Микроэлектроника, 2023, T. 52, № 5, стр. 390-403
Закономерности формирования подвижных локализованных магнитных конфигураций и технология изготовления структур для реализации элементов магнитной памяти
А. В. Проказников 1, *, В. А. Папорков 2, В. А. Чириков 2, Н. А. Евсеева 2
1 Ярославский филиал Физико-технологического института им. К.А. Валиева РАН
Ярославль, Россия
2 Ярославский государственный университет им. П.Г. Демидова
Ярославль, Россия
* E-mail: prokaznikov@mail.ru
Поступила в редакцию 12.04.2023
После доработки 10.07.2023
Принята к публикации 10.07.2023
- EDN: PYWZNO
- DOI: 10.31857/S0544126923700485
Аннотация
На основании компьютерного моделирования и анализа технологических, экспериментальных и теоретических результатов сформулированы технологические требования к формированию электронных устройств, базирующихся на магнитных вихрях и скирмионах. Проведены оценки основных видов взаимодействий, определяемых технологическими факторами. Изучены конструктивные особенности электронных устройств на магнитных вихрях и скирмионах. Исследованы различные технологические подходы к изготовлению структур с разными свойствами магнитной анизотропии.
1. ВВЕДЕНИЕ
Магнитные структуры с различной конфигурацией элементарных магнитных моментов, локализованные на нанометровых масштабах, привлекают внимание исследователей на протяжении последнего десятилетия благодаря стремлению использования этих объектов в электронных устройствах нового поколения [1]. Разработка электронных устройств, основанных и функционирующих на новых принципах, является одной из приоритетных задач современных теоретических и технологических исследований в области микро- и наноэлектроники [2]. Неизменный интерес последних лет связан с использованием топологических особенностей различных физических объектов, например, таких как локализованные в наноструктурах магнитные конфигурации, а также нетривиальную геометрию поверхностей и интерфейсов [3–6]. Локализованные магнитные конфигурации типа вихревых структур являются фундаментальным свойством различных физических явлений, таких как вихри в сверхпроводящих и сверхтекучих состояниях (вихри Абрикосова [7, 8], джозефсоновские вихри [7, 8], вихри в системах, демонстрирующих дробный эффект Холла [9, 10] и т.д.), вихревые структуры в сегнетоэлектрических соединениях [11]. Отметим, что в последнем случае имеют место вихревые состояния на основе элементарных электрических дипольных моментов в сверхрешетках сегнетоэлектрических соединений [(PbTiO3)n/(SrTiO3)n]m в отличие от вихревых магнитных структур в случае абрикосовских и джозефсоновских вихрей в сверхпроводящей среде, а также вихрей в пленках магнитных веществ. Вихревые структуры и их свойства исследовались также в сверхтекучем состоянии [12], где они взаимодействуют с различными объектами такими как ротоны, фононы, примеси. Вихревые состояния активно исследуются также в хромодинамике плотной кварковой материи [13], состояния которой обладают также свойствами сверхпроводимости и сверхтекучести. С точки зрения технологических приложений вихревые состояния привлекают внимание в качестве перспективных кандидатов при разработке логических элементов, ячеек памяти, возможности реализации квантовой логики (кубитов) (см. например, [14–16] и др.).
Технологические подходы для создания и управления состояниями с компактными локализованными магнитными конфигурациями достаточно подробно рассматривалось в большом числе современных научных работ, в частности, в работе [17] получены многослойные структуры на основе сплава CoPt, в которых исследовались формирование и модификация скирмионных состояний под воздействием ионного облучения. Представленные в работе [17] результаты позволяют указать путь к управлению свойствами локализованных магнитных конфигураций. В работе [18] оценено изменение константы взаимодействия Дзялошинского–Мория, необходимой для формирования устойчивого скирмионного состояния, при воздействии ионного облучения. Все это позволяет разработать технологию формирования и управления состояниями с компактными локализованными магнитными конфигурациями с целью использования их в разработках электронных устройств, основанных на новых принципах.
Теория топологических магнитных структур основывается на нелинейной сигма-модели (см. например, [19, 20]). Согласно теории топологические системы с особой конфигурацией магнитных моментов такие как магнитные вихри, скирмионы и т.п. могут возникать и существовать в особых магнитных структурах [3]. Много-вихревые состояния реализуются в двумерных магнитных системах [21] при определенных условиях, как предсказывает теория. Локализованные магнитные конфигурации образуются также на искривленных поверхностях [5, 22–24]. Специфика искривленных поверхностей способствует возникновению эффективных взаимодействий, которые облегчают возникновение локализованных магнитных конфигураций [5, 24].
Все сказанное выше ставит задачи технологического воплощения разработанных идей включения вихревых топологических конфигураций в функционирование конкретных электронных устройств. Для решения этой задачи важным моментом является отработка различных элементов и процессов путем компьютерного моделирования. Это позволяет более конкретно и точно сформулировать требования к технологическим процессам и топологии устройств, функционирующих с использованием специфики вихревых структур.
2. МЕТОДИКА ПРИГОТОВЛЕНИЯ ОБРАЗЦОВ И МАГНИТООПТИЧЕСКИХ ИЗМЕРЕНИЙ
Пленки металлов осаждались методом магнетронного распыления на установке SCR-651 “Tetra” (Alcatel). Для распыления мишени Co, Fe, Pt, Ru чистотой 99.95% использовался Ar чистотой 99.998%, при давлении 0.9 Па, остаточное давление было равно 5 × 10–5 Па, высокочастотная мощность на мишени была равна 300 Вт. Пленки осаждали на поверхность пластин Si (100) с плавающим потенциалом на подложке.
В качестве составной мишени для формирования системы Fe-Pt использовался диск платины диаметром 100 мм, на который были равномерно выложены пластинки железа в форме секторов круга. Расстояние между мишенью и подложкой было 100 мм. Подложка сапфира (Al2O3) располагалась над мишенью и нагревалась с тыльной стороны излучением печи. При распылении на мишень подавалось ВЧ напряжение (13.56 MГц) мощностью для образца 1 (FePt) − 300 Вт для образца 2 (FePt) − 100 Вт. Несколько первых минут мишень распылялась на заслонку для очистки. За несколько секунд до открытия заслонки на подложку подавалось ВЧ смещение с постоянной составляющей небольшой величины (–10 В относительно корпуса) для активации ее поверхности слабой ионной бомбардировкой. Состав образца 1 представлял собой твердый раствор Fe–Pt (10/6), образца 2 – Fe–Pt (9/7), толщины пленок составляли 200 нм.
В работе исследовались магнитооптические петли гистерезиса (МОПГ) и угловые зависимости амплитудных значений магнитооптического экваториального эффекта Керра (МОЭЭК) и коэффициентов отражения. Исследования проводились при комнатной температуре. Образец помещался между полюсами электромагнита, создающего магнитное поле частотой 30 Гц с амплитудой до 500 Э, достаточной для магнитного насыщения образца. Поляризованный в плоскости падения (p-волна) лазерный пучок света диаметром 1 мм падал на поверхность пленки под разными углами в стандартной конфигурации для измерений МОЭЭК, при этом направление магнитного поля было перпендикулярным плоскости падения. Измерялась величина:
где ∆I = I(H) – I(0). Здесь I(H) – интенсивность света, отраженного от намагниченной поверхности, а I(0) – интенсивность света, отраженного от ненамагниченной поверхности, H – напряженность магнитного поля. Значение ∆I пропорционально переменной составляющей тока фотоприемника, I(0) пропорционально постоянной составляющей тока. Зависимость величины δ от напряжeнности магнитного поля δ(H) представляла собой магнитооптическую петлю гистерезиса (МОПГ).Длина волны когерентного излучения лазера составляла λ = 633 нм, исследования проводились при комнатной температуре. Диаметр луча лазера составлял порядка 1 мм, поэтому измерялись усредненные характеристики отраженного сигнала.
