Доклады Российской академии наук. Химия, науки о материалах , 2023, T. 508, № 1, стр. 111-116
Квантовохимическое исследование кето-енольной таутомерии и электрофильности производных гидроксималеимида
1 ФГБНУ “Научно-исследовательский институт
по изысканию новых антибиотиков имени Г.Ф. Гаузе”, (ФГБНУ “НИИНА”)
119021 Москва, Россия
* E-mail: 7745243@mail.ru
Поступила в редакцию 14.06.2022
После доработки 12.10.2022
Принята к публикации 14.10.2022
- EDN: EVQYQM
- DOI: 10.31857/S2686953522600325
Аннотация
Для 36 производных 3-гидроксималеимида были рассчитаны энергии енольной и кетонной форм методами DFT и DLPNO. Установлено, что для всех замещенных малеимидов енольная форма энергетически выгоднее, причем разница в энергии зависит от заместителя в положении 4 и составляет для большинства соединений 16–60 кДж моль–1. Для всех рассмотренных соединений рассчитан индекс глобальной электрофильности и продемонстрировано, что кето-форма, как правило, более электрофильна, причем электрофильность зависит от заместителя в положении 4. Рассчитаны две возможные структуры аниона гидроксималеимида, причем депротонирование атома кислорода является более энергетически выгодным.
ВВЕДЕНИЕ
Гидроксималеимиды и пирролидин-2,3,5-трионы являются важными синтетическими промежуточными соединениями [1–3], которые также обладают слабой антибактериальной и противогрибковой активностью [4–6] или могут служить ингибиторами оксидазы гликолевой кислоты [7]. Была описана реакция с N-нуклеофилами, а также замена гидроксильной группы на атом хлора под действием оксалилхлорида [8–10]. Однако структура таких производных до сих пор не была исследована достаточно тщательно. Например, 3-гидроксималеимид (3-кетосукцинимид) может существовать в виде четырех таутомерных форм: енола 1a, кетона 1b и двух иминолов 1c,d (рис. 1).
Предпочтительная таутомерная форма и энергии таутомеров важны для понимания их химических свойств. Кроме того, известно, что производные 3‑гидроксималеимида образуют соли, например, с аминами [11] или ионами металлов, и возможны по меньшей мере две различные формы с отрицательно заряженным кислородом или азотом соответственно.
Задача данной работы заключалась в исследовании наиболее энергетически выгодной формы для различных 4-замещенных производных малеимида и изучении влияния заместителей на соотношение таутомеров.
ЭКСПЕРИМЕНТ
Ряд 4-замещенных 3-гидроксималеимидов исследован с помощью программного пакета ORCA [12]. Вначале структуры были оптимизированы методом DFT (Density Functional Theory, теория функционала плотности) с использованием функционала B3LYP и базисных наборов def2-SVP [13] и def2/J [14]. Этот набор базисов рекомендован создателями пакета ORCA и дает удовлетворительные результаты. Оптимизированные структуры затем дополнительно исследованы методом DLPNO (Domain-based Local Pair Natural Orbital) – аппроксимацией метода связанных кластеров, дающего наиболее точную оценку энергии [15]. Таким образом, получены свободные энергии Гиббса кетонной и енольной форм для каждого соединения как в газовой фазе, так и с использованием модели поляризуемого континуума (Conductor-like Polarizable Continuum Model, CPCM) [16]. Электрофильность рассчитывали как индекс глобальной электрофильности (Global Electrophilicity Index, GEI) – через энергии высшей занятой молекулярной орбитали (ВЗМО) и нижней свободной молекулярной орбитали (НСМО) [17].
РЕЗУЛЬТАТЫ И ОБСУЖДЕНИЕ
Разности рассчитанных энергий Гиббса кетонной и енольной форм (схема 1) представлены в табл. 1. Положительные значения разности означают предпочтительность образования енола.
Таблица 1.
