Физика плазмы, 2022, T. 48, № 12, стр. 1166-1173
Многоканальный нейтронный коллиматор TRT
Г. Е. Немцев a, *, Р. Н. Родионов a, Р. Р. Хафизов a, Ю. А. Кащук a, Т. М. Кормилицын a, А. В. Красильников a
a Частное учреждение “ИТЭР-Центр”
Москва, Россия
* E-mail: g.nemtsev@iterrf.ru
Поступила в редакцию 20.05.2022
После доработки 01.07.2022
Принята к публикации 10.08.2022
- EDN: GMEHKA
- DOI: 10.31857/S0367292122600479
Аннотация
Описывается проект нейтронной камеры для токамака с реакторными технологиями (TRT). Нейтронная камера представляет собой многоканальный нейтронный коллиматор, покрывающий хордами наблюдения плазменный нейтронный источник. Нейтронная камера – система, предназначенная для измерения профиля термоядерного источника нейтронов в полоидальном сечении токамака. В работе предлагается концептуальный проект системы, включающий в себя 10 измерительных каналов коллиматоров, наблюдающих плазму в радиальном направлении. Для более детального охвата линиями наблюдения плазменного нейтронного источника систему предлагается оснастить также несколькими вертикальными коллиматорами. Каналы коллиматоров находятся внутри патрубков вакуумной камеры, заходя в пространство криостата установки. Подобное решение позволяет увеличить охват линиями наблюдения объема плазмы. Для материала коллиматоров предлагается использовать нержавеющую сталь и борированный полиэтилен высокой плотности. В качестве детекторов нейтронов планируется использовать алмазные детекторы и сцинтилляторы на основе стильбена и хлорида лантана. В работе моделировался плазменный нейтронный источник. С помощью расчетов радиационного транспорта получены значения потоков и спектров нейтронов в каналах коллиматоров. Нейтронная камера установки TRT позволит измерять профиль нейтронного источника в DD- и DT-плазме, а также отношение интенсивности излучений DD- и DT-нейтронов, спектр нейтронов, полный нейтронный выход и другие параметры.
1. ВВЕДЕНИЕ
Токамак с реакторными технологиями (TRT) представляет собой квазистационарную термоядерную плазменную установку с временем удержания более 100 с. Отличительная особенность токамака – широкое использование материалов высокотемпературных сверхпроводников (ВТСП) в качестве материалов электромагнитной системы. При данной конфигурации вакуумная камера токамака находится внутри объемного криостата. Для доступа диагностических и технологических систем в установке имеются вертикальные и горизонтальные патрубки. Общий вид установки показан на рис. 1.
Для нагрева плазмы TRT планируется использовать целый ряд систем дополнительного нагрева, включая инжекторы атомов с энергией 0.5 МэВ на базе источников отрицательных ионов, мегаваттные гиротроны с частотой излучения 230–260 ГГц, систему ионного циклотронного нагрева мощностью до 5 МВт в частотном диапазоне 60–80 МГц. Суммарная мощность дополнительного нагрева установки – до 40 МВт [1]. При этом средняя плотность частиц в установке будет достигать 2 × 1014 см–3. Дополнительно, на установке планируется реализовать комплекс напуска трития. При данных параметрах стоит ожидать значительного нейтронного выхода. В целом, прогнозируется, что выход нейтронов будет достигать 5 × 1017 нейтронов/с для D–D-плазмы и свыше 1018 нейтронов/с для D–T‑плазмы. При исследовании процессов термоядерного горения плазмы в установке с достаточно большой вакуумной камерой встает вопрос пространственного разрешения термоядерного источника нейтронов. В общем случае источник термоядерных нейтронов неравномерно распределен в пространстве и изменяется во времени. Знание профиля нейтронного источника имеет важное значение для точного измерения общей мощности термоядерного синтеза и корректировки показаний мониторов нейтронного выхода. Измерение профиля нейтронного источника достигается с помощью нейтронных камер – диагностических систем на основе многоканальных нейтронных коллиматоров. Подобные камеры были созданы для токамаков JT-60, TFTR и JET. В настоящий момент вертикальная [2] и радиальная нейтронные камеры [3] проектируются для токамака И-ТЭР. Данные диагностики предназначены для измерения профиля нейтронного источника и термоядерной мощности, профиля ионной температуры, отношения концентрации ионов дейтерия и трития.
