Журнал высшей нервной деятельности им. И.П. Павлова, 2023, T. 73, № 3, стр. 425-432
Половые и линейные различия у мышей DISC1-L100P и C57BL/6 В угашении условной реакции пассивного избегания
Н. Д. Чижова 1, 2, *, К. В. Смирнова 1, 3, Н. И. Дубровина 1, Т. В. Липина 1, Т. Г. Амстиславская 1, 3, **
1 Научно-исследовательский институт нейронаук и медицины
Новосибирск, Россия
2 Федеральный исследовательский центр Институт цитологии и генетики
Новосибирск, Россия
3 Новосибирский национальный исследовательский государственный университет
Новосибирск, Россия
* E-mail: chizhovand@neuronm.ru
** E-mail: amstislavskayatg@neuronm.ru
Поступила в редакцию 28.10.2022
После доработки 27.01.2023
Принята к публикации 27.02.2023
- EDN: TTCZGH
- DOI: 10.31857/S004446772303005X
Аннотация
Исследовали половые и межлинейные различия процессов обучения и угашения условной реакции пассивного избегания у самцов и самок мышей линии DISC1-L100P и контрольных мышей линии C57BL/6. Было показано, что самцы и самки мышей обеих линий хорошо обучались условной реакции пассивного избегания, но различались по угашению памяти о страхе – способности формировать новый след памяти о безопасности ранее наказуемого темного отсека установки в процедуре многократного тестирования. Обнаружен дефицит угашения условной реакции пассивного избегания у самок мышей DISC1-L100P и C57BL/6 по сравнению с самцами. Одновременно выявлены межлинейные различия в динамике угашения этой реакции у самок мышей этих линий. Показано также, что DISC1-L100P самцы отличались от контроля по времени достижения полного угашения данной реакции.
ВВЕДЕНИЕ
Шизофрения – психическое расстройство, сопровождающееся нарушениями восприятия, мышления, эмоциональных реакций и проявляющееся различной симптоматикой (Киренская и др., 2013). При исследовании патофизиологических механизмов шизофрении широко используются модели на животных (Clifton et al., 2018; Lipina, Roder, 2014; Uliana et al., 2018; Winship et al., 2019).
Среди множества экспериментальных моделей шизофрении наибольший интерес в последние годы вызвали генетические модели с нарушением гена DISC1 (Disrupted-In-Schizophrenia-1, “Нарушенный при шизофрении-1”), подробно описанные в ряде обзоров (Lipina, Roder, 2014; Tomoda et al., 2016). Наиболее изучена генетическая линия мышей DISC1-L100P с точечной мутацией во 2-м экзоне гена DISC1, приводящей к замене лейцина на пролин в позиции 100 аминокислоты протеина DISC1. Установлены следующие особенности поведения мышей DISC1-L100P: нарушения престимульного торможения акустической реакции вздрагивания, латентного торможения, дефицит рабочей памяти, а также гиперактивность (Clapcote et al., 2007; Walsh et al., 2012). Следует отметить, что у мышей DISC1-L100P обнаружен дефицит латентного торможения наказуемого питьевого поведения (Clapcote et al., 2007). Также показано уменьшение объема мозга на 13% и плотности дендритных шипиков на 15–20% в гиппокампе и фронтальной коре (Clapcote et al., 2007).
В работах по анализу обучения в тестах контекстуальной и сигнальной условных реакций страха у грызунов в разных моделях шизофрении получены достаточно противоречивые данные (Дубровина и др., 2017; Brown et al., 2015; Clifton et al., 2018; Olaya et al., 2018).
Угашение реакции условнорефлекторного страха заключается в формировании новой условной реакции торможения, которая соревнуется с ранее выработанным рефлексом (Bouton et al., 2021; Velasco et al., 2019). Этот процесс является одним из центральных при организации адаптивного поведения и в первую очередь подвержен изменениям при психопатологиях. В немногочисленных исследованиях на грызунах с использованием экспериментальных моделей шизофрении показан преимущественно дефицит угашения памяти о страхе (Brown et al., 2015; Clifton et al., 2018; Uliana et al., 2018).
