Доклады Российской академии наук. Химия, науки о материалах , 2022, T. 506, № 1, стр. 57-64
Иридий-содержащие катализаторы нейтрализации автомобильных выхлопов
А. А. Ведягин 1, *, В. О. Стояновский 1, Р. М. Кенжин 1, П. Е. Плюснин 2, Ю. В. Шубин 2
1 ФГБУН “Федеральный исследовательский центр “Институт катализа им. Г.К. Борескова
Сибирского отделения Российской академии наук”
630090 Новосибирск, Россия
2 ФГБУН Институт неорганической химии
им. А.В. Николаева Сибирского отделения
Российской академии наук
630090 Новосибирск, Россия
* E-mail: vedyagin@catalysis.ru
Поступила в редакцию 06.07.2022
После доработки 26.07.2022
Принята к публикации 25.08.2022
- EDN: LIMDIT
- DOI: 10.31857/S2686953522600477
Аннотация
Изучена возможность частичной замены родия в составе биметаллических палладий-родиевых наночастиц, выступающих в роли активных центров трехмаршрутных катализаторов, на иридий. Триметаллические сплавные частицы Pd–Ir–Rh получены термолизом твердого раствора двойных комплексных солей, содержащих палладий и второй металл (иридий или родий), в восстановительных условиях. Установлено, что все три металла равномерно распределены по объему образцов катализатора в местах локализации сплавных наночастиц. Полученные образцы триметаллического катализатора по термической стабильности не уступают биметаллическому катализатору Pd–Rh / γ-Al2O3 при условии вхождения иридия в состав активного кластера в виде ионов Ir3+. Частичная замена родия на иридий предполагает снижение стоимости нового материала.
ВВЕДЕНИЕ
Глобальная автомобилизация населения стран мира привела к существенному росту количества автомобилей. Так, только за последние 50 лет годовой объем производства легковых автомобилей с двигателями внутреннего сгорания увеличился более чем на 70 млн единиц [1]. Столь бурное развитие автомобильной отрасти обеспечило автотранспорту лидирующие позиции по объемам эмиссии загрязняющих веществ в атмосферу, превышающим объемы отходящих газов химических производств и предприятий топливно-энергетического комплекса [2]. С целью предотвращения глобальной экологической катастрофы в начале 90-х годов прошлого века страны Евросоюза ввели систему нормирования отходящих газов автотранспорта, определяющую предельно допустимое содержание в них токсичных веществ. В связи с этим для снижения концентрации таких веществ и удовлетворения регламентированных норм в выхлопную систему автомобилей начали устанавливать каталитические нейтрализаторы.
Катализаторы, используемые в случае бензиновых двигателей внутреннего сгорания, получили название трехмаршрутных катализаторов, основная задача которых заключается в превращении основных токсичных компонентов выхлопа – монооксида углерода и несгоревших углеводородов (окисление) и оксидов азота (восстановление) [3–6]. Трехмаршрутные катализаторы традиционно содержат в своем составе металлы платиновой группы [7–9], нанесенные на вторичный носитель (оксидная композиция на основе оксидов церия, циркония и алюминия), который, в свою очередь, закреплен на монолитном блоке сотовой структуры. Платина и палладий, благодаря их высокой активности в окислительных и восстановительных реакциях, используются в качестве основных активных компонентов. Следует отметить, что предпочтение в пользу того или иного металла при массовом производстве автомобильных конвертеров отдается исходя из их текущей стоимости и мирового спроса на эти металлы. Поскольку в течение длительного времени стоимость платины существенно превосходила стоимость палладия, многие исследовательские коллективы и промышленные производители сконцентрировались на разработке каталитических композиций, содержащих только палладий [10–13]. Как оказалось, палладий, обладая высокой начальной активностью, склонен к быстрой дезактивации в жестких условиях работы каталитического конвертера [14–16]. Среди множества подходов, предлагаемых для решения данной проблемы, можно выделить два основных: модификация оксидной композиции с целью улучшения ее стабилизирующей функции и допирование палладия другим металлом для предотвращения дезактивационных процессов. По второму направлению многообещающие результаты получены при использовании родия – сплавные Pd–Rh-частицы демонстрируют высокую активность и термическую стабильность [17, 18]. Следует также отметить, что основная функция родия в составе трехмаршрутных катализаторов заключается в восстановлении оксидов азота [19]. К настоящему моменту, по причине ценовых колебаний на рынке благородных металлов, стоимость родия почти в 8 раз превышает стоимость палладия. В связи с этим особую актуальность приобретает поиск альтернативных металлов, способных полностью или частично заменить родий в составе биметаллических Pd–Rh трехмаршрутных катализаторов.
