Физика плазмы, 2022, T. 48, № 11, стр. 1138-1148
Исследование генерации оксида азота в импульсно-периодическом диффузном разряде в потоке воздуха
Н. Ю. Бабаева a, С. Н. Буранов b, Г. В. Найдис a, Г. Б. Рагимханов c, *, В. Д. Селемир b, Д. В. Терешонок a, А. А. Тренькин b, З. Р. Халикова c, А. С. Ширшин b
a Объединенный институт высоких температур РАН
Москва, Россия
b Российский федеральный ядерный центр – Всероссийский научно-исследовательский институт
экспериментальной физики
Саров, Россия
c Дагестанский государственный университет
Махачкала, Россия
* E-mail: gb-r@mail.ru
Поступила в редакцию 15.06.2022
После доработки 26.06.2022
Принята к публикации 06.07.2022
- EDN: RRAFDO
- DOI: 10.31857/S0367292122600686
Аннотация
Представлены результаты экспериментальных и расчетных исследований импульсно-периодического микросекундного диффузного разряда, возбуждаемого в потоке воздуха атмосферного давления в резко неоднородном промежутке. Показано, что в таком разряде обеспечивается эффективный синтез оксида азота. Разработана модель наработки окислов азота в поздней стадии разряда, учитывающая основные плазмохимические реакции и газодинамику. Моделирование показало совокупное влияние плазмохимических и газодинамических процессов на пространственно-временные характеристики разряда, обуславливающие, в том числе, генерацию оксида азота. Определены значения основных параметров разряда и показано удовлетворительное согласие расчетных и экспериментальных данных.
ВВЕДЕНИЕ
Высоковольтные газовые разряды находят разнообразные практические применения, одним из которых является плазмохимическая наработка действующих веществ для медицинских целей. При лечении ряда заболеваний эффективным методом является ингаляционная терапия оксидом азота (NO-терапия) [1, 2]. До настоящего времени NO синтезировали на стационарных установках, а к месту проведения лечебных процедур доставляли в баллонах. Однако при таком способе его производства доступность NO-терапии существенно ограничивается ввиду малого срока хранения, специфики регламента безопасного обращения с сосудами высокого давления, высокой стоимости NO и логистических проблем. В этой связи возникла потребность в аппаратном обеспечении NO-терапии, реализующем генерацию оксида азота из воздуха непосредственно на месте проведения лечения. Наиболее подходящей в технико-экономическом отношении является газоразрядная технология [2].
Вместе с тем, при использовании газовых разрядов возникает ряд негативных факторов, таких как наработка NO2, озона, появление мелких твердых частиц (как правило, в результате эрозии и распыления материала электродов), что обуславливает поиск оптимальных условий для эффективного получения требуемых концентраций оксида азота, обеспечивающих возможность его использования для NO-терапии [2].
Разработка генераторов NO для ингаляционной терапии осуществляется с использованием различных типов разрядов, в их числе дуговые и искровые, несамостоятельные объемные разряды, инициируемые или поддерживаемые сильноточными пучками релятивистских электронов, СВЧ-разряды в магнитном поле и др. [2–10]. Однако каждому из указанных подходов присущи определенные недостатки, такие как нежелательные побочные продукты, необходимость охлаждения газа, сложность технической реализации и т. д., что ограничивает возможность реализации на их основе востребованного серийного аппарата [2–10].
В [11] был экспериментально исследован импульсно-периодический высоковольтный диффузный разряд атмосферного давления, обеспечивающий синтез NO в неравновесной низкотемпературной плазме. Разряд реализован в потоке воздуха в промежутке острие–плоскость при подаче на него импульсов напряжения микросекундной длительности. Показано, что озон в газовой смеси на выходе разрядной камеры не обнаружен, соотношение концентраций NO2 к NO составляет 15% и менее, а температура выходного газа близка к комнатной. На основе такого разряда разработан первый в мире медицинский аппарат для ингаляционной терапии оксидом азота АИТ-NO-01 [12] серийный выпуск которого организован в Госкорпорации “Росатом”.
Вместе с тем, для более полного понимания протекающих в указанном разряде процессов, обеспечивающих эффективную наработку оксида азота, и минимизации возможных негативных факторов при использовании его в ингаляционной NO-терапии целесообразно провести моделирование разряда. Разработка и развитие такой модели в дальнейшем может поспособствовать оптимизации подобных устройств, а также созданию газоразрядных аппаратов для других методов лечения с применением оксида азота.
В настоящей работе представлены результаты разработки расчетной модели, посредством которой проведено исследование процессов в высоковольтном диффузном разряде в воздухе атмосферного давления и приведено сравнение расчетных и экспериментальных данных.
1. КРАТКОЕ ОПИСАНИЕ ЭКСПЕРИМЕНТА
Подробно экспериментальные исследования разряда описаны в [11]. Разряд возбуждался в воздухе атмосферного давления при комнатной температуре в промежутке с резко неоднородной геометрией электрического поля.
