Известия РАН. Серия биологическая, 2023, № 1, стр. 93-102
Изменение профиля полихлорированных дибензо-п-диоксинов и дибензофуранов в процессе биоаккумуляции в яйцах кур на свободном выгуле
А. Д. Кудрявцева 1, *, А. А. Шелепчиков 1, Е. Я. Мир-Кадырова 1, Е. С. Бродский 1
1 Институт проблем экологии и эволюции им. А.Н. Северцова РАН
119071 Москва, Ленинский пр-т, 33, Россия
* E-mail: a.kudryavtseva@sevin.ru
Поступила в редакцию 03.12.2021
После доработки 28.06.2022
Принята к публикации 28.06.2022
- EDN: IMFQJZ
- DOI: 10.31857/S1026347023010080
Аннотация
Проведено сравнение профилей ПХДД/Ф в яйцах кур на свободном выгуле и соответствующих почвах в частных хозяйствах Вьетнама. Основным направлением изменения профиля конгенеров ПХДД/Ф в процессе бионакопления в яйцах является относительное увеличение вкладов низкохлорированных конгенеров и снижение вклада ОХДД. Различия в профиле гексахлорированных конгенеров в яйцах и почве могут свидетельствовать о дополнительных источниках поступления ПХДД/Ф в яйца помимо почвы.
Полихлорированные дибензо-п-диоксины и дибензофураны (ПХДД/Ф) представляют собой высокотоксичные ксенобиотики, обнаруживаемые в окружающей среде в следовых количествах в виде сложной смеси большого числа индивидуальных соединений (конгенеров). Они в основном образуются в качестве побочных продуктов в разнообразных промышленных и термических процессах (Baker, Hites, 2000; Fiedler, 2003; Shields et al., 2015). При этом для разных источников загрязнения характерен разный состав и профиль конгенеров. Одной из задач в индикации и мониторинге загрязнения окружающей среды диоксинами является идентификация источников их поступления в окружающую среду и биологические объекты.
В отличие от образцов абиотических компонентов окружающей среды биологические образцы отражают биодоступную часть общего загрязнения, поэтому для адекватной оценки непосредственного воздействия загрязнения на животный мир и нагрузки на организм необходимо определение содержания ПХДД/Ф в тканях животных (De Solla, 2015). Однако поскольку метаболизм и накопление ПХДД/Ф в организмах животных является видо-, ткане- и конгенер-специфичным (Petreas et al., 1991; De Vries, Kwakkel, Kijlstra, 2006; Piskorska-Pliszczynska et al., 2014; Assefa et al., 2019) происходит трансформация исходного профиля ПХДД/Ф. В частности, в биологических пробах как правило накапливаются преимущественно 2,3,7,8-замещенные конгенеры, в большей степени низкохлорированные (Bonn, 1998).
В качестве биоиндикатора загрязнения окружающей среды стойкими органическими загрязнителями, в том числе диоксинами, могут использоваться яйца кур на свободном выгуле. так как это широко распространенный продукт питания; отбор и транспортировка яиц значительно проще по сравнению с другими биологическими материалами; достаточно высокое содержание в них липидов облегчает определение липофильных веществ; куры употребляют значительное количество почвенных частиц, а также почвенных животных (DiGangi, Petrlík, 2005). Другим преимуществом использования куриных яиц является то, что помимо оценки загрязнения окружающей среды этот объект, являясь непосредственным продуктом питания человека, позволяет также оценить риски для здоровья населения. Основным путем поступления диоксинов в яйца cчитается потребление курами частичек загрязненной почвы, по разным оценкам потребление почвы составляет от 2 до 10% от их общего рациона (McKone, 1994; Lovett et al., 1998). Ранее была показана статистически значимая связь содержания ПХДД/Ф в яйцах кур на свободном выгуле и соответствующих почвах (Kudryavtseva et al., 2020), однако корреляционный анализ концентраций отдельных конгенеров не дает полного представления о соотношении профилей ПХДД/Ф в яйцах и почвах. Кроме того, почва может являться не единственным источником ПХДД/Ф для кур.
