Известия РАН. Серия физическая, 2021, T. 85, № 7, стр. 1053-1059
Компьютерное моделирование химической неоднородности в конструкционных сталях, полученных совмещением прокатки с непрерывным литьем (по технологии “strip-casting”)
В. П. Филиппова 1, *, Е. Н. Блинова 1, О. П. Жуков 1, Е. В. Пименов 1, А. А. Томчук 1, 2, 3
1 Федеральное государственное унитарное предприятие
“Центральный научно-исследовательский институт черной металлургии имени И.П. Бардина”
Москва, Россия
2 Федеральное государственное бюджетное образовательное учреждение высшего профессионального образования “Московский государственный технический университет имени Н.Э. Баумана”
Москва, Россия
3 Федеральное государственное бюджетное образовательное учреждение высшего образования
“Российский химико-технологический университет имени Д.И. Менделеева”
Москва, Россия
* E-mail: varia.filippova@yandex.ru
Поступила в редакцию 25.01.2021
После доработки 25.02.2021
Принята к публикации 29.03.2021
Аннотация
Методом компьютерного моделирования, основанным на термодинамических расчетах, показано, что температура Ас3, в зависимости от химического состава, может меняться на десятки градусов. Таким образом, химическая неоднородность в макрообъемах проката непрерывнолитых сталей может влиять на механические свойства. Методами Оже-спектроскопии и механических испытаний упрочненного проката двух сталей массового назначения (09Г2С и Ст3) установлено, что послойное изменение предела текучести в стали Ст3 связано с неоднородным составом твердого раствора, а в стали 09Г2С – с неоднородностью фазового состава.
ВВЕДЕНИЕ
Совмещение процессов непрерывного литья и прокатки в одном неразрывном потоке относится к технологии “стрип-кастинга”. При этом используют литейно-прокатные агрегаты, в которых слиток на выходе из кристаллизатора, не подвергаясь разрезке, проходит печь, где, до поступления в валки прокатного стан, выравнивается температура по сечению. Таким образом, осуществляется процесс кристаллизации и прокатки бесконечного слитка, т.е. непрерывное производство проката из жидкого металла. Основная трудность в развитии этого процесса состоит в относительно низкой скорости выхода слитка из кристаллизатора (1–6 м/мин), что не позволяет в полной мере использовать производственные возможности непрерывного прокатного стана.
Технический прогресс в области “стрип-кастинга” характеризуется, в первую очередь, повышением качества металла, которое обеспечивало бы его технологичность и наиболее эффективное использование прокатываемых изделий потребителем. С этой целью прокатываемому изделию придается возможно более рациональная форма, способствующая снижению его массы, расширяется производство экономичных профилей проката, повышается точность его размеров, улучшаются прочностные и др. свойства металла, на его поверхность наносятся эффективные защитные покрытия. Одновременно снижается стоимость производственных затрат путем внедрения непрерывных процессов (от жидкого металла до готового проката), повышения скорости прокатки и автоматизации всех технологических процессов.
Для повышения качества непрерывнолитого стального слитка имеет большое значение предварительная подготовка расплава к разливке [1]. В отечественной и зарубежной практике непрерывного литья принимают в этом плане целые комплексы технологических мер, с помощью которых достигается, в частности: значительное снижение содержания в металле серы, неметаллических включений, газов, а также предупреждение перегрева и выравнивание температуры и состава стали по высоте ковша.
Как отмечается в [1], важность снятия перегрева диктуется появлением высокопроизводительных радиальных и криволинейных установок, возрастанием скорости разливки, усложнением марочного состава стали. Общеизвестно влияние перегрева на развитие осевой ликвации. Установлено, что при перегреве стали на 20°С около 15% темплетов имеют осевую ликвацию более двух баллов, а с перегревом 30–35°С – около 60%. Получение заданной равномерной температуры стали в объеме и выравнивание ее химического состава по высоте сталеразливочного ковша обеспечивается продувкой жидкого металла инертными газами.
Высокие требования к температурному режиму разливки вызывают необходимость предварительного расчета температуры ликвидуса и снижения погрешности измерения температуры до ±5°С [2]. На значение температуры ликвидуса оказывает влияние не только концентрация углерода и легирующих элементов, но и неконтролируемые примеси, попадающие со вторичным сырьем (Cu, Zn, Sn и т.п.).
