Доклады Российской академии наук. Химия, науки о материалах , 2022, T. 506, № 1, стр. 35-42
Процессы в системах “H2PtCl6 · 6H2O – растворитель”. Часть 2. Метил(винил)силоксановые растворы
Н. В. Климова 1, *, А. Г. Иванов 1, А. В. Лебедев 1, академик РАН П. А. Стороженко 1
1 Государственный научный центр РФ
Акционерное Общество “Государственный ордена Трудового Красного Знамени научно-исследовательский институт химии и технологии элементоорганических соединений”
105118 Москва, Россия
* E-mail: nk20160412@gmail.com
Поступила в редакцию 22.06.2022
После доработки 02.08.2022
Принята к публикации 24.08.2022
- EDN: IWAMNM
- DOI: 10.31857/S2686953522600337
Аннотация
Изучены окислительно-восстановительные процессы в системе H2PtCl6 · 6H2O–1,1,3,3-тетраметил-1,3-дивинилдисилоксан, как в присутствии этанола и триметилхлорсилана, так и без них методами спектроскопии 1Н, 13С и 29Si ЯМР и ГЖХ. Установлено, что хлориды Pt(IV) и Pt(II) катализируют реакции гидрохлорирования винильных групп с превращением их в β-хлорэтильные и элиминирование последних с образованием этилена и диметилхлорсиланов. На основании проведенных исследований предположена возможная координация Pt(0) с силоксановой группой. Предложен способ получения высокотемпературного катализатора гидросилилирования, состоящего из наноразмерной Pt(0) и триметилсилилсиликата, который успешно апробирован на практике для отверждения компаундов типа СИЭЛ.
ВВЕДЕНИЕ
В результате анализа литературных данных установлено, что комплексы Pt(0) проявляют большую стабильность, чем комплексы Pt(II) [1]. Устойчивость координации, например, олефинов определяется ϭ-акцепторными и π-донорными свойствами металла [2]. Высокое сродство к электрону металла должно приводить к увеличению вклада σ-компоненты металл–олефин в химическую связь, тогда как низкое значение энергии возбуждения (фотовозбуждение) увеличивает вклад π-компоненты металл–олефин. Так, например, Pt(0) является одновременно хорошим σ-акцептором (2.40 эВ) и хорошим π-донором (3.28 эВ), а Pt(II) – только хорошим π-донором (3.39 эВ) и плохим σ-акцептором (19.42 эВ). Из этого можно констатировать, что Pt(0) образует более прочную связь с олефином, чем Pt(II). К такому же выводу пришли Кларк и соавт. [3], изучая рентгеноэлектронные спектры комплексов Pt(II) и Pt(0).
На практике применение комплексов Pt(0), модифицированных кремнийорганическими соединениями, содержащими винильную группу, такими как [Vi(CH3)2Si]2O, Vi(CH3)2SiO[CH3(C6H11)SiO]4Si(CH3)2Vi (здесь и далее Vi = CH=CH2) или (CH2=CH–CH2)2Si(OC2H5)2 [4], либо одним из силанов RaR$_{b}^{'}$SiX4 – a – b или силоксанов RcR$_{d}^{'}$SiO(4 – c – d)/2, или циклосилоксанов [RR′SiO]4 (где R – насыщенный углеводородный заместитель, R′-ненасыщенный углеводородный заместитель, X – гидролизующийся заместитель, a = 0–2, b = 1–4, c = 0–2, d = 0.0002–3, c + d = 1–3) [5, 6] является приоритетным для проведения реакций гидросилилирования.
Непредельные олигосилоксаны, образующиеся при приготовлении, например, катализатора Карстедта (КК), помимо винильных имеют в своем составе небольшое количество хлорэтильных заместителей (R = CH2CH2Cl), а газообразные продукты состоят в основном из этилена и бутадиена [7].
Установлено, что хлориды платины могут выступать как кислоты Льюиса в перераспределении силокси-звеньев в олигосилоксанах [8].
Несмотря на уже опубликованные работы по получению β-хлорэтилсилана в присутствии кислоты Льюиса (AlCl3) [9] и по β-элиминированию β-хлорэтильных групп в силанах под действием температуры [10], Льюис и соавт. предположили, что ≡Si–CH2=CH2 и ≡Pt–Cl обменивались группами с образованием ≡Si–Cl и ≡Pt–CH2=CH2 [7].
