Физиология человека, 2019, T. 45, № 3, стр. 38-47
Зависимость респираторной реакции от интенсивности локомоторного ответа на чрескожную электрическую стимуляцию спинного мозга
А. В. Миняева 1, С. А. Моисеев 2, А. М. Пухов 2, Н. А. Щербакова 3, *, Ю. П. Герасименко 3, Т. Р. Мошонкина 3, **
1 ФГБОУ ВО Тверской государственный университет
Тверь, Россия
2 Великолукская государственная академия физической культуры и спорта
Великие, Луки, Россия
3 ФГБУН Институт физиологии им. И.П. Павлова РАН
Санкт-Петербург, Россия
* E-mail: chsherbakovana@infran.ru
** E-mail: moshonkina@infran.ru
Поступила в редакцию 07.09.2018
После доработки 21.11.2018
Принята к публикации 20.12.2018
Аннотация
Исследовали реакцию системы дыхания человека на чрескожную стимуляцию спинного мозга, вызывавшую шагательные движения малой и большой амплитуды. Обнаружили, что при малой амплитуде вызванных движений значительно снижается глубина дыхания, а при большой – растет скорость выдоха. Сравнили реакции системы дыхания на выполнение близких по амплитуде вызванных стимуляцией и произвольных шагательных движений. Выявили, что при стимуляции вентиляция легких растет за счет укорочения вдоха и выдоха на фоне роста скорости выдоха, а при произвольных движениях – за счет укорочения вдоха на фоне роста скоростей вдоха и выдоха. Эти факты могут быть следствием тонической активации абдоминальной мускулатуры, а также суммации эффектов стимуляции и рабочего гиперпноэ.
Неинвазивная чрескожная электростимуляция спинного мозга (ЧЭССМ) успешно внедряется в реабилитацию локомоторной функции у спинальных пациентов и пациентов с детским церебральным параличом [1–4].
Известны многочисленные факты влияния на респираторную функцию эпидуральной стимуляции сегментов спинного мозга, содержащих ядра дыхательных мышц; так, стимуляция T2–Т3 сегментов спинного мозга вызывает активацию инспираторной мускулатуры, а стимуляция Т9–L1 сегментов усиливает экспирацию [5].
Наше недавнее исследование [6] показало, что ЧЭССМ в проекции T11–T12 позвонков, вызывающая непроизвольные шагательные движения у здоровых людей, также оказывает влияние на респираторную функцию, а именно сопровождается мгновенным повышением частоты дыхания, за счет сокращения времени экспирации, и уменьшением глубины дыхания.
На основании полученных результатов нами было сделано предположение, что вызывающая локомоции ЧЭССМ может оказывать воздействие на спонтанную вентиляцию легких как за счет нейрогенного компонента, связанного с мышечной активностью при шагательных движениях [7], так и за счет активации абдоминальной экспираторной мускулатуры и стимуляции спинальных центров, участвующих в регуляции дыхания [8].
В связи с этим целью данной работы был углубленный анализ механизмов влияния ЧЭССМ, активизирующей локомоторную функцию, на спонтанную вентиляцию легких у человека.
Для достижения искомой цели, необходимо было:
– определить роль нейрогенного компонента в вентиляторной реакции на ЧЭССМ, путем анализа зависимости параметров вентиляции легких и газообмена от интенсивности вызванных стимуляцией шагательных движений;
– определить роль непосредственного воздействия ЧЭССМ на респираторные спинальные центры и мускулатуру в вентиляторной реакции, путем сравнительного анализа влияния вызванных ЧЭССМ и произвольно выполненных движений на спонтанную вентиляцию легких.
МЕТОДИКА
В исследовании участововали десять мужчин: студенты, аспиранты и сотрудники Великолукской академии физической культуры и спорта. Индекс массы тела испытуемых составил 23.3 ± ± 0.19 кг/м2, средний возраст – 35.2 ± 2.36 года.
С помощью метаболографа Cosmed Quark CPET (Италия) регистрировали: минутный объем вентиляции легких (VE, л/мин), дыхательный объем (VT, л), частоту дыхания (R f, цикл/мин), время вдоха (Ti, с), время выдоха (Te, с), скорость вдоха (VT/Ti, мл/с), скорость выдоха (VT/Te, мл/с), минутный объем потребления кислорода (VO2, мл/мин), дыхательный коэффициент (RQ), парциальное давление кислорода в альвеолярном газе (PetO2, мм рт.ст.), парциальное давление углекислого газа в альвеолярном газе (PetCO2, мм рт.ст.), оксигенацию артериальной крови (SpO2, %).
Используя результаты регистрации движений видеосистемой Qualisys motion capture (Швеция) [1] определяли амплитуду шагательного цикла А (м), частоту движений f (Гц) и, учитывая индивидуальные антропометрические характеристики испытуемых, развиваемое при движениях усилие F (Дж). Активность мускулатуры нижних конечностей оценивали посредством электромиографии (ЭМГ) [1].
