Физика плазмы, 2023, T. 49, № 12, стр. 1271-1281
ДИАГНОСТИКА ПЛАЗМЫ В ДИВЕРТОРНОЙ ОБЛАСТИ ТОКАМАКА ГЛОБУС-М2 МЕТОДОМ ТОМСОНОВСКОГО РАССЕЯНИЯ
Н. В. Ермаков a, *, Н. С. Жильцов a, Г. С. Курскиев a, Е. Е. Мухин a, С. Ю. Толстяков a, Е. Е. Ткаченко a, В. А. Соловей a, И. В. Бочаров a, К. В. Долгова b, А. А. Кавин c, А. Н. Коваль a, К. О. Николаенко a, А. Н. Новохацкий a, Ю. В. Петров a, В. А. Рожанский b, Н. В. Сахаров a, И. Ю. Сениченков b
a Физико-технический институт им. А.Ф. Иоффе РАН
Санкт-Петербург, Россия
b Санкт-Петербургский политехнический университет Петра Великого
Санкт-Петербург, Россия
c Научно-исследовательский институт электрофизической аппаратуры им. Д.В. Ефремова (НИИЭФА)
Санкт-Петербург, Россия
* E-mail: ermafin@gmail.com
Поступила в редакцию 25.07.2023
После доработки 05.10.2023
Принята к публикации 25.10.2023
- EDN: CFQPRJ
- DOI: 10.31857/S036729212360098X
Аннотация
Представлены первые измерения параметров плазмы с помощью диагностики томсоновского рассеяния (ТР), работающей в области нижнего дивертора токамака Глобус-М2. Диагностика ТР предназначена для локальных измерений электронной температуры ${{T}_{e}}\left( {z,t} \right)$ плазмы в диапазоне 1–100 эВ и ее плотности ${{n}_{e}}\left( {z,t} \right)$ в диапазоне от ~1017–1020 м–3. Источником зондирующего излучения является лазер Nd:YAG 1064 нм/2 Дж/100 Гц/3 нс. Вертикальная R = 24 см хорда зондирования располагается в области внутренней диверторной ноги. Рассеянное излучение собирается из 9 пространственных точек, вдоль хорды длиной 110 мм. Спектрально-аналитический комплекс собран на базе фильтровых полихроматоров.
1. ВВЕДЕНИЕ
Области выхода сепаратрисы на диверторные пластины (strike points) являются наиболее термически нагруженным элементом первой стенки токамаков. Для токамаков-реакторов, которые будут работать в квазистационарном режиме, выделяющаяся в этих областях плотность мощности может превосходить допустимую для известных материалов. Плотность мощности плазменного потока, падающего на диверторные пластины параллельно силовым линиям магнитного поля, в основной компоненте плазмы можно представить в виде [1, 2]
(1)
${\mathbf{q}} = {{{\mathbf{n}}}_{{\mathbf{i}}}}{{{\mathbf{v}}}_{{{\mathbf{sound}}}}}\left( {\epsilon + {\mathbf{\gamma }}{{{\mathbf{T}}}_{{\mathbf{e}}}}} \right),$Ослабление нагрузки на диверторные пластины может достигаться при поддержании повышенного давления нейтрального компонента в диверторной области камеры, например, путем подачи в диверторную плазму примесных газов (неон, азот или аргон). В этом случае мощность потока, приходящего в дивертор из центральной плазмы, достигает поверхности диверторных пластин преимущественно в форме излучения и энергии нейтральных частиц. При нейтрализации плазмы из правой части уравнения (1) уходит вклад потенциала ионизации атома водорода. Нейтральные частицы не удерживаются магнитным полем и поэтому связанный с ними поток энергии распределяется по поверхности первой стенки более равномерно. Подобный режим “отрыва” плазмы от диверторных пластин необходимо оптимизировать таким образом, чтобы скорость и место напуска излучающей примеси приводило к переизлучению бόльшей части мощности вне зоны удержания.