Также отмечено [11], что в КК платина находится в основном в виде Pt(0) и частично – в виде Pt(II). Высказано предположение, что Pt(II) образуется в результате взаимодействия Pt(0) с HCl, выделяющейся в результате гидролиза разновидностей силилхлорида. Это вызывает некоторые сомнения, т.к. хлориды платины, как известно, получают действием на металлическую платину “царской водки” [12].
Коллоидная Pt(0) значительно более активна, чем Pt(II). При использовании codPtCl2 (cod = = циклооктадиен) в реакции гидросилилирования наблюдается индукционный период, а при использовании коллоида Pt(0) в качестве катализатора он отсутствует [13]. Причем продолжительность периода индукции соответствует времени, необходимому для образования коллоида Pt(0) из codPtCl2.
В работе [14] показано, что коллоидная платина в виде кристаллитов платины диаметром 1–5 нм образуется в результате реакций КК с группами ≡SiH в реакции гидросилилирования, при этом стадия восстановления Pt(II) до Pt(0) является обычно периодом индукции.
Марко и соавт. [15] отметили, что гидросилилирование на КК имеет ряд недостатков, например таких, как образование изомерных олефинов (от 20 до 40%), восстановленного алкена и продуктов дегидроконденсации.
Более позднее исследование [16] показало, что наночастицы Pt(0) столь же эффективны, как и КК. Образование коллоидов Pt(0) во время реакций гидросилилирования не обязательно приводило к его дезактивации. Было обнаружено, что коллоиды Pt(0), используемые в тех же концентрациях, что и КК, столь же эффективны и селективны, и также способствовали только антимарковниковскому присоединению группы ≡SiH к связи C=C (как и большинство платиновых катализаторов). В первые минуты реакции и КК, и Pt(dba)2 (dba = дибензилиденацетон) более активны, чем наночастицы Pt(0). Но все катализаторы проявляли одинаковую активность на поздней стадии реакции. Отмечено, что если коллоиды не были хорошо стабилизированы, то они начинали агломерироваться и их каталитическая активность снижалась.
КК – часто применяемый катализатор гидросилилирования в промышленности, но его нельзя использовать повторно. Поэтому последующие исследования были направлены на использование коллоидной платины на твердых носителях с возможностью удаления ее из зоны реакции.
Так, например, в работе [17] сообщалось о получении, свойствах, кинетике и использовании в качестве гетерогенного катализатора гидросилилирования типа КК, нанесенного на носитель из диоксида кремния. Винилсилоксановые группы были связаны с поверхностью кремнезема путем взаимодействия с винилтриэтоксисиланом. Дальнейшая обработка этого материала водным раствором платинохлористоводородной кислоты приводила к образованию гетерогенного карстедтоподобного катализатора. Такой тип катализатора обладал высокой каталитической активностью при комнатной температуре и атмосферном давлении и возможностью пятикратного использования без заметной потери эффективности.
В работе [18] удалось впервые доказать участие каталитической системы типа “коктейль” в реакции гидросилилирования алкинов и алкенов в присутствии платины на углеродном носителе. Катализаторы типа “коктейль” – это динамические системы, в которых устанавливается равновесие между комплексами металлов, а также их наночастицами и кластерами. Как правило, этот тип каталитической системы реализуется в случае катализаторов, генерируемых in situ или при использовании наночастиц как предшественников катализатора. В зависимости от используемых реагентов и условий каждый из активных центров вносит больший или меньший вклад в катализ реакции. Поэтому, при выполнении определенных условий, предложено рассматривать “коктейль” катализаторов как самонастраивающуюся систему для конкретной системы.
Таким образом, на основании литературных данных, была поставлена задача уточнения процессов, протекающих в системах, содержащих H2PtCl6 · 6H2O и винилсилоксаны, а также создания новых эффективных каталитических систем на основе четких представлений о механизме их трансформаций.
