Доклады Российской академии наук. Химия, науки о материалах , 2022, T. 507, № 1, стр. 59-67
Электроактивные материалы на основе палладия для экологического катализа
Н. А. Фаддеев 1, А. Б. Куриганова 1, И. Н. Леонтьев 2, Н. В. Смирнова 1, *
1 Южно-Российский государственный политехнический университет (НПИ) им. М.И. Платова
346428 Новочеркасск, Россия
2 Южный федеральный университет
344090 Ростов-на-Дону, Россия
* E-mail: smirnova_nv@mail.ru
Поступила в редакцию 01.07.2022
После доработки 01.09.2022
Принята к публикации 12.09.2022
- EDN: HLIFBO
- DOI: 10.31857/S2686953522600441
Аннотация
Предложен и обоснован способ получения электроактивных материалов на основе палладия путем электрохимического диспергирования палладия под действием переменного импульсного тока. Методами термогравиметрии, UV-vis-спектроскопии, рентгенофлуоресцентного и рентгенофазового анализов, просвечивающей электронной микроскопии исследовано влияние природы электролита на состав и микроструктурные характеристики палладийсодержащих катализаторов. Рассмотрена совокупность наиболее вероятных химических и электрохимических процессов, протекающих при воздействии переменного импульсного тока и обусловливающих формирование наноразмерных частиц Pd и PdO. Исследовано влияние параметров синтеза и природы электролита на активность полученных катализаторов. Показано, что электрокаталитическая активность Pd–PdO/C-материалов в реакции окисления этанола в щелочной среде определяется наличием оксидной фазы в составе катализатора и размером частиц палладия – она максимальна для материалов с незначительным преобладанием PdO и размерами частиц палладия более 10 нм. Для процесса окисления муравьиной кислоты в кислой среде более активными оказались катализаторы с минимальным содержанием оксидной фазы, что обусловлено различиями механизмов окисления муравьиной кислоты и этанола.
ВВЕДЕНИЕ
Катализаторы на основе палладия широко применяются в органической химии [1]. Каталитической активностью обладают как чистый (металлический палладий) Pd0 [2], соли палладия [3], так и различные комплексы на основе Pd [4]. В электрохимии палладий представляет интерес, в первую очередь, благодаря способности сорбировать большие объемы водорода и формировать стабильные оксидные формы, а также высокой эффективности в качестве катализатора электролитического получения водорода [5]. Кроме того, в электрохимии органических соединений наночастицы Pd, осажденные на поверхность инертного носителя, известны как катализаторы процессов электроокисления метанола, этанола, муравьиной кислоты (МК), не уступающие по своей эффективности традиционному для этих процессов катализатору – платине [6–8]. Материалы на основе наночастиц PdO или Pd–PdO, нанесенные на оксиды металлов, интенсивно исследуются в качестве катализаторов для окисления СО [9] и метана [10], а также сенсоров на СО [11], водород [12], метан [13], пероксид водорода [14] и т.д.
В связи с развитием технологий водородной энергетики все больший интерес вызывают топливные элементы (ТЭ) с прямым окислением жидкого топлива. Одним из перспективных топлив является этанол, характеризующийся высокой плотностью энергии (5100–5800 Вт час л–1), простотой хранения и транспортировки [15–17]. Кроме того, этанол является возобновляемым топливом, технологии получения которого из растительного сырья уже развиты. Однако этанол трудно окисляется в кислых средах, поэтому этанольные топливные элементы с протонообменной полимерной мембраной характеризуются относительно низкими удельными параметрами. В щелочной среде перенапряжение окисления этанола существенно ниже, что обусловливает бóльшую эффективность использования этанола в щелочных топливных элементах [18].
Не менее интересны топливные элементы прямого окисления муравьиной кислоты, которые имеют более высокое напряжение разомкнутой цепи (1.450 В), по сравнению с водородными (1.229 В) и метанольными (1.190 В) топливными элементами. Несмотря на то что плотность энергии муравьиной кислоты (1725 Вт час л–1) составляет только 1/3 соответствующей величины для метанола (4780 Вт час л–1), в качестве топлива можно использовать высококонцентрированные растворы муравьиной кислоты, например, 15–20 М (70 мас. %), тогда как при окислении метанола используют более разбавленные растворы (до 3 М). Более низкий кроссовер муравьиной кислоты через мембрану и более высокие скорости электроокисления муравьиной кислоты, по сравнению с метанолом, обусловливают все нарастающий интерес к использованию муравьиной кислоты в топливных элементах.
