Физика плазмы, 2023, T. 49, № 3, стр. 278-287
О концепции плазменной масс-сепарации в скрещенных E × B-полях с потенциальной ямой (обзор)
Г. Д. Лизякин a, Н. Н. Антонов a, Н. А. Ворона a, А. В. Гавриков a, С. А. Кисленко a, С. Д. Кузьмичев a, b, А. Д. Мельников a, b, А. П. Ойлер a, b, В. П. Смирнов a, Р. А. Тимирханов a, Р. А. Усманов a
a Объединенный институт высоких температур РАН
Москва, Россия
b Московский физико-технический институт (национальный исследовательский университет)
Долгопрудный, Россия
Поступила в редакцию 15.07.2022
После доработки 13.11.2022
Принята к публикации 15.11.2022
- EDN: MYQMFX
- DOI: 10.31857/S0367292122600832
Аннотация
Одной из актуальных задач атомной энергетики является переработка отработавшего ядерного топлива. Такая переработка подразумевает отделение актиноидов от продуктов деления урана. Одним из методов переработки может стать плазменная масс сепарация. В ОИВТ РАН в последние 10 лет активно велись исследования, направленные на развитие различных аспектов, связанных с плазменной масс-сепарацией. В статье приведен обзор основных результатов этих исследований по четырем направлениям: численные расчеты и анализ схем сепарации; генерация плазмы буферного газа и создание потенциала в ней; источник плазмы для инжекции смеси разделяемых веществ; сепарация модельных веществ.
1. ВВЕДЕНИЕ
Сегодня в России развивается концепция двухкомпонентной ядерной энергетической системы с тепловыми и быстрыми реакторами в замкнутом ядерном топливном цикле (ЗЯТЦ) [1]. Накапливается опыт использования “быстрого” реактора БН-800, проектируется реактор БН-1200 [2], строится опытно-демонстрационный энергетический комплекс с реактором БРЕСТ-ОД-300 [3], проектируется промышленный энергокомплекс [4].
Технология ЗЯТЦ, подразумевает максимально эффективное использование природных ресурсов для создания ядерного топлива, и сведение к минимуму количества высокоактивных ядерных отходов [5].
Одно из звеньев разрабатываемой технологии ЗЯТЦ – переработка отработавшего ядерного топлива (ОЯТ), которая позволит повторно использовать более 95% топлива, извлекаемого из реакторов. Существуют разные подходы к решению данной задачи, находящиеся на разных стадиях разработки – от НИР до усовершенствования существующих технологий – это газофторидные, пирохимические, гидрометаллургические, комбинированные и плазменные методы [6–8].
В основе плазменных подходов к переработке ОЯТ лежит метод плазменной сепарации по массам [7, 8], предполагающий преобразование твердого вещества в плазменное состояние. Плазменный поток в заданной конфигурации электрического и магнитного полей разделяется на два (или более [9]) потока, различающихся величиной отношений заряда к массе его частиц. Первый поток – это тяжелые ионы актинидов (от 227 а.е.м.), которые можно повторно использовать при изготовлении тепловыделяющих элементов. Второй поток – это легкие ионы продуктов деления (до 174 а.е.м.) [10]. Разделенные потоки ионов осаждаются на коллекторы и извлекаются для дальнейшей работы.
Плазменная сепарация ОЯТ в масштабе, пригодном для промышленного применения, потенциально привлекательна по ряду причин. В силу грубости метода оказывается невозможным выделение оружейного плутония. Метод плазменной сепарации адаптивен к разным типам отработавшего ядерного топлива. При этом снижается стоимость обращения с радиоактивными отходами (РАО) за счет малого количества вторичных РАО, поскольку в методе отсутствует рециклируемая технологическая среда.
На сегодняшний день предложено большое количество различных схем разделения. В частности, предложены системы на основе криволинейного магнитного поля [11, 12], его комбинации с поперечным электрическим полем [13–15], ионно-циклотронный резонанс [16–21], сепарация во вращающемся магнитном поле [22], центрифуга с противотоком, вызванным неоднородным распределением температуры [23] и др. Полный список схем с их описанием можно найти в обзорных работах [7, 8, 24, 25]. Отдельно существует класс устройств, использующий скрещенные электрическое и однородное магнитное поле [26]. Внутри этого класса встречаются устройства, работающие как в столкновительном [27], так и в бесстолкновительном [28–31] режиме.
В ОИВТ РАН ведутся исследования метода плазменной сепарации на неактивных веществах, моделирующих ОЯТ. Основанный на идеях академика РАН В.П. Смирнова метод позволяет повысить эффективность разделения элементов за счет создания в замагниченной низкотемпературной плазме электрического поля, формирующего потенциальную яму [30]. Форма ямы может выбираться таким образом, чтобы область повышенного электрического поля пересекала траектории тяжелых ионов и практически не пересекала траектории легких. На рис. 1 представлена конфигурация электрических и магнитных полей, а также расчет траекторий заряженных частиц в ней. По периметру прямоугольной области задано нулевое значение электрического потенциала. Магнитное поле направлено перпендикулярно плоскости рисунка. В такой конфигурации электрическое поле всюду перпендикулярно магнитному. Здесь важно отметить, что электрические и магнитные поля, в которых происходит транспортировка сепарируемого пучка, реализованы в плазме. Поэтому собственный объемный заряд пучка тяжелых ионов может быть компенсирован электронами буферной плазмы. Тогда ионы движутся в условиях компенсированного объемного заряда, что обеспечивает значительную производительность данного метода.