Строгая регламентация методов обработки стали направлена на построение определенной структуры и фазового состава для получения материала с оптимальным сочетанием прочности и пластичности. Разрабатывая новые схемы деформационно-термического обработки (ДТО) при производстве сталей массового назначения, необходимо учитывать множество факторов, оказывающих влияние на материал в зоне деформации. Наиболее важными являются: нагрузка, температура и время воздействия. Влияние перечисленных факторов на послойную неравномерность свойств проката изучено достаточно полно. Однако, на роль химической неоднородности исходной литой заготовки в формировании структуры проката, фазового состава и механических свойств – достаточного внимания не обращалось.
Настоящая работа направлена на исследование влияния исходной химической неоднородности на соотношение фазовых и структурных составляющих в прокате после ДТО. Для этого была разработана компьютерная модель, с использованием термодинамического подхода, которая позволяет рассчитывать изменения температуры фазового превращения в конструкционных сталях при небольших отклонениях химического состава.
МАТЕРИАЛЫ И МЕТОДЫ ИССЛЕДОВАНИЯ
Были исследованы стали следующего состава: 09Г2С (0.076C–0.024S–0.039P–0.53Si–1.4Mn–0.4% Ni–0.14Cr, мас. %) и Ст3 (0.20C–0.27Si–0.46Mn–0.03S–0.03P, мас. %). Исходные слябы изготавливались из непрерывнолитых заготовок. Затем слябы нагревали при температуре 1050°С (1323 К) в течение 10 минут и прокатывали при температуре 900°С (1173 К) для получения листа толщиной 6 мм, после чего резко охлаждали в соленой воде. Относительное уменьшение толщины образцов в результате горячей пластической деформации составило 20%.
Далее, из полученных закаленных горячекатаных листов толщиной 6 мм изготавливали поперечные шлифы для анализа распределения химических элементов по толщине проката, и прямоугольные образцы – для механических испытаний. Для изготовления последних, из листов толщиной 6 мм вырезали пластины толщиной 2 мм (2 × 5 × × 50 мм) с разных расстояний от поверхности (0, 0.25, 0.5 и 2 мм) таким образом, чтобы плоскость 5 × 50 мм была параллельна поверхности листа, а их продольная ось 50 мм – параллельной направлению прокатки.
Механические свойства (предел прочности σB, МПа) оценивали с помощью испытательной машины “INSTRON 1195”, по схеме чистый изгиб (ГОСТ 14019–2003), при комнатной температуре.
Распределение химических элементов по толщине проката измеряли на полированных поперечных шлифах методом Оже-спектроскопии с использованием электронного спектрометра “ESCALAB MK-II”. Образцы очищали ионами Ar+ в вакуумной камере при давлении около 10–5 Па. Таким образом, условия подготовки и исследования образцов исключали их случайное загрязнение. Оже-спектры регистрировались в стационарном режиме пучка (в пятне) с ускоряющим напряжением 3 кВ, постоянным отношением замедления ∆Е/Е и модуляционным напряжением 4 В, при фиксированном увеличении 3000× в отдельных выбранных точках шлифа, соответствующих различному расстоянию от поверхности проката. Расчеты относительной атомной концентрации проводились по обычной методике: без учета матричных эффектов, как описано в [3]. При этом рассматривали отношение интенсивности характеристической линии каждого компонента стали к интенсивности линии железа (соответствующей энергии связи Оже-электронов – 703 эВ):
(1)
${{X}_{i}} = \frac{{{{{{I}_{i}}} \mathord{\left/ {\vphantom {{{{I}_{i}}} {{{I}_{{{\text{Fe}}}}}}}} \right. \kern-0em} {{{I}_{{{\text{Fe}}}}}}}}}{{\sum\limits_i {{{{{I}_{i}}} \mathord{\left/ {\vphantom {{{{I}_{i}}} {{{I}_{{{\text{Fe}}}}}}}} \right. \kern-0em} {{{I}_{{{\text{Fe}}}}}}}} }} \cdot 100\% .$Полученную таким образом величину относительной атомной концентрации, Xi, можно рассматривать как полуколичественную характеристику распределения элементов по толщине проката.