2. ПРОЕКТ НЕЙТРОННОЙ КАМЕРЫ
Особенностью взаимодействия быстрых нейтронов с веществом является большая длина свободного пробега. Поэтому нейтронные коллиматоры в общем случае представляют собой протяженные (свыше 1 м) и тяжелые конструкции (свыше 10 т), что накладывает ограничения на их интеграцию в термоядерную установку. Наиболее эффективный нейтронный коллиматор получается при комбинации материалов, эффективно рассеивающих, замедляющих и поглощающих нейтроны. В качестве рассеивателей, как правило, используют вольфрам или нержавеющую сталь, в качестве замедлителей – воду или полиэтилен, в качестве поглотителей – бор [4]. Идеальная позиция для расположения нейтронных детекторов и коллиматоров – как можно ближе к плазменному нейтронному источнику для обеспечения наилучшего покрытия хордами наблюдения. Желательно, чтобы при этом на пути следования нейтронов от источника к детектору не было никаких препятствий. Опираясь на концептуальный проект установки TRT можно заключить, что наиболее подходящими для размещения диагностики будут горизонтальные патрубки. Для максимального охвата плазмы линиями наблюдения предлагается разместить детекторы и каналы коллиматоров в глубине патрубка. Такая конфигурация была предложена для радиальной и вертикальной нейтронных камер ИТЭР [2, 3]. Однако на ИТЭРе предлагается размещать детекторы и нейтронные коллиматоры внутри вакуума установки, что накладывает серьезные ограничения на выбор материалов и значительно усложняет интеграцию и обслуживание данных систем. В данной работе предлагается разместить нейтронную камеру внутри герметичного кожуха, заходящего вглубь патрубка токамака. Таким образом, приципиальным отличием от нейтронных камер ИТЭР является вневакуумное размещение детекторов и нейтронной защиты. Общий вид нейтронной камеры представлен на рис. 2. Как видно из рис. 2, в предлагаемой концепции горизонтальный патрубок имеет двойную стенку и таким образом вакуумная граница патрубка заходит внутрь криостата, практически достигая первой стенки.
В качестве материалов коллиматоров предлагается использовать нержавеющую сталь (передний слой защиты, толщина 200 мм) и борированный полиэтилен высокой плотности (толщина 600 мм). Применение борированного полиэтилена выглядит возможным в первую очередь из-за вневакуумного расположения элементов нейтронной защиты и, как следствие, отсутствием необходимости в ее технологическом прогреве. Предварительно проведенный анализ ядерного энерговыделения элементов вакуумной камеры показал, что даже в DT-сценарии радиационный нагрев данной области не существенен [5]. В дальнейшем, исходя из результатов детального теплового анализа, в случае необходимости конструкцию нейтронной защиты можно будет дополнить системой водяного охлаждения. Не исключено и применение в качестве нейтронной защиты карбида бора. Общий вес конструкции нейтронной защиты, предложенной в данной статье, около 2 т. Линии коллиматоров сходятся внутри объема первой стенки из нержавеющей стали, образуя фокусную точку. Диаметр коллиматоров составляет 30 мм. В модели также сделаны детекторы в виде цилиндров протяженностью 200 мм и диаметром 30 мм.
