.12 МэВ и длину трека
мер, унитарность матрицы Cabibbo-Kobayashi-
1.4 мм в пластиковом сцинтилляторе. Интен-
сивность 107 μ+/с требует разделения детектора
1)Национальный исследовательский центр “Курчатовский
институт”, Москва, Россия.
на множество независимых частей, поскольку
*E-mail: selivanov@akado.ru,Selivanov_VI@nrcki.ru
среднее время между мюонами равно 0.1 мкс и в
485
486
БАКАЛЯРОВ и др.
μ+
μ+
μ+
e+
e+
1024 сцинтиллятора BC-412 (3×3×3 mm2)
16 arrays J-30020-63P-PCB
e+
Connectors 64 fast output
107 mm
Рис. 1. Рисунок детектора, вид сбоку.
течение 20 мкс наблюдения μ+ → e+ распадов в
= 64 ячейки SiPM с размерами 3 × 3 мм2 каждая.
одном детекторе оказываются 200 мюонов и 200
Размеры детектора — 107 × 107 мм2.
позитронов распада. В этих условиях практически
Создание установки стало возможно после раз-
невозможно найти позитрон от родившего именно
работки технологии массового производства крем-
его мюона. Кроме того, фон распадов от других
ниевых фотоумножителей SiPM (например, [6]),
мюонов как минимум в 200 раз превышает эффект.
которые позволяют создавать компактные детекто-
Предлагаемый детектор состоит из 1024 незави-
ры с высоким быстродействием и с высокой веро-
симых элементов (детектор в работе [2] состоял из
ятностью регистрации сцинтилляционных фотонов.
170 элементов). Это приводит к среднему времени
На рис. 2 приведены распределения амплитуд сиг-
между двумя мюонами в одном детекторе100 мкс,
налов с SiPM в предположении переднего фронта
к вероятности 0.2 регистрации двух мюонов или по-
τr = 2 нс и заднего фронта τd = 4 нс. В этом случае
зитронов в интервале наблюдения 20 мкс и к низкой
вероятности регистрации двух позитронов в нашем
События
интервале мертвого времени 20 нс (2 × 10-4).
1E+004
Последняя величина не зависит от времени после
распада мюона. В работе [2] эта вероятность была
равна 10-3 в начале времени регистрации и 10-7 в
positron
конце [5]. При оптимизации конструкции детектора
1E+003
учитывались различные факторы: относительная
вероятность диффузии мюона в соседний сцинтил-
лятор, амплитудное разделение сигналов мюона и
позитрона, мертвое время кремниевого фотоумно-
жителя (SiPM). Предлагаемая экспериментальная
1E+002
muon
установка изображена на рис. 1. Сцинтилляторы
(элементы) разделены майларом толщиной 6 мкм,
покрытым с обеих сторон алюминием. Мюоны
пучка с импульсом pμ 28.8 МэВ/c и c раз-
1E+001
бросом 2% останавливаются на глубине 1.4 мм
сцинтиллятора BC-412. В большинстве случаев
сигналы от частиц μ+ → e+ распада поступают от
одного элемента. Небольшой процент позитронов
1E+000
0
400
800
1200
1600
исходит из соседнего элемента из-за диффузии
Количество фотоэлектронов
медленного мюона, как это изображено для мюона
слева на рисунке. Значительная часть позитронов
регистрируется в нескольких элементах из-за
Рис. 2. Спектры средней амплитуды сигналов в фо-
тоэлектронах (ф.э.) от всех сцинтилляторов на выхо-
углового распределения позитронов распада, как
де кремниевых фотоумножителей при интенсивности
это изображено для мюона справа на рисунке.
107 с-1μ+ → e+ распадов в полной сборке из 32 ×
Полный детектор содержит 1024 сцинтиллятора
× 32 = 1024 кристалла. Размеры каждого сцинтилля-
размером 3 × 3 × 3 мм3, 4 × 4 = 16 матриц крем-
тора 3 × 3 × 3 мм3. Спектры сигналов для сборок из
3 × 3 и 32 × 32 кристаллов практически идентичны.
ниевых фотоумножителей (SiPM) “ArrayJ-30020-
Импульс мюонов в пучке 28.8 МэВ/c с разбросом 2%.
64P-PCB”. Каждая матрица содержит 8 × 8 =
ЯДЕРНАЯ ФИЗИКА том 86
№4
2023
ПРЕДЛОЖЕНИЕ И АНАЛИЗ ЭКСПЕРИМЕНТА
487
Gate 1
+
VME
CAEN QDC
QDC
V862
Charge
amplifiers
e+
Gate 2
QDC
+
VME
SensL
VME
CAEN V895
ArrayJ-30020-
+
CAEN QDC
discriminators
V1190-2eSST
64P×16 = 1024
veto
TDC
VME
+ Scintillator
e+
SiPM
CAEN V895
BC-412
e+
discriminators
TDC
Setting thresholds
DAC system
CAEN A7585D
for SiPM
Power supply
SiPM power
DT5550W
Module
Crate
USB 3.0 bus
controller
VME
PCIOpticalLink(A2818)
PCIBridge
(VX2718)
computer
Memory
Рис. 3. Возможная функциональная схема аппаратуры для регистрации сигналов с SiPM детекторов. Представленные
на рис. 3 приборы являются серийными [8]. Сигнал “veto” запрещает регистрациюμ-сигнала в e-канале, но это приводит
к случайным совпадениям между μ-сигналом и вторым e-сигналом после первого e-сигнала. Это может привести к
искажениям спектра (см. разд. 4.1). Вероятность таких совпадений не превышает 10-7 при мертвом времени 30 нс для
e-сигналов.
