Известия РАН. Серия биологическая, 2023, № 1, стр. 3-10
Тиреоидные и половые стероидные гормоны у неполовозрелой и раносозревающей кумжи Salmo trutta
Е. В. Ганжа 1, *, Е. Д. Павлов 1, М. А. Ручьёв 1, 2, Д. С. Павлов 1
1 Институт проблем экологии и эволюции им. А.Н. Северцова РАН
119071 Москва, Ленинский просп., 33, Россия
2 Карельский научный центр РАН
185910 Петрозаводск, ул. Пушкинская, 11, Россия
* E-mail: evganzha@gmail.com
Поступила в редакцию 06.07.2022
После доработки 08.07.2022
Принята к публикации 08.07.2022
- EDN: IKREAO
- DOI: 10.31857/S1026347023010055
Аннотация
Определено содержание тиреоидных и половых стероидных гормонов в крови у неполовозрелой и половозрелой кумжи Salmo trutta на завершающем этапе формирования раносозревающих особей (возраст 1+, 2+) в популяции. В р. Алатсоя (Карелия) период формирования раносозревающих самцов в разные годы различается, рыбы могут достигать половой зрелости в возрасте 1+ или в 2+. Неполовозрелая и половозрелая кумжа в возрасте 1+ и 2+ не различается по содержанию свободного и общего трийодтиронина и свободного тироксина. Неполовозрелые самки и самцы в возрасте 1+ и 2+ также не различаются по уровню половых стероидных гормонов. В отличие от неполовозрелой кумжи раносозревающие самцы в возрасте 2+ характеризуются повышенным содержанием тестостерона и пониженным уровнем эстрадиола-17β в крови. Установлено, что завершающий этап формирования раносозревающих особей в популяции характеризуется слабым вовлечением щитовидной железы в процесс созревания самцов и значительным снижением (в 4 раза) скорости превращения тестостерона в эстрадиол-17β в их крови. Указанное превращение у всех исследованных самок и самцов кумжи связано с их длиной тела ‒ скорость образования эстрадиола-17β у рыб повышается по мере увеличения длины тела.
Различия в сроках достижения половой зрелости рыб определяются комплексом экзогенных факторов и способностью вида адаптироваться в динамических условиях среды. Кумжа Salmo trutta, обычно достигающая половой зрелости к 3–4 годам (Hart, 1973; Христофоров, Мурза, 1990), может созревать и раньше этого срока. Этот вид обитает как в крупных, так и малых реках, характеризующихся разнообразным гидрологическим режимом и химическим составом воды (Кузищин, 1997; Jonsson et al., 2001; Шустов и др., 2013; Huusko et al., 2018; Павлов и др., 2021). При благоприятных условиях обитания, сопряжённых с быстром ростом, кумжа в Фенноскандии может достигнуть половой зрелости уже в возрасте 1+…2+ (Мурза, Христофоров, 1984; Кузищин, 1997, 2010; Пономарева и др., 2006; Huusko et al., 2018; Павлов Д.С. и др., 2019; Павлов Е.Д. и др., 2020). Ответом особи на изменение факторов среды является модификация её эндокринной регуляции, которая, в свою очередь, влияет на сроки достижения половой зрелости. Тиреоидные гормоны у рыб в онтогенезе регулируют энергетический обмен в организме и через гормон роста участвуют в ростовых процессах (Cyr, Eales, 1996; Dolomatov et al., 2013; Deal, Volkoff, 2020), а половые стероидные гормоны участвуют в развитии репродуктивной системы (Amenyogbe et al., 2020; Tenugu et al., 2021). Количественное содержание указанных гормонов в крови может отражать те изменения, которые наблюдаются у молоди при формировании траектории развития, связанной с ранним созреванием.
Популяции кумжи в малых реках Карелии малочисленны, а доля раносозревающих особей, как правило, невелика. В р. Алатсоя раносозревающие самцы встречаются чаще, чем в популяциях других малых рек Карелии (Павлов Д.С. и др., 2019; Павлов Е.Д. и др., 2020). Достаточность выборки по раносозревающим самцам в р. Алатсоя позволяет оценить гормональные изменения, возникающие у рыб при ускоренном половом созревании. Мы не обнаружили информации о том, как соотносятся разные сроки созревания с уровнем тиреоидных и половых стероидных гормонов в популяции кумжи.
Цель работы – сравнить содержание тиреоидных и половых стероидных гормонов у половозрелой и неполовозрелой кумжи в возрасте 1+ и 2+.