На сегодняшний день теоретические модели пристеночной и диверторной плазмы, а также режима “отрыва” плазмы от диверторных пластин, окончательно не разработаны. Исследования плазмы в области дивертора активно ведутся на всех ведущих токамаках. Наиболее интересные результаты получены диагностиками томсоновского рассеяния (ТР) дивертора на токамаках ASDEX-U [3], DIII-D [4] и МАST-U [5]. Эти данные требуются как для подтверждения моделей и расчетов численными кодами, так и для определения преимущественных физических процессов в пристеночной плазме. Ожидается, что при поддержке существующего диагностического комплекса диагностика ТР-плазмы дивертора в токамаке Глобус-М2 позволит [6].
– оценить предел увеличения плотности (уменьшения температуры) плазмы в диверторе без существенной деградации профиля электронной температуры в основном плазменном шнуре;
– провести сравнение эффективности различных излучающих примесей и режимов напуска, оценить их влияние на изменение нагрузки на диверторные пластины и возможное формирование “отрыва” плазмы от них, а также исследовать возможность существования режимов с холодной и сильно излучающей плазмой в Х-точке в токамаке Глобус-М2;
– провести исследование алгоритмов управления разрядом с локализацией переизлученной мощности вне зоны магнитного удержания горячей плазмы.
2. ОПИСАНИЕ ДИАГНОСТИКИ
2.1 Система ввода лазерного излучения
Лазерная система располагается на значительном удалении (~20 м) под установкой, а лазерное излучение доставляется к токамаку с использованием 10 диэлектрических зеркал. Луч направляется в вакуумную камеру вертикально вверх через установленное под углом Брюстера окно и патрубок длиной ~1500 мм с проходным диаметром 20 мм (см. рис. 1). Из вакуумной камеры излучение выводится через патрубок длиной ~600 мм с проходным диаметром 20 мм и направляется в ловушку, расположенную в 100 мм от просветлённого выходного лазерного окна.
Для зондирования плазмы используется лазер, разработанный в рамках макетирования аппаратуры диверторной диагностики токамака ИТЭР [7]: Nd:YAG 1064 нм/2 Дж/100 Гц/3 нс. На расстоянии 500 мм перед зеркалом, направляющим лазерное излучение в плазму, располагается просветленная линза-мениск с фокусным расстоянием 2 м, которая формирует в области наблюдения перетяжку диаметром менее 3 мм. Потери лазерной энергии на пути до входа в токамак, вызванные расходимостью лазерного пучка, не превышают 30% от энергии на выходе лазера. Последнее зеркало и линза расположены на немагнитном основании, закрепленном непосредственно на фундаменте установки под вакуумной камерой.
Для контроля пространственного распределения энергии по сечению лазерного пучка вдоль всего оптического пути вблизи лазера на оптическом столе организована макетирующая оптическая трасса длиной равной расстоянию до ловушки на выходе из токамака. Данная трасса используется также для совмещения невидимого излучения зондирующего лазера (λ ~ 1064 нм) с пучком юстировочного лазера (λ ~ 650 нм).
2.2. Система сбора рассеянного излучения
Собирающая система состоит из вакуумной и вневакуумной частей (см. рис. 2). Вакуумная часть включает в себя подвижный перископ, шибер и систему линейного перемещения перископа. Оптическая система предполагает проведение измерений со стороны сильного магнитного поля, в областях внутренней ноги дивертора и “private flux region”, а также в области удержания. Благодаря управлению положением плазменного шнура, существует возможность измерения в различных пространственных областях плазмы в окрестности X-точки.
Рис. 2.
Схема диагностики томсоновского рассеяния дивертора Глобус-М2. 1 – зондирующий луч, 2 – область наблюдения ТР, 3 – сепаратриса, 4 – вакуумная часть оптической схемы, 5 – сильфон, 6 – шибер, 7 –вневакуумный объектив, 8 – оптическое окно ваку-ум – атмосфера, 9 – механизм подъема/спуска собирающей оптики, 10 – шаговый двигатель.

Вакуумная камера системы сбора рассеянного излучения закреплена на опоре токамака. Механическая развязка от вакуумной камеры токамака через пластинчатый сильфон позволяет избегать ударных нагрузок при вибрациях во время разряда. Нижняя часть вакуумного модуля закреплена на опоре токамака с помощью механической треноги. Это позволило исключить возможное застревание выдвижной перископической конструкции в узком пространстве каплевидного патрубка из-за перекосов. Конструкцией предусмотрена возможность перемещения выдвижной части объектива в нижнее положение и закрытие шибера на время обслуживания камеры, включая чистку тлеющим разрядом. Линза, обращенная к плазме, защищена кварцевым стеклом (см. рис. 3), которое может заменяться при загрязнении или распылении без демонтажа всей конструкции и разгерметизации токамака через боковое окно вакуумной камеры системы сбора.
