Физика плазмы, 2023, T. 49, № 9, стр. 885-902
Моделирование отклика рефлектометра на возмущение плазмы ИТЭР альфвеновскими модами
Д. А. Шелухин a, *, М. Ю. Исаев a, С. Ю. Медведев a, В. А. Вершков a, М. И. Михайлов a
a НИЦ “Курчатовский институт”
Москва, Россия
* E-mail: shelukhin_da@nrcki.ru
Поступила в редакцию 29.12.2022
После доработки 19.05.2023
Принята к публикации 31.05.2023
- EDN: XAIJRO
- DOI: 10.31857/S0367292121100401
Аннотация
С помощью кодов KINX и VENUS для основного индуктивного и квазистационарного сценариев работы токамака ИТЭР были рассчитаны в потоковых координатах возмущения электронной плотности плазмы и магнитного поля, вызванные альфвеновскими модами. Полученные поля возмущений были переведены в инженерные координаты для расчета распространения пробного электромагнитного излучения рефлектометра с использованием двумерного полноволнового кода TAMIC RτX в реальной геометрии эксперимента. Проведенные расчеты показывают, что для отражения на нижней отсечке необыкновенной волны со стороны сильного магнитного поля в основном индуктивном сценарии относительные возмущения электрического поля отраженного сигнала рефлектометра находятся на пределе либо превышают линейную область работы диагностики. Было установлено, что возмущения сигнала в ряде сценариев в существенной степени обусловлены возмущениями магнитного поля, а не только электронной плотности, что затрудняет дальнейшую интерпретацию данных. Еще одной возможной проблемой является узкая область частот зондирующего излучения, в которой может наблюдаться альфвеновская мода. Помимо моделирования отражения электромагнитных волн от плазмы в работе также анализируется возможность измерения параметров альфвеновских мод при прохождении необыкновенной волны в окне прозрачности плазмы между верхней и нижней отсечками необыкновенной волны (рефрактометрия). Показано, что возмущение фазы на основной частоте составляет от 3 до 60 градусов, что делает невозможным использование для анализа сигнала рефрактометра с амплитудной модуляцией. Использованный подход “синтетической диагностики” может быть использован при моделировании работы рефлектометров в плазменных установках.
1. ВВЕДЕНИЕ
Исследование условий возникновения и влияния тороидальных альфвеновских собственных мод (Toroidal Alfven Eigenmodes – TAE) на параметры термоядерной плазмы является одним из важных аспектов экспериментальной программы сооружаемого термоядерного реактора ИТЭР. Возникновение TAE может приводить к увеличенным потерям быстрых частиц и существенно влиять на баланс энергии в термоядерной плазме [1]. Одним из инструментов для экспериментального исследования характеристик возмущений в центральной части плазменного шнура является диагностика рефлектометрия со стороны сильного магнитного поля (High magnetic Field Side – HFS) [2]. Так как в условиях плоского профиля плотности в ИТЭР исследования центральных областей плазмы со стороны сильного магнитного поля возможны только на нижней необыкновенной волне, то рассматриваемая диагностика оказывается чувствительна как к возмущениям электронной плотности, так и локального магнитного поля. Поэтому следует уделить особое внимание моделированию отклика диагностики на возмущения и плотности и магнитного поля, связанные с TAE в ИТЭР. Наиболее перспективным методом является так называемый метод “синтетической диагностики”, при котором теоретические модели используются для подготовки распределений физических параметров плазмы, а специализированные коды – для оценки отклика диагностики на модельную плазму [3]. Таким образом, глобальная задача распадается на две: корректное моделирование характеристик ТАЕ и моделирование отклика рефлектометра на возмущения, вызываемые наличием TAE в плазме ИТЭР.
Фундаментальный обзор физики быстрых частиц содержится в пятой главе “Основ физики ИТЭР” [1]. В обзоре приводятся результаты измерений альфвеновских мод различных типов и частот для токамаков MAST, TFTR, JET, JT-60U, DIII-D, выполненных с помощью рефлектометрии. Результаты измерений сравниваются с результатами расчетов частот мод, их пространственного расположения, уровня насыщения и затухания. Рассмотрено возбуждение мод как в результате взаимодействия с термоядерными альфа-частицами, так и в результате взаимодействия плазмы с нагревным пучком атомов. Описание измерений альфвеновских каскадов и мод ВАЕ (связанных с параметром бета) в токамаке ASDEX-U с нагревным пучком, выполненных с использованием рефлектометров, приводится в работе [4]. В токамаке JET для исследований альфвеновских мод использовался многоканальный рефлектометр, дающий хорошее временное и частотное разрешение сигнала [5].
Цель работы состояла в сравнении результатов расчетов эволюции ТАЕ-мод с результатами измерений в плазме токамаков меньших размеров (например, JET [6], DIII-D [7], ASDEX [8], NSTX [9]). Важным является проверка и сравнение (бенчмарк) результатов, полученных с помощью различных кодов [10]. Проверка результатов моделирования ТАЕ, возбуждаемых нагревным пучком атомов, планируется также на строящемся отечественном токамаке T‑15МД [11]. Численный анализ и оценки эффектов ТАЕ для основных сценариев ИТЭР является важной частью расчетно-теоретических задач проблемы УТС.
Работа построена следующим образом. После краткого введения, в разд. 2 излагается подход, применяемый для определения возмущений TAE в плазме ИТЭР. В раздел входит описание основных понятий теории ТАЕ-мод и результаты расчета структуры TAE для основного индуктивного сценария работы ИТЭР с током 15 МА и квазистационарного (стационарного) сценария работы ИТЭР с током 9 МА [12]. Раздел 3 начинается с описания диагностики HFS рефлектометрии И-ТЭР. Изложение продолжается описанием процедуры переноса данных расчетов на декартову сетку в инженерных координатах установки ИТЭР с примерами распределения возмущений электронной плотности и магнитного поля различными TAE модами. После описания деталей моделирования, раздел завершается обсуждением полученных результатов. В заключении в кратком виде сформулированы основные результаты и даны рекомендации по совершенствованию диагностического комплекса ИТЭР.
