Физика плазмы, 2023, T. 49, № 9, стр. 918-923
Влияние флуктуаций в комплексной плазме на динамику заряженных пылевых частиц
a Объединенный институт высоких температур РАН
Москва, Россия
* E-mail: olga.vaulina@bk.ru
Поступила в редакцию 10.05.2023
После доработки 07.06.2023
Принята к публикации 08.06.2023
- EDN: VCSAEZ
- DOI: 10.31857/S0367292123600620
Аннотация
Исследуется влияние случайных сил, вызванных флуктуациями в комплексной плазме, на динамику заряженных пылевых частиц. Получены аналитические соотношения для их кинетической энергии, автокорреляционных функции скоростей, функций массопереноса и среднеквадратичных смещений для случая движения частицы под воздействием двух случайных сил. Предложен способ для учета более двух случайных сил различной природы. Обсуждается возможность моделирования движения пылевых частиц в комплексной плазме уравнениями Ланжевена с температурой не равной температуре окружающего газа.
1. ВВЕДЕНИЕ
Пылевая (комплексная) плазма представляет собой частично ионизованный газ, содержащий заряженные частицы вещества микронных размеров (пыль). Такая плазма широко распространена в природе и образуется в ряде технологических процессов [1–3]. Для моделирования динамики частиц в комплексной плазме широко используют методы, основанные на решении уравнений Ланжевена для пылевых частиц с некоторой эффективной температурой Тeff выше, чем температура T окружающего их нейтрального газа. (Уравнения Ланжевена принимают во внимание необратимость исследуемых процессов, позволяют учитывать влияние различных случайных возмущений и трение частиц за счет толчков атомов/молекул окружающего нейтрального газа.) Однако корректность такого подхода нуждается в дополнительных исследованиях совместного действия броуновской силы и других случайных сил разной природы, присутствующих в комплексной плазме. Наличие таких сил вызывает вопросы о применимости численных исследований физических свойств комплексной плазмы (процессов диффузии, перераспределения стохастической кинетической энергии, коэффициентов переноса, фазовых превращений и т.д. [1–6]) для анализа ее пылевой компоненты.
Большинство лабораторных исследований пылевой плазмы проводится в газовых разрядах различных типов [7–11]. Благодаря распределению концентрации ионов и электронов в центре газоразрядных камер формируются эффективные ловушки для отрицательно заряженных частиц пыли [1–3]. Стохастическая энергия пылевых частиц (их “кинетическая температура”, Тeff) в таких условиях может достигать ~0.5–5 эВ, что значительно выше температуры T окружающего их газа, при этом распределение их скоростей соответствует функциям Максвелла с температурой Тeff. Механизмы такого “аномального разогрева” пылевых частиц обычно связывают с временными и/или пространственными изменениями их зарядов в объеме неоднородной плазмы [12–17].
Флуктуации зарядов пылевых частиц, вызванные случайной природой ионных и электронных токов, заряжающих эти частицы, присущи любым типам плазмы [14]. В условиях лабораторной газоразрядной плазмы дополнительная стохастическая энергия, ΔТ, для отдельной свободной пылевой частицы (без учета ловушки), связанная с этими флуктуациями может быть записана в виде [14–17]
(1)
$\Delta Т = \frac{{{{{(\delta QE)}}^{2}}}}{{M{{{v}}_{{{\text{fr}}}}}({{{v}}_{{{\text{fr}}}}} + \omega )}},$2. РЕЗУЛЬТАТЫ И ИХ ОБСУЖДЕНИЕ
2.1. Основные соотношения
В настоящей работе исследуется влияние случайных сил, вызванных флуктуациями в комплексной плазме, на динамику заряженных пылевых частиц.
Рассмотрим движение частицы в однородной среде под воздействием двух независимых случайных сил различной природы: силы R, вызванной, например, флуктуациями окружающей плазмы; и силы Ланжевена, Fb, которая является источником ее стохастического (теплового) движения с температурой T, например, броуновской силы за счет случайных толчков молекул/атомов окружающей среды. Скорость $V \equiv {{V}_{x}}(t) = dx(t){\text{/}}dt$ и смещение такой частицы x на одну степень свободы в однородной среде для ловушки с характерной частотой ω0 = (Qβ/M)1/2, где β – величина градиента внешнего линейного электрического поля Еx, можно найти из уравнения Ланжевена [1, 15, 16]:
Отметим, что именно возникновение случайной силы (R) вследствие флуктуаций, δQ, заряда частиц является источником дополнительной стохастической энергии (1). Этот механизм подробно описан в работах [1, 15, 16].
