Доклады Российской академии наук. Химия, науки о материалах , 2023, T. 508, № 1, стр. 5-25
Гетерогенно-каталитические процессы окислительной десульфуризации с участием ионных жидкостей. Обзор
И. Г. Тарханова 1, *, А. А. Брыжин 1, А. В. Анисимов 1, А. В. Акопян 1, Э. А. Караханов 1
1 Московский государственный университет
имени М.В. Ломоносова, химический факультет
119991 Москва, Россия
* E-mail: itar_msu@mail.ru
Поступила в редакцию 10.10.2022
После доработки 15.11.2022
Принята к публикации 22.11.2022
- EDN: EVZKEM
- DOI: 10.31857/S2686953522600684
Аннотация
В обзоре проведен анализ литературы последних лет, посвященной поиску новых эффективных технологий сероочистки, в частности, окислительной десульфуризации с применением ионных жидкостей. Эта технология привлекает внимание благодаря относительно мягким условиям, по сравнению с гидроочисткой, и эффективности в удалении тяжелых серосодержащих производных. Для ее реализации особый интерес представляют твердые гибридные композиции, состоящие из носителя, покрытого слоем ионной жидкости, содержащей каталитически активные центры. Рассмотрены примеры применения таких полифункциональных систем, выполняющих одновременно функции адсорбента, экстрагента и катализатора, для окислительной десульфуризации модельного топлива и реального нефтяного сырья.
I. ВВЕДЕНИЕ
В последнее десятилетие резко ужесточились требования по содержанию серосодержащих компонентов (ССК) в углеводородном топливе: концентрация общей серы ограничена 10 ppm [1, 2]. В России содержание ССК в бензине и дизельном топливе регламентировано нормативными документами ГОСТ 34237-2017, 32339-2013, 32511-2013, в странах СНГ – ISO 20884-2016. Указанные ограничения стимулируют поиск новых эффективных технологий сероочистки. Традиционный процесс гидродесульфуризации (ГДС) является достаточно дорогим, пожаро- и взрывоопасным и не всегда позволяет достичь требуемых показателей, особенно в присутствии полиароматических гетероатомных соединений, поэтому иногда вместо него используют безводородные, в частности, окислительные методы. Для реализации данной технологии применяется каталитическое окисление ССК с последующей очисткой топлива от продуктов окислительного процесса [2]. Окислительная десульфуризация (ОДС) привлекает внимание благодаря относительно мягким условиям по сравнению с гидроочисткой, эффективности в удалении производных дибензотиофена (ДБТ) и возможности технологической реализации на обычном нефтеперерабатывающем оборудовании в сочетании с ГДС. Количество опубликованных работ по данной тематике постоянно растет (рис. 1).
Рис. 1.
Динамика роста количества публикаций по ОДС за период 2000–2020 гг. (поиск проведен по словосочетанию “oxidative desulfurization” по базе данных SCOPUS).

Окислителем в данном процессе могут выступать как кислород, так и пероксиды, в частности, пероксид водорода. Последний применяют чаще всего благодаря доступности и экологичности, поскольку продуктами его превращения являются вода и кислород, а окисление может быть реализовано как гомогенный (жидкофазный), так и гетерогенный каталитический процесс. В качестве катализаторов выступают бренстедовские кислоты и ионные жидкости (ИЖ) с кислотными центрами, а также производные ряда переходных металлов, в том числе полиоксометаллаты [3]. Очистка топлива от продуктов окисления, как правило, более полярных, чем исходные субстраты, осуществляется путем адсорбции или экстракции. В качестве адсорбентов используют многочисленные твердые минеральные или органические полимерные носители [4, 5]. Экстракция гетероатомных соединений и продуктов их окисления проводится органическими полярными растворителями, а также ИЖ [6, 7]. Топливо высокой степени очистки можно получить лишь в сочетании двух или даже трех методов: окисления, экстракции и адсорбции. Такой эффект достигается при использовании твердых гибридных композиций, состоящих из носителя (адсорбента), покрытого слоем ИЖ или цвиттер-ионного соединения (экстрагента), который содержит каталитически активные центры. Возможности применения таких систем в катализе обсуждались нами ранее в обзоре [8], время показало их перспективность для широкого круга каталитических процессов, в частности, окислительной десульфуризации.
II. РЕАКЦИОННАЯ СПОСОБНОСТЬ СЕРОСОДЕРЖАЩИХ СОЕДИНЕНИЙ
Состав сероорганических соединений в нефти и ее фракциях зависит от источника сырья, но в целом количество и молекулярная масса ССК увеличиваются при переходе к более высококипящим фракциям (табл. 1).
Таблица 1.
Состав сернистых соединений в углеводородных фракциях [9]
| Углеводородные фракции (температурный диапазон выкипания) | Классы СС |
|---|---|
| Бензиновая (40–200°С) | ![]() |
| Керосиновая (200–260°С) | ![]() |
| Дизельная (220–350°С) | ![]() |
Эффективность процесса гидродесульфуризации в отношении ССК нефтяного сырья уменьшается в ряду: меркаптаны > сульфиды > тиофены > бензотиофены > дибензотиофены > 4, 6-алкилдибензотиофены [10]. Удаление ДБТ и его производных является проблемным в ГДС, поскольку требует повышенных температур и давления водорода. Существенным преимуществом окислительных методов является возможность направленного подбора катализаторов, способных менять указанный ряд. В частности, при пероксидном окислении на оксидах и полиоксиметаллатах вольфрама и молибдена порядок реакционной способности субстратов зависит от электронной плотности на атоме серы, поэтому окисление ДБТ протекает легче, чем тиофена [11–14]. В этом случае происходит образование пероксокомплексов, которые ведут процесс по механизму нуклеофильного замещения [15, 16]. С другой стороны, при использовании радикальных катализаторов-инициаторов типа Фентона, к которым относятся соединения Fe, Cu, Ce, Zr, реакционная способность тиофена выше, чем у полиароматических СС [17–19].
III. ИОННЫЕ ЖИДКОСТИ В ДЕСУЛЬФУРИЗАЦИИ
Ионные жидкости широко используют в качестве среды для проведения каталитических процессов благодаря таким свойствам, как низкая летучесть, химическая и термическая стабильность, высокая ионная проводимость, а при наличии активных центров в катионной или анионной части – и в качестве катализаторов [20]. Кроме того, варьирование структуры противоионов позволяет разрабатывать специальные ИЖ для целевого назначения. Близкими свойствами обладают цвиттер-ионные соединения (ЦИ), в которых, в отличие от ИЖ, катион и анион (ионная пара) связаны не кулоновским взаимодействием, а ковалентно (рис. 2) [21].
Рис. 2.
Ионная (а) и ковалентная (б) связи в ионной жидкости и цвиттер-ионном соединении соответственно [21].

В литературе описано применение ЦИ в качестве исходных соединений при получении ионных жидкостей с бренстедовскими кислотными центрами [22, 23], а также экстрагентов гетероатомных или ароматических компонентов углеводородного сырья: производных тиофена и пиридина или толуола [24]. Процесс экстракции гетероатомных соединений эффективно осуществляется благодаря высокой полярности и коэффициенту разделения, а также низкой летучести ЦИ.
Таким образом, ИЖ и ЦИ могут участвовать в десульфуризации углеводородного сырья как экстрагенты или компоненты в составе катализаторов окисления ССК [25].