Разности энергий Гиббса кето- и енольной форм производных малеимида 1–36, рассчитанные методами DFT и DLPNO, и значения электрофильности в кето- и енольной формах
| № | R | R' | ΔE (B3LYP, газ. фаза), кДж моль–1 | ΔE (B3LYP, ДМФА), кДж моль–1 | ΔE (газ. фаза, DLPNO), кДж моль–1 | ωенол, × 10–2 эВ | ωкето, × 10–2 эВ |
|---|---|---|---|---|---|---|---|
| 1 | H | H | –5.93 | –15.20 | –3.46 | 3.563 | 4.195 |
| 2 | CH3 | H | 11.84 | 2.87 | 7.50 | 3.129 | 4.004 |
| 3 | Et | H | 9.31 | 0.76 | 8.47 | 3.117 | 3.931 |
| 4 | OH | H | 39.18 | 24.63 | 33.22 | 3.151 | 4.435 |
| 5 | CN | H | 32.93 | 26.91 | 25.21 | 4.891 | 5.110 |
| 6 | COOMe | H | 32.07 | 24.35 | 15.98 | 4.238 | 4.451 |
| 7 | CONH2 | H | 60.11 | 34.36 | 42.95 | 4.121 | 4.670 |
| 8 | Cl | H | 16.11 | 7.65 | 14.37 | 3.711 | 4.654 |
| 9 | NO2 | H | 5.07 | 10.08 | –6.68 | 5.649 | 5.522 |
| 10 | Ph | H | 30.34 | 16.03 | 23.60 | 2.925 | 3.012 |
| 11 | 4-ClPh | H | 32.85 | 17.45 | 24.80 | 3.156 | 3.125 |
| 12 | 4-NO2Ph | H | 38.41 | 20.02 | 25.44 | 4.262 | 3.961 |
| 13 | 4-MeOPh | H | 32.13 | 16.46 | 23.55 | 2.576 | 2.665 |
| 14 | Ph | CH3 | 26.61 | 12.71 | 19.00 | 2.787 | 2.908 |
| 15 | 2-Пиридил | H | 56.00 | 42.05 | 29.05 | 3.034 | 2.924 |
| 16 | 4-Пиридил | H | 34.93 | 16.90 | 24.87 | 3.690 | 3.352 |
| 17 | Индол-1-ил | H | 29.78 | 15.32 | 18.96 | 2.547 | 2.568 |
| 18 | (3-Формил)индол-1-ил | H | 29.78 | 19.07 | 20.25 | 3.108 | 3.016 |
| 19 | Бензил | H | 12.75 | 2.77 | 14.69 | 2.688 | 2.804 |
| 20 | (Индол-1-ил)метил | H | 11.66 | 3.45 | 12.72 | 2.329 | 2.456 |
| 21 | Ацетил | H | 53.73 | 36.85 | 30.03 | 4.328 | 4.504 |
| 22 | Бензоила | H | 49.97 | 31.44 | 25.31 | 4.003 | 3.380 |
| 23 | N(CH3)2 | H | 41.50 | 35.83 | 18.62 | 2.145 | 3.222 |
| 24 | PhNH | H | 45.42 | 30.16 | 27.22 | 2.267 | 2.579 |
| 25 | PhNMe | H | 50.84 | 52.10 | 20.40 | 2.214 | 2.453 |
| 26 | (4-Метоксифенил)амин | H | 26.14 | 20.56 | 9.73 | 2.123 | 2.350 |
| 27 | (4-Хлорфенил)амин | H | 25.28 | 16.21 | 3.34 | 2.558 | 2.755 |
| 28 | (1,2,4-Триазол-3-ил)амин | H | 12.15 | 10.54 | 11.26 | 2.405 | 2.788 |
| 29 | 1,2,4-Триазол-3-ил | H | 24.69 | 11.95 | 15.62 | 3.653 | 3.840 |
| 30 | Имидазол-1-ил | H | 38.98 | 14.38 | 28.55 | 3.242 | 3.294 |
| 31 | Фенокси | H | 8.22 | 6.19 | 14.03 | 2.729 | 3.025 |
| 32 | Фенилтио | H | 16.00 | 9.86 | 10.02 | 2.921 | 2.937 |
| 33 | Фенилсульфинил | H | 25.53 | 8.60 | 15.92 | 3.398 | 3.696 |
| 34 | Фенилсульфонил | H | 23.71 | 11.13 | 14.42 | 3.878 | 3.764 |
| 35 | (N-Метиламино)метил | H | 16.26 | 25.76 | 11.48 | 2.829 | 3.481 |
| 36 | (N-Диметиламино)метил | H | 26.46 | 29.77 | 26.56 | 2.803 | 3.062 |
Незамещенный 3-кетосукцинимид 1 является единственным исключением, существующим в основном в кето-форме, с разницей энергий –5.9 кДж моль–1. Замена атома водорода на метил или этил приводит к предпочтительности образования енольной формы с разностью энергий в 11.8 и 9.3 кДж моль–1 соответственно. Если заместителем у атома С4 является гидроксильная группа (соединение 4), атом хлора (соединение 8), нитрогруппа (соединение 9; в этом случае DFT и DLPNO противоречат друг другу), диметиламиногруппа (соединение 23) или любой азотсодержащий гетероцикл, то предпочтительно образование енольных таутомеров.