Разрядный промежуток обладал кольцевой конфигурацией и был образован отрезком трубы внутренним диаметром 60 мм из дюралюминия и коаксиально расположенным диском диаметром 52 мм из нержавеющей стали. Толщина диска 3 мм, угол заострения 30°, радиус заострения 0.1 мм. Межэлектродное расстояние составляло 4 мм. Боковые фланцы камеры изготовлены из оргстекла. Посредством ввода и вывода воздуха через отверстия разрядной камеры обеспечивалось прохождение потока воздуха с расходом 1 л/мин [11]. Источник питания формировал на электродах квазисинусоидальные импульсы длительностью 7 мкс. Частота следования импульсов – от однократных до f = 10.5 кГц.
В процессе разряда каналы формируются последовательно в направлении прохождения газа на примерно равном расстоянии друг относительно друга, постепенно перемещаясь по всему кольцевому промежутку (рис. 1). Каждый канал представляет собой столб диффузного свечения диаметром 0.3–0.4 мм (на основании фотографий разряда внутри каналов не удалось разглядеть отдельные плазменные нити).
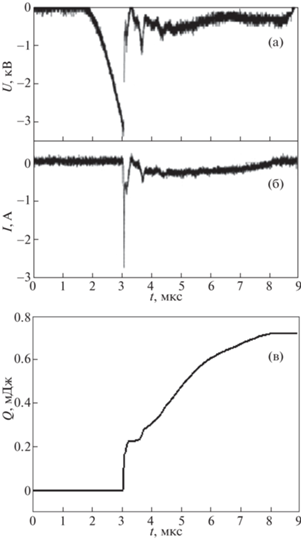
Рис. 1.
Интегральная фотография массива разрядных каналов в межэлектродном промежутке при f = 1.56 кГц (а) и увеличенное изображение отдельного канала (б).

Первый пробой задает начальное положение, а поток газа обеспечивает последовательно перемещение пробоев по промежутку на расстояние, определяемое частотой высоковольтных импульсов и скоростью потока.
Эффект последовательного, в такт с частотой высоковольтных импульсов, перемещения пробоя по длине промежутка может быть вызван смещением продуктов синтеза разряда в направлении газового потока. Однако данное предположение является предварительным, а сам эффект подлежит дальнейшему изучению.
Установлено, что разряд имеет две выраженные фазы: быструю и квазистационарную (рис. 2). Быстрая начинается с пробоя промежутка при напряжении U1 = 3.2–3.4 кВ на переднем фронте импульса через, примерно 1.2 мкс после начала. В этой фазе импульс тока разряда представляет собой пик амплитудой I1 = 2.7–2.8 А и длительностью 200–300 нс. После спада напряжения за время ≤50 нс практически до нуля наступает квазистационарная фаза: напряжение возрастает до U2 = 0.3–0.5 кВ, длительность этой фазы, с током I2 = 0.2–0.3 А, составляет 5–6 мкс.
Рис. 2.
Осциллограммы напряжения U (a) тока I (б), а также зависимость интегрального энерговклада в канал разряда Q (c) от времени.

Судя по однородности свечения столба (за исключением приэлектродных областей), распределение энерговыделения по длине канала можно считать однородным.
В разряде обеспечивается эффективный синтез оксида азота, его концентрация зависит от частоты, причем до f = 6.5 кГц она близка к линейной [11].
На рис. 2c представлена вычисленная из осциллограмм зависимость интегрального энерговклада в разряд от времени. Видно, что энерговклад во второй (квазистационарной) фазе более чем в два раза превосходит энерговклад в первой фазе.
В этой связи в настоящей работе будем рассматривать только вторую фазу. Кроме того, моделирование будем проводить для режима, в котором концентрация NO растет линейно с частотой, что соответствует предположению о независимой наработке NO в каждом импульсе.
2. ПОСТАНОВКА ЗАДАЧИ
Исследуется генерация NO в плазменном канале в воздухе при атмосферном давлении. Плазменная область представляет собой цилиндрический канал диаметром $d = 0.4$ мм и высотой $L = 4$ мм. На основании осциллограмм для определенности полагаем, что во второй фазе разряда импульс длится $\tau = 5$ мкс с постоянными значениями напряжения и тока на уровне $U = 400$ В и $I = 0.3$ A соответственно (если не сказано иное), что дает для напряженности поля оценку $E = U{\text{/}}L = {{10}^{5}}$ В/м.
Моделирование проводится на основе подхода, когда разряд рассматривается как источник энерговыделения, параметры которого берутся в соответствии с данными эксперимента. Аналогичный подход был использован для расчета наработки окислов азота в микроволновом разряде [13].
