Физика плазмы, 2023, T. 49, № 12, стр. 1337-1347
ОСОБЕННОСТИ СРЫВА ПЛАЗМЫ В СФЕРИЧЕСКОМ ТОКАМАКЕ ГЛОБУС-М2
Н. В. Сахаров a, *, А. А. Кавин b, А. Б. Минеев b, **, Н. Н. Бахарев a, Э. Н. Бондарчук b, В. К. Гусев a, Н. С. Жильцов a, Е. О. Киселев a, Г. С. Курскиев a, В. Б. Минаев a, Ю. В. Петров a, И. Ю. Родин b, О. М. Скрекель a, А. Ю. Тельнова a, Е. Е. Ткаченко a, В. А. Токарев a, Е. А. Тюхменева a, П. Б. Щеголев a
a Физико-технический институт им. А.Ф. Иоффе РАН
Санкт-Петербург, Россия
b Научно-исследовательский институт электрофизической аппаратуры им. Д.В. Ефремова (НИИЭФА),
Санкт-Петербург, Россия
* E-mail: nikolay.sakharov@mail.ioffe.ru
** E-mail: min-anat@mail.ru
Поступила в редакцию 05.09.2023
После доработки 26.10.2023
Принята к публикации 01.11.2023
- EDN: CFDDWE
- DOI: 10.31857/S0367292123601157
Аннотация
Приведены данные о процессах срыва тока плазмы в модернизированном сферическом токамаке Глобус-М2. С помощью диагностики томсоновского рассеяния лазерного излучения измерены профили температуры и плотности электронов до срыва, сразу после теплового срыва и в стадии срыва тока плазмы. Определена зависимость времени спада тока плазмы при срыве от величины тока перед срывом. По данным магнитных измерений определено распределение в оболочке камеры наведенного при срыве тороидального тока. Выполнены расчеты электромагнитных нагрузок на камеру.
1. ВВЕДЕНИЕ
В работах [1, 2] проведен анализ больших срывов в сферическом токамаке Глобус-М при уровне тока плазмы IP ≤ 230 кА и тороидальном магнитном поле BT0 ≤ 0.5 Тл. Отмечены основные отличия полученных зависимости длительности токового срыва tCQ от данных, накопленных для проекта ИТЭР [3, 4]. Линейное время срыва тока определено в соответствии с международной базой данных по срывам как tCQ = (t20 – t80)/0.6, где t80, t20 – моменты времени, в которые ток плазмы достигает 80% и 20% от исходного значения перед срывом (индекс CQ – current quench). Также в международной базе данных используется нормировка tCQ на площадь поперечного сечения плазмы перед срывом S для сравнения времени срыва в токамаках с разными размерами.
В работе [1] было показано, что ряд закономерностей параметров плазмы при срывах в сферическом токамаке Глобус-М существенно отличается от ожидаемых параметров проекта ИТЭР [3, 4]. Главным из указанных отличий является увеличение длительности токового срыва tCQ при росте тока плазмы IP, близкое к линейному закону. Другая отмеченная в [1, 2] особенность связана с характером поступления примесей в разряд в ходе срыва: наилучшее соответствие эксперимента с данными расчета получено при линейном законе накопления примесей (в проекте ИТЭР предполагается основное поступление примесей на стадии теплового срыва, который предшествует токовому). Наконец, отмечено отсутствие убегающих электронов при срыве. Указанные отличия в целом работают в пользу смягчения последствий срывов в сферическом токамаке. Сопоставление ряда экспериментальных параметров срывов в токамаках Глобус-М, Глобус-М2 (размеры плазмы в обеих установках: большой радиус R = 0.36 м, малый радиус a = 0.24 м) и их ожидаемых значений в проекте ИТЭР приведено в таблице 1.
Таблица 1.
Сопоставление экспериментальных и ожидаемых параметров срыва в установках Глобус и ИТЭР
| Характеристика | База данных ИТЭР [3, 4] | База данных Глобус-М [1, 2] |
|---|---|---|