сигнал записывается как [7]
<800 ф.э. Улучшить эту идентификацию возможно
(
)
при измерении амплитуд сигналов во всех 3 × 3 = 9
τr + τd
y (t) = R
e-t/τd
1-e-t/τr
,
(1)
кристаллах. Мы отказались от такого метода из-
τ2
d
за его погрешностей и существенного усложнения
эксперимента. Во всех дальнейших расчетах ча-
где R — количество фотоэлектронов при t → ∞,
стица идентифицируется как позитрон в интервале
ymax = 0.144R.
амплитуд (70-800) ф.э. и как мюон в интервале
На рис. 2 приведен спектр сигналов со сцинтил-
(801-1200) ф.э. Минимальная амплитуда 70 ф.э.
лятора BC-412, полученный с помощью GEANT4
для позитрона выбрана с большим запасом, чтобы
при учете световыхода, его деградации при боль-
полностью игнорировать шумы SiPM и их увеличе-
ших ионизационных потерях медленного мюона
ние при радиационном повреждении.
(эффект Birks), отражений света от алюминизиро-
Предлагаемая схема регистрации сигнала с
ванного майлара между сцинтилляторами, остано-
SiPM приведена на рис. 3.
вок частиц в майларе и срабатывании нескольких
Выходные сигналы с матрицы SiPM детекторов
сцинтилляторов из-за рассеяния мюонов и из-за
поступают на входы дифференциальных дискрими-
углового и энергетического распределений пози-
наторов, осуществляющих селекцию сигналов от
тронов. Приведены спектры амплитуд при перед-
мюонов и позитронов, и через зарядочувствитель-
нем фронте сигналов τr = 2 нс и заднем фрон-
ные усилители на преобразователи заряд-код —
те τd = 4 нс. Мюонные сигналы с амплитудой
(QDC μ+ и QDC e+), с помощью которых из-
<800 ф.э. возникают из-за диффузии медленного
меряются амплитудные спектры регистрируемых
мюона в соседние сцинтилляторы. Это приводит к
частиц. Выходной сигнал с одного элемента де-
ошибке в идентификации частицы при амплитудах
тектора (рис. 1) подается на дискриминаторы со
ЯДЕРНАЯ ФИЗИКА том 86
№4
2023
488
БАКАЛЯРОВ и др.
События
последнего варианта GEANT3. Электромагнитные
delta_t
процессы анализировались с точностью 1 кэВ для
Entries
0
Mean
0
GEANT4 и 10 кэВ для GEANT3. Обе програм-
Std Dev
0
χ2/ndf
204.240768/196
мы давали идентичные результаты. Была показана
1012
N
2.11135077e+12 ± 4.93322062e+05
τ
2197.02856 ± 0.00048
идентичность результатов GEANT для 1024 и 9
AC bgrd
5.52892539e+10 ± 2.5491357e+04
элементов при статистике 109 событий. Это позво-
лило набрать за разумное время достаточную для
Sum = 5.70043×1013
анализа статистику для сборки из 3 × 3 на GEANT
и необходимую статистику 1014 событий на “Fast
Program” (FP, см. ниже) за 80 сут вместо 516 для
1011
сборки 32 × 32.
0
2
4
6
8
10
12
14
16
18
3.1. Выбор интенсивности пучка, интервала
Время, мкс
наблюдения и критерия отбора событий
Выполнен анализ зависимости ошибки изме-
Рис. 4. Временной спектр позитронов при распаде мю-
рения времени жизни мюона σ(τμ) от условий
она в диапазоне (0-20) мкс для 1014 событий. Сборка
3 × 3 сцинтиллятора. Программа FP (см. разд. 3.2).
наблюдения. Были рассмотрены при различных
При моделировании статистики 1014 событий получено
интенсивностях варианты анализа при выборе в
σ(τμ) = 0.48 пс для варианта отбора все_μ + все_e
интервале наблюдения одного события: 1_μ и/или
с антисовпадениями. При фитировании была задана
1_e, или всех событий: все_μ и/или все_e, а также
величина τ0 = 2197.03 нс.
варианты есть/нет антисовпадения между сосед-
ними элементами. 1_μ + все_e, например, соответ-
следящим порогом (CFD) для отбора сигнала от
ствует отбору события только с одним мюоном и
мюона (μ+) и позитрона (e+), а также на преобра-
со всеми позитронами в интервале (-30-+30) мкс
зователь заряда — код (QDC) для сигнала мюона.
от времени выбранного мюона. Все_μ + все_e
Используя модули QDC, можно стабилизировать
соответствует отбору всех событий в интервале (0-
усиление детектора для μ+- и e+-сигналов в тече-
20) мкс от времени выбранного мюона. В табл. 1
ние всего периода измерения по вершине распре-
приведены результаты этого анализа. Из таблицы
деления числа фотоэлектронов от мюонов (рис. 2).