В последние годы специальное внимание стали уделять исследованиям половых различий в связи с необходимостью индивидуального подхода к лечению шизофрении (Velasco et al., 2019; Winship et al., 2019). Известно, что у мужчин более высокая предрасположенность к такой болезни с ярко выраженными негативными симптомами, в то время как у женщин преобладают аффективные проявления. При использовании экспериментальных моделей шизофрении половые различия показаны преимущественно в поведенческих реакциях (Dachtler et al., 2016; Velasco et al., 2019; Winship et al., 2019). Исследований же половых различий в угашении условнорефлекторного страха у мышей DISC1-L100P не проводилось, хотя получены свидетельства значимой роли пола в этом процессе (Gruene et al., 2015; Ribeiro et al., 2010; Clark et al., 2019; Velasco et al., 2019; Day, Stevenson, 2020).
В связи с вышеизложенным цель настоящей работы заключалась в изучении половых и линейных особенностей угашения условной реакции пассивного избегания у мышей DISC1-L100P по сравнению с мышами C57BL/6.
МЕТОДИКА
Опыты проводили на 48 мышах линий C57BL/6 (контрольная линия) и DISC1-L100P, составивших 4 группы: 1-ая группа – самцы мышей C57BL/6 в возрасте 3–4 мес. (n = 12), 2-ая – самки C57BL/6, 3–4 мес. (n = 12), 3-ая – самцы DISC1-L100P, 3–4 мес. (n = 12), 4-ая – самки DISC1-L100P, 3–4 мес. (n = 12). Линия мышей DISC1-L100P получена в институте RIKEN (Япония) методом ENU (N-нитрозо-N-этилмочевина) –индуцированного мутагенеза на генетическом фоне мышей C57BL/6 (Clapcote et al., 2007). Животных содержали по 4 особи в клетке (OptiMice Biotech A.S.; 34 × 29 × 15 см) при свободном доступе к пище и воде. Опыты проводили с соблюдением принципов гуманности в соответствии с требованиями Директивы 2010/63/EU Европейского Парламента и Совета от 22 сентября 2010 г. и “Правилами лабораторной практики”, утвержденными приказом Министерства здравоохранения и социального развития Российской Федерации (№ 708н от 23.08.2010).
Выработку условной реакции пассивного избегания осуществляли по общепринятой методике однократного обучения в экспериментальной камере с темным и светлым отсеками в автоматизированной установке “Gemini avoidance system” (San-Diego Instruments, США). Опыт состоял из трех сессий – ознакомление с установкой (1 день), обучение (1 день) и угашение (24 дня). Мышь всегда высаживалась в освещенный отсек хвостом к открытой гильотинной двери. В сессии ознакомления животное могло свободно обследовать оба отсека установки в течение 180 с.
В день обучения дверь между отсеками закрывалась при переходе мыши в темный отсек всеми четырьмя лапами, где она получала болевое электрокожное раздражение током 0.75 мА в течение 2 с. Через 10–20 с после обучения животное переносили в домашнюю клетку. Следует отметить, что реакция на болевое раздражение (писк и прыжки) была примерно одинаковой у всех мышей.
Угашение представляет собой экспериментальную процедуру, которая включает повторяющееся многократное предъявление условного стимула (контекст экспериментальной установки), уже не сигнализирующего об опасности. В сессии угашения мышь после перехода в темный отсек переносили в домашнюю клетку. С помощью программного обеспечения Gemini автоматически регистрировался латентный период перехода в темное отделение. Латентный период перехода в день обучения отражал исходное время, характерное для реакции перехода в предпочитаемый темный отсек камеры, при тестировании через 24 ч являлся показателем выработки условной реакции пассивного избегания, а при последующих 24 тестированиях – угашения этой реакции.
Статистическую обработку результатов из-за несоответствия нормальному распределению данных в выборках (определено по критерию Шапиро–Уилка) проводили с использованием непараметрических методов: критерием Фридмана для связанных выборок анализировали латентный период перехода в программе STATISTICA 10; далее проводили попарные сравнения этого времени между тестированиями при помощи критерия Дарбина–Коновера в программе Jamovi (версия 2.2.5).