| Соотношение длительностей теплового и токового срыва | ttQ$ \ll $tCQ | ttq < tCQ |
| Средняя температура электронов во время токового срыва плазмы Те, эВ | ≤5–10 | ≥10 |
| Механизм физического распыления стенок во время токового срыва | Не работает | Работает |
| Поступление примесей в плазму в период срыва | Главным образом в ходе теплового срыва | В ходе как теплового, так и токового срыва |
| Генерация убегающих электронов | Генерация очень вероятна | Генерация мало вероятна |
| Скейлинг для минимальной длительности tCQ,min токового срыва | Скейлинг tCQ, min слабо зависит от jp(*) tCQ, min/S ≈ 1.67 мс/м2 |
tCQ, min/S ∝ jp. При jp > 0.5 MA/м2 tCQ, min/S > 1.67 мс/м2 |
Настоящая работа продолжает анализ, начатый для экспериментов на Глобус-М, с использованием данных сферического токамака Глобус-М2 при увеличенном токе плазмы IP ≤ 430 кА и тороидальном магнитном поле BT0 ≤ 0.9 Тл с целью выяснить, прослеживаются ли отмеченные в [1, 2] закономерности и тенденции. Эти вопросы особо важны с точки зрения экстраполяции результатов на параметры следующей установки – сферического токамака Глобус-3 [5–7] с током плазмы Ip ~ 800 кА и тороидальным магнитным полем BT0 ~ 1.5 Тл, который, по ряду показателей, можно считать водородным прототипом нейтронного источника.
Важно отметить, что величина tCQ в Глобус-М2 при токе плазмы IP ~ 400 кА оказалась масштаба миллисекунды и более. Имеющиеся на Глобус-М2 диагностики в этом случае позволяют проводить прямые измерения ряда характеристик плазмы (в частности, профилей плотности и температуры электронов) непосредственно в ходе токового срыва. Зондирование плазмы лазером диагностики томсоновского рассеяния осуществляется в течение всего разрядного импульса. Лазерные импульсы следуют с периодом 3 мс.
Новая база данных по срывам в Глобус-М2 включает несколько десятков разрядов с дейтериевой плазмой. Диапазон параметров плазмы перед срывом: BT0 = 0.6–0.91 Тл; Ip = 70–426 кA; вытянутость сечения плазмы в вертикальном направлении κ = 1.36–1.96; треугольность δ = 0.16–0.35 (величина δ определена как половина суммы верхней и нижней треугольности); аспектное отношение R/a = 1.58–2.08. В большинстве разрядов в плазму инжектировались один или два атомных пучка с энергией до 30 кэВ и 50 кэВ соответственно. Суммарная мощность инжекции достигала величины 1.6 МВт.
2. ЭКСПЕРИМЕНТАЛЬНЫЕ РЕЗУЛЬТАТЫ
На рис. 1 приведены типичные для собранной базы данных параметры разряда 42 784 (ток плазмы перед срывом Ip ≈ 330 кА), в котором импульс лазера диагностики томсоновского рассеяния лазерного излучения попал в короткий промежуток времени между тепловым срывом и срывом тока (в момент теплового срыва наблюдается резкий спад интенсивности мягкого рентгеновского излучения SXR). В разряде 42784 в плазму дейтерия инжектировался пучок дейтерия с энергией атомов 30 кэВ, мощностью 0.7 МВт. Инжекция пучка заканчивалась примерно за 1 мс до срыва тока плазмы.
Рис. 1.
Глобус-М2, разряд 42784: эволюция параметров плазмы в период срыва. Сверху вниз: ток плазмы Ip и метки включения лазера диагностики томсоновского рассеяния (передний фронт сигнала на рисунке), интенсивность мягкого рентгеновского излучения SXR, интенсивность жесткого рентгеновского излучения HXR, фиксируемая детектором LaBr3, сигнал нейтронного детектора B10, интенсивности излучения линий O II, N II, C III, Fe I. Параметры плазмы перед срывом: BT0 = 0.8 Тл, κ = 1.96, δ = 0.29, q95 = 6.6.