видно, что величина σμ увеличивается с ростом ин-
Есть несколько причин нестабильности — умень-
тенсивности пучка, по-видимому, из-за увеличения
шение сигнала из-за радиационных повреждений
фона B. Реально были выполнены расчеты так-
сцинтиллятора и/или SiPM-детекторов, изменение
же при интенсивностях Iμ = (1.62, 1.89 и 2.27) ×
амплитуды при изменении окружающей темпера-
× 107 μ+/с. Все параметры плавно изменяются от
туры и пр. Далее сигналы подаются на преобра-
значений при 1.26 × 107 с-1 до значений при 2.84 ×
зователи время-код (TDC). Модуль V1290А/B-
× 107 с-1.
2eSST представляет собой 128/64 канальный TDC
с шириной канала 0.1-0.8 нс, диапазоном измере-
Выполнен анализ при отборе событий без ан-
ния 104 мкс, мертвым временем 5 нс для парных
тисовпадений между соседними элементами и с
импульсов и выходным буфером 32 кбита × 32 бита
антисовпадениями. Эти случаи различаются из-за
для регистрации частиц в интервале наблюдений.
позитронов, регистрируемых в нескольких элемен-
TDC позволяет эффективно записывать события
тах и диффузии мюона в соседний элемент (см.
при непрерывной передаче данных. Спектр сигна-
рис. 1). Результаты приведены в табл. 2.
лов QDC обрабатывается и используется (посыла-
На основе анализа результатов табл. 2 для
ется на блок питания “Power Supply”) для измене-
моделирования статистики 1014 событий были вы-
ния напряжения на SiPM и, таким образом, юсти-
браны два варианта — худший (все_μ + все_e с
ровки коэффициента усиления SiPM-детекторов.
антисовпадениями) и удовлетворительный по точ-
Равноценная альтернатива — регулировка порогов
CFD-дифференциальных дискриминаторов SiPM
ности — 1_μ + все_e без антисовпадений.
(“Setting Thresholds”).
Сравнение величины ошибки времени жизни
мюона σ(τμ) показывает ее уменьшение на 8% при
3. МОНТЕ-КАРЛО
увеличении времени регистрации от 20 до 30 мкс.
Предложенный детектор (рис. 1) анализировал-
Далее эта ошибка неизменна вплоть до времени
ся с помощью программ GEANT4 (например, [9]) и
регистрации 120 мкс.
ЯДЕРНАЯ ФИЗИКА том 86
№4
2023
ПРЕДЛОЖЕНИЕ И АНАЛИЗ ЭКСПЕРИМЕНТА
489
Таблица 1. Результаты фитирования GEANT4 сборки 3 × 3 кристаллов при статистике 109 и различных
интенсивностях пучка мюонов Iμ для 1024 кристаллов при различных критериях отбора событий и при наличии
антисовпадений между соседними элементами (установка регистрирует все события (нет мертвого времени); фор-
мула фитирования — N(t) = N0 exp(-t/τμ) + B; значения χ2 лежат в естественных пределах для всех вариантов)
Интенсивность
Отбор при
Δτμ, пс
σμ, пс
Δτ/σ
N0/B
пучка Iμ, 107 с-1
(-20-+20) мкс
1.26
1_μ + 1_e
444
126
-3.5
239
1_μ + все_e
37
133
0.3
70
все_μ + все_e
41
138
0.3
27
2.84
1_μ + 1_e
972
163
6.0
108
1_μ + все_e
39
166
0.24
32
все_μ + все_e
118
161
0.73
12
На рис. 4, 5 представлены результаты фити-
была равна 107 μ+/с на полный детектор из 1024
элементов.
рования статистики 1014 событий для вариантов
1_μ + все_e и все_μ + все_e. Интенсивность пучка
3.2. Программа “Fast Program” (FP)
Для набора статистики 1014 с помощью пакетов
Таблица 2. Результаты фитирования GEANT4 сборки
GEANT потребовалось бы при работе на 16 про-
3 × 3 кристаллов при статистике 109 событий, интен-
цессорах порядка 100 лет. Однако для розыгрыша
сивности пучка мюонов 107 c-1 на 1024 кристалла при
всего процесса во времени нет необходимости ис-
различных критериях отбора событий (“отбор” соответ-
пользовать полное моделирование всех процессов.
