Доклады Российской академии наук. Науки о Земле, 2023, T. 509, № 2, стр. 272-275
Микроэлементный состав вод устьевого участка р. Колымы
А. В. Савенко 1, *, В. С. Савенко 1, В. А. Ефимов 1, О. С. Покровский 2
1 Московский государственный университет
имени М.В. Ломоносова
Москва, Россия
2 Национальный исследовательский Томский государственный университет
Томск, Россия
* E-mail: Alla_Savenko@rambler.ru
Поступила в редакцию 09.12.2022
После доработки 15.12.2022
Принята к публикации 16.12.2022
- EDN: NZFQEA
- DOI: 10.31857/S2686739722602800
Аннотация
Определено содержание ионов основного солевого состава и 50 растворенных микроэлементов (Li, Rb, Cs, Be, Sr, Ba, Mn, Fe, Co, Ni, Cu, Zn, Cd, Tl, Pb, Al, Sc, Ga, Y, La, Ce, Pr, Nd, Sm, Eu, Gd, Tb, Dy, Ho, Er, Tm, Yb, Lu, Ti, Zr, Hf, Th, U, F, B, Si, Ge, P, V, As, Sb, Cr, Se, Mo, W) в водах устьевого участка р. Колымы во время спада весенне-летнего половодья и летне-осенней межени. Установлено наличие тесной положительной корреляции между концентрациями растворенных микроэлементов в водах р. Колымы и рек водосборов Белого и Карского морей. Различия концентраций растворенных микроэлементов в речных водах Российской Арктики в целом пропорциональны отношению величин их минерализации.
В настоящее время накоплены обширные сведения об основном солевом составе вод крупных рек мира [1]. В отношении растворенных микроэлементов, в том числе сильно токсичных, объем соответствующей информации значительно меньше [2, 3], что существенно осложняет количественную характеристику влияния материкового стока на химию океана, в том числе на эколого-токсикологическое состояние акваторий, прилегающих к устьям крупных рек. Особенно слабо изучен микроэлементный состав арктических рек, геохимический мониторинг которых представляет повышенный интерес в связи с происходящими изменениями климата, влияющими на формирование химического состава вод суши. Целью настоящей работы послужили представление новых данных о концентрациях растворенных микроэлементов в водах устьевого участка р. Колымы и их сравнение с микроэлементным составом речного стока в Белое и Карское моря [4].
Речной границей устьевого участка р. Колымы длиной 282 км принято считать пос. Колымское выше впадения р. Омолон [5, 6]. На протяжении широкопойменного придельтового отрезка встречается несколько крупных очагов размыва едомных отложений, в том числе Дуванный Яр длиной >10 км. Река имеет дельту с вершиной у пос. Черский, подверженную слабому влиянию нагонов. Дельта разделяется на два основных рукава – протоки Походская Колыма и Каменная Колыма, доля стока последнего из которых составляет >70% [5].
Работы проводили на придельтовом отрезке р. Колымы, начиная с речной границы устьевого участка, в вершине дельты и в судоходном рукаве Каменная Колыма на спаде весенне-летнего половодья (2–8 июля 2020 г.) и дважды в период летне-осенней межени (28 июля–10 августа 2019 г. и 20–31 июля 2021 г.). Расходы воды в вершине дельты в эти фазы водного режима составляли соответственно 7680 ± 1400 и 7060 ± 160 м3/с при среднемноголетнем значении 3340 м3/с [5]. Всего было отобрано 20 проб воды.