Для ЧЭССМ применяли стимулятор Биостим-5 (ООО Косима) [9]. Катод устанавливали между Т11 и Т12 позвонками, аноды – симметрично над гребнями подвздошных костей [6]. Интенсивность стимуляции подбирали для каждого испытуемого индивидуально, ориентируясь на силу тока, вызывающего, при стимуляции одиночными монополярными импульсами прямоугольной формы длительностью 1 мс, максимальный рефлекторный двигательный ответ во всех регистрируемых мышцах. Далее для активации локомоторной функции использовали ритмическую стимуляцию субмаксимальной интенсивности не вызывающую болезненных и неприятных ощущений. Параметры ритмической стимуляции: биполярные импульсы длительностью 1 мс, частотой 30 Гц, модулированные частотой 5 кГц.
Испытуемые находились в гравитационно нейтральном положении лежа на боку с ногами, вывешенными на независимых качелях-подвесках [10], что обеспечивало независимое движение ног и облегчало вызов движений.
Организационно, исследование состояло из трех этапов.
На первом этапе каждому испытуемому подбирали интенсивность ЧЭССМ. Сила тока при ритмической стимуляции находилась в диапазоне от 5 до 60 мА.
На втором этапе производили регистрацию параметров вентиляции легких, газообмена, видеорегистрацию движений и миографию мышц нижних конечностей испытуемых на протяжении 1 мин в исходном состоянии покоя и 2 мин при ЧЭССМ выбранной интенсивности.
На третьем – респираторные и локомоторные параметры регистрировали в исходном состоянии покоя (1 мин) и во время произвольного (по команде) выполнения шагательных движений (2 мин).
На основании результатов первичного анализа двигательной реакции на ЧЭССМ испытуемых разделили на две группы. Первую группу составили пять человек, у которых малая амплитуда вызванных ЧЭССМ движений (0.14 ± 0.041 м) свидетельствовала о низкой способности к локомоторному ответу на ЧЭССМ (НСЛО), во вторую группу вошли пять человек с высокой способностью к локомоторному ответу на стимуляцию (ВСЛО), проявлявшейся в большой амплитуде вызванных движений (1.19 ± 0.289 м).
Статистический анализ респираторных и двигательных параметров, зарегистрированных: 1) в состоянии покоя, 2) во время стартовой реакции на воздействие (в течение пяти первых дыхательных циклов от начала воздействия) и 3) в послестартовый период врабатывания (от начала шестого дыхательного цикла до окончания воздействия), производили раздельно по группам испытуемых с НСЛО и ВСЛО. Рассчитывали среднее арифметическое и ошибку среднего арифметического. Достоверность различий между значениями параметров внутри групп оценивали с использованием непараметрического критерия Уилкоксона [11].
Различие значений параметров между группами рассчитывали как разности средних арифметических по группам, в качестве характеристики репрезентативности использовали отношение разности средних арифметических по группам к корню из суммы квадратов ошибок средних арифметических по группам. Достоверность различий между группами оценивали с использованием непараметрического критерия Манна-Уитни. Корреляционный анализ проводили в объединенных группах [11].
РЕЗУЛЬТАТЫ ИССЛЕДОВАНИЯ
В первой группе испытуемых с НСЛО индивидуально подобранная интенсивность стимуляции составила 31.0 ± 8.12 мА и оказалась выше, чем у испытуемых группы с ВСЛО (18.2 ± 7.06 мА) (табл. 1).
Таблица 1.
Параметры внешнего дыхания, газообмена и двигательной активности у испытуемых с низкой (НСЛО) и высокой (ВСЛО) способностью к локомоторному ответу на стимуляцию при ЧЭССМ
| Параметры1 | Группы испытуемых | Условия регистрации | |||||
|---|---|---|---|---|---|---|---|
| исх. | старт | p1–2< | врабатывание | p2–3< | |||
| 1 | 2 | 3 | |||||
| VE (л/мин) | НСЛО | 1 | 10.0 ± 0.472 | 10.9 ± 1.27 | – | 10.5 ± 0.69 | – |
| ВСЛО | 2 | 7.2 ± 1.28 | 8.5 ± 1.08 | 0.05 | 8.5 ± 1.39 | – | |