Вне зависимости от типа ТЭ и используемого топлива все еще не решенным вопросом остается создание активных и устойчивых к отравлению и деградации катализаторов. Наиболее широко исследуются системы на основе платины [19], но для электроокисления этанола в щелочной среде [20] и муравьиной кислоты в кислой [21] катализаторы на основе палладия проявляют высокую активность и могут служить перспективной заменой Pt.
Как правило, методы получения наноструктур на основе наночастиц Pd основаны на подходе “снизу–вверх”, когда простые элементы (атомы, ионы или молекулы соединений-предшественников Pd) формируют системы со сложной структурой [22–24]. Для подавления дальнейшего роста и агломерации частиц Pd в процессе синтеза используются стабилизаторы дисперсности и структурообразующие агенты, которые могут загрязнять конечные каталитические материалы на основе наночастиц Pd. В качестве альтернативы традиционным химическим методам синтеза все чаще рассматриваются физические методы, основанные на лазерной абляции [25, 26]. Они являются одностадийными, не предполагают использования растворов химических реагентов и обеспечивают, как правило, достаточно равномерное распределение активных компонентов на поверхности катализатора, но не позволяют управлять структурой образующихся частиц.
Электрохимическое диспергирование металлов под действием переменного импульсного тока является эффективным методом синтеза наноструктур на основе наночастиц благородных металлов и оксидов металлов [27–30]. Данный подход к синтезу наноструктур характеризуется простотой технологического оформления, высокой скоростью получения конечного продукта, отсутствием необходимости использования поверхностно-активных веществ (ПАВ), добавляемых с целью предотвращения агломерации активных частиц, и применения органических растворителей для удаления ПАВ. Понимание фундаментальных основ процесса электрохимического диспергирования металлов позволило бы направленно влиять на микроструктурные и кристаллографические характеристики частиц благородных металлов и получать высокоэффективные каталитические системы с регулируемыми функциональными свойствами.
Ранее была показана возможность получения катализатора на основе палладия методом электрохимического диспергирования металлов под действием переменного импульсного тока в 2 M растворе NaCl [31]. В настоящей работе мы исследуем влияние природы электролита на состав и микроструктурные характеристики палладийсодержащих катализаторов, а также влияние этих факторов на электрокаталитическую активность полученных катализаторов в реакции электроокисления этанола в щелочной и муравьиной кислоты в кислой средах.
МЕТОДИКА ЭКСПЕРИМЕНТА
Для получения электроактивных материалов два Pd электрода одинаковой площади (10 см2) помещали в суспензию углеродного носителя Vulcan XC-72 в водных растворах солей с одинаковой концентрацией хлорид-ионов: 2 M NaCl, 2 M KCl, 2 M LiCl, 1 M BaCl2 или 1 M SrCl2. На Pd-электроды подавали переменный импульсный ток (ПИТ), средняя по периоду плотность тока 1 А см–2, коэффициент заполнения 0.25 (рис. 1а).
Рис. 1.
Характер переменного импульсного тока, используемого для диспергирования (а), и зависимость скорости накопления продуктов электрохимического диспергирования Pd от радиуса гидратированного катиона электролита (б).

Синтез вели при постоянном перемешивании (300 об. мин–1) и поддержании температуры электролита 45–50°C. Скорость диспергирования палладия определялась по убыли массы Pd-электродов после синтеза. Содержание металлической фазы в катализаторе регулировали продолжительностью синтеза, которая зависела от природы электролита. По окончании синтеза полученную суспензию катализатора фильтровали, многократно промывали бидистиллированной водой. Полученный катализатор сушили при 80°C до постоянной массы. Содержание палладия во всех материалах, определенное методом термогравиметрии с использованием термомикроанализатора STA 449 C Jupiter (Netzsch, Германия), составило 20 ± 0.2%.
Исследование электролита после синтеза осуществляли методом UV-vis-спектроскопии с использованием спектрофотометра Shimadzu UV-1800 (Япония). Содержание ионов палладия в электролите после синтеза определяли методом рентгенофлуоресцентного анализа на спектрометре ARL QUANT’X (Швейцария).
Микроскопические исследования образцов катализаторов проводили с помощью просвечивающей электронной микроскопии (ПЭМВР) (Hitachi).