Рис. 1.
Эквипотенциальные линии электрического поля и расчет траекторий “тяжелых” ионов m1 = 240 а.е.м. и “легких” ионов m2 = 150 а.е.м. Начальная энергия 0.2–2 эВ, угол ±45°, магнитное поле 1 кГс. Значение единицы потенциала составляет 110 В, координаты 15 см [30].

В таком подходе стационарное электрическое поле в плазме предполагается поддерживать за счет электродов, расположенных на торцах вакуумной камеры. Возможность формирования стационарных электрических полей в замагниченной плазме обусловлена ограничением транспорта тяжелых заряженных частиц поперек магнитного поля и, как следствие, различием в продольной и поперечной проводимостях плазмы [32, 33].
2. НАПРАВЛЕНИЯ ИССЛЕДОВАНИЙ И ОСНОВНЫЕ РЕЗУЛЬТАТЫ
Для реализации описанного метода ведутся исследования сразу по нескольким направлениям: численные расчеты и анализ различных схем сепарации [9, 30, 34–38], генерация плазмы буферного газа и создание градиента потенциала плазмы в ней [39–47], создание источника плазмы для инжекции смеси веществ [48–58], сепарация модельных веществ [59–63].
2.1. Численные расчеты и анализ схем сепарации
Как уже отмечалось ранее, работа [30] стала основополагающей для данного цикла исследований. В ней проведен анализ конфигураций электрических и магнитных полей, позволяющих эффективно разделять заряженные частицы по массам на две группы. В частности, рассмотрены случаи азимутального магнитного поля, создающегося проводником с током в сочетании с радиально-аксиальным электрическим полем (см. также [34]), и случай однородного аксиального магнитного поля в сочетании с поперечным электрическим полем (см. также [35]). Эти исследования продемонстрировали теоретическое обоснование возможности эффективного пространственного разделения потоков со следующими начальными условиями: энергия ионов от 0.2 до 2 эВ, разброс скоростей ионов по углам – от 0 до 45°. Установлено, что необходимый для этого характерный объем области сепарации может составлять порядка 1 м3 при магнитном поле 1–2 кГс и электрических потенциалах порядка 1 кВ. Для экспериментального обоснования предложенного метода используется конфигурация с продольным магнитным полем [47].
Следующими важными шагами в части моделирования и теоретического анализа возможностей метода плазменной сепарации стало рассмотрение схем, развивающих базовые идеи, заложенные в [30]. Так, в частности, изначально инжекция сепарируемой смеси предполагалась поперек магнитного поля, однако позднее стало понятно, что в таком случае магнитное поле сепаратора будет затруднять функционирование источника плазмы, что приведет к повышению разрядного напряжения и, как следствие, к ухудшению эффективности разделения за счет образования дву- и более кратных ионов. В расчетных работах [36, 37] показано, что при инжекции частиц вдоль магнитного поля также возможно эффективное разделение компонентов смеси на расстояние около 10 см.
В работе [38] все многообразие конфигураций было ограниченно рассмотрением аксиально симметричного пространственного распределения потенциала. Такая схема сепарации похожа на представленную на рис. 1, только в данном случае расчетная область является окружностью, а не прямоугольником, и величина потенциала является лишь функцией радиальной координаты. В первой части работы потенциал плазмы считался линейно зависящим от координаты, т.е. радиальное электрическое поле считалось постоянным. В такой постановке можно перейти к более системному перебору параметров, с целью достижения наилучшего разделения. На рис. 2 представлена найденная зависимость расстояния S между пятнами осаждения разделенных элементов смеси от величин электрического и магнитного полей [61]. Из рисунка видно, что есть минимальные значения электрического поля – 10 В/см и магнитной индукции – 1.4 кГс для области с S > 6.4 см.
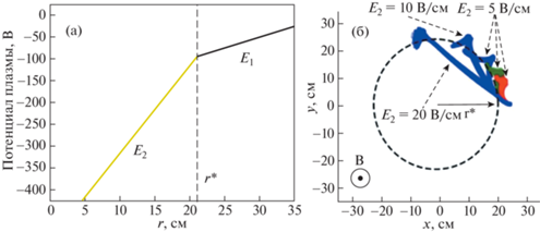
Также в работе [38] рассмотрен вариант сепарации в двуградиентном потенциале (рис. 3). Такой потенциал представляет из себя кусочно-заданную функцию, состоящую из двух линейных функций с соответствующим электрическим полем E2 на отрезке r ∈ [0, r *] и c электрическим полем E1 на отрезке r ∈ [r *, rg]. Здесь rg − это внешняя заземленная граница расчетной области, а r * − место соединения областей с разными градиентами потенциала. Поскольку инжекция разделяемых веществ осуществляется с периферии (из области больших r), поэтому можно подобрать положение r * изменения градиента потенциала таким образом, чтобы до участка второго градиента долетали лишь тяжелые частицы. Результат анализа показывает, что в таком потенциале может достигаться существенное увеличение расстояния между областями сбора компонентов смеси, однако эта конфигурация более требовательна к начальным условиям.