Радиальные распределения параметров плазмы в зависимости от времени вычисляются в области радиусом ${{R}_{0}} = 10$ см, на сетке с 2000 расчетными ячейками, сгущающейся вблизи центра разрядного промежутка. Минимальный размер ячейки составляет 2.5 мкм. Достаточно большая расчетная область дает возможность с одной стороны исключить отражение от внешней границы, а с другой – рассмотреть динамику газодинамического возмущения на временах существенно бóльших, чем время действия импульса.
Удельное энерговыделение W в зависимости от радиуса r представлено в виде распределения Гаусса $W = {{W}_{0}}\exp ( - {{r}^{2}}{\text{/}}r_{0}^{2})$, где ${{r}_{0}}$ – варьируемый параметр, за базовое значение которого принято 100 мкм [14]. Далее в расчетах выбор радиуса уточняется из условия, чтобы полученный ток примерно соответствовал измеренным значениям. Значение ${{W}_{0}}$ определяется из соотношения $\int_0^L {\left( {\int_0^\infty W \,2\pi rdr} \right)dx} = IU$, что дает ${{W}_{0}} = IU{\text{/}}(\pi r_{0}^{2}L)$.
2.1. Кинетическая схема
С целью выявления основных плазмохимических процессов при температурах до Tg = 7000 К рассматривалась схема реакций с участием N2, O2, N, O, NO, NO2, NO+, и электронов e. Температуры всех тяжелых частиц приняты одинаковыми, плазма квазинейтральна. Константы реакций представлены в табл. 1 [14–18].
Таблица 1.
Реакции. Температура газа ${{T}_{g}}$ и электронов ${{T}_{e}}$ в К
| Номер | Реакция | Константа скорости, м3/с, м6/с | Источник |
|---|---|---|---|
| 1 | O2 + M → O + O + M | $1.2 \times {{10}^{{ - 14}}}T_{g}^{{0.3}}\left( {1 - \exp \left( { - \frac{{2238}}{{{{T}_{g}}}}} \right)} \right)\exp \left( { - \frac{{59380}}{{{{T}_{g}}}}} \right),$${\text{M = N, O}}$$3.3 \times {{10}^{{ - 15}}}T_{g}^{{0.3}}\left( {1 - \exp \left( { - \frac{{2238}}{{{{T}_{g}}}}} \right)} \right)\exp \left( { - \frac{{59380}}{{{{T}_{g}}}}} \right),$${\text{M = }}{{{\text{N}}}_{{\text{2}}}}{\text{, }}{{{\text{O}}}_{{\text{2}}}}{\text{, NO}}$ | [15] |
| 2 | N2 + M → N + N + M | $2.3 \times {{10}^{{ - 11}}}T_{g}^{{ - 0.62}}\left( {1 - \exp \left( { - \frac{{3354}}{{{{T}_{g}}}}} \right)} \right)\exp \left( { - \frac{{113200}}{{{{T}_{g}}}}} \right),$${\text{M = N, O}}$$1.1 \times {{10}^{{ - 11}}}T_{g}^{{ - 0.62}}\left( {1 - \exp \left( { - \frac{{3354}}{{{{T}_{g}}}}} \right)} \right)\exp \left( { - \frac{{113200}}{{{{T}_{g}}}}} \right),$${\text{M = }}{{{\text{N}}}_{{\text{2}}}}{\text{, }}{{{\text{O}}}_{{\text{2}}}}{\text{, NO}}$ | [15] |
| 3 | NO + M → N + O + M | $2.5 \times {{10}^{{ - 13}}}T_{g}^{{ - 0.37}}\left( {1 - \exp \left( { - \frac{{2700}}{{{{T}_{g}}}}} \right)} \right)\exp \left( { - \frac{{75500}}{{{{T}_{g}}}}} \right),$${\text{M = }}{{{\text{N}}}_{{\text{2}}}}{\text{, }}{{{\text{O}}}_{{\text{2}}}}$$5.0 \times {{10}^{{ - 12}}}T_{g}^{{ - 0.37}}\left( {1 - \exp \left( { - \frac{{2700}}{{{{T}_{g}}}}} \right)} \right)\exp \left( { - \frac{{75500}}{{{{T}_{g}}}}} \right),$${\text{M = N, O, NO}}$ | [15] |
| 4 | O + O + M → O2 + M | ${{K}_{1}}{\text{/}}{{B}_{{{{{\text{O}}}_{{\text{2}}}}}}}$ | __ |