ТЕРМОДИНАМИЧЕСКАЯ МОДЕЛЬ ВЛИЯНИЯ ХИМИЧЕСКОЙ НЕОДНОРОДНОСТИ НА ТЕМПЕРАТУРУ ФАЗОВОГО ПРЕВРАЩЕНИЯ
Согласно алгоритму, описанному в [4], отклонение температуры ΔT для температуры фазового превращения в системе Fe–C с добавлением легирующих элементов, используя концепцию бесконечно разбавленного (слабого) раствора, где пренебрегается взаимодействием растворенных компонентов друг с другом [5], можно представить следующим образом:
где T0 – температура фазового превращения в системе Fe–C; n – количество легирующих и примесных элементов в стали; R – универсальная газовая постоянная; Xi – концентрация i-го компонента; Ai(T) – зависящая от температуры функция, связанная с коэффициентом активности Mei в двойном сплаве Fe–Mei.Для бесконечно разбавленного раствора функция Ai(T) может быть определена соотношением Гиббса–Дюгема следующим образом:
где $\Delta G_{i}^{{L - S}}$ – изменение химического потенциала i-го компонента при фазовом превращении L–S (жидкое → твердое, например).Функции Ai(T) для равновесного превращения могут быть определены из двойных фазовых диаграмм Fe–Mei, представленных в виде функции температуры (T), зависящей от концентрации Xi элемента Mei, следующим образом (4):
где TFe – температура плавления чистого железа (при XC = 0).Поскольку функции Ai(T) в уравнении (4) зависят от температуры, значение ΔT не может быть определено прямой подстановкой Ai(T). Уравнение (4) решается методом последовательного приближения, суть которого заключается в следующем:
– Выбирается нулевое приближение (Т0). В настоящей работе, в качестве нулевого приближения использовали значения Т0 из двойной диаграммы Fe–C, а значения Аi(T0) берутся из двойных диаграмм: Fe–Mei.
– Далее, полученное из уравнения (4) значение Т подставляется в него в качестве следующего приближения.
– С помощью специально разработанной компьютерной программы, решение уравнения (4) относительно Т выполняется до тех пор, пока разница между двумя последовательными приближениями не станет меньше заданной величины (в рассматриваемом случае – менее 0.1 градуса).
Ниже приведен результат аппроксимации линии “солидус” системы Fe–C для равновесия “жидкость + феррит” из [6], где TFe = 1807 К (1534°С) – температура плавления чистого железа (при XC = 0).
(5)
$\begin{gathered} {\text{Солидус}}:\,\,\,T = {{T}_{{{\text{Fe}}}}}--252X + 249{{X}^{2}}--93.5{{X}^{3}}, \\ \Delta Т = 6.2\,\,{\text{К}}, \\ \end{gathered} $Коэффициенты для расчета температурно-концентрационных зависимостей линий “ликвидус” и “солидус” для двойных систем Fe–Mei, полученные аппроксимацией данных [7], приведены в таблице в следующем виде.
(6)
${\text{Солидус}}:\,\,T = {{T}_{{{\text{Fe}}}}}--{{S}_{1}}{{\left( {{{X}_{i}}} \right)}^{2}}--{{S}_{2}}\left( {{{X}_{i}}} \right),$(7)
${\text{Ликвидус}}:\,\,T = {{T}_{{{\text{Fe}}}}}--{{L}_{1}}{{\left( {{{X}_{i}}} \right)}^{2}}--{{L}_{2}}\left( {{{X}_{i}}} \right),$Значения концентраций Xi в выражениях (1)–(7) подразумеваются в атомных процентах (ат. %).
В настоящей работе рассматривали два варианта равновесия “жидкое–твердое” для системы Fe–C при низких концентрациях углерода: “жидкость + феррит” и “жидкость + аустенит”, предложенных в [7], (рис. 1а, 1б). Температура плавления чистого железа (XС = 0) для равновесия “жидкость + аустенит” (рис. 1б), указанная в [7], определенная на основании термодинамических расчетов, отличается от равновесия “жидкость + + феррит” (рис. 1а) на 10 градусов. Вероятнее всего, применимость диаграммы “жидкость + + аустенит” (рис. 1б) должна наблюдаться в сталях при увеличении концентрации углерода или легирующих элементов, расширяющих область γ-фазы (аустенита). С учетом последнего, приведенные результаты аппроксимации линий “ликвидус” и “солидус” системы Fe–C в табл. 1 – применимы для обоих вариантов равновесия “жидкость + + твердое” из [7].