III.1 Экстрагенты
В качестве экстрагентов СС из углеводородного сырья применяют растворители, такие как ДМСО, ДМФ, ацетон, N-метилпирролидон, ацетонитрил, зачастую токсичные и горючие соединения, поэтому в настоящее время технологии в значительной степени ориентированы на использование ИЖ [26]. Направленный подбор ионных жидкостей с более высокой плотностью, чем углеводороды, позволяет достичь высокой степени извлечения ССК (более 90%) с выделением в отдельную несмешивающуюся фазу. Важным свойством ИЖ является возможность дизайна структуры, подходящей для селективного извлечения конкретных соединений. В литературе рассматривается ряд механизмов, объясняющих процесс экстракции ССК [25]. Основным механизмом, подтвержденным квантово-химическими расчетами, считается взаимодействие катиона ИЖ (например, имидазолиевого) с атомами серы в ССК, несущими отрицательный заряд [27]. Кроме того, с помощью метода ЯМР установлено специфическое π-π-взаимодействие между ароматическим катионом ИЖ и молекулой тиофена [28]. Это же π-π-взаимодействие может приводить к формированию соединений включения – клатратов [29, 30].
При десульфуризации путем извлечения ССК в объем экстрагента стараются использовать минимальное количество ИЖ в связи с ее высокой стоимостью, однако уменьшение этого количества снижает эффективность экстракции [31, 32]. Для ее повышения необходимо многократное проведение процесса [33, 34]. Решению проблемы высокой стоимости ИЖ способствует разработка методов их регенерации, однако и в этом случае потери достаточно велики [35].
III.2 Катализаторы окислительной десульфуризации
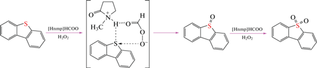
В последнее время появилось много работ по применению ИЖ в качестве катализаторов пероксидного окисления ССК. При этом ИЖ с каталитически активными центрами может выполнять одновременно функции и катализаторов, и экстрагентов. Так, в работе [36] для окисления ДБТ пероксидом водорода применили ИЖ с хлоранионами железа [Hnmp]Cl / FeCl3, при этом для предотвращения разложения H2O2 добавляли порциями и через 1.5 ч достигли полной конверсии субстрата. По данным экспериментов с радикальными ингибиторами (бензохиноном и изопропанолом), а также ЭПР-исследований, процесс протекает по радикальному механизму. Предложена схема процесса (рис. 3) с промежуточным образованием гидроксильных радикалов OH˙ и супероксид-ионов ${\text{O}}_{2}^{{\centerdot {\kern 1pt} - }}$, причем первый является основным участником реакции.
Рис. 3.
Механизм десульфуризации в присутствии [Hnmp]Cl/FeCl3 [36]. Copyright ©2019 Royal Society of Chemistry.

По данным ИК-спектроскопии установлено, что ионная жидкость сохраняет свою структуру после реакции, несмотря на присутствие радикала OH˙, являющегося сильным окислителем. Для регенерации ИЖ после каждого цикла ее отделяли от реакционного раствора путем центрифугирования и удаляли вакуумной сушкой примеси, однако к четвертому циклу конверсия ДБТ существенно (на 35%) уменьшилась.
ИЖ с бренстедовскими кислотными центрами на основе сульфопропила алкиламмония и щавелевой кислоты, обладающие активностью в окислении производных ДБТ пероксидом водорода, получены в работе [37]. Методами 1H ЯМР- и ИК-спектроскопии установлено образование водородной связи между кислотой и (3-сульфопропил)-триэтиламмоний хлоридом. В свою очередь сульфогруппа при взаимодействии с пероксидом водорода образует надкислоту (SO2–OOH), активную в окислении ССК. При отсутствии сульфогруппы в алкиламмонийном катионе аналогичная композиция оказалась менее активной.
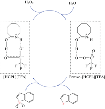
Ионная жидкость, содержащая карбоксилат-анион, получена с использованием N-метил-2-пирролидона и муравьиной кислоты и применена в качестве катализатора/экстрагента для удаления полиароматических ССК из модельных растворов в н-октане [38]. Окислению предшествует экстракция субстрата в ИЖ, а бренстедовский кислотный центр способствует нарушению его ароматичности. Активной частицей, по мнению авторов, является промежуточный комплекс, образующийся при взаимодействии ИЖ с пероксидом водорода (рис. 4).
Обработанная ИЖ после реакции подвергалась регенерации, которая включала удаление водной фазы и твердых продуктов окисления, а затем вакуумную сушку; в результате в 5 последовательных циклах реакции каталитическая активность сохранялась практически неизменной.
В работе [39] предложены кислотные ИЖ, активные в окислении ДБТ, на основе сульфатированных производных морфолина и фосфорновольфрамовой кислоты (рис. 5).
Рис. 5.
Экстракция и окисление ДБТ в присутствии сульфатированных производных морфолина и H3PW12O40 [39]. Copyright ©2020 Elsevier.

Образцы ИЖ, не содержащие сульфогруппы, оказались менее активными, что, по мнению авторов, обусловлено отсутствием водородных связей между ССК и группой –SO3H, а также надкислоты в катионной части, которая может образоваться при взаимодействии сульфогруппы с H2O2. Таким образом, высокая эффективность сульфатированных производных связана с их повышенной способностью экстрагировать ССК в сочетании с бифункциональной природой каталитического центра.
Серия бренстедовских ИЖ с протонированным амидным или лактамовым катионами (рис. 6) для окисления бензо- и дибензотиофена получена в работе [40].
В случае протекания окислительного процесса по нуклеофильному механизму, реакционная способность ССК коррелирует с увеличением электронной плотности на атоме серы, поэтому ДБТ окисляется лучше бензотиофена [41, 42]. С другой стороны, увеличение бренстедовской кислотности аниона ИЖ также способствует конверсии СС (TFA– > NO$_{3}^{ - }$ > HSO$_{4}^{ - }$). При тестировании каталитической композиции в ОДС прямогонной дизельной фракции, предварительно прошедшей гидроочистку, после двухстадийной окислительной обработки топлива ИЖ (массовое соотношение 1 : 1) содержание серы снизилось с 660 до 8.6 ppm. Регенерацию ИЖ проводили с использованием роторного испарителя для удаления воды и пероксида водорода, в итоге она сохраняла свою активность в 4 последовательных циклах.
Получение ИЖ, содержащей кислотный центр в катионе и молибдат-анион, описано в работе [43]. С помощью алкилирования замещенного пиридина алкилгалогенидом в ДМСО и последующего ионного обмена галогена синтезирована ионная жидкость с катионом пиридиния, содержащим карбоксильную группу и молибдат-анион (рис. 7).
Модельная смесь в виде раствора дибензотиофена в додекане (содержание общей серы 500 ppm) использовалась для тестирования каталитических свойств ионной жидкости 2 (рис. 7), в которой присутствует бренстедовский кислотный центр в катионе. Рост активности этой ионной жидкости стал возможным после включения в нее, наряду с молибдат-анионом, функциональной группы с кислотной функцией. Другой катализатор, полученный простым введением в реакционную смесь молибдата натрия и межфазного переносчика – 1-бутил-3-метилимидазолий хлорида, дал возможность сравнить активность двух окислительных систем. Реакция проводилась с добавлением ацетонитрила, что позволило сформировать двухфазную систему, в которой вода и катализатор находились в ацетонитриле, а субстрат растворен в углеводородной фазе. Если проводить процесс без ацетонитрила, то образуется трехфазная система, и ввиду фазовых ограничений получить сравнительные данные об активности окислительных систем практически невозможно. Ионная жидкость 2 проявляет более высокую активность в окислении сероорганических соединений, чем система, полученная простым добавлением молибдата натрия. В результате сделан вывод о стабилизирующем действии карбоксильной группы на молибденовый пероксокомплекс и концентрировании гидрофобного катиона на границе раздела фаз, что также является фактором, повышающим активность окислительной системы [43].
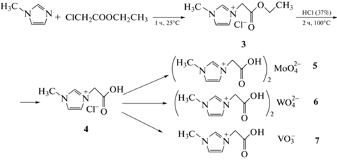
Активность в окислении модельной смеси на основе дибензотиофена [44] проявляют и многофункциональные ионные жидкости, содержащие катион имидазолия и анион с одним из металлов: молибден, вольфрам или ванадий, полученные по схеме, изображенной на рис. 8.
