Физика плазмы, 2022, T. 48, № 11, стр. 1102-1114
Сравнительный анализ параметров нормального и аномального тлеющих разрядов постоянного тока
a Институт проблем механики им. А.Ю. Ишлинского РАН
Москва, Россия
b Всероссийский научно-исследовательский институт автоматики им. Н.Л. Духова
Москва, Россия
* E-mail: surg@ipmnet.ru
Поступила в редакцию 25.08.2022
После доработки 05.09.2022
Принята к публикации 06.09.2022
- EDN: OQMBQM
- DOI: 10.31857/S0367292122601072
Аннотация
Выполнено сравнительное численное исследование параметров нормального и аномального тлеющих разрядов постоянного тока между двумя плоскими дисковыми электродами радиусом 3 см в электроразрядном промежутке высотой 1 см. Для численного моделирования применялась двухмерная осесимметричная диффузионно-дрейфовая модель тлеющего разряда, включающая уравнения переноса электронов и ионов молекулярного азота, а также уравнение Пуассона для нахождения электрического потенциала в разрядном промежутке с учетом областей пространственного заряда и положительного столба. Аномальные разряды получались при уменьшении радиуса катодного электрода. Предложена численная процедура сглаживания локальных максимумов напряженности электрического поля вблизи границ катода аномального тлеющего разряда, обеспечивающая устойчивость решения и слабое влияние на расчетные данные. Представлены результаты численного моделирования электродинамической структуры нормальных и аномальных тлеющих разрядов.
1. ВВЕДЕНИЕ
Нормальный тлеющий разряд непрерывного тока привлекает к себе внимание исследователей уже более 100 лет. Классическая схема такого разряда показана на рис. 1. Его типичные параметры: э.д.с. источника питания ε ~ 200–1000 В и электрические токи через разрядный промежуток I ~ 0.1–10 мА.
С одной стороны, нормальный тлеющий разряд является примером простейшего плазменного образования, достаточно легко реализуемого в физических лабораториях [1], с другой стороны этот разряд является типичным объектом самоорганизации локализованной плазменной структуры, существующим за счет конкуренции процессов диссипации и возникновения заряженных частиц во внешнем электрическом поле. Как показано на рис. 1 нормальный разряд имеет конечные поперечные размеры в радиальном направлении. При увеличении падения напряжения между электродами Vd радиус такого столба увеличивается, а при уменьшении Vd – радиус уменьшается. При этом важно, что сам разряд, горящий между электродами, совместно с внешней электрической цепью, куда входит источник электродвижущей силы ε и омическое сопротивление ${{R}_{0}}$, является примером саморегулируемой системы с обратной положительной связью. При увеличении напряжения на электродах увеличивается интенсивность ионизационных процессов и, как следствие – увеличивается ток через разрядный промежуток. Но это приводит к уменьшению падения напряжения на электродах. А при уменьшении напряжения на электродах – уменьшается интенсивность ионизационных процессов и, таким образом, происходит формирование плазменной структуры, в которой поддерживается баланс между потерями и воспроизводством зарядов.
Главной особенностью нормального тлеющего разряда является то, что при изменении радиальных размеров такого столба вследствие вариации падения напряжения на электродах – плотность тока вблизи оси симметрии изменяется незначительно. Это явление названо “Законом нормальной плотности тока” или законом Геля [2]. Конечно, отмеченная закономерность существует лишь в определенных пределах параметров тлеющего разряда. В работах [3, 4] (см. также обширную библиографию в этих книгах), показано, что экспериментально измеренные параметры нормального тлеющего разряда в его приосевых областях, а именно – падение напряжения на катодном слое Vn, плотность тока на оси симметрии jn, толщина катодного слоя dn, с хорошей точностью предсказываются одномерной теорией Энгеля–Штеенбека [5]
Еще одной особенностью нормального тлеющего разряда является на удивление сложная его продольная структура. Идентифицируются как минимум 7 участков продольной структуры нормального тлеющего разряда, каждая из которых обеспечивает условия его существования. В работах [4, 6] дан анализ физических процессов в каждой из областей (по мере удаления от катода): астоново темное пространство, катодное свечение, катодное темное пространство, отрицательное свечение, фарадеево темное пространство, положительный столб, анодное темное пространство.