3. СОЗДАНИЕ МОДЕЛИ НЕЙТРОННОГО ИСТОЧНИКА
Для оценки эффективности коллиматоров, а также нейтронных потоков и спектров на детекторах была построена расчетная модель токамака, включающая нейтронную камеру и плазменный нейтронный источник. При моделировании источника для упрощения принято предположение о постоянстве интенсивности нейтронного излучения вдоль магнитной поверхности. Для задания геометрии магнитных поверхностей использовалось упрощенное трехмоментное приближение решения уравнения Грэда–Шафранова. Данное приближение используется при моделировании геометрии магнитных поверхностей в коде A-STRA [6]. В общем виде оно выглядит так
(1)
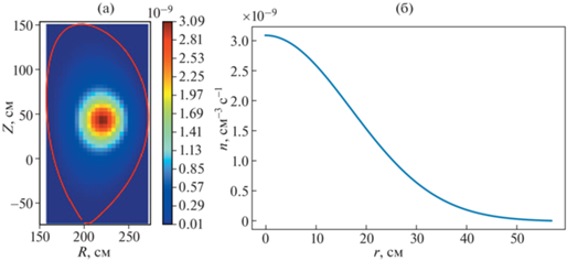
$\left( {\begin{array}{*{20}{l}} {r(a,\theta ) = {{R}_{0}} + {{\Delta }_{{sh}}}(a) + a(\cos \theta - \delta (a){{{\sin }}^{2}}\theta ),} \\ {z(a,\theta ) = {{Z}_{0}} + a\lambda (a)\sin \theta .} \end{array}} \right.$Здесь a – малый радиус токамака, ${{\Delta }_{{sh}}}$, λ и δ – соответственно параметры шафрановского сдвига, эллиптичности и треугольности, θ – угол в полоидальном направлении. В данном приближении можно варьировать магнитную поверхность параметризуя функции эллиптичности, треугольности и шафрановского сдвига. Данные параметры были подобраны, опираясь на внешнюю магнитную поверхность, взятую из CAD-модели токамака. Используя данное трехмоментное приближение было получено семейство магнитных поверхностей, в общем виде описывающих плазменный нейтронный источник. Для простоты моделировался моноэнергетичный источник нейтронов с энергией 2.5 МэВ и гауссовским профилем распределения. Таким образом, располагая информацией о распределении магнитных поверхностей, заданных в координатах $(r,z)$, и рассматривая профиль нейтронного источника как функцию $f(r,z)$ с учетом постоянства выхода нейтронов, вдоль магнитной поверхности осесимметричный плазменный источник нейтронов может быть представлен в виде набора колец квадратного сечения. Подобный подход к моделированию нейтронного источника ранее использовался при расчетах Вертикальной нейтронной камеры ИТЭР и подробно описан в работе [7]. Построенный таким образом источник представлен на рис. 3. При этом полная интенсивность нейтронного источника составила 1016 нейтронов/с.
4. РАСЧЕТ НЕЙТРОННЫХ ПОТОКОВ В КАНАЛАХ КОЛЛИМАТОРОВ
Для проведения нейтронного анализа и расчета нейтронных потоков в месте расположения детекторов была создана эталонная модель токамака. Эталонная модель предназначена для расчетов переноса нейтронного излучения методом Монте-Карло. Она построена на основе CAD-модели токамака и представляет собой 90-градусный сектор вакуумной камеры вместе с криостатом и отражающими поверхностями по бокам сектора. При расчете радиационного транспорта отражающие поверхности компенсируют прилет частиц из других секторов токамака, моделируя таким образом полный объем плазмы и рассеяние нейтронов в других секторах токамака. Упрощенная CAD-модель была преобразована в расчетную модель с помощью программы SuperMC [8]. Более детально принципы создания эталонной модели описаны в работе [5]. Данная модель содержит основные элементы токамака, такие как модули бланкета, диверторные кассеты, катушки ВТСП, систему охлаждения, верхние, нижние и горизонтальные патрубки. Каждому элементу предписана карта материалов: чистый вольфрам, нержавеющая сталь, медь, борированный полиэтилен, вода. При расчетах радиационного транспорта использовалась библиотека ядерных данных ENDF/B-VII [9]. В исходной геометрической модели TRT нет детальной конструкции криостата и пространство вокруг патрубков является пустым. Для того чтобы избежать вклада в сигнал прямых нейтронов, поступающих из соседних с патрубком областей плазмы, в расчетной модели мы заполнили пространство вокруг нейтронных детекторов нейтронной защитой из борированного полиэтилена. Это позволило более точно оценить эффективность нейтронных коллиматоров. В дальнейшем, планируется изменить конструкцию коллиматоров с учетом более детальной модели криостата и патрубков. Общий вид модели для расчета переноса нейтронов представлен на рис. 4.