Рис. 8.
Получение ИЖ на основе карбоксилатимидазолия и оксометаллатов переходных металлов V–VI групп [44].

Наибольшей активностью в окислении ДБТ обладает ионная жидкость 5, содержащая в анионе молибден (рис. 8). Ионные жидкости, содержащие вольфрам и ванадий, способны к образованию пероксокомплексов при действии пероксида водорода, несколько менее активны, но все же их активность выше, чем простая смесь соли металла с немодифицированной ионной жидкостью.
Обладающие бренстедовской кислотностью ионные жидкости с пиридиниевым катионом на основе полиоксометаллатов были использованы в качестве катализаторов для ОДС модельной смеси с дибензотиофеном и реального дизельного топлива (рис. 9) [45].
Синтез ионных жидкостей был осуществлен по схеме, представленной на рис. 10.
В качестве анионов были использованы полиоксометаллаты типа Кеггина [PMo12O40]3–, [PVMo11O40]4–, [PV2Mo10O40]4–, [PW12O40]3–. Установлено, что увеличение кислотности анионной части молекулы приводит к росту конверсии ДБТ в соответствующий сульфон. Лучшие результаты были получены в присутствии катализатора, содержащего в качестве катиона производное никотиновой кислоты, а в качестве аниона – фосфоромолибдат. Основными факторами, влияющими на окислительный процесс, являются количество катализатора, продолжительность окисления, температура и количество окислителя – пероксида водорода. В оптимальных условиях (катализатор 18 (рис. 10), мольное соотношение H2O2 : S = 10 : 1, S : Mo = 8 : 1, 1 мл MeCN, 70°C, 1 ч) были достигнуты полное окисление ДБТ в модельной смеси и удаление серы на 90% в дизельном топливе с исходным содержанием серы 2050 ppm. Для предложенных катализаторов характерно лишь небольшое снижение активности после пятикратного использования без регенерации.
IV. ИММОБИЛИЗОВАННЫЕ ИЖ В ДЕСУЛЬФУРИЗАЦИИ
Рассмотренные выше композиции, по сути, являются гетерогенными, т.к. ИЖ при проведении каталитических реакций представляет отдельную фазу, которая экстрагирует субстрат. При реализации таких процессов расходуется довольно большое количество ИЖ, и, следовательно, актуальной становится проблема их высокой стоимости и эффективной регенерации, поэтому в последнее время широко используют композиции, получаемые путем формирования активного слоя ИЖ на минеральном носителе [46]; в результате получается гетерогенная система с развитой поверхностью, обеспечивающей значительную площадь контакта с топливом и малый расход ИЖ. В литературе предложены две концепции твердых катализаторов, покрытых слоем ИЖ – SILP (Supported Ionic Liquid Phase) и SCILL (Solid Catalyst with Ionic Liquid Layer) [8, 47]. Система SILP представляет собой тонкий слой ИЖ на пористом носителе. Для каталитически активных ИЖ, закрепленных ковалентно, ряд авторов используют иногда термин SILC (Supported Ionic Liquid Catalyst) [8]. По сравнению с двухфазной системой ИЖ–растворитель, системы SIL (SILP или SILC) обладают всеми преимуществами гетерогенных систем и при их использовании отсутствуют проблемы массопереноса, обусловленные высокой вязкостью ИЖ. Последнее приводит к повышению эффективности катализатора, так как в этом случае активная фаза находится на поверхности, а не в объеме ИЖ.
Другая концепция иммобилизованных ИЖ – SCILL – предполагает модификацию готового гетерогенного катализатора ионной жидкостью для повышения эффективности катализа [48]. Роль такого ионного покрытия может быть разной. Например, ИЖ может стабилизировать наночастицы на поверхности аналогично действию лигандов [49–51]. Кроме того, ИЖ может менять реакционные свойства катализатора, например, подавляя специфические активные центры на поверхности. Важное значение имеет изменение адсорбционных свойств катализатора: слой ионной жидкости способствует концентрированию полярных реагентов вблизи каталитических центров, что ускоряет реакции.
В силу ковалентного связывания активной фазы с поверхностью, наиболее стабильными композициями являются системы SILC, однако их синтез довольно трудоемкий, кроме того выбор носителей ограничен исключительно различными типами кремнеземов, т.к. в большинстве случаев закрепление ИЖ на поверхности осуществляется с использованием силоксановых связей.
Поскольку для ОДС наибольший интерес представляют ИЖ с кислотными центрами, ниже приведены некоторые примеры их синтеза по методу SILC. В работах [52, 53] иммобилизованные ИЖ получали по методу последовательной сборки (рис. 11): сначала к поверхности полимерного носителя ковалентно прикрепляли хлоруглеводородный линкер, далее вводили его в реакцию кватернизации с имидазолом или его производными, а затем формировали цвиттер-ионную и ионную структуру взаимодействием с алкилсультоном и серной кислотой соответственно. В результате была получена ИЖ с бренстедовскими центрами в катионе и анионе.
Рис. 11.
Получение кислотной ИЖ типа SILC методом последовательной сборки [52]. Copyright ©2010 Elsevier.

Другой способ синтеза композиций SILC, содержащих сульфоновые группы в катионе и анионе, включает ковалентное связывание с поверхностью кремнезема ИЖ с алкоксисиланольными группами (рис. 12).
Рис. 12.
Получение композиции SILC иммобилизацией бренстедовской ИЖ с алкоксисиланольными группами [54]. Copyright ©2010 Royal Society of Chemistry.

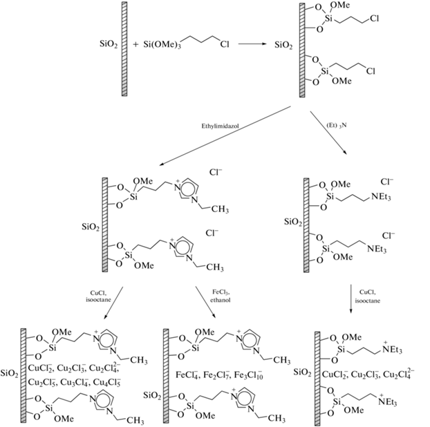
Серия катализаторов ОДС типа SILC на основе привитых имидазолиевых и алкилаамонийных хлорферратов и хлоркупратов получена в работе [19]. Для приготовления композиций использовали метод последовательной сборки (рис. 13). Для определения состава анионов в работе применили метод хроматомасс-спектрометрии в технике ПАЛДИ (поверхностно активированной лазерной десорбции–ионизации).
Рис. 13.
Синтез композиций SILC c хлорферратными и хлоркупратными анионами [19]. Copyright ©2020 Elsevier.

Аналогичные катализаторы на основе имидазолиевых производных с хлорферратным анионом могут быть получены из предварительно синтезированной ионной жидкости с алкоксисиланольными заместителями [55].
По данным приведенных работ, катализаторы SILC не теряют активность в нескольких последовательных циклах каталитических реакций, однако очевидно, что их синтез достаточно сложен и не технологичен. Более доступным способом является адсорбция слоя ИЖ на поверхности – метод SILP. Этот подход позволяет использовать широкий круг ИЖ и носителей различной природы (оксидных, углеродных и полимерных). Кроме того, этим методом можно получить не монослойное покрытие, как в случае SILC, а поли-слойное, что в ряде случаев положительно влияет на катализ, поскольку ИЖ может выполнять функции экстрагента [8]. Общая схема получения композиций SILP представлена на рис. 14.