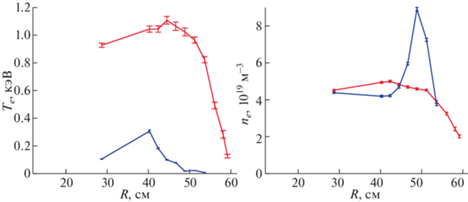
Профили температуры и плотности электронов в два момента времени перед тепловым срывом и сразу после него показаны на рис. 2. Как следует из рис. 2, сразу после теплового срыва концентрация электронов меняется слабо, а температура в центре плазмы снижается примерно в 2.5 раза. В разряде 42 784 величина tCQ ~ 0.7 мс.
Рис. 2.
Профили температуры электронов (слева) и плотности электронов (справа) до теплового срыва (красные кривые, t = 229 мс) и сразу после него (синие кривые, t = 232 мс).

Данные по срывам тока плазмы приведены на рис. 3–6. Геометрические параметры плазмы найдены с помощью алгоритма подвижных токовых колец [8, 9], который позволяет восстановить крайнюю замкнутую магнитную поверхность плазмы и магнитные поверхности за ее пределами. В алгоритме ток плазмы заменяется набором из 19 подвижных колец. Входными данными являются токи в обмотках электромагнитной системы, ток плазмы и сигналы замкнутых по обходу тора петель, расположенных на поверхности вакуумной камеры. Примеры реконструкции границы плазмы в период срыва тока приведены в работах [1, 2].
Рис. 3.
Время спада тока tCQ в зависимости от величины тока плазмы перед срывом. $\vartriangle $ – Глобус-М (данные из статьи [1]), $\bigcirc $ – Глобус-М2.

Данные, полученные на модернизированном токамаке Глобус-М2 (кружки на рис. 3–6) относятся к разрядам с тороидальным магнитным полем 0.8–0.9 Тл, вытянутостью плазмы в вертикальном направлении перед срывом 1.7–1.9, средней треугольностью сечения 0.25–0.33.
Рис. 4.
Нормализованное на площадь сечения плазмы время срыва tCQ/S в зависимости от плотности тока плазмы перед срывом. $\vartriangle $ – объединенные данные для плазмы водорода и дейтерия в токамаке Глобус-М, $\bigcirc $ – плазма дейтерия, Глобус-М2.

Рис. 5.
Линейная скорость спада тока плазмы во время срыва в зависимости от плотности тока перед срывом. $\vartriangle $ – данные Глобус-М, $\bigcirc $ – данные Глобус-М2.

Рис. 6.
Максимальная скорость спада тока плазмы во время срыва в зависимости от плотности тока перед срывом. $\vartriangle $ – данные Глобус-М, $\bigcirc $ – данные Глобус-М2.

Приведенная на рис. 3–4 зависимость длительности токового срыва от тока плазмы в целом подтверждают закономерность, отмеченную в статье [1]: близкий к линейному рост tCQ(IP). Также сохраняется слабая зависимость линейной скорости спада тока IP/tCQ от плотности тока перед срывом (рис. 5). Более сильное различие наблюдается для максимального значения скорости спада тока dIPmax/dt, см. рис. 6. Наблюдаемая в наших экспериментах зависимость tCQ от тока плазмы является нетипичной для разрядов в обычных токамаках, накопленной в международной экспериментальной базе данных по срывам. Эта зависимость, однако, соответствует результатам, полученным на сферическом токамаке NSTX [10].
В разрядах на установке Глобус-М2 систематически наблюдался спад сигналов интенсивности жесткого рентгеновского излучения HXR во время теплового и токового срыва. Типичная зависимость эволюции HXR до и в ходе срыва приведена на рис. 1. Она свидетельствует об отсутствии сколь-либо заметной генерации убегающих электронов при срыве. Примечательно, что интенсивность HXR не изменяется после теплового срыва. Ее резкий спад начинается только в фазе срыва тока плазмы.
На рис. 1 также приведена динамика излучения линий основных примесей в период теплового и токового срыва. При интерпретации этих данных следует, вообще говоря, учитывать смещение плазмы при срыве в вертикальном направлении. Тем не менее, приведенные данные позволяют сделать ряд выводов:
– основное поступление примесей в разряд происходит именно во время срыва, в предшествующей стадии разряда оно существенно меньше;
– рост поступления примесей в плазму имеет место уже в ходе теплового срыва (см. пики интенсивности излучения линий ОII и NII в разряде 42784 на рис. 1), в период токового срыва интенсивность излучения линий примесей продолжает возрастать, что свидетельствует об их дополнительном поступлении.
В разрядах импульсы лазера диагностики томсоновского рассеяния для измерения профилей ne(r) и Te(r) случайным образом попадают в разные стадии срыва. Ниже приведены данные разрядов, в которых момент измерения смещается от теплового срыва в более позднюю стадию токового срыва. Несмотря на то, что эти данные получены в разных разрядах, они дают информацию как об эволюции профилей ne и Te до срыва и в ходе срыва, так и о поступлении примесей в разряд (при сопоставлении профиля ne(r) до и в процессе срыва).
В разряде 42777 (рис. 7) импульс лазера попал в самое начало токового срыва, когда уход плазмы по вертикали практически отсутствует, а инжекция атомных пучков суммарной мощностью около 800 кВт закончилась примерно за 4 мс до срыва.
Рис. 7.
Сверху вниз: IP и импульсы лазера, интенсивность сигнала SXR в разряде 42 777. Параметры плазмы перед срывом: BT0 = 0.9 Тл, κ = 1.82, δ = 0.29, q95 = = 6.5.

