ЯДЕРНАЯ ФИЗИКА, 2023, том 86, № 5, с. 546-561
ЯДРА
ФЕНОМЕНОЛОГИЧЕСКОЕ ОПИСАНИЕ И ПАРАМЕТРИЗАЦИЯ
СЕЧЕНИЙ ДЕЛЕНИЯ ТЯЖЕЛЫХ ЯДЕР НУКЛОНАМИ
В ОБЛАСТИ ПРОМЕЖУТОЧНЫХ И ВЫСОКИХ ЭНЕРГИЙ
© 2023 г. В. И. Юревич1)*
Поступила в редакцию 24.03.2023 г.; после доработки 24.03.2023 г.; принята к публикации 01.04.2023 г.
Разработан новый метод описания и параметризации сечений деления тяжелых ядер нейтронами и
протонами в области энергий выше 100 МэВ. Выражение для параметризации получено на основе
феноменологического представления о различных модах распада высоковозбужденных ядер, обра-
зующихся после первой быстрой стадии нуклон-ядерного взаимодействия. Развитый метод хорошо
воспроизводит энергетическую зависимость сечений деления, предсказывая их слабую зависимость
от энергии и типа нуклона в области высоких энергий.
DOI: 10.31857/S0044002723050458, EDN: IFIZGU
1. ВВЕДЕНИЕ
результатов, полученных в различных измерени-
ях. В том числе были выполнены оценки данных
Развитие современных ядерных технологий на
по сечениям деления в области промежуточных
основе ускорителей имеет ряд важных приложе-
энергий [8-10]. Результаты по сечениям деления
ний, например, создание систем на основе силь-
протонами, полученные до 2001 г., были обобще-
ноточных ускорителей для производства энергии и
ны Прокофьевым, предложившим также метод их
трансмутации радиоактивных отходов [1-4], мощ-
параметризации [11]. В то же время за последние
ных источников нейтронов расщепления [5], а так-
годы был выполнен ряд новых измерений сечений
же для получения пучков радиоактивных ядер для
деления различных тяжелых ядер. Основные ре-
исследования ядерных структур вдали от стабиль-
зультаты были получены в традиционной прямой
ности [6, 7]. Для всех этих приложений существует
кинематике с нейтронами в лабораториях TSL,
большая потребность в точных ядерных данных в
ПИЯФ, LANL, CERN (n_TOF) и протонами в
области промежуточных и высоких энергий, вклю-
TSL, ПИЯФ, ОИЯИ, а также в обратной кине-
чая сечения деления тяжелых ядер нуклонами вы-
матике с протонами в GSI. Эти эксперименты су-
соких энергий с погрешностью, не превышающей
щественно расширили набор экспериментальных
10%.
результатов по сечениям деления, которые пред-
Несмотря на длительную историю изучения
ставлены, например, в базе данных EXFOR [12]. В
процесса деления ядер, существует довольно
то же время следует отметить, что для многих ре-
ограниченный набор экспериментальных данных
акций деления данных по-прежнему крайне мало,
по сечениям деления различных тяжелых ядер,
и особенно это относится к области энергий выше
актинидов и предактинидов высокоэнергетиче-
1 ГэВ.
скими нейтронами и протонами. Кроме того, в
Одновременно с экспериментальным изучением
ряде случаев наблюдается значительный разброс
деления ядер значительные успехи были достигну-
результатов различных измерений. Это приводит
ты в развитии теоретических моделей и создании
к большой неопределенности величин сечений
на их базе компьютерных кодов для расчетов сече-
деления, значительно превышающей требуемую
ний деления тяжелых ядер высокоэнергетическими
величину погрешности.
нуклонами. Современный статус теоретических и
В последнюю четверть века значительные уси-
экспериментальных работ и полученных результа-
лия были затрачены на создание баз эксперимен-
тов представлен в обзорах [13, 14]. Здесь важно
тальных данных в области энергий выше 20 МэВ и
отметить, что, несмотря на значительный прогресс
в теоретическом изучении процесса деления ядер в
файлов рекомендованных данных на основе оценки
этом диапазоне энергий, теоретические модели по-
1)Объединенный институт ядерных исследований, Дубна,
ка не могут обеспечить требуемой точности и необ-
Россия.
ходимо их дальнейшее развитие. Основные труд-
*E-mail: yurevich@jinr.ru
ности теоретических расчетов связаны со слож-
546
ФЕНОМЕНОЛОГИЧЕСКОЕ ОПИСАНИЕ И ПАРАМЕТРИЗАЦИЯ СЕЧЕНИЙ
547
ным механизмом взаимодействий высокоэнергети-
совокупности имеющихся непротиворечивых экс-
ческих нуклонов с ядрами, приводящим к обра-
периментальных результатов.
зованию высоковозбужденной ядерной системы с
Используемые в настоящей работе данные по
различными конкурирующими модами распада.
сечениям деления нейтронами и протонами пред-
Другой альтернативный путь оценки сечений
ставлены в табл. 1 с разделением на три энергети-
деления связан с разработкой методов описания и
ческие области — до 200 МэВ, от 200 до 1000 МэВ
параметризации экспериментальных результатов с
и выше 1000 МэВ.
помощью аналитических выражений [11, 15-18].
Следует отметить, что в области высоких энер-
Этот подход удобен для создания быстрых кодов
гий для прецизионного измерения сечений деления
и выполнения расчетов в различных приложениях.
на фоне ядерных фрагментов от других процес-
Однако пока не существует метода параметриза-
сов распада важно проводить регистрацию обоих
ции, способного воспроизвести данные по сечени-
осколков в каждом акте деления. В большин-
ям деления в области промежуточных и высоких
стве экспериментов детектировался только один
энергий с требуемой точностью.
из осколков деления, что не позволяло надеж-
Целью настоящей работы является разработка
но регистрировать процесс деления. Возможно, с
нового метода описания и параметризации сече-
этим связан наблюдаемый большой разброс меж-
ний деления актинидных и предактинидных ядер в
ду данными разных авторов, который превышает
широком диапазоне энергий налетающих нуклонов
представленные ошибки.
выше 100 МэВ. Вывод аналитического выражения
В измерениях, выполненных в обратной кинема-
для параметризации сечений деления основан на
тике с помощью спектрометра FRS в GSI [29, 35,
учете различных конкурирующих процессов рас-
39-41], сечения деления получались путем инте-
пада возбужденного ядерного остатка, образую-
грирования выходов различных изотопов деления
щегося на первой быстрой фазе нуклон-ядерного
с вычитанием фонового вклада, что первоначаль-
взаимодействия.
но, в случае регистрации только одного осколка
деления, давало довольно большую методическую
2. ЭКСПЕРИМЕНТАЛЬНЫЕ ДАННЫЕ
погрешность. В новой серии измерений на модер-
низированной установке с регистрацией уже обоих
В настоящее время набор экспериментальных
осколков удалось уменьшить погрешность до уров-
данных по сечениям деления, вызванного нукло-
ня ∼6%. Необходимо отметить, что этот метод по-
нами промежуточных и высоких энергий, остает-
лучения сечений деления является более сложным
ся очень ограниченным. Например, для деления
по сравнению с прямыми измерениями, выполнен-
нейтронами не существует измерений в области
ными в LANL, CERN и ПИЯФ. По-видимому,
энергий выше 1 ГэВ.
имеющееся расхождение результатов для сечения
В последнее десятилетие на основе имеющихся
деления208Pb протонами, полученных в ПИЯФ
экспериментальных данных по делению нейтро-
[36] и GSI [39-41], связано с неучтенными методи-
нами были выполнены оценки сечений деления
ческими погрешностями.
209Bi(n, f),235U(n, f),238U(n, f) и239Pu(n, f), ко-
торые были предложены в качестве новых нейтрон-
ных стандартов в диапазоне энергий до 200 МэВ
3. ВЗАИМОДЕЙСТВИЕ
[8], а сечения деления
209Bi(n, f),
235U(n, f) и
ВЫСОКОЭНЕРГЕТИЧЕСКИХ НУКЛОНОВ
238U(n, f) — в качестве рекомендованных данных в
С ЯДРАМИ И ВЕРОЯТНОСТЬ ДЕЛЕНИЯ
интервале энергий от 200 до 1000 МэВ [9]. В на-
Детальное теоретическое описание сечений де-
стоящей работе эти данные, имеющие наименьшую
ления ядер актинидов в области ниже 200 МэВ
погрешность, использовались для проверки пред-
было развито в работах [52, 53]. Здесь имеется
лагаемого подхода и настройки значений парамет-
два основных конкурирующих процесса — реакция
ров аналитического выражения. Для других ядер
деления, имеющая ассиметричную и симметричную
актинидов232Th и237Np использовались резуль-
моды, и эмиссия нейтронов, которые протекают с
таты измерений, выполненных с использованием
вероятностью Pf и (1 - Pf ) соответственно. Эмис-
источников нейтронов расщепления в LANL [19,
сия легких заряженных частиц понижает заряд яд-
20], ПИЯФ [21] и CERN [22, 23]. Для ядер легче
ра, что приводит к значительному уменьшению ве-
висмута измерения в области энергий нейтронов
роятности деления. Поэтому вклад таких каналов в
выше 200 МэВ отсутствуют.
