Физика плазмы, 2022, T. 48, № 12, стр. 1183-1192
Спектрометр с алмазными детекторами для диагностики быстрых атомов на токамаке с реакторными технологиями (TRT)
К. К. Артемьев a, *, А. В. Красильников a, Т. М. Кормилицын a, Н. Б. Родионов a
a Частное учреждение государственной корпорации по атомной энергии “Росатом”,
“Проектный центр ИТЭР”
Москва, Россия
* E-mail: k.artemev@iterrf.ru
Поступила в редакцию 19.05.2022
После доработки 06.08.2022
Принята к публикации 20.08.2022
- EDN: OZQMKO
- DOI: 10.31857/S0367292122600480
Аннотация
Представлен спектрометр быстрых атомов перезарядки с алмазными детекторами, интегрированными в систему с инжектором нейтральных атомов для диагностики плазмы токамака с реакторными технологиями (TRT). Показана предпочтительная схема их совместного расположения и прохождения лучей обзора. Показан потенциал многоканального спектрометра с алмазными детекторами для изучения эффективности дополнительного нагрева плазмы TRT. Приведены результаты расчетов сигналов алмазных детекторов для спектрометра и оценка эффективности его применения.
1. ВВЕДЕНИЕ
В настоящее время ведется проектирование компактного квазистационарного Токамака с реакторными технологиями (TRT) [1] c сильным магнитным полем на оси плазменного шнура (величина магнитной индукции до 8 Tл), электромагнитной системой из высокотемпературного сверхпроводника и дейтериевой термоядерной плазмой. Такое сильное магнитное поле должно обеспечить достижение термоядерных режимов плазмы при компактных размерах тороидальной установки (большой радиус тора RТ = 2.15 м, малый радиус тора aТ = 0.57 м). Одна из миссий TRT состоит в разработке и исследовании длительных (более 100 с) квазистационарных разрядов в плазме токамака с температурой около 10 кэВ и плотностью до 2 × 1014 см–3, которые близки к требуемым значениям для термоядерного реактора.
Для создания спектрометра для диагностики быстрых атомов плазмы TRT представляется перспективным использовать алмазные детекторы благодаря таким их свойствам как высокая радиационная стойкость [2, 3] (предельно допустимый флюенс нейтронов превышает значения 2 × × 1014 см–2, а по альфа-частицам 2 × 1013 см–2), высокая чувствительность при регистрации выходящих из плазмы нейтральных атомов, возможность эксплуатации диагностической системы спектрометра на базе алмазных детекторов при высоких температурах и ее компактность. Подобные спектрометры применялись на нескольких крупнейших термоядерных установках, − TFTR [4], JT-60U [5] и JET [6].
Атомы и ионы, регистрируемые алмазным детектором, имеют небольшие пробеги в кристалле алмаза, например, пробег альфа-частиц с энергией 5.48 МэВ составляет 13.8 мкм. Нижний порог регистрации определяется в большей степени толщиной фронтального контакта алмазного чувствительного элемента (сторона алмазного детектора, “смотрящая” на плазму) и имеет типичное значение 50 кэВ. В работе [7] определены значения энергетических разрешений алмазного детектора для ионов малых энергий, которые составляют 63.3 кэВ для альфа-частиц с энергией 462.7 кэВ, 16.5 кэВ для протонов с энергией 294.2 кэВ и 23.5 кэВ для дейтронов с энергией 288.3 кэВ. Определена минимальная регистрируемая детектором энергия частиц: 36.9 кэВ для альфа-частиц, 51 кэВ для протонов, 30.1 кэВ для дейтронов.
В данной работе представлена концепция спектрометра с алмазными детекторами для диагностики быстрых атомов перезарядки, выходящих из плазмы TRT. Представлено предложение по размещению алмазных детекторов в патрубках вакуумной камеры TRT, сделаны оценки максимальной скорости счета таких детекторов.
