Химия твердого топлива, 2023, № 2-3, стр. 26-34
СОСТАВ ОРГАНИЧЕСКИХ СОЕДИНЕНИЙ ТОРФОВ РАЗНОГО ТИПА ЮЖНО-ТАЕЖНОЙ ПОДЗОНЫ ЗАПАДНОЙ СИБИРИ
О. В. Серебренникова 1, *, И. В. Русских 1, **, Е. Б. Стрельникова 1, ***, Ю. А. Харанжевская 2, 3, ****, Д. В. Федоров 1
1 ФГБУН Институт химии нефти СО РАН (ИХН СО РАН)
634055 Томск, Россия
2 Сибирский научно-исследовательский институт сельского хозяйства и торфа – филиал СФНЦА РАН
634050 Томск, Россия
3 Национальный исследовательский Томский государственный университет
634050 Томск, Россия
* E-mail: ovs49@yahoo.com
** E-mail: rus@ipc.tsc.ru
*** E-mail: seb@ipc.tsc.ru
**** E-mail: kharan@yandex.ru
Поступила в редакцию 27.10.2022
После доработки 27.10.2022
Принята к публикации 07.12.2022
- EDN: BPPXAE
- DOI: 10.31857/S0023117723020135
Аннотация
С использованием хромато-масс-спектрометрического метода исследованы ациклические (н-алканы, н-алкан-2-оны, жирные кислоты, метиловые эфиры жирных кислот, н-альдегиды, сквален, фитон и изомеры фитола) и циклические (серии ди- и тритерпеноидов, стероидов и токоферолов, фитонадион и дигидроактинидиолид) органические соединения в торфах верховых и низинных болот южно-таежной подзоны Западной Сибири, многие из которых являются биологически активными. В низинных торфах преобладают ациклические структуры, среди которых доминируют н-алкан-2-оны, в отличие от верховых, в которых преобладают н-алканы. Распределение пентациклических тритерпеноидов, н-алканов, н-алкан-2-онов и метиловых эфиров жирных кислот во многом определяется ботаническим составом торфа, индивидуальный состав стероидов – уровнем минерализации и окислительно-восстановительным потенциалом болотных вод.
Торф является одним из широко распространенных твердых горючих ископаемых. Во всем мире добыча и переработка торфа являются высокорентабельными (30–40%) и перспективными видами деятельности. Мировая потребность в торфе имеет четко выраженную тенденцию к неуклонному росту. Самый высокий экспорт торфа и торфяной продукции на современном этапе отмечается в Германии – 1700 тыс. т. Россия имеет огромные запасы торфа, которые составляют 31.4% от мировых [1]. В настоящее время торф широко используется в теплоэнергетике, сельском хозяйстве, медицине, машиностроении, металлургии и в других областях промышленности. Торфа Западной Сибири с ее огромными ресурсами (составляют более 70% от общероссийских) изучены сравнительно слабо [2].
Торфяные болота исключительно разнообразны и поэтому по-разному будут себя проявлять при добыче и использовании. Только зная, какое именно сырье оптимально для производства конкретной продукции, можно начинать искать под нее сырьевую базу. Зная характеристики торфа в конкретной залежи, можно грамотно решить, какими методами его добывать, для чего использовать [1]. За последнее время существенно возрос интерес к изучению биологически активных веществ (БАВ) торфов, способных интенсифицировать процессы микробного синтеза, регулировать процессы роста и развития различных организмов. Это связано с возможностью получения продукции на основе торфа – удобрений, стимуляторов роста, средств защиты растений для сельского хозяйства, лекарственных препаратов для животных и человека. Спектр БАВ и других полезных органических соединений торфов достаточно широк и неоднороден по отдельным месторождениям и зависит от условий образования месторождения, глубины залегания и др. факторов. Использование сырьевой базы торфяных месторождений без предварительной оценки содержания отдельных ее составляющих и в целом запасов каждой этой составляющей делает дорогостоящие в последующем эксперименты не обоснованными [3].
Данная работа посвящена исследованию особенностей состава органических соединений в торфах разных типов болот Томской области.
ОБЪЕКТЫ И МЕТОДЫ ИССЛЕДОВАНИЯ
Отбор проб торфа осуществляли с помощью торфяного пробоотборочного бура ТБГ-1 на верховых и низинных болотах южно-таежной подзоны Западной Сибири из скважин глубиной 1 м (табл. 1). Пробы торфа были отобраны на глубине 30–60 см, чтоб исключить антропогенное воздействие.
Таблица 1.