РЕЗУЛЬТАТЫ ИССЛЕДОВАНИЙ
Обучение условной реакции пассивного избегания проявлялось в увеличении латентного периода перехода в темную камеру при тестировании через 24 ч по сравнению с днем выработки рефлекса (рис. 1). Анализ данного показателя за эти два дня при помощи критерия Фридмана выявил эффект повторных измерений для самцов (χ2 = 12; df = 1; p < 0.001), самок (χ2 = 8.33; df = 1; p < 0.01) C57BL/6, самцов и самок мышей DISC1-L100P (χ2 = = 8.33; df = 1; p < 0.01 и χ2 = 12; df = 1; p < 0.001, соответственно). Результаты свидетельствуют о том, что мыши линий DISC1-L100P и C57BL/6 хорошо обучились пассивному избеганию, так как не было достоверных различий в средних значениях латентного периода перехода между группами мышей. В то же время при анализе эффективности обучения у отдельных мышей обнаружены различия между самцами и самками обеих линий. У самцов C57BL/6 максимальный латентный период перехода регистрировался у 11 из 12 особей, у DISC1-L100P – у 6; у самок C57BL/6 – у 8, у DISC1-L100P – у 6 из 12.
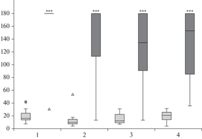
Рис. 1.
Выработка условной реакции пассивного избегания у самцов и самок мышей линий DISC1-L100P и C57BL/6. Светлые прямоугольники – латентный период перехода в темный отсек в день обучения, темные – латентный период перехода в темный отсек при тестировании через 24 ч после обучения. Показаны медиана, межквартильный размах (прямоугольники) – от первого до третьего квартиля, максимальное и минимальное значение данных в пределах 1.5 × IQR (усы); точки данных за пределами прямоугольников – выбросы (○) и экстремумы (Δ). По оси ординат – латентный период перехода в темный отсек, с; по оси абсцисс – группы мышей: 1 – самцы C57BL/6; 2 – самки C57BL/6; 3 – самцы DISC1-L100P; 4 – самки DISC1-L100P. *** – p < 0.001 по сравнению с днем обучения. Примечание: 11 из 12 самцов C57BL/6 показали максимальное время латентного периода перехода, и только 1 перешел на 30.8 с, из-за чего данный метод анализа рассматривает эту точку как экстремум, не учитывая ее в расчетах медианы, межквартильного размаха и усов, поэтому на графике все эти данные находятся в одной точке (180 с). Fig. 1. Acquisition of the passive avoidance response in male and female mice of strains DISC1-L100P and C57BL/6. Light boxplots show the latent period of transition in a dark compartment in the day of training, dark gray boxplots – the step through latencies at testing in 24 hours after training (median, from the first to third quartile (box) and the lowest and highest data points still within 1.5 × IQR (whiskers); data points falling outside boxes are considered outliers (○) and extremes (Δ)). On the ordinate axis – the latent period of transition to a dark compartment, s; on the abscissa axis – groups of mice: 1 – males C57BL/6; 2 – females C57BL/6; 3 – males DISC1-L100P; 4 – females DISC1-L100P. *** – p < 0.001 compared to the training day. Note: 11 out of 12 C57BL/6 males showed the maximum latency period of the transition and only 1 switched to 30.8 s, which is why this analysis method considers the point as an extremum, not taking it into account in the calculations of the median, interquartile range and whiskers, therefore, on the graph, all this data is at one point (180 s).

На рис. 2 представлена динамика развития угашения выработанного рефлекса по мере многократного тестирования в экспериментальной установке без включения электрического раздражения при переходе мыши в темную камеру у мышей C57BL/6 и DISC1-L100P. Отчетливо видны половые различия в угашении условной реакции пассивного избегания у этих мышей. При анализе показателей латентного периода перехода в течение 24 тестирований критерием Фридмана было показано влияние повторных измерений для самцов и самок C57BL/6 (χ2 = 172.50; df = 23; p < 0.001 и χ2 = 101.57; df = 23; p < 0.001 соответственно) и самцов DISC1-L100P (χ2 = = 117.01; df = 23; p < 0.001), но не для самок DISC1-L100P (χ2 = 32.34; df = 23; p = 0.09).