2. РАСЧЕТ ХАРАКТЕРИСТИК TAE-МОД ДЛЯ ОСНОВНЫХ СЦЕНАРИЕВ РАБОТЫ ИТЭР
Как указывается во введении, задачу оценки отклика сигнала рефлектометрии на возмущения, вызванные присутствием в плазме TAE-мод, можно разделить на две части. На первом этапе следует определить пространственную структуру TAE для различных сценариев работы ИТЭР и амплитуду возмущений, вызванных модой. Поскольку возмущение сигнала диагностики зависит от возмущения диэлектрической проницаемости плазмы, то требуется определить не только возмущение полного магнитного поля, но также и возмущения электронной плотности с сохранением правильного фазового соотношения между ними.
2.1. Общий подход к моделированию эволюции ТAE в плазме тороидальных установок
Подробный и последовательный подход к описанию моделирования ТАЕ излагается в большом количестве работ, например в [13], в данной статье мы ограничимся кратким изложением основных понятий. В соответствии с теорией [14], парные резонансные альфвеновские моды с общим тороидальным индексом n и со смежными полоидальными индексами m, m + 1 расположены в диапазоне радиусов вблизи поверхности радиуса r0, определяемого условием q(r0) = q0= (2m + + 1)/2n. Резонансная (собственная) частота данных альфвеновских мод примерно равна
(1)
$\omega = \frac{{\left( {m{\text{/}}q - n} \right){{V}_{\parallel }}}}{{{{R}_{0}}}} \approx \frac{{{{V}_{A}}}}{{2{{q}_{0}}{{R}_{0}}}} = \frac{{{{\omega }_{A}}}}{{2{{q}_{0}}}},$Вектор смещения элемента плазмы представим в виде суммы радиальной и нормальной компонент ξs и η в бузеровских координатах (s, θ, ζ),
(2)
${\mathbf{\xi }} = {{\xi }^{s}}{{{\mathbf{e}}}_{s}} + \frac{{[{\mathbf{B}} \times \nabla s]\eta }}{{{{{\mathbf{B}}}^{2}}}} = {{\xi }^{s}}{{e}_{s}} - \frac{{{{\mu }_{0}}\eta }}{{{{B}^{2}}\sqrt g }}(I{{e}_{\theta }} + J{{e}_{\zeta }}),$J(s), I(s) – тороидальная и полоидальная потоковые функции. Радиальная компонента ТАЕ представляется в виде спектрального разложения по компонентам, которые имеют вид произведения фиксированной пространственной функции, зависящей только от времени амплитуды A(t) и соответствующей фазы
(3)
${{\xi }^{s}} = \Sigma \xi _{{{\text{mn}}}}^{s}\cos \left( {m\theta - n\zeta - \omega t} \right),$Нормированная радиальная компонента возмущенного магнитного поля TAE в бузеровских координатах (s, θ, ζ) определяется как
(4)
$\frac{{\delta {{B}_{r}}}}{{{{B}_{0}}}} = \frac{{\mathop \sum \nolimits_{mn} \xi _{{mn}}^{s}\left( {m\chi {\kern 1pt} '\; - n\psi '} \right)\sin \left( {m\theta - n\zeta - \omega t} \right)}}{{\left| {\nabla s} \right|{{B}_{0}}\sqrt g }}$Выражение для возмущенной плотности плазмы δρ из линеаризованного уравнения непрерывности идеальной МГД [15, 16]
(5)
$\frac{{\delta {{\rho }_{{}}}}}{\rho } = - \frac{{\xi _{{}}^{s}\rho {\kern 1pt} '}}{\rho } - {\text{div}}\vec {\xi },$(6)
$\begin{gathered} {\text{div}}\vec {\xi } = \frac{1}{{\sqrt g }}\frac{{\partial (\sqrt g {{\xi }^{i}})}}{{\partial {{x}^{i}}}} = \frac{{\partial {{\xi }^{s}}}}{{\partial s}} + \frac{{{{\xi }^{s}}}}{{\sqrt g }}\frac{{\partial \sqrt g }}{{\partial s}} - \\ \, - \frac{{{{\mu }_{0}}I}}{{\sqrt g {{B}^{2}}}}\left[ {\frac{{\partial \eta }}{{\partial \theta }} - \frac{\eta }{{{{B}^{2}}}}\frac{{\partial {{B}^{2}}}}{{\partial \theta }}} \right] - \frac{{{{\mu }_{0}}J}}{{\sqrt g {{B}^{2}}}}\left[ {\frac{{\partial \eta }}{{\partial \zeta }} - \frac{\eta }{{{{B}^{2}}}}\frac{{\partial {{B}^{2}}}}{{\partial \zeta }}} \right] \\ \end{gathered} $Из формулы (5) следует прямая пропорциональность между смещением плазмы и возмущением плотности и их одинаковая угловая зависимость. В уравнении (3) угловая зависимость между смещением и возмущением магнитного поля оказывается более сложной из-за наличия в знаменателе бузеровского якобиана, обратно пропорционального квадрату модуля магнитного поля, и метрического коэффициента |∇s|. Заметим, что при плоском профиле плотности плазмы возмущения (5) будут очень небольшими.
2.2. Расчет структуры мод для различных сценариев работы ИТЭР
Поскольку проведение расчетов требует значительных временных и вычислительных ресурсов, было решено ограничиться двумя основными сценариями работы ИТЭР, а именно – основным индуктивным сценарием с током плазмы 15 МА и стационарным сценарием работы с током плазмы 9 МА.
Рассчитанные с помощью кода ASTRA начальные профили плазмы для основного сценария ИТЭР с током 15 MA, R = 6.2 м, a = 2 м, Q = 10 (отношение термоядерной мощности к мощности дополнительного нагрева плазмы) и монотонным профилем запаса устойчивости с q(0) = = 1.0 приведены в работе [12]. Расчет структуры ТАЕ мод для основного индуктивного сценария работы ИТЭР был проведен с использованием кодов KINX и VENUS [13]. Для рассматриваемого сценария разряда ИТЭР было предсказано существование в плазме баллонных и антибаллонных ТАЕ с тороидальным индексом n = 20 в диапазоне частот альфвеновской щели спектра.
На рис. 1а, б показаны профили основных компонент ТАЕ, в том числе доминирующих компонент – с полоидальными индексами m = 20 (сплошная линия) и m = 21 (штриховая линия). Основные компоненты m = 20, m = 21 ТАЕ баллонного типа имеют одинаковый знак, а основные компоненты антибаллонной моды имеют противоположные знаки. Частота баллонной моды составляет fA = 71 кГц, антибаллонной fA = 106 кГц.
Рис. 1.
Профили основных компонент ТАЕ, рассчитанные с помощью кода KINX для основного индуктивного сценария работы ИТЭР с током 15 МА (а, б) и основного стационарного сценария ИТЭР с током 9 МА (в). Структура компонент ТАЕ для сценария с током 15 МА приведена согласно [13], структура компонент RSAE для сценария с током 9 МА приведена согласно [16]. а) – баллонная TAE, тороидальный индекс моды n = 20; б) – антибаллонная TAE, тороидальный индекс моды n = 20; в) – RSАЕ стационарный сценарий, тороидальный индекс моды n = 4.