Характеристика исследованных торфов болот Томской области
| Индекс образца | Болото | Геоморфо-логическое положение | Ботанический состав торфа | Коорди-наты | Степень раз-ложения, % |
|---|---|---|---|---|---|
| ВЦ | Верховое Центральное | 3-я Надпойменная терраса р. Кеть | Верховой фускум-торф: Sphagnum fuscum – 90%, пушица – 5%, кустарнички – 5% | 58°18'57.7'' 84°55'59.5'' |
5 |
| ВБ | Верховое Большое | 3-я Надпойменная терраса р. Обь | Верховой фускум-торф: Sphagnum fuscum – 95%, Sphagnum divinum, кустарнички – 5%. | 58°47'51.7'' 81°11'50.8'' |
10 |
| ВБ3 | Верховое Бакчарское П3 (отроги Большого Васюганского болота) | Междуречье рек Бакчар и Икса | Верховой фускум-торф: Sphagnum fuscum – 85%, Sphagnum divinum – 5%, Sphagnum angustifolium – 5%, ерниковые кустарнички – 5% | 56°58'24.3'' 82°36'41.2'' |
5 |
| ВБ5 | Верховое Бакчарское П5 (отроги Большого Васюганского болота) | Междуречье рек Бакчар и Икса | Верховой магелланикум-торф: Sphagnum divinum – 55%,Sphagnum balticum – 10%, ерниковые кустарнички – 5%, пушица – 25%, Sphagnum majus – 5% | 56°58'17.3'' 82°37'04.5'' |
10 |
| НС | Низинное Самара | 1-я Надпойменная терраса р. Бакчар | Осоковый низинный торф: Carex rostrata – 40%, Carex lasiocarpa – 15%, Carex diandra – 5%, Drepanocladus aduncus – 10%, пушица – 10%, Meesia triquetra, Carex appropinquata – 5%, Betula nana – 10%, вахта – 5%. | 56°55'301'' 82°30'41.1'' |
20 |
| НИ | Низинное Ишколь | Пойма р. Чулым | Осоково-гипновый низинный торф: Drepanocladus aduncus – 40%, Carex rostrata – 30%, вахта – 10%, Carex diandra, Hamatocaulis vernicosus – 20%. | 57°11'51.4'' 85°54'8.2'' |
30 |
Болото Центральное расположено на третьей надпойменной террасе реки Кеть в Колпашевском районе Томской области. Отбор проб осуществляли в мочажине в пределах грядово-мочажинного комплекса. Травяно-кустарничковый ярус исследуемого участка болота образован Andromeda polifolia, Scheuchzeria palustris, Rhynchospora alba, моховой ярус – Sphagnum majus и Sphagnum balticum. Мощность торфяной залежи 1.7 м.
Болото Большое расположено на третьей надпойменной террасе реки Обь в Парабельском районе Томской области. Отбор проб осуществляли в пределах не нарушенного сосново-кустарничково-сфагнового фитоценоза с низкой сосной. Древесный ярус на исследуемом участке болота образован Pinus sylvestris; травяно-кустарничковый ярус – Ledum palustre, Chamaedaphne calyculata, Andromeda polifolia, Vaccinium uliginosum, Oxicoccus microcarpus, Eriophorum vaginatum, Rubus chamaemorus, Drosera rotundifolia; моховой ярус – Sphagnum fuscum. Торфяная залежь в точке отбора пробы – верхового типа, мощностью 2.7 м.
Бакчарское болото (северо-восточные отроги Большого Васюганского болота) расположено в междуречье рек Бакчар и Икса (бассейн р. Чая) в Бакчарском районе Томской области. Отбор проб осуществляли в пределах сосново-кустарничково-сфагнового фитоценоза с низкой сосной (П3), а также осоково-сфагновой топи (П5). Древесный ярус в пределах сосново-кустарничково-сфагнового фитоценоза (П3) образован сосной (проективное покрытие 40%), травяно-кустарничковый ярус – Ledum palustre, Chamaedaphne calyculata, Andromeda polifolia, Vaccinium uliginosum, Eriophorum vaginatum, Oxicoccus microcarpus, Rubus chamaemorus. Моховой ярус состоит из сфагновых мхов (Sphagnum fuscum 80%, Sphagnum divinum 10%, Sphagnum angustifolium 10%). В пределах осоково-сфагновой топи (П5) кустарничковый ярус представлен Andromeda polifolia, Oxycoccus palustris Chamaedaphne calyculata, проективное покрытие яруса – 10%. В травяном ярусе встречаются Eriophorum vaginatum, Carex rostrate с проективным покрытием 70%. Моховой ярус представлен различными видами сфагновых мхов Sphagnum balticum, Sphagnum divinum, проективное покрытие 60%. Мощность торфяной залежи на обоих участках составляет 2.85 м.