деление мал. В этом диапазоне энергий взаимодей-
Для реакций деления протонами апробация раз-
ствие протекает через образование составного ядра
витого метода проводилась с использованием фай-
с максимальной энергией возбуждения ∼200 МэВ.
ла оцененных данных JENDL/HE [10], парамет-
Каскадная эмиссия нейтронов снижает энергию
ризации [11] в области энергий ниже 200 МэВ и
возбуждения остаточного ядра, но одновременно
ЯДЕРНАЯ ФИЗИКА том 86
№5
2023
548
ЮРЕВИЧ
Таблица 1. Данные по сечениям деления нейтронами и протонами, использованные в настоящей работе
Область энергий
Ядро
E < 200 МэВ
200-1000 МэВ
E > 1000 МэВ
Сечения деления нейтронами
209Bi
[8]a
[9]a
232Th
[19, 21, 22]
[19, 22]
235,238U
[8]a
[9]a
237Np
[19-21, 23]
[19, 23]
239Pu
[8]a
Сечения деления протонами
181Ta
[24, 25]
[26-29]
197Au
[24, 30-32], [11]b
[26, 27, 33-36]
[33, 34, 37, 38]
206-208Pb
[18, 24], [10]a,[11]b
[27, 33, 36, 39-41]
[33, 37, 42]
209Bi
[24], [10]a, [11]b
[26, 27, 33, 34, 43]
[33, 34, 37, 44]
232Th
[11]b
[27, 43, 45]
[44, 46, 47]
233-238U
[10]a, [11]b
[27, 33, 34, 40, 42, 43, 48-50]
[33, 34, 37, 42, 44, 47]
237Np
[10]a, [11]b
[43, 51]
[44]
239Pu
[11]b
[43]
a —оценка экспериментальных данных.
b —параметризация Прокофьева.
происходит увеличение параметра делимости по
и заряженных частиц, что приводит к небольшой
сравнению с параметром делимости ядра-мишени.
потере заряда и массы остаточного ядра.
Взаимодействие протонов высоких энергий с
Во второй фазе реакции происходит процесс
тяжелыми ядрами является эффективным спосо-
девозбуждения ядерного остатка путем его распа-
бом получения горячих ядер и используется в экс-
да по одному из нескольких возможных каналов,
периментах по изучению свойств ядерной материи в
конкурирующих друг с другом. Эксперименты, в
экстремальных условиях [54-58]. В области энер-
которых изучалось распределение выхода вторич-
гий выше 100 МэВ длина волны нуклона умень-
ных ядерных фрагментов, показали, что оно наи-
шается с 2.7 до 0.7 фм при 1000 МэВ, что соот-
более сильно претерпевает изменение в области
ветствует переходу от взаимодействия с ядром как
промежуточных энергий с повышением энергии от
целым с образованием составного ядра к другому
100 до 3000 МэВ [59-62]. В области энергий,
механизму передачи энергии ядру-мишени через
где максимальная энергия возбуждения ядра пре-
внутриядерный каскад. Последний механизм пере-
вышает ε∗ ∼ 1 МэВ/нуклон, начинает постепенно
дачи энергии имеет несколько стадий и начинает-
нарастать вклад от процесса расщепления ядра
ся с первичных нуклон-нуклонных столкновений
с испусканием нейтронов и LCPs с образовани-
вдоль траектории налетающего нуклона с рожде-
ем тяжелого ядерного остатка, не способного к
нием барионных резонансов и мезонов (главным
дальнейшему распаду через деление. При даль-
образом Δ, N∗ и π-мезонов). При этом на быстрой
нейшем повышении энергии увеличивается выход
стадии взаимодействия, которая длится ∼30 фм/с
фрагментов промежуточной массы (IMF) с Z ≥
(10-22 с) [58], часть энергии налетающего нуклона
≥ 3, что приводит к уширению массовых и за-
уносится лидирующими частицами, другая часть
рядовых распределений остаточных ядер. В диа-
покидает ядро путем эмиссии быстрых нейтронов
пазоне энергий выше нескольких ГэВ большая
и легких заряженных частиц (LCP), а оставшаяся
часть центральных нуклон-ядерных столкновений
доля идет на формирование высоковозбужденного
приводит к образованию горячих ядер с энергией
ядерного остатка. Эта фаза реакции сопровож-
возбуждения ε∗ > 2 МэВ/нуклон [54, 58]. В таких
дается испусканием лишь нескольких нейтронов
событиях температура ядра-остатка перестает за-
ЯДЕРНАЯ ФИЗИКА том 86
№5
2023
ФЕНОМЕНОЛОГИЧЕСКОЕ ОПИСАНИЕ И ПАРАМЕТРИЗАЦИЯ СЕЧЕНИЙ
549
висеть от энергии возбуждения, так как энергия
взаимодействие [75], которое остается неизменным
расходуется на разрушение межнуклонных связей.
даже при сверхвысоких энергиях коллайдера LHC
Этот процесс обычно интерпретируют как фазовый
[76-78].
переход “жидкость-газ” [63-65]. Образующийся
Основываясь на описанной выше феноменоло-
высоковозбужденный ядерный остаток имеет по-
гической картине нуклон-ядерного взаимодействия
ниженную плотность и перестает быть устойчивым
и вероятности процесса деления ядра-остатка, вы-
к дальнейшему расширению под действием тепло-
ражение для сечения деления можно записать как
вой энергии и кулоновских сил [58]. И в некоторый
σf = Pf (σin - σfr) ,
(1)
момент (freeze-out), характеризуемый температу-
рой T ≈ 4.5-5 МэВ, происходит распад системы на
где σin и σfr — неупругое сечение и сечение фраг-
свободные нуклоны и ядерные фрагменты (явление
ментации соответственно.
мультифрагментации) [66-69]. Такой распад про-
В настоящей работе эта формула использует-
исходит за время ∼60-80 фм/c, что значительно
ся для вывода основного аналитического выраже-
меньше времени, необходимого для распада по
ния для параметризации сечений деления тяжелых
каналу деления [70].
ядер высокоэнергетическими нуклонами. При этом
Таким образом, в области высоких энергий
предполагается, что все члены этого выражения
распад через деление происходит с наибольшей
могут быть представлены в виде произведения двух
вероятностью в периферических нуклон-ядерных
величин, первая из которых зависит от параметров
столкновениях, когда образовавшаяся после пер-
ядра мишени, а вторая — описывает энергетиче-
вой фазы взаимодействия ядерная система имеет
скую зависимость. При этом все функции, опи-
плотность, близкую к плотности нормального ядра,
сывающие энергетическую зависимость, стремятся
и может эволюционировать путем снятия возбуж-
с повышением энергии к предельному значению,
равному единице, что отражает насыщение величин
дения через испарение нейтронов и деление. Этот
вывод подтверждается результатами эксперимента
сечений и вероятности деления в области высоких
энергий.
[54], в котором изучалась вероятность деления ядер
238U в зависимости от центральности столкновений
при энергиях налетающих протонов 475 МэВ и
4. СЕЧЕНИЕ НЕУПРУГОГО
2 ГэВ и ядер 3He с энергией 2 ГэВ. При вносимой
ВЗАИМОДЕЙСТВИЯ
энергии 475 МэВ вероятность деления составля-
Для оценки сечения деления требуется знание
ет 95% для широкого диапазона центральности
сечения неупругого нуклон-ядерного взаимодей-
столкновений, а при увеличении энергии до 2 ГэВ
ствия σin. Следует отметить, что база эксперимен-
вероятность деления уменьшается с центрально-
тальных данных по сечению неупругого взаимодей-
стью более чем в 2 раза от ∼95 до ∼42%. Другим
ствия для различных тяжелых ядер весьма бедна
доказательством, следующим из анализа экспери-
в рассматриваемой области энергий налетающих
ментальных данных для актинидов в области энер-
нуклонов. В то же время имеющиеся данные свиде-
гий выше 1 ГэВ, является уменьшение вероятности
тельствуют о малом различии значений сечения для
деления с увеличением энергии снаряда. Напри-
нейтронов и протонов с одинаковой энергией [79].