Рис. 2.
Половые и межлинейные различия угашения условной реакции пассивного избегания у мышей линий DISC1-L100P и C57BL/6: (а) – самцы C57BL/6; (б) – самки C57BL/6; (в) – самцы DISC1-L100P; (г) – самки DISC1-L100P. Показаны медиана и межквартильный размах (усы). По оси ординат – латентный период перехода в темный отсек, с; по оси абсцисс – порядковый номер тестирования. * – p < 0.05 по сравнению с первым днем тестирования (показано только начало угашения – то есть первый такой день); также показаны дни полного угашения условной реакции пассивного избегания (p > 0.05 по сравнению с днем обучения). Fig. 2. Sex and interstrain differences of the passive avoidance extinction in mice of strains DISC1-L100P and C57BL/6: (а) – males C57BL/6; (б) – females C57BL/6; (в) – males DISC1-L100P; (г) – females DISC1-L100P. Median and interquartile range (whiskers) are shown. On the ordinate axis – the latent period of transition to a dark compartment, s; on the abscissa axis – ordinal number of testing. * – p < 0.05 compared to the first day of testing (only the beginning of extinction is shown, that is, the first such day is marked); the days of complete extinction of passive avoidance conditioned reaction are also shown (p > 0.05 compared to the training day).

Последующие попарные сравнения позволили детальнее оценить зависимость половых различий в угашении от генотипа мышей. Для самок мышей обеих линий характерна задержка угашения. Так, у самок C57BL/6 снижение значений латентного периода перехода относительно уровня обучения (1-й тест после обучения) происходило при 10-м тестировании (p < 0.001), а у самцов начиналось с 8-го теста (p < 0.001). У самцов DISC1-L100P угашение начиналось с 6-го теста (p < 0.01). Обращает на себя внимание нестабильность процесса угашения у самок DISC1-L100P – в периоды 6–11, 13, 15, 16, 18, 20–24 дней их латентный период захода в темный отсек статистически значимо отличался от значения в первый день тестирования. Поскольку в течение всей процедуры угашения самки DISC1-L100P не достигли полного угашения реакции, мы считаем, что у этой группы мышей выявлено “нарушение” процесса угашения, хотя, возможно, более длительное тестирование позволило бы обнаружить у них и полное угашение.
Оценка времени достижения полного угашения, когда значения латентного периода перехода при тестировании не отличались от показателей в день выработки рефлекса, также является показателем межлинейных различий процесса угашения. Показано, что у самцов C57BL/6 полное угашение наступило при 10-м тестировании, а у самцов DISC1-L100P – при 6-м, что отражает ускоренное угашение у последних. У самок C57BL/6 полное угашение произошло при 17-м тесте, а у самок DISC1-L100P даже после 24 “напоминаний” контекста экспериментальной установки значения латентного периода перехода достоверно отличались от данных в день выработки рефлекса (p < 0.05), но были несколько ниже, чем в начале процедуры угашения. Так, у трех самок мышей DISC1-L100P максимальный латентный период (180 с) сохранился в течение всего периода тестирования (24 сут). У двух самок высокий латентный период, равный 133 и 89 с, наблюдался на 24-е сутки при регистрации максимальных значений в течение 11 и 13 дней тестирования. У одной самки снижение латентного периода происходило на 22–24-е сутки при регистрации максимального показателя в течение 19 дней тестирования. У C57BL/6 самок максимальный латентный период регистрировался у одной особи на 22-е и у одной – на 19-е сутки тестирования, у остальных самок наблюдалось постепенное его снижение, свидетельствующее о формировании нового следа памяти о безопасности темного отсека вплоть до полного угашения ранее выработанной УРПИ.
Таким образом, мутация DISC1-L100P приводила к ускоренному угашению условной реакции пассивного избегания у самцов, тогда как у самок она вызывала нарушение динамики процесса угашения, вплоть до полного его отсутствия за период тестирования.