Рис. 3.
Двуградиентный потенциал (а) и траектории заряженных частиц в нем (б). Красным и зеленым цветом обозначены траектории продуктов деления урана в диапазоне масс 80–110 и 130–160 а.е.м. соответственно. Синим цветом обозначены траектории актинидов при разных градиентах потенциала плазмы на отрезке r ∈ [0, r *]. Во всех случаях градиент потенциала на отрезке r ∈ [r *, rg] составлял 5 В/см.

2.2. Генерация плазмы буферного газа и создание потенциала в ней
Для экспериментального исследования была создана установка Лаплас. Ее схема представлена на рис. 4. Цилиндрическая вакуумная камера имеет длину 2.3 м и внутренний диаметр 86 см. Снаружи камеры располагаются катушки магнитного поля. Система питания катушек позволяет получать поля с величиной магнитной индукции до 2 кГс на оси вакуумной камеры. На этой установке исследовались генерация буферной плазмы и создание заданного распределения электрического потенциала в плазме.
Буферная плазма заполняет весь объем сепаратора. Она необходима для компенсации объемного заряда пучка сепарируемых ионов и формирования стационарного электрического поля. В качестве источника энергии для такой плазмы, по-видимому, наилучшим образом подходит высокочастотный индукционный (ВЧИ) разряд. Это связано с тем, что при расположении антенны такого разряда вокруг диэлектрического цилиндра появляется возможность использовать электроды с обоих торцов цилиндрической камеры (рис. 4). В работе [39] представлено экспериментальное исследование ВЧИ-разряда в камере с диаметром плазменного столба 50 см и длиной 2 м. Получены пространственные распределения концентрации и температуры электронов в зависимости от магнитного поля и поглощенной ВЧ‑мощности. При поглощенной ВЧ-мощности на уровне 6 кВт и магнитном поле 200 Гс концентрация плазмы в максимуме составляет 2 × × 1012 см–3, а температура электронов около 4 эВ [40, 41]. В работе [42] представлен анализ устойчивости такого разряда. Показано, что неустойчивость ВЧ-разряда возникает в следствии немонотонной зависимости сопротивления плазмы от ее концентрации. Там, где сопротивление плазмы растет с ростом концентрации, реализуется неустойчивое равновесие между поглощенной и теряемой ВЧ‑мощностью. В этом случае небольшое отклонение концентрации плазмы от положения равновесия приводит к неконтролируемому росту или снижению концентрации плазмы.
Как отмечалось во введении, стационарное электрическое поле в плазме предполагается поддерживать за счет электродов, расположенных на торцах вакуумной камеры. Торцевые электроды с отрицательным смещением потенциала в совокупности с заземленной цилиндрической поверхностью вакуумной камеры образуют геометрию отражательного разряда (разряд Пеннинга). Поэтому буферную плазму можно создать и без внешнего ВЧИ-источника ионизации, то есть за счет самостоятельного отражательного разряда. Однако, даже если буферная плазма создается индукционным разрядом, то получается, что одновременно реализуются два механизма ионизации, первый за счет высокочастотного поля, второй за счет осцилляции электронов между торцевыми электродами вдоль магнитного поля. В связи с этим было проведено исследование отражательного разряда в описанной геометрии.
В работе [43] представлено изучение влияния параметров отражательного разряда на потенциал плазмы на оси, а также на его радиальное распределение. Среди рассмотренных параметров – магнитное поле, давление газа, напряжение разряда, материал и геометрические параметры торцевых электродов (форма, расположение). Так, в частности, было показано, что ключевым параметром, влияющим на потенциал плазмы, является кратчайшее расстояние между катодом и анодом поперек магнитного поля, а также площадь катода. Кроме того, продемонстрировано наличие “гистерезиса” потенциала плазмы при изменении давления газа. Для получения более отрицательного потенциала плазмы необходимо было выходить на оптимальный режим разряда из области малых давлений.
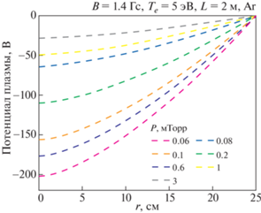
В работе [44] выполнены исследования влияния торцевых электродов на потенциал плазмы для случая, когда плазма создается высокочастотным разрядом. Зависимость потенциала плазмы от радиуса представлена на рис. 5. Эта зависимость получена при давлении аргона 5 мТорр и магнитном поле 650 Гс. Напряжение на электродах составляло −75 В, и дальнейшее увеличение напряжения на электродах не приводило к изменению потенциала плазмы.