| VT (л) | НСЛО | 1 | 0.67 ± 0.063 | 0.57 ± 0.024 | 0.05 | 0.57 ± 0.022 | – |
| ВСЛО | 2 | 0.65 ± 0.125 | 0.57 ± 0.085 | – | 0.57 ± 0.069 | – | |
| R f (цикл/мин) | НСЛО | 1 | 15.7 ± 1.32 | 19.5 ± 2.06 | 0.05 | 18.7 ± 1.00 | – |
| ВСЛО | 2 | 11.7 ± 1.153 | 16.1 ± 2.51 | 0.05 | 15.5 ± 0.92 | – | |
| Ti (с) | НСЛО | 1 | 1.83 ± 0.192 | 1.46 ± 0.105 | 0.05 | 1.52 ± 0.066 | – |
| ВСЛО | 2 | 2.46 ± 0.179 | 1.83 ± 0.189 | 0.05 | 1.79 ± 0.053 | – | |
| Te (с) | НСЛО | 1 | 2.19 ± 0.204 | 1.80 ± 0.210 | 0.05 | 1.76 ± 0.121 | – |
| ВСЛО | 2 | 3.00 ± 0.297 | 2.29 ± 0.337 | 0.05 | 2.18 ± 0.148 | – | |
| VT/Ti (мл/с) | НСЛО | 1 | 371 ± 15.0 | 402 ± 38.6 | – | 378 ± 22.6 | – |
| ВСЛО | 2 | 254 ± 56.7 | 320 ± 37.3 | – | 325 ± 46.8 | – | |
| VT/Te (мл/с) | НСЛО | 1 | 304 ± 15.3 | 337 ± 46.2 | – | 330 ± 24.3 | – |
| ВСЛО | 2 | 203 ± 35.0 | 260 ± 36.6 | 0.05 | 276 ± 50.1 | – | |
| VO2 (мл/мин) | НСЛО | 1 | 348 ± 22.4 | 390 ± 37.9 | 0.05 | 373 ± 22.0 | – |
| ВСЛО | 2 | 290 ± 50.7 | 326 ± 43.8 | 0.05 | 332 ± 50.9 | – | |
| PetO2 (мм рт.ст.) | НСЛО | 1 | 107.5 ± 1.52 | 106.8 ± 1.17 | – | 107.2 ± 0.95 | – |
| ВСЛО | 2 | 101.2 ± 0.91 | 103.5 ± 1.42 | 0.05 | 103.9 ± 0.78 | – | |
| PetCO2 (мм рт.ст.) | НСЛО | 1 | 33.7 ± 1.04 | 33.4 ± 0.73 | – | 33.3 ± 0.69 | – |
| ВСЛО | 2 | 35.1 ± 0.70 | 34.4 ± 1.06 | – | 34.5 ± 0.90 | – | |
| SpO2 (%) | НСЛО | 1 | 97.2 ± 0.42 | 97.0 ± 0.56 | – | 96.9 ± 0.71 | – |
| ВСЛО | 2 | 97.7 ± 0.34 | 98.0 ± 0.29 | – | 98.1 ± 0.15 | – | |
| RQ | НСЛО | 1 | 0.81 ± 0.029 | 0.78 ± 0.025 | 0.05 | 0.78 ± 0.028 | – |
| ВСЛО | 2 | 0.74 ± 0.007 | 0.76 ± 0.026 | – | 0.77 ± 0.017 | – | |
| А (м) | НСЛО | 1 | – | 0.14 ± 0.041 | 0.05 | 0.30 ± 0.110 | – |
| ВСЛО | 2 | – | 1.19 ± 0.288 | 0.05 | 1.51 ± 0.448 | 0.05 | |
| f (Гц) | НСЛО | 1 | – | 0.39 ± 0.027 | 0.05 | 0.34 ± 0.062 | – |
| ВСЛО | 2 | – | 0.39 ± 0.029 | 0.05 | 0.42 ± 0.016 | – | |
| F (Дж) | НСЛО | 1 | – | 0.14 ± 0.065 | 0.05 | 0.70 ± 0.288 | – |
| ВСЛО | 2 | – | 9.2 ± 3.68 | 0.05 | 14.8 ± 8.36 | – | |
У всех испытуемых в исходном состоянии лежа на боку, перед началом ЧЭССМ, параметры вентиляции легких не выходили за пределы диапазона референтных значений (табл. 1). Минутный объем вентиляции легких у представителей группы испытуемых с НСЛО на 2.7 ± 1.36 л/мин превышал интенсивность вентиляции легких в группе с ВСЛО. Это было обусловлено большей на 4.1 ± 1.75 цикл/мин (p < 0.05) частотой дыхания у испытуемых с НСЛО за счет несколько меньшего, чем у испытуемых с ВСЛО, времени вдоха и достоверно меньшего времени выдоха (табл. 1).
В состоянии покоя перед электростимуляцией значимых различий по потреблению кислорода между испытуемыми двух групп не было (табл. 1), однако у испытуемых с НСЛО парциальное напряжение кислорода в выдыхаемом воздухе и дыхательный коэффициент были достоверно больше (на 6.27 ± 1.773 мм рт.ст. и 0.07 ± 0.036 соответственно), чем у испытуемых второй группы.
Наблюдаемые в исходном состоянии межгрупповые различия респираторных параметров могут быть связаны с более выраженной у испытуемых с НСЛО эмоциональной гипервентиляцией в ожидании ЧЭССМ, поскольку предварительно подобранная интенсивность ЧЭССМ у них была на 12.8 ± 10.76 мА большей, чем во второй группе.
В ответ на ЧЭССМ на уровне Т11–Т12 позвонков у всех испытуемых наблюдалась двигательная реакция в виде непроизвольных шагательных движений. Во время старта ЧЭССМ у испытуемых первой группы с НСЛО вызывались шагательные движения с амплитудой на 1.21 ± 0.292 м меньшей (p < 0.05), чем испытуемые с ВСЛО. Поскольку отличий по частоте вызванных ЧЭССМ движений между группами не было (табл. 1), развиваемое испытуемыми первой группы мышечное усилие было на 9.1 ± 3.68 Дж меньше (p < 0.05), чем мышечное усилие испытуемых второй группы.