Рис. 3.
Сильфон (слева), обеспечивающий развязку вакуумного модуля с камерой, и окно объектива в каплевидном патрубке камеры (справа).

Вневакуумная часть объектива системы сбора рассеянного лазерного излучения располагается напротив оптического окна вакуумного модуля и оснащена моторизированными подвижками, обеспечивающими два линейных и одно угловое перемещения (см. рис. 4). Совмещение волоконных жгутов с изображением лазерного пучка проводится по максимизации сигнала рамановского рассеяния в рабочих пространственных каналах или по выравниванию сигналов в смежных вспомогательных жгутах оптических волокон, расположенных на краях единого волоконного жгута (см. комментарии к рис. 7).
Рис. 4.
Часть собирающей системы вне вакуума, установленная у токамака, и ее 3D-модель (слева внизу). Красным выделены оптические подвижки.

Рис. 6.
Схема сборки ОВЖ. Слева изображена упаковка со стороны токамака, справа – со стороны полихроматоров.

Рис. 7.
Структура оптоволоконной сборки. а – принцип работы схемы определения положения изображения лазерного луча; б – фотография торца ОВЖ.

На рис. 5 представлена оптическая схема системы сбора. Для передачи протяженного изображения хорды зондирования через длинный узкий патрубок использована схема с формированием промежуточного изображения. Линейный угол сбора рассеянного излучения составляет около 10° в плоскости рисунка и около 5° в перпендикулярном направлении (что соответствует F-number F/6 и F/12 соответственно, где F – фокусное расстояние системы). Входная часть собирающего объектива включает две сферические (Л1, Л2) и две цилиндрические линзы (Л3, Л4). Первое зеркало (М1) располагается сразу после фронтальной собирающей линзы (Л1) (расстояние 185.4 мм от середины хорды зондирования), положение которой совпадает с положением апертурной диафрагмы, и направляет собранное излучение вниз через вертикально расположенный каплевидный патрубок (рис. 3). Пара цилиндрических линз формирует цилиндрический телескоп, который позволяет из асимметричного телесного угла сбора рассеянного излучения сформировать симметричный телесный угол на входе в волокно. Это приводит к отличающимся в ~2 раза линейным коэффициентам уменьшения изображения и фактическому поджатию собранных лучей в направлении, перпендикулярном к плоскости рисунка и направлению лазерного луча.
Вблизи плоскости промежуточного изображения хорды зондирования расположена полевая линза (Л5), предназначенная для передачи изображения входной апертурной диафрагмы на выходной объектив, формирующий изображения хорды зондирования на торцах сборки волоконных жгутов. Полевая линза служит также для устранения виньетирования на краях патрубка и минимизации размеров оптических элементов расположенных за ней по ходу световых лучей, а также исправляет кривизну поля изображения и дисторсию выходного изображения. После полевой линзы по ходу световых лучей внизу на выходе патрубка располагается второе зеркало (М2), поворачивающее лучи системы сбора в горизонтальном направлении. Сразу после нижнего поворотного зеркала располагается пара линз, являющаяся вакуумной частью выходного объектива. Выходной объектив, одна часть которого (вневакуумная) неподвижна относительно волоконного жгута, а другая (вакуумная) неподвижна относительно системы сбора рассеянного излучения, позволяет уменьшить влияние возможного смещения корпуса токамака в процессе работы. Благодаря квазипараллельному ходу оптических пучков между внутри- и вневакуумной частями объектива параллельное смещение одной части объектива относительно другой приводит лишь к незначительному наклону лучей на входе волоконных жгутов, но не к смещению изображения в фокальной плоскости. Фокальная поверхность, в центральной части которой располагаются торцы оптоволоконных жгутов, отстоит на расстоянии 39.5 мм от последней линзы.