В работе [17] использовался уточненный квазистационарный сценарий работы ИТЭР с током 9 МА [18], обратным широм и резонансным значением q = 1.6 [12]. Расчет с помощью кода KINX для данного сценария ИТЭР показал существование в плазме возмущения магнитного поля, вызванной быстрыми альфа-частицами (так называемых альфвеновских мод с обратным широм – RSAE (Reversed Shear Alfven Eigenmodes) c тороидальным индексом n = 4. На рис. 1в показаны профили основных компонент радиального смещения с полоидальными индексами в зависимости от функции нормированного полоидального потока. Видно, что в квазистационарном сценарии работы ИТЭР доминирующими являются моды с меньшими полоидальными и тороидальными числами, по сравнению с TAE в основном индуктивном сценарии. Частота RSAE составляет fA = = 43 кГц.
3. МОДЕЛИРОВАНИЕ ДИАГНОСТИКИ РЕФЛЕКТОМЕТРИЯ ИТЭР СО СТОРОНЫ СИЛЬНО МАГНИТНОГО ПОЛЯ
Поскольку особенности диагностики рефлектометрия могут быть незнакомы широкому кругу читателей, описание результатов расчетов предваряет раздел с кратким описанием физических основ рефлектометрии и деталей конструкции диагностики на установке ИТЭР.
3.1. Диагностика рефлектометрия ИТЭР со стороны сильного магнитного поля
Основным принципом, лежащим в основе диагностики рефлектометрия является отражение электромагнитной волны от плазмы. Положение области непрозрачности определяется, вообще говоря, типом волны зондирующего излучения (обыкновенная – ‘О’ и необыкновенная – ‘Х’), ее частотой Fprobe и локальными значениями электронной плотности плазмы ne, полного магнитного поля B и электронной температуры Te. Отражение волны от плазмы происходит, когда частота падающей волны сравнивается с так называемой частотой отсечки Fcutoff, определяемой соотношениями [19]:
(7)
${{F}_{{{\text{cutoff}}}}} = \left\{ {\begin{array}{*{20}{l}} {{{\omega }_{p}}{\text{/}}2\pi {\text{\;}}\quad \left( {{\text{отсечка\;О - волны}}} \right)} \\ {\frac{1}{{2\pi }}\left( {\sqrt {\omega _{p}^{2} + {{{\left( {{{\omega }_{c}}{\text{/}}2} \right)}}^{2}}} - \left( {{{\omega }_{c}}{\text{/}}2} \right)} \right)\quad \left( {{\text{нижняя\;отсечка\;Х - волны}}} \right)} \\ {\frac{1}{{2\pi }}\left( {\sqrt {\omega _{p}^{2} + {{{\left( {{{\omega }_{c}}{\text{/}}2} \right)}}^{2}}} + \left( {{{\omega }_{c}}{\text{/}}2} \right)} \right)\quad \left( {{\text{верхняя\;отсечка\;Х - волны}}} \right)} \end{array}} \right.\quad \begin{array}{*{20}{c}} {\omega _{p}^{2} = \frac{{{{n}_{e}}{{e}^{2}}}}{{{{m}_{e}}}}} \\ {{{\omega }_{c}} = \frac{{eB}}{{{{m}_{e}}c}}} \end{array},$Особенностью ИТЭР являются плоские либо слабо пикированные профили электронной плотности в центральной части плазменного шнура, что делает невозможной проведение измерений с использованием зондирования на обыкновенной волне (О-волне) [20]. Использование для зондирования верхней отсечки необыкновенной волны (Х-волны) возможно только со стороны слабого магнитного поля и затруднено высоким уровнем возмущений электронной плотности, дрейфовыми неустойчивостями, сильным фоновым излучением плазмы на частоте электронного циклотронного резонанса, поглощением зондирующего излучения в области циклотронного резонанса в результате релятивистских эффектов. Поэтому использование зондирования со стороны сильного магнитного поля и нижней отсечки необыкновенной волны является основным методом исследования центральной части плазмы в ИТЭР с помощью рефлектометрии [2].
Общий вид диагностики приведен на рис. 2. Антенны диагностики 2 расположены в экваториальной плоскости установки в щели между модулями бланкета. Приемно-передающая линия на основе прямоугольного волновода располагается за модулями бланкета на стенке вакуумной камеры.
Рис. 2.
Размещение элементов диагностики рефлектометрии в полоидальном сечении установки ИТЭР. 1 – излучающая антенна рефрактометра, 2 – зеркально-рупорная антенна рефлектометра на стороне сильного магнитного поля.