Рентгеноструктурные исследования проводили на порошковом дифрактометре, работающим при 40 кВ/30 мА с использованием излучения CuKα1, α2_. Угловой диапазон 2θ = 30°–135°, скорость развертки 0.18 град. мин–1, время накопления 5 с. Для определения функции инструментального разрешения использовали стандартный образец порошка LaB6 (NISTSRM660a). Структурные и микроструктурные характеристики синтезированного материала были получены с использованием метода уточнения Ритвельда с двумя наборами линейной комбинации сферических гармоник для класса Лауэ 4/mmm (PdO) и m3m (Pd). Фон моделировался полиномом 6 степени.
Все электрохимические исследования проводили в стандартной трехэлектродной электрохимической ячейке с помощью потенциостата П-45-Х (Элинс, Россия). Все значения потенциала, приведенные в данной работе, представлены в шкале обратимого водородного электрода (О.В.Э.). Для проведения адсорбционных и поляризационных измерений на рабочий электрод наносили каталитические чернила, представляющие собой раствор изопропилового спирта и 10 мас. % раствора Nafion® DE-1020 (Du Pont) с взвешенным в нем катализатором [32]. Электрохимически активную (ЭХАП) площадь поверхности катализаторов определяли методом окислительной десорбции CO [32]. Исследование электрокаталитических свойств проводили в растворах 0.5 M C2H5OH + 1M NaOH и 0.5 M HCOOH + + 0.5 M H2SO4 методом циклической вольтамперометрии в интервале потенциалов 0.05–1.3 В (О.В.Э.).
РЕЗУЛЬТАТЫ И ОБСУЖДЕНИЕ
Как было показано ранее [31], палладиевые электроды под действием переменного импульсного тока диспергируются с образованием наночастиц, которые непосредственно в процессе синтеза осаждаются на углеродный носитель Vulcan XC-72, удельная поверхность и структура пористости которого оптимальны для электрохимического применения в водных электролитах, что и обусловливает широкое использование этого материала в качестве носителя для катализаторов твердополимерных топливных элементов (ТПТЭ). Скорость накопления продуктов электрохимического диспергирования Pd зависит от состава электролита и возрастает с ростом размера гидратированного катиона электролита (рис. 1б).
Рентгенофазовый анализ полученных катализаторов показал, что палладий в них представлен двумя различными фазами – Pd и PdO (рис. 2а). Структурные характеристики фаз представлены в табл. 1. Параметры решетки для Pd и PdO соответствуют гранецентрированной кубической ячейке (Fm3m) палладия и тетрагональной ячейке (P42/mmc) оксида палладия. Соотношения размеров D111 и D200 для Pd, D100 и D002 для PdO позволяют предположить, что частицы имеют симметричную, близкую к сферической форму и равномерно распределены по поверхности углеродного носителя, что также хорошо видно на ПЭМВР-изображении (рис. 2б). Размеры частиц PdO не зависят от состава электролита при синтезе и составляют для всех полученных материалов 1.9 ± ± 0.2 нм. В противоположность им размеры частиц Pd возрастают с ростом радиуса гидратированного катиона от 7.9 для K+ до 14.2 нм для Ва2+ (рис. 2в). На основании имеющихся данных трудно предположить характер взаимодействия обеих фаз (отдельные частицы Pd и PdO или частицы со структурой ядро/оболочка). С ростом радиуса однозарядных катионов электролита содержание наночастиц палладия возрастает с 45 до 72% для Li+ и K+ соответственно. В присутствии двухзарядных катионов Sr2+ или Ba2+ содержание фаз практически одинаково вне зависимости от радиуса иона (рис. 2г).
Рис. 2.
Рентгенограммы синтезированных Pd-содержащих материалов (а); ПЭМВР изображения Pd–PdO/C–K (б); зависимость среднего размера частиц Pd (по результатам РФА) (в) и соотношения фаз Pd/PdO (г) от радиуса гидратированного катиона электролита.

Таблица 1.