Подчеркнем, что в случае ω0= 0 уравнение (2) описывает движение “свободной” частицы. В условиях локального термодинамического равновесия среднее значение $\left\langle {R{{F}_{b}}} \right\rangle = 0$.
Автокорреляционная функция броуновской силы $\left\langle {{{F}_{b}}\left( 0 \right)~{{F}_{b}}\left( t \right)} \right\rangle $ = $2T~М{{{v}}_{{{\text{fr}}}}}\delta \left( t \right)$ , где δ(t) – дельта-функция, описывает дельта-коррелированный гауссов процесс. Для моделирования таких стохастических процессов могут быть использованы случайные приращения силы, ΔFb, за время Δt, которые согласно флуктуационно-диссипативной теореме можно представить в виде: ΔFb = = ($2TМ{{{v}}_{{{\text{fr}}}}}{\text{/}}Dt$)1/2ξ. Здесь и далее ξ – некоторая случайная величина, распределенная по нормальному закону со среднеквадратичным отклонением равным 1, а Δt – шаг интегрирования уравнений движения по времени [1–3].
Пусть сила R подчиняется уравнению [19, 20]
где ϑ – случайная величина ($\left\langle \vartheta \right\rangle = ~0$), автокорреляционная функция которой, $\left\langle {\vartheta (0)\vartheta (t)} \right\rangle $ = $2\langle {{R}^{2}}\rangle \omega \delta (t)$, описывает дельта-коррелированный гауссов процесс, а ω – характерная частота этого процесса. Таким образом, случайные приращения силы R можно представить в виде $\Delta R$ = ${{(2\langle {{R}^{2}}\rangle \omega \Delta t)}^{{1/2}}}\zeta $, где $\langle {{R}^{2}}\rangle $ – средний квадрат силы R. Так, например, для частицы с флуктуирующим зарядом за счет потоков ионов и электронов, заряжающих частицу, ω – частота зарядки, а $\langle {{R}^{2}}\rangle = {{\left\langle {\delta QE} \right\rangle }^{2}} \approx {{\alpha }^{2}}eQ{{E}^{2}}$, см. (1).Эффективную температуру частиц можно представить в виде Teff = T + ΔТ ≡ T + МδV 2, где δV 2 – приращение их среднего квадрата скорости за счет случайных флуктуаций силы R. Величину δV 2 можно получить путем решения системы уравнений (2), (3) при Fb = 0. В обоих случаях (ω0 = 0 и ω0 ≠ 0) эти уравнения дают
(4)
$\delta {{V}^{2}} = \frac{{\langle {{R}^{2}}\rangle }}{{{{M}^{2}}{{{v}}_{{{\text{fr}}}}}({{{v}}_{{{\text{fr}}}}} + \omega + \omega _{0}^{2}{\text{/}}\omega )}}.$Данная формула соответствует известному соотношению (1) для приращения энергии в случае флуктуаций заряда пыли, где ΔТ = MδV 2.
Численное моделирование задачи с двумя случайными силами, см. (2), (3), в ее трехмерной постановке и при ω0= 0 и при ω0 ≠ 0 для типичных условий экспериментов в плазме газовых разрядов (ΔТ/T ~ 30–300), и $\omega {\text{/}}{{{v}}_{{{\text{fr}}}}}$ ~ 1–104 ) показало, что во всех рассмотренных случаях распределение скоростей частиц соответствует функции Максвелла с температурой Teff = T + ΔТ ≅ ΔТ, где ΔТ ≡ МδV 2.
2.2. Свободная частица и частица в ловушке
Уравнения (2), (3) можно переписать в виде
(5)
$\begin{gathered} \frac{{{{d}^{2}}V}}{{d{{t}^{2}}}} + ({{{v}}_{{{\text{fr}}}}} + \omega )\frac{{dV}}{{dt}} + (\omega _{0}^{2} + {{{v}}_{{{\text{fr}}}}}\omega )V + \\ \, + \omega \omega _{0}^{2}х + f(\Delta {{F}_{b}},\Delta R) = 0. \\ \end{gathered} $Откуда можно найти средний квадрат отклонений частицы $\langle {{x}^{2}}(t)\rangle $ и автокорреляционную функцию ее скоростей $\left\langle {V(0)V(t)} \right\rangle $, используя соответствующие начальные условия и величину $\langle {{V}^{2}}\rangle $.