Болото Ишколь расположено на левобережной притеррасной пойме р. Чулым в Асиновском районе Томской области в 100 км на северо-восток от г. Томска. Отбор проб проводили в пределах лиственнично-осокового кустарничково-гипнового болота. Древесный ярус представлен разреженной Larix sibirica. Из кустарничков преобладают Betula humilis и Betula nana, Andromeda polifolia и Oxicoccus microcarpus. Из травянистых растений доминируют Eriophorum vaginatum и Carex rostrata, присутствует Dactylorhiza fuchsii и Menyanthes trifoliata. В моховом покрове доминируют зеленые мхи. Мощность торфяной залежи 2.2 м, она сложена осоково-гипновым и древесным низинными торфами.
Болото Самара расположено в Бакчарском районе на террасе р. Бакчар. Растительность представляет собой березово-сосново-травяно-сфагновый фитоценоз. Древесно-кустарничковый ярус представлен Pinus sylvestris и Salix cinerea. Кустарничковый ярус образован исключительно Betula nana, в травяном ярусе преобладает болотное разнотравье с участием Comarum palustre, Menyanthes trifoliata, Typha latifolia и Petasítes frigidus. Моховой покров кочек образован Sphagnum divinum и Sphagnum fuscum. В понижениях Sphagnum rubellum, Sphagnum divinum, Dicranum polysetum, Calliergonella cuspidata, Calliergon cordifolium. Мощность торфяной залежи составляет 4 м.
Ботанический состав и степень разложения торфа определяли по ГОСТ 28245.2-89 [4]. При отборе проб торфа параллельно проводили определение рН, EC, ОВП, О2, СО2 в болотных водах. Минерализацию болотных вод определяли по сумме ионов после проведения полного макрокомпонентного анализа в Лабораторно-аналитическом центре СибНИИСХИТ-филиала СФНЦА РАН. Величину рН вод измеряли с помощью полевого прибора рН-200 фирмы HM Digital (США), окислительно-восстановительный потенциал (ОВП) определяли прибором ORP-200 фирмы HM Digital (США). Определение содержания растворенного O2 в болотных водах проводили с использованием оксиметра HI 9146 фирмы HANNA (Германия). Определение СО2 в болотных водах проводили титрованием проб раствором NaOH в присутствии сегнетовой соли и индикатора фенолфталеин (ФР.1.31.2005.01580). Электропроводность вод (ЕС) определяли с помощью кондуктометра HI 8733 фирмы HANNA (Германия). Химическое потребление кислорода (ХПК) определяли бихроматным методом согласно ГОСТ 31859-2012 [5].
Для анализа состава органического вещества (ОВ) образцы торфа были высушены и измельчены. Органические соединения сконцентрированы путем экстракции 7% раствором метанола в хлороформе при 60°С. Их состав исследовали методом хромато-масс-спектрометрии с использованием магнитного хромато-масс-спектрометра DFS фирмы “Thermo Scientific” (Германия), аттестованного с погрешностью определения не более 5%. Режим работы хроматографа: кварцевая капиллярная хроматографическая колонка фирмы “Agilent” с внутренним диаметром 0.25 мм, длиной 30 м, толщина фазы 0.25 мкм, неподвижная фаза – TR-5MS; газ-носитель – гелий, температура испарителя 250°С, температура интерфейса 250°С. Индивидуальные соединения идентифицировали по масс-фрагментограммам в программе X-Calibur 10 с использованием компьютерной библиотеки масс-спектров NIST.
ОБСУЖДЕНИЕ РЕЗУЛЬТАТОВ
В работе исследован состав торфов верховых и низинных болот южно-таежной подзоны Западной Сибири, отличающихся положением в рельефе, происхождением, характером питания, кислотностью и минерализацией водной среды. Для низинных болот характерно грунтовое питание, для верховых – атмосферное [6]. Низинные болота располагаются на пониженных участках рельефа в поймах и террасах рек, по берегам озер, в местах выхода подземных вод. Верховые болота находятся на плоских водоразделах и питаются преимущественно за счет атмосферных осадков.