Результаты уточнения рентгенограмм Pd–PdO/С материалов, полученных в условиях нестационарного электролиза
| Образец | Pd–PdO/C–Li | Pd–PdO/C–Na | Pd–PdO/C–K | Pd–PdO/C–Sr | Pd–PdO/C–Ba | |||||
|---|---|---|---|---|---|---|---|---|---|---|
| Фаза | Pd | PdO | Pd | PdO | Pd | PdO | Pd | PdO | Pd | PdO |
| Davа, нм | 8.57 | 2.1 | 7.9 | 1.9 | 11.11 | 2.1 | 9.86 | 1.8 | 14.15 | 1.8 |
| ΔDavа, нм | 2.14 | 0.62 | 1.4 | 0.41 | 1.99 | 0.41 | 1.78 | 0.54 | 2.61 | 0.27 |
| D111а, нм | 12.14 | 10.37 | 14.33 | 12.76 | 18.26 | |||||
| D200а, нм | 7.56 | 6.89 | 9.90 | 9.03 | 13.48 | |||||
| D100а, нм | 2.01 | 2.01 | 2.11 | |||||||
| D200а, нм | 1.78 | 3.34 | 2.17 | 2.05 | ||||||
| aб, Å | 3.8899 | 2.9893 | 3.8889 | 2.9764 | 3.8903 | 2.9765 | 3.8899 | 2.9785 | 3.8900 | 2.9676 |
| cб, Å | 5.48179 | 5.45945 | 5.45855 | 5.47266 | 5.47097 | |||||
Обсуждая возможный механизм формирования частиц Pd и PdO в растворах хлоридов металлов, следует учесть, что на электроды подается переменный импульсный ток, средняя по периоду плотность тока довольно высока 1 А см–2 (рис. 1а). Скважность тока составляет 25%, таким образом истинная плотность тока существенно больше. Это приводит к высокой скорости всех протекающих процессов и омическим потерям, что обусловливает и высокие потенциалы во время импульсов. Так, измеренные потенциалы в периоды анодных и катодных импульсов составляют более (+) 3.0 В и (–) 2.0 В соответственно. В ходе пауз после анодного и катодного импульсов устанавливаются значения 0.9–1.0 и 0.2–0.4 В соответственно.
Многочисленные исследования электроокисления Pd показывают, что это очень сложный процесс [33, 34]. Переход от металлического Pd к окисленным формам Pd происходит постепенно и включает несколько стадий, таких как адсорбция/десорбция анионов и катионов, взаимодействие молекул воды с поверхностью, образование поверхностных оксидов PdII, PdIV и PdVI и электрорастворение.
При потенциалах выше 1.45–1.5 В (О.В.Э.) на поверхности Pd формируется фазовый оксид PdO (уравнения (1), (2)). Установлено, что первой стадией процесса вне зависимости от рН среды является стадия формирования PdOHads (уравнение (1)):
(1)
${\text{Pd}} + {{{\text{H}}}_{{2{\text{\;}}}}}{\text{О}} \to {\text{PdO}}{{{\text{Н}}}_{{{\text{ads}}}}} + {{{\text{H}}}^{ + }} + \bar {e}$При более высоких положительных потенциалах возможно образование оксида PdIV.
Электрорастворение палладия начинается при потенциалах выше 0.7–0.8 В (О.В.Э.), при этом в хлоридных электролитах оно сопровождается образованием комплексного иона [PdCl4]2– [35] (уравнения (3), (4)), который был зафиксирован нами в растворе электролита методом УФ-спектроскопии [31]:
(3)
${\text{Pd}} + 2{\text{C}}{{{\text{l}}}^{ - }} \to {\text{PdC}}{{{\text{l}}}_{2}} + 2{{e}^{ - }}$(4)
${\text{PdC}}{{{\text{l}}}_{2}} + 2{\text{C}}{{{\text{l}}}^{ - }} \to {{\left[ {{\text{PdC}}{{{\text{l}}}_{4}}} \right]}^{{2 - ~}}}$Во время анодного импульса также бурно протекает процесс электроокисления воды с выделением кислорода (уравнение (5)):
В период паузы, следующей за анодным импульсом (Е = 1.0 В), по‑видимому, продолжается формирование PdO.
В ходе катодного импульса (E < –2 В) протекают процессы восстановления оксидов и комплексных ионов палладия (уравнения (6), (7)):
(6)
${\text{PdO}} + 2\bar {e} + {{{\text{H}}}_{2}}{\text{O}} \to {\text{Pd}} + 2{\text{O}}{{{\text{H}}}^{ - }}$(7)
${{\left[ {{\text{PdC}}{{{\text{l}}}_{4}}} \right]}^{{2 - ~}}} + {\text{\;}}2\bar {e} \to {\text{Pd}} + 4{\text{C}}{{{\text{l}}}^{ - }},$(8)
${{{\text{H}}}_{2}}{\text{O}} + {{e}^{ - }} \to {\text{O}}{{{\text{H}}}^{ - }} + {{{\text{H}}}_{{{\text{адс}}}}}$Образование анионов ${\text{O}}{{{\text{H}}}^{ - }}$ приводит к увеличению pH электролита в приэлектродной области и, благодаря интенсивному перемешиванию, в межэлектродном пространстве до рН 8–8.5.