мер, для реакции p +238U вероятность деления па-
В настоящее время предложено несколько раз-
дает с увеличением энергии примерно в 2 раза. Это
личных методов параметризации сечений неупру-
означает, что в этой области энергий существен-
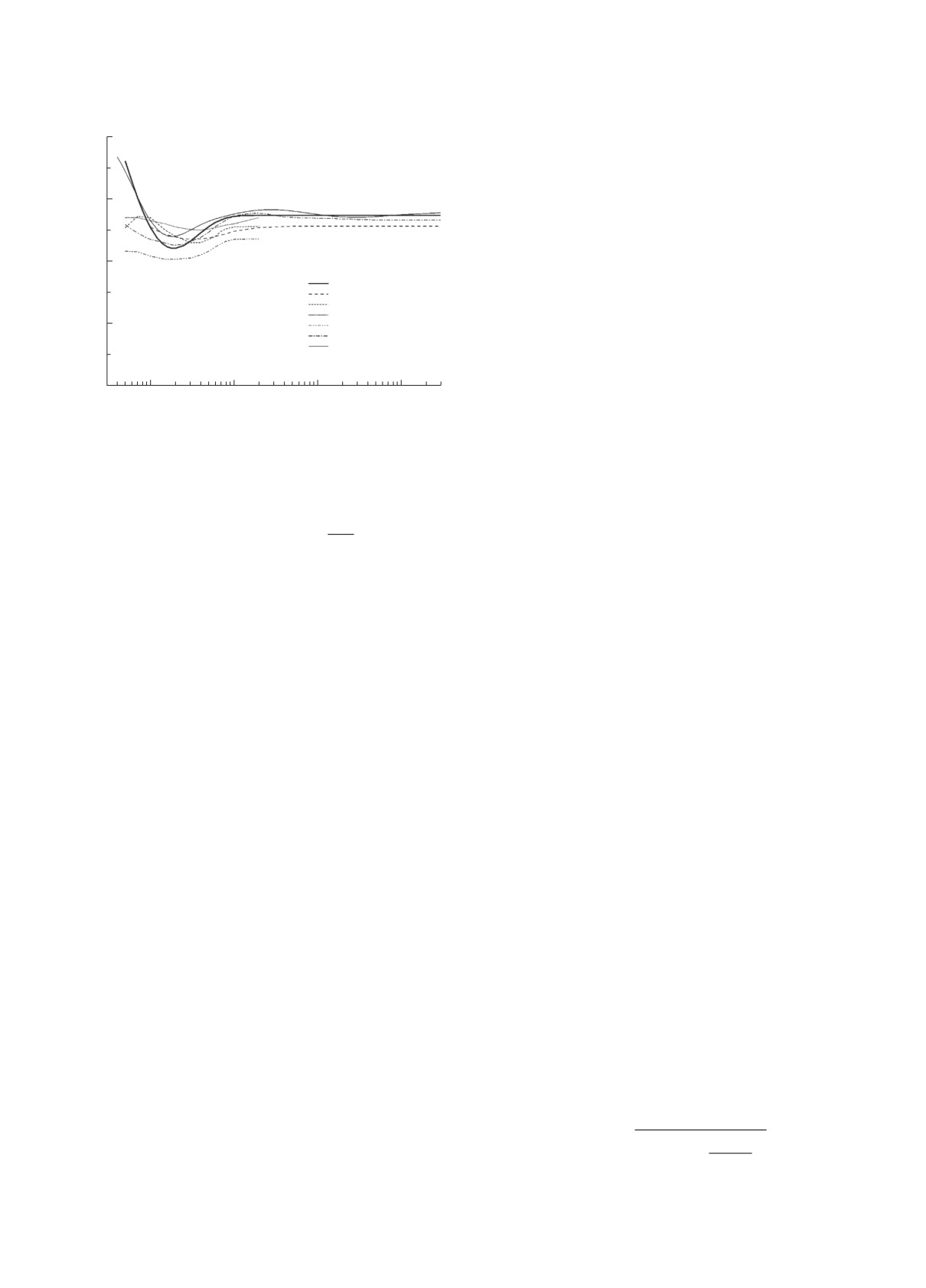
гого взаимодействия [79-85]. Сравнение предска-
ная доля неупругого сечения приходится на дру-
заний этих методов для реакции p + Pb показано
гой механизм распада, канал фрагментации. Для
на рис. 1. Хорошо видно, что существует большое
предактинидных ядер это приводит к замедлению
расхождение между результатами в области ниже
возрастания вероятности деления и ее насыщению
200 МэВ, но это расхождение значительно умень-
с увеличением энергии налетающих нуклонов.
шается в области выше 1 ГэВ, где сечение имеет
В области энергий выше 10 ГэВ наблюдает-
постоянное значение, не зависящее от энергии про-
ся насыщение передаваемой энергии ядру-остатку
тонов.
[68, 71]. Это соответствует переходу в режим “пре-
В настоящей работе для обоих типов нукло-
дельной фрагментации”, который характеризуется
нов используется выражение, предложенное Letaw
постоянством сечений неупругого взаимодействия
et al. [80],
и образования ядерных фрагментов, а также уни-
версальностью массового и зарядового распреде-
лений ядерных фрагментов [72-74]. Следует от-
σin = σin(AT )Fin(E),
(2)
метить, что в этой области энергий средняя мно-
жественность испускаемых нейтронов также стре-
σin (AT ) = 45A0.7T[1 + 0.016 ×
(3)
мится к насыщению. Например, для реакции p +
× sin(5.3 - 2.63 ln AT )],
+ Pb она стремится к значению 35 нейтронов на
ЯДЕРНАЯ ФИЗИКА том 86
№5
2023
550
ЮРЕВИЧ
in
, мбн
где δ — искомый параметр, зависящий от типа
2500
ядра-мишени.
Необходимо отметить, что величина δ зависит от
выбора значения параметра B в формуле (6), ва-
риация которого приводит к такому же изменению
2000
значения параметра δ и соответственно величины
xR.
(E), описывающей повышение
Для функции Ff
1500
p + Pb
вероятности деления выше пороговой энергии Eth,
Letaw et al.
используется формула
Kohama et al.
Cabibbo & Volant
{
Prael & Chadwick
1000
Tripathi et al.
exp [-(E0/(E/Eth - 1))α] , E > Eth,
Barashenkov
Ff (E) =
Wilson et al.
0, E ≤ Eth,
(8)
500
102
103
104
105
где значения параметров E0, Eth и α находятся
E, МэВ
путем подгонки к экспериментальным данным по
сечениям деления для конкретных ядер.
Рис. 1. Сечение неупругого взаимодействия для p +
+ Pb, полученное с различными формулами парамет-
ризации из работ [79-85].
6. ВЕРОЯТНОСТЬ ФРАГМЕНТАЦИИ
Естественно предположить, что процесс быст-
(
)
E
рого распада высоковозбужденных ядер по каналу
Fin (E) = 1 - 0.62 exp
-
×
(4)
фрагментации имеет универсальный характер для
200
(
)
различных тяжелых ядер и в первом приближении
× sin
10.9E-0.28
,
не зависит от типа налетающего нуклона. Анализ
экспериментальных данных по энергетической за-
где E — кинетическая энергия налетающего нук-
висимости выхода фрагментов [59-62, 72, 73, 74]
лона в МэВ, а AT — массовое число ядра-мишени.
показывает, что вклад канала фрагментации носит
Расчетные величины имеют максимальную по-
пороговый характер с Eth ≈ AT МэВ и возрастает
грешность ∼10% при энергии 100 МэВ.
с ростом энергии, достигая насыщения в области
выше ∼10 ГэВ с предельной величиной сечения
5. ВЕРОЯТНОСТЬ ДЕЛЕНИЯ
σfr(AT ). Таким образом, вклад быстрого распада
Для описания вероятности деления использу-
по каналу фрагментации можно представить в виде
ется формализм жидко-капельной модели Бора-
σfr = σfr (AT ) Ffr (E) ,
(9)
Уиллера [86], где вероятность деления Pf ядра-
где функция Ffr(E) принимает значения от нуля
остатка с зарядом ZR и массовым числом AR, об-
до единицы с ростом энергии и описывается такой
разующегося после первой быстрой фазы нуклон-
же формулой, как и функция Ff (E), с соответ-
ядерного взаимодействия, является функцией па-
ствующими значениями параметров E0, Eth и α,
раметра делимости xR = Z2R/AR и его энергии воз-
позволяющими получить наилучшее описание экс-
буждения. Как было сказано выше, вероятность
периментальных данных.
деления может быть представлена в виде произве-
Здесь первый член этого выражения представ-
дения двух членов
лен в виде
Pf = Pf (xR) Ff (E) ,
(5)
σfr (AT ) = k(AT )σin(AT ).