(6)
$\left\langle {V(0)V(t)} \right\rangle = \frac{1}{2}\frac{{{{d}^{2}}\langle {{x}^{2}}(t)\rangle }}{{d{{t}^{2}}}}.$Учитывая корреляционные соотношения ($\left\langle {R{{F}_{b}}} \right\rangle = 0$, $\left\langle {x(t){{F}_{b}}} \right\rangle = 0$, $\left\langle {x(t)R} \right\rangle = 0$), решения уравнения (4) являются независимыми как для функций $\langle {{x}^{2}}(t)\rangle $, так и для $\left\langle {V(0)V(t)} \right\rangle $, отвечающих за различные случайные процессы: ${{\langle {{x}^{2}}(t)\rangle }_{T}}$ и ${{\left\langle {V(0)V(t)} \right\rangle }_{T}}$ (при R = 0, $\langle {{V}^{2}}\rangle = 2T{\text{/}}M$, ω = 0); ${{\langle {{x}^{2}}(t)\rangle }_{R}}$ и ${{\left\langle {V(0)V(t)} \right\rangle }_{R}}$ (при Fb = 0, $\langle {{V}^{2}}\rangle = \delta {{V}^{2}}$). Таким образом, $\langle {{x}^{2}}(t)\rangle $ = ${{\langle {{x}^{2}}(t)\rangle }_{T}} + {{\langle {{x}^{2}}(t)\rangle }_{R}}$, а $\left\langle {V(0)V(t)} \right\rangle $ = = ${{\left\langle {V(0)V(t)} \right\rangle }_{T}}$ + ${{\left\langle {V(0)V(t)} \right\rangle }_{R}}$.
Таким образом, для свободной частицы (ω0= 0) из уравнения (5) получим
(7)
${{\left\langle {{{x}^{2}}(t)} \right\rangle }_{T}} = 2t{{D}_{T}}\left( {1 + \frac{{\exp (--{{{v}}_{{{\text{fr}}}}}t){\text{ }}--1}}{{{{{v}}_{{{\text{fr}}}}}t}}} \right),$(8)
$\begin{gathered} {{\left\langle {{{x}^{2}}(t)} \right\rangle }_{R}} = 2t\frac{{{{D}_{R}}}}{{{{\omega }^{2}}--{v}_{{{\text{fr}}}}^{2}}}\left[ {{{\omega }^{2}}\left( {1 + \frac{{\exp (--{{{v}}_{{{\text{fr}}}}}t){\text{ }}--1}}{{{{{v}}_{{{\text{fr}}}}}{{t}_{{_{{_{{_{{_{{}}}}}}}}}}}}}} \right)--} \right. \\ \left. {\mathop {\, - {v}_{{{\text{fr}}}}^{2}\left( {1 + \frac{{\exp (--\omega t){\text{ }}--1}}{{\omega t}}} \right)}\limits_{} } \right]. \\ \end{gathered} $Здесь DT = T/(Mνfr) и DR = δV2/νef – значения функций ${{D}_{T}}(t)$ = ${{\langle {{x}^{2}}(t)\rangle }_{T}}{\text{/}}2t$ и ${{D}_{R}}(t)$ = ${{\langle {{x}^{2}}(t)\rangle }_{R}}{\text{/}}2t$ при t → ∞, где νef = νfrω/(νfr + ω). Откуда коэффициент диффузии рассматриваемой системы для любых отношений ω/νfr
(9)
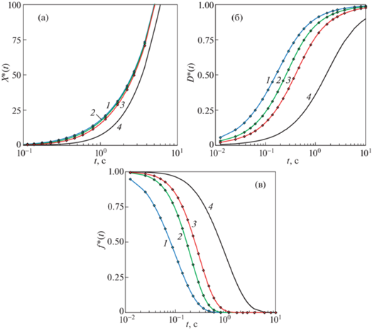
$D{\text{ }} = {\text{ }}{{D}_{T}} + {\text{ }}{{D}_{R}} \equiv \frac{T}{{M{{\nu }_{{{\text{fr}}}}}}} + \frac{{\delta {{V}^{2}}}}{{{{\nu }_{{{\text{ef}}}}}}}.$Отметим, что для анализа зависимости $\langle {{x}^{2}}(t)\rangle $ от времени t, удобно использовать функцию массопереноса в виде $D(t) = \langle {{x}^{2}}(t)\rangle {\text{/}}2t$ [6, 20]. Нормированные значения ${{\langle {{x}^{2}}(t)\rangle }_{R}}$ (8) и ${{D}_{R}}(t) = {{\langle {{x}^{2}}(t)\rangle }_{R}}{\text{/}}2t$ для свободной частицы (ω0= 0) при νfr = 10 с–1 и различных значениях ω/νfr представлены на рис. 1а и б совместно с результатами численного моделирования при ΔТ/T ≥ 30–300, когда $\langle {{x}^{2}}(t)\rangle \cong {{\langle {{x}^{2}}(t)\rangle }_{R}}$, а D(t) ≅ DR(t). Легко увидеть, что данные о поведении функции D(t) позволяют получить более точную информацию об исследуемой системе, чем анализ $\langle {{x}^{2}}(t)\rangle $; см. также рис. 2а, б.