Поскольку существенной особенностью при зондировании плазмы нижней отсечки необыкновенной волной является зависимость положения области непрозрачности плазмы как от электронной плотности, так и величины магнитного поля, то результирующее возмущение фазы и амплитуды отраженного сигнала (отклик диагностики) является сложной функцией возмущений для каждого параметра. При этом значение имеет не только абсолютная величина возмущения, но и фазовое соотношение между возмущениями плотности и магнитного поля. При определенном соотношении амплитуды возмущений плотности и магнитного поля результирующее возмущение фазы отраженной волны стремится к нулю. Помимо вопроса о величине отклика HFS-рефлектометрии на возмущения плазмы TAE-модами, существенный интерес представляет также вопрос об интерпретации данных измерений с учетом нелокальности рефлектометрии.
Кроме классического рефлектометра в состав диагностического комплекса был также введен канал для наблюдения прохождения волны через сечение плазмы в окне прозрачности между верхней и нижней частотой отсечки необыкновенной волны (рефрактометрии) [21]. Такое расширение диагностики было необходимо для повышения надежности измерения средней плотности плазмы, однако измерения на ряде установок показали также перспективность данного метода для наблюдения TAE [6–9]. В настоящий момент для диагностики предполагается использование зондирования на 4-х фиксированных частотах (40, 55, 70 и 90 ГГц) и применение амплитудной модуляции излучения на частоте 50 МГц для однозначного определения времени распространения электромагнитной волны в плазме для определения средней плотности.
Излучающая антенна диагностики 1 при этом расположена в экваториальном порту 08, а в качестве приемной антенны служит антенна рефлектометра 2 для измерения профиля плотности на стороне сильного магнитного поля (рис. 2).
3.2. Структура ТАЕ в установке ИТЭР в инженерных координатах
Одной из проблем, возникающих при моделировании диагностики на основе предсказаний теории, является перенос результатов расчетов, выполненных в специальных координатах, в инженерные координаты. Как указывалось выше, отклик диагностики зависит от величины электронной плотности и полного значения магнитного поля. Равновесные (невозмущенные) значения электронной плотности ne (ρ) задавались с использованием кода ASTRA. Невозмущенное двумерное распределение полного магнитного поля B(R, Z) и полоидального потока Ψ(R, Z) было получено с помощью кодов EFIT, CAXE, VMEC.
Возмущение электронной плотности δne(R, Z) и полного магнитного поля δB(R, Z) были получены с использованием данных кодов KINX, TERPSICHORE и VENUS в бузеровских криволинейных координатах с выпрямленными силовыми линиями (s, θ, ζ), удобными для расчетов траекторий заряженных частиц в тороидальных магнитных полях. Структура возмущений рассчитывалась для 51 момента времени в течение одного периода волны, определяемых соотношением t = (0, 1, …, 50)/50 × 2 × π/ω, где ω – собственная частота моды. Радиальное разрешение при расчетах возмущений составляло около 4 мм, полоидальное разрешение – 1 градус. Для представления полученных данных на декартовой прямоугольной сетке (R, Z) с заданным шагом, необходимым для моделирования отклика диагностики рефлектометра, была использована входящая в состав программного комплекса MATLAB 2019 функция griddata, основанная на триангуляции Делоне [22]. Функция интерполирует на упорядоченную равномерную прямоугольную сетку входные данные, заданные на магнитных поверхностях в точках R(s, θ, ζ) и Z(s, θ, ζ) в бузеровских координатах. Функция griddata может использовать линейный, кубический, метод интерполяции, интерполяцию полиномами, с помощью сплайнов.
Результаты интерполяции электронной плотности и полного магнитного поля, возмущенные баллонной ТАЕ с тороидальным индексом n = 20, в момент времени t = 0, приведены на рис. 3. Максимальная амплитуда возмущения нормированной плотности плазмы составляет δn/ne ≈ 6 × × 10−3, максимальная амплитуда возмущения магнитного поля равна δB/B = 10−3 (здесь и далее в разделе положительный знак возмущения показан красным цветом, отрицательный знак – синим цветом, нулевой уровень возмущения показан светло-зеленым цветом). Для баллонной моды максимальные возмущения плотности плазмы расположены на стороне слабого поля, а возмущения магнитного поля – на стороне сильного поля. Взаимное расположение максимальных возмущений плотности и магнитного поля меняется в зависимости от времени и тороидального угла в соответствии с уравнениями (4), (6). В расчете использовалась максимальная амплитуда насыщения δB/B ≈ 10−3, полученная для единственной собственной баллонной ТАЕ с тороидальным индексом n = 20, полученные результаты согласуются с результатами, полученными в работе [23].
Рис. 3.
Сечение плазмы ИТЭР с Q = 10 с линиями уровня возмущений полного магнитного поля (слева) и электронной плотности (справа) баллонной ТАЕ с тороидальным индексом n = 20.