3. КОМПЬЮТЕРНОЕ МОДЕЛИРОВАНИЕ МАГНИТНЫХ ВИХРЕВЫХ СТРУКТУР
Расчет возможных конфигураций магнитных моментов для различных систем может быть осуществлен посредством компьютерного моделирования на основе уравнения Ландау–Лифшица, учитывая различные механизмы взаимодействия магнитных моментов. Компьютерное моделирование основывается на математическом описании релаксационных процессов магнитной подсистемы посредством уравнения Ландау–Лифшица, которое включает различные механизмы взаимодействия магнитных моментов с эффективным магнитным полем [25]:
Для безразмерной, приведенной намагниченности $\vec {m}\left( {t,{\kern 1pt} \vec {r}} \right)$ это уравнение имеет следующий вид:
(1)
$\partial{ \vec {m}}{\text{/}}\partial t = - \gamma {\kern 1pt} '\vec {m}{{\vec {H}}_{{{\text{eff}}}}} - \lambda \vec {m}\vec {m}{{\vec {H}}_{{{\text{eff}}}}},$(2)
$\partial{ \vec {m}}{\text{/}}\partial t = - \gamma \vec {m}{{\vec {H}}_{{{\text{eff}}}}} + \alpha \vec {m}\partial{ \vec {m}}{\text{/}}\partial t,$Магнитный момент $\vec {M}\left( {\vec {r}} \right)$ в малом элементарном объеме ΔVr в точке $\vec {r}$ выражается согласно формуле:
(3)
$\vec {M}\left( {\vec {r}} \right) = {{\Sigma {{{\vec {\mu }}}_{i}}} \mathord{\left/ {\vphantom {{\Sigma {{{\vec {\mu }}}_{i}}} {\Delta {{V}_{r}}}}} \right. \kern-0em} {\Delta {{V}_{r}}}},$(4)
${{\vec {H}}_{{{\text{eff}}}}} = - \frac{1}{{{{\mu }_{0}}}}\frac{{\partial \varepsilon }}{{\partial{ \vec {M}}}},$(5)
$\varepsilon = {{\varepsilon }_{Z}} + {{\varepsilon }_{{{\text{ex}}}}} + {{\varepsilon }_{{{\text{DMI}}}}} + {{\varepsilon }_{{{\text{an}}}}} + {{\varepsilon }_{{{\text{demag}}}}}.$Плотность энергии зеемановского взаимодействия описывается выражением:
${{\vec {H}}_{{{\text{ext}}}}}$ − напряженность внешнего магнитного поля. Плотность обменной энергии имеет вид:(7)
${{\varepsilon }_{{{\text{ex}}}}} = {{A}_{{{\text{ex}}}}}{{\left( {\nabla \vec {m}} \right)}^{2}},$(8)
${{\varepsilon }_{{{\text{DMI}}}}} = D\left[ {{{m}_{z}}\left( {\nabla \vec {m}} \right) - \left( {\nabla \vec {m}} \right){{m}_{z}}} \right],$(9)
${{\varepsilon }_{{an}}} = - 1{\text{/}}2{{K}_{1}}{{\left( {\vec {u} \cdot \vec {m}} \right)}^{2}},$(10)
${{\varepsilon }_{{{\text{demag}}}}} = - 1{\text{/}}2\vec {M}{{\vec {B}}_{{{\text{demag}}}}},\,\,\,\,{{\vec {B}}_{{demag}}} = - {{\mu }_{0}}N\vec {M},$Учет наличия токового состояния производится согласно результатом работы [25–27] путем добавления в уравнения соответствующих слагаемых:
(11)
${{d\vec {m}} \mathord{\left/ {\vphantom {{d\vec {m}} {dt = \gamma {{{\vec {H}}}_{{{\text{eff}}}}}}}} \right. \kern-0em} {dt = \gamma {{{\vec {H}}}_{{{\text{eff}}}}}}}\vec {m} + \alpha \vec {m}{{d\vec {m}} \mathord{\left/ {\vphantom {{d\vec {m}} {dt}}} \right. \kern-0em} {dt}} - \vec {m}\left( {\vec {m}\left[ {b\vec {J}\nabla } \right]\vec {m}} \right) - \beta \left[ {b\vec {J}\nabla } \right]\vec {m},$Объектом моделирования являлись полые цилиндры диаметром, соответственно, 150, 250, 500 нм и высотой, соответственно, 15, 20, 30 и 100 нм. Значение намагниченности насыщения равнялось М0 = 1.44 × 106 А/м. Направление вектора анизотропии составляло угол 5° с вертикальной осью Z, перпендикулярной поверхности основания цилиндра. Значение константы анизотропии изменялось от значения, равного константе анизотропии пленки кобальта K1 = 4.4 × 104 Дж/м3, также полагалось K1 = 10 × 104 Дж/м3, вплоть до значения для объемного кобальта K1 = 44 × 104 Дж/м3. Компьютерное моделирование осуществлялось в среде MuMax3 [25]. Количество ячеек вычислительной сетки составляло 255 × 255 × 1, размеры ячейки были равны 2 × 10–9 × 2 × 10–9 × 1 × 10–9 м3, полный размер (размер окна) составлял 510 × 10–9 × ×510 × 10–9 × 1 × 10–9 м3. Обменный параметр равнялся Aex = 1.3 × 10−11 Дж/м, параметр затухания α = 0.02, внешнее магнитное поле изменялось от –1 до 1 Тл.
Вектор локальной намагниченности определяется согласно, например, работе [30] на основе выражения $\vec {m} = \left\langle {{{{\vec {S}}}_{{\vec {n}}}}} \right\rangle $ = (sin θcos φ, sin θsin φ, cos θ) , где ${{\vec {S}}_{{\vec {n}}}}$ − единичный вектор, определяющий направление спина в точке $\vec {n}$, θ − угол с вертикальной осью, φ − азимутальный угол, усреднение 〈…〉 проводится по окрестности точки $\vec {n}$, после которого вектор локальной намагниченности приписывается ячейке в точке $\vec {n}$, причем усреднение проводится по окрестности точки $\vec {n}$ с характерным размером l = (A/μ0$M_{0}^{2}$)1/2.
Отметим, что в настоящей работе в ходе микромагнитного моделирования мы имеем дело с двумя различными магнитными состояниями областей поверхности: вихревым и скирмионным. В вихревом состоянии локальный вектор намагниченности лежит в плоскости структуры за исключением ядра магнитного вихря, где вектор намагниченности ортогонален поверхности. В скирмионном состоянии локальный вектор намагниченности имеет ортогональную поверхности составляющую также во всех областях магнитной структуры.
В работе [31] было продемонстрировано посредством микромагнитного моделирования, что на полых магнитных цилиндрах положение ядра магнитного вихря зависит от напряженности внешнего магнитного поля. Показано, что можно перемещать ядро магнитного вихря вдоль всей поверхности цилиндра, включая боковую поверхность и основание.