Профили температуры и плотности электронов перед срывом и в начальной стадии срыва показаны на рис. 8. Температура электронов в центре плазмы падает примерно в 6 раз в начальной стадии срыва тока до величины Te ~ 200 эВ. Плотность электронов в центре снижается вдвое. Уплощение профиля плотности, скорее всего, связано с поступлением примесей со стенок в разряд.
Рис. 8.
Профили температуры электронов (слева) и плотности электронов (справа) в разряде 42 777 до (красные кривые, t = 232 мс) и в начале срыва тока плазмы (синие кривые, t = 235 мс).

В разряде 42 145 профили Te и ne были измерены в середине фазы срыва тока плазмы. Положение импульсов лазера показано на рис. 9. Как и в описанном выше разряде 42777 смещение плазмы в вертикальном направлении в момент измерений было незначительным. Срыв произошел во время инжекции двух пучков суммарной мощностью 1.6 МВт.
Рис. 9.
Сверху вниз: IP и метки включения лазера, интенсивность сигнала SXR в разряде 42 145. Параметры плазмы перед срывом: BT0 = 0.8 Тл, κ = 1.89, δ = 0.34, q95 = 6.4.

Профили температуры и плотности электронов плазмы приведены на рис. 10. Профиль температуры после срыва пикирован. Профиль плотности, наоборот, имеет максимум на периферии. Плотность электронов в центре плазмы примерно та же, что и до срыва, на периферии – вдвое больше. Возможное объяснение такого поведения плотности – поступление примесей в разряд. Пикирование профиля температуры Te(r) также может быть связана с периферийным излучением примесей.
Рис. 10.
Профили температуры электронов (слева) и плотности электронов (справа) в разряде 42145 до (красные кривые, t = 198 мс) и в середине фазы (синие кривые, t = 201 мс) срыва тока плазмы.

В целом, эволюция профилей плотности и температуры в ходе токового срыва говорит о существенности поступления примесей со стенок.
3. НАГРЕВ ОБРАЩЕННОЙ К ПЛАЗМЕ ПОВЕРХНОСТИ ПРИ СРЫВЕ
Для изучения нагрева обращенной к плазме поверхности применялась инфракрасная камера [9], установленная в экваториальной плоскости токамака. Основная поверхность камеры облицована графитовыми плитками. Измерения проводились в окне 64 × 52 пикселя с частотой кадров 2.6 кГц. На рис. 11 показана температура графитовой пластины, расположенной в средней плоскости тора со стороны слабого магнитного поля во время срыва в разряде 42363 и рассчитанный тепловой поток: слева (область 2 на рис. 12 а) и справа (область 3 на рис. 12 а). В период срыва в плазму инжектировались два пучка суммарной мощностью 1.1 МВт.
Рис. 11.
Глобус-М2, разряд 42363: эволюция параметров во время срыва в разряде 42263. Сверху вниз: ток плазмы Ip, интенсивность мягкого рентгеновского излучения SXR, средняя вдоль хорды наблюдения плотность 〈ne〉, температура поверхности графитовой пластины (сплошная линия) и тепловой поток (пунктирная линия) в областях 2 (нагрев ионами) и 3 (нагрев электронами) на рис. 12а). Параметры плазмы перед срывом: BT = 0.9 Тл, κ = 1.75, δ = 0.34, q95 = 7.9.

Рис. 12.
а): Камера токамака, вид изнутри. 1 – область наблюдения тепловизора. Области 2 и 3 соответствуют нагреву графитовой пластины ионами и электронами соответственно. б): разряд 42363, нагрев пластин в области 1 через 0.38 мс после начала теплового срыва (сверху) и через 1.14 мс после теплового срыва (снизу).