| 5 | N + N + M → N2 + M | ${{K}_{2}}{\text{/}}{{B}_{{{{{\text{N}}}_{{\text{2}}}}}}}$ | __ |
| 6 | N + O + M → NO + M | ${{K}_{3}}{\text{/}}{{B}_{{{\text{NO}}}}}$ | __ |
| 7 | O + N2 → NO + N | ${{K}_{9}}{{B}_{{{{{\text{N}}}_{{\text{2}}}}}}}{\text{/}}{{B}_{{{\text{NO}}}}}$ | __ |
| 8 | N + O2 → NO + O | $1.0 \times {{10}^{{ - 20}}}T_{g}^{{}}\exp \left( { - \frac{{3130}}{{{{T}_{g}}}}} \right)$ | [14] |
| 9 | NO + N → O + N2 | $1.0 \times {{10}^{{ - 18}}}T_{g}^{{1/2}}$ | [14] |
| 10 | NO + O → N + O2 | ${{K}_{8}}{{B}_{{{\text{NO}}}}}{\text{/}}{{B}_{{{{{\text{O}}}_{{\text{2}}}}}}}$ | __ |
| 11 | N + O → NO + + e | $1.5 \times {{10}^{{ - 21}}}T_{g}^{{}}\exp \left( { - \frac{{31900}}{{{{T}_{g}}}}} \right)$ | [16] |
| 12 | NO + + e → N + O | $\begin{gathered} {{K}_{{12}}}{{({{T}_{g}}{\text{/}}{{T}_{e}})}^{{1/2}}}{{B}_{{{\text{NO}}}}}{\text{/}}{{G}_{{{\text{NO}}}}} \\ {{T}_{e}} = {{T}_{g}} \\ \end{gathered} $ | __ |
| 13 | N + NO2 → N2 + O2 | $7.0 \times {{10}^{{ - 19}}}$ | [17] |
| 14 | N + NO2 → N2 + O + O | $9.1 \times {{10}^{{ - 19}}}$ | [17] |
| 15 | N + NO2 → NO + NO | $2.3 \times {{10}^{{ - 18}}}$ | [17] |
| 16 | O + NO2 → NO + O2 | $1.13 \times {{10}^{{ - 17}}}{{\left( {\frac{{{{T}_{g}}}}{{1000}}} \right)}^{{0.18}}}$ | [17] |
| 17 | O + NO + M → NO2 + M | $k = \frac{{{{k}_{0}}{{k}_{\infty }}[{{{\text{n}}}_{0}}]}}{{{{k}_{0}}[{{{\text{n}}}_{0}}] + {{k}_{\infty }}}}F$${{k}_{0}} = 9.2 \times {{10}^{{ - 40}}}T_{g}^{{ - 1.6}},$${{k}_{\infty }} = 4.9 \times {{10}^{{ - 16}}}T_{g}^{{ - 0.4}}$$F = 0.8,$${{n}_{0}} = \frac{p}{{k{{T}_{g}}}}$$\frac{d}{{dt}}{\text{N}}{{{\text{O}}}_{{\text{2}}}} = k \times {\text{O}} \times {\text{NO}}$ | [18] |
| Константы равновесия | ${{B}_{{{{{\text{O}}}_{{\text{2}}}}}}} = \frac{{{\text{[O][O]}}}}{{{\text{[}}{{{\text{O}}}_{{\text{2}}}}{\text{]}}}} = 4.2 \times {{10}^{{29}}}T_{g}^{{1/2}}\left( {1 - \exp \left( { - \frac{{2238}}{{{{T}_{g}}}}} \right)} \right)\exp \left( { - \frac{{59380}}{{{{T}_{g}}}}} \right)$ ${{B}_{{{{{\text{N}}}_{{\text{2}}}}}}} = \frac{{{\text{[N][N]}}}}{{{\text{[}}{{{\text{N}}}_{{\text{2}}}}{\text{]}}}} = 3.3 \times {{10}^{{31}}}T_{g}^{{1/2}}\left( {1 - \exp \left( { - \frac{{3354}}{{{{T}_{g}}}}} \right)} \right)\exp \left( { - \frac{{113200}}{{{{T}_{g}}}}} \right)$${{B}_{{{\text{NO}}}}} = \frac{{{\text{[N][O]}}}}{{{\text{[NO]}}}} = 8.5 \times {{10}^{{28}}}T_{g}^{{1/2}}\left( {1 - \exp \left( { - \frac{{2700}}{{{{T}_{g}}}}} \right)} \right)\exp \left( { - \frac{{75500}}{{{{T}_{g}}}}} \right)$${{G}_{{{\text{NO}}}}} = \frac{{{\text{[N}}{{{\text{O}}}^{{\text{ + }}}}{\text{][e]}}}}{{{\text{[NO]}}}} = 8.0 \times {{10}^{{20}}}T_{g}^{{3/2}}\exp \left( { - \frac{{107300}}{{{{T}_{g}}}}} \right)$ |
[14] |
Константы скорости обратных реакций (4–7, 10, 14) рассчитывались с помощью принципа детального равновесия с константами равновесия из [14].
Предложенная кинетическая схема тестировалась посредством сравнения нестационарной кинетической задачи в нульмерном приближении с равновесными значениями, полученными с помощью программы CHEMKIN для атмосферного давления в диапазоне температур от 2000 до 7000 К.