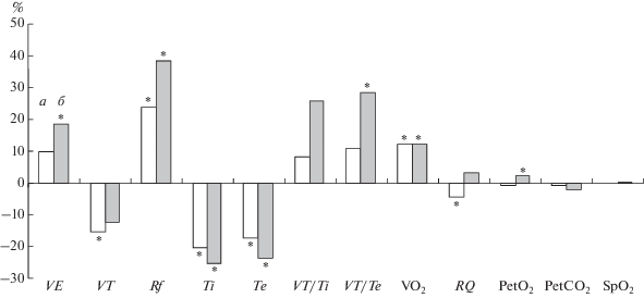
В группе с НСЛО респираторная реакция на старт электростимуляции спинного мозга, вызвавшей малоамплитудные шагательные движения, проявлялась в достоверном мгновенном приросте частоты дыхания на 3.7 ± 1.33 цикл/мин за счет синхронного сокращения (p < 0.05) времени вдоха и выдоха (табл. 1, рис. 1). Поскольку достоверно уменьшилась глубина дыхания, прирост вентиляции легких был незначительным (табл. 1, рис. 1). При этом за счет значимого увеличения потребления кислорода на 42 ± 21.2 мл/мин, дыхательный коэффициент снизился (p < 0.05), а показатели газообмена практически не изменились относительно исходного состояния (табл. 1, рис. 1).
Рис. 1.
Изменение параметров вентиляции легких и газообмена в период стартовой реакции на ЧЭССМ у испытуемых с низкой (а) и высокой (б) способностью к локомоторному ответу на стимуляцию, выраженное в процентах от их исходного значения. Обозначения см. в “Методике”. Достоверность изменения параметров относительно исходных значений: * – p < 0.05.

У испытуемых с ВСЛО начало стимуляции, вызвавшей шагательные движения большой амплитуды, также сопровождалась достоверным увеличением частоты дыхания на 4.5 ± 1.49 цикл/мин вследствие значительного сокращения продолжительности вдоха и выдоха. Скорость выдоха достоверно увеличивалась (табл. 1, рис. 1).
Поскольку снижение глубины дыхания на фоне вызванных шагательных движений большой амплитуды было незначительным (табл. 1, рис. 1), минутный объем вентиляции легких достоверно вырос на 1.32 ± 0.032 л/мин. При этом, не смотря на значимое увеличение потребления кислорода и его парциального давления, дыхательный коэффициент также несколько увеличился (табл. 1).
В период врабатывания вызванные ЧЭССМ локомоции у всех испытуемых характеризовались постепенным увеличением амплитуды шагательных движений, причем амплитуда движений у испытуемых с НСЛО росла незначительно (на 0.15 ± ± 0.075 м), тогда как прирост амплитуды движений у испытуемых с ВСЛО был достоверным и составил 0.32 ± 0.364 м. К концу второй минуты стимуляции амплитуда вызванных ЧЭССМ шагательных движений снижалась. Поскольку частота вызванных движений во время врабатывания практически не менялась (табл. 1), динамика, развиваемого испытуемыми мышечного усилия, полностью повторяла динамику изменения амплитуды движений.
Реакция респираторной системы на ЧЭССМ была устойчивой. Так, у всех испытуемых глубина дыхания стабильно удерживалась на пониженном, относительно исходного состояния, уровне и наблюдалась тенденция дальнейшего уменьшения продолжительности выдоха (табл. 1).
Параметры вентиляции легких и газообмена перед выполнением произвольных шагательных движений практически не отличались от параметров, зарегистрированных перед ЧЭССМ (табл. 1, 2).
Таблица 2.