Воды верховых болот характеризуются низкой минерализацией, которая варьирует в диапазоне 24.7–30.6 мг/дм3, тогда как в низинных болотах отмечено увеличение минерализации вод в среднем в 5–19 раз (табл. 2). По величине рН воды верховых болот кислые (среднее рН = 4.26), низинные болота имеют реакцию среды, близкую к нейтральной. Окислительно-восстановительный потенциал в исследуемых водах верховых болот практически не отличается и свидетельствует об устойчивых окислительных условиях (ОВП > 0), тогда как в низинных болотах отмечается восстановительная обстановка. Содержание О2 в водах верховых болот варьирует от 0.14 до 0.51 мг/дм3, а в водах низинных болот изменяется в более широком диапазоне – от 0.13 до 0.80 мг/дм3. Содержание органических веществ в исследуемых болотных водах по величине ХПК, а также концентрации СО2 имеет более сложную динамику, что определяется их генетическими особенностями и интенсивностью водообмена. Так, повышенными величинами ХПК характеризуются пробы, отобранные в пределах верховых болот Центральное, Большое и Бакчарское (П3), а максимальные значения отмечены в водах низинного болота Самара, что вероятно свидетельствует о характерных для него тенденциях смены растительного покрова и типа водно-минерального питания. Снижение величин ХПК вод до 94.0–98.5 мгО/л отмечается в водах низинного болота Ишколь, а также на участке осоково-сфагновой топи Бакчарского болота. Воды Бакчарского болота, а также низинного болота Самара характеризуются низкими концентрациями СО2 (25.4–47.9 мг/дм3), тогда как в водах верховых болот Центральное, Большое, а также Ишколь, концентрации увеличиваются в среднем в 2–4 раза.
Таблица 2.
Показатели химического состава болотных вод
| Болото | Тип болота | Общая минера-лизация, мг/дм3 | ЕС, мкСм/см | рН | ОВП, мВ | ХПК, мгО/дм3 | СО2, мг/дм3 | О2, мгО2/дм3 |
|---|---|---|---|---|---|---|---|---|
| Центральное | Верховое | 28.47 | 35 | 4.29 | 282 | 126.7 | 98.7 | 0.50 |
| Большое | Верховое | 28.84 | 36 | 4.03 | 281 | 126.7 | 77.8 | 0.51 |
| Бакчарское П3 | Верховое | 30.6 | 41 | 4.21 | 280 | 128.1 | 25.4 | 0.30 |
| Бакчарское П5 | Верховое | 24.7 | 27 | 4.50 | 280 | 98.5 | 47.9 | 0.14 |
| Самара | Низинное | 158.7 | 116 | 6.77 | –12 | 167.5 | 35.9 | 0.13 |
| Ишколь | Низинное | 538.2 | 485 | 6.70 | –166 | 94.0 | 80.8 | 0.80 |
В образцах торфа идентифицированы группы и отдельные представители ациклических (табл. 3) и циклических (табл. 4) структур. Их усредненное суммарное содержание варьирует от 94 мкг/г в низинных торфах до 240 мкг/г – в верховых. Содержание ациклических соединений в верховых и низинных торфах сопоставимо и составляет в среднем 54 и 64 мкг/г соответственно. Содержание циклических разностей изменяется в более широких пределах, достигая 253–367 мкг/г в верховых фускум-торфах с содержанием Sphagnum fuscum ≥90% и снижаясь до 11 мкг/г в низинном осоково-гипновом торфе (табл. 4). В целом в верховых торфах доминируют циклические структуры, а в низинных – преобладают ациклические.
Таблица 3.
Содержание ациклических соединений в торфах
| Индекс образца | Содержание, мкг/г | ||||||||
|---|---|---|---|---|---|---|---|---|---|
| Алк | Скв | ЖК | МЭ | Аон | Фитон | Изомеры фитола | Альд | Сумма ациклических соединений |
|
| Верховой торф | |||||||||
| ВЦ | 24.49 | 8.07 | 12.09 | 0.49 | 8.33 | 0.82 | 2.31 | 7.88 | 64.48 |
| ВБ | 14.18 | 4.47 | 11.76 | 0.36 | 10.74 | 1.11 | 2.43 | 10.87 | 55.91 |
| ВБ3 | 19.06 | 1.79 | 8.46 | 0.44 | 9.32 | 0.86 | 2.20 | 8.64 | 50.77 |
| ВБ5 | 21.99 | 1.10 | 13.05 | 0.73 | 4.16 | 0.71 | 2.87 | 1.57 | 46.18 |
| Низинный торф | |||||||||
| НС | 34.65 | 1.67 | 9.68 | 1.22 | 47.52 | 1.06 | 3.36 | 2.84 | 102.00 |
| НИ | 5.60 | 0.21 | 1.42 | 0.87 | 13.68 | 0.27 | 1.29 | 2.05 | 25.40 |
Таблица 4.