Нагрев пластины слева определяется преимущественно ионами плазмы, в то время как справа – электронами. Из-за неточности установки эта пластина и пластина над ней выдвинуты на несколько мм ближе к центру токамака. По этой причине пластины справа находятся в их тени. На рис. 12б показано распределение температуры поверхности пластин (область 1 на рис. 12а) непосредственно после теплового срыва и после начала срыва тока (примерно через 1 мс после начала теплового срыва). Данные тепловизора показывают, что пластина греется ионами в течение теплового срыва. Нагрев электронами делится на два этапа: первая часть электронов теряется в течение теплового срыва, а вторая – во время срыва тока, что не противоречит данным диагностики томсоновского рассеяния. Отметим также, что нагрев стенки локален и не превышает 100 градусов, а тепловой поток не выше 9 МВт/м2, что сравнимо с нагревом стенки из-за пилообразных колебаний.
4. ЭЛЕКТРОМАГНИТНЫЕ НАГРУЗКИ НА КАМЕРУ ТОКАМАКА В ПЕРИОД СРЫВА ТОКА
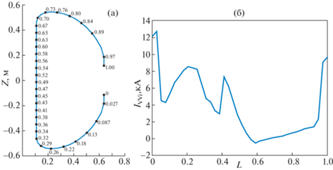
Для анализа электромагнитных нагрузок на камеру был выбран разряд 42 145 с током плазмы перед срывом 440 кА в тороидальном магнитном поле 0.8 Тл. На рис. 13 приведены эволюция тока плазмы и полного наведенного тороидального тока в вакуумной камере. В период срыва плазма смещалась в сторону нижнего купола. Конструкция стальной оболочки камеры описана в работе [2]. Важно отметить, что максимальная величина наведенного тока составляет “всего” 160 кА при токе плазмы перед срывом ~440 кА, что существенно меньше ожидаемых значений, основанных на результатах экспериментов в низком тороидальном магнитном поле BT = 0.25–0.5 Тл на токамаке Глобус-М [2]. По нашему мнению, это является следствием увеличения длительности токового срыва при росте тока плазмы (см. рис. 3).
Распределение максимального наведенного в камере тока по полоидальному обходу вакуумной камеры при срыве (t ≈ 202.3, IVV ≈ 160 kA) показано на рис. 14. Максимальное значение этого тока достигается вблизи средней плоскости тора как со стороны слабого, так и со стороны сильного магнитного поля.
Рис. 14.
а) – сечение вакуумной камеры с указанием отсчета полоидальной длины в относительных единицах (текущая длина l, разделенная на полную длину периметра за вычетом патрубков диаметром 400 мм во внешнем кольце); б) – распределение наведенного тороидального тока камеры IVVi по полоидальной длине в разряде 42 145 в момент времени t ≈ 202.3 мс (максимальный ток при срыве IVV ≈ 160 kA).