(10)
где для первого члена, зависящего только от ха-
Предполагается, что хорошим приближением для
рактеристик делящегося ядра, используется выра-
параметра k, описывающего вклад фрагментации,
жение, аналогичное предложенному Перфиловым
является отношение геометрических сечений плот-
[87],
ной сердцевины ядра σcore к полному σgeom. Для
Pf (xR) = exp [C (xR - B)],
(6)
оценки этого отношения в настоящей работе при-
где параметры C и B имеют значения 0.62 и 37.2
меняется распределение плотности ядер Вудса-
соответственно. В настоящей работе параметр де-
Саксона с параметрами, используемыми в коде
лимости ядра-остатка представлен в виде функции,
INCL [88]
аргументом которой является параметр делимости
1
ρ(r) = ρ0
ядра мишени xT = Z2T /AT
(r-R),
1 + exp
xR = Z2R/AR = xT + δ(xT ),
(7)
a
ЯДЕРНАЯ ФИЗИКА том 86
№5
2023
ФЕНОМЕНОЛОГИЧЕСКОЕ ОПИСАНИЕ И ПАРАМЕТРИЗАЦИЯ СЕЧЕНИЙ
551
, мбн
, мбн
f
f
3000
3000
238U(n, f)
235U(n, f)
2500
2500
2000
2000
1500
1500
1000
1000
500
a
500
a
0
0
101
102
103
104
105
101
102
103
104
105
E, МэВ
E, МэВ
Данные/расчет
Данные/расчет
1.4
238U(n, f)
1.4
235U(n, f)
1.2
1.2
1.0
1.0
0.8
0.8
0.6
б
0.6
б
10
20
50
100
200
500
1000
20
50
100
200
500
1000
E, МэВ
E, МэВ
Рис. 2. Сечение деления нейтронами ядер238U. a —
Рис. 3. Сечение деления нейтронами ядер238U. a —
Оцененныеданные [8, 9] (точки), кривая получена с по-
Оцененныеданные [8, 9] (точки), кривая получена с по-
мощью выражения (13); б — отношения этих величин.
мощью выражения (13); б — отношения этих величин.
где
× [σin (AT ) Fin (E) - σfr (AT ) Ffr (E)] =
(
)
R=
2.745 × 10-4AT + 1.063
A1/3T [фм],
(11)
= σin (AT)Pf (xR)Ff (E) ×
a = 0.51 + 1.63 × 10-4AT [фм].
× [Fin (E) - k (AT ) Ffr (E)] .
Сечение σcore рассчитывается для области мак-
симальной плотности ρ > 0.9ρ0, а σgeom — для об-
По сравнению с ранее опубликованной работой
ласти ρ > 0.1ρ0. Таким образом, грубая оценка
[89], где подгонка выражения осуществлялась для
значения параметра k дает значение
каждой реакции деления независимо, в настоящей
работе эта процедура проводилась одновременно
k ≈ σcore/σgeom ≈ 0.5.
(12)
для всей совокупности данных по сечениям де-
ления, чтобы исключить возможные противоречия
7. АНАЛИТИЧЕСКОЕ ВЫРАЖЕНИЕ
и необъяснимые расхождения в описании сечений
ДЛЯ СЕЧЕНИЯ ДЕЛЕНИЯ
деления различных ядер с помощью выражения
Используя вышеприведенные формулы (2), (5),
(13). Ниже в табл. 2 приведены значения парамет-
(9), (10), получаем из уравнения (1) основное вы-
ров функции Ff (E), δ и k, полученные для сече-
ражение для параметризации сечений деления тя-
ний деления ядер актинидов и предактинидов. Для
желых ядер
функции Ffr(E) значения параметров составили
σf = Pf (σin - σfr) = Pf (xR) Ff (E) ×
(13)
E0 = 1700 МэВ, Eth = AT МэВ и α = 1.
ЯДЕРНАЯ ФИЗИКА том 86
№5
2023
552
ЮРЕВИЧ
, мбн
, мбн
f
f
300
3000
209Bi(n, f)
235U(p, f)
250
2500
Kotov (2006)
Prokofiev (2001)
Present work (p)
Present work (n)
200
2000
150
1500
100
1000
50
a
500
a
0
0
101
102
103
104
105
101
102
103
104
105
E, МэВ
E, МэВ
, мбн
Данные/расчет
f
3000
Hudis (1976)
209Bi(n, f)
Kotov (2006)
1.4
238U(p, f)
Schmidt (2013)
Yurevich (2002)
2500
Brandt (1972)
Remy (1971)
Khan (1984)
Balebekyan (2010)
1.2
Vaishnene (1981)
2000
Debeauvais (1981)
Tischenko (2005)
Bochagov (1978)
JENDL/HE
1.0
Prokofiev (2001)
1500
Present work (p)
Present work (n)
1000
0.8
500
0.6
б
б
0
50
100
200
500
1000
101
102
103
104
105
E, МэВ
E, МэВ
Рис. 4. Сечение деления нейтронами ядер209Bi. a —
Оцененныеданные [8, 9] (точки), кривая получена с по-
Рис.
5.
Сечения
деления протонами ядер изотопов
мощью выражения (13); б — отношения этих величин.
урана
235U (a) и238U (б).
8. ОПИСАНИЕ СЕЧЕНИЙ ДЕЛЕНИЯ
ное отклонение составляет несколько процентов, а
максимальное не превышает 10%.
Было естественно начать апробацию метода с
Для изотопов урана235U и238U на рис. 5
описания энергетической зависимости сечений де-
ления, для которых значения имеют наименьшую
показаны экспериментальные данные для сечений
деления протонами и результат подгонки выраже-
погрешность. В настоящее время такими реакци-
нием (13). Там же приведены кривые, рассчитан-
ями являются238U(n, f),235U(n, f) и209Bi(n, f)
ные по формуле, предложенной в [11], а также,
в области энергий до 1000 МэВ. На рис. 2-4 (a)
для сравнения, пунктиром показаны зависимости,
показаны рекомендованные значения из оценок [8,
полученные для сечений деления этих ядер ней-
9] и кривые, полученные путем расчета по формуле
тронами. Видно, что развитый в настоящей работе
(13) для этих реакций. Величина расхождения оце-
метод позволяет получить более адекватное опи-
ненных данных и вычисленных значений наиболее
сание экспериментальных данных по сравнению
наглядно показана на рис. 2-4 (б) в виде их отно-
с подходом [11], предсказывающим монотонное
шения. Хорошо видно, что с помощью выражения
уменьшение сечений деления с энергией в области
(13) удается описать энергетическую зависимость
выше 100 МэВ.
сечений деления нейтронами в широкой области
энергий, выше примерно 20 МэВ для ядер актини-
На рис. 6-8 показаны сечения деления239Pu,
дов и выше 70 МэВ для висмута. При этом обыч-
237Np и232Th для налетающих нейтронов (a) и
ЯДЕРНАЯ ФИЗИКА том 86
№5
2023
ФЕНОМЕНОЛОГИЧЕСКОЕ ОПИСАНИЕ И ПАРАМЕТРИЗАЦИЯ СЕЧЕНИЙ
553
Таблица 2. Значения параметров функции Ff (E), δ и k в выражении (13)
Ff (E)
Реакция
δ
k
Eth, МэВ
E, МэВ
α
Предактиниды
209Bi(n, f)
21
294
0.69
1.52
0.5
181Ta(p, f)
80
1400
0.40
2.1
0.47
197Au(p, f)
60
400
0.40
1.9
0.5
208Pb(p, f)
50
230
0.40
1.7
0.5
207Pb(p, f)
50
220
0.40
1.7
0.5
206Pb(p, f)
50
150
0.40
1.7
0.5
209Bi (p, f)
50
60
0.40
1.52
0.5
Актиниды
232Th(n, f)
6
18
1.0
1.3
0.53
238U(n, f)
3.5
10
1.2
1.18
0.53
235U(n, f)
3.5
5.2
1.2
0.87
0.53
237Np(n, f)
1.5
6.0
1.2
0.48
0.53
239Pu(n, f)
1.5
5.0
1.2
0.02
0.53
232Th(p, f)
9
11
1.2
1.55
0.53
238U(p, f)
8
10
1.2
1.23
0.53
235U(p, f)
8
10
1.2
0.90
0.53
237Np(p, f)
8
10
1.2
0.44
0.53
239Pu(p, f)
8
10
1.2
-0.04
0.53
протонов (б). На рисунках приведены кривые, по-
для ядер актинидов показывает, что в области
лученные с помощью выражения (13), в сравнении
энергий ниже 100 МэВ сечение деления нейтро-
с результатами измерений и параметризации [11]. В
нами превышает сечение деления протонами для
случае деления нейтронами ядер239Pu имеется хо-
ядер с большим значением параметра делимости
рошее согласие с данными оценки [8]. Для реакции
235U,237Np,239Pu, а для ядра238U с более низким
237Np (n, f) рассчитанные значения хорошо согла-
значением параметра делимости это различие про-
суются с результатами работ [19-21, 23] вплоть
падает. Для всех этих нуклидов в области энергий
до энергии 300 МэВ. При более высоких энергиях
выше 200 МэВ значения сечений деления слабо
результаты измерений n_TOF коллаборации [23]
зависят от типа налетающего нуклона. Ситуация с
идут резко вниз, в то время как настоящий ме-
параметризацией сечений деления для ядер232Th
тод предсказывает повышение сечения, как и для
несколько противоречит последнему заключению,
других актинидов, вплоть до энергии ∼1000 МэВ.