Главные элементы структуры нормального тлеющего разряда достаточно хорошо исследованы с использованием так называемой диффузионно-дрейфовой модели [7, 8], подробный вывод уравнений которой дан в работе [6]. Указанная модель хорошо описывает так называемые локальные процессы ионизации, рекомбинации и диффузии в тлеющем разряде, что оказывается достаточным для моделирования основных его интегральных характеристик: радиальных размеров токового столба, размеров катодных и анодных областей объемного заряда, где существует повышенная концентрация ионов и электронов соответственно, плотности тока на катоде и аноде, полного тока через разрядный промежуток и падение напряжения между электродами.
Имеется еще два класса расчетно-теоретических моделей, которые используются, но заметно меньше, для изучения структуры тлеющих разрядов постоянного тока. Это так называемая амбиполярная модель и нелокальные кинетические модели. В амбиполярной модели [6] предполагается отсутствие областей пространственного заряда, то есть фактически рассматривается только положительный столб тлеющего разряда. С использованием кинетических моделей изучаются нелокальные кинетические процессы, в первую очередь – область электронного пучка в непосредственной близости от катода, а также область фарадеева темного пространства [9].
Амбиполярная модель нашла свое применение в задачах прикладной физики газовых разрядов. Главный ее недостаток связан с необходимостью специальной формулировки граничных условий вблизи катода и анода, где указанная модель неприменима поскольку – это области пространственного заряда. Тем не менее, в силу своей простоты и высокой расчетной эффективности амбиполярная модель достаточно часто используется в задачах плазменной аэродинамики [6, 10, 11], где с ее помощью удалось получить хорошее описание экспериментальных данных [12, 13].
Как уже отмечалось, диффузионно-дрейфовая модель позволяет описать области пространственного заряда у катода и анода. Однако использование этой модели совместно с уравнениями, описывающими движение частично ионизированного газа, наталкивается на два препятствия. Первое – это высокая трудоемкость решения задачи с пространственным зарядом. Второе препятствие состоит в том, что тлеющий разряд в плазменной аэродинамике горит в аномальном режиме в силу конечности размеров электродов. Часто газовый поток “сдувает” катодные и анодные пятна к границам электродов. Было установлено, что на границах электродов возникают большие электрические поля, приводящие к пробою газа, а в процессе численного моделирования – к неустойчивости получаемого решения.
В данной работе изучаются изменения в структуре нормального тлеющего разряда при постепенном его переходе в аномальный разряд вследствие искусственного уменьшения радиуса катодного электрода, окруженного диэлектрической поверхностью. Для этих целей используется диффузионно-дрейфовая модель разряда в осесимметричной постановке. Расчетная схема показана на рис. 1. Сначала решается задача нахождения параметров нормального тлеющего разряда при заданных параметрах внешней электрической цепи и геометрии электроразрядного промежутка, характеризуемой радиусом электродов R = 3 см и расстоянием между электродами H = 1.0 см. Давление газа в расчетах задавалось постоянным р = 5 Торр, температура газа 300 К. Серия последующих расчетов проводилась для постепенно уменьшаемого радиуса катодного электрода, Rc = 1.0 см, 0.6 см, 0.4 см и 0.2 см (остальная часть катодной поверхности полагалась диэлектрической), что приводило к переходу нормального тлеющего разряда в аномальный.
Для каждого из рассчитанных вариантов изучалась электродинамическая структура разряда и, в особенности, напряжение электрического поля и концентрация заряженных частиц вблизи границы катодного электрода. Дополнительная серия расчетов выполнена с использованием процедуры численного сглаживания напряженности электрического поля вблизи границы катодного электрода, что имитирует технологические приемы сглаживания границ электродов в экспериментах.