Целью настоящей работы является оценка изменения профиля ПХДД/Ф в процессе биоаккумуляции в яйцах кур на свободном выгуле по сравнению с исходным профилем в почве и возможности выявления источников ПХДД/Ф. Исследование проводили на территории Вьетнама, диоксиновое загрязнение которого представляет собой сочетание текущей эмиссии и поступления ПХДД/Ф в окружающую среду в ходе широкомасштабного распыления гербицидов в ходе военных действий в 1961–1971 гг. Всестороннее обсуждение уровней и последствий загрязнения территории Вьетнама диоксинами приведено в других работах (Фешин и др., 2008; Бродский и др., 2009; Окружающая среда и здоровье человека в загрязненных диоксинами регионах Вьетнама, 2011; Кудрявцева и др., 2015; Sycheva et al., 2016).
МАТЕРИАЛЫ И МЕТОДЫ
Яйца кур на свободном выгуле и поверхностный слой почвы с участков, доступных курам для освоения, были отобраны в 36 частных хозяйствах из различных районов Вьетнама от г. Ханой на севере до провинции Донгнай на юге, включая “горячую точку” вблизи авиабазы Бьенхоа, где во время войны проводили заправку самолетов Оранжевым Агентом. В двух хозяйствах также были отобраны пробы золы от сжигания бытовых отходов.
Яйца были сварены вкрутую, заморожены, очищены от скорлупы и лиофилизированы. В пробы вносили смесь 13С12-меченых ПХДД/Ф и экстрагировали методом проточной экстракции смесью гексана и этанола в соотношении 1 : 1 при температуре 78°С. Очистку и фракционирование экстрактов проводили последовательно на угольной колонке (AX-21 Anderson Development Co.), многослойной колонке (K2SiO3, Na2SO4, 44%-ная H2SO4/SiO2, Na2SO4, 40%-ная H2SO4/SiO2, Na2SO4, 30%-ная H2SO4/SiO2) и колонке с оксидом алюминия.
Почву сушили, измельчали, пропускали через сито с диаметром отверстий 0.25 мм. В пробы почвы и золы также добавляли 13С12-меченые стандарты и экстрагировали методом проточной экстракции смесью толуола и ацетона в соотношении 9:1 при температуре 98°С. Очистку и фракционирование экстрактов проводили последовательно на многослойной колонке (K2SiO3, Na2SO4, 44%-ная H2SO4/SiO2, Na2SO4, 40%-ная H2SO4/SiO2, Na2SO4, 30%-ная H2SO4/SiO2), угольной колонке (AX-21 Anderson Development Co.) и колонке с оксидом алюминия.
После очистки в экстракты вносили изотопномеченые стандарты для контроля степени извлечения и концентрировали до 5–7 мкл. Все стандарты были приобретены у фирмы “Welligt Agilent Technology 7890” (США), соединенном с масс-спектрометром высокого разрешения “Waters Autospec Premier” (Великобритания). Данные по содержанию ПХДД/Ф в изученных образцах и расчет средних коэффициентов бионакопления приведены в работе (Kudryavtseva et al., 2020).
Анализ методом главных компонент производили с помощью языка программирования R в среде RStudio (R Core Team, 2018). Концентрации индивидуальных 2,3,7,8-замещенных конгенеров ПХДД/Ф нормировали к их суммарной концентрации. Поскольку такая нормализация делает набор данных закрытым, в обоих случаях использовали log-ratio преобразование (Aitchison, 1986; Bonn, 1998; Ross et al., 2004; Liu et al., 2010; Greenacre, 2018).
РЕЗУЛЬТАТЫ И ИХ ОБСУЖДЕНИЕ
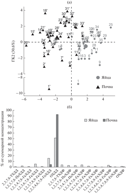
Анализ методом главных компонент профилей ПХДД/Ф по всем 2,3,7,8-замещенным конгенерам четко разделяет профили ПХДД/Ф в почвах и яйцах (рис. 1а), что показывает изменение исходного почвенного профиля в результате конгенер-специфичного бионакопления. Таким образом, подтверждается предположение, что прямое сравнение профиля конгенеров в яйцах с профилями первичных источников не всегда корректно (Megson, Dack, 2011). Кроме того, обращают на себя внимание точки 1 и 1', соответствующие пробам из сильно загрязненной “горячей точки” вблизи аэродрома Бьенхоа (район Быулонг), с чрезвычайно высоким вкладом 2,3,7,8-ТХДД, далеко отстоящие от основной массы точек.