ЭКСПЕРИМЕНТАЛЬНАЯ ЧАСТЬ
Спектры ЯМР регистрировали на спектрометрах Bruker AM-360 (Германия) и AVANCE 600 (Германия) на ядрах 1Н, 13С и 29Si в растворе CDCl3. Все значения химических сдвигов представлены в м. д. относительно ТМС (тетраметилсилан).
Анализ методом газожидкостной хроматографии (ГЖХ) осуществляли на хроматографе “Кристалл 2000” (Россия), колонка 1 м × 3 мм, заполненная неподвижной фазой 5% SE-30 на Chromaton N-AW HMDS, газ-носитель – гелий, детектор – катарометр.
Размер частиц определяли на анализаторах Microtrac Nanotrac Ultra (США) и CIS-100 Ankersmid (Израиль).
Взаимодействие гексагидрата платинохлористоводородной кислоты с 1,1,3,3-тетраметил-1,3-дивинилдисилоксаном в избытке спирта. H2PtCl6 · 6H2O (1 г, 0.0019 моль) растворяли в этаноле (7.1 г, 0.1544 моль) и добавляли [(CH3)4(CH2=CH2)2Si]2O (1.08 г, 0.0058 моль). Перемешивали 12 ч при 75°С и 7 ч при 85°С в реакционной колбе с ловушкой для газообразных продуктов, охлаждаемой жидким азотом. Далее реакционную массу упаривали при 5 мм рт. ст., постепенно увеличивая температуру до 100°С. По окончании отгонки низкокипящих компонентов в колбе выпадал черный осадок Pt(0), который декантировали, промывали 3 раза ацетоном и прокаливали при 250°С в течение 1 ч. Выделено 0.33 г (0.0017 моль) сухой платины Pt(0) с выходом 89.5%.
Взаимодействие гексагидрата платинохлористоводородной кислоты с 1,1,3,3-тетраметил-1,3-дивинилдисилоксаном. H2PtCl6 · 6H2O (0.5 г, 0.00095 моль) смешивали с [(CH3)4(CH2=CH2)2Si]2O (0.18 г, 0.00095 моль). Через 30 мин перемешивания при 50°С цвет осадка поменялся с красного на желтый, а еще через 4 ч стал черным.
Получение H2PtCl4 и ее взаимодействие с 1,1,3,3-тетраметил-1,3-дивинилдисилоксаном. H2PtCl6 · 6H2O (1 г, 0.0019 моль) смешивали с изопропиловым спиртом (0.11 г, 0.0019 моль) и перемешивали в течение 12 ч при 50°С. Затем к полученному темно-красному раствору добавляли [(CH3)4(CH2=CH2)2Si]2O (1.06 г, 0.0057 моль), нагревали до 75°С и перемешивали в течение 5 ч до образования черной вязкой жидкости.
Гидрохлорирование 1,1,3,3-тетраметил-1,3-дивинилдисилоксана в присутствии гексагидрата хлорида алюминия. Смесь (CH3)3SiCl (5 г, 0.0461 моль) и AlCl3 · 6H2O (0.17 г, 0.0007 моль) перемешивали в течение 6 ч при комнатной температуре. Далее в реакционную массу добавляли [(CH3)4(CH2=CH2)2Si]2O (2.15 г, 0.0115 моль) и перемешивали в течение 8 ч при 75°С и затем в течение 7 ч при 90°С.
Гидрохлорирование 1,1,3,3-тетраметил-1,3-дивинилдисилоксана в присутствии платинохлористоводородной кислоты. Смесь (CH3)3SiCl (5 г, 0.0461 моль) и H2PtCl6 · 6H2O (2 г, 0.0038 моль) перемешивали в течение 6 ч при комнатной температуре. В результате образовалась реакционная масса с желтым осадком, в которую добавили [(CH3)4(CH2=CH2)2Si]2O (2.15 г, 0.0115 моль). Реакционную смесь перемешивали в течение 7 ч при комнатной температуре и в течение 6 ч при 75°С до образования черной вязкой жидкости.