Пробы воды отбирали пластиковой емкостью с поверхности или пластмассовым батометром из глубинных слоев и сразу после этого подготавливали их для лабораторных исследований. Отфильтрованные через плотный бумажный фильтр в полипропиленовые флаконы растворы использовали для определения содержания хлоридов и сульфатов методом капиллярного электрофореза на установке Капель 103Р, величины щелочности (≈HCO3) объемным ацидиметрическим методом и концентрации фторидов методом прямой ионометрии с фторидным ионоселективным электродом в присутствии ацетатного солевого буфера. Концентрации главных катионов и растворенных микроэлементов определяли методом масс-спектрометрии с индуктивно связанной плазмой на приборе Agilent 7500ce в растворах, полученных путем фильтрации через мембранный ацетат-целлюлозный фильтр с диаметром пор 0.45 мкм во флаконы с предварительно добавленными туда аликвотами 5 N азотной кислоты марки ос.ч. (0.25 мл на 10 мл пробы). Относительная погрешность измерений составила ±3%. Правильность анализов оценивали с помощью международных стандартов речной воды SLRS-4 и SLRS-5, для которых расхождение измеренных и сертифицированных концентраций изученных элементов не превышало 20%.
Среднее содержание ионов основного солевого состава и растворенных микроэлементов в водах устьевого участка р. Колымы приведено в табл. 1. По сравнению со средними концентрациями растворенных микроэлементов в реках мира [3] их содержание в стоке р. Колымы в большинстве случаев в несколько раз ниже (рис. 1). Поскольку минерализация вод р. Колымы (78.9 мг/л) не сильно отличается от среднемирового значения (85.1 мг/л [1]), отмеченная тенденция, по-видимому, обусловлена пониженной интенсивностью водной миграции микроэлементов в условиях холодного арктического климата, при котором снижается скорость химического и биологического выветривания и возрастает относительная роль сорбционной иммобилизации.
Таблица 1.
Средний химический состав вод устьевого участка р. Колымы в июле–августе 2019–2021 гг.
| Компонент | СКол, мкг/л | Компонент | СКол, мкг/л | Компонент | СКол, мкг/л | Компонент | СКол, мкг/л |
|---|---|---|---|---|---|---|---|
| M* | 78 900 | Fe | 71.9 | Nd | 0.055 | U | 0.028 |
| Na | 2120 | Co | 0.050 | Sm | 0.018 | F | 84.9 |
| K | 510 | Ni | 0.67 | Eu | 0.0043 | B | 3.98 |
| Mg | 4160 | Cu | 0.76 | Gd | 0.016 | Si | 2240 |
| Ca | 13 300 | Zn | 1.52 | Tb | 0.0023 | Ge | 0.014 |
| Cl | 230 | Cd | 0.004 | Dy | 0.013 | P | 5.8 |
| SO4 | 30 800 | Tl | 0.0011 | Ho | 0.0024 | V | 0.19 |
| HCO3 | 27 800 | Pb | 0.086 | Er | 0.0066 | As | 0.44 |
| Li | 0.92 | Al | 33.8 | Tm | 0.0009 | Sb | 0.070 |
| Rb | 0.28 | Sc | 0.027 | Yb | 0.0056 | Cr | 0.061 |
| Cs | 0.0017 | Ga | 0.016 | Lu | 0.0009 | Se | 0.085 |
| Be | 0.0058 | Y | 0.065 | Ti | 0.45 | Mo | 0.142 |
| Sr | 85.6 | La | 0.046 | Zr | 0.027 | W | 0.0019 |
| Ba | 11.4 | Ce | 0.078 | Hf | 0.0012 | ||
| Mn | 3.61 | Pr | 0.013 | Th | 0.0030 |
Рис. 1.
Сравнение средних концентраций растворенных микроэлементов в водах устьевого участка р. Колымы (СКол, данная работа) с мировым уровнем (СРС [3]). Штриховыми и штрихпунктирными линиями показаны соответственно различия в 3 и 5 раз.