Рис. 1.
Плоскость двух первых главных компонент для профилей ПХДД/Ф в яйцах кур на свободном выгуле и соответствующих почвах по 17-ти 2,3,7,8-замещенным ПХДД/Ф (а); основное направление изменения профиля ПХДД/Ф при поступлении из почвы в яйца кур на свободном выгуле на примере хозяйства в районе Туйфонг в провинции Ниньтхуан (б) (соответствует точкам 12 и 12' на рис. 1а).

Интерпретация факторных нагрузок главных компонент (ГК) затруднена из-за специфики трансформации данных, однако общее направление изменения профиля можно установить сравнением профилей в точках, наиболее близких по распределению к центроидам для яиц и почв. Так, сравнение профилей ПХДД/Ф в яйцах и почве из хозяйства в районе Туйфонг в провинции Ниньтхуан (точки 12 и 12') показывает, что при переходе от почв к яйцам кур на свободном выгуле происходит снижение относительного вклада ОХДД и повышение вклада остальных конгенеров, главным образом низкохлорированных, что обусловлено прежде всего различиями в коэффициентах бионакопления между конгенерами с разными степенями хлорирования (рис. 1б).
Следует также отметить, что наблюдаются некоторые различия в расположении пар точек яйца–почва из разных хозяйств. Эти различия могут быть обусловлены следующими факторами:
1) различием в уровне загрязнения почвы и конгенерном составе ПХДД/Ф между участками;
2) неоднородностью загрязнения почвы внутри участка;
3) различиями в свойствах почв между участками;
4) наличием дополнительных источников ПХДД/Ф, доступных для кур;
5) различием в условиях содержания кур, таких как площадь участков и количество особей в стаде (Kijlstra et al., 2007);
6) различиями в кормовом поведении между породами (Andersson, et al., 2001; Schütz, Jensen, 2001);
7) индивидуальными особенностями отдельных особей.
Поскольку при отборе проб не фиксировали породу кур и условия содержания, за исключением наличия доступа к свободному выгулу, влияние последних трех факторов в настоящем исследовании не рассматривается. Что касается свойств почвы, то предполагается, что биодоступность ПХДД/Ф в почвах зависит преимущественно от содержания в них пирогенного углеродистого вещества, тогда как содержание аморфного органического вещества и глинистых частиц не оказывает существенного влияния (Yuan et al., 2021).
Как правило, основным источником ПХДД/Ф в яйцах кур на свободном выгуле является почва, однако помимо почвы ПХДД/Ф могут поступать в организм кур также из дополнительного корма, почвенных животных, золы от сжигания на участке бытовых отходов, материалов загонов для кур, в частности древесины, обработанной пентахлорфенолом или другими фунгицидами (Piskorska-Pliszczynska et al., 2016). Наличие таких дополнительных источников ПХДД/Ф может быть выявлено путем анализа сдвига распределения конгенеров ПХДД/Ф внутри групп с одной степенью хлорирования в яйцах относительно аналогичного распределения в соответствующих почвах. Поскольку различия в физико-химической устойчивости между конгенерами с одинаковой степенью хлорирования (например, все ГкХДД/Ф) меньше, чем различия между группами конгенеров с разными степенями хлорирования (Hagenmaier, Lindig, She, 1994), в работе Мэгсона и Дэка (Megson, Dack, 2011) было проведено сравнение профилей ГкХДД/Ф (концентрацию каждого гексахлорированного конгенера нормировали на суммарную концентрацию всех гексахлорированных конгенеров) в яйцах кур на свободном выгуле и почвах, показавшее более близкое сходство профилей в яйцах и почвах по сравнению с анализом полного профиля 2,3,7,8-замещенных конгенеров. При этом