Система сбора работает с уменьшением изображения хорды зондирования 1 к 3 вдоль и 1 к 6 поперек хорды зондирования. Трассировка лучей в обратном ходе от оптоволоконного жгута в плазму показала, что ширина оптоволоконного жгута около 1.1 мм соответствует ширине хорды зондирования ~8 мм, что значительно шире перетяжки диаметром менее 3 мм. Измерение размеров изображения торца оптоволоконного жгута в области зондирования показало соответствие оптическому расчету.
Входной торец оптоволоконной сборки состоит из 9 оптоволоконных жгутов (ОВЖ) по числу пространственных точек. Каждый жгут состоит из 33 кварцевых оптических волокон с наружным диаметром 0.424 мм (0.4 мм световой диаметр) и паспортизуемой числовой апертурой NA = 0.22. Излучение из плазмы фокусируется на волокне в угле 1/2, что соответствует NA = 0.25. На входе жгута волокна уложены гексагонально: 3 слоя поперёк и 11 вдоль хорды зондирования (см. рис. 6), а на выходе – уложены в виде шестигранника вписанного в круг диаметром ~3 мм. Длина жгута составляет 12 м. Область рассеяния фокусируется преимущественно в центральной части канала, выделенной на рисунке красным цветом. Периферийные ряды волокон (зеленые на схеме) начинают работать при возможной дефокусировке или смещении изображения (см. рис. 6). Синим цветом показаны технологические волокна не участвующие в передаче света.
Для юстировки предусмотрены расположенные на краях сборки две пары вспомогательных жгутов. Эти жгуты могут использоваться для компенсации поперечных сдвигов.
На рис. 7а представлена схема датчика с линейными волоконными апертурами А1…А4, трансформируемыми в выходные апертуры, согласованные с фотоприемниками ФД1…ФД4. Попарное вычитание сигналов фотоприемников обеспечивает функцию дифференциального датчика положения изображения, дискриминационная характеристика которого представлена на графике рис. 7а. На рис. 7б представлена фотография торца оптоволоконного жгута, подсвеченного с выхода.
Оптические характеристики системы сбора для разных точек наблюдения представлены в табл. 1.
Таблица 1.
Оптические характеристики системы сбора рассеянного излучения для 9 пространственных точек
| Длина рассеяния, мм | Угол рассеяния, град | Телесный угол, cр | |
|---|---|---|---|
| Волокно 1 | 13 | 122 | 0.018 |
| Волокно 2 | 15 | 118 | 0.02 |
| Волокно 3 | 15 | 114 | 0.021 |
| Волокно 4 | 11 | 111 | 0.023 |
| Волокно 5 | 12 | 107 | 0.024 |
| Волокно 6 | 10 | 104 | 0.025 |
| Волокно 7 | 11 | 101 | 0.025 |
| Волокно 8 | 13 | 97 | 0.025 |
| Волокно 9 | 11 | 93 | 0.026 |
2.3. Регистрирующая аппаратура
Для измерения спектра рассеянного сигнала используются полихроматоры на основе интерференционных светофильтров и лавинных фотодиодов [8]. Для измерения низких температур электронов ${{T}_{e}}$ (~1 эВ) предложено использовать спектральный канал шириной <1 нм, расположенный в ~2 нм от лазерной длины волны 1064.4 нм в коротковолновой части спектра ТР (рис. 8в). На рис. 8а, б представлены модельные [9] распределения ${{T}_{e}}$ вдоль хорды зондирования для режимов без газонапуска (рис. 8а) и с напуском (рис. 8б) азота в диверторе. Точками показаны ожидаемые погрешности измерения ${{T}_{e}}$, расчет которых был проведен для набора интерференционных фильтров с характеристиками, показанными на рис. 8в. Распределение концентрации электронов ne вдоль хорды зондирования также взято на основании результатов моделирования. Последовательная установка двух фильтров, имеющих незначительно отличающиеся спектральные характеристики, позволила сформировать сверхузкий спектральный канал шириной менее 1 нм. Спектральная характеристика сверхузкого спектрального канала, показанная на рис. 8в синим цветом, позволит надежно измерять единицы эВ.
Рис. 8.
Ожидаемые распределения электронной температуры вдоль хорды зондирования для режимов без газонапуска (а) и с напуском азота в диверторе (б). Точками показаны ожидаемые ошибки измерения, расчет которых был проведен для набора интерференционных фильтров (в).