Результаты интерполяции электронной плотности и полного магнитного поля, возмущенной антибаллонной ТАЕ с тороидальным индексом n = 20, в момент времени t = 0, приведены на рис. 4. Максимальная амплитуда возмущения нормированной плотности плазмы δne/ne ≈ 4 × × 10−3. Для антибаллонной моды максимальные возмущения плотности плазмы расположены на стороне сильного поля. Максимальная амплитуда антибаллонного возмущения магнитного поля меньше, чем у баллонного возмущения, и равна δB/B ≈ 4 ×10–4, что соответствует результатам расчетов [13].Рис 5
Рис. 4.
Сечение плазмы ИТЭР с Q = 10 с линиями уровня возмущений полного магнитного поля (слева) и электронной плотности (справа) антибаллонной ТАЕ с тороидальным индексом n = 20.

Рис. 5.
Сечение плазмы в стационарном сценарии ИТЭР с током 9 МА с линиями уровня возмущения полного магнитного поля (слева) и электронной плотности (справа) RSАЕ с тороидальным индексом n = 4.

Рис. 6.
Распределения поверхностей с одинаковой частотой нижней отсечки необыкновенной волны для основного индуктивного сценария ИТЭР. Черным прямоугольником выделена расчетная область кода TAMIC RτX analyzer.

Результаты интерполяции электронной плотности и полного магнитного поля, возмущенной RSАЕ с тороидальным индексом n = 4, в момент времени t = 0, приведены на рис. 8. Максимальная амплитуда возмущения нормированной плотности плазмы δne/ne ≈ 5 × 10−3. Максимальная амплитуда возмущения магнитного поля равна δB/B ≈ 10−3. В расчете использовалась максимальная амплитуда насыщения δB/B ≈ 10−3, полученная для RSАЕ с тороидальным индексом n = 4.
Рис. 7.
Распределение диэлектрической проницаемости плазмы в расчетной области кода TAMIC RτX analyzer для частоты рефлектометра 42.5 ГГц. Внизу в увеличенном масштабе показана область вблизи поверхности отсечки.

Рис. 8.
Распределение напряженности электрического поля зондирующей волны при отражении от плазмы в присутствии TAE.

Для каждого из сценариев для 51 момента времени проведена интерполяция возмущенной плотности плазмы и магнитного поля и получено 102 файла общим размером примерно 4 ГБт.
3.3. Моделирование сигналов рефлектометрии
Моделирование работы диагностики HFS рефлектометрия проводится путем расчета распространения электромагнитной волны на возмущенном поле электронной плотности и магнитного поля с использованием двумерного полноволнового кода TAMIC RτX Analyzer [24].
При генерации файлов задания для кода использовались данные о невозмущенном распределении электронной плотности и магнитного поля, и рассчитанное двумерное распределение возмущений для расчетной сетки. Расчеты были проведены в нерелятивистском приближении (Te = 0). Поскольку для частоты отсечки нижней необыкновенной волны релятивистские поправки невелики, то полученные результаты будут удовлетворительно описывать видимую рефлектометром структуру возмущений с учетом неопределенности параметров плазмы ИТЭР и геометрии эксперимента.
Поскольку моделирование систем классического рефлектометра и рефрактометра используют различную геометрию, они будут рассмотрены отдельно.
3.3.1. Моделирование рефлектометра. На рис. 6 показано распределение частоты нижней отсечки для необыкновенной волны для основного индуктивного сценария ИТЭР. Моделирование распространения электромагнитной волны проводится в области от 4.0792 м до 6.6112 м в радиальном направлении и от 0.2780 м до 0.7780 м вертикальном направлении (область, выделенная черным прямоугольником на рис. 6).
Пример распределения диэлектрической проницаемости, возмущенной TAE, для зондирующей частоты 42.5 ГГц для одного момента времени показан на рис. 7. Видно, что для данной частоты зондирующего излучения поверхность отсечки отклоняется от невозмущенного значения на величину около ±5 мм. Это должно приводить к вариации фазы отраженного сигнала на величину порядка одного радиана.
Для всех рассчитанных полей возмущений ne и B были подготовлены файлы задания для кода TAMIC RτX analyzer. На рис. 8 показано распределение напряженности электрического поля в расчетной области при расчете отражения зондирующего сигнала рефлектометра на частоте 42.5 ГГц для одного из полей возмущений (баллонная мода, момент времени t = 0). Видно периодическое возмущение напряженности поля по вертикальной координате из-за присутствия возмущения поверхности отсечки (правая граница рисунка). Тестовый расчет показал, что задача требует около 1.7 ГБт оперативной памяти при постановке задачи (1.1 ГБт при проведении расчета). Время счета для достижения установившегося распределения поля в счетной области составляет около 6 часов для процессора Intel Core i7 860 с тактовой частотой 2.8 ГГц.
3.3.2. Моделирование рефрактометра. На рис. 9 показано распределение частоты нижней отсечки для необыкновенной волны для стационарного сценария 9 МА ИТЭР. Моделирование распространения электромагнитной волны в плазме проводится в области от 4.0820 м до 8.4420 м в радиальном направлении и от 0.2880 м до 0.8680 м в вертикальном направлении (область, выделенная черным прямоугольником на рис. 9).
Рис. 9.
Распределения поверхностей с одинаковой частотой отсечки необыкновенной волны в стационарном сценарии ИТЭР c током 9 MA. Слева – распределения для нижней частоты отсечки, справа – распределения для верхней. Черным прямоугольником выделена расчетная область кода TAMIC RτX analyzer.