МАТЕРИАЛЫ И МЕТОДЫ
Работа проведена на рыбах, отловленных в реке Алатсоя, относящейся к бассейну Ладожского озера. Длина реки составляет 14 км, а ее истоком является оз. Алатунлампи (http://textual.ru/gvr). Река впадает в р. Янисйоки, на которой выше и ниже места впадения расположены две плотины. Нижняя плотина блокирует возврат половозрелой кумжи из Ладожского озера на нерест в р. Алатсоя, а верхняя – блокирует миграцию кумжи на нагул в оз. Янисъярви. В реках бассейнов Ладожского озера, включая Алатсоя, часть молоди кумжи смолтифицируется, выбирая проходную жизненную стратегию (Павлов Д.С. и др., 2019). Смолтификация и покатная миграция кумжи в северной части ареала, как правило, происходит в апреле–мае (Rasmussen, 1986; Bohlin et al., 1994). Период проведения работ был выбран такой, когда смолты (под термином “смолт” понимается особь, совершающая покатные миграции независимо от конечного пункта этих миграций – река, озеро, море (Jones et al., 2015; Huusko et al., 2018; Ferguson et al., 2019)) кумжи в исследованных реках отсутствуют.
Неполовозрелых особей и раносозревающих самцов кумжи отлавливали электроловом Fa-2 (Норвегия) (разрешение № 115 от 4 июля 2019 г.) с 10:00 по 12:00 в течение 2-х дней (29 и 30 августа 2019 г.). В прилове также присутствовали сеголетки (0+) и производители кумжи старшего возраста (≥3). Таких рыб возвращали обратно в реку. В течение часа после поимки годовиков и двухлеток кумжи перевозили в лабораторию в аэрируемом баке, объемом 100 л (плотность посадки ≤300 экз./м3). Перевозку осуществляли в воде из реки, в которой отлавливали рыб.
В течение 3-х ч после поимки (с 13:00 по 16:00) у рыб прижизненно отбирали кровь из хвостовой вены за анальным плавником шприцом объёмом 1 мл. Объем пробы в зависимости от размера особи варьировал от 50 до 150 мкл. Затем кровь отстаивали при комнатной температуре в течение 40–60 мин, полученную сыворотку центрифугировали 5 мин при 2000 об/мин. Сыворотку в индивидуальных пробирках этикетировали и замораживали при –18°C. При определении концентрации гормонов сыворотку размораживали и разбавляли в 5 раз фосфатным буферным раствором (0.01 М, рН 7.4) (“Sigma-Aldrich”, ФРГ). Методом иммуноферментного анализа (ИФА) с использованием тест-наборов производства DRG (ФРГ) на приборе Mindray MR 96A (КНР) в разбавленной сыворотке (индивидуальная проба) определяли концентрации общих тестостерона и эстрадиола-17ß, общего трийодтиронина (Т3) и свободных трийодтиронина (FT3) тироксина (FТ4), не связанных с белками сыворотки крови. Бóльшая часть Т3 и T4 в крови связана с белками сыворотки, а оставшаяся доля (<1%), т.е. FT3 и FT4 ‒ являются биологически активными фракциями гормонов. При этом концентрация FT4 является наиболее объективным критерием оценки функциональной активности щитовидной железы (Dolomatov et al., 2013). Именно поэтому мы взяли за основу определение концентраций свободных фракций тиреоидных гормонов. Рассчитывали показатель Ts/E (Ганжа, Павлов, 2019) и долю FT3 относительно T3 (FT3/T3) (Eales, Shostak, 1985). Каждую пробу сыворотки крови исследовали на содержание каждого гормона в 2-х повторностях. Сравнительный анализ концентраций гормонов в сыворотке крови рыб, относящихся к разным экспериментальным группам, выполнен по абсолютным значениям.
После отбора крови у рыб измеряли стандартную длину (L) и массу тела (W), определяли пол (по морфологическому строению и цвету половых желёз при вскрытии). У неполовозрелых рыб яичники имели желтоватый цвет и утолщение в краниальной и медиальной части; семенники имели вид тонких полупрозрачных или сероватых тяжей без утолщений. Принадлежность к раносозревающим самцам определяли по размеру и цвету гонад. У неполовозрелых рыб в возрасте 1+ и 2+ яичники и семенники находились на II стадии зрелости. У раносозревающих самцов семенники были крупнее, имели выраженный беловатый цвет и находились на IV стадии зрелости. Гистологический анализ показал, что в семенниках раносозревающей кумжи присутствуют немногочисленные сперматозоиды, которые располагаются в просветах семенных канальцев, формирующихся между цистами с половыми клетками более раннего состояния (сперматоцитами и сперматидами). Раносозревающие самки не обнаружены, то есть весь материал по раносозревающим особям представлен самцами.