в яйцах наблюдался систематический сдвиг с увеличением относительного вклада 1,2,3,6,7,8-ГкХДД и уменьшением вклада 1,2,3,7,8,9-ГкХДД по сравнению с почвами. Обнаруженный сдвиг, очевидно, связан с различиями в коэффициентах бионакопления, которые даже между конгенерами с одной степенью хлорирования могут различаться более чем в два раза (Pirard, De Pauw, 2006; Kudryavtseva et al., 2020). Однако на диаграммах, построенных на основе данных из лабораторного эксперимента Петреас с соавт. (Petreas et al., 1991), в котором куры получали корм с добавлением загрязненной диоксинами почвы, сдвига в сторону увеличения вклада 1,2,3,6,7,8-ГкХДД в яйцах не наблюдается (рис. 2а). При этом на диаграммах, построенных на основе данных исследования Хенриксона с соавт. (Henriksson et al., 2017) по изучению бионакопления ПХДД/Ф в дождевых червях, как правило, тоже наблюдается отчетливый сдвиг в сторону 1,2,3,6,7,8-ГкХДД в профиле ГкХДД/Ф в червях относительно профиля в почвах (рис. 2б). Вероятно, обнаруживаемый в натурных исследованиях сдвиг в профиле ГкХДД/Ф в яйцах кур на свободном выгуле (как и различия в коэффициентах бионакопления) обусловлен поступлением ПХДД/Ф в яйца при употреблении курами червей и других почвенных животных. В настоящем исследовании также, как правило, наблюдается сдвиг профиля ГкХДД/Ф в яйцах относительно профиля в почвах в сторону 1,2,3,6,7,8-ГкХДД (рис. 3).
Рис. 2.
Профили гексахлорированных конгенеров диоксинов и фуранов в яйцах кур и почве, рассчитанные по данным лабораторного эксперимента Petreas et al. (1991) (а); профили гексахлорированных конгенеров диоксинов и фуранов в дождевых червях и соответствующих почвах, рассчитанные по данным Henriksson et al. (2017) (б).

Рис. 3.
Профили гексахлорированных ПХДД/Ф в яйцах кур на свободном выгуле и соответствующих почвах с типичным сдвигом в яйцах в сторону 1,2,3,6,7,8-ГкХДД.

Однако в некоторых исследованных нами хозяйствах наблюдается сдвиг профиля, не соответствующий соотношению коэффициентов бионакопления, что может свидетельствовать как о повышенной мозаичности загрязнения почвы ПХДД/Ф на исследуемых участках, так и о наличии дополнительного поступления ПХДД/Ф из других источников помимо почвы и почвенных животных. Так, было обнаружено несколько хозяйств, в яйцах из которых наблюдался сдвиг профиля ГкХДД/Ф в сторону некоторых фуранов (рис. 4а).
Рис. 4.
Профили гексахлорированных конгенеров диоксинов и фуранов в яйцах кур на свободном выгуле и соответствующих почвах со сдвигом профиля в яйцах в сторону некоторых фуранов (а); профили гексахлорированных конгенеров известных источников ПХДД/Ф по литературным данным (открытое сжигание отходов (Lemieux et al., 2000), смеси ПХБ (Johnson et al., 2008), сжигание рисовой соломы (Chang et al., 2014), ПХФ (Hagenmaier, Brunner, 1987) (б).

Чтобы установить источник дополнительного поступления ПХДД/Ф в яйца на данных участках было проведено сравнение с профилями известных источников. На рис. 4б приведены профили ГкХДФ некоторых известных источников ПХДД/Ф, рассчитанные по литературным данным. Доминирование 1,2,3,4,7,8-ГкХДФ в профиле гексахлорированных конгенеров характерно для технических смесей ПХБ, 1,2,3,6,7,8-ГкХДД – для ПХФ. В профиле открытого сжигания доминируют 2,3,4,6,7,8-ГкХДФ, 1,2,3,6,7,8-ГкХДФ и 1,2,3,4,7,8-ГкХДФ. По-видимому, в исследуемых участках наиболее вероятным дополнительным источником поступления ПХДД/Ф в яйца кур (помимо почвы) является зола от открытого сжигания бытовых отходов, хотя нельзя полностью исключить и влияние ПХБ-содержащих смесей.