Рис. 1.
Нормированные функции $X{\kern 1pt} *(t)$ = ${{\nu }_{{{\text{fr}}}}}{{\langle {{x}^{2}}(t)\rangle }_{R}}$/${{D}_{R}}$ (a), $D{\kern 1pt} *(t)$ = ${{\langle {{x}^{2}}(t)\rangle }_{R}}$/$(2t{{D}_{R}})$ (б) и $f{\kern 1pt} *(t)$ = ${{\left\langle {V(0)V(t)} \right\rangle }_{R}}$/$\delta {{V}^{2}}$ (в) для свободной частицы при νfr = 10 с–1 и ω/νfr: 1 – 10; 2 – 1; 3 – 0.5; 4 – 0.1. Линии – аналитические соотношения, символы – результаты моделирования.

Рис. 2.
Нормированные функции $X{\kern 1pt} *(t)$ = $\omega _{c}^{2}{{\langle {{x}^{2}}(t)\rangle }_{R}}$/$(2\delta {{V}^{2}})$ (a), $D{\kern 1pt} *(t)$ = $X{\kern 1pt} *(t)$/$(2t{{\nu }_{{{\text{fr}}}}})$ (б) и $f{\kern 1pt} *(t)$ = ${{\left\langle {V(0)V(t)} \right\rangle }_{R}}$/$\delta {{V}^{2}}$ (в) для частицы в ловушке при νfr = 10 с–1 и ω/νfr: 1 – 10; 2 – 1; 3 – 0.5; 4 – 0.1. Линии – аналитические соотношения, символы – результаты моделирования.

Для автокорреляционной функции скоростей $\left\langle {V(0)V(t)} \right\rangle $ имеем
(10)
${{\left\langle {V(0)V(t)} \right\rangle }_{T}} = {{\langle {{V}^{2}}(0)\rangle }_{T}}\exp \left( { - {{\nu }_{{{\text{fr}}}}}t} \right)$(11)
$\begin{gathered} {{\left\langle {V(0)V(t)} \right\rangle }_{R}} = \\ = \frac{{{{{\langle {{V}^{2}}(0)\rangle }}_{R}}}}{{\omega - {{\nu }_{{{\text{fr}}}}}}}[\omega \exp ( - {{\nu }_{{{\text{fr}}}}}t) - {{\nu }_{{{\text{fr}}}}}\exp ( - \omega t)]. \\ \end{gathered} $Здесь ${{\langle V{{(0)}^{2}}\rangle }_{T}} = T{\text{/}}M$, ${{\langle V{{(0)}^{2}}\rangle }_{R}} = \delta {{V}^{2}}$.