В работах [45, 46] была создана аналитическая модель системы, в которой плазма погружена в продольное магнитное поле, а на торцах установлены электроды. С помощью этой модели были объяснены результаты работы [44] и ряда других экспериментальных работ. В основе модели лежит представление плазменного столба в виде эквивалентной электрической цепи с распределенными в пространстве параметрами (рис. 6). При этом модель является полуэмпирической, то есть часть параметров необходимо брать из эксперимента. Основная новизна приведенного расчета состояла в том, что была рассмотрена замкнутая система токов. Такой подход позволил получить аналитическую зависимость потенциала на оси разряда от таких параметров как геометрические размеры столба и электродов, атомарная масса ионов, величина магнитного поля, концентрация нейтралов, температура электронов, концентрация плазмы. С помощью предложенного подхода были проанализированы наиболее распространенные конфигурации подключения торцевых электродов. Так в случае, когда весь торец представляет собой один сильно отрицательный электрод (с точки зрения геометрии электрода – это предельный случай, позволяющий получить самое большое падение потенциала плазмы вдоль радиуса), то при давлении около 1 мТорр (другие параметры приведены на рис. 7) в такой системе не получится создать потенциал плазмы более отрицательный чем −100 В на оси. Было отмечено, что дальнейшее понижение потенциала плазмы возможно при применении термоэмиссионных катодов.
2.3. Источник плазмы для инжекции смеси разделяемых веществ
Метод плазменного разделения предполагает ввод разделяемых компонентов в область сепарации. Необходимый для этого инжектор должен представлять собой источник плазмы, который конвертирует конденсированное вещество, моделирующее ОЯТ, в плазменное состояние. К такому источнику применяются следующие требования: степень ионизации плазмы должна быть близка к 100%, кратность ионизации атомов 1, производительность − до 100 г/час. Работы по изучению возможности создания такого источника шли по направлению, которое условно можно разделить на две части. Одна часть – это исследование вакуумно-дугового разряда с диффузной катодной привязкой на подогреваемом расходуемом катоде (рис. 8). К преимуществам рассматриваемого разряда относится высокая степень ионизации, производительность и отсутствие капельной фракции.
Рис. 8.
a) – Схема дугового разряда с подогреваемым расходуемым катодом; б) – зависимость интенсивности спектральных линий атомов и ионов гадолиния, а также средний заряд частиц за анодом как функция напряжения разряда [51].

Одним из основных рассматриваемых вариантов ОЯТ является смесь на базе оксида урана, поэтому в качестве модельного оксида был выбран и исследован диоксид церия (CeO2) [54] и смесь диоксида церия с хромом [55]. В качестве вещества, отдельно моделирующего уран с точки зрения катодных процессов, исследовался гадолиний (Gd). Для расходуемого оксидного катода стоял принципиальный вопрос о существовании стабильного разряда, т.к. при комнатной температуре CeO2 является веществом, практически непроводящим ток. Положительно ответить на него помогла конструкция катодного узла с внешним подогревателем – в бескислородной среде при температуре Т >1 кК CeO2 приобретает заметную проводимость [64]. В результате проведенных работ были найдены условия, при которых реализуется диффузная вакуумная дуга на таком катоде в диапазоне токов 15–150 А, при напряжении 9–14 В и рабочих температурах катода 2.1–2.35 кК. В этих условиях были изучены основные характеристики дугового разряда на двуокиси церия. Была измерена скорость испарения катода и величина теплового потока, поступающего на него из разряда, определены параметры потока плазмы, проникающего в пространство за анодом. В дуге на оксидном катоде удалось получить средний заряд потока плазмы около 0.9 элементарного заряда. На катоде из смеси оксида церия с хромом (CeO2 + Cr) было показано, что на нагреваемом извне катоде наблюдается эффект его эмиссионного охлаждения при контакте с плазмой. Этот эффект может быть получен только на некоторых типах веществ: так он присутствует, например, на катодах из Gd, и отсутствует в разрядах с катодами, состоящими только из диоксида церия, либо только из хрома [48]. На катоде из Gd была показана возможность управления зарядовым составом плазмы и найдены условия, при которых образуется плазменный поток со степенью ионизации более 90% и минимальной долей многозарядных ионов [51–53] (рис. 8б).
Рассмотренный вакуумно-дуговой разряд на подогреваемом расходуемом катоде представляется перспективным для применения в рамках метода плазменного разделения веществ, однако в настоящее время существует вопрос о том, как источник на его основе может быть совмещен с областью сепарации. Эта проблема связана с ориентацией магнитного поля и катода, который может содержать расплавленное вещество.
Для поиска решения параллельно с исследованием вакуумной дуги была выполнена вторая часть работ, посвященная источнику плазмы, непосредственно устанавливаемому в объем, где происходит плазменное разделение веществ. Этот источник плазмы имеет вертикально ориентированный тигель, который подает пары рабочего вещества в катод-анодный промежуток (рис. 9). Катодом в таком разряде является термоэмиттер из гексаборида лантана LaB6.
В данном цикле исследований в качестве рабочих веществ были использованы свинец Pb (207 а.е.м.) и серебро Ag (108 а.е.м.), сначала по отдельности, а затем в виде смеси. Эта пара веществ способна моделировать динамику движения актинидов и продуктов распада урана в камере сепаратора за счет схожего отношения масс. Их испарение реализовывалось тигельным индукционным нагревом (рис. 9). Преимуществом разряда с нерасходуемым термоэмиссионным катодом является инжекция паров рабочего вещества, не зависящая от тока разряда, и величины тока электронов термоэмиссии. Такое решение позволило управлять напряжением разряда, изменяя отношение количества инжектированных атомов рабочего вещества к числу электронов термоэмиссии. Были получены вольтамперные характеристики разряда, определен спектральный состав оптического излучения плазмы в области за анодом. Независимое управление термоэмиссией и концентрацией испаряемого вещества позволило подобрать режим горения разряда, при котором в потоке плазмы отсутствуют ионы кратности 2. На смеси Pb и Ag были экспериментально подобраны режимы испарения, которые позволили поддерживать стабильное горение разряда при постоянной разности потенциалов между катодом и анодом для веществ с существенной разницей в давлении насыщенных паров [50, 56–58].