2. МАТЕМАТИЧЕСКАЯ ПОСТАНОВКА ЗАДАЧИ
Система уравнений расчетной диффузионно-дрейфовой модели тлеющего разряда формулируется в следующем виде [6, 14]:
(1)
$\frac{{\partial {{n}_{e}}}}{{\partial t}} + {\text{div}}{\kern 1pt} {{{\mathbf{\Gamma }}}_{e}} = \alpha \left( {E{\text{/}}p} \right)p\left| {{{{\mathbf{\Gamma }}}_{e}}} \right| - \beta {{n}_{i}}{{n}_{e}} = {{\dot {\omega }}_{i}}$(2)
$\frac{{\partial {{n}_{i}}}}{{\partial t}} + {\text{div}}{\kern 1pt} {{{\mathbf{\Gamma }}}_{i}} = \alpha \left( {E{\text{/}}p} \right)p\left| {{{{\mathbf{\Gamma }}}_{i}}} \right| - \beta {{n}_{i}}{{n}_{e}} = {{\dot {\omega }}_{i}},$(3)
${\text{div}}\left( {{\text{grad}}{\kern 1pt} \varphi } \right) = 4\pi e\left( {{{n}_{e}} - {{n}_{i}}} \right),$При решении системы уравнений диффузионно-дрейфовой модели используется ортогональная цилиндрическая система координат. Граничные условия для уравнений (1)−(3) имеют вид
(4)
$x = 0,\quad {{\Gamma }_{{e,x}}} = \gamma {{\Gamma }_{{i,x}}},\quad \frac{{\partial {{n}_{i}}}}{{\partial x}} = 0,\quad \varphi = 0;$(5)
$x = H,\quad \frac{{\partial {{n}_{e}}}}{{\partial x}} = 0,\quad {{n}_{i}} = 0,\quad \varphi = {{V}_{d}};$(6)
$r = 0,\quad \frac{{\partial {{n}_{e}}}}{{\partial r}} = \frac{{\partial {{n}_{i}}}}{{\partial r}} = \frac{{\partial \varphi }}{{\partial r}} = 0;$Здесь Vd − падение напряжения на разрядном промежутке, ${{\Gamma }_{{e,x}}},\,\,{{\Gamma }_{{i,x}}}$ − проекции плотностей потоков электронов и ионов на ось x; $R,\;H$ − координаты границы расчетной области по направлениям r и x. Граничные условия на электродах для заряженных частиц являются приближенными. Допустимость их использования обсуждалась в работе [8], где путем численных экспериментов показано, что усложнение граничных условий не оказывает существенного влияния на результаты расчетов в широком диапазоне параметров тлеющего разряда, увеличивая, при этом, опасность возникновения численных неустойчивостей. В граничных условиях (5) присутствует не определенная до сих пор величина падения напряжения на разрядном промежутке Vd, куда входят составными частями падения напряжения на катодном и анодном слоях, а также на положительном столбе. Для ее определения необходимо привлечь условия во внешней цепи (см. рис. 1). В условиях установившегося процесса горения тлеющего разряда можно записать очевидное соотношение
(8)
$\frac{{\varepsilon - {{V}_{d}}}}{{e{{R}_{0}}}} = 2\pi \int\limits_0^R {{{\Gamma }_{e}}\left( {r,x = 0} \right)r{\kern 1pt} {\text{d}}{\kern 1pt} r} ,$Расчетная модель предназначена для изучения структуры тлеющего разряда в молекулярном азоте при давлениях $p = 1{\kern 1pt} - {\kern 1pt} 20$ Торр, поэтому задавались следующие значения коэффициентов, входящих в математическую постановку задачи:
Эмпирическая формула (9) для 1-го коэффициента Таунсенда рекомендована в работе [3] для следующего диапазона отношений напряженности поля к давлению:
Коэффициенты диффузии определялись по соотношениям Эйнштейна
где ${{T}_{e}},\;{{T}_{i}}$ − температура электронов и ионов, эВ.Необходимо сделать общие замечания относительно выбора приведенных полуэмпирических электрофизических параметров. Главное, что для оценки правомочности использования представленных числовых значений и аппроксимаций, следует учесть целевую функцию построенной расчетной модели, которая относится к классу эвристических моделей, основанной на ряде полуэмпирических функций. Значения коэффициентов подвижности электронов и ионов, а также коэффициента рекомбинации были выбраны в соответствии с рекомендациями [3, 4] для молекулярного азота для подобных условий в разряде. Температуры электронов и ионов считались постоянными, ${{T}_{e}}$ = 1 эВ и ${{T}_{i}}$ = 0.026 эВ. Исследование влияния возможных вариаций электронной температуры в диапазоне ${{T}_{e}}$ = 1–10 эВ, а также подбор эмпирической зависимости для характерной электронной температуры в тлеющем разряда рассматриваемого типа, было выполнено в [5, 16, 17]. Принципиального влияния на рассчитываемые параметры нормального тлеющего разряда не было отмечено.