так как полученная зависимость для сечения деле-
ния нейтронами лежит ниже значений, полученных
Для232Th с помощью зависимости (13) удается
получить удовлетворительное описание результа-
с протонами во всей области энергий. При этом для
тов измерений в LANL [19] и ПИЯФ [21] вплоть
более легких ядер209Bi также имеет место хорошее
до 200 МэВ, а при более высоких энергиях расчет
согласие сечений деления нейтронами и протонами
хорошо согласуется с предварительными данными
в области энергий выше 1 ГэВ, как это показано
n_TOF коллаборации [22]. Для описания сечений
на рис. 9a. Там же на рис. 9б показаны резуль-
деления ядер актинидов протонами в целом удается
таты параметризации сечения деления протонами
достичь достаточно хорошего согласия с имеющи-
ядер208Pb. Сечения деления ядер197Au и181Ta
мися экспериментальными данными.
протонами представлены на следующем рис. 10.
Выполненная параметризация сечений деления Найденные зависимости имеют хорошее согласие
ЯДЕРНАЯ ФИЗИКА том 86
№5
2023
554
ЮРЕВИЧ
f
, мбн
Развитый подход позволяет выявить некоторые
3000
особенности в поведении сечений деления. Для
239Pu(n, f)
актинидных ядер зависимость сечений деления от
2500
энергии нуклонов имеет двугорбый вид. Первый
горб находится в области энергий ниже 100 МэВ,
2000
а второй имеет широкий максимум между 600 и
1000 МэВ. Долина между ними является следстви-
1500
ем изменения сечения неупругого взаимодействия
с энергией, а уменьшение сечений деления при
1000
дальнейшем повышении энергии нуклонов объяс-
няется возрастанием вклада альтернативной моды
быстрого распада путем фрагментации. Переход
500
a
от тория к висмуту сопровождается значительным
увеличением пороговой энергии деления и рез-
0
101
102
103
104
105
ким изменением вида энергетической зависимости,
E, МэВ
которая имеет только один максимум в области
f
, мбн
энергий 1-2 ГэВ. При переходе от висмута к более
3000
легким ядрам этот максимум уменьшается и затем
239Pu(p, f)
полностью исчезает в сечении деления тантала.
2500
Kotov (2006)
В области выше 10 ГэВ сечения деления слабо
Prokofiev (2001)
Present work (p)
зависят от энергии налетающих нуклонов, стре-
Present work (n)
2000
мясь к постоянным значениям. Сравнение сечений
деления нейтронами и протонами показывает, что
они стремятся к близким значениям с увеличением
1500
энергии. При этом для ядер238U,235U,237Np,
1000
239Pu это происходит при энергиях ниже 200 МэВ,
в то время как для ядер висмута расхождение
между сечениями становится малым только в об-
500
ласти энергий выше 2 ГэВ. Как было отмечено
б
выше, имеющиеся экспериментальные данные по
0
101
102
103
104
105
делению232Th нейтронами и протонами показы-
E, МэВ
вают постоянное превышение величины сечения
деления протонами над величинами, полученными
Рис. 6. Сечение деления ядер239Pu нейтронами (a) и
с нейтронами таких же энергий, что находится в
протонами (б).
противоречии с поведением сечений деления для
других ядер. По-видимому, имеется неучтенная по-
с экспериментальными данными, но идут выше
грешность в измерениях для тория, и требуются но-
предложенной Прокофьевым параметризации [11]
вые эксперименты для прояснения этой ситуации.
в области высоких энергий для ядер209Bi,208Pb,
Подгонка к экспериментальным данным для се-
197Au и ниже ее для ядер181Ta.
чений деления показала слабую зависимость зна-
чений параметра δ от типа налетающего нукло-
9. ОБСУЖДЕНИЕ РЕЗУЛЬТАТОВ
на, как это показано в табл. 2. Это равносильно
близким значениям для среднего параметра дели-
Разработанный метод описания энергетической
зависимости сечений деления актинидных и пре-
мости 〈xR〉 остаточных ядер, распадающихся путем
дактинидных ядер в области энергий налетающих
деления. Этот вывод согласуется с гипотезой о
нуклонов выше 100 МэВ хорошо воспроизводит
том, что с увеличением энергии сечения деления
большинство экспериментальных результатов, ис-
начинают слабо зависеть от типа налетающих нук-
пользованных в данной работе. В то же время
лонов. Хорошо видно, что значение δ уменьшается
следует отметить, что из-за бедного набора экс-
с повышением параметра делимости ядра-мишени.
периментальных данных найденные значения пара-
Для оценки величины δ можно воспользоваться
метров могут рассматриваться как первое прибли-
приближенной формулой, которая найдена путем
жение. Появление новых результатов измерений,
аппроксимации значений, полученных для ядер от
как сечений деления, так и сечений неупругого
181Ta до239Pu
взаимодействия, может привести к некоторым из-
менениям в значениях параметров.
δ = 〈xR〉 - xT =
(14)
ЯДЕРНАЯ ФИЗИКА том 86
№5
2023
ФЕНОМЕНОЛОГИЧЕСКОЕ ОПИСАНИЕ И ПАРАМЕТРИЗАЦИЯ СЕЧЕНИЙ
555
, мбн
f
3000
237Np(n, f)
Lisowski (1988)
Paradela (2011)
2500
Scherbakov (2002)
Tovesson (2007)
Present work
2000
1500
1000
500
a
0
101
102
103
104
105
E, МэВ
, мбн
f
3000
237Np(p, f)
Kotov (2006)
2500
Yurevich (2002)
Karapetyan (2009)
JENDL/HE
Prokofiev (2001)
2000
Present work (p)
Present work (n)
1500
1000
500
б
0
101
102
103
104
105
E, МэВ
Рис. 7. Сечение деления ядер237Np нейтронами (a) и протонами (б).
⎧
⎪-277.3695 + 16.1847xT -
[90] показало, что для осколков деления средние
⎨
значения заряда 〈Z〉 и числа нейтронов 〈N〉 состав-
- 0.23484x2T (Th - Pu),
ляют 45 и 63 соответственно. Это соответствует
=⎪-39.142 + 2.8291xT -
⎪
⎩
среднему первичному делящемуся ядру221Th для
- 0.0484x2T (Ta - Bi).
доминирующей симметричной моды с добавлени-
ем шести нейтронов, испущенных возбужденными
Используя найденные величины 〈xR〉, можно
осколками деления. Оцененные средние потери за-
грубо оценить средние значения заряда 〈ZR〉 и
ряда и массы составляют 〈ΔZ〉 = 2 и 〈ΔA〉 = 17,
массы 〈AR〉 делящихся ядер, средние потери за-
что хорошо согласуется со значениями, приведен-
ряда 〈ΔZ〉 и массы 〈ΔA〉 ядром-мишенью, а так-
ными для238U в табл. 3.
же среднюю множественность испущенных перед
Вышеприведенные оценки относятся к области
делением нейтронов 〈Mn〉. Полученные значения
энергий, где функция Pf выходит на насыщение и
приведены в табл. 3.
перестает зависеть от энергии налетающих нукло-
Из приведенных в таблице значений следует,
нов. Это условие выполняется для ядер актинидов
что в среднем делению предшествует испускание
в области энергий выше нескольких сотен МэВ, а
нескольких протонов и 12-16 нейтронов. Причем
для ядер предактинидов — только в области энер-
средняя потеря заряда возрастает с повышением
гий выше нескольких ГэВ. Так как значения функ-
параметра делимости.