Бόльшие погрешности измерения ${{T}_{e}}$ на рис. 8а по сравнению с рис. 8б объясняются тем, что в режимах с газонапуском ne в области дивертора увеличивается, что ведет к увеличению полезного сигнала рис. 9.
3. КАЛИБРОВКА СИСТЕМЫ
Для корректного измерения ${{T}_{e}}$ проводилась относительная (спектральная) калибровка чувствительности спектральных каналов, а для измерения ne – калибровка их абсолютной чувствительности. Характерные времена изменения интенсивности фонового излучения плазмы, определяемые плазменными колебаниями, значительно медленнее длительности лазерного импульса (3 нс), и могут вычитаться при низкочастотной фильтрации. Однако такое вычитание квазипостоянной составляющей не удаляет дробовой шум, который вносит существенный вклад в определяемую точность измерений температуры Te и плотности плазмы ne. Для оценки точности проводимых измерений в предусилителях полихроматоров помимо высокочастотных выходов (полоса пропускания ~200 кГц – 200 МГц) предусмотрены и низкочастотные (полоса пропускания ~0–500 кГц), которые позволяют корректно оценить точность проводимых измерений.
Относительная чувствительность спектральных каналов определялась путем освещения входа полихроматора источником света калиброванного спектра [10] и последующего измерения амплитуды сигналов на низкочастотных выходах предусилителей. При калибровке узких спектральных каналов, которая проводилась при спектральном разрешении монохроматора менее 1 нм (рис. 8(в)), интенсивности лампы накаливания оказалось недостаточно, и калибровка проводилась с применением широкополосного импульсного лазера Leukos SM-250-VIS-IR (<1 нс) [11], совмещенного с монохроматором МДР-204, при спектральном разрешении ~0.3 нм. Монохроматическое излучение из выходной щели МДР-204 отражалось от одной поверхности плоскопараллельной пластинки и направлялось на оптоволоконный жгут. Излучение, прошедшее сквозь пластинку, фиксировалось фотодиодом диаметром 3 мм. Из-за нестабильности интенсивности лазерного излучения измерения проводились в результате усреднения по 1000 импульсам лазера.
Короткая длительность импульса калибровочного лазера и его высокая интенсивность излучения позволили провести калибровку чувствительности спектральных приборов по высокочастотному каналу.
Процедуру калибровки абсолютной чувствительности предполагается проводить с помощью регистрации сигналов рамановского рассеяния лазера в камере токамака, заполненной азотом при давлении газа 40, 80 и менее $~{{10}^{{ - 3}}}$ Торр. Сечение рамановского рассеяния для вращательных переходов $J \to J{\kern 1pt} '$ молекулярных двухатомных газов имеет вид [12]:
${{F}_{J}}$-заселенность J-го уровня, FJ = Q–1gJ(2J + + 1)${\text{exp}}\left( {\frac{{J(J + 1)hc{{B}_{0}}}}{{kT}}} \right)$, Q – нормировочный коэффициент определяемый из условия $\sum\nolimits_{j = 0}^ \propto {{{F}_{J}}} = 1$, ${{g}_{J}}$ – статистический вес состояния J, для азота ${{g}_{J}} = 6$ для нечетных J и ${{g}_{J}} = 3$ для четных значений J, $h$ – постоянная Планка, c – скорость света, k – постоянная Больцмана, T – температура газа, ${{B}_{{0~}}} = 1.99 \times {{10}^{2}}\,{{{\text{м}}}^{{ - 1}}}$ – вращательная постоянная, отвечающая низшему уровню энергии, $\gamma $ – анизотропия тензора поляризуемости молекулы ${{\gamma }}_{{1064}}^{2}$ = $\left( {0.51 \pm 0.025} \right) \times {{10}^{{ - 60}}}{{{\text{м}}}^{6}}$.
${{b}_{{J \to J'}}}$ – коэффициент Плачека–Теллера: bJ → J + 2 = $\frac{{3J\left( {J - 1} \right)}}{{2\left( {2J + 1} \right)\left( {2J - 1} \right)}}$
На рис. 10 представлено сечение рамановского рассеяния ${{N}_{2}}$ для длины волны зондирования 1064.4 нм при температуре газа T = 294 К, наложенное на спектральную характеристику полихроматора.
Рис. 10.