При $\omega {\text{/}}{{\nu }_{{{\text{fr}}}}} \gg 1$ (что соответствует, например, отдельным случаям флуктуаций заряда частицы в газоразрядной плазме)
(12)
$\langle {{x}^{2}}\left( t \right)\rangle = \frac{{2t(T + M\delta {{V}^{2}})}}{{M{{\nu }_{{{\text{fr}}}}}}}\left( {1 + \frac{{\exp (--{{\nu }_{{{\text{fr}}}}}t){\text{ }}--1}}{{{{\nu }_{{{\text{fr}}}}}t}}} \right),$(13)
$\left\langle {V(0)V(t)} \right\rangle = (T + M\delta {{V}^{2}})\exp (--{{\nu }_{{{\text{fr}}}}}t){\text{/}}M.$Таким образом, моделирования движения частиц в плазме уравнениями Ланжевена с температурой больше температуры окружающего газа (Teff ≡ T + + ΔТ, где ΔТ ≡ МδV 2) будет корректным, что нельзя сказать о случаях ω < νfr или ω ~ νfr.
Нормированные значения ${{\left\langle {V(0)V(t)} \right\rangle }_{R}}$ (11) для свободной частицы при νfr = 10 с–1 и разных ω/νfr представлены на рис. 1в совместно с результатами численного моделирования при ΔТ/T ≥ 30–300, когда $\left\langle {V(0)V(t)} \right\rangle \cong {{\left\langle {V(0)V(t)} \right\rangle }_{R}}$.
Для частицы в гармонической ловушке с характерной частотой ω0≠ 0 (при 2ω0 < νfr) можно найти
(14)
$\begin{gathered} {{\langle {{x}^{2}}(t)\rangle }_{T}} = \\ \, = \frac{{2T}}{{M{{\omega }_{o}}^{2}}}\left[ {1 - {{e}^{{ - {{\nu }_{{{\text{fr}}}}}t/2}}}\left( {\operatorname{ch} ({{\nu }_{{{\text{fr}}}}}t\psi ) + \frac{{\operatorname{sh} ({{\nu }_{{{\text{fr}}}}}t\psi )}}{{2\psi }}} \right)} \right], \\ \end{gathered} $(15)
$\begin{gathered} {{\left\langle {{{x}^{2}}(t)} \right\rangle }_{R}} = \frac{{2{{\delta }}{{V}^{2}}}}{{{{\omega }_{{\text{с}}}}^{2}}}\left\{ {1 - \frac{1}{b}\left[ {\mathop {(\omega _{0}^{2} - \omega _{c}^{2}){{e}^{{ - \omega t}}} + }\limits_{_{{_{{_{{_{{}}}}}}}}} } \right.} \right.\, \\ + \left( {\mathop {{{e}^{{ - {{\nu }_{{{\text{fr}}}}}t/2}}}\left( {{\text{ch}}({{\nu }_{{{\text{fr}}}}}t\psi )\{ \omega _{c}^{2} + \omega (\omega - {{\nu }_{{{\text{fr}}}}})\} } \right)}\limits_{} } \right. + \\ \, + \frac{{\operatorname{sh} ({{\nu }_{{{\text{fr}}}}}t\psi )}}{{\nu {}_{{{\text{fr}}}}\psi }}\left[ {\omega _{0}^{2}\left( {\frac{{{{\nu }_{{{\text{fr}}}}}}}{2} - \omega } \right)} \right. + \\ \,\left. {\left. {\left. { + \left. {\omega \frac{{{{\nu }_{{{\text{fr}}}}}}}{2}\left( {\omega + \frac{{2{{\omega }_{0}}^{2}}}{{{{\nu }_{{{\text{fr}}}}}}} - {{\nu }_{{{\text{fr}}}}}} \right)} \right]} \right)} \right]} \right\}, \\ \end{gathered} $(16)