Для большинства оставшихся соединений енольная форма энергетически более выгодна, как минимум на 25 кДж моль–1, за исключением фенилтио- (32), фенокси- (31) производных, а также содержащих фрагмент (индол-1-ил)метила (20), аминотриазола (28) или (N-метиламино)метил (35). Для фенил- и тиофенилзамещенных соединений 10, 32 были рассчитаны иминольные формы (более устойчива форма, аналогичная 1d); их энергии оказались выше еще на 96 и 91 кДж моль–1 соответственно, по сравнению с наиболее выгодной енольной формой.
Для большинства соединений значения энергии, полученные методом DFT и DLPNO-CCSD(T), хорошо коррелируют. Таким образом, для дальнейших исследований можно ограничиваться методом DFT, который значительно проще с вычислительной точки зрения.
Поскольку реакции нуклеофильного замещения часто проводятся в сильнополярном растворителе, но исследуемые соединения малорастворимы в воде, то в модели сольватации использовались параметры диметилформамида (ДМФА). При этом разница в энергии в большинстве случаев уменьшается примерно на 10 кДж моль–1, при этом в большинстве случаев предпочтительной остается енольная форма. Сравнение соединений 10 и 14 показывает, что замена водорода у атома N на метильную группу незначительно снижает разницу энергий; однако другие заместители при атоме азота могут оказывать более заметное влияние.
Важно отметить влияние внутримолекулярной водородной связи между гидроксильным водородом и кислородом карбонильной группы, которая наблюдается как в газовой фазе, так и при использовании модели растворителя. В случае ариламинопроизводных 24–28 дополнительный водород может образовывать водородную связь, а в случае ацилзамещенных соединений 6, 7, 21, 22 водородная связь образуется заместителем в положении 4, а не имидной карбонильной группой (рис. 2). Бензоилзамещенное соединение 22 является особым частным случаем: легкость енолизации карбонильной группы бензоила приводит к переносу протона с образованием 4‑[гидрокси(фенил)метилен]пирролидин-2,3,5-триона (рис. 3).
Рис. 2.
Оптимизированные структуры производных 3-гидроксималеимида: 3‑гидрокси-4-(фениламино)-малеимида 24 и 3-ацетил-4-гидроксималеимида 21.

Рис. 3.
Минимизация энергии 3-бензоил-4-гидрокси-1H-пиррол-2,5-диона 22b приводит к образованию 4-[гидрокси(фенил)метилен]пирролидин-2,3,5-триона.

Из-за кислой природы ОН-группы соединения с (метиламино)метильными и (диметиламино)метильными заместителями (35, 36) могут образовывать цвиттерион, но оптимизированная структура показывает образование 6-членного цикла с сильной водородной связью, что дополнительно снижает его энергию (рис. 3).
3-Гидроксималеимиды могут вступать в реакцию с N-нуклеофилами с образованием 3-аминомалеимидов [5]. Механизм этой реакции до сих пор неясен. Учитывая жесткие условия реакции (3 ч при >100°C), кетонная форма может служить активным промежуточным продуктом. В этом отношении может быть полезно сравнить электрофильность обеих форм. рис. 4
Электрофильность была рассчитана как GEI – индекс глобальной электрофильности (ω = μ2/2η; μ = –(EВЗМО + EНСМО)/2, η = EНСМО – EВЗМО) – и представлена в табл. 1 как для кетонной, так и для енольной таутомерных форм в газовой фазе. В целом кето-формы более электрофильны, причем GEI сильно зависит от заместителей: электроноакцепторные заместители (соединения 5, 9, 21) заметно повышают электрофильность. Есть два заметных исключения, 12 и 22, в которых енольная форма является более электрофильной. Следует отметить, при использовании модели растворителя индексы электрофильности меняются незначительно, при этом основные закономерности сохраняются. К сожалению, корреляции электронных и энергетических свойств не удалось обнаружить ни в одном случае.
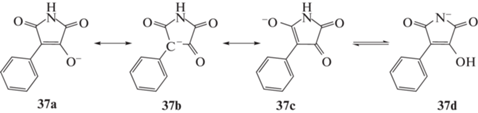
Известно, что 3-гидроксималеимид образует соли, например, с аминами [10], и возможны по меньшей мере две различные формы – с отрицательно заряженным кислородом или азотом. Рассчитаны энергии различных структур аниона 3-(гидрокси)-4-фенилмалеимида 37 (рис. 5).
Структура 37а значительно (на 85 кДж моль–1) выгоднее энергетически, чем 37d (рис. 5). Формы 37a–c неотличимы с точки зрения вычислений, так как представляют собой просто разные резонансные структуры. Анализ зарядов по Малликену для форм 37a и 37d представлен на рис. 6. Заметны больший отрицательный заряд на атоме кислорода в 37a и больший отрицательный заряд на атоме азота в 37d. Стоит отметить, что Малликеновские заряды не предсказывают направление электрофильной атаки, а служат всего лишь цели подтвердить предпочтительную структурную формулу аниона.