При этом в расчетах было установлено заметное влияние используемой аппроксимации коэффициента ионизации на интегральные характеристики разряда (полный ток через разряд, падение напряжения на газоразрядном промежутке). Поэтому при стремлении добиться численной близости расчетных и экспериментальных данных к выбору этой аппроксимации следует относиться весьма тщательно. Это же относится к выбору коэффициента вторичной ион-электронной эмиссии ($\gamma \sim 0.01{\kern 1pt} - {\kern 1pt} 0.1$). В целом, результаты расчетов по предложенной численной модели хорошо совпадают с теорией Энгеля–Штеенбека для параметров нормального тлеющего разряда и собственными экспериментальными данными [1, 5, 8].
Подробности численного решения уравнений диффузионно-дрейфовой модели тлеющего разряда даны в [6].
3. РЕЗУЛЬТАТЫ ЧИСЛЕННОГО МОДЕЛИРОВАНИЯ
Исходные данные во всех расчетных вариантах были одинаковы: р = 5 Торр, ε = 1000 В, ${{R}_{0}}$ = = 300 кОм. На рис. 2 показана электродинамическая структура нормального тлеющего разряда в электроразрядном промежутке высотой H = 1 см и радиусом R = 3 см. На распределениях концентраций ионов и электронов (рис. 2а) хорошо видны главные структурные элементы разряда: катодный слой с повышенной концентрацией ионов и положительный столб – область почти квазинейтральной плазмы. Здесь и далее концентрации заряженных частиц отнесены к величине ${{n}_{0}}$ = 109 см–3. В непосредственной близости от анода располагается анодный слой, в котором концентрация ионов стремится к нулю. Это область отрицательного объемного заряда.
Рис. 2.
Распределения концентраций ионов (Ni, слева) и электронов (Ne, справа) (а), нормальной (${{E}_{x}}$, слева) и радиальной (${{E}_{r}}$, справа) компонент электрического поля (б), электрического потенциала (${\text{Fi}} = \varphi $, слева) и скорости ионизации (${\text{RateIon}} = {{\dot {\omega }}_{i}}{\text{/}}\Omega $, справа) (в) в нормальном тлеющем разряде.

На рис. 2б показаны распределения осевой и радиальной компонент напряженности электрического поля, отнесенных к величине $\varepsilon {\text{/}}H$, а на рис. 2в (слева) – распределение электрического потенциала. В катодном слое, то есть в области положительного объемного заряда, наблюдается резкий рост электрического потенциала.
Заметим, что распределение электрического потенциала, показанное на рис. 2в (слева), наглядно иллюстрирует наличие потенциальной ямы, в которой существует токовый слой нормального тлеющего разряда. Сопоставление данных на рис. 2в (слева) и 2б (справа) объясняет наличие локального максимума радиальной компоненты напряженности электрического поля у верхней правой границы катодного слоя. Здесь в радиальном направлении падает электрический потенциал. Обратим внимание на этот факт, поскольку, ниже будет показано, что в аномальном разряде ситуация изменяется на противоположную.
На рис. 2в (справа) дано распределение скорости ионизации в нормальном тлеющем разряде, отнесенной к величине $\Omega = {{n}_{0}}{{\mu }_{e}}\varepsilon {\text{/}}H$. Отсюда видно, что ионизация газа протекает также в анодном слое и, в гораздо меньшей степени – в положительном столбе. В работе [15] было показано, что во многом существование токового столба в нормальном тлеющем разряде обязано конкуренцией процессов ионизации и диффузии в радиальном направлении. Видимая граница токового столба на рис. 2а (справа) примерно соответствует той линии электронного тока, правее которой диффузионные процессы делают невосполнимыми потери электронов, а левее – ионизационные и дрейфовый процессы позволяют электронам замкнуть электрическую цепь.
На рис. 3 показано распределение концентрации электронов и ионов вдоль оси симметрии разряда. На этих рисунках хорошо видны области катодного и анодного слоев, где концентрация ионов и электронов достигает величин ${{n}_{i}}$ = 24 × × 109 см–3 и ${{n}_{e}}$ = 3 × 109 см–3 соответственно В положительном столбе концентрации заряженных частиц ${{n}_{e}} \approx {{n}_{i}}\sim 6 \times {{10}^{9}}$ см–3.