2. ОПИСАНИЕ ДИАГНОСТИКИ
Основная цель многоканального спектрометра с алмазными детекторами, входящими в систему диагностического комплекса TRT состоит в определении эволюции энергетического спектра атомов перезарядки в диапазоне энергий 50 кэВ–4 МэВ.
Также алмазные спектрометры для TRT могут выполнять следующие задачи:
• исследование динамики функции распределения быстрых ионов во время развития различных плазменных неустойчивостей,
• изучение эффективности дополнительного нагрева плазмы с помощью нейтральной инжекции и ионно-циклотронного резонансного излучения,
• изучение возникновения заряженных продуктов термоядерных реакций в плазме TRT (альфа-частиц, протонов, тритонов), их удержание и торможение.
Изучение фракции быстрых ионов – критическая задача как с точки зрения нагрева и горения плазмы, так и с точки зрения безопасности установки TRT. Диагностика на основе алмазных спектрометров нейтральных частиц направлена на решение и этой задачи.
Показания диагностик, использующихся как основные для измерения ионной температуры плазмы TRT, должны быть и будут использованы для более точной интерпретации показаний спектрометра с алмазными детекторами. Такое взаимодействие позволит более детально исследовать надтепловую (неравновесную) фракцию быстрых ионов в плазме.
В установке TRT основными источниками быстрых ионов в плазме являются мощные инжекторы атомов, а также системы нагрева плазмы электромагнитными волнами в электронно-циклотронном и ионно-циклотронном диапазонах частот.
Различные неустойчивости плазмы могут приводить к перераспределению надтепловых ионов из центра плазменного шнура на его периферию, где они, перезарядившись на водородоподобных примесях, могут стать атомами и покинуть плазму. Время развития таких процессов обычно составляет 1–10 мс. Работающая с короткими временными окнами многоракурсная система диагностики потоков и энергетических спектров атомов перезарядки позволит изучать поведение быстрых ионов, в том числе и при развитии неустойчивостей в плазме установки TRT.
Для наблюдения перераспределения быстрых частиц, инициированных неустойчивостями плазмы, предлагается использовать 2 набора из 3‑х алмазных спектрометрических детекторов каждый, размещенных в тангенциальном экваториальном и вертикальном патрубках, направленных на различные магнитные поверхности плазмы. В нижеследующем разделе представлены предложения по размещению детекторов в вакуумной камере TRT.
3. РАЗМЕЩЕНИЕ ДИАГНОСТИКИ
Для осуществления длительных квазистационарных разрядов в плазме при полностью безындукционном поддержании тока в TRT, помимо прочих систем дополнительного нагрева, будут использоваться специально разрабатываемые комплексы нейтральной инжекции. Как показано на рис. 1, TRT имеет 3 тангенциальных экваториальных патрубка, специально спроектированных для инжекции пучка высокоэнергичных атомов. Каждый из инжекционных патрубков имеет внутреннее сечение 300 мм (по горизонтали) ×1000 мм (по вертикали). В данной статье используются следующие условные обозначения инжекторов: NBI0, NBI1, NBI2.
Рис. 1.
Организация тангенциальных патрубков TRT для инжекции высокоэнергичных атомов (слева – экваториальное сечение камеры токамака, справа – изометрический вид сектора камеры с инжекторными патрубками). NBI – обозначение пучков нейтральной инжекции, DNBI – обозначение пучка диагностического инжектора.