Третий способ приготовления катализаторов аналогичен SILP, разница заключается лишь в исходном адсорбенте: в качестве него используют уже готовый гетерогенный катализатор. Полученные композиции SCILL, как правило, более эффективны, чем исходные образцы без покрытия [56–60].
Предложенные в литературе методики получения гибридных гетерогенных композиций успешно применяют для формирования катализаторов ОДС нефтяного сырья. Наиболее эффективные позволяют удалять до 99% ССК в мягких условиях, что обусловлено сочетанием функций катализаторов и адсорбентов как субстратов, так и продуктов их превращения (сульфоксидов и сульфонов).
Так, в работе [61] гетерогенный катализатор, представляющий собой октилметилимидазолий гидросульфат на силикагеле (17 мас. %), использовали для окисления тиофеновых производных в н-декане. В оптимальных условиях при 50°С за 30 мин конверсия ДБТ составила 97%, бензотиофена – 83%, а тиофена – 80%. В работе предположено, что экстракция тиофеновых ССК в слой ИЖ сопровождается π-π-взаимодействием с имидазолиевым кольцом, далее происходит их окисление гидроксильными радикалами, которые образуются в результате взаимодействия сульфогруппы с пероксидом водорода.
Катализаторы SILC, представляющие собой имидазольную ИЖ с анионами фосфорномолибденовой кислоты, использовали для окисления модельных ССК и ОДС дизельного топлива [62]. При содержании активной фазы в катализаторе 30 мас. % за 60 мин при 40°C в модельной смеси происходило полное окисление ДБТ пероксидом водорода. Увеличение концентрации кислоты приводило к ее агрегации и снижению удельной поверхности. На рис. 15 приведен механизм реакции, заключающийся в превращении гетерополианиона в пероксокомплекс, являющийся активной частицей при окислении ДБТ в сульфон. Функция имидазольного производного заключается в межфазном переносе H2O2 и ДБТ.
Активность различных производных тиофена в окислительном процессе коррелирует с величиной электронной плотности на атоме серы, однако метильные производные ДБТ окисляются медленнее из-за стерического влияния заместителей. Наиболее активный катализатор применили также для ОДС дизельного топлива (исходная концентрация серы 445 ppm) при 70°C, продукты окисления экстрагировали ДМФ. После процедуры окислительно-экстракционной десульфуризации содержание серы снизили до 5.3 ppm, что соответствует современным требованиям.
Приведенные выше (рис. 13) катализаторы на основе хлоранионов Сu(I) и Fe(III) протестированы в окислении наиболее трудноокисляемого ССК – тиофена – пероксидом водорода в изооктане при 70°C [19]. Механизм реакции исследовали методом радикального ингибиторования. На основании данных о влиянии бензохинона и изопропанола на скорость окисления, а также результатов квантово-химических расчетов предложен механизм процесса в присутствии медьсодержащего катализатора (рис. 16). Взаимодействие хлоридного комплекса Cu(I) с H2O2 приводит к образованию гидроксильного радикала, связанного с гидроксохлоридным комплексом Cu(II). При его восстановлении пероксидом водорода до комплекса Cu(I) образуется гидропероксидный радикал. Последний может выступать в качестве активной частицы, наряду с промежуточным комплексом меди, содержащим гидроксильный радикал.
В работе [63] получен ряд гетерогенных катализаторов SILP на основе гексадецилметилимидазольной ИЖ и кремнийвольфрамовой кислоты – [C16mim]4SiW12O40–SiO2. Они проявили высокую активность и стабильность в окислении производных ДБТ. Механизм процесса включает стадию образования пероксокомплексов вольфрама (рис. 17).
Композиции типа SILC на мезопористом кремнеземе, содержащие имидазольную ИЖ с анионами фосфорномолибденовой и фосфорновольфрамовой кислот, получены в работе [64]. Они оказались активными и стабильными катализаторами окисления сульфидов и тиофеновых производных и ОДС дизельного топлива. Анализ структуры методом масс-спектрометрии в технике ПАЛДИ показал, что в ходе синтеза происходит частичное разложение гетерополианионов до кластеров, содержащих до 5 атомов металла, и соответствующих полиоксометаллатов. Предложен механизм образования интермедиатов в реакции с пероксидом водорода (рис. 18).
Для повышения эффективности катализа в работах [65, 66] предложили использовать композиции на оксидах кремния и алюминия, содержащие ИЖ с активными центрами в анионе (кислый протон) и катионе (гетерополианион). Для этого использовали цвиттер-ионное соединение (бетаин) – имидазолбутилсульфонат, который вводили в реакцию с фосфорномолибденовой и фосфорновольфрамовой кислотами, а затем наносили на поверхность (рис. 19).
Структуру исходных ИЖ устанавливали методом ИК-спектроскопии, а нанесенные композиции анализировали с использованием рентгеновской фотоэлектронной спектроскопии (РФЭС) и масс-спектрометрии. По мнению авторов, роль органических катионов заключается, в частности, в стабилизации гетерополианионов, что особенно важно при их низком содержании на поверхности: в отсутствие ионной добавки гетерополикислоты разлагаются в результате взаимодействия с силанольными или иными функциональными группами минерального носителя [67, 68]. В ходе тестирования вольфрамсодержащих катализаторов установлено, что их активность в окислении модельных субстратов (сульфидов и тиофеновых производных) коррелирует с бренстедовской кислотностью [66] и составом гетерополианионов: частичная деструкция последних с образованием структур PW4 и PW5 способствует повышению активности композиций.
Производные бетаина с серной, муравьиной или уксусной кислотами (рис. 20), иммобилизованные на силикагеле, в работе [69] применяли для окисления модельных ССК – тиофена, ДБТ и метилфенилсульфида.
Важной особенностью таких каталитических систем является отсутствие тяжелых переходных металлов, а также связывание бетаином активных центров – протонов, что снижает коррозионную активность полученной композиции по сравнению с растворами исходных кислот. Полученный на поверхности полярный слой ИЖ стабилен в нескольких последовательных циклах реакции, протекающей в неполярной углеводородной среде. Бренстедовские группы в ИЖ, аналогично действию обычных кислот, катализируют окисление ССК пероксидом водорода, а также повышают его электрофильные свойства, что способствует адсорбции нуклеофильных производных серы. В результате степень удаления производных серы коррелирует с силой исходных кислот и их концентрацией на поверхности: образцы, содержащие более 15 мас. % ИЖ, позволяют очистить дизельную фракцию до концентрации серы менее 10 ppm.
Как показано выше, кроме способов получения катализаторов по методу SILP и SILC, развивается метод SCILL – модифицирование уже готовых гетерогенных катализаторов с помощью ИЖ или иных ионных сурфактантов, приводящее к повышению эффективности процессов извлечения ССК. При этом модификатор, зачастую не являясь каталитически активным, может выполнять функции экстрагента субстрата или продуктов окислительной реакции [70]. На рис. 21 схематично изображены композиции, полученные методом адсорбции ИЖ на поверхность катализаторов или инертные носители.
В работах [71, 72] с помощью упомянутого ранее 4-(3'-этилимидазолий)-бутансульфоната были обработаны гетерогенные катализаторы, полученные методом плазменно-электролитического оксидирования (ПЭО) Ce + Zr и W + Zn. Эти системы, представляющие собой смешанные оксидные слои указанных металлов на титановой фольге, проявили активность в окислении пероксидом водорода модельных субстратов. Нанесение на образцы перед испытанием дополнительного слоя ЦИ приводит к существенному росту степени удаления серы и их стабильности в нескольких последовательных циклах каталитической реакции. Так, для растворов тиофена степень десульфуризации на образце W + Zn к пятому циклу снизилась с 49 до 39%, кроме того, его масса уменьшилась на 15%. На аналогичном образце со слоем ЦИ в первом цикле степень десульфуризации составила 80% и практически не изменилась в ходе испытаний. Аналогичное поведение наблюдалось для дибензотиофена и тиоанизола.