ЗАКЛЮЧЕНИЕ
Согласно проведенным расчетам показано, что гидроксималеимиды существуют в основном в форме енола, а не кетона (пирролидинтриона). Разница в энергии и, следовательно, кето-енольное равновесие зависит от заместителей, причем алкильные, ацильные, амино- и гетарильные заместители, как правило, стабилизируют енольную форму. Основными исключениями являются сам гидроксималеимид, который существует преимущественно в кето-форме в виде 3-кетосукцинимида, и 3‑бензоил-4-гидроксималеимид, который подвергается енолизации карбонила боковой цепи. Почти во всех случаях важную роль играет внутримолекулярная водородная связь. Кетонные таутомеры в основном более электрофильны, поэтому они могут служить реакционноспособным промежуточным продуктом при взимодействии с нуклеофилами. Депротонирование гидроксималеимида происходит по енольному атому кислорода, а не имидному атому азота.
Список литературы
Zaleska B., Lis S. // Synthesis. 2001. V. 6. P. 811–827. https://doi.org/10.1055/s-2001-13398
Zhang J., Liu M., Huang M., Liu H., Yan Y., Zhang X. // Org. Chem. Front. 2021. V. 8 (10). P. 2268–2273. https://doi.org/10.1039/D1QO00128K
Zhang J., Liu M., Huang M., Li W., Zhang X. // ChemistrySelect. 2021. V. 6 № 18. P. 4556–4561. https://doi.org/10.1002/slct.202100722
Howard E.G. Jr. 4-Negative functionally substituted 2,3,5-trichalcogenpyrrolidines, their salts, and methods for preparing them. Patent US 2832790. 1958.
Salmon-Legagner F., Oliver Y., Bobin C. // Compt. Rend. 1964. V. 258. P. 6456–6457.
Gerzon K. Novel 2,3-dioxopyrrolidine-3-thiosemi-carbazones. US3285933A, 1964.
Rooney C.S., Randall W.C., Streeter K.B., Ziegler C., Cra-goe E.J.Jr, Schwam H., Michelson S.R., Williams H.W., Eichler E., Duggan D.E., Ulm E.H., Noll R.M. // J. Med. Chem. 1983. V. 26. P. 700–714. https://doi.org/10.1021/jm00359a015
Tanaka M., Sagawa S., Hoshi J.-I., Shimoma F., Yasue K., Ubukata M., Ikemoto T., Hase Y., Takahashi M., Sasase T., Ueda N., Matsushita M., Inaba T. // Bioorg. Med. Chem. 2006. V. 14. P. 5781–5794. https://doi.org/10.1016/j.bmc.2006.05.033
Simonov A.Y., Panov A.A., Trenin A.S., Korolev A.M., Lavrenov S.N. // Pharm. Chem. J. 2021. V. 54 P. 1263–1268. https://doi.org/10.1007/s11094-021-02352-w
Panov A.A., Simonov A.Y., Korolev A.M. // Russ. J. Org. Chem. 2019. V. 55. P. 1847–1852. https://doi.org/10.1134/S1070428019120066
Sakamoto Y., Kurihara T. // Yakugaku zasshi. 1979. V. 99. № 8. P. 818–823 (японский). https://doi.org/10.1248/yakushi1947.99.8_818
Neese F. // Wiley Interdisciplinary Reviews Comp. Mol. Sci. 2012. V. 2. P. 73–78. https://doi.org/10.1002/wcms.81
Weigend F., Ahlrichs R. // Phys. Chem. Chem. Phys. 2005. V. 7. P. 3297–3305. https://doi.org/10.1039/B508541A
Weigend F. // Phys. Chem. Chem. Phys. 2006. V. 8. P. 1057–1065. https://doi.org/10.1039/B515623H
Riplinger C., Sandhoefer B., Hansen A., Neese F. // J. Chem. Phys. 2013. V. 139 P. 134101. https://doi.org/10.1063/1.4821834
Barone V., Cossi M. // J. Phys. Chem. A. 1998 V. 102. № 11. P. 1995–2001. https://doi.org/10.1021/jp9716997
Pérez P., Domingo L.R., Aizman A., Contreras R. The electrophilicity index in organic chemistry. In: Theoretical and computational chemistry. Toro-Labbé A. (Ed.). Elsevier: Amsterdam, 2007. P. 139–201. https://doi.org/10.1016/S1380-7323(07)80010-0
Дополнительные материалы отсутствуют.
Инструменты
Доклады Российской академии наук. Химия, науки о материалах