Согласно описанию диагностики, измерения средней плотности предполагается проводить на ряде фиксированных частот, а именно 40, 55, 70 и 90 ГГц [21]. Для моделирования были выбраны частоты 40 и 55 ГГц. Расчет на частотах 70 и 90 ГГц требует существенного увеличения счетного времени и ресурсов, прежде всего оперативной памяти, что невозможно в существующей версии кода TAMIC.
Пример распределения диэлектрической проницаемости, возмущенной RSAE модой, для зондирующей частоты 55 ГГц показан на рис. 10. Видно, что возмущения, вызываемые RSAE-модой малы и не видны на распределении диэлектрической проницаемости в расчетной области.
Рис. 10.
Распределение диэлектрической проницаемости плазмы (вверху) и возмущения диэлектрической проницаемости (внизу) в расчетной области кода TAMIC RτX analyzer для частоты рефлектометра 55 ГГц.

Для оценки правильности расчета было дополнительно построено пространственное распределение возмущения диэлектрической проницаемости RSAE модой в расчетной области кода TAMIC RτX analyzer для частоты рефлектометра 55 ГГц (рис. 10, внизу). Видно, что характерные возмущения диэлектрической проницаемости не превышают 5 × × 10−3. Таким образом, следует ожидать слабое возмущение проходящего сигнала RSAE-модой.
Для рассчитанных полей возмущений ne и B были подготовлены файлы задания для кода TAMIC RτX analyzer. Корректность генерации файлов задания была подтверждена расчетом отражения для одного из полей возмущений (момент времени t = 0). На рис. 11 показано распределение напряженности электрического поля в расчетной области.
Рис. 11.
Распределение напряженности электрического поля зондирующей волны при отражении от плазмы в присутствии RSAE.

Тестовый расчет показал, что задача требует около 2.8 Гбайт оперативной памяти при постановке задачи (2.15 Гбайт при проведении расчета). Время счета для достижения установившегося распределения поля в счетной области составляет около 4.5 часов для процессора Intel Core i7 860 с тактовой частотой 2.8 ГГц.
3.4. Отклик диагностики рефлектометрия на возмущения плазмы, вызванные TAE
3.4.1. Расчет отклика рефлектометрии на возмущения плазмы, вызванные собственными альфвеновскими модами. Расчет проводился для 51 точки на периоде возмущения TAE. Для каждого расчета характерное время распространения волны до отсечки и обратно составляло около 100 нс. Радиальные размеры области, возмущаемые TAE модами, составляют около 10% от малого радиуса (рис. 1а и б), поэтому полное время распространения сигнала рефлектометра через эту область составляет около 10 нс. Поскольку характерная частота TAE в рассматриваемых режимах с током плазмы 15 МА составляла fA ~ 70–110 кГц, то характерный временной масштаб изменений распределения возмущений параметров плазмы составлял 2π/(n × ω) = 2π/n × 2q0/ωA = 2q0/(n × fA) ~ ~ 1 мкс, что более чем на порядок превышает время распространения волны в области возмущений. Это позволяло пренебречь эволюцией распределения электронной плотности и магнитного поля плазмы. В рамках подхода “синтетической диагностики”, полученные данные анализировались с использованием цифрового моделирования работы приемных миксеров и квадратурных детекторов с реалистичными значениями промежуточной частоты (50 МГц), полосы низкочастотного фильтра (2 МГц по уровню – 0.3 дБ, 4 МГц по уровню 3 дБ) и частоты опроса аналого-цифрового преобразователя (107 Выборок/с).
Для каждого расчетного случая определялась фаза и амплитуда принятого сигнала рефлектометра. Поскольку амплитуда возмущений диэлектрической проницаемости имеет сложную радиальную структуру, расчеты проведены для 21 частоты для случаев баллонной и антибаллонной моды в основном индуктивном сценарии работы ИТЭР с током 15 МА. Поскольку время, требуемое для расчетов отклика диагностики весьма велико (около 6 часов на расчет отражение на одной частоте от одного турбулентного поля), при моделировании рефлектометрии было решено ограничиться только рассмотрением случаев баллонной и антибаллонной TAE.
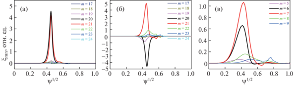
Для сигнала на каждой частоте рассчитывалось среднеквадратичное возмущение фазы σφ, относительное возмущение амплитуды σА/A и полного возмущения электрического поля в зондирующей волне σЕ/|Е|. Расчетные данные о видимой амплитуде возмущений сигнала рефлектометра от зондирующей частоты приведены на рис. 12.
Рис. 12.
Рассчитанная структура возмущений отраженной волны при наблюдении TAE рефлектометром со стороны сильного поля. 1 – случай баллонной моды, 2 – случай антибаллонной моды. а) – локальные возмущения диэлектрической проницаемости в точке отражения, б) – относительные возмущения амплитуды волны, в) – возмущения фазы отраженной волны, г) – полное возмущение отраженного сигнала.

Приведенные на рис. 12 данные относятся к установившемуся в результате численного расчета распределению поля отраженной волны и соответствуют случаю многократного отражения волны от области непрозрачности и внутрикамерных элементов установки (прежде всего первой стенки). Видно, что в целом отклик рефлектометрии характеризуется хорошей локальностью, и максимум возмущений отраженного сигнала соответствует области максимального возмущения TAE‑модами.
В случае баллонной моды отраженный сигнал представляет собой максимум сложной формы, со спадом в области высокочастотного крыла. Максимум возмущения поля отраженной волны соответствует максимуму возмущения диэлектрической проницаемости. Незначительное уширение области максимального отклика диагностики по сравнению с возмущением диэлектрической проницаемости связано с нелокальностью диагностики и плоским профилем электронной плотности в основном индуктивном сценарии работы ИТЭР. Максимальная амплитуда возмущений составляет около σE/|E| ~ 1–1.5 что находится на верхнем пределе линейного режима работы диагностики.
В случае антибаллонной моды распределение амплитуды возмущений отраженного сигнала рефлектометра существенно более сложное и на распределении амплитуды возмущения видны множественные минимумы и максимумы. Кроме того, максимальное видимое возмущение отраженного сигнала составляет около σE/|E | ~ 2. В распределении амплитуды возмущения по частотам зондирующего излучения видно насыщение (отсутствие пропорциональности между локальным возмещением диэлектрической проницаемости и возмущением амплитуды отраженного сигнала), в соответствии с предсказаниями теории [25]. Можно ожидать значительные сложности при интерпретации данных измерений для антибаллонных мод. Следует отметить, что как для баллонных, так и антибаллонных мод существенная доля полного возмущений сигнала связаны с возмущением амплитуды, что также указывает на существенно нелинейный характер отражения (так называемый случай “сильной турбулентности для рефлектометрии”).
Особенности синтетической диагностики рефлектометрии позволяют выделить сигнал, соответствующий первому отражению и провести анализ распределения возмущений для такого сигнала. Пример сравнения возмущений сигнала после первого отражения и установившегося сигнала после многократных отражений, приведено на рис. 13 для случая баллонной моды.
Рис. 13.
Сравнение полученного распределения амплитуды возмущений сигнала рефлектометра баллонной TAE в основном индуктивном сценарии ИТЭР после первого отражения и в установившемся режиме. 1 – возмущения сигнала рефлектометра после первого отражения, 2 – возмущение установившегося сигнала рефлектометра. а) – локальные возмущения диэлектрической проницаемости в точке отражения, б) – относительные возмущения амплитуды волны, в) – возмущения фазы отраженной волны, г) – полное возмущение отраженного сигнала.