С помощью заданного нейтронного источника и эталонной модели токамака были рассчитаны нейтронные потоки и спектры в каналах коллиматоров. Значения нейтронных потоков представлены в табл. 1. Для оценки фона нейтронов в измерительных каналах был выполнен расчет с коллиматорами, заполненными материалом защиты. Нумерация детекторов и каналов коллиматоров проставлена сверху вниз. Как видно из таблицы, поток прямых нейтронов в каналах коллиматоров достигает 107 нейтронов/см2 ⋅ с, а построенные линии наблюдения охватывают области плазмы с различной интенсивностью нейтронного источника.
Таблица 1.
Значения нейтронных потоков в каналах коллиматоров
| Номер коллиматора | 1 | 2 | 3 | 4 | 5 | 6 | 7 | 8 | 9 | 10 |
|---|---|---|---|---|---|---|---|---|---|---|
| Полная плотность потока нейтронов, нейтронов/см2 c | 3.14 × × 106 | 3.4 × × 106 | 5.44 × × 106 | 8.64 × × 106 | 1.35 × × 107 | 1.77 × × 107 | 1.67 × × 107 | 1.09 × × 107 | 6.82 × × 107 | 3.57 × × 107 |
| Плотность потока нейтронов с энергией свыше 2 МэВ н/см2 c | 7.03 × × 105 | 7.17 × × 105 | 2.76 × × 106 | 5.48 × × 106 | 1.01 × × 107 | 1.44 × × 107 | 1.35 × × 107 | 7.81 × × 106 | 3.45 × × 106 | 1.25 × × 106 |
| Плотность потока нейтронов при заполненных каналах коллиматоров н/см2 c | 1.0 × × 105 | 8.83 × × 105 | 1.2 × × 102 | 9.56 | 4.94 | 6.33 | 65.2 | 5.26 × × 103 | 5.27 × × 104 | 2.17 × × 104 |
Для оценки эффективности нейтронных коллиматоров были также посчитаны спектры нейтронов в месте расположения детекторов нейтронной камеры. Результаты представлены на рис. 5. Как видно из рисунка, пик прямых нейтронов с энергией 2.5 МэВ во всех каналах хорошо выделяется. Нейтроны с энергией выше 2 МэВ можно отнести к прямым, приходящим на детектор непосредственно из плазменного источника с некоторой долей нейтронов, рассеявшихся непосредственно в коллиматорных каналах на малые углы. Таким образом, опираясь на форму нейтронного спектра и значения из табл. 1 можно заключить, что предложенная нейтронная защита достаточно эффективна и доли прямых и рассеянных нейтронов хорошо разделяются. Иными словами, в данной конфигурации обеспечивается хорошее отношение сигнал–фон при проведении измерений плотности потока нейтронов.
5. ДЕТЕКТОРЫ НЕЙТРОННОЙ КАМЕРЫ
Как было упомянуто выше, предполагается работа токамака TRT как c DD, так и c DT-плазмой, при этом интенсивность нейтронного источника будет меняться на несколько порядков, что требует работы нейтронных детекторов в широком динамическом диапазоне. Помимо измерения непосредственно профиля нейтронного источника необходимо также измерять и другие параметры: топливное отношение (или отношение интенсивности излучений DD/DT-нейтронов), спектр нейтронов, полный нейтронный выход, профиль ионной температуры (в случае максвелловского распределения). Одиночный детектор нейтронов не может соответствовать всем вышеперечисленным требованиям, поэтому для различных режимов работы токамака предлагается использовать детекторы с различной чувствительностью. Наиболее предпочтительными кандидатами в качестве детекторов нейтронной камеры выглядят хлор-содержащие сцинтилляторы и детекторы на основе CVD монокристаллического алмаза.