$\begin{gathered} {{\left\langle {V(0)V(t)} \right\rangle }_{T}} = \\ = \frac{T}{M}\left[ {1 - {{e}^{{ - {{\nu }_{{{\text{fr}}}}}t/2}}}\left( {\operatorname{ch} ({{\nu }_{{{\text{fr}}}}}t\psi ) - \frac{{\operatorname{sh} ({{\nu }_{{{\text{fr}}}}}t\psi )}}{{2\psi }}} \right)} \right], \\ \end{gathered} $(17)
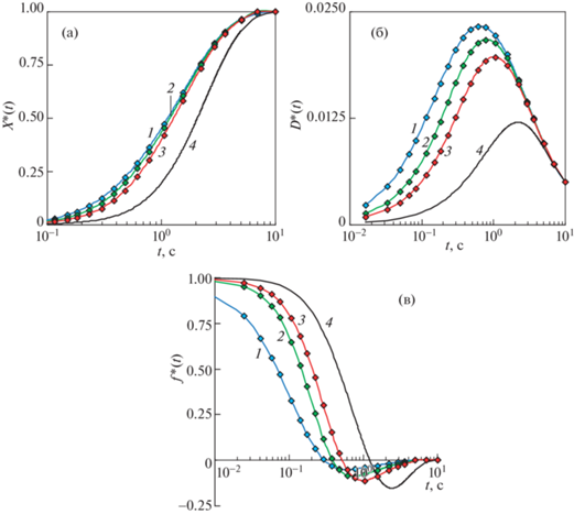
${{\left\langle {V(0)V(t)} \right\rangle }_{R}} = \frac{1}{2}\frac{{{{d}^{2}}\langle {{x}^{2}}(t)\rangle _{R}^{{}}}}{{d{{t}^{2}}}},$Нормированные значения ${{\langle {{x}^{2}}(t)\rangle }_{R}}$ (15), ${{D}_{R}}(t) = {{\langle {{x}^{2}}(t)\rangle }_{R}}{\text{/}}2t$ и ${{\left\langle {V(0)V(t)} \right\rangle }_{R}}$ (17) для частицы в ловушке (ω0≠ 0) при νfr = 10 с–1, ω0 = 2.5 с–1 и различных значениях ω/νfr представлены на рис. 2а–в соответственно. Аналитические кривые представлены совместно с результатами численного моделирования при ΔТ/T ≥ 30–300, когда $\langle {{x}^{2}}(t)\rangle $ ≅ ≅ ${{\langle {{x}^{2}}(t)\rangle }_{R}}$, D(t) ≅ DR(t), а $\left\langle {V(0)V(t)} \right\rangle $ ≅ ${{\left\langle {V(0)V(t)} \right\rangle }_{R}}$.
Подобно случаю свободной частицы (12), (13) при ω/νfr$ \gg $ 1
(18)
$\begin{gathered} \langle {{x}^{2}}(t)\rangle = \\ = \frac{{2{{T}_{{{\text{eff}}}}}}}{{M{{\omega }_{o}}^{2}}}\left[ {1 - {{e}^{{ - {{\nu }_{{{\text{fr}}}}}t/2}}}\left( {\operatorname{ch} ({{\nu }_{{{\text{fr}}}}}t\psi ) + \frac{{\operatorname{sh} ({{\nu }_{{{\text{fr}}}}}t\psi )}}{{2\psi }}} \right)} \right], \\ \end{gathered} $(19)
$\begin{gathered} \left\langle {V(0)V(t)} \right\rangle = \\ = \frac{{{{T}_{{{\text{eff}}}}}}}{M}\left[ {1 - {{e}^{{ - {{\nu }_{{{\text{fr}}}}}t/2}}}\left( {\operatorname{ch} ({{\nu }_{{{\text{fr}}}}}t\psi ) - \frac{{\operatorname{sh} ({{\nu }_{{{\text{fr}}}}}t\psi )}}{{2\psi }}} \right)} \right]. \\ \end{gathered} $2.3. Движение частиц при наличии двух или более случайных сил
Таким образом, моделирования динамики частиц в плазме уравнениями Ланжевена, используя одну случайную силу с температурой больше температуры окружающего газа Teff > T, будет корректным и в случае частиц в ловушке при $\omega {\text{/}}{{\nu }_{{{\text{fr}}}}} \gg 1$. Однако даже при $\omega {\text{/}}{{\nu }_{{{\text{fr}}}}} \gg 1$ выяснить природу дополнительной случайной силы (или сил) R при лабораторном анализе смещений $\langle {{x}^{2}}(t)\rangle $ частиц или их автокорреляционных функций $\left\langle {V(0)V(t)} \right\rangle $ является практически не возможным.
Предлагаемые здесь аналитические соотношения (5)–(19) имеют место для всех случайных сил, которые описываются уравнениям (2), (3), например, для частиц со случайными пространственными изменениями зарядов [13], или для случая активных частиц [21–23].