Отметим, что на рассматриваемой стадии развития искрового канала отрыв температуры электронов от температуры тяжелых частиц слабо влияет на концентрации нарабатываемых в плазме частиц, и поэтому в используемой кинетической модели предполагалась изотермичность плазмы.
2.2. Газодинамика и уравнения для концентраций частиц. Начальные и граничные условия
Для описания газодинамики используется система уравнений в одномерной осесимметричной постановке
(1)
$\begin{gathered} \frac{{\partial \rho }}{{\partial t}} + \frac{1}{r}\frac{{\partial (r\rho u)}}{{\partial r}} = 0, \\ \frac{{\partial \rho u}}{{\partial t}} + \frac{1}{r}\frac{{\partial (r\rho {{u}^{2}})}}{{\partial r}} = - \frac{{\partial p}}{{\partial r}}, \\ \frac{{\partial {{E}_{0}}}}{{\partial t}} + \frac{1}{r}\frac{{\partial \left[ {r({{E}_{0}} + p)u} \right]}}{{\partial r}} = \frac{1}{r}\frac{\partial }{{\partial r}}\left( {r\lambda \frac{{\partial {{T}_{g}}}}{{\partial r}}} \right) + W, \\ \end{gathered} $Граничные условия для системы уравнений (1) выбирались, исходя из симметрии задачи в центре и отсутствия потоков на внешней границе $r = {{R}_{0}}$,
(2)
$\begin{gathered} {{\left. {\frac{{\partial {{T}_{g}}}}{{\partial r}}} \right|}_{{r = 0}}} = {{\left. {\frac{{\partial {{T}_{g}}}}{{\partial r}}} \right|}_{{r = {{R}_{0}}}}} = 0,\quad {{\left. {\frac{{\partial \rho }}{{\partial r}}} \right|}_{{r = 0}}} = {{\left. {\frac{{\partial \rho }}{{\partial r}}} \right|}_{{r = {{R}_{0}}}}} = 0, \\ {{\left. u \right|}_{{r = 0}}} = {{\left. u \right|}_{{r = {{R}_{0}}}}} = 0. \\ \end{gathered} $Система уравнений (1) дополняется уравнением для каждой компоненты в виде
(3)
$\frac{{\partial n}}{{\partial t}} + \frac{1}{r}\frac{\partial }{{\partial r}}\left[ {r\left( {nu - D\frac{{\partial n}}{{\partial r}}} \right)} \right] = {{S}_{n}},$Граничные условия отвечают отсутствию конвективно-диффузионного потока
(4)
${{\left. {\frac{{\partial n}}{{\partial r}}} \right|}_{{r = 0}}} = {{\left. {\frac{{\partial n}}{{\partial r}}} \right|}_{{r = {{R}_{0}}}}} = 0.$Коэффициенты диффузии D для всех нейтральных частиц принимались равными коэффициенту самодиффузии азота $D = 0.21 \times $ $ \times {{10}^{{ - 4}}}{{({{T}_{g}}{\text{/}}{{T}_{0}})}^{{1.7}}}({{p}_{0}}{\text{/}}p)$ м2 · с–1 [20], где ${{T}_{0}} = 300$ К, ${{p}_{0}} = 1$ атм. Для заряженных частиц рассматривалась амбиполярная диффузия с коэффициентом $D = 2{{\mu }_{p}}{{k}_{B}}{{T}_{e}}{\text{/}}e$, где величина подвижности ионов ${{\mu }_{p}} = 7.5 \times {{10}^{{21}}}{\text{/}}{{n}_{0}}$ м2 · В–1 · с–1 [21] отвечает иону NO+ (здесь ${{n}_{0}}$ – суммарная плотность частиц), ${{k}_{B}}$ – постоянная Больцмана, e – заряд электрона. Температура электронов принималась равной температуре газа.
В начальный момент времени концентрации молекулярного азота и кислорода задаются как ${{{\text{N}}}_{{\text{2}}}} = 0.79{{p}_{0}}{\text{/}}({{k}_{B}}{{T}_{0}})$, ${{{\text{O}}}_{{\text{2}}}} = 0.21{{p}_{0}}{\text{/}}({{k}_{B}}{{T}_{0}})$. Концентрации остальных частиц принимались равными 106 м–3. Данное значение выбрано из таких соображений, чтобы, с одной стороны, интеграл от концентрации NO по объему расчетной области не зависел от начальной концентрации, а с другой – выбор слишком малого начального значения уменьшает шаг по времени в соответствии с (13).
Метод решения, сформулированный на основании работ [22–25], представлен в Приложении 1.
3. РЕЗУЛЬТАТЫ РАСЧЕТОВ И ИХ ОБСУЖДЕНИЕ
На рис. 3 представлены профили плотности и скорости газа в момент окончания действия импульса (5 мкс) для ${{r}_{0}} = 100$ мкм, дающие представления о характерном масштабе данных величин.