Параметры внешнего дыхания, газообмена и двигательной активности у испытуемых с низкой (НСЛО) и высокой (ВСЛО) способностью к локомоторному ответу на ЧЭССМ при выполнении произвольных шагательных движений
| Параметры | Группы испытуемых | Условия регистрации | |||||
|---|---|---|---|---|---|---|---|
| исх. | старт | p1–2< | врабатывание | p2–3< | |||
| 1 | 2 | 3 | |||||
| VE (л/мин) | НСЛО | 1 | 9.1 ± 0.52 | 10.7 ± 0.41 | 0.05 | 11.1 ± 0.50 | – |
| ВСЛО | 2 | 6.7 ± 1.05 | 8.8 ± 1.34*1 | 0.05 | 8.8 ± 1.22 | – | |
| VT (л) | НСЛО | 1 | 0.63 ± 0.049 | 0.71 ± 0.037* | – | 0.74 ± 0.019* | – |
| ВСЛО | 2 | 0.61 ± 0.090 | 0.63 ± 0.099 | – | 0.64 ± 0.083* | – | |
| R f (цикл/мин) | НСЛО | 1 | 14.8 ± 0.99 | 15.2 ± 0.38 | – | 15.3 ± 0.64* | – |
| ВСЛО | 2 | 11.7 ± 1.37 | 14.4 ± 1.22 | 0.05 | 14.1 ± 0.50 | – | |
| Ti (с) | НСЛО | 1 | 1.93 ± 0.178 | 1.75 ± 0.033* | – | 1.75 ± 0.065* | – |
| ВСЛО | 2 | 2.55 ± 0.436 | 1.90 ± 0.182 | 0.05 | 1.85 ± 0.059 | – | |
| Te (с) | НСЛО | 1 | 2.3 ± 0.167 | 2.25 ± 0.073 | – | 2.29 ± 0.127* | |
| ВСЛО | 2 | 3.09 ± 0.370 | 2.46 ± 0.216 | 0.05 | 2.53 ± 0.090* | – | |
| VT/Ti (мл/с) | НСЛО | 1 | 337 ± 21.2 | 409 ± 18.0 | 0.05 | 429 ± 18.2 | – |
| ВСЛО | 2 | 259 ± 45.8 | 342 ± 50.7 | 0.05 | 352 ± 47.9 | – | |
| VT/Te (мл/с) | НСЛО | 1 | 280 ± 16.1 | 319 ± 11.0 | 0.05 | 330 ± 16.3 | – |
| ВСЛО | 2 | 202 ± 29.2 | 259 ± 40.0 | 0.05 | 256 ± 36.7 | – | |
| VO2 (мл/мин) | НСЛО | 1 | 322 ± 29.7 | 398 ± 31.4 | 0.05 | 429 ± 32.9* | 0.05 |
| ВСЛО | 2 | 263 ± 39.7 | 349 ± 54.0 | – | 360 ± 49.2 | – | |
| PetO2 (мм рт.ст.) | НСЛО | 1 | 107.0 ± 1.85 | 105.3 ± 2.42 | – | 103.7 ± 1.44 | – |
| ВСЛО | 2 | 102.1 ± 1.38 | 101.0 ± 1.51* | – | 98.3 ± 1.58* | – | |
| PetCO2 (мм рт.ст.) | НСЛО | 1 | 34.1 ± 0.82 | 35.2 ± 1.22* | 0.05 | 35.8 ± 0.97* | – |
| ВСЛО | 2 | 34.4 ± 0.81* | 35.2 ± 1.29 | – | 35.9 ± 0.95* | 0.05 | |
| SpO2 (%) | НСЛО | 1 | 97.1 ± 0.57 | 97.1 ± 0.60 | – | 97.1 ± 0.61 | – |
| ВСЛО | 2 | 98.0 ± 0.02 | 97.8 ± 0.12 | 0.05 | 97.7 ± 0.13* | – | |
| RQ | НСЛО | 1 | 0.81 ± 0.046 | 0.80 ± 0.035 | – | 0.78 ± 0.020 | – |
| ВСЛО | 2 | 0.73 ± 0.019 | 0.73 ± 0.015 | – | 0.71 ± 0.020* | – | |
| А (м) | НСЛО | 1 | – | 1.49 ± 0.100* | 0.05 | 1.62 ± 0.146* | – |
| ВСЛО | 2 | – | 1.37 ± 0.117 | 0.05 | 1.50 ± 0.108 | 0.05 | |
| f (Гц) | НСЛО | 1 | – | 0.48 ± 0.020* | 0.05 | 0.52 ± 0.015* | 0.05 |
| ВСЛО | 2 | – | 0.43 ± 0.007 | 0.05 | 0.44 ± 0.027 | – | |
| F (Дж) | НСЛО | 1 | – | 19.9 ± 3.45* | 0.05 | 23.2 ± 5.93* | – |
| ВСЛО | 2 | – | 12.6 ± 2.14 | 0.05 | 13.0 ± 2.18 | – | |
Примечание: обозначения см. табл. 1. 1 – достоверность различий по непараметрическому критерию Вилкоксона между стимуляцией и произвольными движениями: * – p < 0.05.
На старте испытуемые с НСЛО выполняли произвольные шагательные движения с амплитудой, частотой и усилием достоверно большими, чем при стимуляции (табл. 1, 2). Тогда как у испытуемых с ВСЛО произвольные шагательные движения по характеристикам практически не отличались от движений, вызванных электростимуляцией (табл. 1, 2).
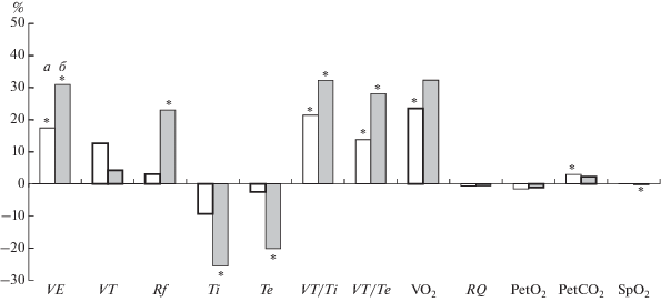
Стартовая реакция дыхательной системы на осуществление произвольных шагательных движений у всех испытуемых проявилась в значимом увеличении минутного объема вентиляции легких за счет синхронного, хотя и не достоверного, прироста дыхательного объема и увеличения частоты дыхания (табл. 2, рис. 2). Причем у испытуемых с НСЛО усиление вентиляции легких происходило в большей мере за счет углубления дыхания, тогда как у испытуемых с ВСЛО – за счет достоверного прироста частоты дыхания (табл. 2, рис. 2). Причиной увеличения частоты дыхания у испытуемых второй группы было синхронное уменьшение (p < 0.05) продолжительности вдоха и выдоха. У испытуемых обеих групп достоверно росли скорости воздушных потоков на вдохе и выдохе.