Содержание циклических соединений в торфах
| Индекс образца | Содержание, мкг/г | Циклические/ ациклические |
|||||||
|---|---|---|---|---|---|---|---|---|---|
| СТ | ДТ | ПЦТ | Стероиды | ТФ | ФТД | ДГА | Сумма циклических |
||
| Верховой торф | |||||||||
| ВЦ | 0.25 | 1.03 | 196.00 | 46.08 | 9.76 | 0.07 | 0 | 253.19 | 3.93 |
| ВБ | 0.21 | 0.72 | 278.89 | 48.01 | 8.84 | 0.06 | 0 | 336.73 | 6.02 |
| ВБ3 | 0.29 | 2.10 | 63.57 | 14.64 | 5.38 | 0.06 | 0.02 | 85.06 | 1.69 |
| ВБ5 | 0.02 | 1.65 | 29.02 | 32.34 | 3.78 | 0.07 | 0.04 | 66.92 | 1.45 |
| Низинный торф | |||||||||
| НС | 0.01 | 0 | 34.05 | 11.20 | 4.03 | 0.40 | 0.03 | 49.72 | 0.48 |
| НИ | 0.06 | 0 | 3.15 | 6.05 | 0.65 | 0.03 | 0.15 | 10.09 | 0.39 |
Среди ациклических органических соединений в торфах идентифицированы группы соединений: н-алканы, н-алкан-2-оны, жирные кислоты, метиловые эфиры жирных кислот, н-альдегиды (табл. 3), а также представители ациклических изопреноидов: тритерпен сквален, являющийся промежуточным продуктом в метаболизме тритерпеноидов и стероидов, а также дитерпеноиды фитон и изомеры фитола. В верховых торфах среди ациклических соединений преобладают н-алканы (табл. 3), их относительное содержание составляет 25–48%, в низинных торфах доминируют н-алкан-2-оны (47–54 отн. %). Такие компоненты, как жирные кислоты и н-альдегиды, в большинстве верховых торфов более распространены по сравнению с низинными. Максимальное содержание биологически активного сквалена зафиксировано в верховом торфе болота Центральное, содержание фитона и фитола незначительно повышено в низинном торфе болота Самара.
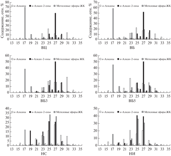
Анализ молекулярно-массового распределения (ММР) н-алканов (рис. 1) показал доминирование высокомолекулярных нечетных гомологов С21–С33 во всех исследованных образцах торфа. Торфа исследуемых верховых болот состоят из Sphagnum fuscum на 85–95% (Центральное, Большое, Бакчарское П3); из Sphagnum divinum на 55% и Sphagnum balticum на 10% (Бакчарское П5). В составе алканов верхового торфа преобладают гомологи: С25, характерный для Sphagnum fuscum, и С23, доминирующий в Sphagnum divinum и Sphagnum balticum. Такое распределение н-алканов в различных сфагновых торфах и мхах показано в работах [7–11]. В отличие от торфа, отобранного на участке осоково-сфагновой топи Бакчарского болота (П5), в котором преобладающим алканом является С23, в торфе на участке низкого ряма Бакчарского болота (П3), наряду с высоким содержанием С25, определено максимальное количество С31. Подобное распределение встречается в некоторых сфагновых торфах [12]. В низинных осоково-гипновом (Ишколь) и осоковом (Самара) торфах доминируют алканы С23–С27 и С27 соответственно.
Рис. 1.
Молекулярно-массовое распределение н-алканов, н-алкан-2-онов и метиловых эфиров жирных кислот в торфах.

Во всех торфах н-алкан-2-оны представлены соединениями С19–С33 с преобладанием нечетных структур (рис. 1). В верховых торфах доминирует гомолог С27, на который приходится около половины общего содержания н-алкан-2-онов, что характерно для сфагновых торфов в целом [10, 11]. В низинных торфах, образованных преимущественно осокой и гипновыми мхами, в равных количествах с С27 присутствует гомолог С25.
В ряду жирных кислот С8–С24 всех торфов: доминируют четные кислоты С14–С20 с преобладанием пальмитиновой кислоты, характерной для широкого ряда живых организмов. Обнаружены также метиловые эфиры жирных кислот С17–С31 с бимодальным распределением: максимумы приходятся на С17 и С25–С27 (рис. 1). В верховых торфах преобладает гомолог С17 (эфир пальмитиновой кислоты), а в низинных – С25 и С27 – эфиры тетракозановой и гексакозановой кислот, присутствующих в маслах и восках некоторых высших растений.