В настоящей работе рассмотрены перспективы полной или частичной замены родия иридием, стоимость которого почти в 4 раза ниже стоимости родия. Несмотря на то что исследования каталитической активности иридия в окислении CO начаты более 30 лет назад [20], к настоящему моменту в открытой печати опубликовано лишь несколько работ, посвященных использованию иридия в составе трехмаршрутных катализаторов [21, 22].
В данном исследовании би- и триметаллические системы синтезировали пропиткой носителя растворами соответствующих комплексных солей, содержащих палладий, иридий и родий в требуемом соотношении. Приготовленные образцы исследовали методами сканирующей и просвечивающей микроскопии, а также методом электронной спектроскопии диффузного отражения. Каталитические свойства образцов тестировали в условиях форсированного термического старения. Для оценки стабильности работы образцов в каталитических циклах контролировали концентрацию монооксида углерода.
ЭКСПЕРИМЕНТАЛЬНАЯ ЧАСТЬ
В качестве исходных материалов для синтеза образцов катализаторов в работе использовали оксид алюминия γ-Al2O3 (Sasol, Германия), металлический палладий (ОАО “Красцветмет”, Россия), хлориды иридия и родия (IrCl4 · nH2O, RhCl3 · nH2O, ОАО “Красцветмет”, Россия), NaNO2 (ч. д. а.), ацетон (ос. ч.), этанол (ректификат), аммиак водный (ос. ч.), азотную кислоту (ос. ч.) и дистиллированную воду.
Методики синтезов двойных комплексных солей [Pd(NH3)4]3[Rh(NO2)6]2 и [Pd(NH3)4]3[Ir(NO2)6]2 детально описаны в работах [23, 24]. Суть методики состоит в следующем. К водному раствору [Pd(NH3)4](NO3)2 при тщательном перемешивании добавляли водный раствор Na3[Ir(NO2)6] или Na3[Rh(NO2)6]. Охлаждение раствора на ледяной бане до 10°C приводило к выпадению светло-желтого осадка, который отфильтровывали, промывали ацетоном и высушивали на воздухе.
Для синтеза твердых растворов [Pd(NH3)4]3[Ir(NO2)6]2х[Rh(NO2)6]2 – 2х водный раствор [Pd(NH3)4](NO3)2 смешивали с водным раствором смеси Na3[Ir(NO2)6] и Na3[Rh(NO2)6] с заданным мольным соотношением.
Образцы биметаллических катализаторов Pd–Ir/γ-Al2O3 готовили пропиткой носителя водным раствором [Pd(NH3)4]3[Ir(NO2)6]2 с последующей сушкой в сушильном шкафу в течение 12 ч при 105°C и прокаливанием в течение 1 ч в потоке 10 об. % H2 в аргоне (скорость потока – 30 мл мин–1) при 550°C. Образцы триметаллических катализаторов Pd–Rh–Ir/γ-Al2O3 готовили аналогично пропиткой носителя водным раствором [Pd(NH3)4]3[Ir(NO2)6]2х[Rh(NO2)6]2 – 2х. Монометаллический образец сравнения синтезировали пропиткой носителя водным раствором Na3[Ir(NO2)6]. Суммарное содержание благородных металлов во всех образцах составляло 0.2 мас. %. Химический состав синтезированных образцов анализировали атомно-эмиссионным методом на спектрометре iCAP-6500 (Thermo Scientific, США).
Массивные биметаллические и триметаллические частицы наносплавов изучали при помощи аналитического комплекса сканирующей электронной двухлучевой микроскопии TESCAN SOLARIS S9251G (TESCAN, Чехия). Съемку микроснимков проводили при энергии электронного пучка 20 кэВ.