Рис. 2.
Изменение параметров вентиляции легких и газообмена в период стартовой реакции на выполнение произвольных движений у испытуемых с низкой (а) и высокой (б) способностью к локомоторному ответу на ЧЭССМ, выраженное в процентах от их исходного значения. Обозначения см. рис. 1. Достоверность различий между реакциями на стимуляцию и выполнение произвольных движений – обводка столбцов жирной линией (p < 0.05).

Повышение (p < 0.05) парциального давления углекислого газа в выдыхаемом воздухе на 1.1 ± ± 0.43 мм рт.ст. у испытуемых с НСЛО и значимое снижение оксигенации артериальной крови на 0.2 ± 0.13% у испытуемых с ВСЛО свидетельствовали о недостаточности стартовой респираторной реакции (табл. 2, рис. 2).
В ходе выполнения произвольных шагательных движений у испытуемых с НСЛО происходило достоверное повышение частоты движений на 0.04 ± 0.012 Гц, а у испытуемых с ВСЛО – значимо увеличивалась амплитуда произвольных движений, однако к концу второй минуты значения параметров снижались до стартовых величин (табл. 2).
Классическая реакция респираторной системы на выполнение движений [7], в связи с низкой интенсивностью развиваемых мышечных усилий, была слабо выражена, и можно отметить лишь тенденцию увеличения вентиляции легких за счет углубления дыхания (табл. 2). Однако у испытуемых с НСЛО повышение интенсивности произвольных движений на 3.3 ± 3.16 Дж сопровождалось приростом (p < 0.05) потребления кислорода на 31 ± 10.2 мл/мн.
В группе испытуемых с ВСЛО изменения показателей газообмена демонстрировали гиповентиляционную реакцию. Так, в процессе врабатывания, при неизменной интенсивности вентиляции легких, незначительное увеличение потребления кислорода сопровождалось снижением парциального давления кислорода и повышением (p < 0.05) парциального давления углекислоты в альвеолярном газе (табл. 2).
ОБСУЖДЕНИЕ РЕЗУЛЬТАТОВ
Сравнительный анализ зависимости реакции системы внешнего дыхания на ЧЭССМ от интенсивности вызванных стимуляцией шагательных движений выявил у испытуемых с низкой и высокой способностью к локомоторному ответу на стимуляцию сходную динамику параметров вентиляции легких. Обнаруженные различия состояли в выраженности наблюдаемых респираторных реакций.
Так, при ЧЭССМ на уровне Т11–Т12 позвонков у всех испытуемых уменьшается глубина дыхания (рис. 1), что соответствует результатам нашего предыдущего исследования [6]. Причиной отмеченного факта может быть препятствие сокращению диафрагмы со стороны активизированной стимуляции вспомогательной экспираторной абдоминальной мускулатуры [12].
В проекции T11–T12 позвонков, где был установлен стимулирующий электрод, находятся L4–L5 сегменты спинного мозга [13], а абдоминальные мотонейроны располагаются в T4–L3 сегментах [12]. Следовательно, мы получили реакцию дыхательной системы на стимуляцию сегментов спинного мозга, расположенных каудальнее тех сегментов, которые содержат спинальные ядра дыхательных мышц.
По всей видимости, возможны различные варианты механизма активации мышц брюшного пресса при ЧЭССМ.
Во-первых, респираторная реакция может развиваться благодаря наличию межсегметарных связей в спинном мозге. Имеются данные о том, что максимальная деполяризация первичных афферентов в пресинаптических терминалях развивается при предварительной активации афферентых входов более каудальных, относительно исследуемого, сегментов поясничного отдела спинного мозга, т.е. возбуждение распространяется от каудальных к ростральным дорсальным корешкам спинного мозга [14]. Во-вторых, при биполярной ЧЭССМ электроды, располагающиеся на гребнях подвздошных костей, могут непосредственно вызывать активацию экспираторной абдоминальной мускулатуры.
Поскольку только у испытуемых с НСЛО на старте ЧЭССМ наблюдается, свидетельствующее о гиповентиляции, уменьшение дыхательного коэффициента и дыхательного объема, а достоверное увеличение скорости выдоха – только у испытуемых с ВСЛО (рис. 1), можно заключить, что вентиляторная реакция, направленная на обеспечение растущих метаболических потребностей организма, реализуется прежде всего за счет нейрогенных механизмов рабочего гиперпноэ [8]. Так, афферентная импульсация от механорецепторов скелетной мускулатуры, участвующей в реализации локомоторной реакции на ЧЭССМ, оказывает рефлекторное воздействие на дыхательный центр, в результате которого повышается активность как инспираторной, так и экспираторной мускулатуры, и легочная вентиляция увеличивается до уровня, соответствующего интенсивности выполняемой мышечной работы (табл. 1, рис. 1) [7].