Рисунок 22 иллюстрирует эволюцию образцов в ходе каталитических испытаний. Поверхность необработанного образца подвергается травлению, вызванному действием серной кислоты, образующейся при окислении тиофена. Образец с ЦИ, как видно из рисунка, устойчив к действию реакционной среды.
Рис. 22.
Микрофотографии СЭМ образцов Ce + Zr: исходный образец (a), образец со слоем ЦИ (б), образцы после 5 циклов каталитической реакции с тиофеном (в) и (г) [72]. Copyright ©2020 Elsevier.

Аналогичный стабилизирующий эффект цвиттер-ионного соединения наблюдали при исследовании каталитических свойств образцов, полученных методом ЛЭД – лазерного электродиспергирования металлов на подложки различной природы [73, 74]. Получение равномерного покрытия на поверхности в этом случае происходит в результате лазерной абляции металлической мишени. Нанометаллические композиции W–Ni на оксиде алюминия оказались эффективными катализаторами окисления тиофена и ДБТ, а после обработки 4‑(3'-этилимидазолий)-бутансульфонатом степень удаления этих ССК увеличилась на 20–25%, что обусловлено его участием в адсорбционном процессе. Кроме указанной функции, бетаин оказывает стабилизирующее действие на металлическое покрытие и поверхность катализатора, которые могут подвергаться воздействию сульфокислот или серной кислоты – продуктов глубокого окисления субстратов. Для сравнения на рис. 23 приведены СЭМ изображения образцов после 5 циклов реакции, причем во втором случае катализатор предварительно покрыли слоем ЦИ. Стабилизация поверхности приводит к тому, что катализатор NiW/Al2O3–бетаин не теряет активности в течение пяти последовательных циклов реакций с тиофеном и ДБТ [73].
Рис. 23.
Микрофотографии СЭМ катализаторов ЛЭД: NiW/Al2O3 (а) и NiW/Al2O3–бетаин (б) после 5 циклов каталитической реакции с тиофеном [73].

Таким образом, формирование тонкого слоя ионного соединения на поверхности гетерогенного катализатора способствует не только адсорбции полярных субстратов и продуктов ОДС. Роль ЦИ и ИЖ может заключаться в стабилизации наночастиц металлов и на стадии синтеза катализаторов, и в ходе каталитических процессов различной природы [75]. Кроме того, покрытие ионным соединением может дополнительно регулировать кислотные свойства поверхности катализаторов [76].
В ряде работ проведен сравнительный анализ эффективности в десульфуризации гетерогенных систем, полученных описанными выше методами [77–80]. В работе [78] предложены для проведения окислительного обессеривания три типа катализаторов на основе мезопористого носителя МСМ‑41. Катализаторы получали пропиткой МСМ-41 фосфорномолибденовой кислотой, их активность сравнивали с активностью катализаторов, в состав которых входил фрагмент никотиновой кислоты. Для получения катализатора НРМо-НК/МСМ-41 использовали метод суспензионной пропитки: продукт взаимодействия этилового эфира никотиновой кислоты с бутилбромидом гидролизовали до образования ионной жидкости 23, содержащей фрагмент свободной никотиновой кислоты (рис. 24). Затем проводили суспензионную пропитку носителя МСМ-41: на первом этапе наносили ионную жидкость с никотиновой кислотой, далее – фосфорномолибденовую кислоту (рис. 25).
Второй предложенный метод – химическая иммобилизация (SILC), согласно которому с поверхностью носителя МСМ-41 связывали хлорпропильные группы, полученные из триэтоксихлопропилсилана, затем иммобилизировали никотиновую кислоту с последующей заменой аниона хлора на остатки фосфорномолибденовой кислоты. В результате был получен катализатор НРМо‑НК‑МСМ-41 [78]. Такой подход использован для минимизации вымывания активной фазы катализатора, так как он способствует ковалентному связыванию никотиновой кислоты с поверхностью носителя, а остатки фосфорномолибденовой кислоты оказываются иммобилизованы за счет образования ионной связи. При окислении модельной смеси, содержащей 500 ppm ДБТ в додекане, в присутствии чистого носителя МСМ-41 конверсия ДБТ составляет менее 10% ввиду адсорбции субстрата в порах носителя (рис. 27). Рост конверсии до значений выше 20% обеспечивает иммобилизация никотиновой кислоты за счет присутствия в катализаторе карбоксильной группы, которая образует с пероксидом водорода активную перкислоту. Для катализатора 25 конверсия ДБТ повышается до 80%, а катализатор с включением никотиновой кислоты обеспечивает полное окисление ДБТ до сульфона в указанных условиях (рис. 26).
Рис. 26.
Сравнение активности гетерогенных катализаторов на основе MCM-41 в окислении ДБТ. Условия: время реакции 30 мин, [Н2О2] : [ДБТ] = 6 : 1, 0.5 мас. % катализатора, 80°С [79].

Сравнение активности двух катализаторов, полученных методом пропитки (НРМо/МСМ-41 и НРМо-НК/МСМ-41), и катализатора на таком же носителе, полученного химической иммобилизацией, свидетельствует о более высокой активности последнего [79]. ОДС прямогонной бензиновой фракции осуществляли в присутствии двух катализаторов: образца НРМо/SBA-15, содержащего нанесенную физической адсорбцией фосфорномолибденовую кислоту, и катализатора, приготовленного из SBA-15, с иммобилизацией на его поверхности носителей двух активных центров НРМо-НК-SBA-15. ОДС проводили в две стадии, на первой из которых окисляли серосодержащие соединения, а на второй продукты окисления выделяли экстракцией ацетонитрилом ввиду его высокой растворяющей способности по отношению к сульфонам и низкой температуры кипения, упрощающей его регенерацию. В отсутствие катализатора снижение содержания серы с 625 до 495 ppm достигается за счет холостой экстракции. При использовании катализаторов более высокую активность в обессеривании (до 87 ppm) проявляет образец НРМо-НК-SBA-15, имеющий два активных центра, по сравнению с образцом, содержащим в качестве активной фазы только фосфорномолибденовую кислоту (степень удаления серы до 267 ppm). Даже при 20°С более активным в ОДС является катализатор НРМо-НК-SBA-15 с двумя активными центрами (остаточное содержание серы 282 ppm), чем катализатор НРМо/SBA-15, для которого только при 60°С достигается степень обессеривания 267 ppm.
Важной особенностью окисления является возможность сульфонов, как более полярных веществ, адсорбироваться в порах катализатора, что затрудняет диффузию субстрата к активному центру. Вследствие этого после окончания реакции катализатор отделяли на центрифуге, промывали ацетоном и сушили 4 ч при 80° и пониженном давлении. Обработанный таким образом катализатор может быть использован снова для окисления бензиновой фракции, он сохраняет свою активность как минимум в течение 5 циклов окисления/регенерации.
В работе [80] проведено сравнение катализаторов, содержащих оксид молибдена МоО3 на двух типах носителей: SBA-15 и аналогичном кремнеземе, промотированном оксидом алюминия. Введение 1 мас. % алюминия в структуру носителя позволяет увеличить его кислотность с 384 до 431 мкмоль NH3 / г, что способствует ускорению реакции окисления за счет координации серосодержащих соединений, являющихся основаниями Льюиса. Действительно, образцы, содержащие в структуре алюминий, позволяют добиться полного окисления дибензотиофена при меньших дозировках катализатора. Полное окисление ДБТ в модельной смеси на основе дибензотиофена достигается за 30 мин, а активность катализатора сохраняется в течение 10 каталитических циклов [80].