Структуру образцов катализаторов исследовали методом просвечивающей электронной микроскопии высокого разрешения (ПЭМВР) на двухкорректорном просвечивающем электронном микроскопе ThemisZ (Thermo Fisher Scientific, США) c ускоряющим напряжением 200 кВ. Прибор оснащен энергодисперсионным спектрометром рентгеновского характеристического излучения (EDX) SuperX (Thermo Fisher Scientific, США) с полупроводниковым Si-детектором с разрешением по энергии 128 эВ.
Электронные спектры диффузного отражения снимали в диапазоне длин волн 190–850 нм на спектрофотометре UV-VIS 2501 PC (Shimadzu, Япония) с приставкой диффузного отражения IRS-250A. Съемку спектров проводили в условиях атмосферы воздуха и естественной влажности образцов при 20°C относительно исходного носителя γ-Al2O3, прокаленного при тех же условиях, что и исследуемый образец. Для представления спектров использовали функцию Кубелки–Мунка F(R) [25].
Каталитические испытания образцов проводили на установке проточного типа. Навеску катализатора (300 мг) помещали в кварцевый реактор. В реактор подавали реакционную смесь, состав которой представлен в табл. 1. Скорость потока составляла 334 мл мин–1. Каждый образец подвергали семи циклам нагрева/охлаждения в режиме форсированного термического старения [26]. Для этого температуру реактора повышали со скоростью 10°C мин–1 от 50 до 320°C (циклы I–II), 600°C (циклы III–IV) и 800°C (циклы V–VII). Как показано ранее, при таких реакционных условиях не происходят фазовые переходы носителя γ-Al2O3 [18, 26]. Повышение конечной температуры каталитического цикла позволяло фиксировать изменения каталитической активности образцов в результате высокотемпературного воздействия. В качестве меры активности использовали температуру пятидесятипроцентного превращения монооксида углерода (T50). Концентрацию CO на выходе из реактора контролировали при помощи газового анализатора ULTRAMAT 6 (Siemens, Германия).
ОБСУЖДЕНИЕ РЕЗУЛЬТАТОВ
Как показано в ранее опубликованных работах [26, 27], каталитическая активность и термическая стабильность биметаллических Pd–Rh-образцов существенно зависят от соотношения металлов, характера их взаимодействия между собой и с носителем. В случае низкопроцентных образцов (0.2 мас. %), оптимальным соотношением металлов Pd : Rh является 3 : 2, причем наночастицы должны быть сплавного типа. Раздельное нанесение металлов в таком же соотношении не приводит к повышению термической стабильности катализаторов: палладий мигрирует по поверхности носителя и агломерируется в крупные частицы, а родий диффундирует в объем носителя, где необратимо инкапсулируется. Чтобы сформировать на поверхности носителя стабильные сплавные наночастицы заданного состава необходимо на стадии пропитки носителя обеспечить нахождение в локализованном месте нужного количества атомов металлов в требуемом соотношении. Выполнить такое условие можно при использовании комплексных соединений в качестве солей-предшественников. Поэтому на первом этапе исследования были определены оптимальные условия синтеза сплавных биметаллических Pd–Ir- и триметаллических Pd–Ir–Rh-наночастиц. Ввиду относительно легкой окисляемости исследуемых металлов, получить металлические наносплавы можно только при термолизе комплексных соединений в восстановительной среде [24]. В этом случае формирование сплавов подтверждается рентгенофазовым анализом. Синтезируемые по данной методике массивные сплавные частицы являются пористыми материалами, причем их текстура и морфология зависят от химического состава (рис. 1).
Рис. 1.
Морфология сплавных наночастиц Pd3Ir2 (а) и Pd3(Ir6Rh4)2 (б). Данные сканирующей электронной микроскопии.