Таким образом, влияние условий торфообразования на состав ациклических разностей, идентифицированных в составе липидов верховых и низинных торфов, выражается в соотношении тех или иных групп идентифицированных соединений. Изменения в индивидуальном составе ациклических соединений, таких как н-алканы. н-алкан-2-оны, метиловые эфиры жирных кислот являются следствием разного состава растений-торфообразователей для верховых и низинных торфов. Повышенным содержанием биологически активного сквалена отличается фускум-торф болота Центральное.
В составе идентифицированных циклических соединений фускум-торфов преобладают пентациклические тритерпеноиды (табл. 4). Их содержание в торфах снижается от 279 до 64 мкг/г параллельно снижению (от 95 до 85%) вклада Sphagnum fuscum. В торфе с преобладанием Sphagnum divinum повышена доля стероидов, концентрация которых даже несколько выше ПЦТ (32 и 29 мкг/г соответственно). В осоковом низинном торфе, как и в большинстве исследованных торфов, в максимальной концентрации присутствуют ПЦТ, а в осоково-гипновом среди циклических структур преобладают стероиды. Содержание сесквитерпеноидов и дитерпеноидов существенно ниже, чем стероидов и ПЦТ. При этом в низинных торфах ДТ не зафиксированы. Витамин Е – группа токоферолов в максимальной концентрации присутствует в фускум-торфах, К1 – фитонадион – в низинном осоковом торфе. Дигидроактинидиолид, являющийся аллелохимическим агентом [13, 14], отсутствует в фускум-торфах болот Центральное и Большое, а его максимальное количество отмечено в низинном осоково-гипновом торфе.
В составе ПЦТ идентифицированы две серии соединений. Это структуры, ядром которых являются пять сопряженных шестичленных кольца – пергидропицены (ПГП), и соединения, состоящие из пятичленного и четырех шестичленных колец. Последние относятся к классу гопаноидов (в большинстве С30), отдельные представители которых различаются наличием и положением ненасыщенной связи в молекуле. Доля гопаноидов в составе ПЦТ верховых торфов варьирует от 8% в сфагнум-торфе болота Бакчарское до 22–28% в остальных, в среднем, 21%. В низинных торфах их относительное содержание несколько выше (31 и 32%). В составе гопаноидов всех исследованных торфов идентифицированы Δ17(21) гопен и диплоптен (Δ22(29)). Гопены Δ12 и Δ13(18) с преобладанием в составе гопаноидов Δ13(18) обнаружены в большинстве торфов, за исключением осоково-гипнового (болото Ишколь, характеризующееся высокой минерализацией и низким значением окислительно-восстановительного потенциала болотных вод), в котором, в отличие от остальных, в максимальной относительной концентрации присутствуют диплоптен и насыщенные гопанон, гопанол, а также гопаны С30 и С31 с конфигурацией 17β, 21β.
Все идентифицированные молекулы ПГП содержат 8 метильных заместителей в обрамлении макроцикла и 1–2 ненасыщенные связи: Δ7, Δ12, Δ14, Δ13(18) и Δ9(11),12. В соответствии с положением метильных заместителей ПГП подразделяются на олеанены, урсены и фриедоолеанены. Наряду с метильными, в 3-м положении макроцикла в части соединений присутствует карбонильная, спиртовая, или ацетатная группа. Во всех исследованных верховых торфах в составе ПГП доминирует тараксерен (углеводород Д-фриедоолеан-14-ен). В целом углеводороды являются основными представителями ПГП в большинстве верховых торфов, а доля соединений с функциональными группами не высока (15–35%). Только в фускум-торфе болота Бакчарское превалируют соединения с кислородсодержащим заместителем (68%). Преобладание этих соединений зафиксировано также в низинных торфах: 55% – в осоковом и 97% – в осоково-гипновом. При этом в фускум-торфе болота Бакчарское и в низинном осоковом торфе в близкой с Д-фриедоолеан-14-еном концентрации присутствует урс-12-ен-3-он, а в осоково-гипновом торфе урс-12-ен-3-он является основным представителем ПГП.
Стероиды в исследованных торфах представлены четырьмя группами соединений, в основе которых лежат молекулы холестана (С27), эргостана (С28), стигмастана (С29) и ланостана (С30–32) с различным положением, наличием, или отсутствием 1–2 ненасыщенных связей, карбонильного, спиртового, или ацетатного заместителя.
Анализ суммарного содержания соединений отдельных групп в составе стероидов (рис. 2) показывает, что во всех исследованных торфах доминируют стероиды С29, а С27 присутствуют в минимальном количестве. Повышенным относительным количеством С28 отличается верховой магелланикум-торф осоково-сфагновой топи (ВБ5). Верховые торфа в целом отличаются от низинных существенно более высоким содержанием стероидов группы ланостана с максимальной концентрацией в торфе болота Большое, а повышенное количество стероидов С27 присутствует в низинном осоково-гипновом и верховом магелланикум-торфе.