Магнитный вихрь формируется пленках, которые изготовлены из магнитных материалов с осью магнитной анизотропии, лежащей в плоскости металлической пленки, либо без оси магнитной анизотропии, имеющих концентрическую форму. Здесь рассматривается магнитный вихрь с направлением магнитных моментов в плоскости пленки за исключением ядра вихря. Область формирования магнитного вихря покрывает всю поверхность вокруг ядра вихря, если же магнитный вихрь сформирован на наноструктуре, то ядро магнитного вихря локализуется на участке этой структуры, а остальная поверхность наноструктуры участвует в формировании вихря (см. рис. 1). В этом случае для создания определенного количества магнитных вихрей требуется наличие наноструктурированной среды (bit patterned media). Таким образом, технологическим требованием к применению магнитных вихрей в электронных устройствах является их структурирование.
Рис. 1.
Формирование магнитных вихрей при расстоянии между полыми вертикальными цилиндрами: 20 нм (а), 40 нм (б), 60 нм (в).

Перемагничивание осуществлялось в плоскости основания цилиндра, то есть внешним магнитным полем с индукцией ${{\vec {B}}_{{{\text{ext}}}}}$ = (Bext, 0, 0), направленной вдоль оси анизотропии, К1 = 2.2 × 104 Дж/м3 при этом ось OZ направлена ортогонально плоскости основания цилиндра. Как видно из рис. 1, 2 при увеличении расстояния между цилиндрами несколько меняется характер перемагничивания. При меньших расстояниях цилиндры при перемагничивании влияют друг на друга и вихри образуются не симметрично. Ядра вихрей находятся в различных местах на разных цилиндрах в группе, причем полярности вихрей на разных цилиндрах группы могут быть противоположными. Расположение ядер вихрей различно в разных местах системы на различных цилиндрических элементах. Вид петли гистерезиса также несколько меняется с увеличением расстояния между цилиндрами. При расстоянии между цилиндрами 60 нм петля гистерезиса в значительной мере смыкается вблизи нулевых значениях магнитных полей, в то время как при расстояниях в 40 нм смыкания петли гистерезиса при нулевых значениях напряженностей магнитного поля не происходит. Перемагничивание одного цилиндра происходит иначе по сравнению с перемагничиванием массива цилиндров (см., например, работу [31]). Представленные закономерности вносят ограничения в плотность расположения магнитных элементов.
Рис. 2.
Петли гистерезиса при перемагничивании массива полых вертикальных цилиндров. Диаметр цилиндра 100 нм, высота – 100 нм, толщина пленки – 10 нм, расстояние между цилиндрами: 20 нм (а), 40 нм (б), 60 нм (в).

Локализованные магнитные конфигурации (скирмионы) формируются в тонких пленках, которые изготовлены на основе магнитных материалов с осью легкого намагничивания, перпендикулярной поверхности пленки. В случае использования скирмионов необходимо пространство определенной конфигурации для их зарождения (см. рис. 3, 4). Движение скирмионов вдоль нанопроводов производится спин-поляризованным током, причем вектор плотности тока направлен под углом к оси нанопровода. Таким образом, технологическим требованием, в частности, является создание соответствующих интерфейсов для формирования устойчивых скирмионных конфигураций.
Рис. 3.
Перемещение скирмиона по пластине посредством электрического тока плотностью 1012 А/м2. Стрелки указывают направление тока.

Моделирование перемещения скирмиона по тонкой ферромагнитной пластине с помощью электрического тока осуществлялось следующим образом. Использовались параметры, характерные для тонкого слоя кобальта, нанесенного на диэлектрическую подложку: намагниченность насыщения составляла M0 = 1.44 × 106 А/м, обменный параметр − Aex = 1.3 × 10−11 Дж/м, постоянная затухания Ландау–Лифшица − α = 0.02, константа анизотропи − K1 = 0 Дж/м3, постоянная интерфейсного взаимодействия Дзялошинского–Мория − Dind = 5⋅10−3 Дж/м3, количество ячеек (greed size) − 500 × 100 × 1, размеры ячеек (cellsize) − 1 × × 1 × 1 нм, параметры пластины были следующими: длина пластины − 500 нм, ширина пластины − 100 нм, толщина пластины − 1 нм.
Для формирования скирмиона в металлической полоске производилось следующее. В левой четверти полоски (на рисунке) выделялась область, размером 100 × 100 нм2. Далее эта область перемагничивалась сильным внешним магнитным полем порядка −1.5 Тл), направленным противоположно нормали к поверхности (0,0,–1), то есть было направлено от наблюдателя. Оставшиеся 3/4 полоски находятся в поле +1.5 Тл. Далее поле в первой четверти менялось на противоположное (0,0,1), то есть было направлено на наблюдателя и составляло 0.8 Тл. Область перемагничивалась, начиная с краев, до небольшой точки с противоположной намагниченностью в центре области (скирмиона), здесь важно не упустить момент выключения процесса моделирования. В присутствии этого магнитного поля (порядка 0.8 Тл) скирмион оказывается устойчив. В оставшихся трех четвертях полоски поле уменьшалось также до 0.8 Тл. В этом случае, даже при отсутствии перпендикулярной анизотропии скирмионное состояние оказывалось устойчивым.
Движение скирмиона вдоль металлической полоски осуществлялось с помощью электрического тока. Продольная составляющая плотности тока равнялась 3 × 1012 А/м2, поперечная составляющая была 1.5 × 1012 А/м2 , (+3.0; +1.5) × 1012 А/м2. Скирмион движется против направления тока (см. рис. 3) в силу того, что электрический ток связан с движением положительного заряда, а основу скирмиона составляют электроны. Наличие двух составляющих у движущей силы необходимо в связи с действием на движущийся скирмион силы Магнуса, перпендикулярной направлению скорости, что отмечалось, в частности, в работе [32], в которой подробно рассмотрено движение скирмиона под действием спин-поляризованного тока и представлены силы, действующие на движущийся скирмион.
В среде MuMax3 моделировалось создание и перемещение скирмиона по структуре в виде тонкой ферромагнитной пластины с перпендикулярной анизотропией, представляющей из себя две одинаковые области – вход, выход и узкий канал, связывающий их. Схема элемента представлена на рис. 4. При моделировании использовались различные коэффициенты: намагниченность насыщения полагалась равной M0 = (0.4, 0.45 , … , 0.7) × 106 A/м, константа анизотропии в разных случаях составляла: Ku1 = (70, 75, …, 95, 100) × 104 Дж/м3, ось легкого намагничивания всегда направлена перпендикулярно поверхности пленки AnisU = (0, 0, 1), обменный параметр Aex = 1.5 × 10−11 Дж/м, постоянная затухания Ландау–Лифшица α = 0.02, константа взаимодействия Дзялошинско–Мория − Dind = 3.5 × 10−3 Дж/м2.
Моделирование осуществлялось следующим образом: сначала происходило создание скирмиона на входе с помощью перемагничивания пленки. Начальная ориентация намагниченности пленки на входе была направлена против оси − OZ, на выходе и в канале в направлении оси OZ. Для перемагничивания на входе включалось сильное магнитное поле в направлении оси OZ и в момент времени t1, когда на пластине оставался участок в центре с противоположно намагниченностью, оно выключалось и происходило формирование скирмиона. Далее в момент времени t2, после формирования устойчивого скирмиона, включалось электрическое поле по оси ОХ в направлении от выхода к входу. Плотность тока на входе и выходе составляла 3 × 1012 А/м2, в канале − 3 × 1013 А/м2 в связи с тем, что канала примерно в 10 раз меньше ширины входа и выхода. В момент времени t5 электрический ток отключался, и происходила релаксация, скирмион принимал устойчивое положение на выходе. Ось легкого намагничивания всегда была направлена параллельно внешнему магнитному полю. Угловые элементы на входе и выходе выступают в качестве ловушек для излишних скирмионов или областей с противоположной намагниченностью, образованных при перемагничивании. Таким образом, представленная на рис. 4 схема рабочего элемента является оптимальной с точки зрения формирования устойчивого скирмиона, как показало компьютерное моделирование.