Отдельная задача состоит в формировании сплавных наночастиц на поверхности носителя. Как продемонстрировано ранее, сорбция комплексных солей и последующее образование наночастиц сплава происходит преимущественно на дефектах носителя – электрон-донорных центрах [26, 28, 29]. Ввиду низкого содержания нанесенных металлов морфология катализаторов представлена морфологией исходного носителя γ-Al2O3 (рис. 2). Согласно результатам элементного картирования, представленным на рис. 3, палладий, родий и иридий распределены равномерно в местах локализации наночастиц, что позволяет сделать предположение об их нахождении в форме сплава. Подтвердить данное предположение рентгенофазовыми методами не представляется возможным по причине низкой концентрации металлов.
Рис. 2.
Морфология катализатора Pd3(Ir6Rh4)2 / γ-Al2O3. Данные просвечивающей электронной микроскопии.

Рис. 3.
Элементное картирование катализатора Pd3(Ir6Rh4)2 / γ-Al2O3. Данные просвечивающей электронной микроскопии.

На рис. 4 сопоставлены температурные зависимости конверсии CO в третьем и седьмом каталитических циклах для исследуемых образцов. Цикл III соответствует состоянию катализаторов, подвергнутых низкотемпературному (320°C) воздействию реакционной среды (рис. 4а). Видно, что монометаллический образец сравнения Ir / γ-Al2O3 проявляет значительно более низкую активность при данных реакционных условиях – параметр Т50 составляет 370°C. Активность би- и триметаллических образцов различается не столь существенно – значения Т50 укладываются в интервал 260–272°C. По данному параметру образцы можно расположить в следующий ряд: Ir / γ-Al2O3 (T50 = 370°C) $ \gg $ Pd3Ir2 / γ-Al2O3 (T50 = = 273°C) > Pd3(Ir8Rh2)2 / γ-Al2O3 (T50 = 270°C) ≈ ≈ Pd3(Ir6Rh4)2 / γ-Al2O3 (T50 = 270°C) > > Pd3(Ir4Rh6)2 / γ-Al2O3 (T50 = 263°C) > > Pd3(Ir2Rh8)2 / γ-Al2O3 (T50 = 260°C). Таким образом, наблюдается тенденция снижения каталитической активности по мере увеличения доли иридия в составе катализатора.
Рис. 4.
Температурные зависимости конверсии CO для серии Pd-Ir-Rh / γ-Al2O3 катализаторов и образцов сравнения Pd–Ir / γ-Al2O3 и Ir / γ-Al2O3: (а) каталитический цикл III (температурный интервал 50–600°C); (б) каталитический цикл VII (температурный интервал 50–800°C).

Следует отметить, что наибольший интерес представляет поведение каталитической системы после высокотемпературных обработок. На рис. 4б показаны аналогичные зависимости для образцов после их контакта с реакционной средой при 800°C. Для всех образцов наблюдается снижение активности в результате термического старения. При этом экспериментальные кривые би- и триметаллических образцов сгруппировались, сформировав следующий ряд активности катализаторов: Ir / γ-Al2O3 (T50 = 397°C) $ \gg $ Pd3Ir2 / γ-Al2O3 (T50 = 287°C) ≈ Pd3(Ir8Rh2)2 / γ-Al2O3 (T50 = 286°C) ≈ ≈ Pd3(Ir6Rh4)2 / γ-Al2O3 (T50 = 286°C) > > Pd3(Ir4Rh6)2 / γ-Al2O3 (T50 = 277°C) ≈ ≈ Pd3(Ir2Rh8)2 / γ-Al2O3 (T50 = 277°C). На основании данного ряда можно сделать вывод о том, что порядка 40% родия в составе катализатора Pd3Rh2 / γ-Al2O3 можно заменить на более дешевый иридий без существенной потери активности и стабильности.