ствует количеству частиц в интервале (-20-+20) мкс,
но (0-+20) мкс для все_μ + все_e; установка регистри-
Развертка по времени могла быть смоделирована
рует все события (нет мертвого времени); формула фи-
с помощью отдельной программы, которая не обя-
тирования — N(t) = N0 exp(-t/τμ) + B; значения χ2
зательно должна была разыгрывать все физиче-
лежат в естественных пределах для всех вариантов)
ские процессы, но в ней должен был присутство-
вать целый набор (пакет) вероятностей, который
уже определялся с помощью комплексов GEANT
Нет антисовпадений между кристаллами
событий) без
на разумной статистике (109-1010
Отбор
1_μ + 1_e
1_ μ + все_e все_μ + все_e
развертывания всего процесса во времени. Пакет
вероятностей определялся при условии, что если
σ(τμ), мкс
0.127
0.134
0.139
происходит регистрация любых частиц в разных
N0/B
234
70
28
детекторах в пределах 2 нс, то такие события
Антисовпадения 2 нс между кристаллами
выбрасываются. Это существенно облегчает фор-
мирование пакета вероятностей, так как каждый
σ(τμ), мкс
0.138
0.141
0.154
детектор при некоторой потере эффективности ре-
N0/B
368
175
36
гистрации практически был независим от других
детекторов. Для каждого мюона, зарегистрирован-
ного в любом из детекторов, выбирались события
только с одним позитроном в сборке. В этот пакет
Таблица 3. {1} — максимальное мертвое время для ре-
вероятностей входит вероятность того, что для всей
гистрации второго сигнала, {2} — максимальное время
сборки был обязательно зарегистрирован и мюон, и
t2 - t1 между сигналами в паре для обеспечения сдвига
позитрон. При этом для каждого детектора, где за-
второго сигнала1 пс; передний фронт сигнала τr =
регистрирован мюон, дается вероятность, где будет
= 2 нс и задний τd = 4 нс; позитрон— (70-800) ф.э.,
зарегистрирован позитрон (в большинстве случаев
мюон — (801-1200) ф.э.
это тот же самый детектор). Учитывались также
вероятности, что в сборке зарегистрируется мюон,
Частицы в паре
μ-μ μ-e e-μ e-e
а позитрон не зарегистрируется и, наоборот, мюон
{1}, нс
8
25
8
17
не зарегистрируется, а позитрон зарегистрируется.
Во втором случае дается вероятность зарегистри-
{2}, нс
15
45
15
30
роваться позитрону в каждом из детекторов. Кроме
ЯДЕРНАЯ ФИЗИКА том 86
№4
2023
490
БАКАЛЯРОВ и др.
События
эксперименте. На рис. 6 приведены значения Δ(τμ)
1E+012
для отбора все_μ + все_e. На самом деле это
1_
+ all_e, 1014 events, 50 ns/channel
Equation
N(t) = N0exp( t/ ) + ACbgrd
только одна из причин сдвига Δ(τμ).
0, ns
2196.9811
, ns
2196.98158 ± 0.00039
Вторая причина сдвига Δ(τμ) — мертвое вре-
( 0
)/
( )
1.24
2/ndf
651/596
мя 5 нс преобразователя время-код (TDC) для
N0
N0 = 6.1933×1011 ± 79227
ACbgrd
1.0555×1010 ± 1246
парных импульсов [9]. Например, минимальное
мертвое время в паре e-e не превышает 3 нс.
Третья причина — сдвиг времени регистрации вто-
1E+011
рого сигнала в каждой паре. Четвертая — мертвое
время 12 нс усилительной микроячейки SiPM [6].
Величина мертвого времени и временной сдвиг вто-
рого сигнала в паре вычислены при переднем фрон-
те сигнала τr = 2 нс и заднем τd = 4 нс (формула
(1)) при амплитуде (70-800) ф.э. для позитрона
и (801-1200) ф.э. для мюона. Результаты вычис-
лений приведены в табл. 3. Заметим, что мертвое
1E+010
0
10
20
30
время в паре μ-e не влияет на систематический
Время, нс
сдвиг времени жизни мюона при выборе времени
100 нс для регистрации позитрона распада. Были
Рис. 5. Временной спектр позитронов при распаде
выбраны дискриминаторы со следящим порогом
мюона в диапазоне (0-+30) мкс для 1014 зареги-
(CFD). Дискриминаторы с двумя фиксированными
стрированных событий. Сборка 3 × 3 сцинтиллятора.
порогами (D) увеличивают величины {1} и {2} на
Программа FP (см. разд. 3.2). При моделировании
20-30% и исключают случайные совпадения μ-
статистики 1014 событий получено σ(τμ) = 0.39 пс
для варианта 1_μ + все_e. Интервал (-30-+30) мкс
сигнала с e-сигналом (рис. 3).
без антисовпадений. При фитировании была задана
Рисунок
7
демонстрирует временной спектр
величина τ0 = 2196.9811 нс.
N (t2 - t1) позитронов при мертвом времени 20 нс
только в паре e-e.
вышеизложенного учитывается также вероятность
В эксперименте автоматически регистрируются
того, что мюон будет зарегистрирован как позитрон
спектры N(t2 - t1) между всеми парами и можно
и наоборот, а также вероятность того, что в сборке
проверить соответствие мертвых времен с резуль-
не будет зарегистрированных частиц и т.д. Выбор
татами из табл. 3. Очевидно, зависимости N(t2 -
сборки 3 × 3 был обусловлен еще и тем, что это
- t1) не будут дельтаобразными функциями как на
минимальная сборка, которая адекватно отражает
рис. 6 из-за суперпозиции всех четырех причин
реальную картину событий, и пакет вероятностей
и амплитудного разброса сигналов, но эти зави-
для нее сформировать гораздо проще, чем для
симости автоматически регистрируются во время
сборки 32 × 32. Более того, дополнительные де-
эксперимента. Из табл. 3 следует, что отбор со-
текторы заметно замедляют работу быстрой про-
бытий с t2 - t1 > 200 нс для пар μ-μ, e-μ и e-e
граммы (общее увеличение переборов в циклах,
гарантировано исключит влияние мертвого време-
переборы при определении времени совпадений
ни на величину Δ(τμ) и несущественно уменьшит
как в разных детекторах, так и при определении
статистику, поскольку вероятность таких событий
событий с мертвым временем). Это не позволило
не превышает 4 × 10-3 при среднем расстоянии
бы нам набрать нужную статистику в заданный
100 мкс между частицами (интенсивность пучка
срок. Набор статистики 1014 распадов занимает 80
суток для сборки 3 × 3 элемента и 516 суток для
сборки из 32 × 32 элемента.