В связи с тем, что у испытуемых с ВСЛО зарегистрированные характеристики вызванных стимуляцией и произвольно выполненных шагательных движений практически не различались (табл. 1, 2), произвели сравнительный анализ влияния ЧЭССМ и произвольно выполняемых движений на спонтанную вентиляцию легких на примере испытуемых с ВСЛО.
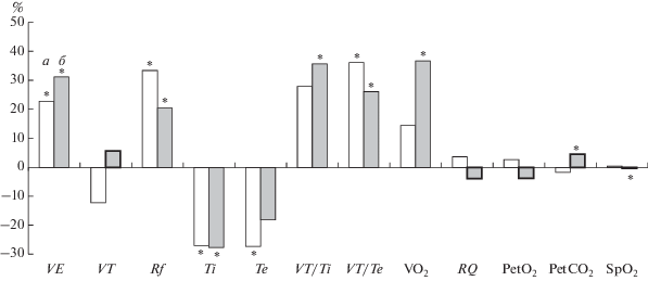
Выявлено, что в период врабатывания, при выполнении произвольных шагательных движений, потребление кислорода достоверно растет относительно исходного, а при стимуляции увеличивается незначительно (табл. 1, 2, рис. 3). Этот факт логично объяснить неодинаковым количеством нервно-мышечных единиц, участвующих в реализации произвольных и вызванных движений, что подтверждают зарегистрированные электромиограммы, которые при произвольных движениях всегда ярче и выразительнее, чем при вызванных (рис. 4).
Рис. 3.
Изменение параметров вентиляции легких и газообмена в период врабатывания при чрескожной стимуляции спинного мозга (а) и выполнении произвольных движений (б) у испытуемых с высокой способностью к локомоторному ответу на стимуляцию, выраженное в процентах от их исходного значения. Обозначения см. рис. 1 и 2.

Рис. 4.
Экспериментальные данные испытуемого Г.Д., зарегистрированные при выполнении вызванных ЧЭССМ (А) и произвольных движений ног (Б). ЭМГ записи мышц правой ноги, 1–5 ряды: 1 – m. tibialis r, 2 – m. gastrocnemius r, 3 – m. biceps r, 4 – m. rectus r, 5 – m. vastus lat. r. Амплитуда движения большого пальца ноги – 6 ряд. Участки записи показаны с момента начала времени врабатывания.

Причем прирост потребления кислорода при вызванных ЧЭССМ движениях, хоть и незначителен, достоверно зависит от развиваемого мышечного усилия (r = 0.71, при p < 0.05). Отмеченная тенденция увеличения дыхательного коэффициента и парциального напряжения О2 в выдыхаемом воздухе может свидетельствовать если не о гипервентиляции, то о вполне достаточной вентиляции легких (табл. 1, рис. 3).
При произвольной имитации шагания прирост потребления кислорода от интенсивности движений не зависит, поскольку ограничивается недостаточной по интенсивности вентиляцией легких, что подтверждается достоверным приростом парциального напряжения СО2 в выдыхаемом воздухе и снижением оксигенации артериальной крови (табл. 2, рис. 3). Причиной данного факта может быть непривычность, для испытуемых, произвольной имитации шагательных движений в положении лежа на боку и, как следствие, неточность нейрогенного компонента регуляции вентиляторной реакции [7].
Как вызванные ЧЭССМ, так и произвольные шагательные движения сопровождаются достоверным укорочением инспирации. Однако только при произвольных движениях значимый прирост скорости вдоха позволяет сохранить и даже несколько увеличить исходную глубину дыхания (рис. 3).
При ЧЭССМ увеличение скорости вдоха оказывается недостаточным, что, на фоне укорочения периода вдоха приводит к снижению дыхательного объема. Этот факт еще раз подтверждает наше предположение о том, что непрерывная ритмическая ЧЭССМ, вызывая тоническое сокращение вспомогательной экспираторной абдоминальной мускулатуры, создает дополнительное сопротивление, препятствующее укорочению диафрагмы во время инспирации [6]. При этом снижение дыхательного объема компенсируется значительным приростом частоты дыхания за счет укорочения выдоха (r = 0.80, при P < 0.05), выполняемого с достоверно увеличившейся скоростью экспираторного потока воздуха (рис. 3).
Следовательно, вентиляторная реакция на ЧЭССМ проявляется не только в сдерживании инспирации за счет тонической активации мышц брюшного пресса, но и в усилении экспирации, что при непрерывной стимуляции может быть следствием повышения чувствительности мотонейронов экспираторной мускулатуры к импульсам, приходящим от дыхательного центра.