Сечение рамановского рассеяния для азота на длине волны 1064.4 нм, наложенное на спектральную характеристику прибора, использованного для калибровки.

В тестовом эксперименте было обнаружено, что в одной из пространственных точек сигнал рассеяния содержал заметную долю паразитного излучения (рис. 11). Малая длительность лазерного импульса (3 нс) и высокая частота оцифровки сигнала позволяют выделять во времени и вычитать паразитную составляющую сигнала [13]. На рис. 11 представлен пример осциллограммы сигнала рамановского рассеяния. Желтым показан зарегистрированный сигнал рассеяния, синим пунктиром – его паразитная составляющая. Задержка по времени между пиками сигнала составляет порядка 9 нс, что соответствует ~3 метрам разницы пути между источниками полезной и паразитной составляющими сигнала. На рис. 12 приведена зависимость количества фотоэлектронов сигнала рассеяния в пространственной точке № 1 (см. Таблица 1) при различном давлении азота в камере после вычитания паразитной составляющей. Ошибка измерения сигнала при полностью откаченной камере определяется шумовыми составляющими усилителя и вычитаемого паразитно-рассеянного сигнала.
4. РЕЗУЛЬТАТЫ
Первые эксперименты были проведены в летнюю кампанию 2022 года. Излучение регистрировалось в одной пространственной точке с координатами R = 24 см, z = –41 см. На рис. 13 показаны параметры разряда #41992, а также расположение точки измерения относительно положения сепаратрисы, полученного методом токовых колец [14]. Тороидальное магнитное поле в разряде составляло ${{B}_{T}} = 0.7\;{\text{T}}$, среднехордовая плотность $n \approx 3 \times {{10}^{{19}}}~{{{\text{м}}}^{{ - 3}}}$, дополнительный нагрев обеспечивался пучком нейтральных частиц, его мощность составляла порядка 700 кВт (U = 27кВ, I = 25.5А).
Рис. 13.
Ток плазмы ${{I}_{p}}$, интенсивность мягкого рентгеновского излучения SXR, среднехордовая плотность и расположение сепаратрисы относительно точки наблюдения в моменты времени показанные красными пунктирными линиями. Зеленым отмечено время работы инжектора нейтральных частиц.

Для измерений был использован прибор со спектральной характеристикой, приведенной на рис. 14. На момент проведения пилотных измерений абсолютной калибровки системы проведено не было, что не позволило получить данные по электронной плотности. Пример зарегистрированных сигналов представлен на рис. 15.
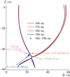
Смещение магнитной конфигурации в ходе разряда относительно точки измерения позволило получить распределение температуры в районе Х-точки над внутренней ногой дивертора (рис. 16). Видно, что в интервале времени с 166 до 196 мс, плазменный шнур смещался по “диагонали вверх” относительно точки измерения. Рисунок 17 построен в предположении, что параметры плазмы на стационарной фазе в области Х-точки оставались неизменными. Магнитные конфигурации были совмещены по положению Х-точки на 166 мс. Как следует из рис. 17, чем сильнее была удалена сепаратриса от точки измерений, тем более низкие значения температуры были измерены.
5. ЗАКЛЮЧЕНИЕ
Для исследования плазмы в диверторе токамака Глобус-М2 был разработан диагностический комплекс томсоновского рассеяния в составе Nd:YAG лазера, тестовой версии светосильного полихроматора, систем проведения лазерного пучка, сбора рассеянного излучения с учетом крайне сложного оптического доступа к исследуемым областям плазмы. Лазер и полихроматоры созданы в рамках макетирования компонент диагностики томсоновского рассеяния дивертора ИТЭР.
Диагностическая система по своим показателям соответствует целям и задачам программы научных исследований плазмы на токамаке Глобус-М2 проводимых в рамках проекта РНФ № 23-79-00033, позволяя проводить анализ различных плазменных конфигураций в режимах работы с “отрывом” плазмы от диверторных пластин. В термоядерных установках режим с “отрывом” плазмы в диверторе является основным решением, позволяющим снизить нагрузку на диверторные пластины. Несмотря на то, что из-за короткого импульса в токамаке Глобус-М2 данная проблема не существенна, здесь могут быть решены многие вопросы по отработке технологии снижения тепловой нагрузки на диверторные пластины токамака-реактора.