Анализ структуры возмущений показывает, что наличие паразитных вторичных отражений от стенки вакуумной камеры приводит к заметному искажению радиального распределения возмущений сигнала (кривые 1 и 2 соответственно). Максимальная амплитуда возмущений при этом меняется не существенно (менее чем на 20%), однако могут наблюдаться существенные вариации возмущений фазы и полного возмущения сигнала. Следует отметить, что данный результат расчета не может рассматриваться в качестве строго количественного описания разницы сигналов, так как структура стоячих волн сильно зависит от деталей конкретной геометрии эксперимента, которую сложно отразить с достаточной достоверностью при моделировании. Тем не менее, указанное обстоятельство говорит о важности учета вторичных отражений при анализе экспериментальных данных рефлектометрии в ИТЭР.
Существенной особенностью, выявленной при анализе данных моделирования TAE, стал узкий диапазон частот зондирования, в котором виден отклик диагностики на возмущение в центральной части плазменного шнура (рис. 12). Видно, что для баллонного типа TAE возмущение имеет заметную амплитуду при наблюдении на частотах 42–43.5 ГГц, а для антибаллонного типа моды – в диапазоне частот от 42 до 44 ГГц. При этом в обоих случаях структура возмущений сильно изрезана, и для детального анализа требуется проведение наблюдений на большом количестве частот.
Согласно предложенному на стадии концептуального дизайна диагностики для наблюдения за возмущениями плотности планировалось использовать рефлектометр на фиксированной частоте с периодической перестройкой частоты излучения (так называемый hopping – “скачущий” – рефлектометр). Центральная команда ИТЭР рекомендовала использовать период измерений около 10 мс при длине окна не менее 1 мс. С учетом времен, требуемой на перестройку это приводит к возможности измерения параметров турбулентности в 5–8 рабочих точках по частотному диапазону. В анализируемом сценарии наблюдение будут проводиться в частотном диапазоне U (40–60 ГГц). Допустим, что проведение измерения предполагается в 6 точках частотного диапазона, а именно на частотах 40, 44, 48 ГГц и т.д. Таким образом, при использовании hopping рефлектометра возможна ситуация, когда точки наблюдения для всех частот зондирующего излучения лежат вдали от области существования TAE и с трудом могут регистрировать ее существование в плазме. Измерение радиальной структуры моды в данном случае невозможно.
Еще одной сложностью, выявленной в ходе работ, является неоднозначная интерпретация данных диагностики. На рис. 14 показана структура относительных возмущений полного магнитного поля, электронной плотности и диэлектрической проницаемости, вызванных ТАЕ модами, в области отражения сигнала рефлектометра.
Рис. 14.
Структура относительных возмущений магнитного поля, электронной плотности и электрической проницаемости плазмы в точке отражения сигнала HFS рефлектометра. 1 – баллонная мода, 2 – антибаллонная мода. а) – возмущения полного магнитного поля, б) – возмущения электронной плотности, в) – возмущения диэлектрической проницаемости.

Видно, что возмущения локализованы в узкой области плазменного шнура (менее 10% малого радиуса). Для моды баллонного типа (кривые 1 на рис. 14) амплитуды возмущений магнитного поля и электронной плотности на стороне сильного магнитного поля сопоставимы, что приводит к сравнимому вкладу возмущений в итоговое возмущение диэлектрической проницаемости для волны зондирующего излучения. Таким образом, для данного типа альфвеновских мод, прямое измерение относительных возмущений электронной плотности, зафиксированного в Описании диагностики [2], невозможно и потребует привлечения для интерпретации результатов измерений, как сложных моделей, так и интенсивного полноволнового моделирования. Для антибаллонной моды (кривые 2 на рис. 14) на стороне сильно магнитного поля возмущения электронной плотности доминируют над возмущениями магнитного поля, и будут вносить основной вклад в возмущения диэлектрической проницаемости. Следует еще раз отметить, что, согласно результатам моделирования, диагностика будет работать в нелинейном режиме, что существенно затруднит интерпретацию результатов измерений. При этом полученная при моделировании амплитуда возмущений плотности TAE в 2–6 раз превышает зафиксированную в документах ИТЭР (5 × 10−6–5 × 10−4) [26].
Интересной возможностью могло бы быть использование корреляционного анализа для анализа структуры TAE-мод. Совместное использование данных, полученных с помощью корреляционной рефлектометрии и данных магнитных зондов, диагностики мягкого рентгеновского излучения или излучения плазмы на второй гармонике электронного циклотронного резонанса позволили бы установить не только распределение амплитуды возмущения по малому радиусу, но и распределение фазы возмущения [27]. К сожалению, в настоящий момент подобная возможность не предполагается в архитектуре системы сбора данных диагностического комплекса И-ТЭР.
3.4.2. Расчет отклика канала рефрактометрии в экваториальном порту 08 на возмущения плазмы, вызванные собственными альфвеновскими модами. В рассматриваемом случае характерное время распространения волны из антенны в экваториальном порту 08 до приемной антенны на стороне сильного магнитного поля составляла около 35 нс. Это на порядок меньше, чем характерный масштаб времени эволюции возмущений, вызваныx TAE (более 600 нс). Расчет проводился для 51 точки на периоде возмущения TAE. В рамках подхода “синтетической диагностики”, полученные данные анализировались с использованием цифрового моделирования работы приемных миксеров и квадратурных детекторов с реалистичными значениями промежуточной частоты (50 МГц), частоты опроса и разрешения аналого-цифрового преобразователя Teledyne/SP Devices ADQ 414 (1 Г Выборка/с на канал, разрешение 14 бит/10 бит эффективно [28]).
Для каждого расчетного случая определялась фаза и амплитуда принятого сигнала рефлектометра. Расчеты были проведены для несущих частот зондирующего сигнала 40 и 55 ГГц для стационарного сценария ИТЭР с током 9 МА и частоты 55 ГГц для основного индуктивного сценария ИТЭР с током 15 МА. Проведенные оценки показали, что возмущение фазы, огибающей сигнала рефрактометра с амплитудной модуляцией, составляет менее 0.05° при типичной точности определения фазы квадратурным детектором около 0.1°. Малость возмущения делает сомнительной возможность наблюдения TAE на частоте модуляции из-за влияния широкополосных возмущений плазмы, а также шумов микроволнового источника и приемной аппаратуры. Поэтому было предложено рассмотреть схему с измерением возмущений, вызванных ТАЕ-модой на основной частоте зондирующего сигнала. Полученные данные для всех исследованных режимов сведены в табл. 1.
Таблица 1.
Амплитуда возмущений сигнала рефрактометра по результатам одномерных и двумерных расчетов в основном сценарии ИТЭР с током 15 МА и стационарном режиме ИТЭР с током 9 МА
| Сценарий | Мода | Частота | Амплитуда возмущений сигнала | |||||
|---|---|---|---|---|---|---|---|---|
| 1D | 2D | |||||||
| σφ | σφ | σА/A | σЕ/|Е| | |||||
| ГГц | град | 10−3 рад | град | 10−3 рад | 10−3 | 10−3 | ||
| Индуктивный 15 МА | Баллонная | 55 | 2.78 | 48.6 | 3.56 | 62.1 | 18.6 | 64.8 |
| Антибаллонная | 55 | 9.72 | 170 | 10.7 | 187 | 21.0 | 188 | |
| Стационарный 9 МА | RSAE | 55 | 25.4 | 444 | 29.3 | 511 | 180 | 542 |
| 40 | 56.3 | 983 | 63.3 | 1105 | 244 | 1131 | ||
Видно, что возмущение фазы волны составляет от 3 до 60 градусов. Максимальное относительное возмущение амплитуды волны составляет порядка 30% от возмущения фазы, что говорит об умеренном влиянии возмущений на форму волнового фронта. Это позволяет использовать в дальнейших расчетах упрощенные модели, основанные на приближении одномерной геометрической оптики.
Набег фазы φ при прохождении через возмущенную плазму в этом случае описывается уравнением
(8)
$\begin{gathered} \tilde {\varphi } = {{k}_{0}}\int {\sqrt {\tilde {\varepsilon }} {\kern 1pt} {\kern 1pt} dl} = {{k}_{0}}\int {\sqrt {\left( {\bar {\epsilon } + \delta \varepsilon } \right)} } {\kern 1pt} {\kern 1pt} dl = \\ \, = {{k}_{0}}\int {\sqrt {\bar {\epsilon }} {\kern 1pt} dl} + \frac{{{{k}_{0}}}}{2}\int {\frac{{\delta \varepsilon }}{{\sqrt {\bar {\epsilon }} }}} {\kern 1pt} {\kern 1pt} dl, \\ \end{gathered} $Типичные профили плотности плазмы, полного магнитного поля и диэлектрической проницаемости для необыкновенной волны показаны на рис. 15. Профили возмущений магнитного поля, электронной плотности и диэлектрической проницаемости, вызванных существованием в плазме ИТЭР антибаллонной TAE, показаны на рис. 16. Видно, что как возмущения плотности, так и магнитного поля имеют знакопеременный характер вдоль траектории распространения зондирующей волны. Это приводит к тому, что подынтегальный член в уравнении (8), соответствующий графику на рис. 16 в, также знакопеременный и при расчете интегрального набега фазы в существенной степени усредняется.
Рис. 15.
Профили полного магнитного поля (а), электронной плотности плазмы (б) и диэлектрической проницаемости для необыкновенной волны (в) в основном сценарии работы ИТЭР с током 15 МА при зондировании рефрактометром на частоте 55 ГГц.