ОБСУЖДЕНИЕ РЕЗУЛЬТАТОВ
Один из основных результатов работы заключается в обнаруженном нами дефиците угашения пассивного избегания у самок как контрольных мышей C57BL/6, так и мышей DISC1-L100P по сравнению с самцами. Согласно исследованиям, в которых проводился анализ половых различий угашения выработанных аверсивных условных реакций по показателям замирания (фризинг), самки грызунов характеризовались замедленной скоростью формирования нового следа памяти о безопасности условного стимула (контекст, звук, свет), ранее сочетавшегося с болевым наказанием (Ribeiro et al., 2010; Clark et al., 2019; Velasco et al., 2019). Это соответствует нашим данным, полученным с использованием теста условной реакции пассивного избегания на мышах двух генотипов.
Что может лежать в основе половых различий в угашении реакции пассивного избегания у мышей дикого типа и DISC1-L100P?
Можно предположить, что самки мышей обеих линий более чувствительны к болевому раздражению. Однако в немногочисленных специальных экспериментах по анализу болевой чувствительности к электрическому току на самцах и самках мышей и крыс не выявлено существенных половых различий (Greiner et al., 2019; Kelley et al., 2009).
Более вероятным представляется предположение, что дефицит угашения условной реакции пассивного избегания у самок мышей C57BL/6 и DISC1-L100P связан с предрасположенностью к сохранению реакции страха при многократном предъявлении ставшего безопасным контекста установки. Это предположение согласуется с результатами, полученными А. Кайзером и соавт. (Keiser et al., 2017) при анализе процесса генерализации страха при воспроизведении контекстуальной условной эмоциональной реакции у самцов и самок мышей C57BL/6. Показано, что в экспрессию условнорефлекторного страха вовлечены разные мозговые структуры – у самок преимущественно базолатеральная миндалина, у самцов гиппокамп, а в его торможение – медиальная префронтальная кора, функционирование которой имеет половые различия, приводящие к более слабому подавлению реакции страха у самок (Marek et al., 2018; Park, Chung et al., 2019; Day et al., 2020; Day, Stevenson, 2020). Показано также, что у самок существенно снижена способность дифференцировать сигналы, свидетельствующие об опасности или безопасности контекста (Greiner et al., 2019), хотя есть и другие данные (Clark et al., 2019).
Нельзя исключить и вклад разной стратегии поведения грызунов при встрече с потенциальной угрозой – активной у самок и пассивной у самцов, как было показано в разных поведенческих и когнитивных тестах (Colom-Lapetina et al., 2019; Greiner et al., 2019; Gruene et al., 2015).
Существенным результатом работы является выявленное у самцов DISC1-L100P более быстрое достижение полного угашения по сравнению с контрольными самцами, что оказалось неожиданным, поскольку у самцов грызунов в других моделях шизофрении исследователи регистрировали задержку угашения аверсивных условных реакций (Brown et al., 2015; Clifton et al., 2018; Uliana et al., 2018). Можно предположить, что различия в угашении у самцов DISC1-L100P и C57BL/6 отражает их различия и в поведенческих реакциях. Известно, что самцы DISC1-L100P отличаются от контроля повышенной двигательной активностью, сниженной амплитудой акустической реакции вздрагивания (startle), свидетельствующей о менее выраженном проявлении страха (Clapcote et al., 2007; Walsh et al., 2012).
Относительно межлинейных различий в угашении памяти о страхе у самок мышей C57BL/6 и DISC1-L100P необходимо отметить неравнозначность времени сохранения условной реакции пассивного избегания. У самок дикого типа после 10-го тестирования след памяти о наказании в “опасном” при обучении отсеке установки не воспроизводился в результате формирования нового следа памяти о безопасности темного отсека. У самок DISC1-L100P экспрессия условнорефлекторной реакции страха продолжалась до 24-го тестирования.
Какие особенности поведения у самок этих линий мышей могут быть причиной таких различий?