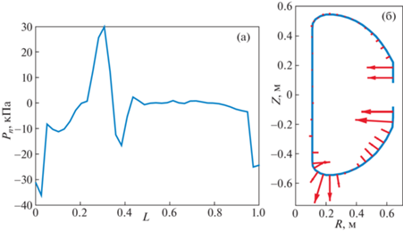
На рис. 15а показано распределение нормального электромагнитного давления на камеру Pn в момент времени t ≈ 202.3 мс. Величина давления вычисляется как произведение наведенного в элементах камеры тороидального тока на полоидальное магнитное поле, касательное поверхности камеры. Положительные значения нормального давления соответствуют направлению наружу от контура камеры. Также в качестве иллюстрации на рис. 15б нормальное давление на камеру показано стрелками. Направление стрелок соответствует направлению давления, а их длина пропорциональна его величине. Максимальная абсолютная величина давления на камеру ≈35 кПа.
5. ОБСУЖДЕНИЕ РЕЗУЛЬТАТОВ
Описанные в настоящей статье данные исследования большого срыва тока плазмы на токамаке Глобус-М2 подтверждают основные выводы, сделанные в работах [1, 2] по результатам экспериментов на токамаке Глобус-М в условиях примерно в 2–3 раза меньшего тороидального магнитного поля и тока плазмы. Сохранилась характерная для сферического токамака благоприятная линейная зависимость времени срыва от тока плазмы перед срывом. Индуцированный при срыве тороидальный ток в камере оказался несколько меньше ожидаемого согласно [2], что привело к снижению действующих на камеру электродинамических нагрузок. Модернизированная диагностика томсоновского рассеяния лазерного излучения позволила измерить профили температуры и плотности электронов в десяти пространственных точках как сразу после теплового срыва, так и в разные моменты времени в фазе срыва тока. На основании систематических данных измерений интенсивности жесткого рентгеновского излучения подтвердился вывод об отсутствии сколь-либо заметной генерации убегающих электронов при срыве.
Накопленную информацию по срывам можно применить для экстраполяции характеристик срыва на параметры токамака Глобус-3, который находится в настоящее время в стадии предэскизной проработки. Предварительные базовые параметры установки Глобус-3: R = 0.76 м, а = 0.44 м, κ ~ 1.8, Ip = 800 кА, BT0 = 1.5 Тл. Для указанных параметров поперечное сечение плазмы перед срывом S ≈ 1 м2, а плотность тока плазмы jp = Ip/S ≈ ≈ 0.8 МА/м2. В этом случае параметры находятся в средней части рис. 4, и оценка времени токового срыва в Глобус-3 дает tCQ/S ~ 2.5 мс/м2 и tCQ ~ 3 мс. Для средней скорости спада тока в этом случае получаем относительное небольшое значение Ip/tCQ ≈ 200–300 МА/с, что позволяет рассчитывать на умеренные электродинамические нагрузки на камеру.
Исследования проведены на УНУ “Сферический токамак Глобус-М”, входящей в состав ФЦКП “Материаловедение и диагностика в передовых технологиях”. Подготовка эксперимента и источников дополнительного нагрева плазмы выполнена в рамках государственного задания (темы 0040-2019-0023 и 0034-2021-0001). Экспериментальные результаты и расчеты, приведенные в разд. 2-8, получены при финансовой поддержке РНФ (соглашение № 21-79-20133 от 24.03.2021).
Список литературы
Сахаров Н.В., Гусев В.К., Ибляминова А.Д., Ка-вин А.А., Каменщиков С.Н., Курскиев Г.С., Лоба-нов К.М., Минаев В.Б., Минеев А.Б., Патров М.И., Петров Ю.В., Толстяков С.Ю. // Физика плазмы. 2017. Т. 43. С. 344.
Сахаров Н.В., Гусев В.К., Кавин А.А., Каменщи-ков С.Н., Лобанов К.М., Минеев А.Б., Патров М.И., Петров Ю.В. // Физика плазмы. 2018. Т. 44. С. 335.
ITER Physics Basis. // 1999. Nuclear Fusion. V. 39. P. 2137.
Eidietis N.W., Gerhardt S.P., Granetz R.S., Kawano Y., Lehnen M., Pautasso G., Riccardo V., Tanna R.L., Thornton A.J. // 2015. Nuclear Fusion. V. 55. P. 063030.
Mineev A.B., Bondarchuk E.N., Kavin A.A., Konin A.Yu., Rodin I.Yu., Tanchuk V.N., Filatov O.G., Bakha-rev N.N., Zhilzov N.S., Kurskiev G.S., Kiselev E.O., Minaev V.B., Sakharov N.V., Petrov Yu.V., Telnova A.Yu. // Physics of Atomic Nuclei. 2022. V. 85. P. 1194.
Mineev A.B., Bondarchuk E.N., Kavin A.A., Konin A.Yu., Rodin I.Yu., Tanchuk V.N., Trofimov V.A., Filatov O.G., Bakharev N.N., Zhilzov N.S., Kurskiev G.S., Kise-lev E.O., Minaev V.B., Sakharov N.V., Petrov Yu.V., Telnova A.Yu. // Physics of Atomic Nuclei. 2022. V. 85. P. 1205.
Mineev A.B., Minaev V.B., Sakharov N.V., Bakharev N.N., Bondarchuk E.N., Voronova A.A., Glushaev A.M., Grigoriev S.A., Gusev V.K., Zhiltsov N.S., Zapretilina E.R., Kavin A.A., Kiselev E.O., Konin A.Yu., Kudriavtseva A.M., Kurskiev G.S., Labusov A.N., Petrov Yu.V., Rodin I.Yu., Tanchuk V.N., Tel’nova A.Yu., Trofimov V.A., Fila-tov O.G. // Physics of Atomic Nuclei. 2022. V. 85. P. S17.
Vasiliev V.I., Kostsov Yu.A., Lobanov K.M., Makaro-va L.P., Mineev A.B., Gusev V.K., Levin R.G., Petrov Yu.V., Sakharov N.V. // Nuclear Fusion. 2006. V. 46. P. S625.
Сахаров Н.В., Воронин А.В., Гусев В.К., Кавин А.А., Каменщиков С.Н., Лобанов К.М., Минаев В.Б., Новохацкий А.Н., Патров М.И., Петров Ю.В., Щего-лев П.Б. // Физика плазмы. 2015. Т. 41. С. 1076.
Gerhardt S.P., Menard J.E. and the NSTX Team // N-uclear Fusion. 2009. V. 49. P. 025005
Дополнительные материалы отсутствуют.