Образующиеся атомарный Надс и молекулярный водород H2 – чрезвычайно сильные восстановители, которые могут восстанавливать как PdO на поверхности электрода (уравнение (10)), так и комплексы [PdCl4]2– в приэлектродной области в растворе (уравнение (11)):
(10)
${\text{PdО}} + 2{{{\text{H}}}_{{{\text{адс}}}}} \to {\text{Pd}} + {{{\text{H}}}_{2}}{\text{O}}$(11)
$~{{\left[ {{\text{PdC}}{{{\text{l}}}_{4}}} \right]}^{{2 - }}} + {{{\text{H}}}_{2}} \to {\text{Pd}} + 4{\text{C}}{{{\text{l}}}^{ - }} + 2{{{\text{H}}}^{ + }}$Учитывая высокую растворимость и скорость диффузии водорода в палладии, возможно образование гидридов PdHn [36]. В период паузы после катодного импульса (Е = 0.4–0.6 В) восстановление оксидов и комплексных ионов продолжается за счет сорбированного палладием водорода.
Таким образом, наночастицы палладия формируются как в приэлектродной области за счет восстановления водородом, так и на поверхности электрода. Бурно выделяющийся водород способствует отрыву частиц от поверхности, при этом отрываются не только восстановленные частицы, но и окисленные. Поэтому в составе полученных материалов присутствуют две фазы – Pd и PdO.
Кроме того, следует учитывать возможность реакции образования Cl2, его растворение с образованием гипохлорита, а также его последующее химическое и электрохимическое окисление до хлората в анодный импульс. В катодный импульс возможно электровосстановление этих ионов до хлорид-аниона.
Электрокаталитические свойства полученных материалов исследовались в реакциях окисления СО, этанола в щелочной и МК в кислой средах. Электрохимически активная площадь поверхности катализаторов, определенная методом окислительной десорбции СО (табл. 2), зависела от сочетания двух факторов – размера частиц палладия и его содержания (табл. 1), однако четкой корреляции не наблюдалось, что может быть обусловлено различной степенью агломерации частиц. Для процессов окисления СО и этанола в ряду полученных катализаторов наблюдается зависимость каталитической активности от размера частиц палладия. Она максимальна для материалов с частицами более 10 нм – Pd–PdO/C–Li и Pd–PdO/C–Ba – и снижается по мере уменьшения размера частиц для материалов, полученных в остальных электролитах. Так, потенциал начала окисления СО Eonset и потенциал максимума Ep на циклических вольтамперограммах (ЦВА) сдвинуты в катодную сторону (рис. 3, табл. 2). Для процесса окисления этанола наблюдается аналогичная закономерность (рис. 4а,б, табл. 2). Результаты согласуются с данными о снижении удельной каталитической активности по мере уменьшения размера наночастиц активной фазы катализатора ниже некоторого предельного размера, зависящего от природы катализатора и протекающего процесса [37, 38], так называемый “размерный эффект в катализе”.
Таблица 2.
Электрокаталитические свойства Pd–PdO/C материалов
| Образец | Окисление СО | Этанол | МК | ||
|---|---|---|---|---|---|
| Eonset, В (О.В.Э.) | Ep, В (О.В.Э.) | ЭХАП, м2 г– 1 (Pd) | Ток при Е = 0.7 В, мА см–2 | Ток при Е = 0.35 В, мА см–2 (мА мгPd–1) | |
| Pd–PdO/C–Li | 835 | 965 | 31.2 | 0.96 | 0.42 (516.4) |
| Pd–PdO/C–Na | 859 | 1021 | 77.5 | 0.55 | 0.70 (732.5) |
| Pd–PdO/C–K | 894 | 1005 | 52.5 | 0.66 | 0.66 (616.1) |
| Pd–PdO/C–Sr | 876 | 987 | 48.9 | 0.46 | 0.44 (520.2) |
| Pd–PdO/C–Ba | 853 | 968 | 29.5 | 0.85 | 0.3 (399.2) |
| Pd–PdO/C [40] | – | – | 86.6 | – | (794) |
| Pd/GREа [41] | – | – | 13.6 | – | 0.28 |
| Pd/C [42] | – | – | – | – | 41.0 |
| Pd–C60 NRs [43] | – | – | – | 0.71 | – |
| Pd/C–ATO [44] | – | – | – | 0.98 | |
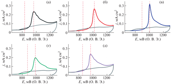
Рис. 3.