Рис. 3.
Радиальное распределение плотности (a) и скорости газа (б) в момент окончания действия импульса (5 мкс), ${{r}_{0}} = 100$ мкм.

Минимальное значение плотности газа достигается на оси разряда и оказывается на порядок величины меньше по сравнению с плотностью невозмущенного газа. Максимальное значение скорости не превосходит 30 м/с, что говорит о существенно дозвуковом режиме газодинамических процессов.
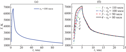
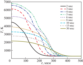
На рис. 4 представлены профили температуры газа в разные моменты времени. Максимальная величина монотонно растет в течение всего импульса и достигает значения около 7000 К к моменту окончания импульса 5 мкс.
Затем происходит “расползание” профиля как в результате газодинамических процессов, так и вследствие теплопроводности, с одновременным уменьшением максимального значения в центре разрядного промежутка (рис. 5), и к моменту времени 100 мкс температура падает ниже 2000 К.
Рис. 5.
Температура газа на оси канала в зависимости от времени для ${{r}_{0}} = 100$ мкм (а), 1 – ${{r}_{0}} = 110$, 2 – 100, 3 – 90, 4 – 80 мкм (б).

Сравнение динамики температуры на оси разряда при разных значениях параметра ${{r}_{0}}$ показывает, что уменьшение ${{r}_{0}}$ ведет к более быстрому нагреву, но максимальные значения отличаются между собой незначительно, по крайней мере, в диапазоне ${{r}_{0}}$ = 80–110 мкм (рис. 5). Характер уменьшения температуры во времени после импульса не зависит от ${{r}_{0}}$. Соответственно, константы скорости наработки различных радикалов, определяемые в локальном приближении только температурой газа, после прекращения импульса не зависят от ${{r}_{0}}$.
Пространственный масштаб горячей области (канала) к моменту прекращения действия импульса достигает значения r = 200–300 мкм (рис. 3), что хорошо согласуется с результатами экспериментов, и дает время выравнивания давления внутри разрядного канала ${{\tau }_{p}} \ll 5$ мкс (${{\tau }_{p}}\sim r{\text{/}}c$, где скорость звука $c\sim T_{g}^{{1/2}}$). Тем самым оправдано приближение для определения теплопроводности и постоянной адиабаты как функции только температуры при атмосферном давлении.
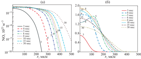
На рис. 6 представлена зависимость концентрации оксида азота от радиуса в разные моменты времени. Поведение концентрации NO является немонотонным как во времени, так и в пространстве. Максимальное значение на уровне 2.0 × × 1023 м–3 достигается к 8 мкс в центре разрядного промежутка, что свидетельствует о наработке NO после прекращения действия разряда.
Рис. 6.
Радиальные профили концентрации NO в разные моменты времени: логарифмический масштаб (а) и линейный масштаб (б).

В диапазоне времени 5–6 мкс наблюдается ярко выраженный максимум на отдалении от центра разряда, что, по всей видимости, обусловлено газодинамическим расширением с последующим резким уменьшением плотности частиц, необходимых для наработки NO. Затем максимум снова смещается в центр вследствие того, что после прекращения энерговыделения расширение газа резко замедляется, конвективный вынос продуктов реакции из канала уменьшается, а наработка NO продолжает идти благодаря достаточно высокой температуре.
Стоит отметить, что максимум NO в центре разрядного промежутка соответствует моменту времени 8 мкс (рис. 6б) и достигается в области температур Tg = 3500–4000 К (рис. 4).
Немонотонное поведение концентрации окиси азота во времени в центре разряда также четко прослеживается на рис. 7.
Видно, что по мере остывания канала значение концентрации NO выходит на стационар и приближается к величине 8.0 × 1022 м–3, которая не более чем в 3 раза меньше максимального значения, соответствующего моменту 8 мкс. С учетом остывания канала устанавливается некоторое значение концентрации NO, определяемое гибелью и наработкой в течение времени, когда температура достаточна для плазмохимических реакций. После того, как температура газа упала настолько, что реакции больше не идут, концентрация NO может меняться только в результате процессов газодинамики и диффузии.
Следует отметить, что в работе [9] также были получены немонотонные радиальные профили концентрации NO, где авторы объясняли такое поведение немонотонной зависимостью равновесной концентрации окислов азота от температуры газа.