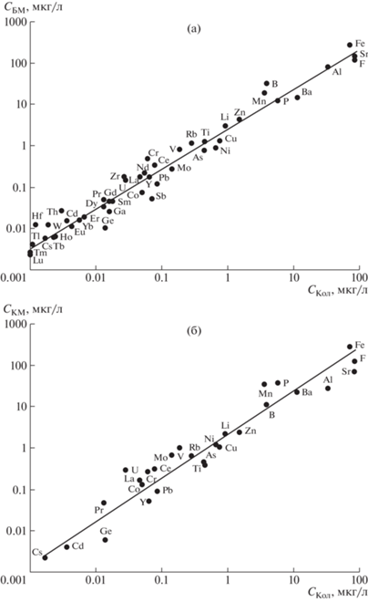
Наряду с этим в сходных природно-климатических условиях (в пределах арктической зоны) наблюдается зависимость концентраций растворенных микроэлементов в речных водах от величины их минерализации. Как показано на рис. 2, установлена тесная положительная корреляция между средними концентрациями растворенных микроэлементов в водах устьевых участков р. Колымы (СКол, мкг/л), с одной стороны, и рек водосборов Белого и Карского морей (СБМ и СКМ, мкг/л), с другой:
причем коэффициенты пропорциональности в этих уравнениях близки к отношению величин минерализации соответствующих речных вод. Так, среднемноголетняя минерализация речного стока в Белое и Карское моря (166 и 124 мг/л [7, 8]) превышает среднюю минерализацию вод р. Колымы в период наблюдений (78.9 мг/л) в 2.1 и 1.6 раза, что достаточно хорошо согласуется коэффициентами пропорциональности в уравнениях (1) и (2). Отсюда следует, что при нормировании на величину минерализации (суммарное содержание растворенных веществ) микроэлементный состав речного стока со всего арктического побережья России должен быть примерно одинаков. Это позволяет аппроксимировать (с приближением ~30%) микроэлементный состав вод неизученных рек Российской Арктики с использованием имеющихся данных по рекам арктических водо-сборов.Рис. 2.
Взаимосвязь средних концентраций растворенных микроэлементов в водах устьевых участков р. Колымы (СКол, данная работа) и рек водосборов Белого (а) и Карского (б) морей (СБМ и СКМ [4]).

Таким образом, концентрации растворенных микроэлементов в водах устьевого участка р. Колымы тесно коррелируют с таковыми в речном стоке с других арктических территорий России: водосборов Белого и Карского морей. Различия концентраций растворенных микроэлементов в речных водах крупных арктических водосборов пропорциональны отношению величин их минерализации. Нормированные на минерализацию концентрации растворенных микроэлементов характеризуют химический состав речного стока с арктического побережья в целом.
Список литературы
Meybeck M. Global occurrence of major elements in rivers // Treatise on Geochemistry. V. 5. Amsterdam: Elsevier–Pergamon, 2004. P. 207–223.
Гордеев В.В. Геохимия системы река–море. М., 2012. 452 с.
Gaillardet J., Viers J., Dupre B. Trace elements in river waters // Treatise on Geochemistry (Second Edition). V. 7. Amsterdam et al.: Elsevier, 2014. P. 195–235.
Савенко А.В., Савенко В.С., Покровский О.С. Новые данные по содержанию растворенных микроэлементов в водах рек Российской Арктики // ДАН. Науки о Земле. 2020. Т. 491. № 2. С. 82–88.
Магрицкий Д.В., Фролова Н.Л., Агафонова С.А., Ефимов В.А., Василенко А.Н., Сазонов А.А., Ефимо-ва Л.Е. Гидрологические условия в устье реки Колымы летом 2019 года // Вестн. Моск. ун-та. Сер. 5. География. 2022. № 1. С. 134–151.
Михайлов В.Н. Устья рек России и сопредельных стран: прошлое, настоящее и будущее. М.: ГЕОС, 1997. 413 с.
Гордеев В.В., Филиппов А.С., Кравчишина М.Д., Новигатский А.Н., Покровский О.С., Шевченко В.П., Дара О.М. Особенности геохимии речного стока в Белое море // Система Белого моря. Т. 2. Водная толща и взаимодействующие с ней атмосфера, криосфера, речной сток и биосфера. М.: Научный мир, 2012. С. 225–308.
Gordeev V.V., Andreeva E.N., Lisitzin A.P., Kremer H.H., Salomons W., Marshall Crossland J.I. Russian Arctic Basins. LOICZ Reports and Studies No. 29. Geesthacht: LOICZ, 2006. 97 p.
Дополнительные материалы отсутствуют.
Инструменты
Доклады Российской академии наук. Науки о Земле