Для определения возраста кумжи отбирали несколько десятков чешуй выше боковой линии между задним краем спинного плавника и началом анального (Кузищин и др., 1999). Возраст определяли по числу годовых колец на чешуе с цельной центральной зоной, не имеющей признаков регенерации и повреждения (Чугунова, 1959). У каждой особи просматривали ≥10 чешуй.
Статистическая обработка материала выполнена по индивидуальным значениям с использованием t-критерия Стьюдента, U-критерия Манна–Уитни, корреляции Спирмена. Нормальность распределения выборок оценивали по одновыборочному критерию Колмогорова-Смирнова.
РЕЗУЛЬТАТЫ ИССЛЕДОВАНИЯ
Характеристика исследованных рыб. Были отловлены неполовозрелые самки и самцы кумжи в возрасте 1+ и 2+ и раносозревающие самцы тех же возрастных групп (табл. 1). Самок в возрасте 1+ и 2+ было несколько больше, чем самцов. Пойман только один раносозревающий самец в возрасте 1+. Половозрелые раносозревающие самцы составляли 73% самцов в возрасте 2+. Половой диморфизм по длине и массе тела у рыб одного и того же возраста не выявлен (t-критерий Стьюдента: p > 0.05).
Таблица 1.
Длина (L) и масса (W) тела кумжи р. Алатсоя в возрасте 1+ и 2+
| Пол, возраст | L, см | W, г | n, экз. |
|---|---|---|---|
| Неполовозрелые | |||
| ♀, 1+ | $\frac{{12.6 \pm 0.20}}{{11.1{\kern 1pt} --{\kern 1pt} 14.3}}$ | $\frac{{20.0 \pm 1.03}}{{13.9{\kern 1pt} --{\kern 1pt} 29.9}}$ | 22 |
| ♂, 1+ | $\frac{{12.5 \pm 0.20}}{{10.8{\kern 1pt} --{\kern 1pt} 13.6}}$ | $\frac{{19.5 \pm 0.91}}{{11.7{\kern 1pt} --{\kern 1pt} 25.4}}$ | 17 |
| ♀, 2+ | $\frac{{17.1 \pm 0.26}}{{14.8{\kern 1pt} --{\kern 1pt} 20.8}}$ | $\frac{{50.4 \pm 2.52}}{{31.3{\kern 1pt} --{\kern 1pt} 89.4}}$ | 21 |
| ♂, 2+ | $\frac{{17.2 \pm 0.50}}{{15.8{\kern 1pt} --{\kern 1pt} 18.2}}$ | $\frac{{51.8 \pm 4.77}}{{37.5{\kern 1pt} --{\kern 1pt} 57.5}}$ | 4 |
| Половозрелые | |||
| р. ♂, 1+ | 12.9 | 22.0 | 1 |
| р. ♂, 2+ | $\frac{{17.4 \pm 0.35}}{{15.6{\kern 1pt} --{\kern 1pt} 19.8}}$ | $\frac{{60.2 \pm 4.26}}{{40.5{\kern 1pt} --{\kern 1pt} 88.9}}$ | 11 |
Содержание тиреоидных и половых стероидных гормонов. U-критерий Манна-Уитни показал, что уровень тиреоидных гормонов (Т3, FT3, FТ4,) и доля свободного трийодтиронина от его общей фракции (FT3/T3) не связаны (p > 0.05) с возрастом и полом исследованных рыб. Эти показатели у кумжи незначительно меняются у годовиков и двухлеток, отловленных в конце лета (табл. 2).
Таблица 2.