Последовательные шаги при моделировании движения скирмиона спин-поляризованным током состоят из следующих этапов.
1) Включаем внешнее магнитное поле в правой части (область 2) и канале (область 3) +3 Тл, в левой части (область 1) −3 Тл. При меньшей индукции магнитного поля время моделирования увеличится.
2) Запускаем моделирование 0.02 нс.
3) Переключаем поле на всей подложке на +1.1 Тл. При меньшей индукции магнитного поля время моделирования увеличится.
4) Запускаем моделирование 0.11 нс. В правой части области обратного намагничивания (черные области) сжимаются.
5) Выключаем поле полностью.
6) Запускаем моделирование 0.27 нс. В правой части образуются 1 или 3 скирмиона.
7) Включаем плотность электрического тока в левой и правой части J = (−3 × 10+12, –6 × 10+12, 0) и в канале J = (−3 × 10+13, −1 × 10+13, 0).
8) Запускаем моделирование 0.5 нс. Скирмион, образовавшийся по центру левой части, перемещается к каналу и перемещается по каналу в правую часть.
9) Выключаем плотность тока.
10) Запускаем моделирование 0.1 нс. Скирмион в правой части стабилизируется.
Результатом указанных действий является следующая динамика, представленная на рис. 5.
Рис. 5.
Последовательные этапы создания и движения скримиона вдоль проводника спин-поляризованным током. Формирование скирмиона (а, б), сформированный скирмион (в), последовательные стадии прохождения скирмиона через проводящую перемычку (г–е).

Небольшие изменения параметров моделирования несколько изменяют динамику процессов, хотя в целом сценарий прохождения скирмиона через канал остается прежним (см. рис. 6). Неустойчивость, возникающая при формировании скирмиона, сопровождается наличием различных отдельных областей с одинаковым направлением намагниченности вдоль границы. Кроме того, для неустойчивого состояния характерно наличие областей с отрицательной кривизной границы. Окончательное состояние справа после просачивания скирмиона в соседнюю область может сопровождаться колебаниями, связанными с изменением формы скирмиона от эллипсоидальной к округлой.
Рис. 6.
Последовательные этапы создания и движения скримиона вдоль проводника спин-поляризованным током. Формирование скирмиона (а, б), сформированный скирмион (в), последовательные стадии прохождения скирмиона через проводящую перемычку (г–е).

Отметим, что различные аспекты формирования вихревых состояний широко обсуждаются в научной литературе и привлекают постоянный интерес различных научных групп [33–36].
4. ТЕХНОЛОГИЯ СОЗДАНИЯ БАЗЫ ДЛЯ ФОРМИРОВАНИЯ ЛОКАЛИЗОВАННЫХ МАГНИТНЫХ МОМЕНТОВ
Структуры, состоящие из трех слоев металлов, включая ферромагнитные, привлекают внимание ввиду обнаруженной корреляции между интенсивностью взаимодействия Дзялошинского–Мория и работой выхода для неферромагнитного металла в трехслойной структурах [37], что позволяет на стадии проектирования структуры найти необходимое сочетание материалов. Взаимодействие Дзялошинского–Мория обуславливает существование устойчивых локализованных магнитных конфигураций [3, 4], и поэтому в настоящем исследовании изучались магнитооптические свойства трехслойных структур.
Для формирования структур, способных порождать и поддерживать локализованные магнитные моменты, рассматривались различные системы, описанные в научной литературе. В работе [38] указывалось на основании аналитических и вычислительных методов на возможность формирования скирмионных состояний в системе Co/Ru/Co. В работе [39] отмечалось, что наличие слоя Ru стабилизируют скирмионы даже при выключении внешнего магнитного поля. В настоящей работе была реализована система Сo(6 нм)/Ru(10 нм)/Co(10 нм) на кремниевой подложке и исследован магнитооптический экваториальный эффект Керра (МОЭЭК). Результаты представлены на рис. 7а, б. Характерная “полочка” на рис. 7а свидетельствует о возможности формирования локализованных магнитных конфигураций [34, 35]. Подобная “полочка” имеет место также на гистерезисе (см. рис. 2) при формировании магнитного вихря.
Рис. 7.
Петли гистерезиса МОЭЭК для образцов Сo(6 нм)/Ru(10 нм)/Co(10 нм) на кремниевой подложке: для оси легкого намагничивания (а), для оси тяжелого намагничивания (б).

Исследовались трехслойная структуры Pt(3 нм)/Co(6 нм)/Pt(10 нм) на кремниевой подложке, которые привлекают внимание благодаря специфическому взаимодействию на интерфейсе, проявляющему себя в появлении явно выраженной анизотропии второго порядка (см., например, [40]). На рис. 8 представлены результаты магнитооптических исследований (МОЭЭК), которые свидетельствуют о наличии магнитной анизотропии в исследуемых структурах.
Рис. 8.
Петли гистерезиса МОЭЭК для образцов Pt(3 нм)/Co(6нм)/Pt(10 нм) на кремниевой подложке: для оси легкого намагничивания (а), для оси тяжелого намагничивания (б).

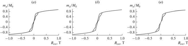
Серия экспериментов была проведена с системой Fe–Pt на подложке из оксида алюминия (Al2O3), вследствие обнаружения в системах Co–Pt, Fe–Pt, Co–Pd (см. в частности [18, 41]) перпендикулярной анизотропии и скирмионных состояний. В образцах с составом соединения Fe–Pt в соотношении 1 : 1 и толщиной слоя 200 нм обнаружена магнитная анизотропия. Эти образцы были получены совместным магнетронным распылением одновременно двух мишеней железа и платины в различных условиях и обладают симметрией L10. Результаты исследований МОЭЭК представлены на рис. 9. Как это следует из представленных на рис. 9 зависимостей, имеет место одноосная анизотропия, имеющая составляющую в плоскости пленки. Отметим, что имеются основания считать, что имеет место наличие вертикальной составляющей направления оси анизотропии, перпендикулярной плоскости пленки, в виду несимметричности петли гистерезиса в ряде образцов. Этот факт требует дополнительных исследований с целью модификации технологии изготовления образцов.
5. ОБСУЖДЕНИЕ
Плоские магнитные вихри имеют два состояния, отличающиеся направлением поляризации центрального ядра, которое поляризовано перпендикулярно плоскости вихря. Как это следует из рис. 1, поляризация ядра вихря на центральном цилиндрическом элементе на рис. 1в противоположна поляризациям ядер вихрей на центральных цилиндрических элементах на рис. 1а, б. Таким образом, подбором соответствующих параметров (размеров цилиндрических элементов структуры, расстояний между ними и др.) и топологии пространства можно изменять поляризацию ядра центрального вихря. В работе [30] исследуются закономерности изменения намагниченности ядра вихря в тонких магнитных дисках. Рассматриваются два механизма перемагничивания ядра магнитного вихря: в переменном магнитном поле и спин-поляризованным током при наличии двух видов взаимодействия в магнитной системе − обменном и дипольном. Посредством компьютерного моделирования установлено, что перемагничивание происходит через формирование пары вихрь-антивихрь на характерных временах 102−103 пикосекунд. При этом исследуются также закономерности движения ядра вихря, которые выражаются в прецессии ядра в переменном магнитом поле. В работе [42] показано, что магнито-дипольное взаимодействие оказывает влияние на динамику ядер магнитных вихрей в массиве магнитных дисков. Это влияние зависит как от расстояний между центрами дисков, так и размеров дисков, что согласуется с полученными в настоящем исследовании результатами. Таким образом, возникает проблема исследования закономерностей функционирования двухуровневой системы на основе магнитных вихрей в направлении возможности ее использования в производительных вычислительных процедурах.