2.4. Сепарация модельных веществ
Использование результатов, описанных в предыдущих разделах данной статьи, позволило перейти к экспериментальному исследованию непосредственно самого эффекта плазменного разделения веществ. Так как в процессе плазменной сепарации одновременно функционирует буферный разряд и источник сепарируемой плазмы, то очень важно учесть их влияние друг на друга. В работе [59] было показано, что даже маломощного буферного разряда на основе отражательного разряда с холодными катодами и током 0.1–0.3 А достаточно, чтобы отклонить сепарируемые ионы от первоначального направления распространения. Это было показано следующим образом. До включения буферного разряда струя плазмы разделяемой смеси покидала источник плазмы и распространялась вдоль линий магнитного поля. На пути струи плазмы устанавливался коллектор с отрицательным смещением. Этот коллектор измерял ионный ток насыщения. При включении буферного разряда ионный ток пропадал с коллектора, что свидетельствовало о том, что плазменная струя отклоняется под действием электрического поля буферного разряда. Однако при инжекции плазменного потока разделяемой смеси существенно изменялось и распределение потенциала плазмы в буферном разряде. Поэтому сепарировать частицы в таком разряде было невозможно.
Более устойчивым к воздействию инжектируемой струи оказался отражательный разряд с термокатодом [60]. Ток такого разряда на два порядка выше, чем для разряда с холодным катодом, и в обсуждаемой в настоящем обзоре геометрии (диаметр плазменного столба 50 см и длина около 2 м) составляет около 10 А.
На рисунке 10a представлена схема сепарации [61]. Эффект разделения массовых групп диагностировался по осаждению потоков на подложке. Анализ результатов осаждения проведен с помощью энергодисперсионной рентгеновской спектроскопии напыленных пленок. Он показал, что концентрация элементов неоднородна по поверхности, и наблюдается разделение максимумов концентраций Pb и Ag в пространстве. На рис. 10б представлено распределение компонентов смеси на подложке [62]. Из рисунка видно, что характерный масштаб сепарации составляет 10 см. Обогащение легкого компонента смеси составило величину 3 ± 1, а тяжелого компонента − 5 ± 2. Также проведен анализ неионизованных потерь вещества [63]. По всей видимости в будущем эти потери можно будет снизить, используя холодный полый анод. В этом случае неионизированные пары будут оседать на нем.
3. ЗАКЛЮЧЕНИЕ
Разделение химических элементов по массам является актуальной задачей для атомной отрасли. Один из возможных вариантов ее решения это плазменные методы. В последнее время был выполнен ряд исследований сразу по нескольким направлениям, связанным с развитием плазменной масс сепарации. В результате этих исследований на модельных веществах (серебро и свинец) экспериментально продемонстрирована работоспособность схемы Смирнова В.П.
В процессе решения сопутствующих задач были получены важные физические результаты. Проведен анализ большого числа схем сепарации. Экспериментально продемонстрирована возможность воспроизведения пространственного распределения электрического потенциала в плазменном объеме. Построена численная модель, с помощью которой можно оценить необходимые параметры разряда для воспроизведения распределения потенциала торцевых электродов в аксиально симметричной замагниченной плазме. Изучено влияние параметров разряда на потенциал плазмы в отражательном и высокочастотном разрядах. Экспериментально исследованы свойства вакуумного дугового разряда с подогреваемым катодом на ряде тяжелых металлов (Ag, Pb, Gd, Cr), оксиде церия (CeO2) и их смесях. Результаты этих исследований применимы и в смежных областях, например, для создания и совершенствования плазменных источников веществ сложного состава, диэлектриков, полупроводников в технологиях нанесения мультикомпонентных покрытий и модификации поверхностей различных материалов.
Дальнейшее развитие этих исследований связано с несколькими направлениями. Во-первых, необходимо улучшение качества сепарации. Его можно добиться за счет создания в плазме профиля потенциала специальной формы, например, реализовав селективную потенциальную яму, в которую будут попадать преимущественно тяжелые частицы [65]. Принципиальным ограничением здесь, как и раньше, могут оказаться флуктуации потенциала плазмы, увеличивающие дисперсию фракционированных потоков. Во-вторых, требуется повышение производительности всей схемы в целом и источника сепарируемых веществ в частности. В-третьих, востребованы исследования, посвященные вопросам испарения и ионизации смесей химических элементов более сложного состава.
Данный обзор выполнен частично за счет гранта Российского научного фонда № 2119-00716, https://rscf.ru/en/project/21-19-00716/ разделы, посвященные численным расчетам и анализу схем сепарации, а также сепарации модельных веществ, частично за счет поддержки Министерство науки и высшего образования Российской Федерации (Соглашение № 075-01056-22-00) разделы посвященные источнику плазмы для инжекции смеси разделяемых веществ и раздел посвященный генерации плазмы буферного газа и создание потенциала в ней.