Содержание тиреоидных гормонов и их соотношение у самок и самцов кумжи Salmo trutta в возрасте 1+ и 2+ из р. Алатсоя
| Пол, возраст | Т3, нг/мл | FТ3, пг/мл | FT4, нг/дл | FT3/T3, % |
|---|---|---|---|---|
| Неполовозрелые | ||||
| ♀, 1+ | $\frac{{11.1 \pm 0.94}}{{5.4{\kern 1pt} --{\kern 1pt} 26.2}}$ | $\frac{{7.9 \pm 0.46}}{{3.2{\kern 1pt} --{\kern 1pt} 12.7}}$ | $\frac{{0.98 \pm 0.140}}{{0.35{\kern 1pt} --{\kern 1pt} 1.57}}$ | $\frac{{0.09 \pm 0.012}}{{0.03{\kern 1pt} --{\kern 1pt} 0.24}}$ |
| ♂, 1+ | $\frac{{11.1 \pm 0.87}}{{6.4{\kern 1pt} --{\kern 1pt} 19.5}}$ | $\frac{{8.8 \pm 0.57}}{{4.5{\kern 1pt} --{\kern 1pt} 14.9}}$ | $\frac{{1.01 \pm 0.152}}{{0.20{\kern 1pt} --{\kern 1pt} 1.82}}$ | $\frac{{0.09 \pm 0.010}}{{0.03{\kern 1pt} --{\kern 1pt} 0.18}}$ |
| ♀, 2+ | $\frac{{10.4 \pm 0.86}}{{4.5{\kern 1pt} --{\kern 1pt} 15.7}}$ | $\frac{{9.3 \pm 0.86}}{{4.5{\kern 1pt} --{\kern 1pt} 15.7}}$ | $\frac{{0.82 \pm 0.100}}{{0.27{\kern 1pt} --{\kern 1pt} 1.60}}$ | $\frac{{0.09 \pm 0.008}}{{0.05{\kern 1pt} --{\kern 1pt} 0.14}}$ |
| ♂, 2+ | $\frac{{9.4 \pm 2.27}}{{5.3{\kern 1pt} - {\kern 1pt} 13.1}}$ | $\frac{{10.6 \pm 1.65}}{{7.6{\kern 1pt} - {\kern 1pt} 15.2}}$ | $\frac{{0.35 \pm 0.05}}{{0.24{\kern 1pt} - {\kern 1pt} 0.47}}$ | 0.08 |
| Половозрелые | ||||
| р. ♂, 1+ | 10.4 | 7.7 | 1.30 | 0.07 |
| р. ♂, 2+ | $\frac{{11.5 \pm 2.40}}{{8.2{\kern 1pt} --{\kern 1pt} 25.8}}$ | $\frac{{10.5 \pm 1.05}}{{7.5{\kern 1pt} --{\kern 1pt} 16.9}}$ | $\frac{{0.86 \pm 0.113}}{{0.36{\kern 1pt} --{\kern 1pt} 1.29}}$ | $\frac{{0.10 \pm 0.014}}{{0.04{\kern 1pt} --{\kern 1pt} 0.14}}$ |
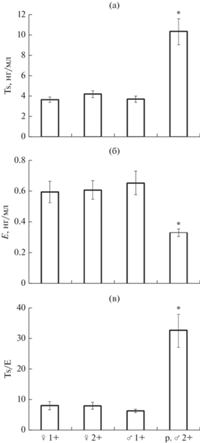
Концентрация половых стероидных гормонов у неполовозрелых особей (самки в возрасте 1+ и 2+, самцы в возрасте 1+), остается на близком уровне (рис. 1). У раносозревающих самцов по сравнению с остальными особями уровень тестостерона повышается почти в 2.5 раза, а эстрадиола-17β, напротив, в два раза снижается. Из-за количественных изменений концентраций половых стероидных гормонов у раносозревающих самцов величина Ts/E возрастает в ~4 раза.
Рис. 1.
Содержание тестостерона (а), эстрадиола-17β (б) и показателя их отношения (в) у самок и самцов кумжи Salmo trutta в возрасте 1+ и 2+ из р. Алатсоя. (│) – ошибка средней; * указывает на достоверные (U-критерий Манна–Уитни: p < 0.01) различия относительно других групп; р. ♂ 2+ – раносозревающие самцы в возрасте 2+.

Уровень тестостерона у одного раносозревающего самца в возрасте 1+ составлял 3.4 нг/мл. У четырех неполовозрелых самцов в возрасте 2+ средние значения концентраций Ts составляли 6.5 ± 1.85 (4.1–11.9) нг/мл, E – 0.46 ± 0.023 (0.40–0.51) нг/мл, а показателя Ts/E – 14.9 ± 5.13 (8.1–30.1).
Корреляционный анализ показал, что у самок и самцов кумжи в возрасте 1+ и 2+ наблюдается отрицательная связь величины показателя Ts/E от длины тела рыб – rs варьирует в пределах от –0.64 до –0.88. Максимальная зависимость выявлена у раносозревающих самцов в возрасте 2+, а минимальная – у самок того же возраста.
У самок и самцов неполовозрелой кумжи в возрасте 1+ и 2+ обнаружена корреляционная связь концентраций тестостерона с эстрадиолом-17β (табл. 3). У раносозревающих самцов она не выявлена. В возрасте 1+ как у неполовозрелых у самок, так и у самцов наблюдается связь концентраций половых стероидных и тиреоидных гормонов. При этом у самок содержание половых стероидных гормонов связано с общим трийодтиронином, а у самцов – с его свободной формой. В возрасте 2+ у неполовозрелых самок выявлена связь этих гормонов со свободным трийодтиронином, а у раносозревающих самцов таких зависимостей не обнаружено (p > 0.05).