Вольтамперограммы окисления, адсорбированного при потенциале 0.3 В СО на электродах Pd–PdO/С–Li (a); Pd–PdO/С–Na (б); Pd–PdO/С–K (в); Pd–PdO/С–Sr (г); Pd–PdO/С–Ba (д).

Рис. 4.
ЦВА Pd–PdO/C катализаторов в 0.5 М C2H5OH + 1.0 М NaOH (а, б) и в 0.5 M HCOOH + 0.5 М H2SO4 (в, г); скорость развертки потенциала 20 мВ с–1.

Для процесса окисления МК максимальную активность проявляют катализаторы c меньшим содержанием оксидной фазы и синтезированные в растворах KCl и NaCl (рис. 4в, г, табл. 2). Для объяснения полученных данных нужно учитывать различия в механизмах окисления СО и этанола, с одной стороны, и МК, с другой. Многочисленными исследованиями механизма окисления этанола на металлах группы платины установлено, что в процессе активно участвуют адсорбированные на поверхности электрода кислородсодержащие частицы, например PdOHads [8]. Поэтому наличие на поверхности катализатора гидрофильной оксидной фазы PdO облегчает адсорбцию активных кислородсодержащих частиц, что в общем случае снижает перенапряжение процесса. МК окисляется через активный слабосвязанный с поверхностью интермедиат, природа которого все еще обсуждается – формиат, адсорбированный в мостиковой форме НСООадс или слабо адсорбированные молекулы НСООН. Подробный анализ работ, посвященных установлению механизма электроокисления МК, приведен в обзоре [39]. В этом процессе наличие оксидной фазы в составе катализатора оказывает негативное влияние. Вероятно поэтому катализаторы с меньшим содержанием PdO оказываются более активными в реакции окисления МК.
Полученные в этой работе материалы не уступают по активности материалам, полученным иными методами, а также материалам, содержащим оксидную фазу другой природы (TiO2, Fe2О3, SnO и др.) (табл. 2), основным недостатком использования которых в ТЭ является возможность растворения этих оксидов в коррозионно-активной среде и тем самым отравления протонпроводящей мембраны катионами металлов, что неизбежно приводит к снижению характеристик ТЭ.
ЗАКЛЮЧЕНИЕ
Обоснован способ получения электроактивных Pd–PdO/C-материалов путем электрохимического диспергирования палладиевых электродов под действием переменного импульсного тока. Варьирование состава электролита (хлоридов щелочных и щелочноземельных металлов) позволяет управлять составом и микроструктурными характеристиками фаз. Рассмотрена совокупность наиболее вероятных химических и электрохимических процессов, протекающих при воздействии переменного импульсного тока и обусловливающих формирование наноразмерных частиц Pd и PdO.
Установлено, что электрокаталитическая активность полученных материалов в реакции окисления этанола в щелочной среде определяется наличием оксидной фазы в составе катализатора и размером частиц палладия – она максимальна для материалов с незначительным преобладанием PdO и размерами частиц палладия более 10 нм. Для процесса окисления муравьиной кислоты в кислой среде более активными оказались катализаторы с меньшим содержанием оксидной фазы, что обусловлено различиями механизмов окисления МК и этанола.