ций Fin(E), Ff (E) и Ffr(E) стремятся к единице с
Изучение распределений осколков деления во
повышением энергии, то в области энергий выше
взаимодействии238U + p при энергии 1 A ГэВ
10 ГэВ сечения деления стремятся к предельным
ЯДЕРНАЯ ФИЗИКА том 86
№5
2023
556
ЮРЕВИЧ
f
, мбн
1400
232Th(n, f)
Lisowski (1988)
Scherbakov (2002)
Paradela (2006) preliminary
1200
Present work
1000
800
600
400
a
200
0
101
102
103
104
105
E, МэВ
f
, мбн
2000
Yurevich (2002)
1800
232Th(p , f)
Kotov (2006)
Bochagov (1978)
Saint-Laurent (1984)
1600
Debeauvais (1978, 1981)
Prokofiev (2001)
Present work (p)
1400
Present work (n)
1200
1000
800
600
400
200
б
0
101
102
103
104
105
E, МэВ
Рис. 8. Сечение деления ядер232Th нейтронами (a) и протонами (б).
постоянным значениям и, согласно выражению
энергиях связано с выходом на режим “предельной
(13), они могут быть вычислены с помощью фор-
фрагментации” ядер.
мулы
Разработанный метод был апробирован путем
описания имеющихся экспериментальных и оце-
σHEf = σin (AT ) Pf (xR) [1 - k(AT )] .
(15)
ненных данных по сечениям деления ядер от181Ta
Полученные значения σHEf для различных ядер от
до239Pu. Сравнение вычисленных значений с эти-
ми данными показало, что предложенная парамет-
181Ta до239Pu приведены в табл. 4.
ризация дает хорошее описание как нейтронных,
так и протонных сечений деления в исследуемой
10. ЗАКЛЮЧЕНИЕ
области энергий. Также было показано, что для
деления протонами разработанный метод лучше
В работе представлен новый феноменологи-
воспроизводит наблюдаемую энергетическую за-
ческий подход к параметризации сечений деле-
висимость сечений деления ядер актинидов и пре-
ния, индуцированного нуклонами с энергией вы-
дактинидов, чем формула параметризации, предло-
ше 100 МэВ. Он основан на учете конкуренции
женная в работе [11].
процесса деления и других мод девозбуждения и
распада высоковозбужденных ядер, образующих-
Данный подход также предсказывает следую-
ся после первой быстрой фазы взаимодействия.
щие тенденции — значения сечений деления (n, f)
Возрастающая вероятность быстрого распада за
и (p, f) сближаются с энергией, для актинидов это
счет процесса фрагментации является причиной
происходит выше 200 МэВ, а для предактинидов —
наблюдаемого уменьшения сечения деления вы-
выше 1 ГэВ. Необъяснимое исключение представ-
ше энергии 1 ГэВ, а их насыщение при высоких
ляют данные для232Th, для которого сечение де-
ЯДЕРНАЯ ФИЗИКА том 86
№5
2023
ФЕНОМЕНОЛОГИЧЕСКОЕ ОПИСАНИЕ И ПАРАМЕТРИЗАЦИЯ СЕЧЕНИЙ
557
f
, мбн
400
Kotov (2006)
209
Yurevich (2002)
Bi(p, f)
350
Hudis (1976)
a
Khan (1984)
Bochagov (1978)
Brandt (1972)
300
Shigaev (1973)
Konshin (1966)
JENDL/HE
250
Prokofiev (2001)
Present work (p)
Present work (n)
200
150
100
50
0
101
102
103
104
105
E, МэВ
f
, мбн
250
Vaishnene (2010)
Schmidt (2013)
Enqvist (2001)
208Pb(p, f)
б
Rodriguez-Sanchez (2014)
200
Brandt (1972)
Remy (1971)
Smirnov (2004)
Khan (1984)
Bochagov (1978)
150
Shigaev (1973)
JENDL/HE
Prokofiev (2001)
Present work
100
50
0
101
102
103
104
105
E, МэВ
Рис. 9. Сечения деления протонами ядер209Bi (a) и208Pb (б).
Таблица 3. Оценка величин 〈ZR〉, 〈AR〉, 〈ΔZ〉, 〈ΔA〉 и 〈Mn〉 для первичных делящихся ядер
Ядро
Нуклон
xT
〈xR〉
〈ZR〉
〈AR〉
〈ΔZ〉
〈ΔA〉
〈Mn〉
181Ta
p
29.44
31.54
72.0
164
1.0
17
16.0
197Au
p
31.68
33.58
77.7
180
1.3
17
15.7
208Pb
p
32.33
34.03
80.4
190
1.6
18
16.4
209Bi
p, n
32.96
34.48
81.4
192
1.6
17
15.4
232Th
p, n
34.91
36.34
88.2
214
1.8
18
16.2
238U
p, n
35.56
36.76
90.0
220
2.0
18
16.0
235U
p, n
36.02
36.89
90.0
220
2.0
15
13.0
237Np
p, n
36.49
36.96
90.5
222
2.5
15
12.5
239Pu
p, n
36.97
36.97
91.0
224
3.0
15
12.0
ления протонами превышает сечение деления ней-
боте значения параметров выражения (13) могут
тронами, и в области высоких энергий их различие
потребовать коррекции с появлением новых экспе-
составляет около 18%.
риментальных результатов.
Необходимо отметить, что приведенные в ра-
Разработанная параметризация представляет
ЯДЕРНАЯ ФИЗИКА том 86
№5
2023
558
ЮРЕВИЧ
f
, мбн
Brandt (1972)
Hudis (1976)
197Au(p, f)
150
Vaishnene (2010)
a
Khan (1984)
Bochagov (1978)
Debeauvais (1981)
125
Duijvestijn (1999)
Kon’shin (1965)
Kowalski (1963)
Shigaev (1973)
100
Benlliure (2002)
Todorovic (1976)
Prokofiev (2001)
Present work
75
50
25
0
101
102
103
104
105
E, МэВ
, мбн
f
40
Yurevich (2005)
Ayyad (2014)
181Ta(p, f)
б
35
Bochagov (1978)
Smirnov (2007)
Shigaev (1973)
30
Kon’shin (1965)
Prokofiev (2001)
Present work
25
20
15
10
5
0
101
102
103
104
105
E, МэВ
Рис. 10. Сечения деления протонами ядер197Au (a) и181Ta (б).
Таблица 4. Значения вычисленных предельных сечений деления σHEf в области высоких энергий для различных
тяжелых ядер
Ядро
181Ta
197Au
208Pb
209Bi
232Th
238U
235U
237Np
239Pu
xT
29.44
31.68
32.33
32.96
34.91
35.56
36.02
36.49
36.97
σHEf, мбн
28.53
95.13
131.1
173.8
556.3
739.5
796.1
830.0
838.9
собой эффективный метод для быстрого расче-
2. C. D. Bowman, Nucl. Instrum. Methods Phys. Res. A
та сечений деления тяжелых ядер нуклонами в
320, 336 (1992).
области энергий выше 100 МэВ и может найти
3. F. Carminati et al., Tech. Report CERN/AT/93-47.
широкое применение в различных приложениях,
4. N. Colonna, F. Belloni, E. Berthoumieux, M. Calviani,
где нуклоны высоких энергий взаимодействуют с
C. Domingo-Pardo, C. Guerrero, D. Karadimos,
тяжелыми материалами.
C. Lederer, C. Massimi, C. Paradela, R. Plag,
J. Praenam, and R. Sarmenton, Energy Environ. Sci.
3, 1910 (2010).
СПИСОК ЛИТЕРАТУРЫ
5. European Spallation Source,
1. W. Maschek, X. Chen, F. Delage, A. Fernandez-
Carretero, D. Haas, C. Matzerath-Boccaccini,
A. Rineiski, P. Smith, V. Sobolev, R. Thetford, and
6. G. M ¨unzenberg and H. Geissel, J. Phys.: Conf. Ser.
J. Wallenius, Prog. Nucl. Energy 50, 333 (2008).
413, 012006 (2013).
ЯДЕРНАЯ ФИЗИКА том 86
№5
2023
ФЕНОМЕНОЛОГИЧЕСКОЕ ОПИСАНИЕ И ПАРАМЕТРИЗАЦИЯ СЕЧЕНИЙ
559
7. J. L. Rodr ´ıguez-S ´anchez, The GSI and FAIR
27.
Б. А. Бочагов и др., ЯФ
28,
572
(1978)
Facilities: Recent Results and Future Perspectives,
[B. A. Bochagov et al., Sov. J. Nucl. Phys. 28,
The 2nd Workshop on XSCRC Cross Sections for
291 (1978)].
Cosmic Rays, CERN, 2019.
28.
V. I. Yurevich et al., Письма в ЭЧАЯ 2, 49 (2005)
8. A. D. Carlson, V. G. Pronyaev, R. Capote, G. M. Hale,
[V. I. Yurevich et al., Phys. Part. Nucl. Lett. 2, 49
Z.-P. Chen, I. Duran, F.-J. Hambsch, S. Kunieda,
(2005)].