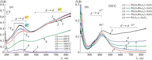
Одними из наиболее информативных методов оценки состояния металлов в составе низкопроцентных трехмаршрутных катализаторов и их термической стабильности являются оптические методы [30]. В частности, метод электронной спектроскопии диффузного отражения позволяет оценить дисперсность металлов и их зарядовое состояние. На рис. 5а представлены спектры монометаллического образца сравнения Ir / γ-Al2O3 после прокаливания на воздухе в интервале температур 550–1200°C. Спектры соответствуют оксидным частицам IrO2 с поглощением на свободных носителях и внутризонными d–d-переходами при длинах волн более 500 нм и межзонными p–d-переходами с уровней p кислорода на d уровни металла при длинах волн короче 413 нм. Эволюция спектров поглощения при увеличении температуры прокаливания, сопровождающаяся быстрым уменьшением интенсивности поглощения IrO2 при температуре 1000°C и выше, указывает на диффузию иридия в объем носителя в виде ионов Ir3+. Об этом свидетельствует наблюдаемый спектр поглощения, характерный для ионов Ir3+ (5d 6), занимающих низкоспиновые октаэдрические позиции в Al2O3, с полосами d–d-переходов 1A1g → 1T1g, 1T2g при 372 и 279 нм. Следует отметить, что при 200 нм можно наблюдать только край полосы переноса заряда. При температуре прокаливания 1200°C в α-Al2O3 происходит небольшое смещение полос d–d-переходов 1T1g, 1T2g в область коротких длин волн, что характерно и для ионов Rh3+ при переходе от низкотемпературных фаз Al2O3 к корунду. По перестройке полосы поглощения в области 250–400 нм можно предположить, что начало процесса диффузии происходит при температуре 800°C. Еще одним отличием от сходных процессов диффузии Rh3+ в объем Al2O3 [30], помимо более высокой температуры начала диффузии, является укрупнение частиц IrO2 при температуре 800°C.
Рис. 5.
Электронные спектры диффузного отражения для монометаллического образца сравнения Ir / γ-Al2O3 после прокаливания на воздухе при различных температурах (а) и серии би-/триметаллических образцов, прокаленных при 550°C (б).

Электронные спектры диффузного отражения для серии би-/триметаллических образцов в исходном состоянии (температура прокаливания) представлены на рис. 5б. Спектр биметаллического образца Pd–Ir / γ-Al2O3 качественно описывается суммой реперных спектров поглощения монометаллических образцов Pd / γ-Al2O3 и Ir / γ-Al2O3. Для образца Pd3(Ir2Rh8)2 / γ-Al2O3, содержащего максимальное количество родия, спектр в точности повторяет ранее наблюдаемый спектр для Pd3Rh2 / γ-Al2O3, характеризующийся полосами поглощения d–d-переходов Pd2+ примерно при 420 нм и d–d-переходов ионов Rh3+ примерно при 418 и 345 нм. Все это дает основание предположить, что в случае триметаллического образца Pd3(Ir2Rh8)2 / γ-Al2O3 иридий находится в состоянии Ir3+, а в случае биметаллического образца Pd3Ir2 / γ-Al2O3 – в виде Ir4+, аналогично монометаллическому образцу Ir / γ-Al2O3 (рис. 5а). Таким образом, взаимодействие ионов триметаллического кластера и носителя приводит к смене зарядового состояния одного из ионов. По мере увеличения содержания иридия в образце данный эффект ослабляется и триметаллическая система по состоянию металлов стремится к Pd3Ir2 / γ-Al2O3. Нахождение иридия в виде ионов Ir3+ в образцах Pd3(Ir4Rh6)2 / γ-Al2O3 и Pd3(Ir2Rh8)2 / γ-Al2O3, по всей видимости, определяет высокую активность и стабильность этих катализаторов.
ЗАКЛЮЧЕНИЕ
Применение сплавных наночастиц на основе благородных металлов в качестве активных центров в составе трехмаршрутных катализаторов позволяет существенно повысить их термическую стабильность и продлить срок эксплуатации каталитических конвертеров, ответственных за нейтрализацию отходящих газов двигателей внутреннего сгорания. Показана возможность полной или частичной замены родия в составе зарекомендовавших себя низкопроцентных катализаторов Pd–Rh / γ-Al2O3 на иридий, стоимость которого практически в 4 раза ниже стоимости родия. Для приготовления триметаллических сплавных наночастиц был использован метод термолиза солей-предшественников в восстановительной атмосфере. Найдены оптимальные соотношения неорганических комплексных соединений палладия, иридия и родия, входящих в состав солей-предшественников. Установлено, что в результате пропитки носителя (γ-Al2O3) водным раствором соли-предшественника на его поверхности формируются частицы нанометрового размера, содержащие все три металла.