Получение частично обезвоженной платинохлористоводородной кислоты, ее взаимодействие с 1,1,3,3-тетраметил-1,3-дивинилдисилоксаном и этанолом. Смесь H2PtCl6 · 6H2O (3 г, 0.0058 моль) и (CH3)3SiCl (7.55 г, 0.0695 моль) перемешивали в течение 6 ч при комнатной температуре. Затем добавили [(CH3)4(CH2=CH2)2Si]2O (1.08 г, 0.0058 моль) и этанол (0.27 г, 0.0058 моль). Полученную смесь перемешивали при 50°С в течение 12 ч.
Взаимодействие гексахлорплатината (IV) натрия с 1,1,3,3-тетраметил-1,3-дивинилдисилоксаном. Смесь Na2PtCl6 (0.5 г, 0.0011 моль) и [(CH3)4(CH2=CH2)2Si]2O (0.21 г, 0.0011 моль) перемешивали при 50°С в течение 7 ч; видимых изменений не происходило. Далее к реакционной массе добавили 1 каплю концентрированной соляной кислоты, через 30 мин цвет смеси изменился с ярко-оранжевого на белый, а через 6 ч выпал осадок черного цвета.
Получение наноразмерных частиц платины и катализатора гидросилилирования на ее основе. В трехгорлую круглодонную колбу, снабженную мешалкой, термометром и обратным холодильником, загружали H2PtCl6 · 6H2O (1 г, 0.00193 моль) и абсолютированный этиловый спирт (23.04 г, 0.5 моль). Реакционную смесь перемешивали при температуре 65°С в течение 7 ч до образования частиц Pt(0) черного цвета. Затем из реакционной массы на роторном испарителе отгоняли кислый водно-спиртовой азеотроп при 5 мм рт. ст. и 40°С. Полученный остаток дважды промывали 10 мл свежего этанола, который затем отгоняли под вакуумом. Выделенный продукт сушили под вакуумом 5 мм рт. ст. при комнатной температуре. Получено 0.37 г (98.4 мас. %) черного мелкодисперсного порошка Pt(0) с размером частиц 50 нм–15 мкм. Затем к сухой наноразмерной Pt(0) (0.37 г, 0.0019 моль) добавили триметилсилилсиликат [(CH3)3SiO0.5][SiO2] (336.36 г, 2.3856 моль) и абсолютированный этиловый спирт (30 г, 0.6522 моль). Реакционную смесь перемешивали в течение 30 мин при комнатной температуре. Этанол удаляли на роторном испарителе при температуре 60°С под вакуумом 5 мм рт. ст. Выделено 332.35 г (98.7 мас. %) вязкого продукта черного цвета, представляющего собой триметилсилилсиликат с равномерно распределенными в нем наноразмерными частицами платины (0.111 мас. %). рН водной вытяжки продукта равен 6.5. Количество летучих соединений при выдержке при 200°С в течение 2 ч составило не более 0.05 мас. %.
РЕЗУЛЬТАТЫ И ИХ ОБСУЖДЕНИЕ
В работе [1] показано, что октен-1 под действи-ем H2PtCl6 · 6H2O гидрохлорируется с образованием 2-хлороктана. С учетом этих и других данных [19, 20] мы приняли за основу, что в ходе получения КК [5, 6] из гексагидрата платинохлористоводородной кислоты и тетраметилдивинилдисилоксана в избытке этанола в присутствии гидрокарбоната натрия возможны следующие процессы: восстановление Pt(IV) → Pt(II) → Pt(0) (реакции (1), (2)) [1], гидрохлорирование винильных групп (реакция (4)) [9], элиминирование образовавшихся хлорпроизводных ClCH2–CH2–Si≡ c выделением этилена и ClSi≡ (реакция 5) [2], гидролиз-конденсация последних (реакция (6)) и перераспределение силокси-звеньев (реакция (7)) [21]. Гидрокарбонат натрия нейтрализует хлористый водород (реакция (3)), тем самым стимулируя восстановление Pt(IV) до Pt(0), сдвигая равновесие реакций (1) и (2) вправо.