Системы с двумя состояниями представляют интерес как основа реализации квантовых вычислений, наименьшим элементом которых является кубит. Область квантовых технологий в настоящее время представляет собой один из наиболее перспективных разделов науки и техники. Реализуемые и исследуемые в работе [43] структуры основаны на сверхпроводящих кубитах, использующих уникальные свойства джозефсоновских туннельных переходов и квантование магнитного потока. Сверхпроводящие кубиты являются в настоящее время общепризнанной и наиболее перспективной базой построения квантового компьютера.
В работе [44] описаны принципы функционирования и схема реализации квантового кубита на основе джозефсоновских вихрей, закономерности поведения которых базируются на нелинейном уравнении синус-Гордона (см. [44] и ссылки в ней). Экспериментально наблюдались туннелирование одиночного вихря в джозефсоновском контакте, аннигиляция связанного состояния вихря и антивихря, хорошо разрешимые уровни энергии в двойной потенциальной яме в устройстве специальной формы, управление различными режимами посредством приложения внешнего магнитного поля – все основные условия, необходимые для создания квантового кубита [44].
В работе [45] посредством компьютерного моделирования показано, что деформации сжатия стабилизируют пару магнитных состояний вихрь-антивихрь в прямоугольной области ферромагнетика, которая является нестабильной в отсутствие магнитного поля и механических напряжений. Исследовались также динамика состояний с несколькими вихрями при наличии механических напряжений, что дает возможность управления магнитными вихрями. Подобные исследования вихревых магнитных состояний демонстрируют последовательное развитие исследований по пути возможного использования магнитных вихрей в квантовых вычислениях.
Помимо магнитных вихрей, магнитные моменты в которых лежат в плоскости пленки за исключением ядер вихрей с перпендикулярной к плоскости пленки поляризацией, имеют место и другие компактные конфигурации магнитных моментов в тонких пленках. В этом случае большую роль играет взаимодействие на интерфейсе двух сред, связанное с взаимодействием Дзялошинского–Мория, которое обуславливает наличие перпендикулярной к поверхности пленки составляющей магнитных моментов. Изучение специфики взаимодействия Дзялошинского–Мория к настоящему времени вызывает большой интерес и является областью, требующей дальнейших разработок. В работе [46] подчеркивается, что физической основой взаимодействия Дзялошинского–Мория является гибридизация атомных орбиталей, а также подробно рассмотрена специфика системы Pt/Co. Выводы работы [47] указывают на важность учета спин-орбитального взаимодействия и одноосной анизотропии при исследовании свойств решений уравнения Ландау–Лифшица. Конфигурация взаимодействующих спинов также влияет на величину взаимодействия Дзялошинского–Мория, что отмечается в работе [48]. При учете взаимодействия Дзялошинского–Мория [49] на боковой поверхности усеченной сферической поверхности формируется более сложная вихревая картина, чем без учета этого вида взаимодействия. Таким образом, формирующаяся вихревая картина существенно зависит от многих параметров, включая форму поверхности и вид взаимодействия между элементарными магнитными моментами. Анализ большого числа научных работ, посвященных исследованию специфики взаимодействия Дзялошинского–Мория, не позволяет выработать однозначных, жестких рекомендаций по поводу технологических особенностей формирования структур, способных быть носителями устойчивых и подвижных скирмионов.
Тем не менее, можно отметить ряд обнаруженных закономерностей для технологического формирования компактных плоских магнитных вихрей, которое осуществляется путем нанесения либо магнито-мягких материалов (пермаллой, супермаллой), либо кобальта на подложку из материалов с малым спин-орбитальным взаимодействием на интерфейсе, как правило, в виде тонких нанодисков (см. например, [34]). Формирование скирмионов, имеющих перпендикулярную поверхности составляющую магнитных моментов, технологически осуществляется путем создания интерфейсов пленок магнитных материалов с пленками элементов, обладающих большим спин-орбитальным взаимодействием (платина, палладий и др.). В этом случае конфигурация области, в которой формируется скирмион, может иметь отличную от округлой форму.
Наличие перпендикулярной магнитной анизотропии, которая имеет место при формировании интерфейсов между магнитными тонкими пленками и слоями тяжелых металлов, является важным фактором для формирования скирмионов в тонкопленочном магнитном материале. Важной величиной, характеризующей наличие перпендикулярной анизотропии, является величина интерфейсного взаимодействия Дзялошинского–Мория (ДМ). Величину коэффициента взаимодействия Дзялошинского–Мория можно оценить, в частности, на основании результатов измерений параметров магнитооптических петель гистерезиса, представленных в работе [50]. В основе приведенных в [50] оценок величины взаимодействия ДМ лежит следующая формула (см. например, [4]): D ~ D12/ha, где D12 – постоянная взаимодействия Дзялошинского–Мория между ближайшими спинами в единицах энергии, h – толщина магнитной пленки, a – межатомное расстояние. Подставляя полученное в работе [44] экспериментальное значение величины D12 ∼ 2 × 10–22 Дж, а также h ∼ 1 нм – 10 нм, а ∼ 10–9 м в представленную формулу, получаем оценку величины D порядка 0.2–2 мДж/м2, что совпадает по порядку величины с аналогичными оценками, которые представлены в работе [51], полученными иным способом. Порядок величины константы взаимодействия Дзялошинского–Мория совпадает с приведенными в научной литературе данными (см. например, [51–53]). Отметим, что обратно пропорциональная зависимость постоянной взаимодействия ДМ от толщины магнитного слоя зафиксирована в ряде работ (см. например, [51, 53]).
Оценки постоянной Дзялошинского–Мория, полученные из анализа экспериментальных магнитооптических измерений, согласно работе [60] составляют ∼1.3 мэВ для взаимодействия соседних спинов (или 0.7−4.3 мДж/м2 для поверхностной плотности энергии). Эти величины сравнимы по порядку величины со спин-орбитальным взаимодействием. Действительно, для оценки энергии спин-орбитального взаимодействия имеет место соотношение:
(12)
${{\varepsilon }_{{{\text{S}} - {\text{O}}}}} = {{\mu }_{{\text{B}}}}{{{\text{B}}}_{{{\text{at}}}}} = ({\text{e}}{{\lambda }_{{\text{C}}}}{\text{/}}4\pi )(\alpha {\text{e/}}a_{{\text{B}}}^{{\text{2}}}) = {{\alpha }^{2}}{{\varepsilon }_{{{\text{at}}}}}{\text{/}}2,$Для сравнения обменная энергия взаимодействия оценивается следующим образом, согласно работе [54]: Eex ∼ e2/a, где a − постоянная решетки (а ∼ 10−10 м), то есть Eex ∼ 10−19 Дж ∼ 1 эВ. В работе [49] приводится значение расстояния между двумя ближайшими спинами в кобальте, равное 2.5 × 10−10 м. Это дает к оценке для обменного взаимодействия, согласно формуле [54] Eex ∼ e2/a, которая дает значение порядка ∼0.4 эВ. Сравнивая это значение Eex ∼ 0.4 эВ с полученными ранее оценками ES–O ∼ 7.25 × 10−4 эВ и EDM ∼ 1.25 × 10−3 эВ [60], приходим к выводу, что в нашем случае, по-видимому, спин-орбитальное взаимодействие является ответственным за процессы, управляющие ориентацией спина на интерфейсах тонких пленок. Вообще говоря, проблема природы и оценки величины взаимодействия Дзялошинского–Мория представляет собой до конца не решенную проблему и требует тщательного анализа (см. например, [48]).