Показано, что монометаллический иридиевый катализатор проявляет существенно более низкую активность в реакции окисления CO, по сравнению с палладий-содержащими композициями. Увеличение содержания иридия в составе триметаллического катализатора Pd–Ir–Rh / γ-Al2O3 либо полная замена родия на иридий также снижает активность образцов. Эффект повышения термической стабильности наблюдался только для образов с соотношениями Ir : Rh, равными 1 : 4 и 2 : 3, что соответствует содержанию иридия в катализаторе 0.016 и 0.032 мас. %. По данным электронной спектроскопии диффузного отражения, повышение стабильности и более высокая активность этих образов связаны с нахождением части иридия в виде ионов Ir3+, тогда как для монометаллического образца сравнения Ir / γ-Al2O3 основным состоянием иридия являются ионы Ir4+. Таким образом, полученные результаты демонстрируют перспективность применения иридия в составе трехмаршрутных катализаторов с целью снижения их себестоимости.
Список литературы
Матушевич О.В., Фадейкина Н.В. // Экономические исследования и разработки. 2019. № 4. С. 45–62.
Popa M.E., Vollmer M.K., Jordan A., Brand W.A., Pathirana S.L., Rothe M., Röckmann T. // Atmospheric Chem. Phys. 2014. V. 14. № 4. P. 2105–2123. https://doi.org/10.5194/acp-14-2105-2014
Taylor K.C. Automobile Catalytic Converters. In: Anderson J.R., Boudart M. (eds). Catalysis. Springer, Berlin, Heidelberg, 1984. V. 5. P. 119–170. https://doi.org/10.1007/978-3-642-93247-2_2
Shelef M., McCabe R.W. // Catal. Today. 2000. V. 62. № 1. P. 35–50. https://doi.org/10.1016/s0920-5861(00)00407-7
Kašpar J., Fornasiero P., Hickey N. // Catal. Today. 2003. V. 77. № 4. P. 419–449. https://doi.org/10.1016/s0920-5861(02)00384-x
Twigg M.V. // Philos. Trans. Royal Soc. A. 2005. V. 363. № 1829. P. 1013–1033. https://doi.org/10.1098/rsta.2005.1547
Zheng T., He J., Zhao Y., Xia W., He J. // J. Rare Earths. 2014. V. 32. № 2. P. 97–107. https://doi.org/10.1016/s1002-0721(14)60038-7
Burch R., Breen J.P., Meunier F.C. // Appl. Catal. B. 2002. V. 39. № 4. P. 283–303. https://doi.org/10.1016/s0926-3373(02)00118-2
Seriani N., Mittendorfer F. // J. Phys. Condens. Matter. 2008. V. 20. № 18. P. 184023. https://doi.org/10.1088/0953-8984/20/18/184023
Han Z., Wang J., Yan H., Shen M., Wang J., Wang W., Yang M. // Catal. Today. 2010. V. 158. № 3–4. P. 481–489. https://doi.org/10.1016/j.cattod.2010.07.020
Li G., Wang Q., Zhao B., Zhou R. // Fuel. 2012. V. 92. № 1. P. 360–368. https://doi.org/10.1016/j.fuel.2011.07.028
Lan L., Chen S., Cao Y., Gong M., Chen Y. // Catal. Sci. Technol. 2015. V. 5. № 9. P. 4488–4500. https://doi.org/10.1039/c5cy00612k
Lan L., Chen S., Li H., Wang J., Li D., Chen Y. // Mater. Des. 2018. V. 147. P. 191–199. https://doi.org/10.1016/j.matdes.2018.03.041
Vedyagin A.A., Volodin A.M., Stoyanovskii V.O., Mishakov I.V., Medvedev D.A., Noskov A.S. // Appl. Catal. B. 2011. V. 103. № 3–4. P. 397–403. https://doi.org/10.1016/j.apcatb.2011.02.002