Рис. 1.
Диаграмма состояния системы Fe–C из [7]: (а) “стабильное” равновесие в ферритной системе; (б) равновесие аустенита с графитом и цементитом.

Таблица 1.
Коэффициенты для расчета значений температуры линий “ликвидус” (L1, L2) – “солидус” (S1, S2) для малоуглеродистых сталей
| Растворенный элемент | S1 | S2 | L1 | L2 | Температурный интервал аппроксимации: TFe–T, °С |
|---|---|---|---|---|---|
| Au | 5.22 | 33.2 | –0.203 | 12.197 | 1535–1431 |
| Be | 0.0000485 | 11.119 | – | – | 1535–1511 |
| Ce | 12.26 | 1499.5 | –0.85186 | 17.44 | 1535–1400 |
| Co | –0.00983 | 2.2835 | –0.01087 | 2.0069 | 1534–1529 |
| Cr | –0.04647 | 2.4601 | –0.03345 | 2.1608 | 1539–1507 |
| Cu | 0.51573 | 4.7535 | 0.15214 | 4.7535 | 1533–1527 |
| Hf | –29.284 | 151.07 | 0.9667 | 15.78 | 1535–1511 |
| Mn | 0 | 6.5625 | 0 | 4.8462 | 1535–1320 |
| Mo | –0.1275 | 7.0738 | –0.038877 | 5.0531 | 1535–1500 |
| Nb | 7.5217 | 37.154 | 0.3199 | 11.986 | 1535–1472 |
| Ni | 0.75676 | 4.3706 | 0.03602 | 3.5163 | 1534–1512 |
| Sc | 0.00297 | 76.5 | 2.5585 | 14.196 | 1535–1200 |
| Si | 0.05491 | 9.707 | 0.1742 | 6.057 | 1528–1350 |
| Ta | 0 | 37.52 | 0 | 12.025 | 1535–1440 |
| Ti | 0.09 | 24.22 | 0.3125 | 14.196 | 1535–1289 |
| V | –0.06087 | 4.0087 | 0.03849 | 3.27 | 1534–1468 |
| W | –0.3645 | 3.422 | –0.2449 | 2.895 | 1535–1527 |
| Y | 220.46 | 154.76 | 0.81629 | 15.867 | 1535–1350 |
| Zn | 0.8855 | 8.9151 | 0.2 | 6.0 | 1535–1420 |
| Zr | 2.4862 | 32.91 | 0.7594 | 11.455 | 1534–1330 |
Следует отметить, что при сравнении рассчитанных и экспериментальных значений температур “ликвидус” и “солидус” необходимо учитывать зависимость экспериментальных значений от метода и конкретных условий измерения температуры и химического состава. Поэтому, необходимо сравнивать расчетные и экспериментальные данные для сталей сразу нескольких составов, полученных при одинаковых условиях. Если при этом для какого-либо варианта линии фазового превращения, указанного в таблице, наблюдается постоянный сдвиг: ΔТ = const, то для конкретных экспериментальных данных следует ввести поправку (T0= TFe+ ΔТ) во все указанные кривые аппроксимации (6, 7).
В [4] описанную выше модель (4) распространили для расчета отклонения температуры фазового превращения α + γ → γ (температура Ас3, рис. 2). При этом было показано, что данный подход применим для низколегированных сталей с суммарным содержанием основных легирующих компонентов – менее 6% масс (Si < 1%, Mn, Cr, Ni).
В настоящей работе, используя описанный выше подход [4], по уравнению (4) рассчитали температуру Ас3 для исследуемых сталей (09Г2С и Ст3). При этом, температура превращения γ → α для чистого Fe (из [6]) в (4): TFe = 1183 К (910°С). Расчеты выполнялось с помощью компьютера, по специальной программе, написанной на языке QuikBASIC 4.5, описанном в [8], поддерживаемом операционной системой Windows XP.