Для подтверждения или опровержения наших предположений мы смешивали H2PtCl6 · 6H2O, [(CH3)4(CH2=CH2)2Si]2O и C2H5OH в мольном соотношении 1 : 3 : 80 соответственно. При комнатной температуре реакционная масса оставалась неизменной, что было установлено методами спектроскопии 1Н и 13С ЯМР. После трехчасовой выдержки при 75°С в спектрах 1Н ЯМР наблюдались расширение и снижение интенсивности резонансных сигналов, соответствующих винильным группам, в интервале 3.73–2.62 м. д. На спектре 13С ЯМР появился резонанс со значением δ = 60.5 м. д., что соответствует химическому сдвигу для группы H2C–Cl [22]. По истечении 9 ч содержание винильных групп в составе реакционной массы практически свелось к нулю, согласно данным спектроскопии 1Н ЯМР. Этим же методом установлено, что низкокипящая фракция реакционной массы состояла преимущественно из этанола и следовых количеств ацетальдегида (резонанс протона группы НC=O при δ = 9.7 м. д.). При помощи метода ГЖХ определили, что в состав жидкой части оставшейся реакционной массы в основном входят диметилциклосилоксаны состава [(CH3)2SiO]х, где х = 3 (3.08%), 4 (80.5%), 5 (2.3%), 6 (4.65%), 7 (4.47%). На спектре 29Si ЯМР зафиксированы сигналы резонансов при δ = –8.5 м. д. (х = 3), –19.3 м. д. (х = = 4), –21.7 м. д. (х = 5), –22.6 м. д. (х = 6). Это данные подтвердили наше предположение, что соединения платины H2PtCl6 и H2PtCl4 катализируют реакции (4) и (5). Образование диметилциклосилоксанов с нечетным количеством силокси-звеньев (х = 3, 5, 7) из дисилоксана [Cl(CH3)2Si]2O возможно только перестраиванием силоксановой цепи по реакции (7).
В результате взаимодействия H2PtCl6 · 6H2O с тетраметилдивинилдисилоксаном в мольном соотношении 1 : 1 в течение 4.5 ч образуются диметилциклосилоксаны (29Si ЯМР δ = –19…–22 м. д.) и выпадает осадок. По данным спектроскопии 1Н ЯМР интенсивность сигналов резонансов групп СН=СН2 (δ = 5.9 м. д.) в 13 раз ниже, по сравнению с данными для исходного [(CH3)4(CH2=CH2)2Si]2O. Убывание количества винильных групп возможно по реакциям (4) и (5) либо в результате реакций обмена (8) и (9) [7]:
При этом кристаллогидратная вода в платинохлористоводородной кислоте расходуется на гидролиз H2PtCl6 по уравнению (10) и гидролитическую поликонденсацию дихлордисилоксанов по схемам (6) и (7).
Хлористый водород, образующийся в результате гидролиза H2PtCl6, гидрохлорирует винильные группы в дисилоксане с образованием хлорэтильных групп по уравнению (4), которые в свою очередь в данных условиях реакции разлагаются с образованием этилена и 1,3-дихлортетраметилдисилоксана по схеме (5). Поучаствовав в ряде вышеуказанных процессов, HCl выделяется по уравнению (6) и делает возможной реакцию, обратную гидролизу H2PtCl6 по схеме (10).
С целью подтверждения протекания реакции (4) нами проведено гидрохлорирование тетраметилдивинилдисилоксана в присутствии классической кислоты Льюиса AlCl3 · nH2O по реакции Вагнера [9] лишь с той разницей, что хлористый водород генерировался за счет гидролиза триметилхлорсилана гидратированной хлоридом алюминия водой. Наблюдение за изменением состава реакционной массы методом спектроскопии 29Si ЯМР позволило выяснить, что в ней, наряду с триметилхлорсиланом (δ = 29.9 м. д.), гексаметилдисилоксаном (δ = 6.9 м. д.), тетраметилдивинилдисилоксаном (δ = –3.4 м. д.) и циклосилоксанами (δ = –20.8…–21.3 м. д.), образуется новый кремнийорганический фрагмент ClCH2CH2(CH3)2Si– с химическим сдвигом δ = 11.7 м. д., согласно исследованиям [9].