Список литературы
Chernyshev V.M., Ananikov V.P. // ACS Catal. 2022. T. 12. № 2. P. 1180–1200. https://doi.org/10.1021/acscatal.1c04705
Wang J., Chen H., Hu Z., Yao M., Li Y. // Catal. Rev. – Sci. Eng. 2015. T. 57. № 1. P. 79–144. https://doi.org/10.1080/01614940.2014.977059
Chen C.S., Wan J.H., Yeo B.S. // J. Phys. Chem. A. 2015. T. 119. № 48. P. 26875–26882. https://doi.org/10.1021/acs.jpcc.5b09144
Grünwald A., Orth N., Scheurer A., Heinemann F.W., Pöthig A., Mun D. // Angew. Chem., Int. Ed. 2018. T. 57. № 49. P. 16228–16232. https://doi.org/10.1002/anie.201809152
Sarkar S., Peter S.C. // Inorg. Chem. Front. 2018. T. 5. № 9. P. 2060–2080. https://doi.org/10.1039/C8QI00042E
Ong B.C., Kamarudin S.K., Basri S. // Int. J. Hydrog. Energy. 2017. T. 42. № 15. P. 10142–10157. https://doi.org/10.1016/j.ijhydene.2017.01.117
Calderón Gómez J.C., Moliner R., Lázaro M.J. // Catalysts. 2016. T. 6. № 9. P. 130. https://doi.org/10.3390/catal6090130
Wang Y., Zou S., Cai W.B. // Catalysts. 2015. T. 5. № 3. P. 1507–1534. https://doi.org/10.3390/catal5031507
Bratan V., Munteanu C., Hornoiu C., Vasile A., Papa F., State R., Preda S., Culita D., Ionescu N.I. // Appl. Catal. B: Environmental. 2017. T. 207. P. 166–173. https://doi.org/10.1016/j.apcatb.2017.02.017
Nilsson J., Carlsson P.A., Martin N.M., Adams E.C., Agostini G., Grönbeck H., Skoglundh M. // J. Catal. 2017. T. 356. P. 237–245. https://doi.org/10.1016/j.jcat.2017.10.018
Wang C., Zhao P., Liu S. // Phys. Status Solidi A. 2015. T. 212. № 8. P. 1789–1794. https://doi.org/10.1002/pssa.201431892
Lupan O., Postica V., Hoppe M., Wolff N., Polonskyi O., Pauporté T., Viana B., Majerus O., Kienle L., Faypel F., Adelung R. // Nanoscale. 2018. T. 10. № 29. P. 14107–14127. https://doi.org/10.1039/C8NR03260B
Li L., Li G., Yuan Y. // RSC Advances. 2015. T. 5. № 6. P. 4586–4591. https://doi.org/10.1039/C4RA12800A
Zhang Y., Yang W., Wang Y., Jia J., Wang J. // Mikrochim Acta. 2013. T. 180. № 11. P. 1085–1091. https://doi.org/10.1007/s00604-013-1033-4
Shen S., Zhao T. // J. Mater. Chem. A. 2013. T. 1. № 3. P. 906–912. https://doi.org/10.1039/C2TA00725H
Yu E.H., Wang X., Krewer U., Li L., Scott K. // Energy Environ. Sci. 2012. T. 5. № 2. P. 5668–5680. https://doi.org/10.1039/C2EE02552C
ao V., Cremers C., Stimming U. // Fuel Cells. 2007. T. 7. № 5. P. 417–423. 10.1002/fuce.20070002
Wang L., Lavacchi A., Bevilacqua M., Bellini M., Fornasiero P., Filippi J., Innocenti M., Marchionni A., Mil-ler H.A., Vizza F. // ChemCatChem. 2015. T. 7. № 14. P. 2214–2221. https://doi.org/10.1002/cctc.201500189
Jung N., Chung D.Y., Ryu J., Yoo S.J., Sung Y.E. // Nano Today. 2014. T. 9. № 4. P. 433–456. https://doi.org/10.1016/j.nantod.2014.06.006
Bianchini C., Shen P.K. // Chem. Rev. 2009. T. 109. № 9. P. 4183–4206. https://doi.org/10.1021/cr9000995
Shao M., Odell J., Humbert M., Yu T., Xia Y. // J. Phys. Chem. C. 2013. T. 117. № 8. P. 4172–4180. https://doi.org/10.1021/jp312859x
Lee S., Jeong H., Chung Y.-M. // J. Catal. 2018. T. 365. P. 125–137. https://doi.org/10.1016/j.jcat.2018.06.024
Belskaya O.B., Mironenko R.M., Talsi V.P., Rodionov V.A., Gulyaeva T.I., Sysolyatin S.V., Likholobov V.A. // Catal. Today. 2018. T. 301. P. 258–265. https://doi.org/10.1016/j.cattod.2017.02.037