Описываемый спектрометр с алмазными детекторами имеет линии обзора от центра до периферии плазмы (рис. 2), которые позволяют наблюдать перераспределение быстрых ионов, инициированное неустойчивостями плазмы. Углы поворотов и размещение детекторов подобраны с учетом конструкционных особенностей установки TRT и имеют максимально возможное покрытие профиля плазмы от центра до периферии.
Рис. 2.
Схематичное изображение линий наблюдения алмазных детекторов в косом инжекторном (детекторы 1–3) и вертикальном (детекторы 4–6) патрубках. NBI – условное обозначение патрубков с инжекторами нейтральных пучков, DNBI – условное обозначение патрубка с диагностическим инжектором.

Каждый детектор обладает собственной линией обзора с размером апертуры 6 мм, длины коллиматоров у детекторных модулей различаются: 51 cм для детектора, ориентированного на периферию плазмы, 53 см для детектора, ориентированного на центральную часть плазменного шнура.
Инжекционный комплекс, прототип которого разрабатывается в Институте ядерной физики им. Г.И. Будкера СО РАН, состоит из двух расположенных вертикально друг над другом инжекторов атомарных пучков большой энергии (500 кэВ). Диаметр каждого из инжектируемых пучков нейтралов на входе в патрубок TRT около 30 см, по вертикали расстояние между центрами пучков – 60 см [8].
Компактность спектрометров на основе алмазных детекторов позволяет разместить первый набор из 3-х детекторов на фланце патрубка № 6, между заслонками двухпучкового инжекторного модуля установки TRT (рис. 3).
Рис. 3.
Схематичное изображение геометрии установки алмазных детекторов в вертикальном патрубке установки TRT.

Линии наблюдения алмазных детекторов ориентированны на пучок дигностического инжектора быстрых атомов водорода. В настоящее время разрабатывается концептуальный проект диагностического инжектора для TRT [9] со следующими основными характеристиками: энергия атомов – 60 кэВ; рабочий газ – водород; диаметр пучка в центре плазмы на уровне 1/e от максимального значения интенсивности – 13 см.
4. МОДЕЛИРОВАНИЕ
Выполнены оценки скорости счета алмазных детекторов при различных сценариях работы нагревных и диагностического атомарных пучков с помощью плазмофизического расчетного кода DOUBLE-MC, основанного на методе Монте-Карло, позволяющего проводить моделирование энергетических распределений атомов, выходящих из плазмы тороидальных установок [10].
Рис. 4.
Схематичное изображение геометрии установки алмазных детекторов в вертикальном патрубке установки TRT.

Для расчета плотности потока атомов, покидающих плазму, в коде DOUBLE-MC используется следующее выражение, представляющее собой интеграл вдоль линии наблюдения:
Здесь E – энергия частиц (выходящих из плазмы атомов и соответствующих им ионов плазмы); ${{n}_{i}}\left( x \right)$ – концентрация ионов основной плазмы; $n_{j}^{0}\left( x \right)$ – концентрация доноров j, дающих вклад в процессе нейтрализации; ${{\langle \sigma _{j}^{0}{v}\rangle }_{{{{{v}}_{j}}}}}$ – скоростной коэффициент соответствующей реакции, усредненный по распределению относительной скорости ионов и доноров; ${{f}_{i}}\left( {E,x} \right)$ – функция распределения ионов по энергии; $\mu \left( {E,x} \right)$ – фактор ослабления потока атомов в результате процессов, приводящих к повторному превращению атомов в ионы; x – координата вдоль линии наблюдения. Донорами могут быть как частицы основной плазмы, так и частицы пучка в случае нейтральной инжекции.
При проведении, представленных в статье расчетов, функция распределения ионов задана изотропным максвелловским распределением. В расчетах не учитывались рожденные в результате реакций синтеза быстрые частицы.
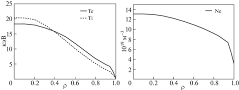
Для расчетов использованы радиальные профили основных параметров плазменного шнура (рис. 5) для разряда TRT в дейтериевой плазме (D/D-разряде) (B0 = 8T, Ip = 5 MA, 〈ne〉 = 1 × × 1020 м–3) [11].
Рис. 5.
Температуры ионов и электронов (слева) и плотность электронов (справа) плазмы установки TRT, в зависимости от нормализованной величины малого радиуса тора.