Отметим, что энергия интерфейсного взаимодействия Дзялошинского–Мория связана с изменением угла между взаимодействующими спинами. При интерфейсном взаимодействии Дзялошинского–Мория энергия взаимодействия i и j спинов равна: ${{E}_{{ij}}} = {{D}_{{ij}}}\left[ {{{{\vec {S}}}_{i}}{{{\vec {S}}}_{j}}} \right]$, здесь Dij − вектор Дзялошинского–Мория. Принимая во внимание взаимодействие только между ближайшими соседями, получим для энергии взаимодействия: Е12 = D12S 2sin(∆φ), где S = |Si| = |Sj|, ∆φ – угол между соседними спинами ${{\vec {S}}_{i}}$ и ${{\vec {S}}_{j}}$. Для малых ∆φ: sin(∆φ) = ∆φ = (∂φ/∂x)a, D12 – постоянная Дзялошинского–Мория для ближайших соседей, где а – межатомное расстояние, в результате чего для энергии получим следующее выражение: Е12 = = D12S 2(∂φ/∂x)a. На слое площадью σ количество таких взаимодействующих пар равно σ/a2. В результате энергия такого слоя: E = D12S 2(∂φ/∂x)σ/a. Это взаимодействие имеет место только в одном слое, поэтому энергия единицы объeма для плeнки толщиной h: ε = E/(σh)= D12S 2(∂φ/∂x)/(ha), здесь произведение σh – объeм плeнки. Делая замену D = D12S 2/(ha), получим: ε = D(∂φ/∂x).
Важным параметром в оценке возможности создания материалов с перпендикулярной к поверхности анизотропией является фактор качества [56]:
где К1 – постоянная одноосной анизотропии. Как показывают оценки, для кобальта фактор качества меньше единицы (Q < 1), так как M0 =1.44 × 106 А/м, K1 = 0.44 × 106 Дж/м3 (Q = 0.33). Для того чтобы намагниченность была ориентирована перпендикулярно плоскости, необходимо использовать вещества, у которых фактор качества был бы Q > 1 или Q $ \gg $ 1. Этому критерию удовлетворяют магнитные вещества, параметры которых приведены в работе [57]: CoPt, FePt, Nd2Fe14B, SmCo5. Для приведенных соединений на основании данных работы [57] получаем соответственно для фактора качества: Q ∼ 3.8; 2.6; 4.2; 38.4. Как известно, палладий (как и платина) является почти ферромагнитным материалом, поскольку его электронные характеристики очень близки к стонеровскому критерию ферромагнетизма [58]. Поэтому добавление даже малого количества магнитных примесей, около 1%, делает его ферромагнитным [59]. Соединение FePd используется, в частности, для создания джозефсоновских переходов с прослойкой из слабоферромагнитного сплава FePd с содержанием железа около 1 ат. % [60]. Соединение FePt используется для сверхплотной магнитной записи, поскольку этот материал сохраняет свои ферромагнитные свойства, даже когда размер его наночастиц составляет меньше 10 нм [61].Отметим, что технология, представленная в работе [18] и основанная на использовании одного из указанных соединений, позволяет формировать путем послойного нанесения слоев Co и Pt по сути сплав этих материалов Co0.35Pt0.65 и управлять плотностью формирующихся скирмионов.
В работе [56] проведен анализ результатов компьютерного моделирования с использованием параметров, соответствующих различным веществам, соединениям и структурам. Проведены исследования соответствующих локализованных магнитных конфигураций и их устойчивости к изменению различных параметров. Представленные выводы согласуются с выводами настоящей работы.
ЗАКЛЮЧЕНИЕ
В настоящей работе представлены результаты оригинальных исследований и анализ большого числа имеющихся технологических, экспериментальных и теоретических данных. Изучены конструктивные особенности электронных устройств на магнитных вихрях и скирмионах. Исследованы технологические подходы к созданию структур, обладающими свойствами, которые необходимы для формирования устойчивых локализованных магнитных конфигураций. На основании проведенных исследований можно сформулировать технологические рекомендации как к процессам, так и к конфигурациям электронных устройств, использующих магнитные вихри и локализованные магнитные конфигурации (скирмионы). Эти рекомендации обусловлены существованием локализованных магнитных моментов в достаточно узком диапазоне физических параметров и базируются на следующих моментах.
Для формирования структур на основе плоских магнитных вихрей предпочтительней иметь в качестве основания элементарной структуры округлую форму (например, диск, цилиндр и т.п.) с размерами порядка от нескольких нанометров до сотни нанометров. Магнитный материал при этом возможно использовать как магнито-мягкий (пермаллой), так и более магнито-жесткий (кобальт). Подобная система требует структурирования (bit patterned media) [2]. Расстояния и размеры элементов также должны подбираться из условия отсутствия взаимного влияния.
Для систем, функционирующих на основе скирмионов, требуется создание соответствующих интерфейсов между магнитными материалами и материалами с большим спин-орбитальным взаимодействием, как правило, из группы тяжелых металлов (платина, палладий, рутений и др.) для формирования структур, которые обладают перпендикулярной поверхности магнитной анизотропией. Перпендикулярная поверхности магнитная анизотропия в слоистых структурах обусловлена взаимодействием Дзялошинского–Мория на интерфейсах сложной системы. Структуры типа L10 магнитных соединений (FePt, CoPt и др.) обладают перпендикулярной магнитной анизотропией, либо имеют вертикальную составляющую, ортогональную поверхности [62, 63].
Структура логических элементов должна конструироваться из условия “отсечения” сформированных лишних скирмионов посредством прохождения конкретных скирмионов через канал. Параметры функционирования логических элементов должны быть настроены на определенные режимы для формирования скирмионов и их последующего движения посредством спин-поляризованного тока. При выборе направления вектора плотности спин-поляризованного тока необходимо учитывать действующие на скирмион силы, в частности, силу Магнуса, отклоняющую скирмион от прямолинейного движения.
Как показывают оценки, конструирование подобных систем на основе исключительно кобальта мало пригодно для практического использования ввиду низкого значения “фактора качества”. Необходимо использование структур со значением фактора качества Q > 1 или Q $ \gg $ 1. Такими соединениями являются комбинации различных материалов, например, CoPt, FePt, Nd2Fe14B, SmCo5, либо в форме многослойных структур с чередованием магнитных и немагнитных материалов, либо в форме твердых растворов.
Список литературы
Everschor-Sitte Masell J., Reeve R.M., Klaui M. Perspective: Magnetic skyrmions − Overview of recent progress in an active research field // Jour. Appl. Phys. 2018. V. 124. P. 240901.
Krishnan K.M. Fundamentals and applications of magnetic materials. Oxford University Press. NY, USA. 2016. 794 p.
Zang J., Cros V., Hoffmann A. (eds). Topology in Magnetism. Springer series in Solid State Science. V. 192. Springer International Company. 2018. Springer. Schwitzerland. 416 p.