Рис. 3.
Распределение концентраций ионов (Ni) и электронов (Ne) вдоль оси симметрии нормального тлеющего разряда.

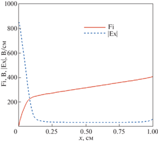
На рис. 4 показано распределение модуля напряженности электрического поля вдоль оси симметрии разряда и электрического потенциала. В катодном слое наблюдается наибольшая напряженность электрического поля. Значительно меньшей рост напряженности электрического поля наблюдается в анодном слое, однако и этого повышения оказывается достаточным для заметного возрастания скорости ионизации в этом слое. Примечательно также, что в квазинейтральном положительном столбе напряженность электрического поля составляет Ех ~ 40 В/см, что достаточно для восполнения потерь электронов диффузией за счет ударной ионизации и движения электронов вдоль поля между катодом и анодом.
Рис. 4.
Распределение электрического потенциала (${\text{Fi}} = \varphi $) и модуля осевой составляющей электрического поля (|Ex|) вдоль оси симметрии нормального тлеющего разряда в газоразрядном промежутке.

На рис. 5 показаны радиальные распределения плотностей тока на катоде и аноде в нормальном и аномальном тлеющих разрядах, которые различаются весьма значительно. Для нормального тлеющего разряда (кривые 1) плотность тока на катоде (пунктир) примерно в 4 раза ниже плотности тока на аноде. Заметим, что именно плотность тока на катоде является консервативной величиной по отношению к изменениям параметров нормального тлеющего разряда. Плотность тока на аноде может изменяться заметно [6, 8].
Рис. 5.
Распределение плотности тока на аноде (сплошные линии) и катоде (пунктир) вдоль радиуса электродов в газоразрядном промежутке: 1 – нормальный разряд, 2, 3 – аномальный разряд при ${{R}_{c}}$ = 0.6 и 0.2 см соответственно.

На последующих рисунках представлены результаты исследования структуры аномального тлеющего разряда. Матрица результатов расчетов построена следующим образом. Расчеты выполнены для последовательно уменьшаемых радиусов катодного электрода Rс = 1.0 см, 0.6 см, 0.4 см и 0.2 см. Радиус анодного электрода оставался прежним – Rс = 3 см. На рис. 6а и рис. 7а показаны результаты расчетов концентрации заряженных частиц, на рис. 6б и 7б поля компонент напряженности электрического поля, а на рис. 6в и 7в – электрического потенциала и скорости ионизационных процессов для двух радиусов катодных электродов: Rс = 0.6 см и 0.2 см.
Рис. 6.
Распределения концентраций ионов (Ni, слева) и электронов (Ne, справа) (а), нормальной (${{E}_{x}}$, слева) и радиальной (${{E}_{r}}$, справа) компонент электрического поля (б), электрического потенциала (${\text{Fi}} = \varphi $, слева) и скорости ионизации (${\text{RateIon}} = {{\dot {\omega }}_{i}}{\text{/}}\Omega $, справа) (в) в аномальном тлеющем разряде. Радиус катодной секции ${{R}_{c}}$ = 0.6 см.

Рис. 7.
Распределения концентраций ионов (Ni, слева) и электронов (Ne, справа) (а), нормальной (${{E}_{x}}$, слева) и радиальной (${{E}_{r}}$, справа) компонент электрического поля (б), электрического потенциала (${\text{Fi}} = \varphi $, слева) и скорости ионизации (${\text{RateIon}} = {{\dot {\omega }}_{i}}{\text{/}}\Omega $, справа) (в) в аномальном тлеющем разряде. Радиус катодной секции ${{R}_{c}}$ = 0.2 см.

Как уже отмечалось, особенностью аномальных тлеющих разрядов является повышенная напряженность электрического поля вблизи границ электродов. Это иллюстрируется на рис. 8а, где показаны распределения осевых компонент модуля напряженности электрического поля вдоль радиуса катодной секции разряда для разных размеров катодных электродов. Локальные максимумы напряженности отвечают границам катодных секций. На этом же рисунке показано распределение электрического потенциала на катодной секции тлеющего разряда. Очевидно, что на катодном электроде φ = 0. Но на диэлектрической поверхности, в силу используемых граничных условий, $\varphi \ne 0$.