ОБСУЖДЕНИЕ РЕЗУЛЬТАТОВ
Полученные результаты свидетельствуют, что самцы кумжи в р. Алатсоя в 2019 г. преимущественно (73%) созревали в возрасте 2+. Обнаружен только один самец, созревший в возрасте 1+ (5.5%). Ранее в 2015 г. к возрасту 1+ созревали 38% самцов, а в возрасте 2+ не было поймано ни одного самца. Следовательно, у кумжи р. Алатсоя сроки достижения половой зрелости год от года в значительной степени изменчивы. Известно, что стимулом к раннему созреванию лососевых является комплекс благоприятных факторов, сложившихся в речной системе или в отдельных ее участках (Bohlin et al., 1994; Fleming, 1996; Кузищин, 1997; Metcalfe, 1998; Morgan, Metcalfe, 2001; Jonsson, Jonsson, 2011). Река Алатсоя, как и другие малые реки Карелии в течение года подвержена значительным колебаниям температуры и уровня воды (Шустов и др., 2013). Вероятно, в разные годы различаются и условия питания рыб в реке, что может влиять на их численность и обуславливает модификацию темпов роста и сроков созревания кумжи. Известно (Кузищин, 2010), что в ручье Воробьев (Северная Карелия) в холодные годы и/или при высокой плотности молоди кумжи формирование раносозревающих самцов и самок в поколении может значительно снижаться. На различия в питании в р. Алатсоя может указывать разница в темпах роста у кумжи сходного возраста в 2015 и 2019 гг. В 2019 г. неполовозрелые самцы кумжи в возрасте 1+ имели достоверно (t-критерий Стьюдента, p < 0.05) меньшую длину и массу тела, чем неполовозрелые самцы и раносозревающие самцы того же возраста в 2015 г. (табл. 4). Следовательно, темпы роста кумжи в р. Алатсоя в период с 2018 по 2019 гг. могли быть ниже, чем в период с 2014 по 2015 гг. По-видимому, именно снижение темпов роста у кумжи в период 2018–2019 гг. привело к удлинению сроков созревания (на один год) большей части самцов в популяции. В малочисленных популяциях кумже свойственна очень высокая степень изменчивости морфологических признаков, выражающаяся в выработке практически в каждом водоёме специфических черт (Пономарева и др., 2014). Наши результаты свидетельствуют, что и в пределах одного водоема в разные годы происходят заметные изменения в структуре популяции.
Таблица 4.
Длина (L) и масса (W) тела самцов кумжи р. Алатсоя в возрасте 1+ в 2015 г. (Павлов и др., 2019)
| L, см | W, г | n, экз. | |
|---|---|---|---|
| Неполовозрелые | $\frac{{12.8 \pm 0.28}}{{10.8{\kern 1pt} --{\kern 1pt} 15.3}}$ | $\frac{{22.4 \pm 1.57}}{{13.4{\kern 1pt} --{\kern 1pt} 38.9}}$ | 21 |
| Половозрелые Раносозревающие | $\frac{{13.5 \pm 0.17}}{{12.4{\kern 1pt} --{\kern 1pt} 14.5}}$ | $\frac{{29.0 \pm 1.31}}{{19.6{\kern 1pt} --{\kern 1pt} 37.4}}$ | 13 |
Раносозревающие самцы кумжи р. Алатсоя в 2015 г. имели высокий темп роста в первое лето жизни, а со второго года различия в темпах роста между ними и неполовозрелыми самками и самцами сходного возраста сглаживались (Павлов и др., 2020). Данные 2019 г. согласуются с полученными ранее ‒ мы не обнаружили значимых различий в длине и массе тела между раносозревающими самцами в возрасте 2+ и неполовозрелыми особями того же возраста.
В 2019 г. самки и самцы кумжи в возрасте 1+ и 2+ не имели значимых различий в концентрациях тиреоидных гормонов и их соотношении. Корреляционных зависимостей концентраций тиреоидных гормонов с длиной, массой, возрастом и достижением половой зрелости рыб также не выявлено. Полученные результаты указывают на низкую функциональную активность щитовидной железы на завершающем этапе формирования раносозревающих особей. На примере осетровых (сем. Acipenseridae) показано, что у неполовозрелых рыб уровни тиреоидных гормонов коррелируют с температурой, питанием и ростом, а у половозрелых особей в период нереста – связаны со зрелостью их гонад (Dettlaff, Davydova, 1979; Plohman et al., 2002; Falahatkar, 2015). Вероятно, у кумжи наблюдается похожая связь синтеза тиреоидных гормонов со средой обитания. В связи с тем, что в целом на кумжу р. Аластсоя оказывают влияние сходные факторы, то и неполовозрелые особи, имеющие возрастные и половые различия, имеют близкий тиреоидный статус. Раносозревающие самцы, по-видимому, еще не вступили в нерестовый период, сопряженный с модификацией концентраций тиреоидных гормонов, поэтому они не отличаются от неполовозрелой молоди по уровню этих гормонов. В 2015 г. у кумжи в возрасте 1+ также не были выявлены различия по уровню T3, но отмечены по концентрации общего T4 между раносозревающими самцами и пестрятками в возрасте 1+ (Павлов и др., 2019). Мы предполагаем, что основная регуляторная роль щитовидной железы в процессе формирования раннего полового созревания осуществляется еще у сеголетков и сопряжена с ускоренным ростом будущих раносозревающих особей, который наблюдается в течение первого лета их жизни (Павлов и др., 2020). Проверка этой гипотезы требует дополнительных исследований.