В табл. 1 представлены исходные данные для каждой линии обзора алмазных детекторов, заданные цилиндрическими координатами (R, φ, Z), углами, задающими направление обзора детектора (θ1, θ2), телесные углы (Ω) и расстояние вдоль хорды наблюдения от детектора до точки пересечения с диагностическим водородным пучком (H). Геометрическое представление этих параметров дано на рис. 6.
Таблица 1.
Исходные данные линий обзора алмазных детекторов, использованных для моделирования режимов работы установки TRT
| № детектора | R, м | z, м | φ, град | θ1, град | θ2, град | Ω, ср | H, м |
|---|---|---|---|---|---|---|---|
| 1 | 5.97 | 0 | 22.46 | 0 | 15.45 | 0.000200 | 4.38 |
| 2 | 5.94 | 21.55 | 18.20 | 0.000214 | 4.24 | ||
| 3 | 5.91 | 20.63 | 21.18 | 0.000227 | 4.11 | ||
| 4 | 2.35 | 3.86 | 56.25 | –86.28 | 0 | 0.000257 | 3.87 |
| 5 | 2.15 | –92.59 | 0.000258 | 3.86 | |||
| 6 | 1.95 | –98.83 | 0.000252 | 3.91 |
Рис. 6.
Определение линий обзора (детекторов или начала пучков) где – R, φ, Z – цилиндрические координаты, θ1, θ2 – углы наклона линии обзора.

В проведенных расчетах фракция быстрых альфа-частиц, протонов, тритонов, рожденных в результате ядерных реакций, и фракция удержанных частиц нагревных пучков не учитывались.
Расчетная величина плотности потока ато-мов, покидающих плазму, имеет размерность 1/(м2 ⋅ ср ⋅ эВ ⋅ с). В результате умножения потока атомов на площадь детектора (предполагаемый диаметр диафрагмы алмазного детектора 3 мм) и телесный угол (Ω) получается количество отсчетов в единицу времени.
Как можно видеть из рис. 7а, вклада в скорость счета алмазного детектора при работающем диагностическом пучке в отсутствии дополнительного инжекционного нагрева не наблюдается. В случаях сценариев с использованием NBI (7б–7в) наблюдается синергетический эффект диагностического и нагревного пучков.
Рис. 7.
Скорости счета алмазных детекторов (1–3) в различных сценариях использования инжекторов: (а) с диагностическим пучком, (б) с NBI0 и диагностическим пучком (пунктирная линия) и при отсутствии диагностического пучка (сплошная линия), (в) с NBI1 и диагностическим пучком (пунктирная линия) и при отсутствии диагностического пучка (сплошная линия), (г) с NBI2 и диагностическим пучком (пунктирная линия) и при отсутствии диагностического пучка (сплошная линия).

Одной из вспомогательных характеристик, рассчитываемой кодом DOUBLE-MC, является функция светимости [10]. Эта величина пропорциональна вероятности рождения и выхода атома с определенной энергией из данной точки плазмы. На рис. 8 представлена функция светимости атома водорода с энергией 60 кэВ для 2-х описываемых выше сценариев. На рис. 8 слева функция светимости показана цветовым градиентом на линиях обзора алмазных детекторов, справа – графики функции светимости в зависимости от расстояния до детектора вдоль линии наблюдения. Пунктирными линиями, с соответствующими цветами, обозначены расстояния, на которых линия наблюдения детектора пересекается с диагностическим пучком.
Рис. 8.
Функции светимости атомов водорода с энергией 60 кэВ в сценарии с диагностическим инжектором (DNBI) (сверху) и сценарии с диагностическим инжектором и нагревным инжектором NBI0 (снизу).

Функции светимости (сценарий с NBI2) для атомов дейтерия с энергией 300 кэВ представлены на рис. 9.
Рис. 9.
Функции светимости атомов дейтерия с энергией 300 кэВ в сценарии с плазмой TRT с нагревным инжектором NBI2 (сверху) и в комбинированном сценарии с нагревным и диагностическим инжекторами NBI2 + DNBI (снизу).

На рис. 10 демонстрируются скорости счета детекторов 4–6, расположенных в вертикальном патрубке, находящимся над лучом диагностического инжектора в сценарии с диагностическим пучком и при его отсутствии. Функция светимости атомов водорода с энергией 60 кэВ для этого сценария представлена на рис. 11.
Рис. 10.
Скорости счета детекторов (4–6) в сценарии с диагностическим пучком (пунктирная линия) и при его отсутствии (сплошная линия).