Guimaraes A.P. Principles of Nanomagnetism. 2017. Springer International Publishing AG. Schwitzerland. 330 p.
Gaididai Y., Kravchuk V.P., Sheka D.D. Curvature effect in thin magnetic shells. // Phys. Rev. Lett. 2014. V. 112. P. 257203.
Gaididai Y., Kravchuk V.P., Sheka D.D. Curvature effects in statics and dynamics of low dimensional magnets. // Journ. Phys. A: Math. and Theor. 2015. V. 48. P. 125202.
Абрикосов А.А. Основы теории металлов. М.: Наука, 1987. 520 с.
Шмидт В.В. Введение в физику сверхпроводников. М.: МЦНМО, 2000. 402 с.
Prange R.E., Girvin S.M. The Quantum Hall Effect. Springer-Verlag, NY, Berlin, Heidelberg, 1990. 463 p.
Lejnell K., Karlhede A., Sondhi S.L. Phys. Rev. B. Effective-action studies of quantum Hall spin textures // 1999. V. 59. № 15. P. 10183–10192.
Das S., Tang Y.L., Hong Z., Gonçalves M.A.P., McCarter M.R., Klewe C., Nguyen K.X., Gómez-Ortiz F., Shafer P., Arenholz E., Stoica V.A., Hsu S.-L., Wang B., Ophus C., Liu J.F., Nelson C.T., Saremi S., Prasad B., Mei A.B., Schlom D. G., Íñiguez J., García-Fernández P., Muller D.A., Chen L.Q., Junquera J., Martin L.W., Ramesh R. Observation of room-temperature polar skyrmions // Nature. 2019. V. 568. P. 368–372.
Rayfield G.W., Reif F. Quantized Vortex Rings in Superfluid Helium // Phys. Rev. 1964. V. 136. № 5A. P. A1194–A1208.
Eto M., Hirono Y., Nitta M., Yasui S. Vortices and other topological solitons in dense quark matter. // Prog. Theor. Exp. Phys. 2014. P. 012D01.
Orlando T.P., Mooij J.E., Tian L., Van der Wal C.H., Levitov L.S., Lloyd S., Mazo J.J. Superconducting persistent-current qubit. // Phys. Rev. B. 1999. V. 60. № 22. P. 15398–15413.
Shcherbakova A.V., Fedorov K.G., Shulga K.V., Ryazanov V.V., Bolginov V.V., Oboznov V.A., Egorov S.V., Shkolnikov V.O., Wolf M.J., Beckman D., Ustinov A.V. Fabrication and measurements of hybrid Nb/Al Josephson junctions and flux qubits with π-shifters // Supercond. Sci. Technol. 2015. V. 28. P. 025009.
Ружицкий В.И. Новые физические подходы к решению задачи масштабирования элементной базы цифровой сверхпроводниковой электроники. Диссертация на соискание ученой степени кандидата физико-математических наук. Москва. МГУ им. М.В. Ломоносова. 2021. 121 с.
Калентьева И.Л., Вихрова О.В., Данилов Ю.А., Дорохин М.В., Дудин Ю.А., Здоровейщев А.В., Кудрин А.В., Тимирязева М.П., Тимирязев А.Г., Никитов С.А., Садовников А.В. Модифицирование магнитных свойств сплава CoPt путем ионного облучения // ФТТ. 2019. Т. 61. № 9. С. 1694–1699.
Калентьева И.Л., Вихрова О.В., Данилов Ю.А., Здоровейщев А.В., Здоровейщев Д.А., Дорохин М.В., Дудин Ю.А., Кудрин А.В., Тимирязева М.П., Тимирязев А.Г., Садовников А.В., Юнин П.А. Формирование скирмионных состояний в ионно- облученных тонких пленках CoPt. // 2022. Т. 64. № 9. С. 1304–1310.
Tsvelik A.M. Quantum Field Theory in Condensed Matter Physics. Cambridge University Press. NY, 1998.
Kardar M. Statistical Physics of Fields. Cambridge University Press. NY, 2007.
Metlov K.L. Magnetization patterns in ferromagnetic nanoelements as function of complex variables. // 2010. Phys. Rev. Lett. 105. P. 107201.
Carvalho-Santos V.L., Elias R.G., Altbir D., Fonesca J.M. Stability of scirmions on curved surfaces in the presence of magnetic field // Journ. Magn. Magn. Mat. 2015. V. 391. P. 179–183.
Vilas-Boas P.S.C., Elias R.G., Altbir D., Fonesca J.M., Carvalho-Santos V.L. Topological magnetic solitons on a paraboloidal shell // Phys. Lett. A. 2015. 379. P. 47–53.
Sheka D.D., Kravchuk V.P., Gaididei Y. Curvature effects in statics and dynamics of low dimentional magnets // Journ. Phys. A: Math. and Theor. 2015. V. 48. P. 25202.
Vansteenkiste A., Leliaert J., Dvornik M., Helsen M., Garsia-Sanchez F., B. Van Waeyenberge F. The design and verification of MuMax3 // AIP Advances. 2014. V. 4. P. 107133.
Lopez-Diaz L., Aurelio D., Torres L., Martinez E., Hernandez-Lopez M.A., Gomez J., Alejos O., Carpentieri M., Finocchio G., Consolo G. Micromagnetic simulations using Graphics Processing Units // J. Phys. D: Appl. Phys. 2012. V. 45 P. 323001.
Zhang S., Li Z. Roles of Nonequilibrium Conduction Electrons on the Magnetization Dynamics of Ferromagnets // Phys. Rev. Lett. 2004. V. 93. P. 127204.
Leliaert J., Dvornik M., Mulkers J., De Clercq J., Milošević M.V., Van Waeyenberge B. Fast micromagnetic simulations on GPU − recent advances made with mumax3 // J. Phys. D: Appl. Phys. 2018. V. 51. P. 123002.
Leliaert J., Mulkers J., De Clercq J., Coene A., Dvornik M., Van Waeyenberge B. Adaptively time stepping the stochastic Landau-Lifshitz-Gilbert equation at nonzero temperature: Implementation and validation in MuMax3 // AIP Advances. 2017. V. 7. P. 125010.
Gaididei Y.B., Kravchuk V.P., Sheka D.D., Martens F.G. Switching phenomena in magnetic vortex dynamics // Low Temp. Phys. 2008. V. 34. № 7. P. 528–534.
Prokaznikov A.V., Paporkov V.A., Chirikov V.A. Controlling the Position of a Magnetic Vortex on a Nanostructured Surface in Magnetic Memory Elements // Russian Microelectronics. 2022. V. 51. № 1. P. 1–15.
Liu L., Chen W., Zhen Y. Current-driven skyrmion motion beyond linear regime: interplay between skyrmion transport and deformation. // Phys. Rev. Appl. 2020. V. 14. P. 024077. https://doi.org/10.1103/PhysRevApplied.14.024077
Vojkovic S., Carvalho-Santos V.L., Fonesca J.M., Nunez A.S. Vortex-antivortex pairs nduced by curvature in toroidal nanomagnets. // Journ. Appl. Phys. 2017. V. 121. P. 113906.
Lebib A., Li S.P., Natali M., Chen Y. Size and thickness dependences of magnetization reversal in Co dot arrays. // Journ. Appl. Phys. 2001. V. 89. № 7. P. 3892–3896.
Cowburn R.P., Koltsov D.K., Adeyeye A.O., Welland M.E. Single-Domain Circular Nanomagnets. // Phys. Rev. Lett. 1999. V. 83. № 5. P. 1042–1045.