Список литературы
Алексеев П.Н., Алексеев С.В., Андрианова Е.А., Асмолов В.Г., Декусар В.М., Зродников А.В., Каграма-нян В.С., Колтун О.В., Павлов А.С., Пономарев-Степной Н.Н., Субботин С.А., Темишев Р.Р., Теп-лов П.С., Усанов В.И., Цибульский В.Ф. Двухкомпонентная ядерная энергетическая система с тепловыми и быстрыми реакторами в замкнутом ядерном топливном цикле. М.: Техносфера, 2016.
Рачков В.И., Поплавский В.М., Цибуля А.М., Багдасаров Ю.Е., Васильев Б.А., Каманин Ю.Л., Осипов С.Л., Кузавков Н.Г., Ершов В.Н., Аширметов М.Р. // Атомная энергия. 2010. Т. 108. С. 201. https://doi.org/10.1007/s10512-010-9286-z
Драгунов Ю.Г., Лемехов В.В., Смирнов В.С., Чернецов Н.Г. // Атомная энергия. 2012. Т. 113. С. 58. https://doi.org/10.1007/s10512-012-9597-3
Воронцова О.В., Гольцов А.Е., Молоканов Н.А., Оценка стоимости оборудования зданий реактора, машинного зала и АСУ ТП АЭС ПЭК с РУ БР-1200 Научно-технический годовой отчет Научно-исследовательский и конструкторский институт энерготехники им. Н.А. Доллежаля. 2017. Москва, С. 262.
Адамов Е.О., Лопаткин А.В., Муравьев Е.В., Рачков В.И., Хомяков Ю.С. // Известия Российской академии наук. Энергетика. 2019. Т. 1. С. 3. https://doi.org/10.1134/S0002331019010035
Шадрин А.Ю., Двоеглазов К.Н., Иванов В.Б., Волк В.И., Шаталов В.В. // ВАНТ. Серия: Материаловедение и новые материалы. 2014. Т. 76. С. 69.
Долголенко Д.А., Муромкин Ю.А. // УФН. 2017. Т. 187. С. 1071. https://doi.org/10.3367/UFNr.2016.12.038016
Zweben S.J., Gueroult R., Fisch N.J. // Phys. Plasmas. 2018. T. 25. C. 090901. https://doi.org/10.1063/1.5042845
Смирнов В.П., Самохин А.А., Гавриков А.В., Кузьмичев С.Д., Усманов Р.А., Ворона Н.А. // Физика плазмы. 2019. Т. 45. С. 452. https://doi.org/10.1134/S0367292119050123
Koning A., Forrest R., Kellett M., Mills R., Henriksson H., Rugama Y., JEFF Report 21, Nuclear energy agency organisation for economic co-operation and development, Paris, France, 2006, ISBN 92-64-02314-3.
Paperny V.L., Krasov V.I., Lebedev N.V., Astrakchan-tsev N.V. // Plasma Sources Sci. Technol. 2011. T. 20. C. 35005. https://doi.org/10.1088/0963-0252/20/3/035005
Timofeev A.V. // Plasma Phys. Rep. 2000. T. 26. C. 626. https://doi.org/10.1134/1.952900
Fetterman A.J., Fisch N.J. // Phys. Plasmas. 2011. T. 18. C. 94503. https://doi.org/10.1063/1.3631793
Gueroult R., Fisch N.J. // Phys. Plasmas. 2012. T. 19. C. 122503. https://doi.org/10.1063/1.4771674
Gueroult R., Fisch N.J. // Plasma Sources Sci. Technol. 2014. T. 23. C. 35002. https://doi.org/10.1088/0963-0252/23/3/035002
Жильцов В.А., Кулыгин В.М., Семашко Н.Н., Сковорода А.А., Смирнов В.П., Тимофеев А.В., Кудряв-цев Е.Г., Рачков В.И., Орлов В.В. // Атомная энергия. 2006. Т. 104. С. 302.
Тимофеев А.В. // УФН. 2014. Т. 184. С. 1101. https://doi.org/10.3367/UFNr.0184.201410g.1101
Тимофеев А.В. // Физика плазмы. 2007. Т. 33. С. 971. https://doi.org/10.1134/S1063780X07110025
Muromkin Y.A. // J. Energy Power Eng. 2013. T. 7. C. 306.
La Fontaine A.C., Louvet P., Le Gourrierec P., Pail-loux A. // J. Phys. D. Appl. Phys. 1998. T. 31. C. 847. https://doi.org/10.1088/0022-3727/31/7/014
Ковтун Ю.В., Скибенко Е.И., Скибенко А.И., Ла-рин Ю.В., Юферов В.Б. // ЖТФ. 2011. Т. 81 (5). С. 35. https://doi.org/10.1134/S1063784211050197
Borisevich V.D., Potanin E.P. // Phys. Scr. 2017. T. 92. C. 75601. https://doi.org/10.1088/1402-4896/aa71d2
Borisevich V., Potanin E., Whichello J.V. // IEEE Trans. Plasma Sci. 2020. T. 48. C. 3472. https://doi.org/10.1109/TPS.2020.3023799
Долголенко Д.А., Муромкин Ю.А. // УФН. 2009. Т. 179. С. 369.