Рис. 8.
Распределения осевой составляющей напряженности электрического поля (штриховые кривые) и электрического потенциала вдоль поверхности катода без использования сглаживания (а) и со сглаживанием электрического поля вблизи поверхности катода (б); 1–4: аномальный тлеющий разряд при ${{R}_{c}}$ = 0.2 см, 0.4 см, 0.6 см и 1.0 см; 5 – нормальный тлеющий разряд (б).

В аномальном тлеющем разряде с радиусом катода Rc = 0.6 см плотность тока на катоде и аноде упала соответственно в 2 и 4 раза (рис. 5). При этом плотность тока на катоде становится более однородной по радиусу. Для аномального тлеющего разряда с радиусом катода Rc = 0.2 см наблюдается резкое возрастание плотности тока на катоде. Это связано с сильной локализацией катодного пятна при необходимости поддержания тока почти на прежнем уровне.
Отметим также особенности в распределениях электрического потенциала и радиальной составляющей напряженности электрического поля для аномального тлеющего разряда, о которых говорилось выше. Из рис. 9б, в видно, что потенциал в радиальном направлении возрастает, а не падает, как в нормальном тлеющем разряде. Как следствие, радиальная компонента напряженности электрического поля направлена к центру. Впрочем, принципиально это не меняет характеристики разряда.
Рис. 9.
Распределения концентраций ионов (Ni, слева) и электронов (Ne, справа) (а), нормальной (${{E}_{x}}$, слева) и радиальной (${{E}_{r}}$, справа) компонент электрического поля (б), электрического потенциала (${\text{Fi}} = \varphi $, слева) и скорости ионизации (${\text{RateIon}} = {{\dot {\omega }}_{i}}{\text{/}}\Omega $, справа) (в) в аномальном тлеющем разряде. Радиус катодной секции ${{R}_{c}}$ = 0.2 см. Использована процедура сглаживания.

Уже обсуждалось, что наблюдаемые скачки напряженности электрического поля приводят к резкому увеличению скорости ионизации в соответствующих зонах. Физическим аналогом этого эффекта является улучшение условий для электрического пробоя газа. При численном моделировании существенно усложняется процедура получения решения. Поскольку изучение структуры аномального тлеющего разряда имеет не только чисто научную мотивацию, но и необходимость построения расчетных моделей для задач плазменной аэродинамики, в данной работе применялась процедура сглаживания напряженности электрического поля вблизи границ электродов, которая имеет своим физическим аналогом скругление границ электродов в физическом эксперименте.
Процедура сглаживания состояла в следующем. Если не использовать сглаживание, то для электрического потенциала на катодной секции задавались следующие граничные условия:
(10)
$\begin{gathered} {{r}_{i}} \leqslant {{R}_{c}}{\kern 1pt} :\quad {{\alpha }_{i}} = 0,\quad {{\beta }_{i}} = 0, \\ {{r}_{i}} > {{R}_{c}}{\kern 1pt} :\quad \,{{\alpha }_{i}} = 1,\quad {{\beta }_{i}} = 0. \\ \end{gathered} $Здесь предполагается, что граничное условие на поверхности катода в точках ${{r}_{i}}$ задается в следующем виде:
где ${{\varphi }_{{i,1}}}$ – потенциал на поверхности, а ${{\varphi }_{{i,2}}}$ – потенциал в ближайшем к поверхности слое конечно-разностной сетки.При использовании процедуры сглаживания применялись следующие формулы:
(12)
$\begin{gathered} {{r}_{i}} < {{R}_{\delta }}{\kern 1pt} :\quad {{\alpha }_{i}} = 0,\quad {{\beta }_{i}} = 0, \\ {{r}_{i}} \geqslant {{R}_{\delta }}{\kern 1pt} :\quad {{\alpha }_{i}} = 1 - \exp \left[ { - \frac{{{{{({{r}_{i}} - {{R}_{\delta }})}}^{4}}}}{{{{\delta }^{4}}}}} \right], \\ {{r}_{i}} > {{R}_{c}}{\kern 1pt} :\quad {{\alpha }_{i}} = 1,\quad {{\beta }_{i}} = 0, \\ \end{gathered} $На рис. 9 показаны результаты расчетов электродинамической структуры разряда при использовании процедуры сглаживания осевой составляющей напряженности электрического поля вблизи катода радиусом Rc = 0.2 см.