Сцинтиллятор на основе хлорида лантана, легированный церием [LaCl3(Ce)] ранее успешно применялся для решения задачи спектрометрии DD-нейтронов [10], аналогичный детектор на основе сцинтиллятора C7LYC [Cs2LiYCl6(Ce)] применялся на токамаке EAST [11]. В хлорсодержащих сцинтилляторах для регистрации нейтронов используется реакция 35Cl(n, p)35S g.s. Она имеет положительный энергетический выход Q = = 615 кэВ, поэтому пик полного поглощения протонов находится в более высокоэнергетичной области отклика детектора, что, вкупе с цифровым методом разделения частиц по форме импульса, упрощает восстановление исходного нейтронного спектра. Наличие классической функции отклика выгодно выделяет хлорсодержащие сцинтилляторы на фоне органических, традиционно используемых для детектирования быстрых нейтронов.
На рис. 6 представлено сравнение наблюдаемоего отклика детектора на основе кристалла хлорида лантана, полученного в эксперименте (красные кресты) и отклика, полученного с помощью моделирования (красная сплошная). Для информации на рисунке (синяя сплошная) также представлена используемая при моделировании функция источника быстрых DD-нейтронов, соответствующего используемому в эксперименте генератору быстрых нейтронов ИНГ-07Д. Одной из проблем, которую необходимо решить при разработке сцинтилляционного спектрометра является размещение светоприемников в зоне сильного магнитного поля. В качестве таких светоприемников можно использовать кремниевые фотоумножители (SiPMT), при условии решения проблемы разделения нейтронного и гамма-излучения. Альтернативным подходом является использование оптоволокна для передачи света. Подобную схему предлагается использовать для диагностики жесткого рентгена ИТЭР [12].
Для измерения DT-нейтронов предлагается использовать алмазный детектор. В нем для регистрации нейтронов преимущественно используется реакция 12C(n, α)9Be на углероде [13]. Алмазные детекторы обеспечивают как измерение нейтронного выхода и спектра в DT-плазме, так и измерение доли наработанного трития, рожденного в DD-реакции [14].
6. ДОПОЛНИТЕЛЬНЫЕ ЛИНИИ НАБЛЮДЕНИЯ НЕЙТРОННОЙ КАМЕРЫ
В целом, как было показано при разработке системы вертикальная нейтронная камера ИТЭР при наличии априорной информации о конфигурации магнитных поверхностей можно решить задачу восстановления профиля нейтронного источника малым числом линий наблюдения [7]. В то же время, для увеличения точности восстановления можно дополнить нейтронную камеру TRT дополнительными линиями наблюдения. Особенно привлекательной выглядит идея использовать для этого вертикальные патрубки токамака. Концепция данных линий наблюдения представлена на рис. 7а. Как видно из рисунка, для размещения данных дополнительных линий необязательно интегрировать детекторы и коллиматоры внутрь патрубка. Однако данная задача требует отдельной инженерной проработки с учетом возможностей экспериментального зала установки и допустимой нагрузки на камеру криостата. Без интеграции в пространство патрубка можно реализовать также дополнительные горизонтальные линии наблюдения, для охвата центральной плазменной области (рис. 7б). При данной геометрии линий наблюдения предполагается установка протяженного нейтронного коллиматора непосредственно за фланцем патрубка. В этом случае расстояние от детектора до центра плазменного шнура составит около 6 м, что потребует использованияz детекторов большей чувствительности. В качестве такого детектора предлагается использовать сцинтиллятор на основе стильбена, ранее также успешно применявшийся для измерения потоков нейтронов на токамаках [15].
7. ВЫВОДЫ
В рамках данной работы была создана концептуальная модель нейтронной камеры TRT, состоящая из 10 линий наблюдения и включающая каналы коллиматоров и набор нейтронных детекторов. Ввиду наличия объемного криостата установка нейтронной камеры за пределы криостата позволяет исследовать только центральную область плазмы. Для более широкого охвата области плазмы рекомендуется установить камеру внутрь порта токамака. Предложенная вневакуумная конструкция патрубка для размещения нейтронных коллиматоров позволяет значительно упростить интеграцию нейтронных детекторов диагностики и использовать более широкий спектр материалов нейтронной защиты. В целом конструкция TRT позволяет дополнить диагностическую систему также вертикальными линиями наблюдения. Созданная 90° эталонная модель токамака TRT и нейтронного источника позволила выполнить анализ потоков и спектров нейтронов в каналах коллиматоров нейтронной камеры. В работе показано, что при выходе DD-нейтронов 1016 нейтронов/с стоит ожидать плотность нейтронного потока на детекторах до 107 нейтронов/см2 ⋅ с. В данных условиях для работы как с DD, так и c DT-плазмой в качестве детекторов нейтронной камеры предлагается использовать CVD алмазные детекторы и сцинтилляторы на основе LaCl3 и стильбена. Расчеты переноса нейтронного излучения показали, что предложенная нейтронная защита достаточно эффективно разделяет потоки прямых и рассяных нейтронов, поэтому можно говорить, что нейтронная камера будет работать с высоким отношением сигнал-фон.