ЗАКЛЮЧЕНИЕ
Таким образом, изменение спонтанной вентиляции легких при биполярной модулированной непрерывной чрескожной электрической стимуляции спинного мозга на уровне Т11–Т12 позвонков с частотой 30 Гц и субмаксимальной интенсивностью, инициирующей двигательную реакцию, происходит в результате взаимодействия эффектов электростимуляции нервно-мышечного аппарата экспираторной мускулатуры и активиации нейрогенного механизма регуляции дыхания при мышечной работе.
Импульсация от проприоцепторов мышц, участвующих в локомоторной реакции на ЧЭССМ, воздействуя на дыхательный центр, повышает активность как инспираторной, так и экспираторной мускулатуры. Тоническое сокращение абдоминальной мускулатуры при ЧЭССМ, проявляющееся в снижении глубины дыхания и замедлении инспирации, может быть вызвано как прямой стимуляцией мышц живота, так и активацией экспираторных мотонейронов, вследствие передачи возбуждения от нижерасположенных стимулируемых сегментов спинного мозга.
Повышение скорости выдоха при вызванных ЧЭССМ движениях большой амплитуды может быть следствием суммации эффектов подпороговой ЧЭССМ, повышающей возбудимость экспираторных мотонейронов, и импульсов, приходящих к мотонейронам от дыхательного центра.
Этические нормы. Все исследования проведены в соответствии с принципами биомедицинской этики, сформулированными в Хельсинкской декларации 1964 г. и ее последующих обновлениях, и одобрены биоэтическим комитетом Великолукской государственной академии физической культуры и спорта.
Информированное согласие. Каждый участник исследования представил добровольное письменное информированное согласие, подписанное им после разъяснения ему потенциальных рисков и преимуществ, а также характера предстоящего исследования.
Финансирование работы. Исследование выполнено при финансовой поддержке гранта РФФИ № 16-29-08277, Программы фундаментальных научных исследований государственных академий на 2013–2020 гг. (ГП-14, раздел 63) и программы фундаментальных исследований президиума РАН по теме 1.42 “Фундаментальные науки медицине”.
Конфликт интересов. Авторы декларируют отсутствие явных и потенциальных конфликтов интересов, связанных с публикацией данной статьи.
Список литературы
Городничев Р.М., Пивоварова Е.А., Пухов А. и др. Чрезкожная электрическая стимуляция спинного мозга: неинвазивный способ активации генераторов шагательных движений у человека // Физиология человека. 2012. Т. 38. № 2. С. 46.
Gerasimenko Y.P., Lu D., Modaber M., Zdunowski S. et al. Noninvasive reactivation of motor descending control after paralysis // J. Neurotrama. 2015. V. 32. № 24. P. 1968.
Hofstoetter U.S., Freundl B., Binder H., Minassian K. Common neural structures activated by epidural and transcutaneous lumbar spinal cord stimulation: Elicitation of posterior root-muscle reflexes // PLoS One. 2018. V. 13. № 1.
Никитюк И.Е., Мошонкина Т.Р., Щербакова Н.А. и др. Влияние локомоторной тренировки и функциональной электромиостимуляции на постуральные функции у детей с тяжелыми формами ДЦП // Физиология человека. 2016. Т. 42. № 3. С. 37.
Мошонкина Т.Р., Столбков Ю.К., Козловская И.Б., Герасименко Ю.П. Механизмы влияния электростимуляции спинного мозга на вегетативные функции // Физиология человека. 2016. Т. 42. № 6. С. 124.
Миняева А.В., Моисеев С.А., Пухов А.М. и др. Реакция внешнего дыхания на движения, вызванные чрескожной стимуляцией спинного мозга // Физиология человека. 2017. Т. 43. № 5. С. 43.
Бреслав И.С., Волков Н.И., Тамбовцева Р.В. Дыхание и мышечная активность человека в спорте. М.: Советский спорт, 2013. С. 336.
Исаев Г.Г., Герасименко Ю.П. Механизм “быстрого нейрогенного компонента” вентиляторной реакции при инициации двигательной активности // Физиология человека. 2005. Т. 31. № 5. С. 73.
Гришин А.А., Мошонкина Т.Р., Солопова И.А. и др. Устройство для неинвазивной электрической стимуляции спинного мозга // Медицинская техника. 2016. № 5. С. 8.
Гурфинкель В.С., Левик Ю.С., Казенников О.В., Селионов В.А., Существует ли генератор шагательных движений у человека? // Физиология человека. 1998. Т. 24. № 3. С. 42.
Гланц С. Медико-биологическая статистика. М.: Практика, 1999. С. 459.
Александрова Н.П., Бреслав И.С. Дыхательные мышцы человека: три уровня управления // Физиология человека. 2009. Т. 35. № 2. С. 103.
Kendall F.P., McCreary E.K., Provance P.G. Muscles, testing and function: with posture and pain. Baltimore: Md.: Williams & Wilkins, 2005. P. 560.
Шугуров О.О. Межсегментарные взаимодействия систем пресинаптического торможения в спинном мозге. Вісник Дніпропетровського університету. Біологія. Екологія. 2009. Вип. 17. Т. 1. С. 236.
Дополнительные материалы отсутствуют.
Инструменты
Физиология человека