Сравнение приведенных данных со сглаживанием и без сглаживания (рис. 8) показывает, что использованное сглаживание оказывает слабое влияние на распределение всех функций кроме, конечно, напряженности электрического поля в непосредственной близости от границы катодного электрода. Обратим внимание на то, что с математической точки зрения данная процедура сглаживания задает плавный переход от граничного условия первого рода для электрического потенциала к граничному условию второго рода в некоторой пограничной области катодного электрода.
На рис. 10 показаны распределения электрического потенциала вдоль оси симметрии токового столба для разных радиусов катодных электродов, полученных без использования и с использованием процедуры сглаживания. Обращает на себя внимание близость этих распределений, кроме параметров аномального тлеющего разряда при Rc = 0.2 см. Это не удивительно, поскольку при очень малых радиусах катода структура разряда изменяется уже весьма значительно (рис. 9). Дальнейшее уменьшение радиуса катода в еще большей степени обостряет режим горения.
Рис. 10.
Распределение электрического потенциала (Fi = φ) вдоль оси симметрии нормального и аномального тлеющего разряда без сглаживания (а) и со сглаживанием распределения электрического потенциала вблизи катода (б).

На рис. 11 и 12 показаны осевые распределения концентрации электронов и ионов, которые также подтверждают выводы о том, что до определенных пределов уменьшения радиуса катода параметры аномального тлеющего разряда изменяются незначительно, но при наименьшем радиусе катода практически наступает новый режим горения, характеризуемый резким возрастанием электрического потенциала в катодном слое и, как следствие, скорости ионизационных процессов.
Рис. 11.
Распределение электронных концентраций вдоль оси симметрии нормального и аномального тлеющего разряда без сглаживания (а) и со сглаживанием распределения электрического потенциала вблизи катода.

Рис. 12.
Распределение концентраций ионов вдоль оси симметрии нормального и аномального тлеющего разряда без сглаживания (а) и со сглаживанием (б) распределения электрического потенциала вблизи катода.

Все представленные распределения свидетельствуют о слабом влиянии процедуры сглаживания на основные характеристики разряда. На рис. 8 представлены осевые распределения модуля осевой составляющей электрического поля и потенциала вдоль поверхности катодной секции для разных радиусов электродов. Здесь хорошо видно, что используемая процедура сглаживания весьма эффективно срезает локальные скачки напряженности электрического поля вблизи границы катода, при этом изменяя средние значения над поверхностью катода не очень сильно.
Все представленные распределения свидетельствуют о слабом влиянии процедуры сглаживания на основные характеристики разряда, при этом изменяя средние значения над поверхностью катода не очень сильно.
Для завершения анализа аномального разряда в табл. 1 приведены такие его интегральные характеристики, как напряжение на электроразрядном промежутке и полный ток через разрядный канал, которые также подтверждают сделанные выводы. Расчеты структуры нормального и аномального тлеющих разрядов были выполнены при увеличенном межэлектродном расстоянии, Н = 2 см. Отметим закономерное увеличение падения напряжения на разрядном промежутке, необходимое для поддержания горения разряда в большем объеме и некоторое снижение полного тока через разряд, связанное с увеличенными потерями за счет радиальной диффузии. Выводы о допустимости использования предложенной процедуры сглаживания для аномального разряда остаются в силе.
Таблица 1.
Интегральные характеристики нормального и аномального тлеющих разрядов с радиусом разрядной камеры R = 3 см
| Радиус катодного электрода, см | I, мА | Vd, В | I, мА | Vd, В |
|---|---|---|---|---|
| Без сглаживания потенциала | Со сглаживанием потенциала | |||
| Н = 1 см | ||||
| 3.0 | 2.10 | 370 | ||
| 0.6 | 2.20 | 349 | 2.14 | 359 |
| 0.4 | 2.17 | 365 | 2.09 | 374 |
| 0.2 | 2.03 | 428 | 1.82 | 441 |
| Н = 2 см | ||||
| 3.0 | 1.31 | 605 | ||
| 0.6 | 1.61 | 542 | 1.56 | 538 |
| 0.4 | 1.58 | 562 | 1.49 | 564 |
| 0.2 | 1.46 | 620 | 1.22 | 639 |
4. ЗАКЛЮЧЕНИЕ
Выполнено сравнительное численное исследование параметров нормального и аномального тлеющих разрядов непрерывного тока между двумя плоскими дисковыми электродами радиусом 3 см в электроразрядном промежутке высотой 1 см. Аномальные разряды получались при уменьшении радиуса катодного электрода, при этом остальная часть катодной поверхности заполнялась диэлектриком.