Работа выполнена в рамках договора № Н.4ф.241.09.22.1135 от 12.09.2022 на выполнение научно-исследовательских и опытно-конструкторских работ по теме: “НИОКР в обоснование программы исследований и технических требований к системам токамака с реакторными технологиями. Этап 2022 года”.
Список литературы
Красильников А.В., Коновалов С.В., Бондарчук Э.Н., Мазуль И.В., Родин И.Ю., Минеев А.Б., Кузьмин Е.Г., Кавин А.А., Карпов Д.А., Леонов В.М., Хайрутди-нов Р.Р., Кукушкин А.С., Портнов Д.В., Иванов А.А., Бельченко Ю.И., Денисов Г.Г. // Физика плазмы. 2021. Т. 47. С. 970.
Bertalot L., Barnsley R., Casal N., Ferreol J., Giacomin T., Krasilnikov A.V., Martin V., Simrock S., Suarez A., Udin-tsev V., Walsh M., Yukhnov N., Amosov V., Nemtcev G., Zvon-kov A., Mota F., Lucca F., Marin A., Vigano F., Lee H.G., Pak S. // Proceed. Sci. (PoS). 2015. P. 090.
Moro F., Petrizzi L., Brolatti G., Esposito B., Marocco D., Villari R. // Fusion Engineering Design. 2009. V. 173. P. 1351.
Van Rooyen J. Transport and shielding of ionising radiation. Pretoria: Necsa (South African Nuclear Energy Corporation), 2015.
Портнов Д.В., Высоких Ю.Г., Кащук Ю.А., Родио-нов Р.Н. // Физика плазмы. 2021. Т. 47. С. 1170.
Pereverzev G., Yushmanov P. ASTRA – Automated System for TRansport Analysis. IPP-Report. 2002.
Rodionov R., Kumpilov D., Nemtcev G., Bertalot L., Vysokikh J. // Fusion Engineer. Design. 2021. V. 173. P. 112874.
Wu Y., Song J., Zheng H., Sun G., Hao L., Long P., Hu L. // Ann. Nuclear Energy. 2015. V. 82. P. 161.
ENDF, version 2021-02-15, https://nds.iaea.org/exfor/endf.htm.
Kormilitsyn T., Obudovsky S., Rodionov R., Pankraten-ko A., Dzhurik A., Kashchuk Yu., Krasilnikov A. // Rev. Sci. Instrume. 2021. V. 92. P.043528.
Rigamont D., Zhong G., Croci G., Giacomelli L., Gorini G., Hu Z., Muraro A., Nocente M., Cippo E.P., Rebai M., Tardocchi M., Camera F., Cattadori C., Zhou R., Hu L., Ge L., Zhang Y., Fan T. // J. Instrumentation. 2019. V. 14. P. 09025.
Kajita S., Pandya P.S., O’Connor R., Barnsley R. Ro-ger H. // Plasma Fusion Res. 2021. V. 16. P. 1302106.
Krasilnikov A.V. Issues of Atomic Sci. Technics. 1995. V. 1. P. 36.
Nemtsev G., Amosov V., Meshchaninov S., Popovichev S., Rodionov R. // Rev. Sci. Instrum. 2016. V. 87. P. 11D835.
Ishikawa M., Nishitani T., Morioka A., Takechi M., Shinohara K., Shimada M., Miura Y., Nagami M., Ka-shchuk Yu. // Rev. Sci. Instrum. 2002. V. 73. P. 4237.
Дополнительные материалы отсутствуют.