Grossman M.W., Shepp T.A. // IEEE Trans. Plasma Sci. 1991. T. 19. C. 1114. https://doi.org/10.1109/27.125034
Gueroult R., Zweben S.J., Fisch N.J., Rax J.-M. // Phys. Plasmas. 2019. T. 26. C. 43511. https://doi.org/10.1063/1.5083229
Gueroult R., Rax J.-M., Fisch N.J. // Phys. Plasmas. 2014. T. 21. C. 20701. https://doi.org/10.1063/1.4864325
Ohkawa T. and Miller R.L. // Phys. Plasmas. 2002. T. 9. C. 5116. https://doi.org/10.1063/1.1523930
Gilleland J., Agnew S., Cluggish B., Freeman R., Mil-ler R., Putvinski S., Sevier L., Umstadter K. // Proc. to Waste Management Conference, Tucson, USA, 2002.
Смирнов В.П., Самохин А.А., Ворона Н.А., Гаври-ков А.В. // Физика плазмы. 2013. Т. 39. С. 523. https://doi.org/10.7868/S0367292113050107
Строкин Н.А., Бардаков В.М. // Физика плазмы. 2019. Т. 45. С. 51. https://doi.org/10.1134/S0367292119010141
Morozov A.I. Introduction to Plasma Dynamics. Boca Raton, USA: CRC Press, 2012.
Gueroult R., Rax J.-M., Fisch N.J. // Phys. Plasmas. 2019. T. 26. C. 122106. https://doi.org/10.1063/1.5126083
Самохин А.А., Смирнов В.П., Гавриков А.В., Воро-на Н.А. // ЖТФ. 2016. Т. 86. С. 127. https://doi.org/10.1134/S1063784216020298
Samokhin A., Gavrikov A., Kuzmichev S., Timirkha-nov R., Vorona N., Smirnov V., Usmanov R. // IEEE Trans. Plasma Sci. 2019. T. 47. C. 1546. https://doi.org/10.1109/TPS.2019.2897146
Смирнов В.П., Гавриков А.В., Сидоров В.С., Тараканов В.П., Тимирханов Р.А., Кузьмичев С.Д., Усма-нов Р.А., Ворона Н.А. // Физика плазмы. 2018. Т. 55. С. 961. https://doi.org/10.1134/S0367292118120120
Gavrikov A.V., Sidorov V.S., Smirnov V.P., Taraka-nov V.P. // J. Phys.: Conf. Ser. 2019. T. 1147 C. 012132. https://doi.org/10.1088/1742-6596/1147/1/012132
Smirnov V.S., Egorov R.O., Kislenko S.A., Antonov N.N., Smirnov V.P., Gavrikov A.V. // Phys. Plasmas. 2020. T. 27. C. 113503. https://doi.org/10.1063/5.0020001
Vorona N.A., Gavrikov A.V., Kuzmichev S.D., Lizia-kin G.D., Melnikov A.D., Murzaev Y.A., Smirnov V.P., Timirkhanov R.A., Usmanov R.A. // IEEE Trans. Plasma Sci. 2019. T. 47. C. 1223. https://doi.org/10.1109/TPS.2018.2890341
Мельников А.Д., Усманов Р.А., Ворона Н.А., Гаври-ков А.В., Лизякин Г.Д., Смирнов В.П., Тимирха-нов Р.А. // Ядерная физика и инжиниринг. 2018. Т. 9. С. 117. https://doi.org/10.1134/S2079562917060185
Melnikov A.D., Usmanov R.A., Gavrikov A.V., Lizia-kin G.D., Smirnov V.P., Timirkhanov R.A., Vorona N.A. // J. Phys.: Conf. Ser. 2019. T. 1147. C. 012131. https://doi.org/10.1088/1742-6596/1147/1/012131
Гавриков А.В., Ворона Н.А., Кузьмичев С.Д., Лизя-кин Г.Д., Тимирханов Р.А. // Вестник ОИВТ РАН. 2019. Т. 3. С. 10. https://doi.org/10.33849/2019202
Liziakin G.D., Gavrikov A.V., Murzaev Y.A., Usma-nov R.A., Smirnov V.P. // Phys. Plasmas. 2016. T. 23. C. 123502.