Возможность поступления ПХДД/Ф в организм кур из золы подтверждается сравнением профилей гексахлорированных конгенеров в яйцах, почве и золе из двух хозяйств, на территории которых были отобраны пробы золы от сжигания бытовых отходов (Хоаан, Бьенхоа, Донгнай и Танфонг, Бьенхоа, Донгнай). Так, в хозяйстве Хоаан профиль в яйцах сдвинут по фуранам аналогично профилю в золе (рис. 5), что свидетельствует о том, что зола является дополнительным источником ПХДД/Ф для кур на данном участке. В хозяйстве в округе Танфонг такого сдвига не наблюдается (рис. 5) – здесь профиль в яйцах более близок профилю в почвах, следовательно, в данном случае явного вклада золы не наблюдается.
Рис. 5.
Профили гексахлорированных конгенеров диоксинов и фуранов в яйцах кур на свободном выгуле, почвах и золе из двух хозяйств в г. Бьенхоа.

Анализ лепестковых диаграмм относительных вкладов конгенеров с одной степенью хлорирования в индивидуальных пробах в пределах одного хозяйства также позволяет сделать вывод о различиях путей поступления ПХДД/Ф в организм конкретных особей. На рис. 6 выделяются два образца (3 и 4) со сдвигом профиля, не соответствующим соотношениям коэффициентов бионакопления и характерным для профиля открытого сжигания, в то время как в остальных трех образцах наблюдается типичное распределение. Различия в профилях могут быть частично обусловлены индивидуальными особенностями биотрасформации и поступления ПХДД/Ф в яйца у отдельных особей. Однако поскольку в остальных исследованных хозяйствах профили гексахлорированных конгенеров в индивидуальных яйцах были одинаковы, вклад подобных процессов, по-видимому, невелик. Следует также отметить, что общий эквивалент токсичности (TEQ) ПХДД/Ф в этих двух образцах с отличающимся профилем в 2 раза превышает аналогичные в остальных пробах с данного участка (8.4–8.7 и 4.0–4.2 пг TEQ2005/г липидов соответственно), что свидетельствует о повышенном поступлении в них ПХДД/Ф. В данном случае профиль распределения гексахлорированных конгенеров также указывает на золу как на наиболее вероятный источник дополнительного поступления ПХДД/Ф. Таким образом, анализ распределения конгенеров с одной степенью хлорирования может более четко выявить источники специфического загрязнения отдельных особей в пределах одного хозяйства.
Рис. 6.
Профили гексахлорированных конгенеров диоксинов и фуранов в индивидуальных пробах яиц кур на свободном выгуле и почве в хозяйстве в г. Камрань.

Таким образом, общим направлением изменения профиля ПХДД/Ф в процессе бионакопления в яйцах кур на свободном выгуле является увеличение относительного вклада низкохлорированных конгенеров и снижение вклада ОХДД по сравнению с почвой.
Сравнение профилей конгенеров ПХДД/Ф с одинаковой степенью хлорирования, в частности гексахлорированных, в почвах и яйцах позволяет выявить поступление ПХДД/Ф в организм кур из дополнительных источников помимо почвы, например, золы от сжигания бытовых отходов. Наблюдаемый в большинстве хозяйств сдвиг профиля гексахлорированных конгенеров в яйцах в сторону 1,2,3,6,7,8-ГкХДД, по-видимому, обусловлен поступлением ПХДД/Ф в яйца при употреблении курами червей и других почвенных животных.
Список литературы
Бродский Е.С., Шелепчиков А.А., Фешин Д.Б., Румак В.С., Умнова Н.B., Кузнецов А.Н., Чинь Кхак Шау, Нгием Суан Чыонг, Павлов Д.С. Современный уровень диоксинового загрязнения Вьетнама в районе массированного распыления Оранжевого Агента // Докл. Акад. Наук. 2009. Т. 429. № 3. С. 425–429.
Кудрявцева А.Д., Шелепчиков А.А., Бродский Е.С., Фешин Д.Б., Румак В.С. Cодержание диоксинов в яйцах птиц из различных районов Вьетнама // Вест. Москов. ун-та. Серия 16. Биология. 2015. С. 239–244.
Окружающая среда и здоровье человека в загрязненных диоксинами регионах Вьетнама / Под ред. Румак В.С, Павлов Д.С., Софронов Г.А. М.: Товарищество научных изданий КМК. 2011. 271 с.