Поскольку угашение развивается параллельно с процессом привыкания, то не исключено, что более сильный дефект угашения у самок DISC1-L100P по сравнению с C57BL/6 обусловлен генетически детерминированными различиями в привыкании к окружающей обстановке. Известно, что у мышей DISC1-L100P, независимо от пола, отмечался дефицит престимульного торможения акустической реакции вздрагивания и латентного торможения, свидетельствующий о нарушении переключения внимания и, как следствие, снижении способности формировать новую ассоциацию (Clapcote et al., 2007; Walsh et al., 2012). Кроме того, возможной причиной разной длительности процесса угашения у самок DISC1-L100P и C57BL/6 мышей может быть их различная тревожность. Косвенным подтверждением этому служат данные о повышенной тревожности у самок мышей DISC1D453G, сходных по поведенческим реакциям с DISC1-L100P, относительно контрольных (Dachtler et al., 2016). При визуальном наблюдении мы отмечали, что реакции страха в виде дрожания всем телом и частых ударов хвостом проявлялись больше у самок DISC1-L100P.
Итак, приходится признать, что дать точный ответ, с какими особенностями поведенческого статуса мышей DISC1-L100P и C57BL/6 связаны половые и межлинейные различия в угашении условной реакции пассивного избегания, ни литературные, ни наши данные не позволяют. Ясно, что проблема анализа феномена угашения памяти о страхе у самцов и самок мышей на моделях шизофрении требует мультидисциплинарного подхода.
ВЫВОДЫ
1. Половые различия в динамике угашения у мышей DISC1-L100P и C57BL/6 заключались в достоверно более длительном сохранении воспроизведения условной реакции пассивного избегания у самок по сравнению с самцами.
2. Межлинейные различия наиболее значимыми были между самками мышей DISC1-L100P и C57BL/6 и проявились в дефиците угашения условной реакции пассивного избегания у самок DISC1-L100P.
Список литературы
Дубровина Н.И., Храпова М.В., Липина Т.В. Особенности формирования памяти о страхе у мышей с депрессивно- и шизофрено-подобным фенотипами: влияние пола и возраста. Рос. физиол. журн. им. И.М. Сеченова. 2017. 103 (1): 10–21.
Киренская А.В., Сторожева З.И., Мямлин В.В., Ткаченко А.А. Концепция эндофенотипов в нейрофизиологических исследованиях шизофрении. Журн. высш. нервн. деят. им. И.П. Павлова. 2013. 63 (6): 625–642.
Bouton M.E., Maren S., McNally G.P. Behavioral and Neurobiological Mechanisms of Pavlovian and Instrumental Extinction Learning. Physiol Rev. 2021. 01 (2): 611–681.
Brown J.A., Ramikie T.S., Schmidt M.J., Báldi R., Garbett K., Everheart M.G., Warren L.E., Gellért L., Horváth S., Patel S., Mirnics K. Inhibition of parvalbumin-expressing interneurons results in complex behavioral changes. Mol. Psychiatry. 2015. 20 (12): 1499–1507.
Clapcote S.J., Lipina T.V., Millar J.K., Mackie S., Christie S., Ogawa F., Lerch J.P., Trimble K., Uchiyama M., Sakuraba Y., Kaneda H., Shiroishi T., Houslay M.D., Henkelman R.M., Sled J.G., Gondo Y., Porteous D.J., Roder J.C. Behavioral phenotypes of Disc1 missense mutations in mice. Neuron.2007. 54 (3): 387–402.
Clark J.W., Drummond S.P.A., Hoyer D., Jacobson L.H. Sex differences in mouse models of fear inhibition: Fear extinction, safety learning, and fear-safety discrimination. Br. J. Pharmacol. 2019. 176 (21): 4149–4158.
Clifton N.E., Thomas K.L., Hall J. The effect of ketamine on the consolidation and extinction of contextual fear memory. J.Psychopharmacol. 2018. 32 (2): 156–162.
Colom-Lapetina J., Li A.J., Pelegrina-Perez T.C., Shansky R.M. Behavioral diversity across classic rodent models is sex-dependent. Front. Behav. Neurosci. 2019. 13: 45.