Для численного моделирования применялась диффузионно-дрейфовая модель тлеющего разряда совместно с уравнением для внешней электрической цепи, включающей омическое сопротивление и источник питания тлеющего разряда постоянного тока. Учет внешней электрической цепи обеспечивал положительную обратную связь по отношению к определению падения напряжения на электродах после вычисления суммарного электрического тока через разрядный промежуток.
Показано, что в аномальном тлеющем разряде постоянного тока вблизи границ катода возникают локальные максимумы напряженности электрического поля, которые приводят к пробойным явлениям (лавинной ионизации газа) и к неустойчивости численного решения уравнений диффузионно-дрейфовой модели.
С целью расширения диапазона исходных данных, для которых получается установившееся решение, предложена процедура сглаживания напряженности электрического поля у границ катода, физическим аналогом которой может являться скругление границ электродов в реальном эксперименте. Показана высокая устойчивость результатов численного моделирования разряда к использованию процедуры сглаживания и отсутствие ее сильного влияния на рассчитываемые электродинамические параметры.
При численном моделировании аномальных тлеющих разрядов установлены условия, при которых начинается сильное отличие параметров аномального разряда от нормального.
Работа выполнена при поддержке Российского научного фонда (грант № 22-11-00062).
Список литературы
Суржиков С.Т., Козлов П.В., Котов М.А., Рулева Л.Б., Солодовников С.И. // Доклады академии наук. 2019. Т. 485. № 4. С. 422.
Капцов Н.А. Электрические явления в газах и вакууме. М.: Гостехиздат. 1950. 808 с.
Браун С. Элементарные процессы в плазме газового разряда. М.: 1961. Гос. изд-во литературы в области атомной науки и техники. 323 с. (Brown S.C. Basic Data of Plasma Physics. Technology Press of M.I.T. and Wiley, 1966)
Райзер Ю.П. Физика газового разряда. М.: Наука, 1987. 591 с.
Энгель А., Штеенбек М. Физика и техника электрического разряда в газах. Т. 2. М.–Л.: Объединенное научно-техническое изд-во НКТП СССР. 1936. 382 с.
Суржиков С.Т. Физическая механика газовых разрядов. Изд-во МГТУ им. Н.Э. Баумана. 2006. 640 с.
Гладуш Г.Г., Самохин А.А. // Прикладная механика и техническая физика. 1981. № 5. С. 15.
Райзер Ю.П., Суржиков С.Т. // Теплофизика высоких температур. 1988. Т. 25. № 3. С. 428.
Цендин Л.Д. // Успехи физических наук. 2010. Т. 180. № 2. С. 139.
Суржиков С.Т., Шэнг Д.С. // Теплофизика высоких температур. 2005. Т. 43. № 1. С. 21.
Shang J.S., Surzhikov S.T., Kimmel R., Gaitonde D., Menart J., Hayes J. // Progress in Aerospace Sciences. 2005. V. 41. P. 642.
Kimmel R., Hayes J., Menart J., Shang S., Henderson S., Kurpik A. // AIAA Paper 2003-3855. 2003. 10 p.
Menart J., Shang J.S., Kimmel R., Hayes J. // AIAA Paper 2003-4165. 2003. 13 p.
Суржиков С.Т. // Физика плазмы. 2017. Т. 43. № 3. С. 61.
Райзер Ю.П., Суржиков С.Т. // Письма в ЖТФ. 1987. Т. 13. № 8. С. 452.
Петрусёв А.С., Суржиков С.Т., Шэнг Д.С. // Теплофизика высоких температур. 2006. Т. 44. № 6. С. 814–822.
Суржиков С.Т. // Теплофизика высоких температур. 2005. Т. 43. № 6. С. 828–844.
Дополнительные материалы отсутствуют.