Таблица 4. Ошибки предложенного эксперимента для
варианта 1_μ + все_e
4. СИСТЕМАТИЧЕСКИЕ ОШИБКИ
Источник ошибки
σ(τμ), пс σ(GF)/GF, 10-6
4.1. Мертвое время системы регистрации
Масса мюона
0.22
0.05
событий (СРС)
Калибровка времени
0.13
0.03
В работе [2] было изучено влияние мертвого
Статистическая ошибка
0.39
0.09
времени СРС в паре e-e на систематический сдвиг
экспериментального значения времени жизни мю-
Суммарная ошибка
0.46
0.10
она Δ(τμ) из-за потери второго позитрона. Анало-
Существующая ошибка
2.2
0.5
гичная систематика присутствует и в предлагаемом
ЯДЕРНАЯ ФИЗИКА том 86
№4
2023
ПРЕДЛОЖЕНИЕ И АНАЛИЗ ЭКСПЕРИМЕНТА
491
107μ+/с). Отбор событий с t2 - t1 > 100 нс для
выделенного геометрического направления реги-
пары μ-e уменьшит статистику всего на5%. Рас-
страции позитронов. В предложенной установке
пределения времен N(t2 - t1) для всех пар частиц
позитроны регистрируются с равной вероятностью
позволяют измерить зависимость величины Δ(τμ)
в угле 4π. Это должно быть проверено, так как да-
от мертвого времени t2 - t1 любой пары и получить
же магнитное поле Земли1 Гс неприемлемо иска-
жает значение τμ. После этого надо выбрать работу
зависимости, подобные данным на рис. 3. Таким
образом, это позволяет исключить влияние мерт-
в магнитном поле1 Гс или без него. Было показа-
вого времени на точность величины τμ практически
но, что величина Δ(τμ) = 0, и значения σ(τμ) равны
без потери скорости набора статистики.
при B = 0 и B = 1 кГс при фитировании зависимо-
сти N(t) = N0(1 - (Pμ/3) cos ωt) exp(-t/τμ) + B с
= 1 и частотой ω прецес-
поляризацией мюона Pμ
4.2. Радиационные повреждения
сии спина мюона в магнитном поле. Позитроны
сцинтилляторов и SiPM
регистрировались только по направлению пучка.
Мы будем полагать, что присутствие внешнего
Очевидно, что для длительного (116 суток) вре-
магнитного поля необходимо при наличии земного
мени работы при интенсивности пучка 107 μ+/с
поля1 Гс, но это не влияет на результаты экспе-
необходим анализ влияния радиационных повре-
римента.
ждений на световыход сцинтилляторов и на шумы
и усиление SiPM. В более тяжелом положении
оказывается сцинтиллятор, который облучается
4.4. Нестабильность усиления SiPM
мюонами и позитронами. Для поиска подходящего
сцинтиллятора было затрачено значительное вре-
Разброс коэффициентов усиления отдельных
мя. Была вычислена доза на один сцинтиллятор
ячеек сборки SiPM не превышает 15% [14]. Из-
менение коэффициента усиления от температуры
3 × 3 × 3 мм3 при набранной статистике 1014 со-
бытий на полный детектор 32 × 32 сцинтиллято-
равно-1%/K. Модуль QDC (рис. 3) позволяет
с большой точностью стандартизовать и стабили-
ра. Она составляет 2.5 × 103 Гр. В работе [10]
зировать усиление отдельных ячеек во время экс-
для эксперимента ATLAS изучено влияние облу-
перимента. Будем полагать, что при компенсации
чения на световыход нескольких сцинтилляторов.
этих эффектов они не дадут вклада в величину τμ.
Для сцинтиллятора BC-412 (EJ-208) наблюдено
уменьшение световыхода на 10% при дозе 7 ×
× 105 Гр. Следует заметить, что авторы исполь-
4.5. Временная структура пучка мюонов
зовали пучок 6 МэВ протонов, которые оказыва-
ют гораздо большее радиационное воздействие на
Временная структура пучка мюонов ускори-
сцинтиллятор, чем мюоны, и при нашей суммарной
теля PSI может быть описана как I(t) = I0(1 +
дозе 2.5 × 103 Гр нет изменения световыхода BC-
+ 0.0008| sin(t/40ns)|)
[15]. Она обусловлена
412. При наборе статистики 1014 доза позитронов
временной структурой пучка протонов. Была
на SiPM составляет 5 × 108 мм-2. В работе [11]
разыграна статистика по формуле N(t) = N0(1 +
показано, что существенное уменьшение коэффи-
+ 0.08| sin(t/40ns)|) exp(-t/τμ) + B и обработана
циента усиления (в 2 раза) наблюдается при дозе
по формуле N(t) = N0 exp(-t/τμ) + B. Резуль-
5 × 1010 мм-2 и пренебрежимо мало при дозе 5 ×
тат — χ2/ndf = 19 852/19 978 и отсутствие сдвига
× 108 мм-2. Существенное увеличение шума SiPM
Δ(τμ). Отсюда следует, что временная структура
наблюдается при дозе 3 × 109 мм-2, но этот эффект
пучка ускорителя PSI не дает вклада в величину
несущественен при выборе порога 70 ф.э. для реги-
τμ.