Lee S., Chung Y.-M. // Mater. Lett. 2019. T. 234. P. 58–61. https://doi.org/10.1016/j.matlet.2018.09.068
Forsythe R.C., Cox C.P., Wilsey M.K., Muller A.M. // Chem. Rev. 2021. V. 121. № 13. P. 7568–7637. https://doi.org/10.1021/acs.chemrev.0c01069
Ростовщикова Т.Н., Локтева Е.С., Шилина М.И., Голубина Е.В., Маслаков К.И., Кротова И.Н., Брыжина А.А., Тарханова И.Г., Удалова О.В., Кожевин В.М., Явсин Д.А., Гуревич С.А. // Журн. физ. хим. 2021. Т. 95. № 3. С. 348–373. https://doi.org/10.31857/S0044453721030183
Leontyev I., Kuriganova A., Kudryavtsev Y., Dkhil B., Smirnova N. // Appl. Catal., A. 2012. V. 431. P. 120–125. https://doi.org/10.1016/j.apcata.2012.04.025
Kuriganova A.B., Leontyev I.N., Alexandrin A.S., Maslova O.A., Rakhmatullin A.I., Smirnova N.V. // Mendeleev Commun. 2017. T. 1. № 27. P. 67–69. https://doi.org/10.1016/j.mencom.2017.01.021
Doronkin D.E., Kuriganova A B., Leontyev I.N., Baier S., Lichtenberg H., Smirnova N.V., Grunwaldt J.D. // Catal. Lett. 2016. T. 146. № 2. P. 452–463. https://doi.org/10.1007/s10562-015-1651-z
Kuriganova A.B., Leontyeva D.V., Ivanov S., Bund A., Smirnova N.V. // J. Appl. Electrochem. 2016. T. 46. № 12. P. 1245–1260. https://doi.org/10.1007/s10800-016-1006-5
Kuriganova A.B., Faddeev N.A., Leontyev I.N., Allix M., Rakhmatullin A., Smirnova N.V. // ChemistrySelect. 2019. T. 4. № 29. P. 8390–8393. https://doi.org/10.1002/slct.201901628
Novikova K., Kuriganova A., Leontyev I., Gerasimova E., Maslova O., Rakhmatullin A., Smirnova N., Dobrovol-sky Y. // Electrocatalysis. 2018. T. 9. № 1. P. 22–30. https://doi.org/10.1007/s12678-017-0416-4
Grdeń M., Łukaszewski M., Jerkiewicz G., Czerwiński A. // Electrochim. Acta. 2008. T. 53. № 26. P. 7583–7598. https://doi.org/10.1016/j.electacta.2008.05.046
Meng H., Zeng D., Xie F. // Catalysts. 2015. T. 5. № 3. P. 1221–1274. https://doi.org/10.3390/catal5031221
Cruywagen J.J., Kriek R.J. // J. Coord. Chem. 2007. T. 60. № 4. P. 439–447. https://doi.org/10.1080/00958970600873588
Rusanova M.Y., Tsirlina G.A., Petrii O.A., Safonova T.Y., Vasil’ev S.Y. // Russ. J. Electrochem. 2000. T. 36. № 5. P. 457–464. https://doi.org/10.1007/BF02757406
Wu T., Han M.Y., Xu Z.J. // ACS Nano. 2022. V. 16. № 6. P. 8531–8539. https://doi.org/10.1021/acsnano.2c04603
Ju W., Valiollahi R., Ojani R., Schneider O., Stimming U. // Electrocatalysis. 2016. V. 7. № 2. P. 149–158. https://doi.org/10.1007/s12678-015-0293-7
Petrii O.A. // Russ. J. Electrochem. 2019. T. 55. № 1. C. 1–33. https://doi.org/10.1134/S1023193519010129
Zhou Y., Zhu X., Zhang B., Ye D.D., Chen R., Liao Q. // Intern. J. Hydrogen Energy. 2020. T. 45. № 53. P. 29235–29245. https://doi.org/10.1016/j.ijhydene.2020.07.169
Zhang B., Ye D., Li J., Zhu X., Liao Q. // J. Power Sources. 2012. V. 214. P. 277–284. https://doi.org/10.1016/j.jpowsour.2012.04.007
Mazumder V., Sun S. // J. Am. Chem. Soc. 2009. V. 131. № 13. P. 4588–4589. https://doi.org/10.1021/ja9004915
Barzegar H.R., Hu G., Larsen C., Jia X., Edman L., Wågberg T. // Carbon. 2014. V. 73. P. 34–40. https://doi.org/10.1016/j.carbon.2014.02.028
Alvarenga G.M., Gallo I.B., Villullas H.M. // J. Catal. 2017. V. 348. P. 1–8. https://doi.org/10.1016/j.jcat.2017.02.002
Дополнительные материалы отсутствуют.
Инструменты
Доклады Российской академии наук. Химия, науки о материалах