Как показали результаты работ в 2015 (Павлов и др., 2019) и 2019 гг. содержание тестостерона и эстрадиола-17β у неполовозрелых самок и самцов не различается. Вероятно, на ранних стадиях гаметогенеза (II стадия зрелости гонад) синтез половых стероидных гормонов умеренный, а половой диморфизм по концентрациям эстрогенов и андрогенов еще не реализуется. На примере красного барабана Sciaenops ocellatus показано, что половой диморфизм по эстрадиолу-17β не проявляется раньше начала вителлогенеза у самок (III стадия зрелости гонад), а по тестостерону – не раньше начала спермиогенеза (IV‒V стадия зрелости гонад) у самцов (Kucherka et al., 2006). У раносозревающих самцов в 2015 и 2019 г. несмотря на различия в сроках достижения половой зрелости отмечены сходные изменения в гормональном статусе – повышение уровня тестостерона и снижение эстрадиола-17β к нересту, что приводит к росту показателя Ts/E. Величина этого показателя указывает на снижение образования эстрадиола-17β из тестостерона у раносозревающих самцов по сравнению с неполовозрелыми особями. У раносозревающих самцов в возрасте 2+ (2019 г.) содержание тестостерона и эстрадиола-17β в крови превышает (U-критерий Манна–Уитни: p = 0.023 и p = 0.001, соответственно) таковое у раносозревающих самцов в возрасте 1+ (2015 г.). У раносозревающих самцов старшего возраста (2+) отмечено и увеличение уровня трийодтиронина (U-критерий Манна–Уитни: p = 0.003). Следовательно, для роста и достижения полового созревания раносозревающей кумже старшего возраста, имеющей бóльшую длину и массу тела, требуется синтезировать большее количество половых стероидных гормонов и трийодтиронина.
Результаты корреляционного анализа свидетельствуют о вовлечении половых стероидных гормонов в процессы роста и созревания кумжи. У всех исследованных в 2019 г. групп кумжи (неполовозрелой кумжи в возрасте 1+ и 2+ и половозрелых самцов в возрасте 2+) выявлено наличие обратной связи средней и высокой силы превращения тестостерона в эстрадиол-17β (по показателю Ts/E) с длиной тела особей. Это согласуется с тем, что факторы различной природы, влияющие на рост рыб, принимают участие и в регуляции их стероидогенеза (Tenugu et al., 2021). По всей видимости, именно связь длины тела и соотношения тестостерона с эстрадиолом-17β формирует половой диморфизм в сроках достижения половой зрелости ‒ как правило самцы кумжи созревают раньше самок (Кузищин, 2010; Jonsson, Jonsson, 2011; Ferguson, 2019).
Таким образом, в популяции кумжи р. Алатсоя период достижения половой зрелости в поколениях разных лет различается. Формирование раносозревающих особей может происходить как в возрасте 1+, так и в 2+. В 2019 г. 73% самцов достигали половой зрелости в возрасте 2+, оставшиеся самцы этого возраста созревают позднее. Не выявлено различий по содержанию свободного и общего трийодтиронина и свободного тироксина у неполовозрелой кумжи в возрасте 1+ и 2+ и раносозревающих самцов в возрасте 2+. Это указывает на низкую функциональную активность щитовидной железы на завершающем этапе формирования раносозревающих особей в популяции. По сравнению с неполовозрелой кумжей раносозревающие самцы в возрасте 2+ характеризуются повышенным содержанием тестостерона и пониженным уровнем эстрадиола-17β в крови. При сравнении результатов за 2015 и 2019 гг. показано, что самцы, достигшие половой зрелости в возрасте 2+, имеют более высокий уровень половых стероидных гормонов и общего трийодтиронина, чем самцы, созревшие на год раньше.
Благодарности. Авторы признательны Д.А. Ручьёву (ООО “Янисъярви”) за содействие и помощь в проведении исследований; А.Г. Бушу за определение возраста кумжи.