V. ПРИКЛАДНЫЕ АСПЕКТЫ ПРИМЕНЕНИЯ ИЖ В ДЕСУЛЬФУРИЗАЦИИ
Изложенные подходы для создания и реализации в ОДС ионных жидкостей, несомненно, имеют хорошие практические перспективы, о чем свидетельствует патентная литература в этой области за последние 10–12 лет в Китае, США и России. Например, в патенте [81] предлагается для ОДС мазута использовать в качестве экстрагента продуктов окисления имидазольную ИЖ с анионами, являющимися кислотами Льюиса. Другим примером ОДС с использованием ИЖ можно считать патент [82], где высокая степень извлечения сульфидов из углеводородного топлива (до 90%) достигается действием пероксида водорода при 25–68°С при соотношении ИЖ к топливу (0.1–1) : 1 и серы к катализатору (50–200) : 1 с многократным использованием ИЖ. Применение ИЖ в нескольких циклах для ОДС топлива в качестве компонента каталитической системы и экстрагента продуктов окисления предложено в патенте [83]. Возможность рециркуляции ИЖ после проведения ОДС нефтепродуктов предлагается и в патенте [84], что, по мнению авторов, делает процесс экологически чистым и эффективным. Основой катализатора для ОДС нефтепродуктов предложена ИЖ на основе фосфорновольфрамовой кислоты [85], что обеспечивает проведение процесса в мягких условиях 25–70°С и высокую степень десульфуризации – более 97%. Аналогичное использование ИЖ с катионом имидазола и анионами хлора, бисульфата и бисульфоната при ОДС для экстракции продуктов окисления сернистых соединений из сульфидосодержащего нефтяного сырья с возможностью регенерации ИЖ предложено в патенте [86]. В патенте [87] предложено применение ИЖ на основе алкил-имидазолий-катиона в присутствии бромидов и трифторацетатов металлов для экстракции серосодержащих соединений из органической фазы без их предварительного окисления.
VI. ЗАКЛЮЧЕНИЕ
Представленный материал по применению ионных жидкостей как основы для создания катализаторов окисления индивидуальных сернистых соединений нефтяного происхождения и ОДС реальных нефтяных фракций свидетельствует о еще одном важном и интересном направлении в катализе. Можно выделить два аспекта в создании и реализации каталитических окислительных систем на основе ИЖ: жидкофазный и гетерогенный. Каждый из этих подходов имеет свои достоинства и недостатки, наиболее эффективным способом формирования каталитической системы является сочетание в одном катализаторе двух типов активных центров – кислотных и металлсодержащих, а также иммобилизация ионной жидкости на поверхности твердого носителя с хорошо развитой поверхностью. Успешная реализация таких каталитических систем определяется содержанием общей серы в обессерива-емой нефтяной фракции и типом применяемого окислителя. Фактором, который может сдерживать распространение таких каталитических систем на основе ИЖ для окислительного обессеривания, является отсутствие крупнотоннажного производства доступных и дешевых ионных жидкостей, удовлетворяющих масштабы обессеривания. Тем не менее технология ОДС, в том числе с применением ионных жидкостей, может стать востребованной для предприятий нефтяного комплекса, выходящих на рынок с качественными нефтепродуктами и не имеющими возможностей использовать традиционную гидроочистку. Окислительная десульфуризация может применяться для снижения содержания серы в сырой нефти, не затрагивая ее основные параметры, для уменьшения затрат на стадии гидроочистки, для доочистки нефтяных фракций с повышенным содержанием производных бензотиофена, устойчивых к гидрогенизационным воздействиям, а также для сероочистки светлых нефтяных фракций (бензин, керосин) для получения продуктов с ультранизким содержанием серы.
Список литературы
Houda S., Lancelot C., Blanchard P., Poinel L., Lamo-nier C. // Catalysts. 2018. V. 8. № 9. P. 344. https://doi.org/10.3390/catal8090344
Rajendran A., Cui T., Fan H., Yang Z., Feng J., Li W. // J. Mater. Chem. A. 2020. V. 8. № 5. P. 2246–2285. https://doi.org/10.1039/C9TA12555H
Ahmadian M., Anbia M. // Energy fuels. 2021. Vol. 35. P. 10347–10373. https://doi.org/10.1021/acs.energyfuels.1c00862
Lee K.X., Valla J.A. // React. Chem. Eng. 2019. V. 4. № 8. P. 1357–1386. https://doi.org/10.1039/C9RE00036D
Crandall B.S., Zhang J., Stavila V., Allendorf M.D., Li Z. // Ind. Eng. Chem. Res. 2019. V. 58. № 42. P. 19322–19352. https://doi.org/10.1021/acs.iecr.9b03183
Valenzuela C., Donoso C., Guzmán-Beckmann L. // Key Eng. Mater. 2020. V. 834. P. 42–48. https://doi.org/10.4028/www.scientific.net/KEM.834.42
Ahmed O.U., Mjalli F.S., Al-Wahaibi A.W., Al-Wahaibi Y., AlNashef I.M. // Solution Chem. 2018. № 3. V. 47. P. 468–483. https://doi.org/10.1007/s10953-018-0732-1
Романовский Б.В., Тарханова И.Г. // Усп. хим. 2017. Т. 86. № 5. С. 444–458. https://doi.org/10.1070/RCR4666
Speight J.G. Handbook of Petroleum Refining. CRC Press., 2016. 789 p.
Tanimu A., Alhooshani K. // Energy Fuels. 2019. V. 33. № 4. P. 2810–2838. https://doi.org/10.1021/acs.energyfuels.9b00354
Ghubayra R., Nuttall C., Hodgkiss S., Craven M., Kozhevnikova E.F., Kozhevnikov I.V. // Appl. Catal. B. 2019. V. 253. P. 309–316. https://doi.org/10.1016/j.apcatb.2019.04.063
Li J., Yang Z., Li S., Jin Q., Zhao J. // J. Ind. Eng. Chem. 2020. V. 82. P. 1–16. https://doi.org/10.1016/j.jiec.2019.10.020