Birgersson H., Boutonnet M., Jaras S., Eriksson L. // Top. Catal. 2004. V. 30–1. № 1–4. P. 433–437. https://doi.org/10.1023/B:TOCA.0000029786.49989.aa
Zheng Q., Farrauto R., Deeba M. // Catalysts. 2015. V. 5. № 4. P. 1797–1814. https://doi.org/10.3390/catal5041797
Vedyagin A.A., Gavrilov M.S., Volodin A.M., Stoyanovskii V.O., Slavinskaya E.M., Mishakov I.V., Shu-bin Y.V. // Top. Catal. 2013. V. 56. № 11. P. 1008–1014. https://doi.org/10.1007/s11244-013-0064-8
Vedyagin A.A., Volodin A.M., Stoyanovskii V.O., Kenzhin R.M., Slavinskaya E.M., Mishakov I.V., Plyusnin P.E., Shubin Y.V. // Catal. Today. 2014. V. 238. P. 80–86. https://doi.org/10.1016/j.cattod.2014.02.056
Shelef M., Graham G.W. // Catal. Rev. 1994. V. 36. № 3. P. 433–457. https://doi.org/10.1080/01614949408009468
Berlowitz P.J., Peden C.H.F., Goodman D.W. // J. Phys. Chem. 1988. V. 92. № 18. P. 5213–5221. https://doi.org/10.1021/j100329a030
Haneda M., Kaneko T., Kamiuchi N., Ozawa M. // Catal. Sci. Technol. 2015. V. 5. № 3. P. 1792–1800. https://doi.org/10.1039/c4cy01502a
Rood S., Eslava S., Manigrasso A., Bannister C. // Proc IMechE Part D: J. Automobile Engineering. 2020. V. 234. № 4. P. 936–949. https://doi.org/10.1177/0954407019859822
Rybinskaya A.A., Plyusnin P.E., Bykova E.A., Gromilov S.A., Shubin Y.V., Korenev S.V. // J. Struct. Chem. 2012. V. 53. № 3. P. 527–533. https://doi.org/10.1134/s002247661203016x
Гладышева М.В., Плюснин П.Е., Шубин Ю.В., Ведягин А.А., Коренев С.В. // Журн. неорг. химии. 2022. Т. 67. С. 1041–1049. https://doi.org/10.31857/S0044457X2208013X
Boehm H.P., Knözinger H. In: Anderson J.R., Boudart M. (eds.) Catalysis-Science and Technology. Berlin: Springer-Verlag, Berlin, Heidelberg, New York, 1983. pp. 39–209.
Vedyagin A.A., Volodin A.M., Kenzhin R.M., Stoyanovskii V.O., Shubin Y.V., Plyusnin P.E., Mishakov I.V. // Catal. Today. 2017. V. 293–294. P. 73–81. https://doi.org/10.1016/j.cattod.2016.10.010
Vedyagin A.A., Stoyanovskii V.O., Plyusnin P.E., Shu-bin Y.V., Slavinskaya E.M., Mishakov I.V. // J. Alloys Compd. 2018. V. 749. P. 155–162. https://doi.org/10.1016/j.jallcom.2018.03.250
Vedyagin A.A., Plyusnin P.E., Rybinskaya A.A., Shu-bin Y.V., Mishakov I.V., Korenev S.V. // Mater. Res. Bull. 2018. V. 102. P. 196–202. https://doi.org/10.1016/j.materresbull.2018.02.038
Vedyagin A.A., Shubin Y.V., Kenzhin R.M., Plyusnin P.E., Stoyanovskii V.O., Volodin A.M. // Top. Catal. 2018. V. 62. № 1–4. P. 305–314. https://doi.org/10.1007/s11244-018-1093-0
Stoyanovskii V.O., Vedyagin A.A., Volodin A.M., Ken-zhin R.M., Slavinskaya E.M., Plyusnin P.E., Shubin Y.V. // Top. Catal. 2018. V. 62. № 1–4. P. 296–304. https://doi.org/10.1007/s11244-018-1112-1
Дополнительные материалы отсутствуют.
Инструменты
Доклады Российской академии наук. Химия, науки о материалах