страции позитронов.
4.6. Погрешности TDC (преобразователь
4.3. Внешнее магнитное поле
время-код)
Мы используем пучок мюонов с поляризацией,
Основными характеристиками TDC являют-
близкой к единице [12]. Эта поляризация частично
ся интервал наблюдения T , цена канала Least
теряется из-за взаимодействий спина мюона с ве-
Significant Bin (LSB), дифференциальная DNL
ществом. В работе [13] измерена поляризация мю-
и интегральная INL нелинейности. Было пока-
онов в сцинтилляторе NE-102. Она равна0.24.
зано, что σ(τμ) не зависит от интервала наблю-
Спин мюона будет прецессировать в плоскости,
дения при T > 30 мкс и от цены канала при
перпендикулярной направлению магнитного поля.
1 < LSB < 100 нс. DNL и INL также являют-
Это приводит к искажению распределения N(t) =
ся важными величинами при наборе статистики
= N0 exp(-t/τμ) + B и величины τμ при наличии
1014 событий и высокой точности определения τμ.
ЯДЕРНАЯ ФИЗИКА том 86
№4
2023
492
БАКАЛЯРОВ и др.
Сдвиг времени жизни мюона, пс
ры получили систематическую ошибку σsyst(τμ) =
= 0.03 пс. Это небольшая величина по сравне-
16
2/ndf
0.3526/5
p0
0.004808 ± 0.3652
нию с нашей статистической ошибкой σ(τμ) =
14
p1
0.07528 ± 0.007092
= 0.39 пс. Второй способ — подача на входы старт
12
и стоп TDC некоррелированных событий [16]. В
10
этом случае при DNL = INL = 0 количество
событий в каждом канале одинаково в пределах
8
статистической ошибки. DNL
=
0 и INL
=
6
= 0 искажают такое распределение. Измеренные
4
величины таких отклонений позволяют определить
LSB и правильное время каждого канала. В ра-
2
боте [16] показано, что DNL и INL зависимости
0
идентичны для многих TDC и не зависят от внеш-
2
них условий. При использовании предложенного
0
50
100
150
200
здесь TDC старт не коррелирован с каналом ко-
Мертвое время, нс
дировщика, поскольку TDC работает непрерывно.
Величины σi(DNL) резко уменьшаются, но инте-
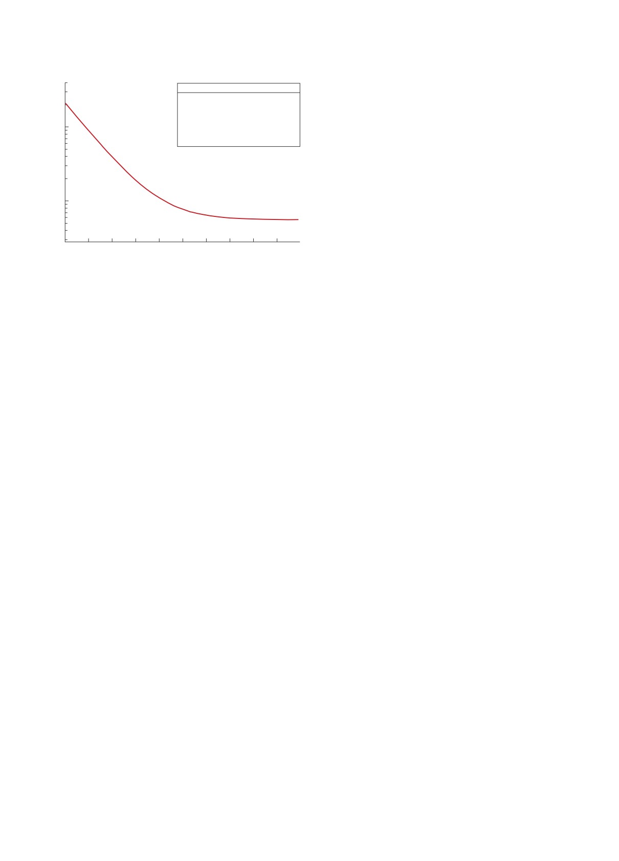
Рис. 6. Зависимость систематического сдвига Δ(τμ)
от мертвого времени СРС. Анализ дан для варианта
гральная нелинейность остается. Для предложен-
отбора все_ μ + все_e в интервале (0-20) мкс времен
ного кодировщика TDC — V1190A2-Esst нели-
распада мюона, при этом мертвое время было равно
нейности равны: σ(DNL) < 0.2 LSB, σ(INL) < 0.3
для регистрации μ-e-, μ-μ-, e-μ- и e-e-пар. Вве-
LSB [8]. Непонятно, с какой точностью удаст-
дены антисовпадения в пределах 2 нс для соседних
кристаллов. Такой же анализ был выполнен при ва-
ся описать зависимость tN = f(N) для TDC —
рианте отбора 1_μ + все_e. Анализ дан в интервале
V1190A-2Esst. Поэтому будем пессимистически
(0-30) мкс относительно времени регистрации мюона
предполагать, что получим σsyst(τμ) = 0.13 пс, как
только для e-e-пар без антисовпадений между кри-
было показано в работе [2].