Финансирование. Сбор материала осуществлен при финансовой поддержке гранта РНФ (14-14-00015), анализ материала и подготовка статьи – при финансовой поддержке гранта РНФ (19-14-00015-П).
Список литературы
Ганжа Е.В., Павлов Е.Д. Суточная динамика тиреоидных и половых стероидных гормонов в крови молоди радужной форели // Биология внутренних вод. 2019. № 3. С. 80–83.
Государственный водный реестр. http://textual.ru/gvr.
Кузищин К.В. Особенности формирования внутривидовой разнокачественности у кумжи Salmo trutta L. Белого моря: Дис. … канд. биол. наук. М.: МГУ. 1997.
Кузищин К.В. Формирование и адаптивное значение внутривидового экологического разнообразия лососёвых рыб (семейство Salmonidae): Дис. докт. биол. наук. М.: МГУ. 2010.
Кузищин К.В., Савваитова К.А., Груздева М.А. Структура чешуи как критерий дифференциации локальных популяций микижи Parasalmo mykiss из рек западной Камчатки и Северной Америки // Вопр. ихтиологии. 1999. Т. 39. № 6. С. 809–818. https://doi.org/10.1134/S0042875218050168
Мурза И.Г., Христофоров О.Л. Динамика полового созревания и некоторые закономеpности фоpмиpования сложной стpуктуpы популяций кумжи Salmo trutta L. из водоемов побеpежья Кандалакшского залива Белого моpя // Сб. науч. тp. ГосНИОРХ. 1984. Вып. 220. С. 41–86.
Павлов Д.С., Ганжа Е.В., Немова Н.Н., Павлов Е.Д., Веселов А.Е., Ручьёв М.А. Уровень тиреоидных и половых стероидных гормонов у кумжи Salmo trutta // Биол. внутр. вод. 2019. № 2. С. 87–92. https://doi.org/10.1134/S0320965219020116
Павлов Е.Д., Буш А.Г., Костин В.В., Павлов Д.С. Рост и раннее половое созревание кумжи Salmo trutta р. Алатсоя (Республика Карелия) // Биол. внутр. вод. 2020. № 6. С. 584–591. https://doi.org/10.31857/S0320965220060145
Павлов Е.Д., Ганжа Е.В., Павлов Д.С. Различие содержания ионов в крови у кумжи Salmo trutta из двух близкорасположенных рек до смолтификации // Известия РАН. Серия биологическая. 2021. № 6. С. 594–601. https//doi.org/31857/S1026347021060147
Пономарева М.В., Пономарева Е.В., Кузищин К.В. Экологические особенности полового созревания кумжи (Salmo trutta L.) // Биоразнообразие и биоресурсы Урала и сопредельных территорий: Матер. III междунар. конф. Оренбург. 25–27 мая 2006 г. Оренбург. 2006. С. 255–257.
Пономарева Е.В., Кузищин К.В., Волков А.А., Гордеева Н.В., Пономарева М.В., Шубина Е.А. Структура и генетическое разнообразие малых популяций кумжи Salmo trutta Кандалакшского залива Белого моря // Вопр. ихтиологии. 2014. Т. 54. № 1. С. 43–56. https://doi.org/10.7868/S0042875214010093
Христофоров О.Л., Мурза И.Г. Половое созревание и структура популяции кумжи реки Поной // Биол. ресурсы Белого моря и внутр. водоемов Европейского Севера: Тез. докл. Сыктывкар. 1990. С. 37.
Чугунова Н.И. Руководство по изучению возраста и роста рыб. М.: Изд-во АН СССР. 1959. 164 с.
Шустов Ю.А., Тыркин И.А., Щуров И.Л., Ивантер Д.Э., Белякова Е.Н. Биологические особенности молоди лососевых рыб в реках Карелии и Кольского п-ва. Петрозаводск: ПетрГУ, 2013. 74 с.