Рис. 16.
Профили относительных возмущений полного магнитного поля (а), электронной плотности плазмы (б) и диэлектрической проницаемости для необыкновенной волны, нормированной на показатель преломления (в) для антибаллонной TAE в основном сценарии работы ИТЭР с током 15 МА при зондировании рефрактометром на частоте 55 ГГц.

Одномерный расчет набега фазы, выполненный для всех рассмотренных ранее случаев по формуле (8), приведен в табл. 1. Видно качественное согласие результатов расчетов в одномерном и двумерном приближении. Наблюдающееся расхождение связано с отсутствием в одномерных оценках по формуле (8) эффектов, связанных с многолучевой интерференцией из-за конечной ширины зондирующего пучка, рефракции, конечных размеров возмущений в плазме в полоидальном направлении и иных эффектов. Тем не менее, быстрота расчетов в одномерном приближении позволяет получить качественные данные об амплитуде возмущений сигнала рефрактометра, что важно при отработке алгоритмов обработке сигналов диагностики.
Полученные данные показывают, что регистрация рефрактометром возмущений, вызванных TAE-модами, при использовании схемы измерений, предложенной в [21], невозможна. Представляется целесообразным отказаться от супергетеродинной схемы с тройным гетеродинированием (на несущей частоте, промежуточной частоте и частоте модуляции) в пользу схемы с двойным гетеродинированием – на несущей частоте и промежуточной частоте с дальнейшей раздельной обработкой сигнала для получения данных о флуктуациях плазмы и средней величины групповой задержки.
4. ЗАКЛЮЧЕНИЕ
В работе приведены характеристики ТАЕ для основного сценария ИТЭР с током 15 МА и квазистационарного сценария с током 9 МА. С помощью кодов KINX и VENUS для каждого из режимов рассчитаны фиксированная структура характерных ТАЕ. Для найденных ТАЕ в основных сценариях работы ИТЭР проведена интерполяция возмущений плотности плазмы и возмущенного магнитного поля на декартову прямоугольную сетку R, Z. С помощью двумерного полноволнового кода TAMIC RτX проведено моделирование двух сценариев работы диагностики рефлектометрия ИТЭР – классического рефлектометра и рефрактометра, работающего в окне прозрачности плазмы на необыкновенной волне зондирующего излучения. Полученные данные обработаны с использованием подхода “синтетической диагностики”.
Для сценария использования классического рефлектометра показано, что смоделированная амплитуда возмущений TAE приводит к относительному возмущению полного сигнала рефлектометра на уровне σE/|E| ~ 1–2. Полученный уровень возмущений отраженного сигнала соответствует нелинейной области работы рефлектометра, что подтверждается существенным возмущением амплитуды отраженного сигнала. Возмущения плазмы сильно локализованы по радиусу, и отклик на сигнале рефлектометра наблюдается в узком диапазоне частот зондирования. Такая локализация может представлять проблему при использовании рефлектометров со ступенчатой перестройкой частоты из-за конечного (как правило, небольшого) выбора частот зондирующего излучения. Анализ структуры возмущений показал, что для некоторых возмущений (в частности, баллонной TAE) можно ожидать значительный вклад возмущений магнитного поля в возмущение сигнала рефлектометра. Это делает нетривиальной интерпретацию результатов измерений диагностики. Совместное использование данных, полученных с помощью рефлектометрии, и данных других диагностик, и применение корреляционного анализа позволило бы расширить возможности диагностического комплекса ИТЭР как инструмента для изучения TAE.
Для сценария использования диагностики как рефрактометра показано, что возмущение фазы сигнала на основной волне зондирующего излучения составляет порядка 3–60 градусов. Результаты качественно подтверждаются расчетами в рамках одномерной геометрической оптики. Малый набег связан как с малой амплитудой возмущений, так и с знакопеременностью возмущений вдоль луча наблюдения. При этом применение предложенной ранее схемы измерений с измерением задержки в распространении сигнала через плазму на частоте амплитудной модуляции не позволяет проводить наблюдения TAE. Представляется целесообразным доработка структуры диагностики для возможности наблюдения ТАЕ в режиме рефрактометра.
Настоящая работа выполнена по договору № 17706413348210001850/47-21/01 от 01.07.2021 между ЧУ “ИТЭР-Центр” и НИЦ “Курчатовский институт” в рамках государственного контракта № н.4а.241.19.20.1042 от 21.04.2020 с Госкорпорацией “Росатом”. Работа была выполнена с использованием оборудования центра коллективного пользования “Комплекс моделирования и обработки данных исследовательских установок мегакласса” НИЦ “Курчатовский институт”, http://ckp.nrcki.ru.
Список литературы
Fasoli A., Gormenzano C., Berk H.L., Breizman B., Briguglio S., Darrow D.S., Gorelenkov N., Heidbrink W.W., Jaun A., Konovalov S.V., Nazikian R., Noterdaeme J.-M., Sharapov S., Shinohara K., Testa D., Tobita K., Todo Y., Vlad G., Zonca F. // Nucl. Fusion. 2007. V. 47. № 6. S264.
Вершков В.А., Солдатов С.В., Шелухин Д.А., Уразбаев А.О. // ПТЭ. 2004. № 2. C. 54.
Lechte C., Conway G.D., Görler T., Tröster-Schmid C. and the ASDEX Upgrade Team // Plasma Phys. Control. Fusion. V. 59. 075006
da Graca S., Conway G.D., Lauber P., Curran D., Igochine V., Classen I., Garcia-Munoz M., Stober J., Van Zeeland M.A., Manso M.E. // Plasma Phys. Contr. Fusion. 2012. V. 54. 095014.
Hacquin S., Alper B., Sharapov S., Borba D., Boswell C., Fessey J., Menesis L., Walsh M. // Nucl. Fusion. 2006. V. 46. 714.
Heidbrink W.W. // Physics of Plasmas. 2008. V. 15. 055501.
Gorelenkov N.N., Van Zeeland M.A., Berk H.L., Cro-ker N.A., Darrow D., Fredrickson E., Fu G.Y., Heid-brink W.W., Menard J., Nazikyan R. // Physics of Plasmas. 2009. V. 16. 056107.
Borba D., Conway G.D., Günter S., Huysmans G.T.A., Klose S., Maraschek M., Mück A., Nunes I., Pinches S.D., Serra F. // Plasma Phys. Control. Fusion. 2004. V. 46. P. 809.
Crocker N.A., Peebles W.A., Kubota S., Fredrickson E.D., Kaye S.M., LeBlanc B.P., Menard J.E. // Phys. Rev. Lett. 2006. V. 97. 045002.
Koenies A., Briguglio S., Gorelenkov N., Feher T., Isaev M., Lauber Ph., Mishchenko A., Spong D.A., Todo Y., Coo-per W.A., Hatzky R., Kleiber R., Borchardt M., Vlad G., Biancalani A., Bottino A. and ITPA EP TG. // Nucl. Fusion. 2018. V. 58. 126027.
Isaev M.Y., Leonov V.M., Medvedev S.Y. // Fusion Science and Technology. 2019. V. 75. 218.
Polevoi A.R., Medvedev S.Yu., Mukhovatov V.S., Kukushkin A.S., Murakami Y., Shimada M., Ivanov A.A. // J. Plasma Fusion Res. SERIES. 2002. V. 5. P. 82.
Исаев М.Ю., Медведев С.Ю., Купер Э.А. // Физика плазмы. 2017. Т. 43. № 2. С. 1–11.
Betti R., Freidberg J. // Phys. Fluids B. 1992. V. 4. P. 1465.
Пустовитов В.Д., Шафранов В.Д. // Вопросы теории плазмы. Под редакцией Б.Б. Кадомцева. Вып. 15. М. Энергоатомиздат, 1987. С. 146.
Sharapov S.E., Alper B., Fessey J., Hawkes N.C., Young N.P., Nazilian R., Kramer G.J., Borba D.N., Hacquin S., De La Luna E., Pinches S.D., Rapp J., Testa D., and JET-EFDA // Contributors. 2004. V. 93. № 16. P. 165001-1.
Isaev M.Yu., Aleynikov P.B., Konovalov S.V., Medve-dev S.Yu. // 25th IAEA Fusion Energy Conference (FEC-2014), St. Petersburg, Russia, 13–18 October, 2014, TH/P3-39. http://www-naweb.iaea.org/napc/physics/FEC/FEC2014/fec2014-preprints/312_THP339.pdf
Van Zeeland M.A., Gorelenkov N.N., Heidbrink W.W., Kramer G.J., Spong D.A., Austin M.E., Fisher R.K., Garcia Munoz M., Gorelenkova M., Luhmann N., Muraka-mi M., Nazikian R., Pace D.C., Park J.M., Tobias B.J., White R.B. // Nucl. Fusion 52(2012)094023.
Heald M.A., Wharton C.B. // Plasma diagnostics with microwaves., New York–London–Sydney, John Wiley & Sons Inc., 1998.
Vershkov V., Manso M., Vayakis G., Sanchez A.J., Wagner D., Walker C., Soldatov S., Kuznetsova L., Zhurav-lev V., Sestroretskii B., ITER Joint Central Team and Russian and EU Home Teams // Diagnostics for Thermonuclear Fusion Reactors 2. New York, Plenum Press, 1998. P. 107.
Krasilnikov A.V., Kaschuck Y.A., Vershkov V.A., Pet-rov A.A., Petrov V.G., Tugarinov S.N. // International Conference on Fusion Reactor Diagnostics, Varenna, Italy September 9–13, 2013.
Delaunay B. // Bulletin de l’Académie des Sciences de l’URSS, Classe des Sciences Mathématiques et Naturelles. 1934. № 6. P. 793–800. https://www.mathworks.com/help/matlab/ref/griddata.html
Schneller M., Lauber Ph., Briguglio S. // Plasma Phys. Control. Fusion. 2016. V. 58. P. 014019.
Климов К., Годин А., Перфильев В. Схемы элементарного объема пространства в подмагниченной плазме. Точность + скорость = TAMIC. М.: LA-MBERT Academic Publishing, 2012.
Mazzucato E., Nazikian R. // Rev. Sci. Intrum. 1995. V. 66. № 2. P. 1237.
ITER Project Requirements (PR) // ITER Organization, 2021. P. 1–159.
Soldatov S.V., Bagdasarov A.A., Chistiakov V.V., Dnestrovskii Yu.N., Ivanov N.V., Kakurin A.M., Martynov D.A., Piterskii V.V., Pozniak V.I., Vershkov V.A., Tsaun S.V., Yakovets A.N., Volkov V.V. // Proc. of 24th EPS Conference on Contr. Fus. and Plasma Phys. Berchtesgarden, Germany. 1997. V. 21A. Pt 2. P. 673
Teledyne / SP Devices ADQ 414 Datasheet. 2020, P. 1–32. https://www.spdevices.com/documents/datasheets/19-adq14-datasheet/file
Дополнительные материалы отсутствуют.