сталлами. Смещение Δ(τμ) в этом случае в7 раз
больше.
4.7. Состав пучка мюонов
Пучок “поверхностных мюонов” PSI содержит
События, 1 нс
<10-4 пионов [12] и <1% позитронов [17]. Простые
оценки показывают, что столь малая примесь пио-
нов не влияет на результаты. Позитроны с энергией
6000
30 МэВ имеют достаточно большой пробег и
только рассеиваются в сцинтилляторе и материале
SiPM. Некоррелированные по времени позитроны
увеличивают фон и могут привести к увеличению
σ(τμ). Возможны два способа изучения и ослаб-
4000
ления влияния примеси позитронов на величину
σ(τμ). Во-первых, набрать1012 случаев распада
мюона за сутки и экстраполировать полученную
величину σ(τμ) на статистику 1014. После этого
2000
при неудовлетворительном результате разместить
на оси пучка за SiPM сцинтилляционный детек-
тор для регистрации примеси позитронов в пучке.
Сигнал с этого детектора, совпавший по времени
0
20
40
60
80
100
с сигналом любого сцинтиллятора SiPM, позволит
Мертвое время, нс
выбросить из анализа такое событие. Это приводит
к случайным совпадениям примесного позитрона
Рис.
7. Зависимость N(t2e - t1e) при заданном
с позитроном μ → e распада. При интенсивности
мертвом времени 20 нс между позитронами и при
107 c-1 среднее время между позитронами распада
0 < t1e < 29 мкс относительно сигнала мюона.
На рисунке принято значение t1e = 0. Вариант
равно100 нс. Для реальной длительности 5 нс
1_μ + все_e, нет антисовпадений между кристаллами.
выходного сигнала SiPM и телесного угла 0.1 ×
× 4π сцинтилляционного детектора это приводит к
потере 5% интенсивности из-за случайных совпа-
Рассмотрим два способа измерения DNL и INL.
дений и дополнительно 10% от этой величины из-
Первый способ — калибровка TDC с помощью
за телесного угла, всего0.5%. Вариант соответ-
калиброванного рубидиевого эталона [2]. Авто-
ствует сцинтилляционному детектору с размерами
ЯДЕРНАЯ ФИЗИКА том 86
№4
2023
ПРЕДЛОЖЕНИЕ И АНАЛИЗ ЭКСПЕРИМЕНТА
493
10 × 10 см2 на расстоянии35 см за SiPM. Пред-
их результатов значительно повышает достовер-
ложенный метод, как и режим регулярного набора
ность полученных данных. После анализа может
статистики, предполагает синхронную работу всех
быть выбран оптимальный вариант по точности
TDC. Это возможно с TDC V1190А/B-2Esst, ко-
σ(GF)/GF и/или, может быть, по величине χ2.
торые позволяют непрерывную регистрацию собы-
Авторы благодарны А.А. Коршенинникову и
тий и их запись в память. Такой режим был, в
М.Д. Скорохватову за поддержку работы и Рос-
частности, продемонстрирован в работе [18].
сийскому фонду фундаментальных исследований,
по гранту № 18-02-00007А которого была выпол-
нена значительная часть работы.
ЗАКЛЮЧЕНИЕ
В настоящей работе предложена новая установ-
ка для точного измерения времени жизни мюона и
СПИСОК ЛИТЕРАТУРЫ
константы Ферми GF при μ+ → e+ распаде и про-
1.
E. Tiesinga, P. J. Mohr, D. B. Newell, and B. N. Tay-
анализированы все возможные источники ошибок
lor, Rev. Mod. Phys. 93, 025010 (2021).
эксперимента. В отличие от электромагнитного и
2.
V. Tishchenko et al. (MuLan Collab.), Phys. Rev. D
сильного взаимодействий все частицы участвуют
87, 052003 (2013).
в слабых взаимодействиях, сила которых опреде-
3.
A. Pak and A. Czarnecki, Phys. Rev. Lett. 100,
ляется константой Ферми GF. Многие процессы
241807 (2008).
определяются слабым взаимодействием. Это про-
4.
A. Crivellin, M. Hoferichter, and C. A. Manzari, Phys.
цессы большого взрыва, нуклеосинтеза и горения
Rev. Lett. 127, 071801 (2021).
звездного водорода, археологического датирования
5.
V. Tishchenko, S. Battu, R. M. Carey, D. B. Chit-
и медицинской визуализации, а также фундамен-
wood, J. Crnkovic, P. T. Debevec, S. Dhamija,
тальной ядерной физики и физики элементарных
W. Earle, A. Gafarov, K. Giovanetti, T. P. Gorringe,
частиц. Значение константы GF лучше всего опре-
F. E. Gray, Z. Hartwig, D. W. Hertzog, B. Johnson,
деляется при измерении времени жизни мюона
P. Kammel, et al., arXiv: 1211.0960v1 [hep-ex].
τμ. Во-первых, чисто лептонный характер распада
6.
https://www.onsemi.com/products/sensors/silicon-
мюона обеспечивает однозначную теоретическую
photomultipliers-sipm
интерпретацию. Во-вторых, точное измерение вре-
7.