Liziakin G., Gavrikov A., Usmanov R., Timirkhanov R., Smirnov V. // AIP Adv. 2017. T. 7. C. 125108. https://doi.org/10.1063/1.4998806
Liziakin G., Gavrikov A., Smirnov V. // Plasma Sources Sci. Technol. 2020. T. 29. C. 15008. https://doi.org/10.1088 / 1361-6595 / ab5ad5
Liziakin G., Oiler A., Gavrikov A., Antonov N., Smir-nov V. // J. Plasma Phys. 2021. T. 87. C. 905870414. https://doi.org/10.1017/S0022377821000829
Ворона Н.А., Гавриков А.В., Самохин А.А., Смир-нов В.П., Хомяков Ю.С. // Ядерная физика и инжиниринг. 2014. Т. 5. С. 944. https://doi.org/10.1134/S2079562914090176
Полищук В.П., Усманов Р.А., Мельников А.Д., Ворона Н.А., Ярцев И.М., Амиров Р.Х., Гавриков А.В., Лизякин Г.Д., Самойлов И.С., Смирнов В.П., Анто-нов Н.Н. // ТВТ. 2020. Т. 58. С. 515. https://doi.org/10.31857/S0040364420040122
Amirov R.K., Gavrikov A.V., Liziakin G.D., Poli-shchuk V.P., Samoylov I.S., Smirnov V.P., Usmanov R.A., Vorona N.A., Yartsev I.M. // IEEE Trans. Plasma Sci. 2017. T. 45. C. 140. https://doi.org/10.1109/TPS.2016.2634627
Volkov L.S., Babaeva N.Y., Antonov N.N. // J. Phys. D. Appl. Phys. 2021. T. 54. C. 105202. https://doi.org/10.1088/1361-6463/abc715
Амиров Р.Х., Ворона Н.А., Гавриков А.В., Лизя-кин Г.Д., Полищук В.П., Самойлов И.С., Смирнов В.П., Усманов Р.А., Ярцев И.М. // Ядерная физика и инжиниринг. 2014. Т. 5. С. 952. https://doi.org/10.1134/S2079562914090024
Амиров Р.Х., Ворона Н.А., Гавриков А.В., Лизякин Г.Д., Полищук В.П., Самойлов И.С., Смирнов В.П., Усманов Р.А., Ярцев И.М. // Физика плазмы. 2015. Т. 41. С. 877. https://doi.org/10.7868/S0367292115100017
Мельников А.Д., Усманов Р.А., Амиров Р.Х., Анто-нов Н.Н., Гавриков А.В., Лизякин Г.Д., Полищук В.П., Смирнов В.П. // Физика плазмы. 2020. Т. 46. С. 510. https://doi.org/10.31857/S0367292120060050
Usmanov R.A., Amirov R.K., Gavrikov A.V., Lizia-kin G.D., Polistchook V.P., Samoylov I.S., Smirnov V.P., Vorona N.A., Yartsev I.M. // Phys. Plasmas. 2018. T. 25. C. 063524. https://doi.org/10.1063/1.5037674
Usmanov R.A., Amirov R. K., Gavrikov A.V., Liziakin G.D., Melnikov A.D., Polistchook V.P., Samoylov I.S., Smir-nov V.P., Vorona N.A., Yartsev I.M. // Plasma Sources Sci. Technol. 2020. T. 29. C. 015004. https://doi.org/10.1088 / 1361-6595 / ab5f33
Антонов Н.Н., Ворона Н.А., Гавриков А.В., Само-хин А.А., Смирнов В.П. // ЖТФ. 2016. Т. 86 (2). С. 23. https://doi.org/10.1134/S1063784216020031
Антонов Н.Н., Гавриков А.В., Самохин А.А., Смир-нов В.П. // Ядерная физика и инжиниринг. 2015. Т. 6. С. 601. https://doi.org/10.1134/S2079562915060020
Antonov N.N., Usmanov R.A., Gavrikov A.V., Smir-nov V.P. // J. Phys.: Conf. Ser. 2019. T. 1147. C. 12133. https://doi.org/10.1088/1742-6596/1147/1/012133
Antonov N., Liziakin G., Usmanov R., Gavrikov A., Voro-na N., Smirnov V. // Phys. Plasmas. 2018. T. 25. C. 123506. https://doi.org/10.1063/1.5050883
Liziakin G., Antonov N., Usmanov R., Melnikov A., Timirkhanov R., Vorona N., Smirnov V.S., Oiler A., Kislenko S., Gavrikov A., Smirnov V.P. // Plasma Phys. Control. Fusion. 2021. T. 63. C. 032002. https://doi.org/10.1088/1361-6587/abd25e
Liziakin G., Antonov N., Smirnov V.S., Timirkhanov R., Oiler A., Usmanov R., Melnikov A., Vorona N., Kislenko S., Gavrikov A., Smirnov V.P. // J. Phys. D. Appl. Phys. 2021. T. 54. C. 414005. https://doi.org/10.1088/1361-6463/ac128e
Liziakin G., Antonov N., Gavrikov A., Oiler A., Melni-kov A., Smirnov V., Timirkhanov R., Usmanov R., Vol-kov L., Vorona N. // Proc. Plasma Processing and Thechnology, Barcelona, Spain, 2022. C. 142.
Usmanov R., Antonov N., Gavrikov A., Liziakin G., Melnikov A., Oiler A., Smirnov V., Timirkhanov R., Vol-kov L., Vorona N. // Plasma Sci. Technol. 2022. T. 24. C. 085504. https://doi.org/10.1088/2058-6272/ac62a8
Акопов Ф.А., Боровкова Л.Б. // ТВТ. 2011. Т. 49. С. 893. https://doi.org/10.1134/S0018151X11060022
Oiler A.P., Liziakin G.D., Gavrikov A.V., Smirnov V.P. // Molecules. 2022. T. 27. C. 6824. https://doi.org/10.3390/molecules27206824
Дополнительные материалы отсутствуют.