Amenyogbe E., Chen G., Wang Z., Lu X., Lin M., Lin A.Y. A review on sex seteroid hormone strogen receptors in mammals and fish // Intern. J. Endocr. V. 2020. P. 1–9. https://doi.org/10.1155/2020/5386193
Bohlin T., Dellefors C., Faremo U. Probability of first sexual maturation of male parr in wild sea-run brown trout (Salmo trutta) depends on condition factor 1 yr in advance // Can. J. Fish. and Aquat. Sci. 1994. V. 51. P. 1920. https://doi.org/10.1111/faf.12396
Cyr D.G., Eales J.G. Interrelationships between thyroidal and reproductive endocrine systems in fish // Rev. Fish Biology Fisheries. 1996. V. 6. № 2. P. 165–200. https://doi.org/10.1007/BF00182342
Deal C.K., Volkoff H. The role of the thyroid axis in fish // Front. Endocrin. V. 11. 2020. https://doi.org/10.3389/fendo.2020.596585
Dettlaff T.A., Davydova S.I. Differential sensitivity of cells of follicular epithelium and oocytes in the stellate sturgeon to unfavorable conditions, and correlating influence of triiodothyronine // Gen Comp Endocrinol 1979. V. 39. № 2. P. 236–243. https://doi.org/10.1016/0016-6480(79)90228-4
Dolomatov S.I., Kubyshkin A.V., Kutia S.A., Zukow W. Role of thyroid hormones in fishes // J. Health Sciences. 2013. V. 3. № 9. P. 279–296.
Eales J.G., Shostak S. Free T4 and T3 in relation to total hormone, free hormone indices, and protein in plasma of rainbow trout and arctic charr // General and comparative endocrinology. 1985. V. 58. № 2. P. 291–302. https://doi.org/10.1016/0016-6480(85)90345-4
Falahatkar B. Endocrine changes during the previtellogenic stage of the great sturgeon, Huso huso (Linnaeus, 1758) // J. Appl. Ichthyol. 2015. V. 31. № 5. P. 830–838. https://doi.org/10.1111/jai.12813
Ferguson A., Reed T.E., Cross T.F., McGinnity P., Prodöhl P.A. Anadromy, potamodromy and residency in brown trout Sattps:lmo trutta: the role of genes and the environment // J. Fish Biol. 2019. P. 1. https://doi.org/10.1111/jfb.14005
Fleming I.A. Reproductive strategies of Atlantic salmon: Ecology and evolution // Rev.: Fish Biol. Fish. 1996. V. 6. P. 379.
Hart J.L. Pacific fishes of Canada // Bull. Fish. Res. Board Can. 1973. V. 180.
Huusko A., Vainikka A., Syrjänen J.T., Orell P., Louhi P., Vehanen T. Life-history of the adfluvial brown trout (Salmo trutta L.) in Eastern Fennoscandia // Brown Trout: Biology, Ecology and Management. 2018. P. 267. https://doi.org/10.1002/9781119268352.ch12
Jones D.A., Bergman E., Greenberg L., Jonsson B. Food availability in spring affects smolting in brown trout (Salmo trutta) // Canadian J. Fisheries and Aquatic Sciences. 2015. V. 72. P. 1694–1699.
Jonsson B., Jonsson N. Ecology of atlantic salmon and brown trout: habitat as a template for life histories // Fish Fisheries Ser. 2011. V. 33. https://doi.org/10.1007/978-94-007-1189-1
Jonsson B., Jonsson N., Brodtkorb E., Ingebrigtsen P.-J. Life-history traits of Brown Trout vary with the size of small streams // Functional Ecology. 2001. V. 15. № 3. P. 310–317. https://doi.org/10.1046/j.1365-2435.2001.00528.x
Kucherka W., Thomas P., Khan I.A. Sex differences in circulating steroid hormone levels in the red drum, Sciaenops ocellatus L // Aquaculture Research. 2006. V. 37. № 14. P. 1464–1472. https://doi.org/10.1111/j.1365-2109.2006.01583.x
Metcalfe N.A. The interaction between behavior and physiology in determining life history patterns in Atlantic salmon (Salmo salar) // Can. J. Fish. and Aquat. Sci. 1998. V. 55. P. 93–103. https://doi.org/10.1139/D98-005
Morgan I.J., Metcalfe N.B. Deferred costs of compensatory growth after autumnal food shortage in juvenile salmon // Proceedings of the Royal Society of London Series B-Biological Sciences. 2001. V. 268. 295–301. https://doi.org/10.1098/rspb.2000.1365
Plohman J.C., Dick T.A., Eales J.G. Thyroid of lake sturgeon, Acipenser fulvescens: Hormone levels in blood and tissues // Gen. Comp. Endocrinol. 2002. V. 125. № 1. P. 47–55. https://doi.org/10.1006/gcen.2001.7733
Rasmussen G. The population dynamics of brown trout (Salmo trutta L.) in relation to year-class size // Polskie Archiwum Hydrobiologii. 1986. V. 33. P. 489–508.
Tenugu S., Pranoty A., Mamta S.-K., Senthilkumaran B. Development and organisation of gonadal steroidogenesis in bony fishes – A review // Aquaculture and Fisheries. 2021. V. 6. № 3. P. 223–246. https://doi.org/10.1016/j.aaf.2020.09.004
Дополнительные материалы отсутствуют.
Инструменты
Известия РАН. Серия биологическая