Сравнение спектров 29Si ЯМР реакционной массы аналогичного эксперимента, где вместо AlCl3 · nH2O использовали H2PtCl6 · 6H2O, с вышеуказанными спектрами показало, что они аналогичны. Отличаются только интегральные интенсивности соответствующих резонансов: при использовании AlCl3 · nH2O они менее интенсивны. Во втором случае гораздо раньше появляется сигнал со значением δ = 11.4 м. д., обусловленный резонансом атомов кремния групп ClCH2CH2(CH3)2Si–. Винильные группы в дисилоксане гидрохлорируются практически полностью в течение одного часа, что подтверждается отсутствием сигналов резонансов в спектре 1Н ЯМР в виде триплета квартетов со значением δ = 6.2, 6.0 и 5.8 м. д. По истечении 6 ч в реакционной массе обнаруживали только гексаметилдисилоксан, диметилциклосилоксаны и следы триметилхлорсилана. Следовательно, образование диметилциклосилоксанов протекает через стадии гидрохлорирования группы CH2=CHSi≡ с образованием соединения, содержащего группу ClCH2–CH2Si≡, по схеме (4), β‑элиминированием последних с выделением этилена и Cl(CH3)2SiOSi(CH3)2Cl по схеме (5) и поликонденсацией хлорсиланов согласно уравнениям (6) и (7).
Чтобы убедиться в том, что соединения Pt(II) также могут катализировать реакции гидрохлорирования (4) и элиминирования (5), мы восстановили H2PtCl6 · 6H2O до Н2PtCl4 изопропиловым спиртом в мольном соотношении 1 : 1, как описано в [1]. Затем добавили 3 моля тетраметилдивинилдисилоксана к 1 молю соединения Pt(II) и нагревали полученную реакционную массу в течение 5 ч. На спектре 1Н ЯМР полученного продукта наблюдали уменьшение интенсивности сигналов резонансов при значениях δ = 4.83–6.35 м. д. (‒CH=CH2), что свидетельствовало о протекании реакции гидрохлорирования исходного винилсилоксана. Н2PtCl4, полученный восстановлением H2PtCl6 · 6H2O этанолом и частичным обезвоживанием триметилхлорсиланом, действует на тетраметилдивинилдисилоксан аналогично.
Тетраметилдивинилдисилоксан под действием гексахлорплатината натрия при нагревании в течение 7 ч не претерпевал никаких изменений. Однако при добавлении капли концентрированной соляной кислоты через 6 ч сигналы резонансов протонов групп –CH=CH2 полностью исчезают и появляются сигналы резонансов группы (CH3)2SiO–. Из этого следует, что Na2PtCl6 катализирует реакции гидрохлорирования (реакция (4)) и последующее элиминирование (реакция (5)) только в присутствии соляной кислоты.
При нагревании тетраметилдивинилдисилоксана в присутствии концентрированной соляной кислоты и платиновой черни в течение 5 ч никаких изменений не наблюдалось. Это подтверждается сохранением количественного соотношения протонов CH3- и CH2=CH-групп, равного 2 : 1, рассчитанного по интегральным интенсивностям соответствующих сигналов резонансов в спектре 1H ЯМР в течение всего процесса.
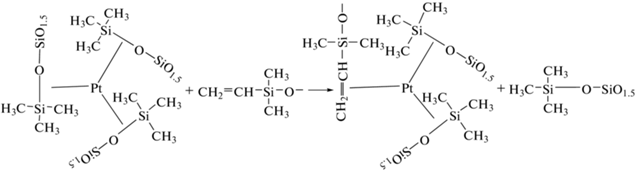
Результаты наших исследований продемонстрировали, что применение комплексов Pt(IV) и Pt(II) в реакции гидросилилирования действительно запускает протекание таких процессов, как восстановление Pt(IV) → Pt(II) → Pt(0) с выделением HCl (уравнения (1) и (2)), участие последнего в гидрохлорировании группы ≡SiCH=CH2 (уравнение (4)) с последующим β‑элиминированием β-хлорэтильных заместителей (уравнение (5)), дегидроконденсация ≡SiH-групп с выделением водорода и образованием [(CH3)2SiO]x [23], перераспределение силокси-звеньев в силоксановой цепи по схеме (7). Чтобы исключить вышеперечисленные реакции, в ходе которых выделяются газообразные продукты, целесообразным становится применение комплексов Pt(0) и наноразмерной платины. В наиболее выигрышном положении для практического применения в реакции гидросилилирования в этой паре находится наноразмерная платина, поскольку метод ее получения позволяет полностью исключить использование минеральных и органических кислот, воды, спиртов и образование ряда нежелательных примесей. Мы предполагаем, что Pt(0) вполне может образовывать комплексы с силоксанами через их dπ–pπ-связи, как и с кратными связями органических соединений. Частичная двоесвязанность силоксановой связи за счет свободной пары электронов атома кислорода и свободных d‑орбиталей атома кремния хорошо известна [24]. Причем в силоксанах с концевыми триметилсилокси-группами, например, в триметилсилилсиликате, координация платины может осуществляться как по трем разным молекулам триметилсилилсиликата, так и по двум молекулам [20, 25]. Очевидно, что трехкоординационные молекулы должны быть более устойчивыми (рис. 1).