Dachtler J., Elliott C., Rodgers R.J., Baillie G.S., Clapcote S.J. Missense mutation in DISC1 C-terminal coiled-coil has GSK3β signaling and sex-dependent behavioral effects in mice. Sci. Rep. 2016. 6: 18 748.
Day H.L.L., Stevenson C.W. The neurobiological basis of sex differences in learned fear and its inhibition. Eur. J. Neurosci. 2020. 52 (1): 2466–2486.
Day H.L.L., Suwansawang S., Halliday D.M., Stevenson C.W. Sex differences in auditory fear discrimination are associated with altered medial prefrontal cortex function. Sci. Rep. 2020. 10 (1): 6300.
Greiner E.M., Müller I., Norris M.R., Ng K.H., Sangha S. Sex differences in fear regulation and reward-seeking behaviors in a fear-safety-reward discrimination task. Behav. Brain Res. 2019. 368: 111903.
Gruene T.M., Flick K., Stefano A., Shea S.D., Shansky R.M. Sexually divergent expression of active and passive conditioned fear responses in rats. Elife. 2015. 4. pii: e11352.
Keiser A.A., Turnbull L.M., Darian M.A., Feldman D.E., Song I., Tronson N.C. Sex differences in context fear generalization and recruitment of hippocampus and amygdala during retrieval. Neuropsychopharmacology. 2017. 42 (2): 397–407.
Kelley J.B., Balda M.A., Anderson K.L., Itzhak Y. Impairments in fear conditioning in mice lacking the nNOS gene. Learn. Mem. 2009. 16 (6): 371–378.
Lipina T.V., Roder J.C. Disrupted- In-Schizophrenia-1 (DISC1) interactome and mental disorders: impact of mouse models. Neurosci.Biobehav.Rev. 2014. 45: 271–294.
Marek R., Xu L., Sullivan R.K.P., Sah P. Excitatory connections between the prelimbic and infralimbic medial prefrontal cortex show a role for the prelimbic cortex in fear extinction. Nat. Neurosci. 2018. 21 (5): 654–658.
Olaya J.C., Heusner C.L., Matsumoto M., Sinclair D., Kondo M.A., Karl T., Shannon Weickert C. Overexpression of neuregulin 1 type III confers hippocampal mRNA alterations and schizophrenia-like behaviors in mice. Schizophr. Bull. 2018. 44 (4): 865–875.
Park K., Chung C. Systemic Cellular Activation Mapping of an Extinction-Impaired Animal Model. Front. Cell. Neurosci. 2019. 13: 99.
Ribeiro A.M., Barbosa F.F., Godinho M.R., Fernandes V.S., Munguba H., Melo T.G., Barbosa M.T., Eufrasio R.A., Cabral A., Izidio G.S., Silva R.H. Sex differences in aversive memory in rats: possible role of extinction and reactive emotional factors. Brain Cogn. 2010. 74 (2): 145–151.
Tomoda T., Sumitomo A., Jaaro-Peled H., Sawa A. Utility and validity of DISC1 mouse models in biological psychiatry. Neuroscience. 2016. 321: 99–107.
Uliana D.L., Resstel L.B.M., Grace A.A. Fear extinction disruption in a developmental rodent model of schizophrenia correlates with an impairment in basolateral amygdala-medial prefrontal cortex plasticity. Neuropsychopharmacology. 2018. 43 (12): 2459–2467.
Velasco E.R., Florido A., Milad M.R., AnderoR. Sex differences in fear extinction. Neurosci. Biobehav.Rev. 2019. 103: 81–108.
Walsh J., Desbonnet L., Clarke N., Waddington J.L., O’Tuathaigh C.M. Disruption of exploratory and habituation behavior in mice with mutation of DISC1: an ethologically based analysis. J. Neurosci. Res. 2012. 90 (7): 1445–1453.
Winship I.R., Dursun S.M., Baker G.B., Balista P.A., Kandratavicius L., Maia-de-Oliveira J.P., Hallak J., Howland J.G. An overview of animal models related to schizophrenia. Can. J. Psychiatry. 2019. 64 (1): 5–17.
Дополнительные материалы отсутствуют.
Инструменты
Журнал высшей нервной деятельности им. И.П. Павлова