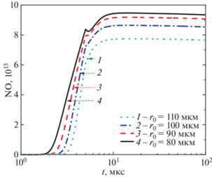
На рис. 8 для разных значений параметра ${{r}_{0}}$ представлено в зависимости от времени полное наработанное в канале число молекул NO, определяемое как интеграл от концентрации ${{n}_{{NO}}}$ по всей расчетной области $[{\text{NO}}] = 2\pi L\int_0^R {{{n}_{{{\text{NO}}}}}rdr} $. Данный параметр растет монотонно, в отличие от концентрации NO, и выходит на стационар к моменту ${{\tau }_{{st}}} = 8$ мкс, достигая при ${{r}_{0}} = 100$ мкм величины 8.0 × 1013. Уменьшение параметра ${{r}_{0}}$ от 110 до 80 мкм ведет к незначительному росту полного числа молекул NO.
Рис. 8.
Полное число молекул NO в зависимости от времени для 1 – ${{r}_{0}} = 110$, 2 – 100, 3 – 90, 4 – 80 мкм.

При используемом в эксперименте расходе газа 1 л/мин, соответствующем 16 см3/с, расход воздуха при атмосферном давлении и комнатной температуре составляет 2.5 × 1019 × 16 = 4 × × 1020 частиц в секунду. Измеренное значение концентрации NO растет примерно пропорционально частоте импульсов f [11], тем самым наработка в импульсе почти не зависит от частоты. Так, при $f = {{10}^{4}}$ Гц мольная доля NO на выходе из разряда составляет 10–3, что соответствует наработке 4 × 1017 молекул NO в секунду или 4 × × 1013 частиц за импульс. Данное значение отличается от расчетной величины примерно вдвое, что, учитывая относительную простоту модели, можно считать удовлетворительным согласием.
Энергетическая цена генерации NO в соответствии с расчетами находится на уровне 50 эВ/моль (NO), что меньше, чем в других как расчетных [9, 26], так и экспериментальных [27, 28] работах с использованием барьерных и искровых разрядов. Однако данная величина превосходит значения, полученные при использовании СВЧ-разряда [29], который использовался при пониженных давлениях.
Баланс между концентрациями NO и NO2 определяется главным образом реакциями 16 и 17 (табл. 1). Это дает следующее соотношение для концентраций ${{n}_{{{\text{N}}{{{\text{O}}}_{2}}}}}{\text{/}}{{n}_{{{\text{NO}}}}} = {{n}_{0}}{{k}_{{17}}}{\text{/}}{{k}_{{16}}}$, где ${{n}_{0}}$ – полное число частиц. При комнатной температуре и атмосферном давлении данная оценка дает величину ${{n}_{{{\text{N}}{{{\text{O}}}_{{\text{2}}}}}}}{\text{/}}{{n}_{{{\text{NO}}}}} = 0.2$, удовлетворительно согласующуюся с измеренным значением [11].
В отличие от концентрации оксида азота, концентрация электронов ne, начиная c 3 мкс, ведет себя монотонно как во времени, так и в пространстве. К моменту 5 мкс ne достигает амплитудного значения 4.0 × 1020 м–3 в центре разрядного промежутка. После прекращения импульса профиль ne становится более пологим по радиусу внутри канала и обладает крутым спадом на периферии. При этом с течением времени значение концентрации монотонно уменьшается в центральной области канала, а ее профиль уширяется по радиусу. Данный эффект обусловлен остыванием газа с последующей электрон-ионной рекомбинацией. Интегрирование по всей расчетной области к моменту времени 5 мкс дает для ${{r}_{0}} = 100$ мкм величину тока $I = 2\pi eE\int_0^R {{{\mu }_{e}}{{n}_{e}}rdr} = 0.27$ А (здесь $e$ – заряд электрона, ${{\mu }_{e}}(E{\text{/}}N)$ – подвижность электронов, рассчитанная с помощью BOLSIG+ [30]), которая достаточно близка к экспериментальному значению.
4. ЗАКЛЮЧЕНИЕ
На основании экспериментальных данных по исследованию импульсно-периодического высоковольтного диффузного разряда, обеспечивающего синтез NO в потоке воздуха в промежутке острие–плоскость, сформулирована постановка задачи для расчетного моделирования такого разряда.
Предложена модель для расчета наработки окислов азота в микросекундном диффузном разряде в воздухе атмосферного давления, учитывающая основные плазмохимические реакции и газодинамику. В результате моделирования получены пространственно-временные распределения концентрации NO в разряде.
Показано, что поведение концентрации NO является немонотонным как во времени, так и в пространстве. Текущее значение максимума перемещается с оси разряда и обратно, а ее амплитудное значение на уровне 2.0 × 1023 м–3 достигается к 8 мкс, что свидетельствует о наработке NO и после прекращения действия разряда. Установлено, что такое поведение обусловлено совокупным влиянием плазмохимических и газодинамических процессов в разряде.
Общее число молекул NO монотонно растет в процессе разряда и выходит на стационар в течение нескольких микросекунд после прекращения энерговыделения.
Получено удовлетворительное согласие расчетных и экспериментальных данных как по наработке NO и соотношению концентраций NO и NO2, так и по полному току разряда.