Тарханова И.Г., Али-Заде А.Г., Буряк А.К., Зелик-ман В.М. // Катализ в промышленности. 2022. Т. 22. № 4. С. 43–50. https://doi.org/10.18412/1816-0387-2022-4-43-50
Брыжин А.А., Руднев В.С., Лукиянчук И.В., Васильева М.С., Тарханова И.Г. // Кинетика и катализ. 2020. Т. 61. № 2. С. 262–270. https://doi.org/10.31857/S0453881120020021
Xun S., Zhu W., Chang Y., Li H., Zhang M., Jiang W., Zheng D., Qin Y., Li H. // Chem. Eng. J. 2016. V. 288. P. 608–617. https://doi.org/10.1016/j.cej.2015.12.005
Li X., Zhang J., Zhou F., Wang Y., Yuan X., Wang H. // Mol. Catal. 2018. V. 452. P. 93–99. https://doi.org/10.1016/j.mcat.2017.09.038
Abdullah W.N.W., Bakar W.A.W.A., Ali R., Mokh-tar W.N.A.W., Omar M.F. // J. Clean. Prod. 2017. V. 162. P. 1455–1464. https://doi.org/10.1016/j.jclepro.2017.06.084
Hao Y., Hao Y., Ren J., Wu B., Wang X., Zhao D., Li F. // New J. Chem. 2019. V. 43. № 20. P. 7725–7732. https://doi.org/10.1039/C9NJ00691E
Ivanin I.A., Ali-Zade A.G., Golubeva E.N., Zubano-va E.M., Zelikman V.M., Buryak A.K., Tarkhanova I.G. // Mol. Catal. 2020. V. 484. 110727. https://doi.org/10.1016/j.mcat.2019.110727
Singh S.K., Savoy A.W. // J. Mol. Liq. 2020. V. 297. 112038. https://doi.org/10.1016/j.molliq.2019.112038
Ohno H., Yoshizawa-Fujita M., Kohno Y. // Phys. Chem. Chem. Phys. 2018. V. 20. № 16. P. 10978–10991. https://doi.org/10.1039/C7CP08592C
Amarasekara A.S. // Chem. Rev. 2016. V. 116. № 10. P. 6133–6183. https://doi.org/10.1021/acs.chemrev.5b00763
Gerola A.P., Costa P.F.A., Quina F.H., Fiedler H.D., Nome F. // Curr. Opin. Colloid Interface Sci. 2017. V. 32. P. 39–47. https://doi.org/10.1016/j.cocis.2017.09.005
Hatab F.A., Darwish A.S., Lemaoui T., Warrag S.E.E., Benguerba Y., Kroon M.C., AlNashef I.M. // J. Chem. Eng. Data. 2020. V. 65. № 11. P. 5443–5457. https://doi.org/10.1021/acs.jced.0c00579
Abdullah S.B., Aziz H.A., Man Z. Ionic Liquids for Desulphurization: A Review. In: Recent Advances in Ionic Liquids. Rahman M.M. (Ed.). London, IntechOpen, 2018. P. 107–120. https://doi.org/10.5772/intechopen.79281
Player L.C., Chan B., Lui M.Y., Masters A.F., Maschmeyer T. // ACS Sustain. Chem. Eng. 2019. V. 7. № 4. P. 4087–4093. https://doi.org/10.1021/acssuschemeng.8b05585
Zhou J., Mao J., Zhang S. // Fuel Process. Technol. 2008. V. 89. № 12. P. 1456–1460. https://doi.org/10.1016/j.fuproc.2008.07.006
Su B.M., Zhang S., Zhang Z.C. // J. Phys. Chem. B. 2004. V. 108. № 50. P. 19510–19517. https://doi.org/10.1021/jp049027l
Hansmeier A.R., Meindersma G.W., Haan A.B. // Green Chem. 2011. V. 13. № 7. P. 1907–1913. https://doi.org/10.1039/C1GC15196G
Oliveira O.V., Paluch A.S., Costa L.T. // Fuel. 2016. V. 175. № 1. P. 225-231. https://doi.org/10.1016/j.fuel.2016.02.016
Li J., Lei X.J., Tang X.D., Zhang X.P., Wang Z.Y., Jiao S. // Energy Fuels. 2019. V. 33. № 5. P. 4079–4088. https://doi.org/10.1021/acs.energyfuels.9b00307
Elwan H.A., Zaky M.T., Farag A.S., Soliman F.S., Ezel Dean Hassan M. // J. Mol. Liq. 2017. V. 248. P. 549–555. https://doi.org/10.1016/j.molliq.2017.10.077
Ren Z., Wei L., Zhou Z., Zhang F., Liu W. // Energy Fuels. 2018. V. 32. № 9. P. 9172–9181. https://doi.org/10.1021/acs.energyfuels.8b01936
Ibrahim M.H., Hayyan M., Hashim M.A., Hayyan A. // Renew. Sust. Energ. Rev. 2017. V. 76. P. 1534–1549. https://doi.org/10.1016/j.rser.2016.11.194
Mai N.L., Ahn K., Koo Y.M. // Process Biochem. 2014. V. 49. № 5. P.872–881. https://doi.org/10.1016/j.procbio.2014.01.016
Hao Y., Hao Y., Ren J., Wu B., Wang X., Zhao D., Li F. // New J. Chem. 2019. V. 43. № 20. P. 7725–7732. https://doi.org/10.1039/C9NJ00691E
Jiang W., Zhu K., Li H., Zhu L., Hua M., Xiao J., Wang C., Yang Z., Chen G., Zhu W., Li H., Dai S. // Chem. Eng. J. 2020. V. 394. 124831. https://doi.org/10.1016/j.cej.2020.124831
Lü H., Wang S., Deng C., Ren W., Guo B. // J. Hazard. Mater. 2014. V. 279. P. 220–225. https://doi.org/10.1016/j.jhazmat.2014.07.005
Wang L., Wang H., Wang Y. // J. Mol. Struct. 2020. V. 1220. 128779. https://doi.org/10.1016/j.molstruc.2020.128779
Jiang B., Yang H., Zhang L., Zhang R., Sun Y., Huang Y. // Chem. Eng. J. 2016. V. 283. P. 89–96. https://doi.org/10.1016/j.cej.2015.07.070
García-Gutiérrez J.L., Fuentes G.A., Hernández-Terán M.E., García P., Murrieta-Guevara F., Jiménez-Cruz F. // Appl. Catal., A. 2008. V. 334. № 1–2. P. 366–373. https://doi.org/10.1016/j.apcata.2007.10.024
Otsuki S., Nonaka T., Takashima N., Qian W., Ishihara A., Imai T., Kabe T. // Energy Fuels. 2000. V. 14. № 6. P. 1232–1239. https://doi.org/10.1021/ef000096i
Акопян А.В., Есева Е.А., Поликарпова П.Д., Кедало А.А., Анисимов А.В. // Вестн. Моск. Ун-та. Сер. 2. Химия. 2019. Т. 60. № 6. С. 375–383. https://doi.org/10.3103/S0027131419060026
Акопян А.В., Есева Е.А., Поликарпова П.Д., Байгильдиев Т.М., Родин И.А., Анисимов А.В. // Журн. прикл. химии. 2019. Т. 92. № 4. С. 531–537. https://doi.org/10.1134/S1070427219040141
Akopyan A., Eseva E., Polikarpova P., Kedalo A., Vutolkina A., Glotov A. // Molecules. 2020. V. 25. C. 536–550. https://doi.org/10.3390/molecules25030536
Bartlewicz O., Dąbek I., Szymańska A., Maciejewski H. // Catalysts. 2020. V. 10. № 11. 1227. https://doi.org/10.3390/catal10111227
Fehrmann R., Riisager A., Haumann M. (Eds.) Suppor-ted Ionic Liquids. Weinheim. Germany: Wiley-VCH Verlag GmbH & Co. KGaA. 2014. 496 p.