Задача при наличии более двух случайных сил для сводной частицы и частицы в гармонической ловушке (ω0 = 0 и ω0 ≠ 0) решается аналогично, используя систему уравнений для I = N сил Ri
3. ЗАКЛЮЧЕНИЕ
Исследуется влияние случайных сил, вызванных флуктуациями в комплексной плазме, на динамику заряженных пылевых частиц. Получены аналитические соотношения для их кинетической энергии, автокорреляционных функции скоростей, функций массопереноса и среднеквадратичных смещений. Предлагаемые аналитические соотношения проверены путем численного моделирования и справедливы для всех случайных сил, заданных уравнениям (2), (3).
Рассмотрена возможность моделирования движения пылевых частиц в комплексной плазме уравнениями Ланжевена с температурой не равной температуре окружающего газа. Показано, что определить природу случайной силы по анализу движения пылевых частиц практически невозможно.
Подробно рассмотрен случай движения частиц под воздействием двух случайных сил, первая из которых броуновская сила, а природа второй связана с флуктуациями зарядов пылевых частиц в плазме. Предложена система уравнений для учета более двух случайных сил разной природы.
Данная работа будет полезной в исследованиях физических свойств комплексной плазмы, как с практической, так и с фундаментальной точки зрения.
Исследование выполнено за счет гранта Российского научного фонда № 22-22-00899, https://rscf.ru/project/22-22-00899/.
Список литературы
Ваулина О.С., Петров О.Ф., Фортов В.Е., Хра-пак А.Г., Храпак С.А. Пылевая плазма (эксперимент и теория). М.: Физматлит, 2009.
Complex and Dusty Plasmas / Eds. V.E. Fortov, G.E. Morfill. CRC Press, 2010.
Ivlev A., Morfill G., Lowen H., Royall C.P. Complex Plasmas and Colloidal Dispersions: Particle-Resolved Studies of Classical Liquids and Solids. Singapore: World Scientific, 2012.
Vaulina O.S., Vladimirov S.V., Petrov O.F., Fortov V.E. // Phys. Plasmas. 2004. V. 11. P. 3234.
Vaulina O.S., Drangevski I.E. // Physica Scripta. 2006. V. T73. P. 577.
Vaulina O.S., Adamovich X.G., Petrov O.F., Fortov V.E. // Phys. Rev. E. 2008. V. 77. P. 066403.
Fortov V.E., Nefedov E.A., Sinel’shchikov V.A., Usa-chev A.D., Zobnin A.V. // Phys. Lett. A. 2000. V. 267. P. 179.
Hebner G.A., Riley M.E., Greenberg K.E. // Phys. Rev. E. 2002. V. 66. P. 046407.
Thomas H., Morfill G., Demmel V. // Phys. Rev. Lett. 1994. V. 73. P. 652.
Pieper J.B., Goree J., Quinn R.A. // Phys. Rev. E 1996. V. 54. P. 5636.
Melzer A., Homann A., Piel A. // Phys. Rev. E. 1996. V. 53. P. 2757.
Vaulina O.S. // JETP. 2016. V. 122. P. 193.
Vaulina O.S. // Plasma Physics Reports. 2017. V. 43. P. 354.
Khrapak S.A., Nefedov A.P., Petrov O.F., Vaulina O.S. // Phys. Rev. E. 1999. V. 59. P. 6017.
Vaulina O.S., Khrapak S.A., Petrov O.F., Nefedov A.P. // Phys. Rev. E. 1999. V. 60. P. 5959.
Quinn R.A., Goree J. // Phys. Rev. E. 2000. V. 61. P. 3033.
Vaulina O.S., Khrapak S.A., Samarian A., Petrov O.F. // Physica Scripta. 2000. V. T84. P. 292.
Lifshitz E.M., Pitaevskii L.P. Physical Kinetics. Oxford: Pergamon Press, 1981.
Ovchinnikov A.A., Timashev S.F., Belyy A.A. Kinetics of Diffusion Controlled Chemical Processes. New York: Nova Science Publishers, Commack, 1989.
Uhlenbeck G.E., Ornstein L.S. // Phys. Rev. 1930. V. 36. P. 823.
Nguyen G.H.P., Wittmann R., Lowen H. // J. Phys.: Condens. Matter. 2022. V. 34. P. 035101.
Lisin E.A., Vaulina O.S., Lisina I.I., Petrov O.F. // Phys. Chem. Chem. Phys. 2021. V. 23. P. 30.
Das Sh., Gompper G., Winkler R.J. // New J. Phys. 2018. V. 20. P. 015001.
Дополнительные материалы отсутствуют.