РЕЗУЛЬТАТЫ И ИХ ОБСУЖДЕНИЕ
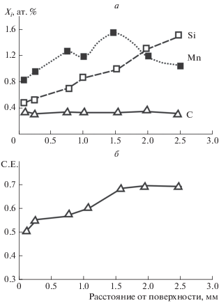
Проведенные методом Оже-спектроскопии исследования показали, что послойное распределение химических элементов (C, Mn и Si) в стальном прокатном листе Ст3 толщиной 6 мм – неоднородно. Из рис. 3а видно, что поверхностный слой стали до глубины 1.25 мм обеднен по C и Si, и обогащен по Mn. Зона с пониженным содержанием Si располагается на расстоянии до 2.0 мм от поверхности. Сердцевина проката более обогащена C и Si, и обеднена Mn, по сравнению с поверхностью.
Рис. 3.
Изменение по расстоянию от поверхности листового проката толщиной 6 мм стали Ст3 (по данным Оже-спектроскопии): (а) – химического состава, Xi, ат. %; (б) – аналога углеродного эквивалента, C.E. = XC + (XSi + XMn)/6, ат. %.

В образцах стали 09Г2С наблюдается равномерное распределение C по толщине проката; поверхность обеднена Si и Mn до уровня 2 мм. Наблюдается область, обогащенная Mn, на расстоянии 1.5–2.0 мм от поверхности (смотри рис. 4а).
Рис. 4.
Изменение по расстоянию от поверхности листового проката толщиной 6 мм стали 09Г2С (по данным Оже-спектроскопии): (а) – химического состава, Xi, ат. %; (б) – аналога углеродного эквивалента, C.E. = XC + (XSi + XMn)/6, ат. %.

Полученные результаты Оже-спектроскопии по химической неоднородности в обеих сталях подчиняются общему условию (смотри рис. 3б и 4б, где С.Е. – ат. %): постоянная величина рассчитанного аналога углеродного эквивалента для каждого образца: C.E. = XC + (XSi + XMn)/6 ≈ const (±0.2 ат. %). Химическая неоднородность такого рода наблюдается в непрерывно литых сталях, описанных в работе [2].
Из рис. 5 видно, что значение предела прочности σВ в сердцевине проката стали Ст3 выше, чем на поверхности. Противоположный эффект наблюдается для проката стали 09Г2С, где величина σВ в сердцевине ниже, чем на поверхности (рис. 6).
Рис. 5.
Изменение предела прочности по расстоянию от поверхности листового проката толщиной 6 мм стали Ст3 после 20% деформации при 900°С (1173 К) и охлаждении в соленой воде.

Рис. 6.
Изменение предела прочности по расстоянию от поверхности листового проката толщиной 6 мм стали 09Г2С после 20% деформации при 900°С (1173 К) и охлаждении в соленой воде.

На рис. 7 представлена рассчитанная зависимость температуры Ас3 от послойного распределения химических элементов для проката обеих рассматриваемых сталей. Для проката стали Ст3 рассчитанные значения температуры Ас3 составляют менее 1144 К (871°С), а ее вариация для различных глубин составляет около 22 градусов. Таким образом, можно утверждать, что прокатка стали при температуре выше 1144 К (871°С) происходит в однофазном поле, при этом, химическая неоднородность не приводит к отклонению фазового состава. Хорошо известно, что C, Mn и Si существенно влияют на критические температурные точки и прокаливаемость стали. С другой стороны, здесь наблюдается своеобразное распределение элементов по сечению проката, проявляющееся обогащением середины проката – Mn, а поверхностных слоев – C и Si, что приводит к равномерному послойному распределению фазового состава проката. Тем не менее, можно увидеть разницу в прочности между поверхностью и сердцевиной стали Ст3. Последнее связано с различием в степени затвердевания раствора в зависимости от неоднородности химического состава, что подтверждается хорошей корреляцией между σВ и C.E. (сравните рис. 3б и рис. 5).
Рис. 7.
Изменение температуры фазового превращения, Ас3, с расстоянием от поверхности листового проката толщиной 6 мм сталей Ст3 и 09Г2С, обусловленное послойной неоднородностью распределения химических элементов (компьютерное моделирование).