В составе стероидов С29 фускум-торфов доминирует ситостерол (стигмаст-5-ен-3-ол) в концентрации 23–31 мкг/г сухого торфа, в магелланикум-торфе преобладает стигмастерол – стигмаста-5.22-диен-3-ол (6.2 мкг/г), а в низинных – насыщенный стигмастан-3-он (2.3 и 2.6 мкг/г). Основным компонентом стероидов С28 всех исследованных верховых торфов является кампестерол – эргост-5-ен-3-ол (0.5–3.9 мкг/г), а в магелланикум-торфе, в близкой с ним концентрации (2.0 мкг/г), присутствует эргоста-5,22-диен-3-ол. В низинных торфах в составе стероидов С28 преобладает эргостан-3-он (0.4 и 0.2 мкг/г). Стероиды С27 верховых торфов обогащены холестеролом (0.2–0.6 мкг/г), низинные – холестан-3-оном (0.1 мкг/г). В магелланикум-торфе, как и среди С28, наряду с холестеролом (холест-5-ен-3-олом) в идентичной концентрации (0.5 мкг/г) зафиксирован холеста-5,22-диен-3-ол. Таким образом, в составе С29, С28 и С27 стероидов верховых торфов основную роль играют моно- и ди- ненасыщенные структуры, доминирующие в болотных растениях [10, 15]; в низинных торфах, вследствие восстановительных условий в водах низинных болот и гидрирования ненасыщенных связей исходных стеролов и стенонов доминируют насыщенные представители стероидов. Одновременно повышенная минерализация низинных болот могла способствовать окислению спиртовой группы до кетонной.
Доминирующим соединением ряда ланостана в фускум-торфах является ацетат ланостерола (2.9–7.5 мкг/г), в магелланикум-торфе преобладает обтусифолиол (4.14-диметилэргоста-8.24(28)-диен-3-oл) в концентрации 4.7 мкг/г, в низинных торфах – ланоста-8.24-диен-3-он (0.3 и 0.5 мкг/г).
Сесквитерпеноиды присутствуют в исследованных торфах в очень малых количествах (табл. 4). В их составе в фускум-торфах преобладает калакорен, в магелланикум-торфе – γ-селинен, в низинных торфах – δ-кадинен и циклосативен.
Содержание дитерпеноидов, присутствующих только в верховых торфах, не превышает 2.1 мкг/г (табл. 4). В их состав входят обладающие антимикробной активностью [16] производные смоляных кислот: пимаровой, абиетиновой и дегидроабиетиновой, а в фускум-торфе болота Бакчарское 69% ДТ приходится на трахилобан, потенциально обладающий антивозрастными и противоопухолевыми свойствами [17].
ЗАКЛЮЧЕНИЕ
Верховые и низинные торфа, залегающие в южно-таежной подзоне Западной Сибири в пределах Томской области, характеризуются высоким содержанием и большим разнообразием ациклических и циклических органических соединений. В низинных осоковом и осоково-гипновом торфах преобладают ациклические структуры, среди которых доминируют н-алкан-2-оны. Их индивидуальный состав, а также состав н-алканов и метиловых эфиров жирных кислот в большинстве исследованных торфов определяется составом растений-торфообразователей. В верховых торфах доминируют циклические структуры, из них в максимальном количестве присутствуют пентациклические тритерпеноиды, содержание которых возрастает с увеличением вклада в состав торфообразующих растений Sphagnum fuscum. Кроме того, верховые торфа отличаются от низинных существенно более высоким относительным содержанием в составе стероидов соединений группы ланостана. В целом среди стероидов верховых торфов основную роль играют доминирующие в болотных растениях моно- и диненасыщенные структуры: ситостерол (в фускум-торфах) и стигмастерол (в магелланикум-торфе), в низинных торфах в максимальной концентрации присутствует насыщенный стигмастан-3-он. Наблюдаемые отличия в составе органических соединений верховых и низинных торфов могут быть связаны с различными гидрохимическими показателями болот. Так, преобладание насыщенных представителей стероидов в низинных торфах отвечает восстановительным условиям в водах низинных болот, приводящим к гидрированию ненасыщенных связей исходных биологических стеролов, а окислению спиртовой группы до кетонной способствует повышенная минерализация этих вод.