Рис. 11.
Функции светимости атомов водорода с энергией 60 кэВ в сценарии с диагностическим инжектором (DNBI) для детекторов 4–6.

Результаты моделирования позволяют говорить о значительном изменении скорости счета детекторов (на порядок) при работающих нагревных пучках, а также о наличии синергетического эффекта диагностического и нагревного пучков (например, ярко выраженного в линиях наблюдения 1–3). Таким образом, диагностика позволяет контролировать эффективность нагрева, а направление линий наблюдения на различные магнитные поверхности обеспечивает наблюдение как центра плазмы, так и периферии. В промежутке после отключения нагревных пучков количества отсчетов оказывается достаточно чтобы определить время замедления ионов на электронах, величину, пропорциональную электронной температуре в степени 3/2.
Таблица 2.
Исходные данные для диагностического и нагревных атомарных пучков, вводимых в установку TRT
| № детектора | R, м | z, м | φ, град | θ1, град | θ2, град |
|---|---|---|---|---|---|
| DNBI | 6.0 | 0 | 56.25 | 0 | 0 |
| NBI_0_UP | 0.3 | –1.023 | –5 | 18.88 | |
| NBI_0_LOW | –0.3 | 5 | |||
| NBI_1_UP | 0.3 | 21.48 | –5 | ||
| NBI_1_LOW | –0.3 | 5 | |||
| NBI_2_UP | 0.3 | 43.98 | –5 | ||
| NBI_2_LOW | –0.3 | 5 |
Следует отметить, что алмазный детектор чувствителен к атомам, нейтронам и гамма-излучению. Как известно, термоядерная плазма служит источником смешанных радиационных полей, поэтому в случае диагностики атомов перезарядки на основе алмазных детекторов возникает необходимость избирательного измерения ядерного излучения определенного вида. Достигая детектора, атомы ионизируются и тормозятся на электронах, порождая электронно-дырочные пары, и чувствительность детектора в этом случае, ввиду малых длин свободного пробега, определяется площадью чувствительной части детектора, обращенной к плазме. Термоядерные нейтроны с энергией 14.1 МэВ, достигая алмазного детектора, вступают в реакции упругого и неупругого рассеяния на ядрах атомов углерода 12С, а также в ядерные реакции, такие как 12С(n, α)9Be с образованием α-частиц и ядер бериллия Ве. Нейтроны с энергией 2.5 МэВ, возникающие в результате D‒D-реакции, испытывают только упругое рассеяние в алмазном детекторе. Отсчеты детектора в интенсивном потоке нейтронов, таким образом, вызваны регистрацией вторичных частиц – ядер отдачи углерода, альфа-частиц и ядер бериллия. Полная чувствительность алмазного детектора при регистрации быстрых нейтронов у типичного кристалла алмаза не превышает 10−3 см2. В свою очередь, γ-излучение может создавать комптоновские электроны в алмазе, но чувствительность алмазного детектора к γ-излучению на порядок ниже, чем чувствительность к нейтронам. Следует учитывать, что чувствительность алмазного детектора к нейтронам и γ-квантам пропорциональна его объему, тогда как его чувствительность к атомам пропорциональна его площади. Таким образом, выбор соотношения площади активной части детектора к ее объему позволяет предопределять целевое предназначение алмазного детектора.
В сценариях работы установки TRT с высоким выходом нейтронов, можно снизить эффективность регистрации детектором фонового γ и нейтронного излучения, уменьшив толщину детектора (гомоэпитаксиальной пленки) с 300–500 мкм до десятков мкм [12]. Таким образом, пленочные алмазные детекторы сохраняют свою чувствительность к атомам, снижая чувствительность к нейтронам и γ-излучению на еще один дополнительный порядок. Оценки толщины гомоэпитаксиальной пленки будут проведены на следующей стадии разработки проекта диагностической системы.