Rothman J., Klaui M., Lopez-Diaz L., Vaz C.A.F., Bleloch A., Bland J.A.C., Cui Z., Speaks R. Observation of a Bi-Domain State and Nucleation Free Switching in Mesoscopic Ring Magnet // Phys. Rev. Lett. 2001. V. 86. № 6. P. 1098–1101.
Park Y.-K., Kim D.-Y., Kim J.-S., Nam Y.-S., Park M.-H., Choi H.-C., Min B.-C., Choe S.-B. // Experimental observation of the correlation between the interfacial Dzyaloshinskii–Moriya interaction and work function in metallic magnetic trilayers. NPG Asia Materials. 2018. 10: 995–1001. https://doi.org/10.1038/s41427-018-0090-x
Dai Y.Y., Wang H., Tao P., Yang T., Ren W.J., Zhang Z.D. Skyrmion ground state and gyration of skyrmions in magnetic nanodisks without the Dzyaloshinsky-Moriya interaction. // Phys. Rev. B. 2013. V. 88. P. 054403.
Nozaki T., Konoto M., Nozaki T., Kubota H., Fukushima A., Yuasa S. Control of the magnetic domain of Pt/Co/Ru/MgO multilayer: Effect of Co thickness and Ru insertion // AIP Advances. 2020. V. 10. P. 035130. https://doi.org/10.1063/1.5136044
Gweon H.K., Park H.-J., Kim K.-W., Lee K.-J., Lim S.H. Intrinsic origin of interfacial second-order magnetic anisotropy in ferromagnet/normal metal heterostructures // NPG Asia Materials (2020) 12:23. https://doi.org/10.1038/s41427-020-0205-z
Carcia P.F., Meinhaldt A.D., Suna A. Perpendicular magnetic anisotropy in Pd/Co thin film layered structures // Appl. Phys. Lett. 1985. V. 47. P. 178–180. https://doi.org/10.1063/1.96254
Vogel A., Drews A., Kamionka T., Bolte M., Mayer G. Influence of dipolar interaction on vortex dynamics in arrays of ferromagnetic disks // Phys. Rev. Lett. 2010. V. 105. P. 037201.
Шульга К.В. Микроволновое исследование сверхпроводящих когерентных систем и квантовых метаматериалов. Дис. ... канд. физ.-мат. н. Москва, 2017. 115 с.
Wallraff A., Kemp A., Ustinov A.V. Quantum Dynamics of Vortices and Quantum Qubits. P. 162–185 in book: Beth T., Leuchs G. (eds). Quantum Information Processing. 2005. Wiley-VCH Verlag GmbH & Ko. KGaA. Weinheim. 424 p.
Wang J., Zhang J., Shimada T., Kitamura T. Effect of strain on the evolution of magnetic multi-vortices in ferromagnetic nano-platelets // Journ. Phys.: Cond. Matter. 2013. V. 25. P. 226002
Sandratskii L.M. Insight into the Dzyaloshinskii-Moriya interaction through first- principles study of chiral magnetic structures // Phys. Rev. B. 2017. V. 96. P. 024450.
Udvardi L. Szunyogh L., Palota’s K., Weinberger P. First-principles relativistic study of spin waves in thin magnetic films // Phys. Rev. B. 2003. V. 68. P. 104436.
Cardias R., Szilva A., Bezerra-Neto M.M., Ribeiro M.S., Bergman A., Kvashnin Y.O., Fransson J., Klautau A.B., Eriksson O., Nordström L. First principles Dzyaloshinskii–Moriya interaction in a non-collinear framework // Sci. Rep. 2020. 10:20339.
Prokaznikov A.V., Paporkov V.A. Study of the magneto-optical properties of structures on curved surfaces for creating memory elements on magnetic vortices // Russian Microelectronics. 2020. V. 49. № 5. P. 358–371.
Prokaznikov A.V., Paporkov V.A., Selyukov R.V., Vasilev S.V., Savenko O.V. Magneto-Optical Properties of Multilayer Structures Based on Cobalt and Chromium- Group Metals for Magnetic Memory Elements // Russian Microelectronics. 2022. V. 51. № 6. P. 454–464.
Tejo F., Riveros A., Escrig J., Guslienko K.Y., Chubykalo-Fesenko O. Distinct magnetic field dependence of Neel skyrmion sizes in ultrathin nanodots // Sci. Reports. 2018. V. 8. P. 6280.
Jaehun Cho, Nam-Hui Kim, Sukmock Lee, June-Seo Kim, Reinoud Lavrijsen, Aurelie Solignac, Yuxiang Yin, Dong-Soo Han, Niels J.J. van Hoof, Henk J.M. Swagten Bert Koopmans, Chun-Yeol You. Thickness dependence of the interfacial Dzyaloshinskii–Moriya interaction in inversion symmetry broken systems. // Nature Commun. 2015. V. 6. P. 7635.
Ourdani D., Roussigné Y., Chérif S.M., Gabor M.S., Belmeguenai M. Dependence of the interfacial Dzyaloshinskii–Moriya interaction, perpendicular magnetic anisotropy and damping in Co-based systems on the thickness of Pt and Ir layers // Phys. Rev. B. 2021. V. 104. P. 104421.
Давыдов А.С. Теория твердого тела. М.: Наука, 1976. 639 с.
Kundu A., Zhang S. Dzyaloshinskii-Moriya interaction mediated by spin-polarized band with Rashba spin-orbit coupling // Phys. Rev. B. 2015. V. 92. P. 094434.
Büttner F., Lemesh I., Beach G.S.D. Theory of isolated magnetic skyrmions: from fundamentals to room temperature applications // Sci. Rep. 2018. V. 8. P. 4464.
Lai P., Zhao G.P., Tang H., Ran N., Wu S.Q., Xia J., Zhang X., Zhou Y. An Improved Racetrack Structure for Transporting a Skyrmion // Sci. Rep. 2017. V. 7. P. 45330.
Blundell S. Magnetism in Condensed Matter. Oxford University Press Inc. Oxford, NY. 2001. 238 p.
Büscher C., Auerswald T., Scheer E., Schröder A. Löhneysen H. Claus H. Ferromagnetic transition in dilute Fe–Pd alloys // Phys. Rev. B. 1992. V. 46. № 2. P. 983–989.
Столяров В.С. Исследование сверхпроводящих джозефсоновских контактов с туннельным и ферромагнитным слоями. Дис. ... канд. физ.-мат. н. Черноголовка, 2012. 182 с.
Tangwatanakul W., Chokprasombat K., Sirisathitkul C., Jantaratana P., Sirisathitku Y. Magnetic phase transition of annealed FePt based nanoparticles synthesized by using Fe(b-diketonate)3 // Journ. Alloys and Compounds. 2016. V. 654. P. 234–239.
Камзин А.С., Wei F., Ганеев В.Р., Вилиуллин А.А., Зарипова Л.Д. Микроструктура и магнитные свойства многослойных структур [Fe/Pt]n, полученных методом последовательного напыления // ФТТ. 2013. Т. 55. Вып. 9. С. 1743–1748.
Lyubina J., Rellinghaus B., Gutfleisch O., Albrecht M. Structure and Magnetic Properties of L10-Ordered Fe–Pt Alloys and Nanoparticles. In: Handbook of Magnetic Materials. 2011. V. 19. Elsevier. London. P. 291–407. https://doi.org/10.1016/S1567- 2719(11)19005-8.
Дополнительные материалы отсутствуют.
Инструменты
Микроэлектроника