Y. Shao, Phys. Med. Biol. 52, 1103 (2007).
мени жизни мюона стало возможно в настоящее
8.
https://www.caen.it/products/
время благодаря развитию методов точного изме-
9.
J. Allison, K. Amako, J. Apostolakis, P. Arce,
рения времени и аппаратуры для набора необхо-
M. Asai, T. Aso, E. Bagli, A. Bagulya, S. Banerjee,
димой статистики1014 распадов без искажений.
G. Barrand, B. R. Beck, A. G. Bogdanov, D. Brandt,
Показано, что можно достичь точности (GF)/GF =
J. M. C. Brown, H. Burkhardt, Ph. Canal, et al., Nucl.
Instrum. Methods Phys. Res. А 835, 186 (2016).
= 0.1 × 10-6. В данном предложении нового экспе-
10.
S. Liao, R. Erasmus, H. Jivan, C. Pelwan, G. Peters,
римента отсутствует систематическая ошибка из-
and E. Sideras-Haddad, J. Phys.: Conf. Ser. 645,
за мертвого времени системы регистрации собы-
012021 (2015).
тий. В работе [2] эта систематическая ошибка пре-
11.
S. S ´anchez Majos, P. Achenbach, and J. Pocho-
вышала 0.02 × 10-6. Для дальнейшего улучшения
dazalla, Nucl. Instrum. Methods Phys. Res. A 594,
точности измерения GF потребуется, помимо улуч-
351 (2008).
шения точности τμ, экспериментальное улучшение
12.
https://www.psi.ch/en/smus/pie3
точности массы мюона mμ (в настоящее время
13.
G. G. Myasishcheva, Yu. V. Obukhov, V. S. Roganov,
σ(mμ)/mμ = 0.02 × 10-6 [1] и вклад в точность
and V. G. Firsov, Zh. Eksp. Teor. Fiz. 56, 1199 (1969).
GF составляет 0.05 × 10-6) и улучшение временной
14.
M. Renschler, W. Painter, F. Bisconti, A. Haungs,
калибровки (вклад 0.03 × 10-6 [2]). В настоящее
T. Huber, M. Karus, H. Schieler, and A. Weindl, arXiv:
1804.00897v1 [astro-ph.IM].
время точность вычислений GF составляет 0.14 ×
15.
T. Prokscha, Isis Muon Training Course, 25th-Feb-
× 10-6 [3] в рамках Стандартной модели взаимо-
2005, https://www.psi.ch/en
действий элементарных частиц. Основные ошибки
16.
B. Markovic, D. Tamborini, S. Bellisai, A. Bassi,
приведены в табл. 4.
A. Pifferi, F. Villa, G. M. Padovini, and A. Tosi,
Для варианта отбора все_μ + все_e суммарная
in Proceedings of SPIE, 2013, San Francisco,
ошибка σ(GF)/GF не превышает 0.13 × 10-6. При
California, United States, Vol. 8631, 86311F,
обработке результатов доступны для анализа все
https://doi.org/10.1117/12.2005537
варианты отбора, введение любых мертвых вре-
17.
T. Prokscha, E. Morenzoni, K. Deiters, F. Foroughi,
мен между любыми частицами и выбор спектра
D. George, R. Kobler, A. Suter, and V. Vrankovic,
с антисовпадениями или без них между любыми
Nucl. Instrum. Methods Phys. Res. A 595,
317
сцинтилляторами. Анализ вариантов и объяснение
(2008).
ЯДЕРНАЯ ФИЗИКА том 86
№4
2023
494
БАКАЛЯРОВ и др.
18. A. U. Abeysekara, R. Alfaro, C. Alvarez, J. D.
Al-
S. Y. BenZvi, D. Berley, M. Bonilla Rosales, J. Braun,
varez, R. Arceo, J. C. Arteaga-Vel ´azquez, H. A. Ayala
et al., Nucl. Instrum. Methods Phys. Res. A 888, 138
Solares, A. S. Barber, B. M. Baughman, N. Bautista-
(2018).
Elivar, J. Becerra Gonzalez, E. Belmont-Moreno,
PROPOSAL AND ANALYSIS OF THE EXPERIMENT FOR ACCURATE
MEASUREMENT OF THE MUON LIFETIME AND THE FERMI CONSTANT
А. M. Bakalyarov1), A. I. Klimov1), I. N. Machulin1), E. A. Meleshko1), V. I. Selivanov1)
1)National Research Centre “Kurchatov Institute”, Moscow, Russia
An experiment is proposed for a record-breaking measurement of the world Fermi constant GF during the
decay of a positive muon. All systematic errors were analyzed. The program “Fast Program” (FP) was
developed and tested using GEANT data and running1500 times faster. 1014 events were collected with
two options for selecting events. An accuracy of 0.46 ps for the muon lifetime and 0.1 ppm for the GF
value was obtained, taking into account all systematic errors. The accuracy of theoretical calculations GF
is 0.14 ppm within the framework of the Standard Model interactions of elementary particles.
ЯДЕРНАЯ ФИЗИКА том 86
№4
2023