Предполагается последующее развитие модели, использование которой может поспособствовать оптимизации существующих и разработке перспективных устройств для генерации оксида азота.
Авторы благодарят Н.А. Попова за полезное обсуждение.
Список литературы
Ванин А.Ф. // Вестн. Российской академии наук. 2000. № 4. С. 3.
Malik M.A. // Plasma Chem. Plasma Process. 2016. № 36. C. 737.
Yu B., Muenster S., Blaesi A.H., Bloch D.B., Zapol W.M. // Sci. Transl. Med. 2015. V. 7. P. 294.
Namihira T., Katsuki S., Hackam R., Akiyama H., Okamoto K. // IEEE Trans Plasma Sci. 2002. V. 30. P. 1993.
Hu H., Liang H., Li J., Zhao Q., He J. // IEEE Trans Plasma Sci. 2007. V. 35. P. 619.
Русанов В.Д., Фридман А.А., Шолин Г.В. // Химия плазмы. 1978. Вып. 5. С. 232.
Русанов В.Д., Фридман А.А., Шолин Г.В. // УФН. 1981. Т. 134. С. 165.
Sakai S., Matsuda M., Wang D., Namihira T., Akiyama H., Okamoto K., Toda K. // Acta Physica Polonica A. 2009. V. 115. P. 1104.
Грицинин С.И., Князев В.Ю., Коссый И.А., По-пов Н.А. // Физика плазмы. 2006. Т. 32. С. 565.
Артемьев К.В., Батанов Г.М., Бережецкая Н.К., Борзосеков В.Д., Грицинин С.И., Давыдов А.М., Колик Л.В., Кончеков Е.М., Коссый И.А., Лебедев Ю.А., Моряков И.В., Петров А.Е., Сарксян К.А., Степа-хин В.Д., Харчев Н.К., Шахатов В.А. // Физика плазмы. 2020. Т. 46. С. 264.
Буранов С.Н., Горохов В.В., Карелин В.И., Селе-мир В.Д., Ширшин А.С. // ЖТФ. 2020. Т. 90. С. 755.
Буранов С.Н., Карелин В.И., Селемир В.Д., Шир-шин А.С. // ПТЭ. 2019. № 5. С. 158.
Bondiou A., Gallimberti I. // J. Phys. D: Appl. Phys. 1994. V. 27. P. 1252.
Benilov M.S., Naidis G.V. // J. Phys. D: Appl. Phys. 2003. V. 36. P. 1834.
Ibragimova L.B., Smekhov G.D., Shatalov O.P. // Fluid Dynamics. 1999. V. 34. P. 153.
Park C., Howe J., Jaffe R., Candler G. // J. Thermophys. Heat Transfer. 1994. V. 8. P. 10.
Kossyi I.A., Kostinsky A.Yu., Matveyev A.A., Silakov V.P. // Plasma Sources Sci. Technol. 1992. V. 1. P. 207.
Baulch D.L., Bowman C.T., Cobos C.J., Cox R.A., Just Th., Kerr J.A., Pilling M.J., Stocker D., Troe J., Tsang W., Walker R.W., Warnatz J. // J. Phys. Chem. Ref. Data. 2005. V. 34. № 3. P.757.
Capitelli M., Colonna G., D’Angola A. // Springer Series on Atomic, Optical and Plasma Physics. 2012. V. 66. P. 308.
Подрыга В.О., Вихров Е.В., Поляков С.В. Препринт ИПМ им. М.В. Келдыша. 2019. № 96. С. 24.
Benilov M.S., Naidis G.V. // Plasma Sources Sci. Technol. 2005. V. 14. P. 129.
Toro E.F. // Shock Waves. 2019. V. 29. P. 1065.
Toro E.F. Riemann Solvers and Numerical Methods for Fluid Dynamics, 3rd edn. Berlin: Springer, 2009.
Tereshonok D.V., Babaeva N.Y., Naidis G.V., Abra-mov A.G., Ugryumov A.V. // IEEE Transac. Plasma Scie. 2022. V. 50. P. 580.
Teunissen J. // Plasma Sources Sci. Technol. 2020. V. 29. P. 015010.
Аскарьян Г.А., Батанов Г.М., Быков Д.Ф., Кос-сый И.А. // Тр. ИОФАН. М.: Наука, 1994. Т. 47. С. 9.
Stark M.S., Harrison J.T., Anastasi C. // J. Geophys. Res. 1996. V. 101. P. D6963.
Janda M, Martišovitš M., Hensel K., Machala Z. // J. Phys.: Conf. Ser. 2016. V. 768. P. 012009.
Basov N., Danilichev V., Lobanov A. // Preprint Phys. Inst. of RAS. 1978. P.55.
Hagelaar G.J.M., Pitchford L.C. // Plasma Sources Sci. Technol. 2005. V. 14. P. 722.
Дополнительные материалы отсутствуют.