С целью подтверждения гипотезы о высокой эффективности и практической значимости комплексов наноразмерной Pt(0) в реакции гидросилилирования платину, полученную восстановлением гексагидрата платинохлористоводородной кислоты этанолом, смешивали с триметилсилилсиликатом с таким расчетом, чтобы содержание Pt(0) составляло 0.0011 моль на 100 г силиката. Такой катализатор испытывали в реакции гидросилилирования на смеси винилсодержащих полисилоксанов с гидридсилоксанами без наполнителя (компаунд СИЭЛ 159-230) и с наполнителем (компаунд СИЭЛ 159-191). В отличие от катализаторов Спайера и Карстедта, отверждение вышеуказанных смесей происходит при более высоких температурах, например, 180°С. Предложенный нами катализатор дает возможность внести его в систему на стадии подготовки композиции, тем самым сделать эти композиции однокомпонентными вплоть до окончательного отверждения, что очень удобно для их дальнейшего использования.
Следует отметить, что свежеприготовленная композиция, в отличие от выдержанной в течение недели, отверждается не полностью при 180°С за 30 мин. Возможно, с течением времени происходит частичная переориентация Pt(0) от силоксановых групп на CH2=CH-группы, находящиеся в составе силиконовых каучуков по реакции (11). Образующийся смешанный комплекс и участвует в дальнейшем в реакции гидросилилирования с ≡SiH-группой гидридсодержащих силиконов.
Такую же высокую активность проявлял катализатор, приготовленный из триметилсилилсиликата и Pt(0), выделенной после дегидроконденсации фенил(метил)силанов катализатором Спайера [26].
ВЫВОДЫ
1. Методами спектроскопии 1Н, 13С, 29Si ЯМР и ГЖХ установлено, что в системе H2PtCl6 · 6H2O–1,1,3,3-тетраметил-1,3-дивинилдисилоксан в присутствии этанола протекают следующие взаимосвязанные процессы:
– восстановление H2PtCl6 · 6H2O этанолом: Pt(IV) → Pt(II) → Pt(0) с выделением HCl, как показано в работе [1];
– гидрохлорирование винильных групп в 1,1,3,3-тетраметил-1,3-дивинилдисилоксане с превращением их в β-хлорэтильные;
– элиминирование β-хлорэтильных групп с образованием этилена и диметилхлорсиланов;
– гидролитическая поликонденсация диметилхлорсиланов до диметилциклосилоксанов;
– перестраивание силоксановой цепи в диметилсилоксанах.
2. Подтверждено, что комплексы Pt(0) являются наиболее перспективными катализаторами гидросилилирования, отличающимися высокой стабильностью.
3. Предположено, что наноразмерная Pt(0), полученная восстановлением H2PtCl6 · 6H2O этанолом, образует с триметилсилилсиликатом устойчивый комплекс, являющийся эффективным катализатором гидросилилирования при высоких температурах.
Список литературы
Климова Н.В., Иванов А.Г., Лебедев А.В., Стороженко П.А. // Докл. РАН. 2022. Т. 504. № 1. С. 29–33. https://doi.org/10.31857/S2686953522100041
Nyholm R.S. // Proc. Chem. Soc. 1961. P. 273–320. https://doi.org/10.1039/PS9610000273
Clark D.T., Adams D.B. // Chem. Communs. 1971. P. 602–604. https://doi.org/10.1039/c29710000602
Willing D.N. Catalysts for the Reaction of ≡SiH with Organic Compounds Containing Aliphatic Unsaturation. Patent USA № 3419593. 1968.