W. Mannhart, B. Marcinkevicius, R. O. Nelson,
29.
Y. Ayyad, J. Benlliure, E. Casarejos, H.
Alvarez-Pol,
D. Neudecker, G. Noguere, M. Paris, S. P. Simakov,
A. Bacquias, A. Boudard, M. Caama ˜no, T. Enqvist,
P. Schillebeeckx, et al., Nucl. Data Sheets 148, 143
V. F ¨ohr, A. Keli ´c-Heil, K. Kezzar, S. Leray,
(2018).
D. Mancusi, C. Paradela, D. P ´erez-Loureiro,
9. B. Marcinkevicius, S. Simakov, and V. Pronyaev,
R. Pleska ˇc, et al., Phys. Rev. C 89, 054610 (2014).
INDC(NDS)-0681 (IAEA, 2015).
30.
В. С. Быченков и др., ЯФ
17,
947
(1973)
10. Y. Watanabe, K. Kosako, S. Kunieda, S. Chiba,
[V. S. Bychenkov et al., Sov. J. Nucl. Phys. 17,
R. Fujimoto, H. Harada, M. Kawai, F. Maekawa,
496 (1973)].
T. Murata, H. Nakashima, K. Niita, N. Shigyo,
31.
M. C. Duijvestijn, A. J. Koning, J. P. M. Beijers,
S. Shimakawa, N. Yamano, and T. Fukahori, J.
A. Ferrari, M. Gastal, J. van Klinken, and
Korean Phys. Soc. 59, 1040 (2011).
R. W. Ostendorf, Phys. Rev. C 59, 776 (1999).
11. A. V. Prokofiev, Nucl. Instrum. Methods Phys. Res. A
32.
L. Kowalski and C. Stephan, J. Phys. (Paris) 24, 901
463, 557 (2001).
(1963).
12. Experimental Nuclear Reaction Data (EXFOR),
33.
R. Brandt et al., Rev. Phys. Appl. 7, 243 (1972).
34.
J. Hudis and S. Katcoff, Phys. Rev. C 13, 1961 (1976).
13. J. Benlliure and J. L. Rodr´ıguez-Sanchez, Eur. Phys.
35.
J. Benlliure, P. Armbruster, M. Bernas, A. Boudard,
J. Plus 132, 120 (2017).
T. Enqvist, R. Legrain, S. Leray, F. Rejmund,
14. S. Lo Meo, D. Mancusi, C. Massimi, G. Vannini, and
K.-H. Schmidt, C. St ´ephan, L. Tassan-Got, and
A. Ventura, Nucl. Phys. A 933, 43 (2015).
C. Volant, Nucl. Phys. A 700, 469 (2002).
15. M. H. Simbel, Z. Phys. A 333, 177 (1989).
36.
Л. А. Вайшнене, В. Г. Вовченко, Ю. А. Гавриков,
16. Ю. А. Честнов, ЯФ 71, 2052 (2008) [Yu. A. Chest-
А. А. Котов, В. И. Мурзин, В. В. Поляков,
nov, Phys. At. Nucl. 71, 2018 (2008)].
М. Г. Тверской, О. Я. Федоров, Ю. А. Честнов,
17. T. Fukahori and S. Kunieda, J. Korean Phys. Soc. 59,
А. В. Шведчиков, А. И. Щетковский,
975 (2011).
Изв. РАН. Сер. физ. 74, 529 (2010); L. A. Vaishnene,
18. A. N. Smirnov, V. P. Eismont, N. P. Filatov,
V. G. Vovchenko, Yu. A. Gavrikov, A. A. Kotov,
J. Blomgren, H. Cond ´e, A. V. Prokofiev, P.-U.
V. I. Murzin, V. V. Polyakov, M. G. Tverskoi,
Renberg, and N. Olsson, Phys. Rev. C 70, 054603
O. Ya. Fedorov, Yu. A. Chestnov, A. V. Shvedchikov,
(2004).
A. I. Shchetkovskii, Bull. Russ. Acad. Sci.: Phys. 74,
19. P. W. Lisowski et al., in Proceedings of the
496 (2010).
International Conference on Nuclear Data for
37.
H. A. Khan and N. A. Khan, Phys. Rev. C 29, 2199
Science and Technology, 1988 (MITO, JAERI,
(1984).
1988), p. 97.
38.
Z. Todorovic and R. Antanasijevic, Nuovo Cimento A
20. F. Tovesson and T. S. Hill, Phys. Rev. C 75, 034610
33, 546 (1976).
(2007).
39.
T. Enqvist, W. Wlazło, P. Armbruster, J. Benlliure,
21. O. Shcherbakov, A. Donets, A. Evdokimov,
M. Bernas, A. Boudard, S. Czajkowski, R. Legrain,
A. Fomichev, T. Fukahori, A. Hasegawa, A. Laptev,
S. Leray, B. Mustapha, M. Pravikoff, F. Rejmund,
V. Maslov, G. Petrov, S. Soloviev, Y. Tuboltsev, and
K.-H. Schmidt, C. St ´ephan, J. Taieb, L. Tassan-Got,
A. Vorobyev, J. Nucl. Sci. Technology 39, Suppl. 2,
and C. Volant, Nucl. Phys. A 686, 481 (2001).
230 (2002).
40.
K.-H. Schmidt, B. Jurado, R. Pleska ˇc,
22. C. Paradela et al., in Proceedings of the
M. V. Ricciardi, J. Benlliure, A. Boudard,
International Conference on Advances in Nuclear
E. Casarejos, T. Enqvist, F. Farget, A. Bacquias,
Analysis and Simulations,
2006
(Vancouver,
M. Fernandez, L. Giot, V. Henzl, D. Henzlova,
Canada, 2006), p. B076.
A. Keli ´c-Heil, T. Kurtukian, et al., Phys. Rev. C 87,
23. C. Paradela et al., J. Korean Phys. Soc. 59, 1908
034601 (2013).
(2011).
41.
J. L. Rodr ´ıguez-S ´anchez, J. Benlliure, J. Ta¨ıeb,
24. О. Е. Шигаев и др., Сообщение РИ-17 (Радиевый
H.
Alvarez-Pol, L. Audouin, Y. Ayyad, G. B ´elier,
институт, Ленинград, 1973).
G. Boutoux, E. Casarejos, A. Chatillon, D. Cortina-
25. A. N. Smirnov et al., in Proceedings of the
Gil, T. Gorbinet, A. Heinz, A. Keli ´c-Heil, B. Laurent,
International Conference on Nuclear Data for
J.-F. Martin, et al., Phys. Rev. C 91, 064616 (2015).
Science and Technology (ND2007) (Nice, France,
42.
G. Remy et al., Nucl. Phys. A 163, 583 (1971).
2007), Vol. 2, p. 1095.
43.
A. A. Kotov, L. A. Vaishnene, V. G. Vovchenko,
26. В. А. Коньшин, Е. С. Матусевич, В. И. Ре-
Yu. A. Gavrikov, V. V. Poliakov, M. G. Tverskoy,
гушевский, ЯФ 2,
682
(1965)
[V. A. Kon’shin,
O. Ya. Fedorov, Yu. A. Chestnov, A. I. Shchetkovskiy,
E. S. Matusevich, and V. I. Regushevskiy, Sov. J.
A. V. Shvedchikov, A. Yu. Doroshenko, and
Nucl. Phys. 2, 489 (1966)].
T. Fukahori, Phys. Rev. C 74, 034605 (2006).
ЯДЕРНАЯ ФИЗИКА том 86
№5
2023
560
ЮРЕВИЧ
44.
В. И. Юревич и др., ЯФ
65,
1417
(2002)
Workshop on Model Codes for Spallation
[V. I. Yurevich et al., Phys. At. Nucl. 65,
1383
Reactions, 2008 ICTP, Trieste, Italy, 1930-1.
(2002)].
62.
Yu. E. Titarenko et al., in Proceedings of the
45.
F. Saint-Laurent et al., Nucl. Phys. A 422, 307
International Conference on Nuclear Data for
(1984).
Science and Technology,
2007
(CEA,
2008),
46.
M. Debeauvais et al., in Proceedings of the 9th
p. 1099.
International Conference on Solid State Nuclear
63.
J. Pochodzalla et al., Phys. Rev. Lett. 75, 1040
Track Detectors, 1978 (Neuherburg/Munich, 1978),
(1995).
Vol. 2, p. 1179.
64.
J. Richert and P. Wagner, Phys. Rep. 350, 1 (2001).
47.
M. Debeauvais et al., Phys. Rev. C 23, 1624 (1981).
65.
P. Chomaz, M. Colonna, and J. Randrup, Phys. Rep.
48.