Следует отметить, что установка TRT как стационарная машина будет долго работать на водороде H, гелии He и дейтерии D. В серии разрядов с дейтерий-тритиевой плазмой (D-T), завершающей стадии экспериментальной кампании TRT, спектрометр с алмазными детекторами будет работать в качестве D-T нейтронного спектрометра.
5. ЗАКЛЮЧЕНИЕ
Анализ достигаемых скоростей счета и потенциальных мест размещения диагностической системы на основе алмазных детекторов позволяет утверждать, что предложенный многоканальный спектрометр быстрых атомов перезарядки может служить важной составляющей диагностического комплекса термоядерной установки TRT. В дальнейшем разработка проекта предполагает следующие этапы: разработка детального дизайна детекторов (с макетированием и испытаниями); подбор компонентов детекторного узла и системы сбора данных; построение синтетической диагностики и детальный анализ синтетических сигналов в условиях различных сценариев TRT; оптимизация параметров измерительного тракта для повышения эффективности измерений; разработка алгоритма совместного анализа данных нескольких диагностик.
Работа была выполнена при финансовой поддержке госкорпорации Росатом в рамках договора от 22 июля 2022 г. № Н.4ф.241.09.22.1104. Идентификатор государственного контракта 17706413348220000970.
Список литературы
Красильников А.В., Коновалов С.В., Бондарчук Э.Н., Мазуль И.В., Родин И.Ю., Минеев А.Б., Кузьмин Е.Г., Кавин А.А, Карпов Д.А., Леонов В.М., Хайрутди-нов Р.Р., Кукушкин А.С., Портнов Д.В., Иванов А.А., Бельченко Ю.И., Денисов Г.Г. // Физика плазмы. 2021. Т. 47. С. 970. https://doi.org/10.31857/S0367292121110196
Angelon M., Pillo M., Balducci A. et al. // Rev. of Sci. Instrum. 2006. V. 77, https://doi.org/10.1063/1.2167130
Bauer C., Baumann I., Colledani C. et al. // Nuclear Instruments and Methods in Physics Research Section A. 1996. V. 383. P. 64. https://doi.org/10.1016/S0168-9002(96)00659-6
Krasilnikov A.V., Medley S.S., Gorelenkov N.N. et al. // Rev. Sci. Instrum. 1999. V. 70. № 1. P. 1107.
Ishikawa M., Kusama Y., Takechi M. et al. // Review of scientific instruments. 2004. V. 75. № 10. P. 3643.
Amosov V.N., Krasilnikov A.V., Skopintsev D.A. et al. // Instruments and Experimental Techniques. 2008. V. 51. № 2. P. 258.
Амосов В.Н., Родионов Н.Б., Дравин В.А., Артемь-ев К.К., Мещанинов С.А. // Приборы и техника эксперимента. 2017. № 1. С. 120. https://doi.org/10.7868/S0032816217010293
Бельченко Ю.И., Бурдаков А.В., Давыденко В.И., Горбовский А.И., Емелев И.С., Иванов А.А., Санин А.Л., Сотников О.З. // Физика плазмы. 2021. Т. 47. С. 1031. https://doi.org/10.31857/S0367292121110135
Давыденко В.И., Иванов А.А., Ступишин Н.В. // Физика плазмы. 2022. Т. 48. № 8. С. 694.
Миронов М.И., Чернышев Ф.В., Афанасьев В.И., Мельник А.Д., Наволоцкий А.С., Несеневич В.Г., Петров М.П., Петров С.Я. // Физика плазмы. 2021. Т. 47. № 1. С. 29. https://doi.org/10.31857/S0367292121010108
Леонов В.М., Коновалов С.В., Жоголев В.Е., Кавин А.А., Красильников А.В., Куянов А.Ю., Лукаш В.Э., Минеев А.Б., Хайрутдинов Р.Р. // Физика плазмы. 2021. Т. 47. С. 986. https://doi.org/10.31857/S0367292121120040
Родионов Н.Б., Амосов В.Н., Артемьев К.К., Мещанинов С.А., Родионова В.П., Хмельницкий Р.А., Дравин В.А., Большаков А.П., Ральченко В.Г. // Атомная энергия. 2016. Т. 121. С. 98. ISSN 0004-7163.
Дополнительные материалы отсутствуют.