Фешин Д.Б., Шелепчиков А.А., Бродский Е.C., Калинкевич Г.А., Мир-Кадырова Е.Я., Румак В.С., Павлов Д.С. Современный уровень ПХДД и ПХДФ в плаценте и грудном молоке жителей Вьетнама // Докл. Акад. Наук. 2008. Т. 423. № 4. С. 570–573.
Aitchison J. The statistical analysis of compositional data. London–N.Y.: Chapman and Hall, 1986. 416 p.
Andersson M., Nordin E., Jensen P. Domestication effects on foraging strategies in fowl // Appl. Behav. Sci. 2001. V. 72. № 1. P. 51–62.
Assefa A., Tysklind M., Bignert A., Josefsson S., Wiberg K. Sources of polychlorinated dibenzo-p-dioxins and dibenzofurans to Baltic Sea herring // Chemosphere. 2019. V. 218. P. 493–500.
Baker J.I., Hites R.A. Is combustion the major source of polychlorinated dibenzo-p-dioxins and dibenzofurans to the environment? A mass balance investigation // Envir. Sci.Tech. 2000. V. 34. № 14. P. 2879–2886.
Bonn B.A. Polychlorinated dibenzo-p-dioxin and dibenzofuran concentration profiles in sediment and fish tissue of the Willamette basin, Oregon // Envir. Sci.Techn. 1998. V. 32. № 6. P. 729–735.
Chang S.S., Lee W.J., Holsen T.M., Li H.W., Wang L.C., Chang-Chien G.P. Emissions of polychlorinated-p-dibenzo dioxin, dibenzofurans (PCDD/Fs) and polybrominated diphenyl ethers (PBDEs) from rice straw biomass burning // Atmosph. Envir. 2014. V. 94. P. 573–581.
De Solla S.R. Exposure, bioaccumulation, metabolism and monitoring of persistent organic pollutants in terrestrial wildlife // Dioxin and Related Compounds. The Handbook of Envir. Chem. V. 49. Springer, Cham, 2015. P. 203–252.
De Vries M., Kwakkel R.P., Kijlstra A. Dioxins in organic eggs: a review // NJAS – Wageningen J. Life Sciences. 2006. V. 54. № 2. P. 207–221.
DiGangi J., Petrlík J. The egg report. 2005. P. 1–49. https://doi.org/sites/default/files/documents/ipen_egg_report-en.pdf
Fiedler H. Dioxins and furans (PCDD/PCDF) The handbook of environmental chemistry V. 3, Part 0 Persistent Organic Pollutants / Ed. Fiedler H. Berlin; Heidelberg: Springer-Verlag, 2003. P. 123–201.
Greenacre M. Compositional data analysis in practice. Boca Raton: CRC Press, 2018. 122 p.
Hagenmaier H., Brunner H. Isomer-specific analysis of pentachlorophenol and sodium pentachlorophenate for 2,3,7,8-substituted PCDD and PCDF at sub-ppb levels // Chemosphere. 1987. V. 16. № 8/9. P. 1759–1764.
Hagenmaier H., Lindig C., She J. Correlation of environmental occurrence of polychlorinated dibenzo-p-dioxins and dibenzofurans with possible sources // Chemosphere. 1994. V. 29. № 9–11. P. 2163–2174.
Henriksson S., Bjurlid F., Rotander A., Engwall M., Lindström G., Westberg H., Hagberg J. Uptake and bioaccumulation of PCDD/Fs in earthworms after in situ and in vitro exposure to soil from a contaminated sawmill site // Sci. Total Envir. 2017. V. 580. P. 564–571.
Johnson G.W., Hansen L.G., Coreen Hamilton M., Fowler B., Hermanson M.H. PCB, PCDD and PCDF congener profiles in two types of Aroclor 1254 // Envir. Toxicol. Pharmac. 2008. V. 25. № 2. P. 156–163.
Kijlstra A., Traag W.A., Hoogenboom L.A.P. Effect of flock size on dioxin levels in eggs from chickens kept outside // Poultry Science. 2007. V. 86. № 9. P. 2042–2048.
Kudryavtseva A.D, Shelepchikov A.A., Brodsky E.S. Free-range chicken eggs as a bioindicator of dioxin contamination in Vietnam, .including long-term Agent Orange impact // Emerg. Contam. 2020. V. 6. P. 114–123.