L. A. Vaishnene et al., Z. Phys. A 302, 143 (1981).
389, 263 (2004).
49.
A. R. Balabekyan, G. S. Karapetyan, N. A. De-
66.
J. Randrup and S. E. Koonin, Nucl. Phys. A 356, 223
mekhina, J. Adam, and K. Katovsky, Phys. At. Nucl.
(1981).
73, 1814 (2010).
67.
J. Bondorf, R. Donangelo, I. N. Mishustin, and
50.
V. Tishchenko, C.-M. Herbach, D. Hilscher,
H. Schulz, Nucl. Phys. A 444, 460 (1985).
U. Jahnke, J. Galin, F. Goldenbaum, A. Letourneau,
68.
J. P. Bondorf, A. S. Botvina, A. S. Iljinov,
and W.-U. Schr ¨oder, Phys. Rev. Lett. 95, 162701
I. N. Mishustin, and K. Sneppen, Phys. Rep.
(2005).
257, 133 (1995).
51.
Г. С. Карапетян, А. Р. Балабекян, Н. А. Демёхина,
69.
D. H. E. Gross, Phys. Rep. 279, 119 (1997).
И. Адам, ЯФ 72, 955 (2009) [G. S. Karapetyan,
70.
D. Jacquet and M. Morjean, Prog. Part. Nucl. Phys.
A. R. Balabekyan, N. A. Demekhina, and J. Adam,
63, 155 (2009).
Phys. At. Nucl. 72, 911 (2009)].
52.
V. M. Maslov, Phys. Lett. B 581, 56 (2004).
71.
V. D. Toneev, N. S. Amelin, K. K. Gudima, and
S. Yu. Sivoklokov, Nucl. Phys. A 519, 463 (1990).
53.
V. M. Maslov, J. Korean Phys. Soc. 59, 863 (2011).
72.
T. C. Sangster, A. T. Bujak, D. D. Carmony,
54.
X. Ledoux, H. G. Bohlen, J. Cugnon, H. Fuchs,
J. Galin, B. Gatty, B. Gebauer, D. Guerreau,
Y. H. Chung, L. J. Gutay, A. S. Hirsch, M. Mahi,
D. Hilscher, D. Jacquet, U. Jahnke, M. Josset,
G. L. Paderewski, N. T. Porile, R. P. Scharenberg, and
S. Leray, B. Lott, M. Morjean, B. M. Quednau, et al.,
B. C. Stringfellow, Phys. Lett. B 188, 29 (1987).
Phys. Rev. C 57, 2375 (1998).
73.
W. G. Lynch, Ann. Rev. Nucl. Part. Sci. 37, 493
55.
L. Beaulieu et al., Phys. Rev. C 64, 064604 (2001).
(1987).
56.
C.-M. Herbach, D. Hilscher, U. Jahnke,
74.
L. Sihver, K. Aleklett, W. Loveland, P. L. McGaughey,
V. Tishchenko, W. Bohne, J. Galin, A. Letourneau,
D. H. E. Gross, and H. R. Jaqaman, Nucl. Phys. A
B. Lott, A. P ´eghaire, F. Goldenbaum, and
543, 703 (1992).
L. Pienkowski, Nucl. Instrum. Methods Phys. Res. A
75.
В. И. Юревич, Р. М. Яковлев, В. Г. Ляпин, ЯФ
508,
315
(2003); C.-M. Herbach, D. Hilscher,
74, 271 (2011) [V. I. Yurevich, R. M. Yakovlev, and
U. Jahnke, V. G. Tishchenko, J. Galin, A. Letourneau,
V. G. Lyapin, Phys. At. Nucl. 74, 253 (2011)].
A. P ´eghaire, D. Filges, F. Goldenbaum,
76.
C. Oppedisano, Nucl. Phys. A 932, 399 (2014).
L. Pienkowski, W. U. Schr ¨oder, and J. T ˜oke,
77.
J. Adam et al. (ALICE Collab.), Phys. Rev. C 91,
Nucl. Phys. A 765, 426 (2006).
064905 (2015).
57.
A. Bubak et al. (PISA Collab.), Phys. Rev. C 76,
78.
O. Sur ´anyi (the CMS Collab.), Universe 5,
210
014618 (2007).
(2019).
58.
V. E. Viola, K. Kwiatkowski, L. Beaulieu,
79.
В С. Барашенков, Сечения взаимодействия ча-
D. S. Bracken, H. Breuer, J. Brzychczyk, R. T. de
стиц и ядер с ядрами (ОИЯИ, Дубна, 1993)
Souza, D. S. Ginger, W.-C. Hsi, R. G. Korteling,
[V. S. Barashenkov, Cross Sections of Interaction
T. Lefort, W. G. Lynch, K. B. Morley, R. Legrain,
of Particles and Nuclei with Nuclei (JINR, Dubna
L. Pienkowski, E. C. Pollacco, et al., Phys. Rep. 434,
1993)].
1 (2006).
59.
R. Michel, R. Bodemann, H. Busemann, R. Daunke,
80.
J. R. Letaw, R. Silberberg, and C. H. Tsao, Astrophys.
M. Gloris, H.-J. Lange, B. Klug, A. Krins, I. Leya,
J. Suppl. Ser. 51, 271 (1983).
M. L ¨upke, S. Neumann, H. Reinhardt, M. Schnatz-
81.
R. E. Prael and M. B. Chadwick, in Proceedings
B ¨uttgen, U. Herpers, Th. Schiekel, F. Sudbrock, et
of the International Conference on Nuclear Data
al., Nucl. Instrum. Methods Phys. Res. B 129, 153
for Science and Technology, Trieste, Italy, 1997
(1997).
(Physical Society, Bologna, 1997), Vol. 59, Part 2,
60.
R. Michel, M. Gloris, J. Protoschill, U. Herpers,
p. 1449.
J. Kuhnhenn, F. Sudbrock, P. Malmborg, and P.
82.
R. K. Tripathi, F. A. Cucinotta, and J. W. Wilson,
Kubik, J. Nucl. Sci. Technology 39, Suppl. 2, 242
Nucl. Instrum. Methods Phys. Res. B 117,
347
(2002).
(1996).
61.
R. Michel, Experimental Cross Sections for the
83.
M. Cabibbo and C. Volant, Total Reaction Cross
Production of Residual Nuclides at Medium
Sections in Deuteron and Proton Induced
Energies, The Joint ICTP-IAEA Advanced
Reactions, Rapport interne DPhN/00-39 (2000).
ЯДЕРНАЯ ФИЗИКА том 86
№5
2023
ФЕНОМЕНОЛОГИЧЕСКОЕ ОПИСАНИЕ И ПАРАМЕТРИЗАЦИЯ СЕЧЕНИЙ
561
84. J. W. Wilson, L. W. Townsend, W. W. Buck,
88. A. Boudard, J. Cugnon, S. Leray, and C. Volant, Phys.
S. Y. Chun, B. S. Hong, and S. L. Lamkin, Nucleon-
Rev. C 66, 044615 (2002).
Nucleus Interaction Data Base: Total Nuclear
89. V. I. Yurevich, JINR Report E1-2022-29, JINR
and Absorption Cross Sections, NASA Technical
(Dubna, 2022).
Memorandum 4053 (1988).
90. M. Bernas, P. Armbruster, J. Benlliure, A. Boudard,
85. A. Kohama, K. Iida, and K. Oyamatsu, J. Phys. Soc.
E. Casarejos, S. Czajkowski, T. Enqvist, R. Legrain,
Jpn. 85, 094201 (2016).
S. Leray, B. Mustapha, P. Napolitani, et al., Nucl.
86. N. Bohr and J. Wheeler, Phys. Rev. 56, 426 (1939).
Phys. A 725, 213 (2003).
87. Н. А. Перфилов, ЖЭТФ 41, 871 (1961).
PHENOMENOLOGICAL DESCRIPTION AND PARAMETERIZATION
OF NUCLEON-INDUCED FISSION CROSS SECTIONS OF HEAVY NUCLEI
IN INTERMEDIATE AND HIGH ENERGY REGION
V. I. Yurevich1)
1)Joint Institute for Nuclear Research, Dubna, Russia
A new method has been developed for describing and parameterizing the cross sections for the fission of
heavy nuclei by neutrons and protons in energy range above 100 MeV. The expression for parameterization
of the cross sections was obtained on the basis of phenomenological concept of decay modes of highly
excited nuclei formed after the first fast stage of the nucleon — nucleus interaction. The developed method
reproduces well the energy dependence of the fission cross sections predicting their weak dependence on
the energy and type of the nucleon in the high energy region.
ЯДЕРНАЯ ФИЗИКА том 86
№5
2023