Karstedt B.D. Platinum Complexes of Unsaturated Siloxanes and Platinum Containing Organopolysiloxanes. Patent USA № 3775452. 1973.
Karstedt B.D. Platinum Complexes of Unsaturated Siloxanes and Platinum Containing Organopolysiloxanes. Patent USA № 3814730. 1974.
Lewis L.N., Colborn R.E., Grade H., Bryant G.L., Sumper C.A., Scott R.A. // Organometallics. 1995. V. 14. P. 2202–2213. https://doi.org/10.1021/om00005a021
Odian G. Principles of Polymerization. Wiley: New York, 1981. P. 549.
Wagner G.H., Bailey D.L., Pines A.N., Dunham M.L., McIntira D.B. // Ind. Eng. Chem. 1953. V. 45. № 2. P. 367–374. https://doi.org/10.1021/ie50518a036
Sommer L.H., Bailey D.L., Whitmore F.C. // J. Am. Chem. Soc. V. 76. P. 1613–1618. https://doi.org/10.1021/ja01635a044
Lewis L.N., Stein J., Gao Y., Colborn R.E., Hutchins G. // Platinum Metals Rev. 1997. V. 41. P. 66–75.
Глинка Н.Л. Общая химия. Л.: Химия, 1976. С. 690.
Lewis L.N., Lewis N., Uriarte R.J. // Adv. Chem. 1992. P. 541–549. https://doi.org/10.102/ba-1992-0230.ch037
Lewis L.N., Lewis N. // Chem. Mater. 1989. V. 1. P. 106–114. https://doi.org/10.1021/cm00001a021
Marko I.E., Sterin S., Buisine O., Mignani G., Branlard P., Tinant B., Declercq J.P. // Science. 2002. V. 298. P. 204–206. https://doi.org/10.1126/science.1073338
Galeandro-Diamant T., Zanota M.L., Sayah R., Veyre L., Nikitine C., De Bellefon C., Marrot S., Meille V., Thieuleux C. // Chem. Commun. 2015. V. 51. P. 16194–16196. https://doi.org/10.1039/C5CC05675F
Miao Q.J., Fang Z.P., Cai G.P. // Catal. Commun. 2003. V. 4. № 12. P. 637–639. https://doi.org/10.1016/j.catcom.2003.10.006
Ondar E.E., Burykina J.V., Ananikov V.P. // Catal. Sci. Technol. 2022. 12. P. 1173–1186. https://doi.org/10.1039/D1CY02006D
Chandra G., Lo P.Y., Hitchcock P.B., Lappert M.F. // Organomet. 1987. V. 6. P. 191–192. https://doi.org/10.1021/om00144a036
Hitchcock P.B., Lappert M.F., Warhurst N.J.W. // Angew. Chem., Int. Ed. 1991. V. 30. № 4. P. 438–440. https://doi.org/anie.199104381
Копылов В.М., Хананашвили Л.М., Школьник О.В., Иванов А.Г. // ВМС. Сер. А. 1995. Т. 37. № 3. С. 394–416.
Спектральная база данных органических соединений SDBS. // https://sdbs.db.aist.go.jp/sdbs. (ссылка активна на 20.06.2022)
Воронков М.Г., Пухнаревич В.Б. // Изв. АН СССР. Сер. хим. 1982. № 5. С. 1056–1076.
Соммер Л. Стереохимия и механизмы реакций кремнийорганических соединений. Пер. с англ. под ред. В.М. Потапова. М.: Мир, 1966. 190 с.
Howard I.A.K. // Acta Cryst. 1982. V. 38. P. 2896–2898. https://doi.org/S0567740882010255
Климова Н.В., Иванов А.Г., Лебедев А.В., Грачёв А.А., Кузнецова М.Г., Стороженко П.А. // Химия и технология органических веществ. 2020. Т. 16. № 4. С. 4–14. https://doi.org/10.54468/25876724_2020_4_4
Дополнительные материалы отсутствуют.
Инструменты
Доклады Российской академии наук. Химия, науки о материалах