Lemieux P.M, Lutes C.C., Abbott J.A., Aldous K.M. Emissions of polychlorinated dibenzo-p-dioxins and polychlorinated dibenzofurans from the open burning of household waste in barrels // Environ. Sci. Technology. 2000. V. 34. № 3. P. 377–384.
Liu Y., Chen L., Zhao J., Wei Y., Pan Z., Meng X.Z., Huang Q., Li W. Polycyclic aromatic hydrocarbons in the surface soil of Shanghai, China: concentrations, distribution and sources // Org. Geochemistry. 2010. V. 41. № 4. P. 355–362.
Lovett A.A., Foxal C.D., Creaser C.S., Chewe D. PCB and PCDD/DF concentrations in egg and poultry meat samples from known urban and rural locations in Wales and England // Chemosphere. 1998. V. 37. № 9–12. P. 1671–1685.
Megson D., Dack S. Assessing changes to the congener profile of PCDD and PCDF during bioaccumulation in chicken and duck eggs // Proceedings of the 2011 INEF Conference on Environmental Forensics / Ed. Morrison R.D., O’Sullivan G. Cambridge, UK: RSC Publishing, 2011. P. 244–261.
McKone T.E. Uncertainty and variability in human exposures to soil contaminants through home-grown food: a Monte Carlo assessment // Risk Analysis. 1994. V. 14. № 4. P. 449–463.
Petreas M.X., Goldman L.R., Hayward D.G., Chang R.R., Flattery J.J., Wiesmüller T., Stephens R.D., Fry D.M., Rappe C., Bergek S., Hjelt M. Biotransfer and bioaccumulation of PCDD/PCDFs from soil: controlled exposure studies of chickens // Chemosphere. 1991. V. 23, № 11–12. P. 1731–1741.
Pirard C., De Pauw E. Toxicokinetic study of dioxins and furans in laying chickens // Environment International. 2006. V. 32. № 4. P. 466–469.
Piskorska-Pliszczynska J., Mikolajczyk S., Warenik-Bany M., Maszewski S., Strucinski P. Soil as a source of dioxin contamination in eggs from free-range hens on a Polish farm // Sci. Total Envir. 2014. V. 466–467. P. 447–454.
Piskorska-Pliszczynska J., Strucinski P., Mikolajczyk S., Maszewski S., Rachubik J., Pajurek M. Pentachlorophenol from an old henhouse as a dioxin source in eggs and related human exposure // Envir. Pollution. 2016. V. 208. P. 404–412.
R Core Team. R: A language and environment for statistical computing / R foundation for statistical computing. Vienna, Austria, 2018.
Ross P.S., Jeffries S.J., Yunker M.B., Addison R.F., Ikonomou M.G., Calambokidis J.C. Harbor seals (Phoca Vitulina) in British Columbia, Canada, and Washington state, USA, reveal a combination of local and global polychlorinated biphenyl, dioxin, and furan signals // Envir. Toxicol. Chemistry. 2004. V. 23. № 1. P. 157–165.
Schütz K.E., Jensen P. Effects of resource allocation on behavioural strategies: a comparison of red junglefowl (Gallus gallus) and two domesticated breeds of poultry // Ethology. 2001. V. 107. № 8. P. 753–765.
Shields W.J., Saba T., Boehm P.D., Pietari J. Congeners. A forensic analysis // Introduction to environmental forensics / Eds Murphy B.L., Morrison R.D. Academic Press, 2015. P. 347–393.
Sycheva L.P., Umnova N.V., Kovalenko M.A., Zhurkov V.S., Shelepchikov A.A., Roumak V.S. Dioxins and cytogenetic status of villagers after 40 years of agent Orange application in Vietnam // Chemosphere. 2016. V. 144. P. 1415–1420.
Yuan Q., Sallach J.B., Rhodes G., Bach A., Crawford R., Li H., Johnston C.T., Teppen B.J., Kaminski N.E., Boyd S.A. Natural organic matter does not diminish the mammalian bioavailability of 2,3,7,8-tetrachlorodibenzo-p-dioxin // Chemosphere. 2021. V. 261. 8 p.
Дополнительные материалы отсутствуют.
Инструменты
Известия РАН. Серия биологическая