Проведенный анализ на основе предложенной модели показывает, что температура Ас3 в образцах стали 09Г2С выше 1140 К (867°С), а ее изменение, обусловленное химической неоднородностью, составляет около 36 К (рис. 7). Последнее может существенно влиять на неоднородность фазового состава проката.
Сравнивая результаты расчетов (смотри рис. 7) с результатами механических испытаний, можно предположить, что низкая прочность середины проката стали 09Г2С обусловлена неоднородностью фазового состава. Несмотря на увеличение С.Е. от поверхности к середине проката, прочность сердцевины на 30% ниже, чем на поверхности (сравните рис. 4 с рис. 6). В то же время положение Ас3 стали 09Г2С ограничено до температуры деформации 900°С (1173 К) на расстоянии 2–3 мм от поверхности проката. В этих условиях любые отклонения температуры ДТО могут привести к различию фазовых составов вблизи поверхности и сердцевины. По-видимому, для листа толщиной 6 мм это может быть связано с аустенитной структурой на поверхности, и с аустенит-ферритовой – на расстоянии 2–3 мм от поверхности.
Как известно, при прокатке металла существует несколько факторов, одновременно влияющих на распределение температуры по глубине, что в свою очередь может влиять на структурно-фазовые превращения. В частности, к таким факторам относятся: адиабатический нагрев металла при деформации и охлаждение поверхности проката вследствие контакта с валками [9]. Как показали настоящие исследования, химическая неоднородность непрерывной литой стальной заготовки тоже может привести к неоднородности фазового распределения в прокате. Это явление наблюдается даже при небольших отклонениях химического состава в пределах диапазона марки стали. Для исследуемых сталей отклонение суммарного содержания основных компонентов стали (С, Mn, Si) в микрообъемах может приводить к заметным колебаниям температуры Ас3. Учет этого фактора может быть важен для разработки технологии производства высокопрочных горячекатаных сталей со структурой, включающей бейнит и мартенсит.
ЗАКЛЮЧЕНИЕ
Первоначальная химическая неоднородность непрерывно литых заготовок листов сталей 09Г2С и Ст3 после горячей деформации приводит к изменению механических свойств по толщине проката. Предложенная компьютерная термодинамическая модель позволяет качественно оценивать влияние неоднородности химического состава непрерывно литой стали на изменение фазового состава и механических свойств после деформационно-термической обработки. На основе предложенной модели изменение механических свойств исследованных сталей (Ст3 и 09Г2С) может быть объяснено как твердорастворным упрочнением (температурной зависимостью предела растворимости), так и сдвигом температуры фазового превращения Ас3 (γ → γ + α). Полученные результаты могут быть использованы для развития технологии деформационно-термической обработки непрерывно литой листовой стали (“strip-casting”) для создания новых материалов и сталей массового назначения, обладающих улучшенными конечными потребительскими свойствами.
Работа выполнена при финансовой поддержке Российского фонда фундаментальных исследований (проекты № 19-08-00959 и № 20-08-00591).
Список литературы
Евтеев Д.П., Колыбанов И.Н. В кн.: Металлургия: стали, сплавы, процессы. М.: Металлургия, 1982. С. 42.
Engstrom G., Fredriksson H., Rogberg B. // Scand. J. Metallurgy. 1983. No. 12. P. 3.
Сих М.П. В кн.: Анализ поверхности методами Оже- и рентгеновской фотоэлектронной спектроскопии. М.: Мир, 1987. 600 с.
Sugden A.A.B., Bhadenshia H.K.D.H. // Mater. Sci. Technol. 1989. V. 5. No. 10. P. 977.
Ландау Л.Д., Лифшиц Е.М. Статистическая физика. Ч. 1. Теоретическая физика. М.: ФИЗМАТЛИТ, 2013. 620 с.
Гуляев А.П. Металловедение. М.: Металлургия, 1986. 544 с.
Кубашевски О. Диаграммы состояния двойных систем на основе желез. М.: Металлургия, 1985. 183 с.
Зельднер А.Г. QiuckBASIC для носорога. М.: ABF, 1994. 480 с.
Никитин Г.С., Галкин М.П., Жихарев П.Ю. // Металлургия. 2012. № 10. С. 61.
Дополнительные материалы отсутствуют.
Инструменты
Известия РАН. Серия физическая