Полученные результаты могут быть использованы для выбора направлений рационального применения торфяного сырья, поскольку некоторые идентифицированные органические соединения являются биологически активными веществами. Так, все исследованные верховые торфа болот Центральное, Большое и Бакчарское характеризуются высокой концентрацией многочисленных пентациклических тритерпеноидов и стероидов, способных воздействовать на различные физиологические функции организмов. В них присутствуют обладающие антимикробной активностью дитерпеноиды – производные смоляных кислот: пимаровой, абиетиновой и дегидроабиетиновой, а также трахилобан, обнаруженный в фускум-торфе болота Бакчарское, а в фускум-торфе болота Центральное отмечено повышенное содержание биологически активного сквалена.
Максимальные концентрации токоферолов, известных антиоксидантов, зафиксированы в фускум-торфах, витамина К1 – в низинном торфе болота Самара, а повышенное количество дигидроактинидиолида, являющегося аллелохимическим агентом, – в низинном торфе болота Ишколь.
Список литературы
Материалы Всероссийской с международным участием X школы молодых ученых “Болота и биосфера”. Тверь, 2018. 311 с.
Анисимова О.В., Никитина Н.Ю., Маслов С.Г. // Матер. XIX Междунар. научн.-практ. конф. студентов и молодых ученых имени профессора Л.П. Кулева “Химия и химическая технология в XXI веке”. Томск, 2018. С. 343.
Анисимова О.В., Денисенко Д.А., Маслов С.Г. // Матер. Всерос. с международным участием X школы молодых ученых “Болота и биосфера”. Тверь, 2018. С. 115.
ГОСТ 28245.2-89. Торф. Методы определения ботанического состава и степени разложения. М.: Стандартинформ, 2006. 7 с.
ГОСТ 31859-2012. Вода. Метод определения химического потребления кислорода. М.: Стандартинформ, 2014. 8 с.
Сукачев В.Н. Проблемы фитоценологии. Избр. тр. в 3 томах. Л.: Наука, 1975. Т. 3. 543 с.
Pancost R.D., Baas M., van Geel B., Sinninghe Damste J.S. // Org. Geochem. 2002. V. 33. P. 675.
Bingham E.M., McClymont E.L., Valiranta M., Mauquoy D., Roberts Z., Chambers F.M., Pancost R.D., Evershed R.P. // Org. Geochem. 2010. V. 41. P. 214.
Серебренникова О.В., Дучко М.А., Коронатова Н.Г., Стрельникова Е.Б. // ХТТ. 2018. № 1. С. 38. [Solid Fuel Chemistry, 2018, vol. 52, no. 1, p. 36. https://doi.org/10.7868/S00231177180185].https://doi.org/10.3103/S0361521918010081
Стрельникова Е.Б., Русских И.В., Прейс Ю.И. // ХТТ. 2021. № 5 С. 56. [Solid Fuel Chemistry. 2021, vol. 55, no. 5, p. 321. https://doi.org/10.3103/S0361521921040066]https://doi.org/10.31857/S002311772104006X
Серебренникова О.В., Стрельникова Е.Б., Русских И.В. // Химия растительного сырья. 2019. № 3. С. 225. https://doi.org/10.14258/jcprm.2019034558
Naafsa B.D.A., Inglisa G.N., Blewetta J., McClymontc E.L., Lauretanoa V., Xied S., Eversheda R.P., Pancosta R.D. // Glob. Planet. Change. 2019. V. 179. P. 57. https://doi.org/10.1016/j.gloplacha.2019.05.006
Cheng J.T., Chang S.S., Hsu F.L. // J. Pharm. Pharmacol. 1994. №. 46. C. 469.
Wafa N., Sofiane G., Ouarda D. // Int. J. Pharma Res. Health Sci. 2017. V. 5. № 3. P. 1698.
Серебренникова О.В., Гулая Е.В., Стрельникова Е.Б., Кадычагов П.Б., Прейс Ю.И., Дучко М.А. // Химия растительного сырья. 2014. № 1. С. 257. https://doi.org/10.14258/jcprm.1401257
Donadio G., Chini M.G., Parisi V., Mensitieri F., Malafronte N., Bifulco G., Bisio A., De Tommasi N., Bader A. // J. Nat. Products. 2022. V. 85. № 7. P. 1667. https://doi.org/10.1021/acs.jnatprod.1c01093
Kudryavtseva A., Krasnov G., Lipatova A., Alekseev B., Maganova F., Shaposhnikov M., Fedorova M., Snezhkina A., Moskalev A. // Oncotarget. 2016. V. 50. № 7. P. 83744. https://doi.org/10.18632/oncotarget.13467
Дополнительные материалы отсутствуют.
Инструменты
Химия твердого топлива