Steinrück H.-P., Wasserscheid P. // Catal. Lett. 2015. V. 145. № 1. P. 380–397. https://doi.org/10.1007/s10562-014-1435-x
Naicker L., Friedrich H.B., Govender A., Mohlala P. // Appl. Catal., A. 2018. V. 562. P. 37–48. https://doi.org/10.1016/j.apcata.2018.05.018
Friedrich M.F., Lucas M., Claus P. // Catal. Commun. 2017. V. 88. P. 73–76. https://doi.org/10.1016/j.catcom.2016.09.036
Mondal P., Chatterjee S., Nurjamal K., Maity S., Bhaumik A., Brahmachari G., Ghosh P., Mukhopadhyay C. // Catal. Commun. 2020. V. 139. 105966. https://doi.org/10.1016/j.catcom.2020.105966
Xu Z., Wan H., Miao J., Han M., Yang C., Guan G. // J. Mol. Catal. A: Chem. 2010. V. 332. № 1–2. P. 152–157. https://doi.org/10.1016/j.molcata.2010.09.011
Li L.X., Ling Q.L., Liu Z.L., Xing X.D., Zhu X.Q., Meng X. // Bull. Korean Chem. Soc. 2012. V. 33. № 10. P. 3373–3377. https://doi.org/10.5012/bkcs.2012.33.10.3373
Zhang Q., Luo J., Wei Y. // Green Chem. 2010. V. 12. № 12. P. 2246–2254. https://doi.org/10.1039/C0GC00472C
Wang G., Yu N., Peng L., Tan R., Zhao H., Yin D., Qiu H., Fu Z., Yin D. // Catal. Lett. 2008. V. 123. № 3–4. P. 252–258. https://doi.org/10.1007/s10562-008-9415-7
Jankowska-Wajda M., Bartlewicz O., Szpecht A., Zajac A., Smiglak M., Maciejewski H. // RSC Adv. 2019. V. 9. P. 29396–29404. https://doi.org/10.1039/C9RA05948B
Lijewski M., Hogg J.M., Swadźba-Kwaśny M., Wasserscheid P., Haumann M. // RSC Adv. 2017. V. 7. № 44. P. 27558–27563. https://doi.org/10.1039/C7RA03295A
Pavel O.D., Podolean I., Parvulescu V.I., Taylor S.F.R., Manyar H.G., Ralphs K., Goodrich P., Hardacre C. // Faraday Discuss. 2018. V. 206. P. 535–547. https://doi.org/10.1039/C7FD00159B
Barth T., Korth W., Jess A. // Chem. Eng. Technol. 2017. V. 40. № 2. P. 395–404. https://doi.org/10.1002/ceat.201600140
Podolean I., Pavel O.D., Manyar H.G., Taylor S.F.R., Ralphs K., Goodrich P., Pârvulescu V.I., Hardacre C. // Catal. Today. 2019. V. 333. P. 140–146. https://doi.org/10.1016/j.cattod.2018.07.014
Safa M., Mokhtarani B., Mortaheb H.R., Tabar Heidar K., Sharifi A., Mirzaei M. // Energy Fuels. 2017. V. 31. № 9. P. 10196–10205. https://doi.org/10.1021/acs.energyfuels.6b03505
Li X., Zhang J., Zhou F., Wang Y., Yuan X., Wang H. // Mol. Catal. 2018. V. 452. P. 93–99. https://doi.org/10.1016/j.mcat.2017.09.038
Xun S., Zhu W., Chang Y., Li H., Zhang M., Jiang W., Zheng D., Qin Y., Li H. // Chem. Eng. J. 2016. V. 288. P. 608–617. https://doi.org/10.1016/j.cej.2015.12.005
Ali-Zade A.G., Buryak A.K., Zelikman V.M., Oskolok K.V., Tarkhanova I.G. // New J. Chem. 2020. V. 44. № 16. P. 6402–6410. https://doi.org/10.1039/C9NJ05403K
Bryzhin A.A., Gantman M.G., Buryak A.K., Tarkhano-va I.G. // Appl. Catal., B. 2019. V. 257. 117938. https://doi.org/10.1016/j.apcatb.2019.117938
Брыжин А.А., Буряк А.К., Гантман М.Г., Зелик-ман В.М., Шилина М.И., Тарханова И.Г. // Кинетика и катализ. 2020. Т. 61. № 5. С. 688–699. https://doi.org/10.1134/S0023158420050018
Jalil P.A., Faiz M., Tabet N., Hamdan N.M., Hussain Z. // J. Catal. 2003. V. 217. № 2. P. 292–297. https://doi.org/10.1016/S0021-9517(03)00066-6
Craven M., Xiao D., Kunstmann-Olsen C., Kozhevniko-va E.F., Blanc F., Steiner A., Kozhevnikov I.V. // Appl. Catal., B. 2018. V. 231. P. 82–91. https://doi.org/10.1016/j.apcatb.2018.03.005
Горбунов В.С., Брыжин А.А., Попов А.Г., Тархано-ва И.Г.// Нефтехимия. 2021. Т. 61. № 6. С. 858–868. https://doi.org/10.1134/S0965544121110086
Vekariya R.L. // J. Mol. Liq. 2017. V. 227. P. 44–60. https://doi.org/10.1016/j.molliq.2016.11.123
Tarkhanova I.G., Bryzhin A.A., Gantman M.G., Yaro-vaya T.P., Lukiyanchuk I.V., Nedozorov P.M., Rudnev V.S. // Surf. Coat. Technol. 2019. V. 362. P. 132–140. https://doi.org/10.1016/j.surfcoat.2019.01.101
Bryzhin A.A., Tarkhanova I.G., Gantman M.G., Rud-nev V.S., Vasilyeva M.S., Lukiyanchuk I.V. // Surf. Coat. Technol. 2020. V. 393. 125746. https://doi.org/10.1016/j.surfcoat.2020.125746
Брыжин А.А., Тарханова И.Г., Маслаков К.И., Николаев С.А., Гуревич С.А., Кожевин В.М., Явсин Д.А., Гантман М.Г, Ростовщикова Т.Н. // Журн. физ. химии. 2019. Т. 93. № 10. С. 1575–1583. https://doi.org/10.1134/S0036024419100029
Ростовщикова Т.Н., Локтева Е.С., Шилина М.И., Голубина Е.В., Маслаков К.И., Кротова И.Н., Брыжин А.А., Тарханова И.Г., Удалова О.В., Кожевин В.М., Явсин Д.А., Гуревич С.А. // Журн. физ. химии. 2021. Т. 95. № 3. С. 348–373. https://doi.org/10.1134/S0036024421030171
Gerola A.P., Costa P.F.A., Quina F.H., Fiedler H.D., Nome F // Curr. Opin. Colloid Interface Sci. 2017. V. 32. P. 39–47. https://doi.org/10.1016/j.cocis.2017.10.002
Mayank M., Singh A., Raj P., Kaur R., Singh A., Kaur N., Singh N. // New J. Chem. 2017. V. 41. № 10. P. 3872–3881. https://doi.org/10.1039/C6NJ03763A
Тарханова И.Г., Анисимов А.В., Буряк А.К., Бры-жин А.А., Али-Заде А.Г., Акопян А.В., Зеликман В.М. // Нефтехимия. 2017. Т. 57. № 5. С. 536–544. https://doi.org/10.1134/S0965544117100164
Акопян А.В., Есева Е.А., Поликарпова П.Д., Кедало А.А., Анисимов А.В. // Вестн. Моск. Ун-та. Сер. 2. Химия. 2021. Т. 62. № 4. С. 360–370. https://doi.org/10.3103/S0027131421030020
Акопян А.В., Есева Е.А., Арзяева Н.В., Таланова М.Ю., Поликарпова П.Д. // Нефтехимия. 2022. Т. 62. № 1. С. 111–118. https://doi.org/10.1134/S0965544122010169
Akopyan A., Polikarpova P., Gul O., Anisimov A., Karakhanov E. // Energy Fuels. 2020. V. 34. № 11. P. 14611–14619. https://doi.org/10.1021/acs.energyfuels.0c02008
Oxidation desulfurization method based on Lewis acid and ion liquid. PETROCHINA CO LTD; UNIV BEIJIN CHEMICAL. Патент КНР 103509590. 2012.
Biomimetic oxidative desulfurization method for fuel in ionic liquid. SHANXI INST COAL CHEMISTRY. Патент КНР CN 105419853. 2012.
Oxidation desulfurization method for rare earth poli-acid and ionic liquid extraction catalysis fuel oil. UNIV BEIJIN CHEMICAL. Патент КНР 102585888. 2012.
Oxidative coupling extraction desulfurization of petroleum product as well as and ionic liquid and preparation method thereof. SHANXI INST COAL CHEMISTRY. Патент КНР 102525453. 2012.
Catalytic oxidation oil product desulfurization method based on phosphotungststic acid ionic liquid. UNIV LIAONING SHIHUA. Патент КНР 104312261. 2014.
Ionic liquid based oxidative extraction desulfurization method. UNIV EAST CHINA SCIENCE AND TECH. Патент КНР 105176570. 2008.
Скороходова Т.С., Сачков В.И., Маракина Е.И., Коботаева Н.С., Андриенко О.С. Способ очистки дизельного топлива от серосодержащих соединений. Патент РФ 2673539. 2018.
Дополнительные материалы отсутствуют.
Инструменты
Доклады Российской академии наук. Химия, науки о материалах




