Первые измерения электронной температуры диверторной плазмы в одной пространственной точке, проведённые в экспериментальной кампании 2022 г., составили в ряде режимов несколь-ко эВ, что сравнимо с электронной температурой диверторной плазмы крупных токамаков. Эволюция конфигурации плазменного шнура во времени позволила говорить об измерении градиента электронной температуры снаружи от сепаратрисы на внутреннем обходе вблизи Х-точки. Экспериментальные данные находятся в качественном согласии с результатами расчета [9] проведенного для похожего разряда. Проведенные измерения продемонстрировали возможности диагностической системы, соответствующие задачам исследования диверторной плазмы.
Разработка диагностики томсоновского рассеяния дивертора токамака Глобус-М2 и проведение пилотных измерений электронной температуры плазмы выполнены за счет гранта Российского научного фонда (проект № 23-79-00033), разделы 2, 3, 4, 5. Физическое обоснование диагностического комплекса выполнено при поддержке госзадания РАН РФ 0034-2019-0001, раздел 1.
Список литературы
Bakharev N.N., Balachenkov I.M., Chernyshev F.V. // Plasma Phys. Reports. 2020. V. 46. P. 675–682. https://doi.org/10.1134/S1063780X20070016
Stangeby P.S. // Nucl. Fusion 1993. V 33. № 11. P. 1695. https://doi.org/10.1088/0029-5515/33/11/I10
Kurzan B. // JINST. 2021. V. 16. P. C09012 https://doi.org/10.1088/1748-0221/16/09/C09012
Glass F., Carlstrom T.N. et al. // Rev Sci Instrum. 2016 Nov. V. 87. № 11. P. 11E508. https://doi.org/10.1063/1.4955281
Hawke J. // JINST. 2013. V. 8. https://doi.org/10.1088/1748-0221/8/11/C11010
Петров Ю.В., Багрянский П.А., Балаченков И.М., Бахарев Н.Н., Брунков П.Н., Варфоломеев В.И., Во-ронин А.В., Гусев В.К., Горяинов В.А., Дьяченко В.В., Ермаков Н.В., Жилин Е.Г., Жильцов Н.С., Иванен-ко С.В., Ильясова М.В., Кавин А.А., Киселев Е.О., Коновалов А.Н., Крикунов С.В., Курскиев Г.С. и др. // Физика плазмы. 2023. Т. 49. № 12. С.
Mukhin E.E. // JINST. 2012. № 7. C. 02063. https://doi.org/10.1088/1748-0221/7/02/C02063
Kurskiev G., Chernakov Al.P., Solovey V.A., Tolstya-kov S.Yu., Mukhin E.E., Koval A.N., Bazhenov A.N., Aleksandrov S.E., Zhiltsov N.S., Senichenkov V.A., Lukoyanova A.V., Chernakov P.V., Varfolomeev V.I., Gu-sev V.K., Kiselev E.O., Petrov Yu.V., Sakharov N.V.,. Minaev V.B, Novokhatsky A.N., Patrov Yu.V., Bel’bas I.S. // Nucl. Instrum. Methods Phys. Res. A. 2020. V. 963. P. 163734. https://doi.org/10.1016/j.nima.2020.163734
Dolgova K., Vekshina E., Rozhansky V. // Plasma Phys. Control. Fusion. 2023. to be published
LabSphere Variable Modular HELIOS System. https://www.labsphere.com/product/helios-plus-v-family/
Официальный сайт производителя, URL https://www.leukos-laser.com/our-products/electro-visir/
Penney Carl M., // J. Opt. Soc. Am. 1969. 59. P. 34
Solokha V.V., Kurskiev G.S., Mukhin E.E. // Phys. Atom. Nuclei. 2018. V. 81. P. 1053. https://doi.org/10.1134/S1063778818070116
Vasiliev V.I., Kostsov Yu.A., Lobanov K.M., Makarova L.P., Mineev A.B., Gusev V.K., Levin R.G., Petrov Yu.V. and Sakharov N.V. // Nucl. Fusion. 2006. V. 46. № 8. P. S625. https://doi.org/10.1088/0029-5515/46/8/S08
Дополнительные материалы отсутствуют.











